Реферат: Механізм підвищення економіко екологічної ефективності природоохоронних інвестицій в екосистемні
|
Название: Механізм підвищення економіко екологічної ефективності природоохоронних інвестицій в екосистемні Раздел: Рефераты по экологии Тип: реферат |
| НАЦІОНАЛЬНА АКАДЕМІЯ НАУК УКРАЇНИ Інститут проблем ринку та економіко-екологічних досліджень Арестов Сергій Вікторович УДК 502.33:330.131.7.001.76 МЕХАНІЗМ ПІДВИЩЕННЯ ЕКОНОМІКО-ЕКОЛОГІЧНОЇ ЕФЕКТИВНОСТІ ПРИРОДООХОРОННИХ ІНВЕСТИЦІЙ В ЕКОСИСТЕМНІ ПОСЛУГИ Спеціальність 08.00.06- Економіка природокористування та охорони навколишнього середовища Автореферат дисертації на здобуття наукового ступеня кандидата економічних наук Одеса – 2008 Дисертацією є рукопис. Робота виконана в Одеському державному екологічному університеті Міністерства освіти і науки України Науковий керівник доктор економічних наук, професор Ковальов Володимир Георгійович Одеський державний екологічний університет Міністерства освіти і науки України, завідувач кафедри менеджменту природоохоронної діяльності Офіційні опоненти: доктор економічних наук, професор Горлачук Валерій Васильович, Миколаївський державний гуманітарний університет ім. П. Могили Міністерства освіти і науки України, завідувач кафедри економіки підприємства доктор економічних наук, с.н.с. Громова Олена Миколаївна, Інститут проблем ринку та економіко-екологічних досліджень НАН України, головний науковий співробітник відділу економіко-екологічних проблем приморських регіонів Захист відбудеться 2 липня 2008 р. о 1500 годині на засіданні спеціалізованої вченої ради Д 41.177.01 в Інституті проблем ринку та економіко-екологічних досліджень НАН України за адресою: 65044, Україна, м. Одеса, Французький бульвар, 29. З дисертацією можна ознайомитись у бібліотеці Інституту проблем ринку та економіко-екологічних досліджень НАН України за адресою: 65044, Україна, м. Одеса, Французький бульвар, 29. Автореферат розісланий “31” травня 2008 р. Учений секретар спеціалізованої вченої ради Ковальова Н.Г. ЗАГАЛЬНА ХАРАКТЕРИСТИКА РОБОТИ Актуальність теми. Підйом української економіки, що намітився в останні роки, обумовив можливість залучення великих інвестицій у різні її сектори та галузі. Разом із цим, з урахуванням особливостей пострадянського підходу до природокористування, відомчих підходів і наростання глобальних проблем багато регіонів, територій та природних об'єктів України знаходяться у кризовому економіко-екологічному стані, що є певною потенційною загрозою за умови збільшення виробничого пресингу в різних його видах (відповідно до 4-го, 5-го, 6-го виробничого укладу). Певною відповіддю на ситуацію, яка склалася, можуть стати розробки в сфері природоохоронного інвестування та екологізації інвестиційної діяльності в цілому. В дослідження економіко-екологічних проблем з екологічного інвестування та, пов'язаних з ним, видів економічної діяльності достатній внесок зробили українські вчені І.О.Александров, Б.В. Буркинський, О.Ф. Балацький, В.В. Горлачук, Т.П. Галушкіна, І.Г.Гречановська, О.М. Громова, С.М. Ілляшенко, В.Г. Ковальов, Н.Г.Ковальова, О.О. Лапко, Л.Г. Мельник, Є.В. Мішенін, В.А. Паламарчук, В.М. Степанов, О.В. Садченко, В.М.Трегобчук, С.К.Харічков, важливий внесок у розвиток загальної теорії інвестиційної діяльності внесли А.М. Алимов, В.П. Александрова, Ю.В. Бажал, В.М. Геєць, З.В. Герасимчук, І.І. Грузнов, В.І. Захарченко, С.М. Козьменко, О.Є. Кузьмін, І.І. Лукінов, Б.А. Малицький, І.П. Продіус, А.І. Сухоруков, М.Г. Чумаченко . Проте, незважаючи на очевидні досягнення у вивченні комплексу проблем екологічних інвестицій, залишаються вкрай актуальними питання дослідження категоріального апарату цього нового економіко-екологічного напряму, розробки методологічних підходів і методів впровадження екологічного інвестування та екологізації інвестиційної сфери. При цьому особливого значення набувають питання формування наукових основ управління інвестиційними процесами в екологічній сфері, визначення ролі держави та розширення сфери дії ринкових механізмів. Ці питання у вітчизняній та закордонній економічній науці пророблені недостатньо. Дані обставини обумовили вибір теми дисертаційної роботи, її мету та побудову структури досліджень. Зв'язок роботи з науковими програмами, планами, темами. Дисертація виконувалась відповідно до планів бюджетної тематики за темами: "Економіко-екологічні проблеми розвитку чистих технологій" (номер державної реєстрації 0105U004502), де автором сформульовано методологічні та методичні принципи формування системи інтегрованого управління екологічними інвестиціями; "Оптимізація транспортного комплексу як бази сталого розвитку приморських територій України" (номер державної реєстрації 0105U004886) – автором розроблено методологічні та методичні підходи до вдосконалювання оцінки економіко-екологічного та соціально-екологічного інвестиційного ефекту. Мета та завдання дослідження. Метою дисертаційної роботи є розробка теоретичного, методичного та організаційного забезпечення механізмів підвищення економіко-екологічної ефективності природоохоронних інвестицій. Необхідність досягнення поставленої мети обумовила першочергову важливість вирішення таких завдань: уточнити понятійно-категоріальний апарат системи інвестицій, спрямованих на охорону навколишнього природного середовища та раціональне природокористування; сформувати методологічний базис економіко-екологічного моніторингу інвестиційного середовища в сфері охорони природи та раціонального природокористування як складової процесу вдосконалювання національного інвестиційного розвитку; удосконалити методичні підходи до оцінки ефективності інвестиційної діяльності в сфері природокористування; підвищити ефективність механізмів економіко-екологічної інвестиційної політики; сформувати стратегії та механізми регіоналізації ефективної екологічної інвестиційної діяльності як ключового елемента національного економіко-екологічного розвитку. Об'єктом дослідження є механізми управління інвестиційними процесами в сфері природокористування. Предметом