Реферат: Макроэкономические проблемы государственного долга 2
|
Название: Макроэкономические проблемы государственного долга 2 Раздел: Рефераты по экономической теории Тип: реферат |
ОГЛАВЛЕНИЕ ВВЕДЕНИЕ……………………………………………………………………………4 1. БЮДЖЕТНЫЙ ДЕФИЦИТ И ГОСУДАРСТВЕННЫЙ ДОЛГ…………………6 1.1 Основные определения, показатели и проблемы количественной оценки...…6 1.2 Основные причины устойчивого бюджетного дефицита и увеличения государственного долга………………………………………………………….….12 1.3 Государственный долг, налоги, инвестиции и экономический рост………....14 2. ТОЧКИ ЗРЕНИЯ НА ПРОБЛЕМУ ГОСУДАРСТВЕННОГО ДОЛГА………..18 2.1 Традиционная точка зрения на государственный долг……………………….18 2.2 Рикардианская точка зрения на государственный долг……………………….23 2.3 Потребители и будущие налоги………………………………………………...28 3. ПРОБЛЕМЫ ГОСУДАРСТВЕННОГО ДОЛГА РФ……………………………31 ЗАКЛЮЧЕНИЕ ……………………………………………………………………..44 БИБЛИОГРАФИЧЕСКИЙ СПИСОК………………………………………….... ...45 ВВЕДЕНИЕ Существование государственного долга у того или иного государства представляет собой некое бремя для этого государства, осложняющее нормальное функционирование экономики. Государственный долг увеличивается всякий раз, когда бюджет Федерального правительства находится в дефиците. Если бюджет сведен с дефицитом, то правительство будет вынужденно брать кредиты, чтобы оплатить свои расходы, которые не возмещаются за счет налоговых поступлений. Когда же существует избыток бюджета, то превышение доходов над расходами помогает правительству расплатиться с населением, т.е. погасить свой долг. Идея государственного долга как некой общественной ноши возникает, потому что долги Федерального правительства, в конечном счете, являются долгами налогоплательщиков. Однако на этом уровне вряд ли есть повод для серьезного беспокойства. Государственный долг является в большей своей части долгом, который мы должны сами себе. Все граждане, вместе взятые, являются и держателями государственного долга, и должниками по нему. Любые выплачиваемые ими налоги представляют собой всего лишь уплату самим себе процентов либо суммы долга. На основе данного подхода долг сводится на нет, за исключением той его части, которая принадлежит иностранцам. Актуальность темы заключается в том, что государственный долг играет существенную и многогранную роль в макроэкономической системе любого государства. Это объясняется тем, что отношения по поводу формирования, обслуживания и погашения государственного долга оказывают значительное влияние на состояние государственных финансов, денежного обращения, инвестиционного климата, структуру потребления и развития международного сотрудничества государств. Проблема государственного долга уже давно носит характер одной из самых насущных в экономической жизни России и уже этим заслуживает самого пристального внимания со стороны различных исследователей. Объект исследования - государственный долг. Предметом исследования являются модели, связанные с рассмотрением государственного долга. Цель работы состоит в изучении макроэкономических проблем государственного долга. В соответствии с указанной целью в курсовой работе поставлены следующие задачи : -рассмотреть понятия бюджетного дефицита и государственного долга; -выявить причины увеличения государственного долга; - рассмотреть точки зрения на проблему государственного долга; -выявить проблемы государственного долга РФ. 1. БЮДЖЕТНЫЙ ДЕФИЦИТ И ГОСУДАРСТВЕННЫЙ ДОЛГ 1.1 Основные определения, показатели и проблемы количественной оценки Государственный долг -
общий размер задолженности правительства владельцам государственных ценных бумаг, равный сумме прошлых бюджетных дефицитов (минус бюджетные излишки).В зависимости от рынка размещения, валюты и других характеристик государственный долг делится на внешний и внутренний. К первому относятся кредиты иностранных государств, международных финансовых организаций, государственные займы, деноминированные в иностранной валюте и размещенные на зарубежных рынках. Ко второму относятся кредиты от национальных банков, государственные займы, деноминированные в национальной валюте и размещенные на национальном рынке. Он состоит из задолженности прошлых лет и вновь возникшей задолженности. [5] Бюджетный дефицит
представляет собой разницу между государственными расходами и доходами.
