Реферат: Исследование эффекта автодинного детектирования в многоконтурном генераторе на диоде Ганна
|
Название: Исследование эффекта автодинного детектирования в многоконтурном генераторе на диоде Ганна Раздел: Промышленность, производство Тип: реферат | ||||||||||||||||||||||||||||||||||||||||||||||||||
Государственный комитет Российской Федерации по высшему образованию Саратовский ордена Трудового Красного Знамени государственный университет им. Н.Г.Чернышевского Кафедра физики твёрдого тела ИССЛЕДОВАНИЕ ЭФФЕКТА АВТОДИННОГО ДЕТЕКТИРОВАНИЯ В МНОГОКОНТУРНОМ ГЕНЕРАТОРЕ НА ДИОДЕ ГАННА ДИПЛОМНАЯ РАБОТА студента 511 группы физического факультета Каца Ефима Ильича Научные руководители к.ф.-м.н., доцент Скрипаль А.В., аспирант Бабаян А.В. Зав. кафедрой ФТТ профессор, академик МАН ВШ Усанов Д.А. г.Саратов - 1996 г. Содержание.
Введение. В связи с развитием современных технологий, требующих непрерывного контроля за многими параметрами технологического процесса, состоянием оборудования и параметрами материалов и сред становится всё более актуальной задача создания неразрушающих бесконтактных методов измерения и контроля параметров материалов и сред. Измерения на СВЧ позволяют определить электропроводность, толщину, диэлектрическую проницаемость и другие параметры материалов и сред без разрушения поверхности образца, дают возможность автоматизировать контроль параметров материалов. Для этого в настоящее время широко используются методы, основанные на использовании эффекта автодинного детектирования в полупроводниковых приборах. Применение эффекта автодинного детектирования в полупроводниковых СВЧ-генераторах для контроля параметров материалов и структур основано на установлении зависимости величины продетектированного СВЧ-сигнала от параметров контролируемых величин: толщины, диэлектрической проницаемости, проводимости [1-6]. Однако, прежде чем создавать конкретный прибор на основе данного эффекта, необходимо провести моделирование его работы. Для этого необходимо рассмотреть принципы действия таких устройств. При изменении уровня мощности СВЧ-излучения, воздействующего на полупроводниковые элементы с отрицательным сопротивлением, наблюдается изменение режима их работы по постоянному току, что можно понимать как проявление эффекта детектирования. В случае, если прибор с отрицательным сопротивлением является активным элементом СВЧ-генератора наблюдается эффект автодинного детектирования. Одним из методов, позволяющих провести расчёт величины эффекта автодинного детектирования при реальных параметрах активного элемента и нагрузки, определить области значений контролируемых параметров материалов, в которых чувствительность автодина к их изменению максимальна, наметить пути оптимизации конструкции генератора, является метод, основанный на рассмотрении эквивалентной схемы СВЧ-генератора, в которой комплексная проводимость нагрузки определяется параметрами исследуемого материала и характеристиками электродинамической системы [7,9]. Целью дипломной работы являлось исследование эффекта автодинного детектирования в многоконтурных СВЧ-генераторах на диоде Ганна для создания измерителей параметров материалов, вибрации и выявления особенностей их работы. 1. Анализ возможности использования автодинов на полупроводниковых активных СВЧ-элементах для контроля параметров материалов и сред. При изменении уровня СВЧ-излучения, воздействующего на полупроводниковые элементы с отрицательным сопротивлением, наблюдается изменение постоянного тока, протекающего через них, что можно понимать как проявление эффекта детектирования [2,7]. Если прибор с отрицательным сопротивлением является активным элементом СВЧ-генератора, этот эффект называют эффектом автодинного детектирования. Исследование эффекта автодинного детектирования в полупроводниковых СВЧ-генераторах позволило создать устройства, совмещающие несколько радиотехнических функций в одном элементе (например, излучение и приём электромагнитных колебаний). Автодины на полупроводниковых генераторах, получившие к настоящему времени достаточно широкое применение, используются в основном для обнаружения движущихся объектов. Важной областью применения автодинов является контроль параметров материалов и сред. Применение эффекта автодинного детектирования в полупроводниковых СВЧ-генераторах для контроля параметров материалов и сред основано на установлении зависимостей величины продетектированного СВЧ-сигнала от параметров контролируемых величин: диэлектрической проницаемости и проводимости. Измерения с помощью приборов основаны на сравнение с эталонами, а точность измерения в основном определяется точностью эталонирования. Теоретическое обоснование возможности использования эффекта автодинного детектирования в диодных СВЧ-генераторах для контроля параметров материалов и сред проведено на основе численного анализа. Описание отклика диодного СВЧ-автодина может быть сделано на основе рассмотрения эквивалентной схемы генератора (Рис. 1.1), в которой комплексная проводимость Yn определяется параметрами исследуемого материала и характеристиками электродинамической системы, а Yd - средняя проводимость полупроводникового прибора. Yd Yn Рис. 1.1. Эквивалентная схема автодина на полупроводниковом диоде. Эта эквивалентная схема может быть описана соотношением (1.1), согласно первому закону Кирхгофа. I1, U1 - комплексные амплитуды тока и напряжения первой гармоники на полупроводниковом элементе. Т.к. к обеим проводимостям приложено одно и то же напряжение U1, можно записать баланс мощностей: Активная мощность на нагрузке (1.4) положительна отсюда вытекает, что т.е. Yd должна иметь отрицательную действительную часть при существовании в системе колебаний с ненулевой амплитудой. Наличие отрицательной проводимости характеризует трансформацию энергии: полупроводниковый элемент потребляет энергию постоянного тока и является источником колебаний ненулевой частоты. Возникновение СВЧ-колебаний в электрической схеме с нелинейным элементом вследствие его детектирующего действия приводит к появлению дополнительной составляющей постоянного тока Детекторный эффект наблюдается в СВЧ-усилителях на биполярных транзисторах, СВЧ-генераторах на лавинно-пролётных диодах (ЛПД), инжекционно-пролётных диодах (ИПД), туннельных диодах (ТД) и диодах Ганна (ДГ). В данной работе мы рассмотрим использование полупроводниковых диодов в качестве СВЧ-автодинов. Сравнительные характеристики полупроводниковых СВЧ-диодов приведены в таблице 1. Таблица 1.