дослідження є теоретико-методологічні та методичні основи формування системи ефективного управління природоохоронними інвестиціями. Методи дослідження. Методичною основою дисертаційного дослідження є теоретичні розробки вітчизняних і закордонних учених у галузі економіки природокористування та охорони навколишнього середовища, екологічних інвестицій, інвестиційної теорії. При оцінці тенденції національного інвестиційного розвитку в контексті трансформацій економіко-екологічного розвитку використовувалися методи інтегрування підходів економіко-екологічного апарату, загальної теорії розвитку, методи експертних оцінок, методи економіко-екологічного аналізу. В основу формування стратегій і механізмів супроводу екологічної інвестиційної діяльності та підвищення ефективності механізмів економіко-екологічної інвестиційної політики використана теорія комунікацій, методи теорії управління економічними системами та теорії екологічного менеджменту. Інформаційно-методичною базою досліджень є Закони України, Укази Президента України, Законодавчі акти Верховної Ради, Постанови Кабінету Міністрів України, нормативні документи міністерств і відомств, органів регіонального управління, офіційні статистичні матеріали, аналітичні огляди з економічних питаннях природокористування та охорони навколишнього середовища, а також матеріали, які були опубліковані в монографічній літературі та періодичних виданнях. Наукова новизна одержаних результатів дослідження полягає в тому, що вперше на основі теорії комунікації, системного підходу та методів менеджменту природоохоронної діяльності обґрунтовано комплексні підходи до забезпечення механізмів підвищення економічної ефективності природоохоронних інвестицій. Найбільш важливими результатами досліджень, які мають наукову новизну, є такі: вперше: - запропоновано комплексний механізм екосистемного трансферту інвестицій для забезпечення екосистемних послуг, основними елементами якого є принцип платності екосистемних послуг, впровадження принципів інтегрального управління природними ресурсами, еколого-комунікативної комплементації суб’єктів природокористування, комплексного урахування еколого-економічних ефектів інвестування у відновлення функцій природно-господарських систем; удосконалено: - методологічний базис економіко-екологічного моніторингу інвестиційного середовища в сфері охорони природи та раціонального природокористування на базі використання системного аналізу, оцінок економіко-екологічних трансформацій і процесів формування бюджетних витрат на охорону навколишнього середовища; - методичні підходи до оцінки ефективності інвестиційної діяльності в сфері природокористування на основі факторного аналізу, комплексування ефектів екологічних інвестицій, впровадження інвестицій в екосистемні послуги; дістало подальший розвиток: - понятійно-категоріальний апарат теорії природоохоронних інвестицій, а саме впровадження категорії трансферту інвестицій в екосистемні послуги, та застосування екосистемної класифікації екологічних і природоохоронних інвестицій, оцінки факторів стабілізації ресурсного потенціалу; - підходи до впровадження прогресивних напрямків регіонального інвестування в екосистемні послуги, включаючи механізми економіко-екологічного супроводу інвестиційної діяльності, екологічного лізингу, комунікаційні механізми регіоналізації природоохоронних інвестицій. Практичне значення одержаних результатів пов'язане з вирішенням важливого народногосподарського завдання щодо підвищення економічної ефективності екологічних інвестицій на основі принципів комплексного управління інвестиційними процесами, зорієнтованого на збереження та відновлення природно-ресурсного потенціалу. Наукові засади, висновки та рекомендації з удосконалення інвестиційних механізмів мають важливе значення для формування політики комплексного територіального та регіонального розвитку. Результати наукових досліджень використано при підготовці навчальних курсів в Одеському державному екологічному університеті "Введення в природоохоронну діяльність", "Економіка природокористування та оцінка ефективності природоохоронної діяльності" при підготовці фахівців і магістрів за спеціальністю "Менеджмент організації" зі спеціалізацією "Менеджмент природоохоронної діяльності" (довідка №0615/127-2 від 26.08.07). Методичні положення, пропозиції й висновки були використані державною адміністрацією Овідіопольського району Одеської області для підготовки висновків по проекту “Запровадження інтегрованого управління приморською зоною для сприяння розвитку місцевих громад” (акт впровадження результатів наукової праці №06/04/08 від 10.04.08). Особистий внесок здобувача. Дисертаційне дослідження є самостійно виконаною науковою працею, у якій викладений персональний авторський підхід та особисто розроблені методологічні та методичні підходи до комплексного забезпечення механізмів підвищення економічної ефективності природоохоронного інвестування. З наукових праць, опублікованих у співавторстві, в роботі використано лише ті ідеї та положення, які є результатом особистих досліджень автора. Конкретний внесок здобувача в цих роботах зазначений в авторефераті у переліку публікацій за темою дисертації. Апробація результатів дисертації. Основні положення результатів проведеного дослідження апробовано в доповідях та одержали позитивну оцінку на міжнародних, національних і науково-практичних конференціях: Міжнародній науково-практичній конференції "Динаміка наукових досліджень" (Дніпропетровськ, 28 жовтня - 4 листопада 2002 р.); Конференції молодих учених Одеського державного екологічного університету (Одеса, 15-19 березня 2004 р.); Науково-технічній конференції наукових і науково-викладацьких працівників Одеського державного екологічного університету (Одеса, 8-15 лютого 2005 р.); Міжнародній науково-практичній конференції "Управління стратегічними змінами на підприємстві: концептуальні основи, методологія та практика" (Київ, 27-28 жовтня 2005 р.), Другій міжнародній науково-технічній конференції "Навколишнє природне середовище - 2007" (Одеса, 26-28 вересня 2007 р.). Публікації. За результатами проведеного дослідження автором опубліковано 8 наукових праць загальним обсягом 2,4 д.а., з них персонально авторові належить 1,6 д.а. у тому числі 5 статей у збірниках наукових праць, 3 статті в матеріалах і тезах конференцій. Структура та обсяг роботи. Дисертація складається зі вступу, трьох розділів, висновків, списку використаних джерел. Загальний обсяг дисертації становить 223 сторінки, у тому числі 24 таблиці на 23 сторінках, 33 рисунки на 31 сторінці, 5 додатків на 11 сторінках Список використаних джерел складається з 149 найменувань на 15 сторінках. Основний зміст дисертаційної роботи