Государственный долг напрямую связан бюджетным дефицитом. Если же сумма неуплаченного государственного долга возрастает и существует перспектива бюджетного дефицита, то возникает вопрос: проблема какого рода могут возникнуть в связи с растущим государственным долгом. 1.2 Основные причины устойчивого бюджетного дефицита и увеличения государственного долга Основными причинами устойчивых бюджетных дефицитов и увеличения государственного долга являются: 1.3 Государственный долг, налоги, инвестиции и экономический рост Одним из факторов экономического роста является соотношение долг/ВНП. Динамика этого, соотношения зависит от следующих факторов:
Увеличение налогов является для правительства одним из способов получения необходимых доходов для выплаты процентов по обслуживанию долга и погашения его основной суммы. Для того, чтобы соблюдать график обслуживания долга, правительство должно собрать в виде налогов сумму не меньшую, чем N. Это означает, что соотношение N/ВНП является нижней границей ставки подоходного налога:
свидетельствует о нарастании напряженности в бюджетно-налоговой сфере. 2. ТОЧКИ ЗРЕНИЯ НА ПРОБЛЕМУ ГОСУДАРСТВЕННОГО ДОЛГА Итак, существует две точки зрения на государственный долг: традиционная и рикардианская, называемая равенством Рикардо, которой придерживается небольшая, но очень влиятельная группа экономистов. В соответствии с рикардианской точкой зрения, государственный долг не влияет на сбережения и накопление капитала. 2.1 Традиционная точка зрения на государственный долг Традиционный подход к оценке последствий государственного долга формулирован в рамках схемы неоклассического синтеза в работе. Он интегрирует взгляды экономистов классического и кейнсианского направлений и подразумевает обсуждение положительных и отрицательных последствий государственного долга в экономике. В качестве положительных последствий отмечается его стимулирующий эффект для закрытой и большой открытой экономик в краткосрочном периоде, в качестве отрицательных - вытеснение инвестиций и чистого экспорта в кейнсианских моделях и уменьшение экономического потенциала в классических. Обсуждение краткосрочных и долгосрочных последствий государственного долга с позиций традиционного подхода осуществляется при помощи IS— LM анализа. Увеличение бюджетного дефицита, вызванное, например, снижением налогов, приведет к росту располагаемого дохода, а следовательно, и объема потребления. Увеличение потребительского спроса на товары и услуги в краткосрочном периоде вызовет рост объема производства (кривая IS сдвигается вправо вверх). Реальная ставка процента повысится, так как возросший доход повысит спрос на деньги. Тогда при прежней ставке процента спрос на деньги превысит реальные запасы денежных средств. Ставка процента возрастет. Повышение ставки процента приведет к снижению инвестиций и притоку капитала из-за рубежа, что увеличит обменный курс. В результате чистый экспорт упадет (рис. 1).
Таким образом, в краткосрочном периоде объем производства и занятости вырастет, что, скорее всего, повысит уровень благосостояния текущего поколения. В то же время сальдо счета текущих операций уменьшится и замедлится процесс накопления капитала. Долгосрочными последствиями при неизменных факторах производства и уровне технологии будут рост цен, дальнейшее падение инвестиций и чистого экспорта: рост потребления вызовет снижение национальных сбережений и, следовательно, вытеснение инвестиций и чистого экспорта в сумме на величину роста потребления (рис. 2).
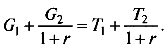
Таким образом, в соответствии с традиционным взглядом накопление внутреннего долга — это политика улучшения благосостояния текущего поколения за счет будущих. Положительныйэффект политики долгового финансирования состоит в краткосрочном стимулировании экономики, сопровождающемся частичным вытеснением инвестиций и чистого экспорта. Отрицательный эффект — долгосрочное вытеснение инвестиций и чистого экспорта, уменьшенный запас капитала, достающийся будущим поколениям. Чтобы лучше понять взаимосвязь между государственным долгом и будущими налогами, можно предположить, что экономика функционирует только в течение второй - будущее. В первом периоде государство собрало налоги Т1 , а объём закупок составил G1 , во втором периоде оно собрало налогов Т2 и осуществило закупки на сумму G2 . В связи с тем, что правительство может допустить либо бюджетный дефицит. Либо превышение доходов над расходами, налоги и затраты в каждый отдельный период не обязательно должны быть тесно взаимосвязанными. Необходимо проанализировать, как налоговые поступления в течение обоих периодов соотносятся с государственными закупками в эти же периоды. Заметим. Что в первый период бюджетный дефицит равен государственным расходам за вычетом налогов. Таким образом: D=G1-T1 , (3) Где D - дефицит. Правительство финансирует этот дефицит путём продажи соответствующего количества государственных облигаций. Во второй период государство должно собрать необходимую для выплаты задолженности (включая накопленные проценты) и для оплаты государственных закупок за второй период сумму налогов. Исходя из этого: T2=(1+r)D+G2 , (4) Где r - ставка процента. Для того, чтобы показать алгебраически зависимость между налогами и объёмом закупок, объединим два вышеприведённых уравнения. Подставив во второе уравнение величину D из первого уравнения, получим: T2=(1+r)(G1-T1)+G2 . (5) Это уравнение показывает зависимость между объёмом закупок и налоговыми поступлениями в каждый из периодов. После ряда алгебраических преобразований получим: T1+T2/(1+r)=G1+G2/(1+r) (6) Это уравнение и является государственным бюджетным ограничением. Оно показывает, что приведённая стоимость государственных закупок равна текущей приведённой стоимости налоговых поступлений. Государственное бюджетное ограничение показывает, как нынешние изменения в бюджетно-налоговой политике связаны с изменениями политики в будущем. Если правительство сокращает налоги первого периода без сокращения закупок, то оно входит во второй период с долгом по государственным облигациям. Наличие этого долга вынуждает правительство выбирать между сокращением закупок и повышением налогов.