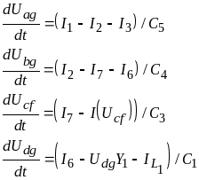
Процессы в полупроводниковых приборах описываются тремя основными уравнениями в частных производных [10]: уравнением плотности тока, характеризующим образование направленных потоков заряда; уравнением непрерывности, отражающим накопление и рассасывание подвижных носителей заряда, и уравнением Пуассона, описывающим электрические поля в полупроводнике. Точное решение этих уравнений с учетом граничных условий в общем виде затруднительно даже на ЭВМ. Чтобы упростить анализ вводят эквивалентные схемы полупроводниковых приборов. ТД представляют собой приборы, наиболее удобные для анализа, т.к. их эквивалентная схема более проста и точна, чем схемы других полупроводниковых приборов. С практической точки зрения ТД представляет собой интерес при создании маломощных автодинов в коротковолновой части сантиметрового диапазона. ИПД (BARITT) обладает малой генерируемой мощностью [11], но из-за низкого уровня шумов и малого напряжения питания являются перспективными для допплеровских автодинов. В работе [12] исследована возможность измерения диэлектрической проницаемости материалов по величине продетектированного работающем в режиме генерации ЛПД сигнала. Использовался генератор волноводной конструкции (канал волновода 23*10 мм.) с ЛПД типа АА707, установленным в разрыве стержневого держателя. Измерения продетектированного сигнала проводилось компенсационным методом. Исследуемые диэлектрики, с предварительно определёнными значениями диэлектрической проницаемости на СВЧ, прикладывались к отверстию на выходном фланце генератора. Результаты проведённых исследований показали, что ход зависимости величины продетектированного сигнала от диэлектрической проницаемости зависит от конструкции измерительного генератора, в частности, от расстояния от плоскости расположения ЛПД до открытого конца волновода, к которому прикладывается исследуемых диэлектрик. ЛПД обеспечивает наибольшие КПД и мощность колебаний. Однако,, в качестве недостатка можно отметить относительно высокий уровень шумов, обусловленный, в первую очередь, шумами лавинообразования. В ряде работ [2,3,17,18] рассматривается возможность применения СВЧ-генераторов на диоде Ганна для измерения параметров материалов и сред. Отмечается преимущество данного способа измерения: исследуемый образец находится под воздействием СВЧ-мощности, а регистрация измерений производится на низкочастотной аппаратуре, имеющей высокую точность и отличающейся простой в эксплуатации. В настоящее время разработаны и изготовлены устройства для неразрушающего контроля, принцип действия которых основан на эффекте автодинного детектирования: измерители толщины металлодиэлектрических структур и диэлектрической проницаемости [19,20]. Наибольшее практическое применение из разработанных приборов нашёл СВЧ толщиномер типа СИТ-40. На рисунке 1.2 приведена его блок-схема. 4 Рис. 1.2. Блок-схема СВЧ измерителя толщины. В состав СВЧ толщиномера СИТ-40, предназначенного для измерения тонких плёнок из любого металла на изолирующей подложке и непроводящих покрытиях, в том числе разнообразных лакокрасочных, нанесённых на металлические поверхности, входит: 1 - СВЧ-датчик, представляющий собой СВЧ-генератор в микрополосковом исполнении и использующий в качестве активного элемента диод Ганна или СВЧ биполярный транзистор; 2 - предварительный усилитель; 3 - блок питания; 4 - система корректировки нуля; 5 - блок индикации. Для уменьшения влияния дрейфа нуля на результат измерений предложены схемные решения, основанные на компенсации дрейфа его параметров в промежутках между измерениями и использовании напряжения в момент, предшествующий измерению, в качестве опорного в момент измерения [21]. С целью повышения чувствительности и существенного уменьшения веса и потребляемой мощности измерителей исследовалась возможность применения туннельных диодов в качестве активных элементов СВЧ-автодинов [22]. Исследования проводились в экспериментальных измерительных СВЧ-устройствах на серийных диодах типа ГИ 103Б, работавших на частоте 1.3 Ггц. В качестве детекторных диодов использовались диоды типа Д405. Конструктивно датчики измерительных устройств представляли собой отрезки полосковых линий передачи, выполненных на основе фольгированного фторопласта, в которых размещались генераторные и детекторные диоды, фильтры, НЧ и подстроечные элементы. Разработаны устройства измерения толщины и электропроводности проводящих покрытий, а также толщины и диэлектрической проницаемости для изолирующих материалов. Принцип действия автодинного генератора на полупроводниковом СВЧ-элементе был использован при разработке нового способа контроля толщины плёнок в процессе вакуумного напыления. Для повышения точности измерения в датчике применён СВЧ-выключатель, обеспечивающий кратковременное отклонение генератора от измеряемого объекта [23]. Разработан новый способ радиоволнового контроля вибраций, основанный на использовании двух полупроводниковых СВЧ-генераторов, работающих в режиме автодинного детектирования и обеспечивающих возможность определения не только амплитуды, но и частоты вибраций [24]. Источники зондирующего СВЧ-излучения и одновременно приёмники провзаимодействующего с вибрирующим объектом сигналов представляют собой отрезки стандартных прямоугольных волноводов, которые с одного конца закорочены и имеют регулируемые подстроечные поршни, а другие концы соединены с камерами, изготовленными из металлической ленты, свёрнутой в кольцо. Связь по СВЧ-полю отрезков волновода с каждой камерой осуществляется через прямоугольное волноводное окно. В камерах помещается цилиндрический металлический стержень, перемещение которого внутри этих камер вызывает изменение продетектированного автодинами зондирующего СВЧ-сигнала. Применение в автодинных генераторах диодов Ганна по сравнению с генераторами, использующими другие полупроводниковые активные элементы, позволяет обеспечить преимущества по совокупности таких параметров, как максимальная рабочая частота, выходная мощность, стабильность частоты, потребляемая мощность питания [13]. 