Реферат: Определение уровня шума и вибрации в производственных помещения
|
Название: Определение уровня шума и вибрации в производственных помещения Раздел: Рефераты по безопасности жизнедеятельности Тип: реферат | |||||||||||||||||||||||||||||||||||||||||||||||||||||||||||||||||||||||||||||||||||||||||||||||||||||||||||||||||||||||||||||||||||||||||||||||||||||||||||||||||||||||||||||||||||||||||||||||||||||||||||||||||||||||||||||||||||||||||||||||||||||||||||||||||||||||||||||||||||||||||||||||||||||||||||||||||||||||||||||||||||||||||||||||||||||||||||||||||||||||||||||||||||||||||||||||||||||||||||||||||||||||||||||||||||||||||||||||||||||||||||||||||||||||||||||||||||||||||||||||||||||||||||||||||||||||||||||||||||||||||||||||||||||||||||||||||||||||||||||||||||||||||||||||||||||||||||||||||||||||||||||||||||||||||||||||||||||||||||||||||||||||||||||||||||||||||||||||||||||||||||||||||||||||||||||||||||||||||||||||||||||||||||||||||||||||||||||||||||||||||||||||||||||||||||||||||||||||||||||||||||||||||||||||||||||||||||||||||||||||||||||||||||||||||||||||||||||||||||||||||||||||||||||||||||||||||||||||||||||||||||||||||||||||||||||||||||||||||||||||||||||||||||||||||||||||||||||||||||||||
2 Определение уровней шума и вибрации в производственных помещениях. Выбор средств защиты от шума и вибрации. 2.1 Выбор средств защиты от шума Источниками шума и вибрации на машиностроительных предприятиях являются станочное, кузнечно-прессовое оборудование, энергетические установки, компрессорные и насосные станции, вентиляционные установки, стендовые испытания двигателей внутреннего сгорания и др. Уровень шума на рабочих местах в производственных помещениях, возникающих от этих источников, обычно значительно превышает допустимые значения. Поэтому при проектировании производственных процессов необходимым условием является определение ожидаемых уровней шума на рабочих местах с помощью акустического расчёта и разработки на его основе средств и методов защиты от шума. Акустический расчёт для проекта шумоглушения должен производится на стадии технического проекта по комплексу сооружений или отдельному объекту. Акустический расчёт включает: 1) выявление источников шума и определение их шумовых характеристик; 2) выбор точек в помещениях или на территориях на которых производится акустический расчёт; 3) определение допустимых уровней звукового давления L доп для расчётных точек; 4) выявление путей распространения шума от источников до расчётных точек; 5) определение ожидаемых уровней звукового давления 6) определение требуемого снижения уровней звукового давления 7) 8) расчет и проектирование, выбор типа и размеров шумоглушащих, звукопоглощающих и звукоизолирующих конструкций (глушителей, экранов, звукопоглощающих облицовок, звукоизолирующих кожухов и т.д.). 2.1.1 Выявление источников шума. В начале расчета необходимо выявить все источники шума. Если поток звуковой энергии от машины может распространяться по нескольким направлениям, необходимо иметь шумовые характеристики для всех этих направлений. Шумовые характеристики некоторых источников шума представлены в Приложении 1. Шумовыми характеристиками источников шума являются уровни звуковой мощности 2.1.2 Определение допустимых уровней в расчётных точках. Допустимые уровни звукового давления, дБ в октавных полосах частот и эквивалентные уровни звука, дБА определяются в соответствии с ГОСТ 12.1.003 – 83 или СН 2.2.4/2.1.8.562 – 96 с помощью таблицы 2. Таблица 2 - Допустимые уровни звукового давления
Нормативные требования по уровням шума в жилых и общественных зданиях установлены для различных категорий: категория А - обеспечение высококомфортных условий; категория Б - обеспечение комфортных условий; категория В - обеспечение предельно допустимых условий. Категорию здания устанавливают техническим заданием на проектирование. 2.1.3 Определение ожидаемых уровней звукового давления в расчётных точках. Октавные уровни звукового давления L (дБ) определяются в зависимости от взаимного расположения расчётных точек и источников шума для каждой из восьми октавных полос со средне метрическими значениями 63, 125, 250, 500, 1000, 2000, 4000 и 8000 Гц. Ниже рассматриваются типичные случаи для машиностроительных предприятий [1]. При акустических расчетах для источников шума, излучающих шум в окружающую атмосферу, расчетные точки выбирают на расстоянии 2 м от плоскости окон ближайших зданий, ориентированных в сторону источников шума, на высоте 1,2 м от поверхности земли. На территории промышленной площадки обычно выбираются две или три расчетные точки. Например, одна – около ближайшего лабораторно-конструкторского или административного здания, другая – около ближайшего жилого здания, третья – около окна тихого помещения того же здания. Если шум излучается в помещение, расчетные точки выбираются внутри помещения. Внутри помещений выбирают две точки: на рабочем месте, расположенном в зоне действия отраженного звука, и в зоне действия как отраженного так и прямого звука. В обоих случаях расчетные точки должны быть расположены на уровне уха работающего ( на высоте 1,2 – 1,5 м). Если расчетные точки и источники шума расположены на территории (рис. 1), то ожидаемые уровни звукового давления рассчитываются по формуле
где LPi - уровень звуковой мощности рассматриваемого источника шума, дБ; Фi – фактор направленности источника шума, ri - расстояние от источника шума до расчетной точки, м; i- номер источника; βа – затухание звука в атмосфере, дБ/км, принимается по таблице 3.
1-5 номера источников шума, r - расстояние от источника шума до расчетной точки. Рисунок 1- Схема расположения расчетной точки РТ и источников шума ИШ. Таблица 3 – Затухание звука в атмосфере.