[9] 2.2.Рикардианская точка зрения на государственный долг. Логика рикардианского подхода Согласно гипотезе Рикардо финансирование государственных расходов за счет долга и за счет налогов приведет к одинаковым последствиям для экономики. Эта идея была высказана впервые Д. Рикардо, однако он считал ее маловероятной. Р. Барро использовал ее для анализа последствий государственного долга США, поэтому эту гипотезу часто называют равенством Барро—Рикардо или просто равенством Рикардо. Гипотеза опирается на взгляды Ф. Модильяни и М. Фридмана на функцию потребления. Они полагали, что потребители в своих решениях относительно объема текущего потребления: 1) руководствуются не только текущими доходами, но и доходами, ожидаемыми в будущем; 2) стараются обеспечить одинаковый уровень потребления в течение всей жизни; 3) сберегают случайные приросты дохода, чтобы сгладить потребление при временном его снижении. Идея Р. Барро состоит в следующем. Если государство сегодня продает облигации для финансирования бюджетного дефицита, возникшего, например, из-за снижения налогов, то в будущем оно увеличит налоги, чтобы выплатить образовавшийся долг. Рациональный потребитель понимает, что снижение налогов сегодня означает их увеличение в будущем, т. е. рассматривает возникшее увеличение дохода как временное и поэтому не увеличивает потребление, а сберегает образовавшийся излишек для выплаты в будущем возросшего налога. Таким образом, снижение государственных сбережений будет в точности компенсировано увеличением частных сбережений, текущее потребление и национальные сбережения не изменятся, поэтому никакого влияния на экономику снижение налогов не окажет. Изменения в бюджетно-налоговой политике могут повлиять на макроэкономические показатели, только если государство объявит о будущем снижении государственных расходов. Тогда потребители, ожидая соответствующего снижения налогов в будущем, могут уже сегодня увеличить объем потребления. Обоснование рикардианского подхода Обоснование рикардианского подхода может быть проведено с использованием любой многопериодной модели, рассматривающей поведение рациональных экономических агентов, обладающих даром совершенного предвидения относительно доходов и налогов и действующих в экономике, где: 1) частные агенты могут занимать и давать взаймы на тех же условиях, что и государство; 2) частные агенты готовы и могут принять любую схему государства по перераспределению доходов между поколениями; 3) все налоги и трансферты, направленные на перераспределение доходов в обществе, являются аккордными паушальнымии поэтому не затрагивают принимаемые решения. Обычно его иллюстрируют с помощью модели репрезентативного агента, живущего бесконечно долго, — модели Рамсея. Многопериодная модель межвременного выбора поведения потребителя И. Фишера при определенных предпосылках также позволяет объяснить равенство Рикардо. Рассмотрим вначале последствия долгового финансирования бюджетного дефицита с помощью двухпериодной модели И. Фишера. В ней рациональный потребитель, живущий два периода времени, владеет всей информацией о текущих и будущих доходах, налогах и государственных расходах. Он максимизирует свою полезность, зависящую от потребления в первый и второй периоды и задаваемую функцией
Государство может допускать бюджетный дефицит D в первом периоде, но к концу второго долг должен быть выплачен полностью. Ставки по займам и кредитам одинаковы и не меняются во времени. Пусть Gj и Tt; — объемы соответственно государственных расходов и налогов периода /, тогда бюджетный дефицит первого периода равен D = G{ — Тх}. Налоги второго периода должны обеспечить выплату долга за первый период и покрыть государственные расходы второго периода: Т2 = (1 + r)D + G2. Отсюда Т2 = (1 + г)(<7, - Т{) + G2 (4.2) или
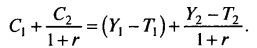
Условие представляет собой бюджетное ограничение государства. Другими словами, предполагается, что приведенная к текущему периоду стоимость государственных расходов должна быть равна приведенной стоимости налоговых поступлений. Бюджетное ограничение потребителя, в котором учитываются налоговые выплаты, принимает вид:
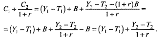
Из этого вытекает, что если в первом периоде государство допускает бюджетный дефицит в объеме AT, финансируемый за счет выпуска облигаций В= AT, то прирост налогов во втором периоде составит АТ2 = (1 + г) AT = (1 + г)В. Бюджетное ограничение потребителя в этом случае примет вид:
Таким образом, бюджетное ограничение потребителя в этом случае остается неизменным, а значит, не меняются и его потребительские решения (рис. 3).
Точка, при которой текущее потребление в точности равно текущему располагаемому доходу (точка А) переместилась вдоль бюджетного ограничения (точка А'). Оптимальное решение потребителя — это в обоих случаях точка С. Видно, что снижение налогов не повлияло на текущее потребление, а следовательно, и на совокупный спрос. Недостаток государственных сбережений полностью компенсировался приростом частных. Поэтому равновесие на рынке заемных средств не меняется. Этот вывод идет вразрез с традиционными взглядами. Обобщим теперь проведенный анализ на случай многих периодов. Допустим, что на начало периода t у государства был долг. Сталкиваясь с бюджетным дефицитом в произвольный момент времени, государство может финансировать его за счет выпуска государственных облигаций. Однако к концу рассматриваемого периода времени F [t, F] оно должно погасить все сделанные ранее долги, включая процентные выплаты по ним.