У першому розділі роботи "Формування методологічної бази економіко-екологічних досліджень природоохоронних інвестицій" досліджуються базові тенденції розвитку інвестиційних процесів в економіко-екологічній системі, яка включає основні напрями охорони природи як об'єкта природоохоронного інвестування. Запропоновано підходи до розвитку понятійно-категоріального апарату економіко-екологічних інвестиційних досліджень і методологічні підходи до моніторингу природоохоронних інвестицій. В роботі запропоновано системні підходи до оцінки тенденцій національного інвестиційного розвитку в природоохоронній сфері. Аналіз екологічного середовища України характеризує сучасну екологічну ситуацію в країні як кризову. В Україні щорічно в навколишнє природне середовище надходить до 100 млн. тонн шкідливих речовин, у сховищах організованого складування зберігається майже 3 млрд. тонн токсичних промислових відходів. Хоча загальне антропогенне навантаження на навколишнє середовище в останні роки має тенденцію до зменшення, проте щорічно в атмосферне повітря, воду та ґрунти країни попадає близько 60 млн. тонн шкідливих речовин, з яких понад три чверті належить токсичним відходам. Розраховуючи, що на 1 км2 території країни в повітря потрапляє близько 10 тонн шкідливих речовин, загальний обсяг накопичених на території України токсичних відходів являє собою понад 2,8 млрд. тонн, тобто близько 4,7 тис. тонн на 1 км2 . Ці показники в Україні перевищують відповідні в розвинених державах у кілька разів. Понад чверть скидів у поверхневі водні об'єкти України забруднені, п'ята частина шкідливих речовин, що викидається зі стаціонарних джерел, потрапляє в атмосферне повітря, майже дві третини утворених токсичних відходів міститься в навколишньому середовищі. Загальна еколого-економічна та ресурсна ситуація в Україні є важкою та вимагає цілеспрямованого відшкодування втрат шляхом формування відповідної природоохоронної інвестиційної політики. Проведений аналіз показує, що підсумкові економічно показники за останні роки свідчать: протягом 2000-2003 р. ВВП України виріс на 32,9 %, обсяги промислового виробництва - на 10 %, оборот роздрібної торгівлі - на 71%. Спостерігалася значна активізація інвестиційного процесу. Приріст інвестицій в основний капітал склав 92 %. Економічне зростання, що спостерігалося в останні роки, протрималося і в 2004 та в 2005 роках, хоча наслідки падіння ВВП в 1991-1999 рр. ще не вдалося подолати. В 2005 р. обсяг реального ВВП становив 140,5 % від рівня 1999 р. та у номінальному обчисленні склав 424,7млрд. грн. Відповідно зріс і пресінг на навколишнє природне середовище. Аналіз структури виробництва свідчить, що близько 40% основних виробничих фондів функціонують понад 20 років, ще 40% - від 10 до 20 років. Ступінь їхньої зношеності становить 43%, а для промисловості та капітального будівництва - відповідно 48 й 61%. Крім того, існують галузі, де зношеність фондів досягає 80%, а деякі підприємства функціонують під загрозою зупинки. Більшість виробничих потужностей зажадають реконструкції, модернізації та корінного відновлення, а, отже, і великих інвестицій. Особливо великі наднормативні обсяги незавершеного будівництва спостерігаються в таких важливих структуроутворюючих галузях, як енергетика та машинобудування, що створюють додаткові погрози екологічній безпеці. Застосування системного підходу до аналізу процесу формування ринку природоохоронних інвестицій дозволяє розглядати його із двох позицій: з одного боку, це напрям діяльності держави, спрямований на створення умов для здійснення інвестиційної діяльності в екосфері, з іншого боку - формування відповідної внутрішньої управлінської інвестиційної культури, зосередженої на природоохоронних цілях. У роботі запропоновано основи для формування методологічного базису економіко-екологічного моніторингу інвестиційного середовища в сфері охорони природи та раціонального природокористування, що включають елементи відповідного понятійно-категоріального апарату економіко-екологічних досліджень. Природоохоронні інвестиції являють собою продукт коеволюції комерційних та екологічних цілей підприємства. Це - види майнових та інтелектуальних цінностей, вкладених в об'єкти підприємницької та інших видів діяльності, у результаті яких утворюється екологічний, економіко-екологічний, еколого-соціальний ефект. Це вимагає розгляду категорії економіко-екологічної та соціально-екологічної ефективності інвестицій. Традиційна класифікація екологічних інвестицій (екоінвестицій) може бути доповнена. Безпосередньо пов'язані з екосистемами екологічні інвестиції пропонується класифікувати як природоохоронні інвестиції. Нами пропонується виділити також інвестиції в екосистемні послуги: "підтримуючі", спрямовані на збереження природного стану природних об'єктів; "відновлюючі", пов'язані з реставрацією, відновленням, реабілітацією деструктивних екосистем; інвестиції в екосистемні послуги, у вузькому розумінні, пов'язані з обмеженням використання природних ресурсів місцевим населенням та іншими особами, організаціями. Окремо ми розглядаємо "поліпшуючі" екологічні інвестиції, пов'язані з технологічним розвитком, та "компенсуючі" (створення технічних умов, конструкцій і механізмів з метою відшкодування екологічних втрат, а також створення технічних об'єктів, що заміщують функції екосистем ¾ очищення води та ін.) (рис. 1).