При расстоянии ri ≤50 м затухание в атмосфере не учитывается. Если нет специальных данных, для источников, расположенных на земле или на крыше здания, и для выходных отверстий газодинамических установок принимают Фi =2.Если источники шума расположены в здании, а расчетные точки – на территории и шум в атмосферу проникает через ограждающие конструкции (рис.2), ожидаемые уровни звукового давления в расчетной точке определяются отдельно для каждого элемента ограждения (стены, окна, двери и т.д) через которое проникает шум, по формулам:
где
1, 2 номера помещений с источниками шума, r - расстояние от центра излучающего шум ограждения до расчетной точки. Рисунок 2- Схема расположения расчетных точек РТ и источников шума ИШ. Таблица 4 – Таблица сложения уровней звуковой мощности или звукового давления
Постоянную помещения В определяют умножением постоянной помещения на среднегеометрической частоте 1000 Гц (В1000 ) на частотный множитель μ. Постоянная помещения В1000 определяется по графику, приведенному на рис.3. выбор индекса прямой (а-г) при пользовании графиком выполняется по таблице 5. Значения частотного множителя μ приведены в таблице 6.
Рисунок 3 – График для определения постоянной помещения. Таблица 5 – Выбор индекса прямой на рисунке 3.
Таблица 6 – Частотный множитель μ.
Если источники шума расположены в смежном с изолируемым помещением, а шум проникает в изолируемое помещение через ограждающие конструкции (рис. 4), то ожидаемые уровни звукового давления Li в расчетной точке определяют по формулам:
где
![]() Если источники шума расположены на прилегающей к изолируемому территории, а шум проникает через ограждающие конструкции в изолируемое помещение (рис 5), то ожидаемые уровни звукового давления Li в расчетной точке определяют по формулам:
где Lс - суммарный октавный уровень звукового давления, создаваемый всеми рассматриваемыми источниками шума в промежуточной расчетной точке А, расположенной на расстоянии 2 м от ограждающей конструкции изолируемого помещения, дБ (определяется по табл. 4); Lк - октавный уровень звукового давления, создаваемый рассматриваемым источником шума в промежуточной расчетной точке А, дБ; LРк - октавный уровень звуковой мощности, излучаемой рассматриваемым источником шума, дБ; rk - расстояние от рассматриваемого источника до промежуточной расчетной точки А, м; Фк - фактор направленности, принимается согласно шумовой характеристики источника, при отсутствии данных Ф=2; βa – затухание звука в атмосфере, дБ/км (таб.3); Ви постоянная изолируемого помещения в данной октавной полосе частот, м2 ; Si – площадь рассматриваемого ограждения или элемента ограждения, через которое шум проникает в изолируемое помещение, м2 ; Ri – звукоизолирующая способность рассматриваемого ограждения или элемента ограждения, через которое шум проникает в изолируемое помещение, дБ; n –общее число принимаемых в расчет источников шума.
r - расстояние от центра излучения до промежуточной расчетной точки Рисунок 5 - Схема расположения расчетной точки РТ и источников шума ИШ. Если расчётная точка находится в помещении с одним источником шума, расположенный на полу или на стене (рис 6), то ожидаемые уровни звукового давления определяются по формуле
где
Рис. 6 План помещения и схема расположения источника шума и расчётной точки. между акустическим центром (АЦ) источника шума и расчётной точкой к максимальному габаритному размеру
где
Рисунок 7 - График для определения коэффициента Если расчётная точка находится в помещении с несколькими источниками шума (рис. 8).
Рисунок 8 - Схема расположения источников шума и расчётной точки. Звуковое поле, создаваемое источником шума, в замкнутом объеме определяется как прямым звуком, излучаемым непосредственно самим источником, так и отраженным от ограждающих объем поверхностей. Зона отраженного звука определяется величиной предельного радиуса rпр . Предельным радиусом условно называют расстояние от источника шума, на котором уровень звукового давления отраженного звука равен уровню звукового давления прямого звука, излучаемого данным источником. Величину предельного радиуса для источников шума, расположенных на полу, определяют по формулам: -когда в помещении находится один источник шума
-когда в помещении находится n одинаковых источников шума
-когда в помещении находится n разных источников шума
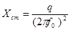
где В8000 – постоянная помещения на частоте 8000 Гц, м2 , LPi – уровень звуковой мощности рассматриваемого источника шума на частоте 8000 Гц, дБ. Частота 8000 Гц берется потому, что ей обычно соответствует максимальное значение предельного радиуса по сравнению с другими частотами. Октавные уровни в зоне прямого и отраженного звука определяются по формуле
где Если в помещении находится несколько одинаковых источников шума, то ожидаемые уровни звукового давления от всех источников шума определяются по формуле
где В зоне отраженного звука по формуле:
2.1.4 Расчет требуемого снижения уровня звукового давления в расчётных точках. Требуемое снижение уровня звукового давления в расчётной точке от одного источника шума определяется как разность между ожидаемым уровнем звукового давления в расчётной точке и допускаемым уровнем
Если в расчётную точку попадает шум от нескольких источников, то рассчитываются уровни звукового давления каждого источника. Для одинаковых источников, отличающихся по уровням менее чем на 10дБ, требуемое снижение уровней звукового давления
где Если источники шума отличаются друг от друга по октавным уровням более чем на 10дБ, требуемое снижение уровней звукового давления в расчётной точке определяется по формулам: а) для каждого из источников с более высокими уровнями
где б) для каждого из остальных источников