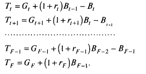
Сторонники традиционной точки зрения опровергают утверждение о нейтральности долга для экономики. Критика рикардианского подхода с их стороны основана на доказательствах невыполнимости в действительности его ключевых предпосылок относительно поведения потребителей. Так, наиболее часто подвергаются сомнению предпосылки о рациональности потребителей, совершенном предвидении, неискажающих налогах и совершенстве финансового рынка.[4] 2.3. Потребители и будущие налоги Сущность рикардианской точки зрения заключается в том, что при выборе уровня затрат на потребление люди оценивают размеры будущих налогов исходя из величины государственного долга. Но насколько предусмотрительны потребители? Сторонники традиционной точки зрения на государственный долг считают, что размер будущих налогов не оказывает большого влияния на текущее потребление, как это предполагается рикардианским подходом. При этом они приводят следующие аргументы: Близорукость Экономисты, придерживающиеся рикардианской точки зрения на бюджетно-налоговую политику считают, что люди среди множества возможных решений, например, о соотношении между потреблением и сбережением в распределении дохода, способны выбрать оптимальное. Такие потребители определяют размеры будущих налогов на основании информации о долгах, которые правительство делает в настоящее время. Таким образом, рикардианская точка зрения основывается на том, что люди обладают достаточными знаниями и способны заглядывать в будущее. Один из возможных аргументов в пользу традиционной точки зрения на снижение налогов заключается в том, что люди оценивают лишь ближайшую перспективу, поскольку они не полностью осознают, к каким последствиям может привести дефицит государственного бюджета. Пусть некий потребитель основывается на предположении, что будущие налоги будут такими же, как и существующие. Этот человек не принимает в расчёт будущие изменения налогов, связанные с текущей государственной политикой. При финансируемом за счёт займов снижении налогов этот человек будет считать, что его постоянный доход возрастает, даже если это на самом деле не так. Снижение налогов, поэтому, вызывает рост потребления и сокращение национальных сбережений. Ограничения по заимствованию Рикардианская точка зрения на роль государственного долга основывается на гипотезе постоянного дохода. В соответствии с ней, потребление зависит не только от размеров текущего дохода, но и от уровня постоянного дохода, который включает оба вида дохода: текущий и ожидаемый в будущем. Согласно рикардианским взглядам, при финансируемом за счёт займов снижении налогов текущий доход увеличивается, но постоянный доход и уровень потребления остаются неизменными. Сторонники традиционного взгляда на государственный долг полагают, что гипотеза постоянного дохода не вполне правильна, поскольку существуют ограничения по заимствованию для потребителей. При наличии таких ограничений человек может потреблять лишь в пределах его текущего дохода. Размер потребления для него в большей мере определяется текущим, а не постоянным доходом; финансируемое за счёт займов снижение налогов приводит к увеличению текущего дохода и потребления, несмотря на то, что будущий доход снижается. По существу, когда правительство снижает текущие и повышает будущие налоги, оно тем самым как бы предоставляет плательщику налогов заём. Тем, кто хотел бы получить заём, но не смог этого сделать, снижение налогов даёт средства на потребление. Будущие поколения Третий аргумент в пользу традиционной точки зрения заключается в том, что потребители ожидают, что предполагаемые будущие налоги придётся платить не им, а следующим поколениям. Предположим, например, что государство сегодня снижает налоги. Выпускает рассчитанные на 30 лет облигации для финансирования бюджетного дефицита, а затем через 30 лет поднимает налоги для выплаты займа. В этом случае государственный долг представляет собой средство перераспределения богатства следующего поколения налогоплательщиков (которому придётся платить повышенные налоги). В результате такого перераспределения ресурсы нынешнего поколения возрастают, и оно увеличивает потребление. По существу, финансируемое за счёт займов снижение налогов стимулирует потребление. Поскольку оно даёт нынешнему поколению возможность увеличить потребление за счёт следующего поколения. Экономист Роберт Барро приводит остроумный контраргумент в поддержку рикардианской позиции. Он считает, что поскольку будущие поколения являются детьми и внуками нынешнего поколения, то не надо считать их независимыми экономическими агентами. Наоборот, нынешнее поколение заботится о будущих поколениях. Согласно позиции Барро, в действительности решения принимаются не отдельным лицом, которое живёт ограниченное число лет, а семьёй, которая существует неопределённо долго. Другими словами, человек решает сколько ему потреблять. Исходя не только из своего собственного дохода, но и принимая во внимание будущие доходы членов своей семьи. Финансируемое за счёт займов снижение налогов может привести к увеличению доходов отдельного лица, который оно получает на протяжении жизни, не увеличивая, однако, постоянный доход его семьи. Наоборот, полученные за счёт снижения налогов дополнительные средства человек направляет не на потребление, а на сбережения. Чтобы оставить их в наследство своим детям, которые будут платить повышенные налоги. В общем, дебаты между сторонниками двух точек зрения всё ещё продолжаются.