В останні роки одержали визнання новаторські фінансові механізми, системи плати за екосистемні послуги (ПЕП), які розглядаються як один з ключових способів усунення порушень природоохоронної діяльності. У випадку серйозних екологічних проблем в умовах обмежених фінансових ресурсів ПЕП можуть стати джерелом додаткових альтернативних ресурсів, дати можливість перевести використання фінансів до напряму більш екологічно безпечних методів управління та забезпечення сталої структури виробництва, створити стимули для інвестицій і залучити приватний сектор до охорони навколишнього середовища. В контексті розвитку механізмів плати за екосистемні послуги пропонується ввести категорію інвестицій в екосистемні послуги, фінансовий і комунікаційний апарат, який докладно розглянуто в розділах 2 і 3. В роботі запропоновано шляхи вдосконалення методологічної бази економіко-екологічного моніторингу інвестиційного середовища в сфері охорони природи та раціонального природокористування на базі використання системного аналізу, оцінок економіко-екологічних трансформацій і процесів формування бюджетних витрат на охорону навколишнього середовища. У структурі витрат розділу "Охорона навколишнього природного середовища" Державного бюджету України основна частина (понад 80 %) коштів виділялася в 2004-2005 р.р. на заходи, пов'язані із запобіганням ліквідації забруднення навколишнього природного середовища. З них 52% ¾ це витрати на ліквідацію вторинного забруднення навколишнього природного середовища, до яких відносяться переважно заходи, пов'язані з виведенням з експлуатації Чорнобильської АЕС. На охорону природно-заповідного фонду було використано 4,3% загальної суми коштів, на дослідження та розробки в сфері охорони навколишнього середовища ¾ 6,4%. Оцінка ефективності використання еколого-економічних інструментів і функціонування системи економічного регулювання природоохоронної діяльності дотепер визначається переважно рівнем зросту обсягів екологічних зборів і надходжень від них у бюджети всіх рівнів (рис. 2).
Рис. 2. Інвестиції в основний капітал на охорону навколишнього природного середовища та раціональне використання природних ресурсів у фактичних цінах в Україні Як показовий приклад ефективності виконання державної програми, що вимагає цілий ряд природоохоронних інвестицій, може бути розглянута "Загальнодержавна програма охорони й відтворення навколишнього середовища Азовського та Чорного морів", затверджена Законом України від 22.03.2001 №2333-ІІІ (надалі - Програма), спрямована на забезпечення виконання Конвенції про захист Чорного моря від забруднення (1994). Особливістю фінансування Програми в 2006 році стало превалювання у загальних витратах на природоохоронні заходи коштів на берегоукріплювальні спорудження, що становлять 87,5% від валових витрат. Дуже малою залишилася частка, спрямована на відновлення біорізноманіття. В цілому створена в Україні система економічного регулювання та фінансування природоохоронної діяльності перебуває в стадії становлення, причому окремі її підсистеми та елементи мають різні ступені розвиненості, практичної реалізації. Необхідний розвиток діючої, ефективної системи економічного регулювання та фінансування природоохоронної діяльності, міцної фінансової основи національної екологічної політики. Застосування системного підходу до аналізу процесу формування ринку природоохоронних інвестицій дозволяє розглядати його із двох позицій і виділити дві його сторони: напрям діяльності держави, спрямованої на створення умов для здійснення інвестиційної діяльності в екосфері, та формування відповідної внутрішньої управлінської інвестиційної культури, спрямованої на екологічні цілі. Природоохоронна інвестиційна політика покликана забезпечити виявлення та поєднання найрізноманітніших джерел інвестиційних ресурсів: державних, регіональних, підприємницьких, акціонерських, заощаджень населення, іноземних інвестицій у вирішенні питань раціонального природокористування. Другий розділ роботи "Методологічні та методичні підходи до вдосконалення механізмів підвищення економіко-екологічної ефективності природоохоронних інвестиційних проектів" присвячено аналізу та вдосконаленню сучасних методологічних і методичних підходів до оцінки ефективності інвестиційної діяльності в сфері природокористування на основі факторного аналізу, розвитку наукового апарату оцінки інвестиційної діяльності, пов'язаної з екосистемними послугами. У роботі проаналізовано методичні підходи до оцінки економічного ефекту природоохоронних заходів та інвестицій, зокрема методи оцінки наведених витрат, інтегрального, річного економічного ефекту, періоду окупності, чистої поточної величини доходу (Net Present Value — NPV) та ін. Проведені зіставлення показують, що використання традиційних методів, заснованих на зіставленні приведених витрат, не узгоджується з використовуваними в сучасних умовах методами оцінки результатів господарської діяльності. У цих умовах порівняльна ефективність, як вихідний методичний принцип відбору інвестиційних проектів, суперечить абсолютній ефективності господарських заходів. Таким чином, у сучасних умовах використання методів порівняльної ефективності, із властивими для них умовністю, відривом від системи ціноутворення, визначення прибутку, стає принципово непридатним. Важливими критеріями урахування економіко-екологічного фактору при оцінці ефективності інвестиційних проектів є їхня економічна та екологічна ефективність. Всі методи, що використовуються в міжнародній практиці аналізу інвестиційної діяльності, умовно можна підрозділити на: засновані на дисконтних оцінках і засновані на облікових оцінках. Основні ідеї цих методів аналізу інвестиційної діяльності засновані на використанні показника чистого наведеного (поточного) ефекту проекту та коефіцієнтів внутрішньої рентабельності, індексу рентабельності проекту, періоду повернення капіталовкладень. У другу групу методів входять методи, що базуються на розрахунках строку окупності, коефіцієнту рентабельності капітальних вкладень. Варто враховувати, що, якщо показники економіко-екологічної ефективності природоохоронних програм досить добре піддаються виміру, то показники екологічного ефекту досить складно (іноді практично неможливо) обчислити в грошовому вираженні. Під економіко-екологічним ефектом, звичайно, розуміють відвернений економічний збиток, що визначається як різниця між потенційним і залишковим економічним збитком. Економічний ефект природоохоронних заходів можна також визначити у вигляді суми величин відверненого економічного збитку та приросту додатково отриманого доходу в результаті здійснення цих заходів, економіко-екологічної корисності, що одержується в ході екосистемого трансферту інвестицій в екосистемні послуги, механізм якого розглянуто в розділі. Одним з напрямів дослідження ефективності природоохоронних інвестицій є аналіз факторів із урахуванням показника часу на основі оцінки природно-ресурсного потенціалу (рис. 3).