где n – общее число источников шума. 2.1.5 Выбор мероприятий по снижению шума. Выбор мероприятий для обеспечения требуемого снижения шума определяется особенностями производства и оборудования, величиной превышения допустимых уровней звукового давления, характером шума и другими факторами [2]. Наибольший эффект по снижению шума на пути распространения звуковой волны с помощью звукоизоляции, экранирования, звукопоглощения, расстояния наблюдается для высокочастотных звуков. Звукоизоляция обеспечивает снижение шума на 25 – 30дБ, звукопоглощение – на 6 – 10дБ, а удвоение расстояния от источника шума до рабочего места уменьшает уровень шума примерно на 6дБ. Чтобы уменьшить шум, излучаемый промышленным оборудованием в окружающую атмосферу, рекомендуются следующие мероприятия: - применение таких материалов и конструкций при проектировании кровли, наружных стен, фонарей остекления, ворот и дверей, которые могут обеспечивать требуемую звукоизоляцию; использование специальных ворот и дверей с требуемой звукоизоляцией, уплотнение по периметру притворов ворот, дверей и окон, звукоизоляция технологических коммуникаций; - устройство специальных звукоизолированных боксов и звукоизолирующих кожухов при размещении шумящего оборудования на территории промышленной площадки; - применение экранов, препятствующих распространению звука в атмосфере от оборудования, размещенного на территории промышленной площадки; - устройство глушителей шума в газодинамических трактах установок, излучающих звук в атмосферу (испытательных боксов авиационных двигателей, компрессоров и т.д.), звукоизоляционная облицовка каналов, излучающих шум в атмосферу. Чтобы уменьшить излучение шума в изолируемое помещение, рекомендуются следующие мероприятия: - применение необходимых материалов и конструкций при проектировании перекрытий, стен, перегородок, сплошных и остекленных дверей и окон, кабин наблюдения, обеспечивающих требуемую звукоизолирующую способность; - применение звукопоглощающей облицовки потолка и стен или штучных звукопоглотителей в изолируемом помещении; - применение подвесных потолков, виброизоляция агрегатов, расположенных в том же здании; - применение виброизолирующего и вибродемпфирующего покрытий на поверхности трубопроводов, проходящих по помещению, звукоизоляция мест прохода технологических коммуникаций, связывающих шумное и изолируемое помещение; - использование глушителей шума в системах механической вентиляции и кондиционирования воздуха. Чтобы уменьшить шум в помещении с источниками его излучения, используются следующие строительно-акустические мероприятия: 1. кабины наблюдения, дистанционного управления и специальные боксы для наиболее шумного оборудования; 2. звукоизолирующие кожухи, акустические экраны и выгородки; 3. вибродемпфирующие покрытия на вибрирующие поверхности; 4. звукопоглощающие облицовки потолка и стен или штучные звукопоглотители; 5. звукоизолированные кабины и зоны отдыха для обслуживающего персонала. 2.1.6 Звукоизоляция Требуемую звукоизолирующую способность от воздушного шума рассчитывают в октавных полосах со среднегеометрическими частотами 63, 125, 250, 500, 1000, 2000, 4000, 8000 Гц. Перед расчетом определяют общее количество ограждений или элементов ограждений (стены, перекрытия, окна, двери и т.п.), через которые шум может проникнуть в изолируемое помещение или в атмосферу. Требуемую звукоизолирующую способность рассчитывают отдельно для каждого элемента ограждения по следующим формулам: а) в случае проникания шума из помещения с источниками шума в смежное изолируемое помещение (рис. 9):
где LРсум
=10 lg б) в случае проникания шума из помещения с источником шума в окружающую атмосферу (рис. 10):
где LРсум
=10 lg
Рисунок 9 - Схема проникания шума в расчетную точку РТ из смежных шумных помещений.
Рисунок 10 – Схема проникания шума из помещения на территорию застройки в) в случае проникания шума из окружающей атмосферы в изолируемое помещение:
где Lсум
=10 lg Приближенный расчет изоляции однослойных ограждений от воздушного шума При ориентировочных расчетах индекс изоляции воздушного шума сплошными однослойными ограждениями может быть рассчитан по формуле:
где т п – поверхностная плотность стены. Для конструкций из бетонов на гипсовом вяжущем плотностью 1200…1300 кг/м3 значения индексов изоляции воздушного шума в формулах 18 и 19 следует увеличивать соответственно на 2,3 и 1,3 дБ. Звукоизоляция двойного ограждения с воздушной прослойкой толщиной 8 –10 см определяется по формуле ΔL=20lg(P1 +P2 ) – 6, дБ где Р1 и Р2 –соответственно вес стенок двойного ограждения в кг/м2 Расчет и построение частотной характеристики звукоизолирующей способности производится в следующем порядке: - определяется средняя поверхностная плотность ограждения, кг/м2 ; - на бланке графика по оси абсцисс которого в логарифмическом масштабе отложены частоты f, а по оси ординат – величины звукоизолирующей способности R ограждения, дБ – строится частотная характеристика звукоизолирующей способности ограждения, состоящая из 4 прямолинейных участков АВ, ВС, СД и ДЕ. для этого по данным таблицы 8 в зависимости от средней поверхностной плотности ограждения находят значения частот fB , fC , fD по которым определяют положения точек B,C и в и соответствующие этим частотам значения RB ,RC и RD . Через точки В и С проводят горизонтальный отрезок ВС. Из точки В вниз проводят прямую АВ с наклоном 6 дБ на октаву. Точки С и Д соединяют прямой линией, имеющей подъем 7,5 дБ на октаву. От точки Д вправо проводят горизонтальную прямую до точки Е, соответствующей частоте 8000Гц. - по полученной кривой определяют значения звукоизолирующей способности R для частот, совпадающих со средними частотами октавных полос. Таблица 8 – Координаты точек В, С и Д для построения частотной характеристики звукоизолирующей способности однослойного ограждения.