2. Теоретическое исследование эффекта автодинного детектирования в многоконтурном генераторе на диоде Ганна. В данной работе проводилось математическое моделирование процессов, происходящих в многоконтурном автодине на диоде Ганна. Для этого была составлена эквивалентная схема автодина (Рис. 2.1). Теоретическое описание характеристик выходного сигнала СВЧ- генератора на диоде Ганна основывалось на математическом описании процессов в многоконтурной эквивалентной схеме, элементы которой моделируют полупроводниковую структуру диода Ганна в виде параллельно соединённых ёмкости С3 и активного нелинейного сопротивления, определяемого по ВАХ диода I(U), элементы корпуса диода L3 , C4 , СВЧ-резонатор в виде последовательного C2 , L2 и параллельного L1 , Y1 , C1 контуров, низкочастотную часть схемы, состоящую из последовательного L7 , C6 и параллельного C7 , R5 , L6 контуров, дросселя L5 в цепи питания, шунтирующей ёмкости С5 и индуктивности связи L4 диода с НЧ-схемой. Эквивалентная схема описывается системой из четырнадцати дифференциальных уравнений (2.1-2.14), составленных на основе законов Кирхгофа. Эквивалентная схема автодина на диоде Ганна. Рис. 2.1. Эта система нелинейна и решалась численно методом Рунге-Кутта четвёртого порядка с автоматическим выбором шага [16]. При расчёте использовалась типичная ВАХ диода Ганна [15], которая аппроксимировалась выражением вида: где D=0, при UUn , D=2, при U>Un , =6000 см2/Вс, VS=8.5 *106 см/с. Выражение (2.15) было программно модифицировано для случая ВАХ с гистерезисом. График использованной ВАХ диода Ганна приведён на рисунке 2.2. Вольт-амперная характеристика диода Ганна. Рис. 2.2. При решении системы учитывалась частотная зависимость СВЧ- нагрузки. По результатам решения системы (2.1-2.14) вычислялись мощности сигналов Pсвч , Pнч и величины продетектированных сигналов Ufg и Ukg в СВЧ- и НЧ-цепях соответственно: где I70 - постоянный ток через диод Ганна в отсутствии генерации. Нагрузка с волноводной системой была представлена в виде линии, нагруженной на комплексную проводимость отражающей поверхности (Рис.2.3). Рис. 2.3. Представление нагрузки в виде нагруженной линии. Комплексная проводимость нагрузки где В результате решения системы уравнений (2.20-2.21) было получено выражение для комплексной проводимости нагрузки где Z0 - волновое сопротивление пустого волновода, где Для подстановки в систему (2.1-2.14) комплексная проводимость нагрузки (2.23) была представлена в виде действительной и мнимой компонент. С учётом (2.25) и (2.26) параметры эквивалентной схемы СВЧ-нагрузки рассчитывались из соотношений: где При расчёте величины продетектированного сигнала не учитывался вклад гармонических составляющих СВЧ-сигнала, с частотами равными 4f0, 5f0 и т.д., мощность которых составляла менее 1% мощности выходного сигнала СВЧ-генератора. Здесь f0 - частота основной гармоники выходного сигнала. Результаты теоретического расчёта величин продетектированных сигналов Ufg и Ukg в СВЧ- и НЧ- цепях соответственно представлены на рисунке 2.4. Теоретический расчёт показал, что изменение положения короткозамыкающего поршня в СВЧ-тракте наряду с изменением мощности СВЧ-колебаний приводит к изменению амплитуды колебаний в низкочастотном контуре, что позволяет регистрировать наряду с сигналом автодетектирования в цепи питания по постоянному току сигнал внешнего детектирования как на частотах СВЧ-диапазона, так и в низкочастотном диапазоне. Как следует из результатов расчёта, на представленных зависимостях наблюдаются локальные максимумы и минимумы, которые обусловлены наличием в спектре выходного сигнала СВЧ-генератора на диоде Ганна высших гармоник. Математическое моделирование процессов в генераторе на диоде Ганна позволило установить, что существование областей значений входных сопротивлений СВЧ-нагрузки, в которых их изменение вызывает изменение продетектированных в СВЧ- и НЧ-цепях сигналов одинакового знака, и областей, в которых изменения продетектированных сигналов имеют противоположные знаки, обусловлено наличием значительной реактивной составляющей СВЧ-тока в полупроводниковой структуре диода Ганна. В то же время отметим, что изменение реактивных элементов НЧ-контура более, чем на два порядка приводит лишь к незначительному (не более 5%) смещению границ этих областей. Теоретические зависимости величин продетектированных сигналов в СВЧ Ufg (1) и НЧ Ukg (2) цепях. Рис. 2.4. 3. Экспериментальные исследования эффекта автодинного детектирования в многоконтурном генераторе на диоде Ганна. Использование эффекта автодинного детектирования в полупроводниковых СВЧ-генераторах позволяет создавать простые в эксплуатации малогабаритные измерители толщины и диэлектрической проницаемости [17,18]. Для их нахождения используют результаты измерений на нескольких частотах. Осуществление многопараметрового контроля упрощается, если удаётся проводить измерения в условиях, когда на результаты измерений определяющим образом влияет только один из искомых параметров. Такая ситуация, в частности реализуется, если для измерения толщины и диэлектрической проницаемости диэлектриков в этом случае применяются измерители, работающие на различных частотных диапазонах, например СВЧ и НЧ. При проведении измерений на СВЧ результат зависит как от толщины, так и от диэлектрической проницаемости диэлектрика. Если измерения на НЧ проводить используя схему, в которой диэлектрик помещается в зазор между излучателем и металлическим основанием, то результат измерений будет определяться только толщиной диэлектрика и не будет зависеть от его диэлектрической проницаемости. Определив таким образом толщину диэлектрика, по её значению и показателям преобразователя на СВЧ можно определить диэлектрическую проницаемость. Было проведено экспериментальное исследование зависимости величины продетектированного сигнала в автодинном генераторе на диоде Ганна, работающем в различных частотных диапазонах от положения СВЧ короткозамыкающего поршня. Использовался