Рис. 3. Фактори формування ефективних природоохоронних інвестицій Окремою властивістю ресурсного потенціалу є двоїста - природна та господарська - його сутність, динамізм, здатність відбивати відтворювальні та імовірнісні процеси. Формула ресурсного потенціалу в дискретній формі може бути представлена у вигляді:
де е — ефект дії економічної системи, включаючи результат споживання, що виникає в перший рік її експлуатації, у вигляді приросту національного доходу, прибутку, ренти (грн /рік); t - число років - циклів дії системи (для природних систем рекомендується до 30 років - за нормою дисконтування для земельних ресурсів); D t – одиничний цикл дії системи (1 рік). F(t) — безрозмірна щільність ресурсного потенціалу (див. формулу 2). Залежно від типу завдання, що розв’язується, щільність ресурсного потенціалу можна представляти у такому вигляді:
де р(t) - прогнозований, залежний від часу, темп приросту (спаду) ефекту в частках одиниці; B - осереднені за часом коефіцієнти знецінювання майбутніх благ або оцінки знецінювання поточних витрат за рахунок віддачі від функціонування; Інакше кажучи, ефективність екологічних інвестицій може бути представлена як різниця показника природно-ресурсного потенціалу до й після інвестування та реалізації природоохоронних заходів, яка зворотно пропорційна дисконтованим інвестиційним витратам і залежить від інвестиційного ефекту р( t ) . Таким чином, ефективність інвестицій (Е) за попередженням зниження ресурсного потенціалу буде визначатися їхньою різницею, віднесеною до дисконтованих капітальних витрат K : Е = де r – коефіцієнт дисконтування; D 2 – щільність природно ресурсного потенціалу після капітальних витрат; D 1 - щільність природно ресурсного потенціалу до капітальних витрат. Показник загальної економічної ефективності екологічних інвестицій EІ обчислюється як відношення річного (багаторічного) повного економічного ефекту до обсягу цих інвестицій, а саме:
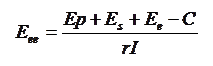
де Ep – повний економічний ефект і-го виду (i = 1, 2, 3, ..., n) на j-м об'єкті (j = 1, 2, 3,..., т), що перебуває в зоні ренатуралізації території; С - річні експлуатаційні витрати на обслуговування та підтримку основних фондів захисного призначення середовища, що викликали повний економічний ефект; I - інвестиції. З урахуванням соціального та екологічного ефектів формула 4 приймає вигляд:
де Eee ¾ загальна економіко-екологічна ефективність; ES ¾ соціальний ефект; E е ¾ екологічний ефект. У першому розділі роботи нами введене поняття про інвестування в екосистемну послугу. У другому розділі представлена схема оцінки ефективності екосистемого трансферту інвестицій в екосистемні послуги, що забезпечує реалізацію цього інвестиційного механізму (рис. 4). В роботі нами проведено розрахунок для природоохоронних інвестицій, пов'язаних з ренатуралізацією осушеної території в районі р.Дунай (с. Новосільське). За умови, що поточні витрати за проеком складуть до 10 % обсягу інвестицій, тільки при урахуванні соціального та економічного факторів загальна економіко-екологічна ефективність Eee буде 1,8, а з урахуванням екологічних факторів значно зросте.