Звукоизолирующую способность тонкостенных ограждений из металла, фанеры и других материалов, применяемых для перегородок в шумных цехах, для изготовления звукоизолированных кабин и кожухов экранов, рассчитывают в следующем порядке: - для заданных материала и толщины пластины рассчитывают критическую частоту
где – h толщина ограждения (в расчет берется толщина основного листа без ребер жесткости), м; спр – скорость продольной звуковой волны в пластине, принимается по таблице 9; - на графике, по оси абсцисс которого нанесены частоты в логарифмическом масштабе, а по оси ординат – звукоизолирующая способность в дБ, в пределах расчетного диапазона частот 0,25 fкр , 0,5 fкр , 0,63 fкр , fкр , и 2 fкр . Для полученных частот по данным таблицы 9 определяются соответствующие им значения звукоизолирующей способности R, дБ, которые переносятся на график. - полученные значения ординат соединяют прямыми линиями. На частотах ниже 0,25 fкр проводят прямую со спадом 4 дБ на октаву, на частотах выше 2 fкр с подъемом 8 дБ на октаву. По этой кривой определяют значения R для среднегеометрических частот октавных полос и строят частотную характеристику R в октавных полосах. Таблица 9 – Таблица для построения расчетной кривой звукоизолирующей способности
Область применения этой методики расчета звукоизолирующей способности ограждений ограничивается следующими условиями. 1. минимальный размер однослойной перегородки должен быть во много раз больше длины волны на критической частоте λкр или практически: lмин ≥8λкр (19)
где спр - скорость продольной звуковой волны в пластине (определяется по таблице 9), h- толщина преграды, м, fкр - критическая частота. Нижняя граница расчетного диапазона частот определяется из условий:
из двух значений частоты, рассчитанных по формулам, принимается наибольшее. Наивысшая частота, для которой справедлива предлагаемая методика расчета, зависит от толщины преграды и определяется из условия: fв ≈0,05спр /h. Кабины наблюдения и дистанционного управления, звукоизолированные укрытия . Чтобы защитить от шума обслуживающий персонал, на производственных участках с шумными технологическими процессами или особо шумным оборудованием должны устраиваться кабины наблюдения и дистанционного управления. Такие кабины представляют собой изолированные помещения из обычных строительных материалов. Расчет производят по формулам 13-14. Изоляция шума стеной с дверью или окном:
где Rс – изоляция воздушного шума глухой частью стены; Rо - изоляция воздушного шума окном или дверью; Sс и Sо – площадь соответственно глухой части стены и окна или двери, м2 . Для повышения изоляции шума стеной с дверью или окном следует увеличить изоляцию шума дверью или окном. Требуемая изоляция шума Rт стеной с дверью или окном будет обеспечена, если выбрать
Требуемая звукоизолирующая способность ограждений кабины наблюдения может быть понижена, если применить облицовку свободных внутренних поверхностей кабины звукопоглощающим материалом. При этом увеличивается постоянная помещения В кабины и уменьшается требуемая звукоизолирующая способность ограждений. На аэродромах, в шумных цехах и на производственных участка, где невозможно устроить кабины наблюдения с дистанционным управлением, можно устраивать звукоизолированные укрытия для персонала, не связанного постоянно или временно с работой около шумных стендов или агрегатов. Укрытия могут иметь облегченную конструкцию и изготовляться из сборных металлических панелей. Такие конструкции должны быть обязательно герметизированы резиновыми прокладками и с внутренней стороны иметь звукопоглощающую облицовку толщиной не менее 50 мм. Звукоизолирующие кожухи. Одним из распространенных и эффективных способов снижения шума машин и оборудования, установленных в помещениях или на территории жилой застройки, является устройство на них звукоизолирующих кожухов, полностью закрывающих источники шума, что дает возможность значительно уменьшить шум машин, поскольку устраняет свободное (прямое) распространение звуковых волн. Конструкции применяемых кожухов весьма разнообразны. В зависимости от вида машины, условий ее эксплуатации они бывают стационарными, объемными или разборными, имеют смотровые окна, открывающиеся дверцы для обслуживания, проемы для ввода различных коммуникаций. Звукоизолирующий кожух - это составное ограждение, эффективность которого зависит не только от собственной звукоизоляции его отдельных элементов, но и от их герметичности. Особенно это важно при установке кожуха на машину, работа которой должна проходить при определенных температурах, что вынуждает создавать систему обдува. С этой целью в кожухе делаются отверстия для прохода воздуха, оборудованные глушителями шума, которые должны обеспечить снижение шума не ниже требуемой звукоизоляции стенок кожуха, но не должны обладать излишним аэродинамическим сопротивлением. Наиболее подходящими для этой цели являются щелевидные глушители из звукопоглощающего материала толщиной 50 мм, расположенного о одной или двух сторон щели, ширина которой должна быть соответственно в пределах 10-20 и 20-40 мм. Длина глушителя определяется расчетом, обычно она составляет 500-700 мм. Стенки кожуха выполняются из листовых несгораемых или трудносгораемых материалов (стали, дюралюминия, пластмасс и др.). Внутренняя поверхность кожуха обязательно должна облицовываться звукопоглощающим материалом толщиной 30-100 мм с целью уменьшения плотности звуковой анергии внутри кожуха и, в итоге, дли повышения его эффективности. Стенки кожуха не должны соприкасаться с изолируемой машиной. Требуемая эффективность звукоизолирующего кожуха определяется по формуле
где L - рассчитанный уровень звукового давления в расчетной точке или измеренный уровень, дБ; L доп - допустимый уровень по нормам, дБ. При проектировании необходимо обеспечить такое снижение шума кожухом ΔL кож , которое было бы не меньше требуемой эффективности ΔL кож.тр. Величина ΔL кож общем виде зависит от звукоизоляции стенок кожуха, его размеров, наличия и качества звукопоглощающей облицовки, источника шума и других факторов и приближенно может быть определена по формуле ΔLкож = R +10 lgα , дБ (24) где α - реверберационный коэффициент звукопоглощения выбранной конструкции облицовки внутренней поверхности кожуха, определяемый по табл. 10 или справочным данным; R - звукоизоляция в дБ cтенок кожуха, определяемая графическим способом путем изображения ее в виде ломаной линии. Координаты точек В и С (частоты fB иf С и величина звукоизоляции RB RC ), берутся из табл. 11, наклон отрезка АВ составляет 5 дБ/октава для глухих однослойных конструкций из органического и силикатного стекла и 4 дБ/октава для конструкций из других материалов, наклон отрезка СД - 8 дБ/октава. Таблица 11- Определение координат точек В и С.