генератор волноводной конструкции с диодом типа АА7031, помещённым в разрыв металлического стержневого держателя. К цепи питания диода Ганна через разделительный конденсатор параллельно диоду был подключен низкочастотный контур. Частота СВЧ-колебаний составляла 10 ГГц, частота низкочастотных колебаний 10 МГц. Для детектирования низкочастотных колебаний Схема экспериментальной установки. Рис. 3.1. использовался диод типа КД503А2. Для контроля СВЧ-колебаний использовался измеритель мощности типа Я2М-66. Кроме того, в ходе экспериментальных исследований регистрировался постоянный ток, протекающий через диод Ганна, по падению напряжения на резисторе с сопротивлением порядка 1 Ом, включённом в цепь питания диода Ганна. Схема экспериментальной установки приведена на рисунке 3.1. Она включает в себя источник питания СВЧ-выключателя 1 для раздельного воздействия сигналами СВЧ и НЧ, источник питания диода Ганна 2, схему обработки информации и индикации 3, детекторный диод 4, разделительный конденсатор 5, СВЧ-выключатель 6, диод Ганна 7, конденсатор низкочастотного колебательного контура 8 и катушку индуктивности 9, располагающейся на поверхности выходного фланца волновода. В результате экспериментальных исследований было обнаружено, что в режиме многочастотной генерации изменение нагрузки в СВЧ-цепи (т.е. изменение положения короткозамыкающего поршня) приводит к изменению сигнала, продетектированному в НЧ-цепи, а изменение нагрузки в НЧ-цепи (т.е. изменение индуктивности или ёмкости) приводит к изменению сигнала в СВЧ-цепи. При этом изменения продетектированных в этих цепях сигналов могут быть как одинакового, так и противоположного знаков. Как следует из результатов, приведённых на Pис. 3.2, зависимости величины продетектированных в НЧ- и СВЧ-цепях сигналов Uнчи Iсвч от перемещения короткозамыкающего поршня периодичны и имеют локальные максимумы и минимумы. На этом же рисунке приведена зависимость мощности выходного сигнала РCВЧ СВЧ- генератора на диоде Ганна от перемещения короткозамыкающего поршня. Зависимости величины продетектированных в НЧ (1) и СВЧ (2) цепях сигналов и зависимость мощности выходного сигнала (3) от положения короткозамыкающего поршня. Рис 3.2. Заключение. При выполнении дипломной работы были получены следующие результаты: 1. Проведен анализ современного состояния проблемы измерения параметров материалов и структур с помощью эффекта автодинного детектирования. 2. Построена теоретическая модель многоконтурного автодинного генератора на диоде Ганна, разработана и описана эквивалентная схема. 3. На основе построенной модели составлена программа для расчета параметров многоконтурного генератора на диоде Ганна. 4. Проведено компьютерное моделирование работы многоконтурного автодина на диоде Ганна. 5. Теоретически и экспериментально исследованы особенности проявления эффекта автодинного детектирования в многоконтурном генераторе на диоде Ганна с низкочастотным колебательным контуром в цепи питания. Обнаружено, что изменение нагрузки в СВЧ- и НЧ-цепях могут вызывать изменение продетектированных в этих цепях сигналов как одинакового, так и противоположного знаков. Установлено, что наблюдавшиеся экспериментально локальные максимумы и минимумы на зависимостях продетектированного сигнала от изменения нагрузки в СВЧ-цепи обусловлены наличием в спектре выходного сигнала СВЧ-генератора на диоде Ганна высших гармоник. Литература. Альтшулер Ю. Г., Сосунов В. А., Усов Н. В. Измерение малых амплитуд механических перемещений с применением открытого СВЧ резонатора // Известия ВУЗов. - Радиоэлектроника. - 1975. - Т.18. - №10. - С.93-98. Усанов Д.А., Авдеев А.А. Использование эффекта автодинного детектирования в генераторах на диодах Ганна для двухпараметрового измерения диэлектриков // Дефектоскопия.- 1995. - №4. - С.42-45. Усанов Д.А., Тупикин В.Д., Скрипаль А.В., Коротин Б.Н. Использование эффекта автодинного детектирования в полупроводниковых СВЧ генераторах для создания устройств радиоволнового контроля // Дефектоскопия. - 1995. - №5. - С.16-20. Зак Е. Когерентные световые методы измерения параметров механических колебаний // Зарубежная радиоэлектроника. - 1975. - №12. - С. 70-76. Викторов В. А., Лункин Б. В., Совлуков А. С. Радиоволновые измерения параметров технологических процессов, - М.: Энергоиздат. - 1989. Коломойцев Ф. Н., Быстряков Н. П., Снежко Е. М., Налча Г. И., Харагай А. С. СВЧ установка для измерения вибраций // Измерительная техника. - 1971. - №11. - С. 45-46. Коган И. М., Тамарчак Д. Я., Хотунцев Ю. Л. Автодины // Итоги науки и техники. - Радиоэлектроника. - 1984. - Т.33. - С. 3-175. Коротов В. И., Хотунцев Ю. Л. Энергетические характеристики допплеровских автодинов на полупроводниковых приборах // Радиотехника и электроника. - 1990. - Т.35. - №7. - С. 1514-1517. Хотунцев Ю.Л., Тамарчак Д.Я. Синхронизированные генераторы и автодины на полупроводниковых приборах. М.: Радио и связь, - 1982. - 240 с. Шокли В. Теория электронных полупроводников. Пер. с англ. / под ред. Жузе. - М.: Иностранная литература. - 1953. -С. 558. Еленский В. Г. Инжекционно - пролетные диоды с проколом базы, BARITT - диоды // Зарубежная радиоэлектроника. - 1977. - №11. - С.98-103. Усанов Д.А., Вагарин А.Ю., Безменов А.А. Об использовании детекторного эффекта в генераторах на ЛДД для измерения диэлектричекой проницаемости материалов // Дефектоскопия. - 1981. - №11. - С.106-107. Усанов Д. А., Горбатов С. С., Семенов А. А. Изменение вида вольт - амперной характеристики диода Ганна в зависимости от режима его работы на СВЧ // Известия ВУЗов. - Радиоэлектроника. - 1991. - Т.34. - №5. - С.107-108. Васильев Д. В., Витель М. Р., Горшенков Ю. Н. и др. Радиотехнические цепи и сигналы / под ред. Самойло К. А. - М.: Радио и связь. - 1982. Murayama K., Ohmi T. Static Negative Resistance in Highly Doper Qunn Diodes and Application for Switching and Amplification // Japan. J. Appl. Phys. 1973. V.12. №12. P.1931. Эберт К., Эдерер Х. Компьютеры. Применение в химии. Пер. с нем. - М.: Мир, - 1988. - 416 с. Усанов Д.