[6] 3. ПРОБЛЕМЫ ГОСУДАРСТВЕННОГО ДОЛГА РФ Государственный внутренний долг РФ - долговые обязательства Правительства РФ, выраженные в валюте РФ, перед юридическими и физическими лицами, если иное не установлено законодательными актами РФ Государственный внутренний долг РФ обеспечивается всеми активами, находящимися в распоряжении Правительства РФ. Долговые обязательства могут быть выражены в трех формах: кредитов, получаемых государством в лице Правительства РФ; государственных займов, осуществляемых посредством выпуска ценных бумаг от имени Правительства РФ; других долговых обязательств, гарантированных Правительством РФ (например, долговых обязательств субъектов РФ и органов местного самоуправления).Государственный внутренний долг РФ состоит из задолженности прошлых лет и вновь возникшей задолженности. Долговые обязательства бывшего СССР включаются в государственный внутренний долг.[3] На 1.05.2010г. внутренний долг РФ составляет 2 180 793,859 млн. руб. Внешний долг России — обязательства, возникающие в иностранной валюте. Общий внешний долг России вырос и составил 473,7 млрд. долл. на 1.04.2010г. Внутренний долг, или долг государства перед своими же гражданами, означает внутренний трансферт между ними в пределах своей страны. Внешний же долг является чистым бременем для экономики, так как выплачивается иностранцам и поэтому может рассматриваться как чистый трансферт из страны (внешний трансферт). Кроме того, внешний долг не может быть погашен с помощью денежного финансирования, так как исчисляется в иностранной валюте. Это устраняет стимул к использованию эмиссионного способа погашения долга. С точки зрения теории в наиболее общем смысле источником выплат по долгу является ВВП страны, исчисляемый в национальной валюте. Входящие в ВВП доходы страны от международной деятельности, выраженные в показателе чистого экспорта (сальдо торгового баланса), и внутренние доходы страны представляют собой источники поступлений в государственный бюджет. Выплаты как по внешнему, так и по внутреннему долгу происходят в действительности из первичного профицита бюджета. Однако потенциальным ресурсом для покрытия внешней задолженности является положительное сальдо счета текущих операций. Если не брать в расчет международную помощь, чистые трансферты из-за границы и доходы от собственности за рубежом, то положительное сальдо торгового баланса является единственным источником выплат по внешнему долгу. Платежеспособность — это долгосрочная концепция, оценивающая не только текущее финансовое положение заемщика, но и его способность выплачивать долги в будущем. Для этого необходимо иметь долгосрочный прогноз будущих доходов и состояния ресурсной базы. Данное обстоятельство сильно усложняет оценку способности страны выплачивать долги, поскольку неизбежны ошибки в долгосрочных прогнозах относительно внутренней экономической ситуации и мировой экономической конъюнктуры. Однако оценка динамики показателей платежеспособности по ретроспективным статистическим данным может также быть полезна для анализа усилий страны по улучшению платежеспособности.[9] В отличие от моделей управления долгом модели платежеспособности исследуют возможности выплаты долга по отношению к накопленной величине долга, вне зависимости от его конкретной временной структуры, и, как правило, предполагают полное доверие к государству-заемщику. Управление непосредственно долговыми обязательствами не рассматривается в качестве инструмента платежеспособности. Накопленный долг выступает как заданный параметр при изучении вопросов достижения платежеспособности за счет остальных факторов. Для выработки более серьезных подходов к анализу условий платежеспособности бюджета, ключевую роль играют следующие факторы : - инфляция – как потенциальный способ снижения реального объема государственного долга; - масштаб и действенность эффектов вытеснения в краткосрочном и долгосрочном периодах; - база экономической политики и трудности реализации этой политики; - стратегический выбор при решении о сокращении дефицита, а именно скорость и методы этого сокращения, а также их связь с экономической ситуацией; - взаимодействие между текущими, настоящими или ожидаемыми стратегиями бюджетной политики и динамика потребления; - способы финансирования государственного долга. Выпуск государственного долга (накопленного объема займов государства) является следствием превышения государственных расходов над доходами (иными словами, дефицита бюджета) в течение определенного периода. Зато в случае положительного сальдо доходов и расходов, размер этого сальдо эквивалентен объему государственной задолженности. Бюджетные дефициты и бюджетная политика: базовые определения. Дефицит государственного бюджета в момент времени, t, определяется следующим образом:
где Dt – дефицит, Gt – реальные государственные расходы, Tt – реальные налоги, Bt – государственный долг, Pt – цена товаров, r – номинальная ставка процента. Таким образом, динамика государственного долга описывается следующим уравнением :
где Bt+1 – объем долга в конце периода t (для простоты предполагается, что r постоянна). Часть налогов связана с текущей производственной деятельностью, что отражается следующим образом:
где Yt –объем производства,
a – ставка налогообложения текущего производства. На основании вышеуказанных уравнений можно вывести следующее выражение:
(где и