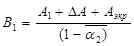
Если расчет по формуле (24) показал, что для принятой конструкции кожуха величина ΔL кож оказалась меньше требуемой ΔL кож.тр. , то необходимо увеличить толщину стенок кожуха, применить другой материал для него или заменить звукопоглощающий материал более эффективным. Звукоизолирующие кожухи следует устанавливать на полу на резиновых прокладках, не допуская соприкосновения элементов кожуха с агрегатом. Если кожух закрывает только наиболее шумную часть агрегата и соединен со станиной или другими элементами источника шума, то даже при наличии виброизолирующих прокладок зависимость между акустической эффективностью кожуха и звукоизолирующей способностью его стенок будет значительно ниже и может быть определена только экспериментальным путем. Во всех случаях, когда на кожух могут передаваться вибрации от изолируемого источника шума, стенки кожуха следует покрывать вибродемпфирующим материалом мастичного типа. Толщина покрытия должна быть в 2-3 раза больше толщины металлической стенки кожуха. Звукопоглощающие облицовки и акустические экраны. Одним из способов снижения шума в помещениях является их акустическая обработка. Это – облицовка части внутренних поверхностей ограждений помещений звукопоглощающим материалом или специальной звукопоглощающей конструкцией, а также размещения в помещении штучных звукопоглотителей. Наибольший акустический эффект можно получить в точках, расположенных в зоне отраженного звука. Акустический эффект звукопоглощающей обработки помещения в точках, удаленных от источников, в основном зависит от акустических характеристик помещения до обработки и акустических характеристик звукопоглощающих конструкций. Звукопоглощающие облицовки, как правило, размешают на потолке и стенах (иногда верхних частях стен). Для достижений максимально возможного поглощения рекомендуется облицовывать не менее 60% общей площади внутренних поверхностей помещения бокса. При выборе конструкции облицовки необходимо учитывать спектр шума с тем, чтобы обеспечить максимальное звукопоглощение в заданном диапазоне частот и данные условия 'работы' облицовки (возможность механического повреждения облицовки, необходимость ее периодической очистки, наличие вибраций, паров масла и т.д.). В относительно низких (менее 6 м) и протяженных помещениях облицовки рекомендуется размещать на потолке. В узких и очень высоких помещениях целесообразно размещать акустическую облицовку на стенах, оставляя только их нижние части (2м высотой) необлицованными. В помещениях высотой более 6 м следует предусматривать устройство подвесного звукопоглощающего потолка. Снижение шума в акустически обработанном помещении (в зоне отраженного звука) обычно составляет 6-15 дБ в области средних и высоких частот, где применение звукопоглощающей облицовка наиболее эффективно. Снижение уровня звукового давления за счет установки звукопоглощающей облицовки определяется по формуле
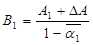
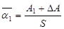
где В и В1 — соответственно постоянная помещения до и после установки облицовки, м2 . Постоянная помещения В определяется умножением постоянной помещения на среднегеометрической частоте 1000 Гц (В1000 ) на частотный множитель μ , а постоянная помещения В1000 определяется по графику, приведенному на рис. 3. Значения частотного множителями даны в табл. 6. Постоянную помещения В1 рассчитывают по формуле
где А1
=
Здесь Δ А - добавочное звукопоглощение, вносимое звукопоглощающими конструкциями, определяемое по формуле
где αобл - реверберационный коэффициент звукопоглощения конструкции облицовки, определяемый по табл. 11 или по справочнику, Sобл – площадь облицовки, м2 , Ашт – площадь звукопоглощения штучного звукопоглотителя в м2 , определяемая по приложению; nшт – количество штучных звукопоглотителей. Приближенно эквивалентную площадь звукопоглощения можно определить по формуле:
где V – объем помещения, м3 . Величина снижения уровня звукового давления ΔLтр на рабочих местах производственных помещений при акустической обработке этих помещений зависит от соотношения между прямым звуком, приходящим непосредственно от источника шума, и звуком отраженным; эта величина оказывается меньше, чем при расчетах по формуле 25. В данном случае для вычисления величины ΔL может служить формула
где L – уровень звукового давления в расчетной точке до акустической обработки, дБ; Lобл
– уровень звукового давления в той же точке после акустической обработки, дБ; χi
– определяется по графику рис. 7; Δi
= 10 Если в помещении установлено оборудование, излучающее одинаковую звуковую мощность, снижение уровня шума благодаря акустической обработке определяют по формуле
где обозначения те же, что в формуле 29. Необходимое снижение шума в зоне отраженного звука может быть достигнуто акустической обработкой помещения при величинах ∆Lтр , не превышающих 10-12 дБ в области средних частот, а на рабочих местах (в зоне прямого звука) при ∆Lтр не более 4-5 дБ. При ∆Lтр, больших указанных величин, акустическую обработку поверхности следует производить только в сочетании с другими мероприятиями по защите от шума. Таблица 12 – Нахождение величины Δ = 10
Если расчетная точка расположена в зоне отраженного звука, т.е. на расстоянии от ближайшего источника шума больше, чем rпр , а ΔLтр не превышает 10-12 дБ, можно вычислить величину требуемого дополнительного звукопоглощения ΔАтр, обеспечивающего достижение необходимой величины снижения уровня звукового давления ΔLтр . Величину ΔАтр можно определить, пользуясь графиками 11 и 12. для этого по известным величинам среднего коэффициента звукопоглощения акустически необработанного помещения α и требуемого снижения уровня шума ΔLтр по рис. 11 определяется величина k – коэффициент пропорциональности, связывающий ΔАтр с площадью ограждающих поверхностей S: ΔAтр =kS, м2 (31)
Рисунок 11- Номограмма для определения коэффициента пропорциональности k по известным среднему коэффициенту звукопоглощения в необлицованном помещении α и требуемой величине снижения уровня звукового давления ΔLтр . С помощью графика 12 по величине k и известной площади S определяют ΔАтр для каждой октавной полосы. Далее, по виду частотной характеристики ΔАтр (f) по таблице 11 подбирают идентичную ей характеристику реверберационного коэффициента звукопоглощения и соответствующую конструкцию облицовки.