А., Вагарин А.Ю., Вениг С.Б. Использование детекторного эффекта в СВЧ генераторе на диоде Ганна для измерения параметров диэлектриков // Дефектоскопия. - 1985. - №6. - С.78-82. Усанов Д.А., Скрипаль А.В. Эффект автодинного детектирования в генераторах на диодах Ганна и его использование для контроля толщины и диэлектрической проницаемости материалов / Изв. ВУЗов. - Радиоэлектроника. - 1987. - Т.30. - №10. - С.76-77. Усанов Д.А., Безменов А.А., Коротин Б.Н. Устройство для измерения толщины диэлектрических плёнок, напыляемых на металл / ПТЭ. - 1986. - №4. - С.227-228. Усанов Д.А., Коротин Б.Н. Устройство для измерения толщины металлических плёнок, нанесённых на диэлектрическую основу / ПТЭ. - 1985. - №1.- С.254. Усанов Д.А., Вагврин А.Ю., Коротин Б.Н. Устройство для измерения параметров диэлектрических материалов. Авт. свид. №1161898. - Бюл. изобр. - 1985. - №22. - С.184-185. Усанов Д.А., Тупикин В.Д., Скрипаль А.В., Коротин Б.Н. Радиоволновые измерители на основе эффекта автодинного детектирования в полупроводниковых СВЧ генераторах / Тез. докл. Всесоюзной научно-технической конференции “Оптические, радиоволновые и тепловые методы и средства неразрушающего контроля качества промышленной продукции”. - Саратов: Изд. СГУ. - 1991. - С.4-6. Усанов Д.А., Скрипаль А.В., Коротин Б.Н., Лицов А.А., Гришин В.К., Свирщевский С.Б., Струков А.З. Устройство для измерения параметров диэлектрических материалов. Авт. свид. №1264109. - Бюлл. изобр. - 1986. - №38. - С.138. Усанов Д.А., Скрипаль А.В., Орлов В.Е, Гришин В.К., Левин М.Н., Ефимов В.П. Способ измерения амплитуды вибраций осе симметричных объектов. Авт. свид. №1585692. - Бюлл. изобр. - 1990. - №30. - С.204. Корн Г., Корн Т. Справочник по математике для научных работников и инженеров. Пер. с амер. / под ред. Арамаковича И. Г. - М.:Наука. - 1973. - 831 с. Будак Б. М., Фомин С. В. Кратные интегралы и ряды. - М.:Наука. - 1965. - 608 с. Маккракен Д., Дорн У. Численные методы и программирование на ФОРТРАНе. Пер. с англ. / под ред. Наймарка Б. М. - М.:Мир. - 1977. - 584 с. Приложение. Текст программы для моделирования процессов в многоконтурном генераторе на диоде Ганна. {$A+,B-,D-,E-,F-,G-,I+,L+,N+,O-,P-,Q-,R-,S+,T-,V+,X+} program gist_f3; uses crt,graph,AN; label 1,2; const n=15; q1=1.6e-19; n123=1e21; c2=0.03e-12; s123=1e-8; c3=0.3e-12; mm1=0.6; c4=0.8e-12; Lg=1e-5; c5=10e-12; { отсечение НЧ цепи } Eb=4e5; c6=1e-6; T10=300.0; c7=15e-12; r1=0.01; l2=0.2e-9; r3=1; l3=0.6e-9; r4=0.0005; l4=0.01e-9; { крутим } r5=100; l5=100e-9; Eds=3.8; l6=35e-9; l7=0.12e-9; ll0=0.03; {sm} llk=0.046; maxpoint=1000000000; z0=39.43e3; Type FL=EXTENDED; Type ry=array[1..1100]of FL; Type tt=array[1..N]of FL; var sign,g1,sign1,sign2,sign3:ry; oldy1,oldy:array[1..10] of integer; K1,y,f,w:tt; delta_i,frequency,old_f,old_cur,di,oldc1,oldc2,c1,l1, sign0,d_visir,bn,iv1,iv11,iv12,x,h,vp1,smax,f0,s0,Vs,Vs1, y1,s1,ppp:FL; mark,count,fcount,point,deltax,fsign,gd,oldx,oldx1,dh,dj, visir_1,visir_2,visir_3,visir_4,k,aaa,i,ii,iii,phas_x, phas_y:integer; round,fpoint,iii1,loop:longint; visir_f,visir_f1,visir_s,power,size_x,size_y:real; c:char; P: Pointer; Size: Word; s:string; Procedure current; var U:real; { BAX } begin Vs:=eds/(Eb*Lg); Vs1:=Vs*Vs*Vs; Vs:=(1+0.265*Vs1/(1-T10*5.3E-4))/(1+Vs1*Vs); Vs:=1.3E7*Eds*Vs/T10; if y[3]<3.3 then u:=y[3]; if y[3]>3.6 then u:=y[3]+2 else begin if f[3]>0 then u:=y[3] else u:=y[3]+2; end; iv12:=sqr(sqr(u/eb/Lg)); iv11:=mm1*u/Lg+vs*iv12; iv1:=q1*n123*s123*iv11/(1+iv12); end; procedure kzp; { КЗП } var ll2:FL; begin l1:=0.2e-9; c1:=0.1e-12; llv:=ll0/sqrt(1-sqr(ll0/llk)); z:=z0*Sin(6.28*lll/llv)/Cos(6.28*lll/llv); if z<0 then begin ll2:=abs(z)/6.28e10; l1:=l1*ll2/(l1+ll2); end else c1:=c1+1/(z*6.28e10); } end; Procedure anna(y:tt; var f1:tt); begin current; f[1]:=(y[6]-y[7]-y[12])/c5; { Uag } f[2]:=(y[7]-y[8]-y[9])/c4; { Ubg } f[3]:=(y[8]-iv1)/c3; { Ucc'} f[4]:=(y[9]-y[4]*r1-y[10])/c1; { Udg } f[5]:=0; { Ueg } f[6]:=(eds-y[1]-y[6]*r4)/l1; { i1 } f[7]:=(y[1]-y[2])/l4; { i2 } f[8]:=(y[2]-y[3]-y[8]*r3)/l3; { i7 } f[9]:=(y[2]-y[11]-y[4])/l2; { i6 } f[10]:=y[4]/l1; { iL1 } f[11]:=y[9]/c2; { Uc2 } f[12]:=(y[1]-y[13]-y[14])/L7; { i3' } f[13]:=y[12]/c6; { Uc6 } f[14]:=(y[12]-y[15]-y[14]/r5)/c7; { Ukg } f[15]:=y[14]/L6; { iL6 } end; procedure an2; { spector } begin XMIN:=0;XMAX:=40;YMIN:=0;YMAX:=100; YGMIN:=25;YGMAX:=200;XGMIN:=350;XGMAX:=630; nx:=4;ny:=5; setcolor(7); OutTextxy(XGMIN,YGMIN-10,'Спектр тока на диоде'); OutTextxy(XGMAX-50,YGMAX+20,'f,GHz.'); setcolor(15); moveto(xgmin,ygmax); end; procedure an3; { u,i } begin XMIN:=0;XMAX:=4;YMIN:=-4;YMAX:=10; YGMIN:=240;YGMAX:=420;XGMIN:=50;XGMAX:=630; nx:=8;ny:=7; setcolor(7); OutTextxy(XGMIN,YGMIN-10,'i7-green, Uag-magenta'); OutTextxy(XGMAX-50,YGMAX+20,'t, ns.'); setcolor(15); end; procedure an4; { phasa i7 } begin XMIN:=-4;XMAX:=8;YMIN:=-15;YMAX:=5; YGMIN:=25;YGMAX:=200;XGMIN:=50;XGMAX:=320; nx:=1;ny:=1; setcolor(7); OutTextxy(XGMIN,YGMIN-10,'di7/dt Фаз.портрет тока на диоде'); OutTextxy(XGMAX-50,YGMAX+20,'i7'); setcolor(15); end; procedure Result; { вычисление и вывод отношения частот } begin if (visir_f>=visir_f1) then begin if (visir_f1<>0) then begin setcolor(0); outtextxy(540,75,'___________'); setcolor(13); line(540,70,620,70); str((visir_f/visir_f1):5:3,s); outtextxy(540,75,s); end; end else begin if (visir_f<>0) then begin setcolor(0); outtextxy(540,75,'___________'); setcolor(13); str((visir_f1/visir_f):5:3,s); outtextxy(540,75,s); end; end; end; procedure v12; { вывод информации физиров 1 и 2 } begin d_visir:=1e-9*abs(visir_2-visir_1)*(xmax-xmin)/(xgmax- xgmin); setcolor(0); outtextxy(540,255,'___________'); outtextxy(540,35,'___________'); setcolor(15); if(d_visir<>0) then begin an2; line(trunc(visir_s),ygmin,trunc(visir_s),ygmax); visir_s:=xgmax-trunc((xmax-1/(d_visir*1e9))*(xgmax- xgmin)/(xmax-xmin)); line(trunc(visir_s),ygmin,trunc(visir_s),ygmax); str((1e-9/d_visir):5:3,s); outtextxy(540,35,s+' GHz'); end; str(d_visir*1e9:5:4,s); outtextxy(540,255,s+' ns'); end; BEGIN