представляющее собой структурный дефицит (объем дефицита в экономике, характеризующейся полной занятостью). Начальное уравнение бюджетного ограничения правительства выглядит следующим образом:
где Bt – объем государственного долга, Bt-1 – объем государственного долга в начале периода, Gt – первичные государственные расходы (то есть объем расходов без учета обслуживания государственного долга), Tt – государственные доходы, r– номинальная ставка процента, p - темп инфляции. Если предыдущее уравнение представить в виде отношений к ВВП, принять за g реальный темп роста экономики, представить Tt = tYt + t’rBt-1 (где t и t’ – ставки налогообложения) и Dt = G - tYt , где Dt – первичный дефицит в момент времени t, и dt - отношение первичного дефицита к ВВП, можно получить уравнение (9):
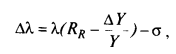
Платежеспособность государства отражается совокупностью ограничений на асимптотическую величину задолженности или ожидаемых бюджетных сальдо. Соответствующее межвременное бюджетное равновесие определяет набор допустимых уровней расходов и доходов, при которых равновесие стабильно. В англо-саксонской литературе эти различные условия часто получают название ограничения устойчивости дефицитов. Ввиду того, что эти ограничения описываются эквивалентными алгебраическими выражениями, устойчивость является точным отражением платежеспособности, рассматриваемой, скорее, с двойственной точки зрения относительно осуществления выбора государственных доходов и налогов, чем решения о выпуске займов. Эти два выражения являются синонимами и отражают идею об отказе государства постоянно рефинансировать государственный долг посредством выпуска новых займов, одновременно осуществляя выплаты подписчикам ценных бумаг и финансируя бюджетный дефицит. Отсюда можно последовательно определить понятия стабильности, платежеспособности и устойчивости.[6] Стабильность государственного долга (по отношению к ВВП) достигается при выполнении следующего условия:
Ключевым параметром в понятии стабильности является соотношение ставки процента и темпа роста экономики. Если темп роста был выше ставки процента, стабилизация государственного долга могла бы быть достигнута при первичном дефиците, и если бы темп роста был равен ставке процента, госдолг был бы стабилен. Постоянный рост объема государственного долга по отношению к ВВП означает постоянный рост первичного сальдо, что в большой степени является иллюзией. Этим объясняются многочисленные попытки определения максимальной величины первичного сальдо, то есть одновременного выяснения максимальной величины уровня налогообложения и максимального размера государственных расходов.В соответствии с условием платежеспособности государства, выпуск государственных займов с целью финансирования государственных расходов не является способом сокращения текущих налогов, а, скорее всего, механизмом распределения платежей во времени. Государственный долг (заем) только лишь временно заменяет текущие налоги; последние налоги будут неизбежно заплачены в будущем с целью обслуживания долга и выполнения межвременного бюджетного ограничения. Следовательно, государственный долг представляет собой отсрочку налоговых платежей во времени, то есть способ перекладывания налогового бремени с нынешнего поколения на будущие. Однако следует признать, что государство не может все время увеличивать налоги или сокращать расходы с целью следования бюджетным принципам и рамкам, соответствующим демократическим системам, вследствие чего соблюдение ограничения платежеспособности представляется затруднительным. Анализ межвременных ограничений платежеспособности играет важную роль при оценке состояния бюджетной политики и ее надежности. Однако из вышесказанного следует, что платежеспособность не является достаточным условием определения единственного бюджетной композиции. Предположим, что для данной траектории роста производства и реальной ставки процента существует заданная траектория для сеньоража, рекуррентных налогов и расходов, при которых достигается платежеспособность. Следовательно, при тех же предпосылках, рост доходов сегодня, в совокупности с достаточно существенным сокращением будущих расходов в будущем, также гарантирует платежеспособность. Аналогичным образом, сокращение налогов в текущем периоде, в сочетании с достаточно высоким темпом их роста в будущем, способствует достижению платежеспособности правительства, что объясняется важностью текущей стоимости доходов и расходов государства. Отсутствие единства в данной ситуации означает, что у правительств есть определенная степень свободы как выбора инструментов бюджетной политики с целью достижения платежеспособности, так и момента использования этих инструментов. У правительств имеется также определенная степень свободы в том случае, когда текущая и планируемая политики нарушают условие платежеспособности. Основными вариантами политики, которые могут применяться (индивидуально или в сочетании) для ликвидации этого нарушения, являются следующие: - сокращение текущих и будущих первичных дефицитов либо за счет сокращения расходов, либо за счет увеличения налогов и неналоговых доходов; - увеличение текущих и будущих доходов от сеньоража. Однако возможность применения этого метода для восстановления платежеспособности ограничена. Если экономика находится на убывающем сегменте кривой Лаффера для сеньоража, попытка увеличить доходы от сеньоража путем увеличения темпа роста