Рисунок 12 – Номограмма для определения ΔАтр по известным коэффициентам k и площади S. Необходимую для обеспечения ΔАтр площадь звукопоглощающей облицовки Sобл определяют из соотношения Sобл = ΔАтр / αокт м2 (32) где αокт – реверберационный коэффициент звукопоглощения выбранной конструкции облицовки в данной октавной полосе частот. Если определенная в результате расчета Sобл окажется больше той площади, которую можно облицевать в данном помещении, то Sобл принимают максимально возможной и дополнительно применяют штучные звукопоглотители. Необходимое количество штучных звукопоглотителей определяют по формуле
где Ашт.окт – эквивалентная площадь звукопоглощения выбранного штучного звукопоглотителя в данной октавной полосе частот, м2 . Величину n выбирают наибольшей из полученных для каждой октавной полосы. Для проверки величин ожидаемого снижения уровня звукового давления в расчетной точке может быть использована формула 25. Снижение шума при помощи акустических экранов. Акустические экраны целесообразно применять, когда в расчетной точке уровень звукового давления прямого звука от рассматриваемого источника существенно выше, чем уровни звукового давления, создаваемого в той же точке соседними источниками шума и отраженным звуком. Для источников с примерно равномерным излучением шума уровень звукового давления прямого звука i-ого источника в расчетной точке определяется по формуле Li пр =LPi -20lgri -8 дБ (34) где LPi - уровень звуковой мощности рассматриваемого источника шума, дБ; ri – расстояние от акустического центра до расчетной точки, м. Уровень звукового давления, создаваемого
где LPk - уровень звуковой мощности k-ого источника шума, дБ; n – общее число принимаемых в расчет источников шума; В – постоянная помещения, м2 . В акустически необработанных помещениях, где постоянная В мала, применение экранов будет малоэффективно. Поэтому акустические экраны должны применяться в сочетании с акустической обработкой помещения (рис. 13).
1 – акустический экран со звукопоглощающей облицовкой; 2 – смотровое окно; 3 – источник шума; 4 – звукопоглощающая облицовка; 5 – звукопоглощающие кулисы в межферменном пространстве. Рисунок 13 – Применение акустических экранов в сочетании с акустической обработкой помещения. При определении постоянной помещения с акустической обработкой следует учитывать звукопоглощение, вносимое экранами, которые всегда облицовываются звукопоглощающим материалом. Дополнительное звукопоглощение, вносимое экранами, определяют по формуле
где αэкр – реверберационный коэффициент звукопоглощения облицовки экрана; определяется по таблице 11; Sjэкр – площадь экрана, м2 (при двухсторонней облицовке площадь экрана удваивается) ; m – общее количество экранов, установленных в помещении. Экраны могут быть изготовлены из стальных или алюминиевых листов толщиной 1,5 –2 мм. По периметру листов предусматривается профиль, придающий жесткость конструкции и представляющий собой опору для крепления перфорированного листа, закрывающего звукопоглощающий материал, толщиной около 50 мм. Снижение уровня звукового давления в расчетной точке в результате установки экрана определяют по формуле
где Liпр – уровень звукового давления прямого звука от расматриваемого источника в расчетной точке до установки экрана, дБ; определяется по формуле 34; LРi – уровень звуковой мощности каждого источника в данном помещении, дБ; ΔLэкр – акустическая эффективность экрана, дБ; В – постоянная помещения до установки экранов; В1 – постоянная помещения после установки экранов, м2 . Постоянную В1 определяют по формуле
А1 и ΔА – то же, что в формуле 26, Аэкр – эквивалентная площадь поглощения, вносимого экраном, определяется по формуле 36; S – общая суммарная площадь ограничивающих помещение поверхностей. Акустическую эффективность экрана ΔLэкр определяется экспериментально в условиях свободного поля. Эффективность экрана, изготовленного из стального листа толщиной 2 мм с односторонней облицовкой слоем звукопоглотителя толщиной 50 мм при различных соотношениях размера экрана и местоположения точки прослушивания приведены в таблице 13. Эти данные справедливы при размерах источника a≤0,5 м и b≤1м, где a- высота источника шума, b –его длина. Эффективность экранов растет с увеличением отношения высоты экрана Н к высоте источника шума и длины экрана l к длине источника шума. Таблица 13 – Эффективность экранов при r1 =0,5 м (r1 – расстояние от экрана до источника шума)
В общем виде акустическую эффективность экрана можно определить, используя таблицу:
Здесь К – сложная величина, зависящая от размера экрана, его расположения, частоты звука, которая определяется по формуле:
где f – частота звука, Гц, h – высота экрана, м ; l- длина экрана, м; a – расстояние от экрана до источника шума, м; b – расстояние от экрана до рабочего места, м. При снижении уровня шума от транспортных потоков и железнодорожных поездов используют следующую формулу: ΔLэкр =6lgδ + 15 при 0,05≤δ≤50 и ΔLэкр =5(1 + 7δ) при δ≤0,05, где δ = a + b – c, a , b, c – кратчайшее расстояние, м соответственно между акустическим центром источника шума и верхней кромкой экрана; расчетной точкой и верхней кромкой экрана; акустическим центром и расчетной точкой (рис 1). При многополосном движении условный акустический центр находится по оси, наиболее отдаленной от расчетной точки полосы движения на высоте 1 м. Расстояние определяют с точностью до 1 см:
где a ´ и b ´ - длина проекции соответственно расстояний a и b на горизонтальную плоскость, м; Нэ , Ни , Нр – соответственно отметки вершины экрана, источника шума и расчетной точки, м. Акустическая эффективность повышается при приближении экрана к источнику шума.