oldc1:=0; oldc2:=0; gd:=0; InitGraph(gd,gm,'E:\tp-7\bgi'); an2; scal; an4; scal; an3; scal; setcolor(11); current; kzp; { Начальные условия } dh:=4; dj:=2; x:=0; h:=8e-13; y[1]:=eds; w[1]:=eds; y[3]:=eds; y[6]:=iv1; w[3]:=eds; w[6]:=iv1; y[2]:=eds; y[7]:=iv1; w[2]:=eds; w[7]:=iv1; y[5]:=eds; y[8]:=iv1; w[5]:=eds; w[8]:=iv1; y[4]:=eds; y[6]:=iv1; w[4]:=eds; w[6]:=iv1; y[11]:=eds; y[10]:=0; y[9]:=iv1; w[9]:=iv1; w[11]:=eds; w[10]:=0; y[12]:=0; w[12]:=y[12]; y[13]:=eds; w[13]:=y[13]; y[14]:=0; w[14]:=y[14]; y[15]:=0; w[15]:=y[15]; loop:=1; { номеp pазвеpтки тока } phas_x:=0; phas_y:=0; { сдвиг фазового поpтpета } size_x:=1;size_y:=1; { масштаб фазового портрета } an2; visir_s:=800; visir_3:=xgmin; visir_f:=0; visir_4:=xgmin; visir_f1:=0; an3; visir_1:=xgmin; visir_2:=xgmin; { визиры } count:=1; mark:=0; round:=0; old_cur:=iv1; fcount:=0; fsign:=1; fpoint:=1; frequency:=1e10; old_f:=1e10; Smax:=0; power:=0; oldx:=xgmax-trunc((xmax-0)*(xgmax-xgmin)/(xmax-xmin)); for aaa:=1 to 10 do oldy[aaa]:=ygmin-trunc((ymax-y[8]*10)*(ygmin- ygmax)/(ymax-ymin)); { Рунге-Кутт } for iii1:=-249 to maxpoint do begin for iii:=0 to 4 do begin anna(y,f); for k:=1 to n do begin K1[k]:=f[k]*h; y[k]:=w[k]+h*f[k]/2; end; x:=x+h/2; anna(y,f); for k:=1 to n do begin K1[k]:=K1[k]+2*f[k]*h; y[k]:=w[k]+f[k]*h/2; end; anna(y,f); for k:=1 to n do begin K1[k]:=K1[k]+2*f[k]*h; y[k]:=w[k]+f[k]*h; end; x:=x+h/2; anna(y,f); for k:=1 to n do begin y[k]:=w[k]+(K1[k]+f[k]*h)/6; w[k]:=y[k]; end; end; { вычисление мощности } power:=power+y[8]*y[2]; { вычисление частоты по изменению знака производной } if fsign > 0 then begin if y[8]-old_cur <= 0 then begin if fcount = 0 then fpoint:=iii1; fcount:=fcount+1; fsign:=-1; end; end else begin if y[8]-old_cur >= 0 then begin if fcount = 0 then fpoint:=iii1; fcount:=fcount+1; fsign:=1; end; end; old_cur:=y[8]; if fcount = 15 then begin { Частота сигнала } fcount:=1; mark:=1; old_f:=frequency; frequency:=(iii1-fpoint)/(h*4.2e3 * 5); fpoint:=iii1; power:=power *h*frequency/5; str(power:5:4,s); power:=0; setcolor(0); outtextxy(250,460,' '); setcolor(11); outtextxy(250,460,'Puhf = '+s+' W'); end; { вывод графиков токов и напряжений } if(iii1>0) then begin an3; if(iii1=loop*1000) then begin loop:=loop+1; setfillstyle(0,0); bar(xgmin+1,ygmin+1,xgmax-1,ygmax-1); scal; setwritemode(XORput); setcolor(15); line(visir_1,ygmin,visir_1,ygmax); line(visir_2,ygmin,visir_2,ygmax); setwritemode(COPYput); str(d_visir*1e9:5:4,s); outtextxy(540,255,s+' ns'); round:=round+1; setcolor(0); outtextxy(50,460,' '); str(round*4:6,s); setcolor(11); outtextxy(50,460,'time = '+s+' ns+'); oldx:=xgmax-trunc((xmax-0)*(xgmax- xgmin)/(xmax-xmin)); for aaa:=1 to 10 do oldy[aaa]:=ygmin-trunc((ymax- y[8]*10)*(ygmin-ygmax)/(ymax-ymin)); end; bn:=x*1e9; y1:=y[1]-1; xg:=xgmax-trunc((xmax-bn)*(xgmax-xgmin)/(xmax- xmin)); xg:=xg-145-580*(loop-1); yg:=ygmin-trunc((ymax-y[8]*10)*(ygmin- ygmax)/(ymax-ymin)); setcolor(10); line(oldx,oldy[1],xg,yg); oldy[1]:=ygmin-trunc((ymax-y[8]*10)*(ygmin- ygmax)/(ymax-ymin)); { yg:=ygmin-trunc((ymax-frequency/1e10)*(ygmin- ygmax)/(ymax-ymin)); setcolor(14); line(oldx,oldy[2],xg,yg); oldy[2]:=ygmin-trunc((ymax- frequency/1e10)*(ygmin-ygmax)/(ymax-ymin)); } yg:=ygmin-trunc((ymax-y1)*(ygmin-ygmax)/(ymax- ymin)); setcolor(13); line(oldx,oldy[3],xg,yg); oldy[3]:=ygmin-trunc((ymax-y1)*(ygmin- ygmax)/(ymax-ymin)); oldx:=xg; end; { phas. portret } if(iii1>0) then begin an4; di:=(y[8]-oldc1)*50*size_y; yg:=ygmax-trunc((ymax-di)*(ygmax-ygmin)/(ymax- ymin)); xg:=xgmin-trunc((xmax-y[8]*15*size_x)*(xgmin- xgmax)/(xmax-xmin)); putpixel(xg+phas_x,yg+phas_y,10); oldc1:=y[8]; if(iii1<=500) then begin Smax:=Smax+y[8]; sign[iii1]:=y[8]; end else begin Smax:=Smax-sign[1]+y[8]; for i:=1 to 499 do begin sign[i]:=sign[i+1]; end; sign[500]:=y[8]; end; end; if(iii1>249) then begin { control circle } if (mark=1) then begin mark:=0; setcolor(14); circle(xg+phas_x,yg+phas_y,3); setcolor(10); end; end; { управление экраном } if keypressed=true then begin c:=readkey; case c of { пеpемещение фаз. поpepета } '1': begin an4; setfillstyle(0,0); bar(xgmin+1,ygmin+1,xgmax-1,ygmax-1); end; '4': begin phas_x:=phas_x-10; an4; Size := ImageSize(xgmin+1, ygmin+1, xgmax-1, ygmax-1); GetMem(P, Size); GetImage(xgmin+1, ygmin+1, xgmax-1, ygmax-1, P^); setfillstyle(0,0); bar(xgmin+1,ygmin+1,xgmax-1,ygmax-1); PutImage(xgmin+1-10, ygmin+1, P^, NormalPut); FreeMem(P, Size); scal; end; '6': begin phas_x:=phas_x+10; an4; Size := ImageSize(xgmin+1, ygmin+1, xgmax-1, ygmax-1); GetMem(P, Size); GetImage(xgmin+1, ygmin+1, xgmax-1, ygmax-1, P^); setfillstyle(0,0); bar(xgmin+1,ygmin+1,xgmax-1,ygmax-1); PutImage(xgmin+1+10, ygmin+1, P^, NormalPut); FreeMem(P, Size); scal; end; '2': begin phas_y:=phas_y+10; an4; Size := ImageSize(xgmin+1, ygmin+1, xgmax-1, ygmax-1); GetMem(P, Size); GetImage(xgmin+1, ygmin+1, xgmax-1, ygmax-1, P^); setfillstyle(0,0); bar(xgmin+1,ygmin+1,xgmax-1,ygmax-1); PutImage(xgmin+1, ygmin+1+10, P^, NormalPut); FreeMem(P, Size); scal; end; '8': begin phas_y:=phas_y-10; an4; Size := ImageSize(xgmin+1, ygmin+1, xgmax-1, ygmax-1); GetMem(P, Size); GetImage(xgmin+1, ygmin+1, xgmax-1, ygmax-1, P^); setfillstyle(0,0); bar(xgmin+1,ygmin+1,xgmax-1,ygmax-1); PutImage(xgmin+1, ygmin+1-10, P^, NormalPut); FreeMem(P, Size); scal; end; { пеpеход на вычисление спектpа } 's': begin goto 1; end; { масштаб фаз. поpтpета } '+': begin an4; setfillstyle(0,0); bar(xgmin+1,ygmin+1,xgmax-1,ygmax-1); size_x:=size_x+0.1; size_y:=size_y+0.1; end; '-': begin an4; setfillstyle(0,0); bar(xgmin+1,ygmin+1,xgmax-1,ygmax-1); size_x:=size_x-0.1; size_y:=size_y-0.1; end; end; 2: end; end; { спектр } 1: SETCOLOR(15); an2; f0:=0; Smax:=0; sign0:=0; setcolor(15); for k:=1 to 200 do begin s0:=0;s1:=0; FOR i:=1 to 500 do begin s0:=s0+(sign[i]-sign0)*cos(f0*i*6.28e-9/250); s1:=s1+(sign[i]-sign0)*sin(f0*i*6.28e-9/250); end; if k=1 then begin sign0:=s0/500; s0:=0; end; f0:=f0+2e8; g1[k]:=s0*s0+s1*s1; if g1[k]>Smax then Smax:=g1[k]; end; ppp:=s0*s0+s1*s1; f0:=0; { очистка поля и перерисовка визиров