номинального запаса денежной массы приведет к более высокой инфляции и к резкому снижению денежного спроса, сокращая, таким образом, доход; - объявление полного дефолта или наложение одностороннего моратория на платежи по внутреннему и внешнему долгу. Однако, закрывая доступ на рынки капиталов и/или увеличивая премию за риск, входящую во внутренние реальные ставки процента, можно только усилить расхождение с условием платежеспособности. На практике анализ платежеспособности во многом затруднен. В частности, сложно провести оценку текущих величин доходов от сеньоража и будущих первичных бюджетных дефицитов. Проблематичной также представляется оценка реальной ставки процента и темпа роста производства на достаточно длинном временном интервале. Причиной этому является необходимость учета взаимосвязей между этими переменными и первичным бюджетным дефицитом с целью избежания смещений результатов. Расчет первичного бюджетного сальдо, необходимого для достижения платежеспособности, не требует знания того, соответствует ли бюджетная политика задачам экономического роста и другим целям политики. Не менее важным является тот факт, что условие платежеспособности накладывает лишь слабые ограничения на бюджетную политику. Оно неприменимо к экономике, в которой реальная ставка процента ниже темпа роста выпуска. В этом последнем случае первичный профицит не является необходимым условием для достижения платежеспособности, и государство может иметь любой уровень первичного дефицита государственного бюджета, соответствующий устойчивому отношению долга и объема производства. В действительности, последнее соотношение может расти сколь угодно долго при условии, что темп роста долга не превышает темп роста реальной процентной ставки. В реальности, однако, величина этого соотношения может оказывать существенное влияние на интерпретацию частным сектором обещания правительства соблюдать свое межвременное бюджетное ограничение, а также на возможность его соблюдения. Пока частный сектор ожидает, что государство будет иметь серию первичных профицитов бюджета за определенный период в будущем, это ограничение будет выполняться. Однако, поскольку уровень долга продолжает расти, частные экономические агенты могут отнестись скептически к возможности правительства выполнять свое бюджетное ограничение; эта потеря доверия может привести к росту ставок процента. Кроме того, чем больше отношение величины задолженности к объему выпуска, и чем больше период, на который растянуты мероприятия в рамках бюджетной политики, тем больше будет величина первичного профицита, необходимого для выполнения условия кредитоспособности. Поскольку величина налогового бремени является ограниченной (в особенности в связи с дестимулирующим влиянием на стимулы и распределение дохода), правительства сталкиваются с ограничением на допустимое увеличение уровня дохода. Итогом этого может стать неадекватность серии бюджетных политик, призванных к достижению условия платежеспособности. НейтральностьВведем возможность денежного финансирования дефицита бюджета в ограничение правительства:
где M – объем денег (не приносящих процент), выпущенный с целью финансирования дефицита бюджета. В теории речь идет о денежных активах, не приносящих вознаграждения в виде процентов, авансах Центрального банка бюджету; на практике это все больше краткосрочные ценные бумаги, выпущенные казначейством и находящиеся в банках или инвестиционных фондах. В начальный момент времени, t=0, потребители осуществляют свои расходы в зависимости от их дисконтированного посленалогового дохода, R0 , равного:
где Yt – доход до налогообложения. Бюджетные ограничения потребителей выглядят следующим образом: Период 0
: Период 1
: и т.д. и, конечно, Рост количества денег за период снижает потребление. Действительно, когда дефицит не финансируется за счет выпуска государственного долга, потребители теряют соответствующие проценты, рассчитываемые по ставке r. Применение межвременного ограничения кредитоспособности к уравнению (15) требует, чтобы:
где M0 – первоначальный запас денег. Необходимо отметить, что в данном случае деньги представляют собой государственный долг, который должен быть погашен. Если в конечном итоге печатаются деньги, это должно быть компенсировано за счет налогов. Однако, денежная эмиссия означает потерю процентных доходов потребителями. Сравнивая выражение для R0 и (13), можно заметить, что выполнение условия кредитоспособности в любом случае требует роста дохода R0 на величину p0 DG0 . Таким образом, иллюстрируется нейтральность политики финансирования государственных расходов: эффект, оказываемый на потребление, является идентичным вне зависимости от того, финансируются ли государственные расходы путем увеличения налогов, выпуска государственных ценных бумаг или денежной эмиссии. Существуют, однако, различные ситуации, когда свойство нейтральности не выполняется, такие как: - ограничения ликвидности или займа для потребителей; - различные ставки процента для потребителей и для государства; - разные временные горизонты потребителей и государства; - нерациональность потребителей. Спрос на деньги, первичное фискальное сальдо, реальная ставка процента и темп экономического роста, взаимно определяемые другими переменными, являются центральными в анализе погашаемости государственного долга. При заданном постоянном мультипликаторе денежной базы (так называемой «high-poweredmoney», то есть в