У третьому розділі "Формування ефективної економіко-екологічної інвестиційної політики" показано шляхи формування стратегій і механізмів супроводу екологічної інвестиційної діяльності як ключового елементу регіонального та територіального розвитку, механізми підвищення ефективності природоохоронної інвестиційної політики на основі впровадження підходів до інвестування в екосистемні послуги. В роботі запропоновано шляхи та механізми впровадження економіко-екологічної комунікації як центральної частини економіко-організаційних підходів екологічного менеджменту в контексті реалізації розроблювального Стандарту ІSO 14000: ІSO/WD 14063 "Управління навколишнім середовищем. Екологічні комунікації. Провідні вказівки й приклади", показано шляхи впровадження економіко-екологічної комунікації як організаційного механізму трансферту природоохоронних інвестицій в екосистемні послуги. Як додаткові завдання економіко-екологічної комунікації нами обґрунтовано: формування попиту на екологічно чисту продукцію; стимулювання збуту екологічно чистої (зеленої) продукції; розвиток міжсекторної взаємодії та елементів сталого розвитку на різних рівнях. Фінансовим механізмом, що використовувався відповідно до систем екосистемних послуг (ЕП), є пряма компенсація продавцям (тобто постачальникам ЕП), за рахунок фонду розвитку або цільового фонду створення в рамках схем інвестування ЕП замість прямої виплати компенсації. У таких випадках плата, що стягується з покупців, накопичується в цільовому фонді, кошти якого, у свою чергу, використовуються в рамках схем інвестування для фінансування практики або заходів, спрямованих на розвиток ЕП. Висока інтенсивність економіко-екологічної комунікації (у суб'єктній та об'єктній частині), яка досягається в умовах формування громадянського суспільства, прозорого проведення бізнесу, що залежить від споживання природних ресурсів, важливих для стану навколишнього природного середовища інвестицій, в умовах застосування механізмів екологічних декларацій, кодексів ділової честі, дотримання міжнародних конвенцій, застосування інших форм екологічної етичності, є основою підвищення економіко-екологічної ефективності інвестицій і контролю за ними. В роботі запропоновано категорію та розроблено механізм економіко-екологічного супроводу інвестицій у контексті процесів і категорій інвестиційного менеджменту. В економіко-екологічний супровід входять етапи декларування намірів; формулювання екологічних цілей; оцінка впливу на навколишнє середовище; оцінка економіко-екологічних збитків для різних варіантів функціонування та розміщення об'єктів; оцінка вартості альтернативних варіантів природоохоронних заходів, що забезпечують екологічну безпеку; оцінка показників економіко-екологічної ефективності альтернативних варіантів інвестиційних проектів. Основу фінансового супроводу інвестицій становить інвестиційне планування, вирішення питання про розміри та джерела інвестицій. Окрему роль в економіко-екологічному супроводі інвестицій має зіграти екологічне страхування. Іншим новим перспективним підходом є фінансування капітальних вкладень на основі угод про розподіл продукції. Угода про розподіл продукції являє собою договір, відповідно до якого держава дає можливість суб'єкту підприємницької діяльності (інвесторові) на основі відшкодування на фіксований термін виняткові права на пошуки та використання природного ресурсу і на проведення робіт, що з цим пов'язані В роботі також розглянуто механізми екологічного лізингу в комунальній сфері на прикладі екодому. Технічне переозброєння житлового фонду є ресурсомістким завданням. За нашими оцінками переустаткування одного шістнадцятиповерхового будинку може вимагати вкладень до 50-80 тис. дол. США. Таке переозброєння має стати об'єктом довгострокових лізингових відносин. Використана техніка при необхідності може бути застрахована, а у випадку розірвання договору - демонтована. Також в роботі розглянуто аспекти формування стратегій екологічно орієнтованої інвестиційної політики в контексті місцевого розвитку на основі кластерних моделей економічного розвитку. Одними з критеріїв вибору стратегій розвитку екологічних інвестицій територій можуть бути оцінка територіального інвестиційного потенціалу та кредитоспроможність території. Здатність залучати як місцеві, так і зовнішні екологічні інвестиції має надзвичайно важливе значення для регіонального розвитку. Найбільш ефективним шляхом залучення інвестицій є поліпшення інвестиційного клімату, зменшення втручань держави, системні гарантії щодо дотримання законів і нормативно-правових актів. Інвестиційна політика, що реалізує довгострокову стратегію, має використати загальноприйняті принципи стратегічного розвитку. Вони характеризуються: постійним моніторингом внутрішнього потенціалу та зовнішнього оточення; зрозумілими та досяжними цілями; відчутними результатами; реальними тимчасовими рамками; багатокроковими планами. Особливість стратегічного підходу до природоохоронних інвестицій пов'язана з визначенням поля дії інвестиційної стратегії, що імпульсується інвестором. Формування стратегії розвитку за допомогою інвестиційних стратегій припускає використання трьох блоків. Для першого блоку метою стратегічного планування є виявлення та використання глобальних інвестиційних можливостей. Він побудований на прогнозуванні пропозиції іноземного капіталу та пошуку конкретних донорів. Другий блок інвестиційної стратегії пов’язаний із завданням мінімізувати ризики та загрози втрат важливих виробничих проектів. Завдання третього блоку - виявити свої конкурентні переваги, як реципієнта інвестицій, і визначити ефективні напрями отриманих природоохоронних інвестиційних потоків. Для цього варто з'ясувати: а) розвиток сильних сторін та активів (переваг) території; б) систематичне усунення слабкості ключових об’єктів. Пропонуються регіональні стратегії визначення потенційних джерел економічної діяльності та її зростання, а також зміцнення факторів, які мають позитивний вплив на регіональний економіко-екологічний розвиток (людські ресурси, інвестиційний потенціал, здатність використати ресурси, інституціональну структуру, соціальний капітал, механізми збереження та відтворення природних ресурсів). Увага регіональних інвестиційних стратегій має бути сконцентрована на поліпшенні управління природними ресурсами, виконанні найголовніших міжнародних зобов'язань України в сфері навколишнього середовища на регіональному, міжрегіональному та