и цифр } setfillstyle(0,0); bar(xgmin+1,ygmin+1,xgmax-1,ygmax-1); scal; setwritemode(XORput); if(d_visir<>0) then begin line(trunc(visir_s),ygmin,trunc(visir_s),ygmax); str((1e-9/d_visir):5:3,s); outtextxy(540,35,s+' GHz'); end; line(visir_3,ygmin,visir_3,ygmax); setcolor(14); line(visir_4,ygmin,visir_4,ygmax); setwritemode(COPYput); setcolor(11); str(visir_f:5:3,s); outtextxy(540,50,s+' GHz'); setcolor(14); str(visir_f1:5:3,s); outtextxy(540,60,s+' GHz'); Result; { рисование спектра } moveto(xgmin,ygmax);setcolor(10); for k:=1 to 200 do begin xg:=xgmax-trunc((xmax-f0/1e9)*(xgmax-xgmin)/(xmax- xmin)); yg:=ygmin-trunc((ymax-100*g1[k]/SMAX)*(ygmin- ygmax)/(ymax-ymin)); lineto(xg,yg); f0:=f0+2e8; end; { конец спектра } repeat c:=readkey; case c of { перемещение визиров } '9': begin an3; setwritemode(XORput); setcolor(15); line(visir_1,ygmin,visir_1,ygmax); visir_1:=visir_1+1; line(visir_1,ygmin,visir_1,ygmax); v12; setwritemode(COPYput); end; '7': begin an3; setwritemode(XORput); setcolor(15); line(visir_1,ygmin,visir_1,ygmax); visir_1:=visir_1-1; line(visir_1,ygmin,visir_1,ygmax); v12; setwritemode(COPYput); end; '6': begin an3; setwritemode(XORput); setcolor(15); line(visir_2,ygmin,visir_2,ygmax); visir_2:=visir_2+1; line(visir_2,ygmin,visir_2,ygmax); v12; setwritemode(COPYput); end; '4': begin an3; setwritemode(XORput); setcolor(15); line(visir_2,ygmin,visir_2,ygmax); visir_2:=visir_2-1; line(visir_2,ygmin,visir_2,ygmax); v12; setwritemode(COPYput); end; '3': begin an2; setwritemode(XORput); setcolor(11); line(visir_3,ygmin,visir_3,ygmax); visir_3:=visir_3+1; line(visir_3,ygmin,visir_3,ygmax); visir_f:=(visir_3-xgmin)*(xmax- xmin)/(xgmax-xgmin); setcolor(0); outtextxy(540,50,'___________'); setcolor(11); str(visir_f:5:3,s); outtextxy(540,50,s+' GHz'); setwritemode(COPYput); Result; end; '1': begin an2; setwritemode(XORput); setcolor(11); line(visir_3,ygmin,visir_3,ygmax); visir_3:=visir_3-1; line(visir_3,ygmin,visir_3,ygmax); visir_f:=(visir_3-xgmin)*(xmax- xmin)/(xgmax-xgmin); setcolor(0); outtextxy(540,50,'___________'); setcolor(11); str(visir_f:5:3,s); outtextxy(540,50,s+' GHz'); setwritemode(COPYput); Result; end; '.': begin an2; setwritemode(XORput); setcolor(14); line(visir_4,ygmin,visir_4,ygmax); visir_4:=visir_4+1; line(visir_4,ygmin,visir_4,ygmax); visir_f1:=(visir_4-xgmin)*(xmax- xmin)/(xgmax-xgmin); setcolor(0); outtextxy(540,60,'___________'); setcolor(14); str(visir_f1:5:3,s); outtextxy(540,60,s+' GHz'); setwritemode(COPYput); Result; end; '0': begin an2; setwritemode(XORput); setcolor(14); line(visir_4,ygmin,visir_4,ygmax); visir_4:=visir_4-1; line(visir_4,ygmin,visir_4,ygmax); visir_f1:=(visir_4-xgmin)*(xmax- xmin)/(xgmax-xgmin); setcolor(0); outtextxy(540,60,'___________'); setcolor(14); str(visir_f1:5:3,s); outtextxy(540,60,s+' GHz'); setwritemode(COPYput); Result; end; ' ':begin goto 2; end; end; until (c='q'); end. { -= EOF =- } В заключении хочу выразить благодарность доценту кафедры физики твёрдого тела Саратовского госуниверситета Скрипалю Александру Владимировичу и аспиранту той же кафедры Бабаяну Андрею Владимировичу за оказанную помощь и внимательное отношение к выполнению дипломной работы. 1 Справочная информация: PВЫХ=10 мВт, IПИК=270 мА, RПОТ=3-20 Ом., L=1.7 нГн., UПСТ=8.5 В., f=13 ГГц. 2 Справочная информация: UОБР=30 В., IОБР=10 мкА., UПР=2.5 В., IПР/ИМП=0.02/0.2 А., f=350 МГц. 4 ОТЗЫВ на дипломную работу студента 5 курса физического факультета Каца Ефима Ильича “Исследование эффекта автодинного детектирования в многоконтурном генераторе на диоде Ганна”. В дипломной работе Каца Е.И. проведено теоретическое и экспериментальное исследование процессов в автодинном генераторе на диоде Ганна и, в частности, эффекта автодинного детектирования. Дипломная работа состоит из введения, трёх глав, выводов и приложения. Во введении дана постановка задачи, обоснован выбор объекта исследования. В первой главе приведено описание автодинных генераторов на полупроводниковых диодах, приведены сравнительные характеристики различных диодов и обоснован выбор диода Ганна в качестве исследуемого генератора. Во второй главе приведены результаты теоретического исследования эффекта автодинного детектирования в диоде Ганна. Была составлена и описана многоконтурная эквивалентная схема автодина на диоде Ганна. На основе эквивалентной схемы проведено компьютерное моделирование процессов в автодине на диоде Ганна. Обнаружено, что изменение нагрузки в СВЧ- и НЧ-цепях могут вызывать изменение продетектированных в этих цепях сигналов как одинакового, так и противоположного знаков. Установлено, что наблюдавшиеся экспериментально локальные максимумы и минимумы на зависимостях продетектированного сигнала от изменения нагрузки в СВЧ-цепи обусловлены наличием в спектре выходного сигнала СВЧ-генератора на диоде Ганна высших гармоник. В третьей главе приведены описание экспериментальной установки и результаты экспериментальных исследований. Было установлено, что в режиме многочастотной генерации изменение нагрузки в СВЧ-цепи приводит к изменению сигнала, продетектированному в НЧ-цепи, а изменение нагрузки в НЧ-цепи приводит к изменению сигнала в СВЧ-цепи. При этом изменения продетектированных в этих цепях сигналов могут быть как одинакового, так и противоположного знаков. Зависимости величины продетектированных в НЧ- и СВЧ-цепях сигналов от перемещения короткозамыкающего поршня периодичны и имеют локальные максимумы и минимумы. В приложении приводится текст программы для компьютерного моделирования процессов в многоконтурном автодинном генераторе на диоде Ганна. За время выполнения дипломной работы Кац Е.И. продемонстрировал умение работать с литературой монографического характера и периодикой, ознакомился с математическими методами моделирования процессов в полупроводниковых приборов, ознакомился с методикой экспериментальных исследований. Считаем, что дипломная работа Каца Е.И. заслуживает оценки “отлично”, а сам дипломник, присвоения ему квалификации “инженер-физик”.
11 июня 1996 г.