переводе с английского, «сильные деньги»), реальный спрос на денежную базу изменяется в том же направлении, что и спрос на деньги. Вследствие этого, изменение ожидаемых издержек от держания реальных кассовых остатков, изменение богатства (постоянного дохода) или изменение режима валютного курса, влияя по всей вероятности на реальный спрос на деньги, влияет также на запас реальной денежной базы. Высокие ставки процента по государственному догу также должны быть предметом глубокого исследования. Использование внешних займов многими странами Латинской Америки преследует цель нейтрализации воздействия потоков капиталов на реальный обменный курс. Напротив, эта тенденция может нарушить условие погашаемости их долгов ввиду влияния на реальную ставку процента и сокращения темпа экономического роста (поскольку высокие ставки процента замедляют экономическую активность). Первичное фискальное сальдо представляет собой ключевую переменную при расчетах степени погашаемости долга. Постоянный рост этого профицита увеличивает свойство погашаемости при неизменных прочих переменных. Кроме того, постоянное увеличение размера первичного фискального профицита посредством сокращения государственных расходов окажет ощутимый эффект на погашаемость долга, так как оно - сокращает реальную ставку процента, вызывая эффект вытеснения; - стимулирует рост дохода (повышая эффективность аллокации ресурсов и сокращая ставки процента); - увеличивает спрос на денежную базу (снижая инфляционные ожидания). Другой проблемой, которую нельзя оставлять без внимания, является корректное измерение величины государственного долга. В случае операций по международным обменам, адекватным является подход, предполагающий вычитание объема международных резервов из объема государственного долга–брутто, при условии, что проценты по этим резервам не отражаются в первичном профиците. Анализ устойчивости долга существенным образом усложняется вследствие существования нефинансовых активов, что иногда делает невозможной оценку величины задолженности. Существуют два основных пути решения: - усиление административного контроля за финансовыми потоками, дополненное ужесточением законодательства и осуществление системных институциональных изменений, создающих благоприятный инвестиционный климат. Первый путь - это осуществление административных мер против стандартных схем нелегального вывоза капитала - занижения экспортных цен, невозврата валютной выручки, фиктивных импортных контрактов с авансовой оплатой и завышенными ценами, коррупции на таможне, расчетов через оффшоры. Второй путь для России предпочтительнее. Меры по укреплению доверия к российской экономике должны включать в себя: улучшение налоговой системы и налогового администрирования; сбалансированность бюджета; обеспечение надежной работы банковской системы; защиту прав кредиторов и инвесторов; прозрачность финансовой отчетности всех предприятий и организаций; борьба с преступностью и коррупцией, резкое улучшение работы прокуратуры и судебной системы; строгое соблюдение федеральных законов на всей территории РФ, прекращение произвола и избирательных привилегий со стороны региональных и местных властей. [3] Россия может продержаться максимум год без рефинансирования и реструктуризации своих внешних долгов, без новых займов на погашение старых, списания части долга и рассрочки платежа. Федеральный бюджет не приходится рассматривать в качестве основного гаранта платежеспособности, поскольку нагрузку в 12-15 млрд. долл. в год он не выдержит. В противном случае все надежды на экономический рост, за счет которого и может пополняться доходная часть бюджета, можно оставить. Другие факторы платежеспособности тоже не работают. Следовательно - нужно вести переговоры до победного конца. ЗАКЛЮЧЕНИЕ В результате проведенной работы рассмотрены понятия бюджетного дефицита и государственного долга. Определены причины устойчивого бюджетного дефицита и увеличения государственного долга. Рассмотрены точки зрения на проблему государственного долга, а именно традиционная и рикардианская. Рассмотрены модели платежеспособности и проблемы государственного долга РФ. БИБЛИОГРАФИЧЕСКИЙ СПИСОК 1. Агапова Т.А., Серегина С.Ф. Макроэкономика: Учебник/Под общей ред. д.э.н., проф.А.В.Сидоровича; МГУ им. М.В.Ломоносова. – 6-е изд., стереотип. – М.: Издательство «Дело и Сервис», 2004. – 448 с. 2. Вавилов А.П.. Внутренние проблемы внешнего долга/ А.П. Вавилов// КоммерсантЪ.- 2004.-№59.-с.3. 3. Воронин Ю.С. Управление государственным долгом/ Ю.С. Воронин// Экономист.-2006-№1.-с.58-67. 4. Гальперин В. М., Гребенников П. И., Леусский А. И., Тарасевич Л. С. Макроэкономика: Учебник. Под общей ред. Тарасевича Л. С. - Издательство СПбГАЭФ, 1997. С.399. 5. Долан Э. Дж. и др. Деньги, банковское дело и денежно-кредитная политика/ Долан Э. Дж., Кэмпбелл К.Д., Кэмпбелл Р.Дж. / Пер. с англ. В. Лукашевича и др.; Под общ.ред. В. Лукашевича.- М.: Туран,, 1996-448. 6. Киселева Е.А. Макроэкономика. Конспект лекций. 7. Макконэл К.Р., Брю С.И. Экономика: принципы, проблемы и политика, изд. – Киев, 1993г. –785с. 8. Мэнкью Н. Г. Макроэкономика. Пер. с англ. - М.: Издательство МГУ, 1994. С. 615-631. 9. Туманова Е.А., Шагас Н.Л. Макроэкономика. Элементы продвинутого подхода: Учебник. — М.: ИНФРА-М, 2004. — 400 с. — (Учебники экономического факультета МГУ им. М.В. Ломоносова). 10. Фишер С. и др. Экономика: пер. с англ. – М.: Дело, 1993г.- 829с. |

(1)

(2)


(7)
(9)
(10)