транскордонному рівні, включаючи участь у спільних комплексних природоохоронних інвестиційних проектах. ВИСНОВКИ В Дисертації наведене теоретичне узагальнення і нове вирішення наукового завдання, що виявляється у підвищенні економічної ефективності природоохоронних інвестицій, визначенні суті і змісту процесу природоохоронного інвестування. Основні наукові і прикладні результати, рекомендації з наукового і практичного їх використання полягають у такому: 1. В дисертації удосконалено методи оцінки національного інвестиційного розвитку та ефективності використання природних ресурсів як об'єкта екологічного інвестування. Проведений автором аналіз використання коштів фондів охорони навколишнього природного середовища свідчить про наявність значних недоліків у цій системі. У багатьох випадках на виконання важливих природоохоронних заходів, що мають потребу в фінансуванні, виділяються незначні суми. З огляду на це, а також зріст коштів, які надходять до екологічних фондів, варто вдосконалювати механізми їхнього використання, з метою спрямування їх на виконання пріоритетних природоохоронних заходів, концентрацію на відновленні та збереженні важливих природоохоронних об'єктів. Вирішення цього питання можливе за умови підвищення ефективності залучення коштів природоохоронних інвестицій, шляхом диверсифікації інвестиційних механізмів, що діють в Україні. 2. В роботі автором запропоновано методологічний базис економіко-екологічного моніторингу інвестиційного середовища в сфері охорони природи та раціонального природокористування на базі використання системного аналізу. Застосування системного підходу до аналізу процесу формування ринку природоохоронних інвестицій дозволяє розглядати його із двох боків: з одного боку, це діяльність держави, спрямована на створення умов для здійснення інвестицій в екосфері, з іншого боку - формування відповідної внутрішньої управлінської інвестиційної культури, сконцентрованої на екологічних цілях. Екологічна інвестиційна політика покликана забезпечити виявлення та поєднання найрізноманітніших джерел інвестиційних ресурсів: державних, регіональних, підприємницьких, акціонерських, заощаджень населення, іноземних інвестицій на вирішення питань раціонального природокористування. 3. У роботі одержали подальший розвиток методичні підходи до оцінки ефективності інвестиційної діяльності в сфері природокористування на підставі факторного аналізу та комплексування ефектів природоохоронних інвестицій Одним з напрямів дослідження ефективності природоохоронних інвестиція є факторний аналіз із урахуванням показника часу на основі оцінки природно-ресурсного потенціалу. Окремою властивістю ресурсного потенціалу є двоїста - природна та господарська - його сутність, динамізм, здатність відбивати процеси природокористування. Ефективність інвестицій щодо попередження зниження ресурсного потенціалу визначається як різниця його оцінок, віднесених до дисконтованих капітальних витрат. 4. У роботі запропоновано підходи до підвищення ефективності механізмів економіко-екологічної інвестиційної політики на основі методів економіко-екологічних управлінських комунікацій. Розроблено науковий апарат впровадження механізмів інвестування в екосистемні послуги. 5. В дисертації автором запропоновано комплексні стратегії та механізми супроводу екологічної інвестиційної діяльності з урахуванням пріоритетів регіонального та територіального розвитку та пріоритетів еколого-орієнтованих секторів економіки на основі мінімізації негативних еколого-економічних впливів. Розглянуті в роботі ідеї та підходи спрямовані на вдосконалення всього комплексу економічних механізмів України. Природоохоронні інвестиції можуть стати "локомотивом" у сфері раціонального природокористування, місцевого комплексного розвитку, формування основ громадянського суспільства та створення умов ресурсно-екологічної безпеки основи довгострокового розвитку національної економіки. Список праць, опублікованих за темою дисертації
Статті у наукових фахових виданнях: 1. Арестов С.В. Методика экономической оценки экологических инвестиционных проектов / Арестов С.В.// Министерство образования и науки Украины, Одесский государственный экономический университет, Научный вестник, — Одесса, 2005 — №7(19), — С. 12-17. Арестов С.В. Экономико-экологический потенциал развития экономики в системном анализе эффективности природоохранной деятельности / Арестов С.В. // Економіка: проблеми теорії та практики : Збірник наукових праць. Вип., 149. Дніпропетровський національний університет. ¾ Дніпропетровськ, 2002. ¾ С. 146-151. Арестов С.В. Оценка эффективности инвестиций в природоохранную деятельность в рыночной экономике/ Арестов С.В. // Економіка: проблеми теорії та практики: Збірник наукових праць. Вип.. 193. том IV. Дніпропетровський національний університет. ¾ Дніпропетровськ, 2004. ¾ С. 1173-1178. Арестов С.В. Основные направления современных экономических механизмов природопользования в Украине / Арестов С.В., Галушкина Т.П. // Экономические инновации. Вып. 2. Экономико-экологические проблемы природоохранной деятельности в Причерноморском регионе Украины: Сборник научных работ. ¾ Одесса: Институт проблем рынка и экономико-экологических исследований НАН Украины, 1998. ¾ С. 23-30. (Особистий внесок ¾ аналіз сучасного розвитку природоохоронних інвестицій). Арестов С.В.Лизинговые механизмы экологизации жилищного фонда / Рубель О.Е., Арестов С.В. // Экономические инновации. Вып. 20: Лизинг в системе экономических отношений: Сборник научных работ. ¾ Одесса: Институт проблем рынка и экономико-экологических исследований НАН Украины, 2005. ¾ С. 233-239. (Особистий внесок ¾ обґрунтування ефективності впровадження екологічного лізингу). Матеріали і тези конференцій 6. Арестов С.В. Охрана природы и рациональное использование природных ресурсов Украины как объект инвестирования /Арестов С.В. // Управління стратегічними змінами на підприємстві: концептуальні засади, методологія та практика: матеріали міжнарод. науков.-практ. конф., (27-28 жовтня, м. Київ) / Відп ред.. А.А. Мазаракі. ¾ К.: Київ нац. Торг.-екон. Ун-т, 2005. ¾ С. 176-177. 7. Арестов С.В. Эколого-экономические элементы эффективности природоохранной деятельности /Арестов С.В. // Матеріали науково-практичної конференції “Динаміка наукових досліджень”, (Дніпропетровськ, 28 жовтня - 4 листопада 2002 р.). ¾ Дніпропетровськ: Наука і освіта, 2002. ¾ С. 11-12. В інших виданнях: 8. Арестов С.В. Экономические элементы системного анализа эффективности природоохранной деятельности / Арестов С.В. // Славянский альманах. ¾ 2003. ¾ № 9. ¾ С.48-54. АНОТАЦІЯ