Рис. 1 Расчетная схема бесконечного экрана. Приближенный расчет эффективности экрана проводится с помощью метода Реттингера. Согласно этого метода определяется критерий затухания М и по графику определяется акустическая эффективность экрана. Расчетная схема экрана представлена на рис. 2.
h
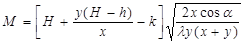
H – высота экрана, h – высота от источника шума (ИШ) до вершины экрана, K – высота расположения расчетной точки, x – расстояние от ИШ до экрана, у – расстояние от экрана до расчетной точки (РТ), cos α – угол, образованный линией, соединяющей ИШ с вершиной экрана и линией, равной расстоянию до экрана.Критерий затухания определяется по формуле: 1. при расположении ИШ и РТ на разных уровнях:
где 2. при расположении ИШ и РТ на одном уровне:
По графику (рис.3) определяется снижение шума за счет экрана.
Снижение аэродинамических шумовАэродинамические шумы снижаются за счет ограничения скорости обтекания конструкций и агрегатов струями воздуха, уменьшением вихреобразования в струях, а также использования различных глушителей. Глушители аэродинамического шума могут быть активными, реактивными и комбинированными. В активных глушителях снижение шума осуществляется звукопоглощающими пористыми материалами, а в реактивных – за счет последовательного включения в воздуховод расширительных камер или преград. Простейший активный глушитель представляет собой отрезок трубы, облицованной внутри войлоком. Ослабление шума в таком глушителе пропорционально коэффициенту поглощения облицовки, ее длине и обратно пропорционально сечению канала. Активные глушители не вызывают существенных потерь мощности двигателя на преодоление сопротивления потоку, и их частотный спектр сплошной. Снижение уровня шума при использовании активных глушителей ориен6тировочно можно определить по формуле:
где Р – периметр канала, м; S к – площадь сечения канала, м2 ; l – длина канала, м; f(α ) – эффективный коэффициент поглощения в диффузионном звуковом поле, зависящий от величины коэффициента звукопоглощения облицовки:
При подсчете среднего снижения общего уровня шума коэффициент звукопоглощения принимается по частоте 500 Гц. Если известен спектр шума выхлопа или всасывания, то подсчет ведется в активных полосах частот. Реактивные глушители поглощают звук за счет образования «волновой пробки» и применяются для снижения шума в узких частотных полосах. Шумопоглощающая способность реактивных глушителей при условии диффузионности звукового поля в расширительной камере приближенно может быть рассчитана согласно зависимости
где Sв – внутренняя поверхность камеры, м2 ; Sк – площадь сечения выходного канала, м2 . Приложение 1 Шумовые характеристики оборудования
Коэффициенты звукопоглощения поверхностей ограждающих конструкций производственных помещений и обычных материалов и конструкций
Звукопоглощающие материалы и конструкции
Штучные звукопоглотители
Звукоизоляция ограждающих конструкций зданий, дБ
Звукоизолирующая способность дверей и окон, дБ
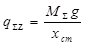
Расчет виброизоляции Цель работы – определение числа виброизоляторов и их геометрических характеристик, обеспечивающих значения коэффициента передачи, при котором вибрация рабочего места оператора снижается до допустимой величины. Наибольшее распространение в настоящее время получили пружинные и резиновые амортизаторы. Расчет пружинного амортизатора Пружинные амортизаторы целесообразно использовать для виброизоляции при сравнительно низкой частоте менее 33Гц и значительной амплитуде колебаний системы, а также при наличии высоких температур, масел, паров щелочей и кислот. В качестве пружинных амортизаторов чаще всего применяются стальные витые пружины, изготовляемые из прутка круглого сечения. Исходные данные при проектировании виброизоляции рабочего места в случае гармонических вибрации основания: частота f колебаний, на которой проводятся испытания; амплитуда смещения Аосн вынужденных колебаний виброизолируемой плиты основания; нормативные значения амплитуды смещения основания Анорм в соответствии с ГОСТ 12.1.012-78; габариты плиты а*в ; массы опорной плиты М , оператора m , оборудования m об . (Масса оборудования принимается во внимание в том случае, когда она располагается но опорной плите рабочего места). При расчете используется соотношение:
где f 0 – собственная частота виброизолируемого рабочего места, включая оператор, опорную плиту и виброизоляторы. Расчет виброизоляции рабочего места в случае вертикальных вибраций, которые чаще всего наиболее выражены, ведется в такой последовательности. 1. Находим допустимое значение амплитуды колебательной скорости рабочего места по таблице 1