5 При изменении уровня мощности СВЧ-излучения, воздействующего на полупроводниковые элементы с отрицательным сопротивлением, наблюдается изменение режима их работы по постоянному току, что можно понимать как проявление эффекта детектирования. В случае, если прибор с отрицательным сопротивлением является активным элементом СВЧ-генератора наблюдается эффект автодинного детектирования. Важной областью применения автодинов является контроль параметров материалов, используемых в радиотехнике и микроэлектронике. Применение эффекта автодинного детектирования в полупроводниковых СВЧ-генераторах для контроля параметров материалов и структур основано на установлении зависимости величины продетектированного СВЧ-сигнала от параметров контролируемых величин: толщины, диэлектрической проницаемости, проводимости. Однако, прежде чем создавать конкретный прибор на основе данного эффекта, необходимо промоделировать его работу. Для этого необходимо рассмотреть принципы действия таких устройств. Одним из методов, позволяющих провести расчёт величины эффекта автодинного детектирования при реальных параметрах активного элемента и нагрузки, определить области значений контролируемых параметров материалов, в которых чувствительность автодина к их изменению максимальна, наметить пути оптимизации конструкции генератора, является метод, основанный на рассмотрении эквивалентной схемы СВЧ-генератора, в которой комплексная проводимость нагрузки определяется параметрами исследуемого материала и характеристиками электродинамической системы. Целью дипломной работы являлось исследование эффекта автодинного детектирования в многоконтурных СВЧ-генераторах на диоде Ганна для создания измерителей параметров материалов, вибрации и выявления особенностей их работы. В данной работе проводилось математическое моделирование процессов, происходящих в многоконтурном автодине на диоде Ганна. Для этого была составлена эквивалентная схема автодина, которая приведена на Плакате 1 (сверху), элементы которой моделируют полупроводниковую структуру диода Ганна в виде параллельно соединённых ёмкости С3 и активного нелинейного сопротивления, определяемого по ВАХ диода I(U), элементы корпуса диода L3 , C4 , СВЧ-резонатор в виде последовательного C2 , L2 и параллельного L1 , Y1 , C1 контуров, низкочастотную часть схемы, состоящую из последовательного L7 , C6 и параллельного C7 , R5 , L6 контуров, дросселя L5 в цепи питания, шунтирующей ёмкости С5 и индуктивности связи L4 диода с НЧ-схемой. Эквивалентная схема описывается системой из четырнадцати дифференциальных уравнений, составленных на основе законов Кирхгофа (Плакат 1 снизу). Эта система нелинейна и решалась численно методом Рунге-Кутта. При расчёте использовалась типичная ВАХ диода Ганна с гистерезисом. При решении системы учитывалась частотная зависимость СВЧ- нагрузки. По результатам решения системы вычислялись мощности сигналов и величины продетектированных сигналов в СВЧ- и НЧ-цепях на основе выражений, приведенных на Плакате 2 (сверху). При расчёте величины продетектированного сигнала учитывались гармонические составляющие СВЧ-сигнала, с частотами равными f0, 2f0 и 3f0. Мощность остальных гармоник составляла менее 1% мощности выходного сигнала СВЧ-генератора. Здесь f0-частота основной гармоники выходного сигнала. Результаты теоретического расчёта величин продетектированных сигналов Ufg и Ukg в СВЧ- и НЧ- цепях соответственно представлены на Плакате 2 (снизу). Теоретический расчёт показал, что изменение положения короткозамыкающего поршня в СВЧ-тракте наряду с изменением мощности СВЧ-колебаний приводит к изменению амплитуды колебаний в низкочастотном контуре, что позволяет регистрировать наряду с сигналом автодетектирования в цепи питания по постоянному току сигнал внешнего детектирования как на частотах СВЧ-диапазона, так и в низкочастотном диапазоне. Выяснено, что наблюдавшиеся экспериментально локальные максимумы и минимумы на представленных зависимостях обусловлены наличием в спектре выходного сигнала СВЧ-генератора на диоде Ганна высших гармоник. Математическое моделирование процессов в генераторе на диоде Ганна позволило установить, что наблюдавшееся экспериментально существование областей значений входных сопротивлений СВЧ-нагрузки, в которых их изменение вызывает изменение продетектированных в СВЧ- и НЧ-цепях сигналов одинакового знака, и областей, в которых изменения продетектированных сигналов имеют противоположные знаки, обусловлено наличием значительной реактивной составляющей СВЧ-тока в полупроводниковой структуре диода Ганна. В то же время отметим, что изменение реактивных элементов НЧ-контура более, чем на два порядка приводит лишь к незначительному (не более 5%) смещению границ этих областей. Было проведено экспериментальное исследование зависимости величины продетектированного сигнала в автодинном генераторе на диоде Ганна, работающем в различных частотных диапазонах от положения СВЧ короткозамыкающего поршня. Использовался генератор волноводной конструкции с диодом, помещённым в разрыв металлического стержневого держателя. К цепи питания диода Ганна через разделительный конденсатор параллельно диоду был подключен низкочастотный контур. Частота СВЧ-колебаний составляла 10 ГГц, частота низкочастотных колебаний 10 МГц. Для детектирования низкочастотных колебаний использовался детекторный диод типа. Для контроля СВЧ-колебаний использовался измеритель мощности. Кроме того, в ходе экспериментальных исследований регистрировался постоянный ток, протекающий через диод Ганна, по падению напряжения на резисторе с сопротивлением порядка 1 Ом, включённом в цепь питания диода Ганна. Схема экспериментальной установки приведена на Плакате 3 (сверху). Она включает в себя источник питания СВЧ-выключателя 1 для раздельного воздействия сигналами СВЧ и НЧ, источник питания диода Ганна 2, схему обработки информации и индикации 3, детекторный диод 4, разделительный конденсатор 5, СВЧ-выключатель 6, диод Ганна 7, конденсатор низкочастотного колебательного контура 8 и катушку индуктивности 9. В результате экспериментальных исследований было обнаружено, что в режиме многочастотной генерации изменение нагрузки в СВЧ-цепи (т.е. изменение положения короткозамыкающего поршня) приводит к изменению сигнала, продетектированному в НЧ-цепи, а изменение нагрузки в НЧ-цепи (т.е. изменение индуктивности или ёмкости) приводит к изменению сигнала в СВЧ-цепи. При этом изменения продетектированных в этих цепях сигналов могут быть как одинакового, так и противоположного знаков. Как следует из результатов, приведённых на Плакате 3 (снизу), зависимости величины продетектированных в НЧ и СВЧ-цепях сигналов Uнчи Iсвч от перемещения короткозамыкающего поршня периодичны и имеют локальные максимумы и минимумы. Заключение. При выполнении дипломной работы были получены следующие результаты: 1. Проведен анализ современного состояния проблемы измерения параметров материалов и структур с помощью эффекта автодинного детектирования. 2. Построена теоретическая модель многоконтурного автодинного генератора на диоде Ганна, разработана и описана эквивалентная схема. 3. На основе построенной модели составлена программа для расчета параметров многоконтурного генератора на диоде Ганна. 4. Проведено компьютерное моделирование работы многоконтурного автодина на диоде Ганна. 5. Теоретически и экспериментально исследованы особенности проявления эффекта автодинного детектирования в многоконтурном генераторе на диоде Ганна с низкочастотным колебательным контуром в цепи питания. Обнаружено, что изменение нагрузки в СВЧ- и НЧ-цепях могут вызывать изменение продетектированных в этих цепях сигналов как одинакового, так и противоположного знаков. Установлено, что наблюдавшиеся экспериментально локальные максимумы и минимумы на зависимостях продетектированного сигнала от изменения нагрузки в СВЧ-цепи обусловлены наличием в спектре выходного сигнала СВЧ-генератора на диоде Ганна высших гармоник. |

(2.1-2.4)

(2.4-2.14)
, (2.15) 
(2.26)