Арестов С. В. Механізм підвищення економіко-екологічної ефективності природоохоронних інвестицій в екосистемні послуги. - Рукопис. Дисертація на здобуття наукового ступеня кандидата економічних наук за спеціальністю 08.00.06 - Економіка природокористування та охорони навколишнього середовища. - Інститут проблем ринку та економіко-екологічних досліджень НАН України. Одеса, 2008. Дисертаційна робота присвячена розробці теоретичного, методичного та організаційного забезпечення механізмів підвищення економічної ефективності природоохоронних інвестицій. У роботі проведена оцінка тенденції національного інвестиційного розвитку в контексті трансформацій економіко-екологічного розвитку. Уточнюється та розширюється категорія природоохоронних інвестицій як продукту коеволюції комерційних та екологічних цілей підприємства. На основі теорії комунікації, системного підходу та методів менеджменту природоохоронної діяльності обґрунтовано комплексні підходи до забезпечення механізмів підвищення економічної ефективності природоохоронних інвестицій. Запропоновано підходи до інвестування в екологічні послуги, комплексні стратегії та механізми супроводу екологічної інвестиційної діяльності з урахуванням пріоритетів регіонального й територіального розвитку, пріоритетів еколого-орієнтованих секторів економіки. Розроблена система економіко-екологічного супроводу інвестицій, спрямована на підвищення ефективності інвестиційного процесу, досягнення балансу між інвестиційним розвитком, економією інвестиційних засобів та економіко-екологічною результативністю інвестицій. Ключові слова: природоохоронні інвестиції, екосистемні послуги, ефективність економіко-екологічна, екосистемний трансферт інвестицій, політика інвестиційна. Аннотация Арестов С.В. Механизм повышения экономико-экологической эффективности природоохранных инвестиций в экосистемные услуги. – Рукопись. Диссертация на соискание ученой степени кандидата экономических наук по специальности 08.00.06 – Экономика природопользования и охраны окружающей среды. – Институт проблем рынка и экономико-экологических исследований НАН Украины. Одесса, 2008. Диссертационная работа посвящена разработке теоретического, методического и организационного обеспечения механизмов повышения экономической эффективности природоохранных инвестиций. В работе проведена оценка тенденции национального инвестиционного развития в контексте трансформаций экономико-экологического развития. Показано, что реализация заданий природоохранных инвестиций должна является важным элементом государственной экономической и экологической политики, реализуемым на основе комплексных экономико-экологических исследований и эффективных управленческих решений. Важнейшим методологическим вопросом экономико-экологических исследований является уточнение понятийно-категориального аппарата, формирующего порядок научной работы. В работе уточняется и расширяется категория природоохранных инвестиций как продукта коэволюции коммерческих и экологических целей предприятия, категория инвестирования в экосистемные услуги. На основе теории коммуникации, системного подхода и методов менеджмента природоохранной деятельности обоснованы комплексные подходы к обеспечению механизмов повышения экономической эффективности природоохранных инвестиций. Предложены комплексные стратегии и механизмы сопровождения экологической инвестиционной деятельности с учетом приоритетов регионального и территориального развития и приоритетов эколого-ориентированных секторов экономики. Разработанная система экономико-экологического сопровождения инвестиций, включающая элементы оценки воздействия на окружающую среду, методы экологического менеджмента (экомаркировка), направлена на повышение эффективности инвестиционного процесса, достижение баланса между инвестиционным развитием, экономией инвестиционных средств и экономико-экологической результативностью инвестиций, направленных на сохранение и восстановление природно-ресурсного потенциала природных территорий, регионов и страны в целом. Представленные теоретические и методологические основы оптимизации инвестиционной деятельности в сфере природопользования, представляют собой реальный вклад в развитие и углубление экономической теории природопользования, реализации ее практической функции в интересах дальнейшего гармоничного развития экономики. Ключевые слова: природоохранные инвестиции, экосистемные услуги, эффективность экономико-экологическая, экосистемный трансферт инвестиций, политика инвестиционная. ABSTRACT Arestov S.V. The Mechanism of increasing of economic-ecological efficiency of nature protection investments to ecosystem services. - the Manuscript. The dissertation on competition of a scientific degree of the candidate of economic sciences on a specialty 08.00.06 - Economy of nature management and preservation of the environment. - Institute of market problems and economical - ecological researches NAS of Ukraine. Odessa, 2008. The thesis work is devoted to development of theoretical, methodical and organizational maintenance of mechanisms of increase of economic efficiency of nature protection investments. In work the estimation of the tendency of national investment development in a context of transformations of economic - ecological development is carried out. The category of nature protection investments as co-evolution product of the commercial and ecological purposes of the enterprise is specified and extends. On the basis of the theory of the communications, the system approach and methods of management of nature protection activity complex approaches to maintenance of mechanisms of increase of economic efficiency of nature protection investments are proved. Complex strategy and mechanisms of support of ecological investment activity, investment in ecosystem services are offered in view of priorities of regional and territorial development. The system of economic-ecological support of investments is directed on increase of efficiency of investment process and achievement of balance between investment development, economy of investment means, economic and ecological productivity of investments. Key words: nature protection investments, ecosystem facilities, economic - ecological efficiency, ecosystem investment transfer, investment policy. |


, (4)
, (5)