2. По формуле 1 определяем потребное значение коэффициента передачи виброизоляции. 3. Находим потребное значение собственной частоты виброизолированного рабочего места
4. По найденному значению f 0 находим потребную статическую осадку
5. Рассчитываем (или задаем) массу опорной плиты М, которая должна в 2-3 раза превышать массу оператора и оборудования, располагаемого на плите. 6. При заданных габаритах опорной плиты определяет толщину опорной плиты
где ρ – плотность материала плиты. 7. Вычисляем суммарную жесткость виброизолятора qz в вертикальном направлении
где МΣ =М+т +тоб 8. Определяем вертикальную жесткость qz одного виброизолятора
где N- число виброизоляторов (выбираем исходя из требований обеспечения устойчивости опорной плиты). 9. Находим расчетную нагрузку на одну пружину с учетом возможности неравномерного распределения нагрузки на пружины при перемещении оператора
где n – минимальное число пружин, воспринимающих вес оператора при работе. 10. Определяем геометрические размеры пружинных виброизоляторов: а) диаметр прутка пружины б) диаметр пружины D= сd (9); в) число рабочих витков г) полное число витков пружины iΣ =i1 +i2 (11) где нерабочее число витков пружины i2 =1,5 при i1 меньше 7 и i2 = 2 при i1 ≥ 7; д) шаг витка h=0,25 Д; е) высота ненагруженной пружины Н0 = i2 h+(i2 + 0,5)d (12) При расчете пружин, работающих на сжатие, отношение высоты нагруженной пружины к ее диаметру должно быть не более двух. В противном случае возникнет опасность потери устойчивости виброизолированной системой. Рис. 1 Определение коэффициента деформации пружины С - индекс пружины:
где D - средний диаметр пружины, м ; d - диаметр проволоки, м ; Установка машин на пружинные амортизаторы более эффективна, чем на резиновые, так как обеспечивает более низкие собственные частоты колебаний вибрирующего механизма. Следует располагать центр жесткости виброизоляторов на одной вертикали с центром тяжести массы машины, установленной на специальное основание. Таблица 1- Допускаемые напряжения для пружинных сталей
Расчет резиновых амортизаторов. Недостатком резиновых амортизаторов является их недолговечность, так как они со временем становятся жестче и через 5…7 лет их необходимо заменять. Кроме того, с их помощью нельзя получить очень низкие собственные частоты колебаний системы, которые необходимы для тихоходных агрегатов, из-за неизбежной в этом случае перегрузки прокладок, значительно сокращающих срок их службы. 1. При найденном значении f0 необходимая статическая осадка виброизолированной системы определяется по формуле:
2. Для выбранного материала прокладки рассчитывается высота прокладки:
E - динамический модуль упругости; s - расчетное напряжение сжатия в резине, H /м 2 3. Исходя из конструктивных особенностей машины, задаются числом амортизаторов N. 4. Площадь виброизолирующей прокладки
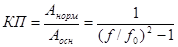
где Q - вес машины, H ; Если габариты прокладок оказываются неприемлемыми, производится расчет второго приближения, в котором задается меньшее значение высоты прокладки, выбирается материал с меньшей жесткостью или увеличивается число виброизоляторов. Ослабление уровня вибрации:
КП – коэффициент передачи. Следует помнить, что широкие амортизаторы с малой высотой H нежелательны, так как они имеют чрезмерную жесткость. Поэтому часто подстилаемые под вибрирующие механизмы резиновые коврики практически неэффективны. Если же по конструктивным соображениям все же придется выбирать широкие листы амортизаторов, последние необходимо делать перфорированными или рифлеными. Таблица 7.2 - Характеристики виброизолирующих материалов
|
|||||||||||||||||||||||||||||||||||||||||||||||||||||||||||||||||||||||||||||||||||||||||||||||||||||||||||||||||||||||||||||||||||||||||||||||||||||||||||||||||||||||||||||||||||||||||||||||||||||||||||||||||||||||||||||||||||||||||||||||||||||||||||||||||||||||||||||||||||||||||||||||||||||||||||||||||||||||||||||||||||||||||||||||||||||||||||||||||||||||||||||||||||||||||||||||||||||||||||||||||||||||||||||||||||||||||||||||||||||||||||||||||||||||||||||||||||||||||||||||||||||||||||||||||||||||||||||||||||||||||||||||||||||||||||||||||||||||||||||||||||||||||||||||||||||||||||||||||||||||||||||||||||||||||||||||||||||||||||||||||||||||||||||||||||||||||||||||||||||||||||||||||||||||||||||||||||||||||||||||||||||||||||||||||||||||||||||||||||||||||||||||||||||||||||||||||||||||||||||||||||||||||||||||||||||||||||||||||||||||||||||||||||||||||||||||||||||||||||||||||||||||||||||||||||||||||||||||||||||||||||||||||||||||||||||||||||||||||||||||||||||||||||||||||||||||||||||||||||||||
выбор мероприятий, обеспечивающих требуемое снижение уровней звукового давления в расчётных точках
(1)
(2)


(4)




(8)
, (7)

(23)
(29)
(30)


(37)
,





(2)