Реферат: Привод элеватора 2
|
Название: Привод элеватора 2 Раздел: Рефераты по транспорту Тип: реферат | ||||||||||||||||||||||||||||||||||||||||||||||||
|
Московский Государственный Технический Университет им. Н.Э.Баумана Кафедра “Детали машин” Привод элеватора Пояснительная записка ДМ 11-06.00.00 ПЗ Студент (Шурыгин А.Н.) гр. РК10-61 Руководитель проекта (Буланов Э.А.) Москва 2006 Содержание 5 Проверочный расчет валов на прочность 20 9 Выбор смазочных материалов 26 10 Список использованной литературы 26 12. Приложение
Приступая к выполнению проекта, в первую очередь выбирают электродвигатель, для этого определяют его мощность и частоту вращения. Потребляемую мощность (кВт) привода (мощность на выходе) определяют по формуле:
После вычисления мощности Pвых определяют необходимую мощность электродвигателя:
где Ft - окружная сила, Ft=2,25 кН; V – скорость ленты, V=2,4 м/с; hобщ – общий КПД кинематической цепи, вычисляется по формуле:
где hред – КПД редуктора, hмуф – КПД соединительной муфты, hцп– КПД цепной передачи,. Рекомендуемые значения для КПД отдельных звеньев кинематической цепи:
Для расчета принимаем средние значения: hред = 0,96, hмуф =0,98, hцп =0,93.
Далее определяют частоту вращения вала электродвигателя: где uобщ=u1∙ u2∙… - общее передаточное число кинематических пар изделия, являющееся произведением передаточных чисел его составляющих. Рекомендуемые значения передаточных чисел:
Для дальнейших расчетов принимаем средние значения: uк=4, uцп=2,2. Для определения частоты вращения вала электродвигателя необходимо сначала вычислить по исходным данным частоту вращения приводного вала:
По таблице 24.8 выбирается электродвигатель АИР 132М6/960, параметры которого ближе всего к вычисленным выше. Его параметры: мощность PЭ=7,5 кВт, отношение максимального вращающего момента к номинальному Tmax/T= 2,2, асинхронная частота вращения 960 мин-1. Определение силовых и кинематических параметров на валах После выбора n определяют окончательное передаточное число привода uобщ:
где n – частота вращения электродвигателя, n=960 мин-1. Полученное расчетом общее передаточное число распределяют между типами и ступенями передач. Передаточное число редуктора uред (uцп=2,2):
После определения передаточных чисел находят частоты вращения и вращающие моменты на валах передач. Частота вращения тихоходного вала редуктора, мин-1,
Частота вращения быстроходного вала:
Определяется вращательный момент на тихоходном валу TT (Hм): Вращающий момент на приводном валу:
Вращающий момент на тихоходном валу:
Определяется вращающий момент на быстроходном валу:
Кинематическая схема
Результаты расчета приведены в Приложении. В зависимости от вида изделия, условий его эксплуатации и требований к габаритным размерам выбирают необходимую твердость колес и шестерни и материалы для их изготовления. Передачи со стальными зубчатыми колесами имеют минимальную массу и габариты, тем меньше, чем выше твердость рабочих поверхностей зубьев, которая, в свою очередь, зависит от марки стали и вида термической обработки. В качестве критерия оптимальности наиболее часто принимают массу изделия. Так как в данном случае производство редукторов крупносерийное, то желательно чтобы стоимость была минимальной. Увеличение твердости рабочей поверхности зубьев ведет, с одной стороны, к уменьшению габаритов редуктора, но с другой, к удорожанию процесса производства. Поскольку габариты редуктора не являются для нас определяющими, наиболее оптимальным является вариант 2, которому соответствует следующий режим термообработки: т.о. колеса – улучшение, получаем твердость HB 269…302, т.о. шестерни – улучшение и закалка ТВЧ, твердость – HRC 45…50. Материал, из которого изготавливаются колеса – сталь 40Х. Еще один параметр, который можно принять во внимание, это соразмерность редуктора и электродвигателя. Принятый нами вариант также оптимально отвечает этому условию. Основные причины выхода зубчатых колес из строя: Выкрашивание поверхности зуба от переменных контактных напряжений. Излом зуба от напряжений изгиба. Износ зубьев. Поскольку определяющими разрушающими факторами являются выкрашивание и излом, то расчет конической зубчатой передачи ведется по допустимым контактным напряжениям 2.1 Диаметр внешней делительной окружности колеса Диаметр внешней делительной окружности вычисляется по формуле:
Коэффициент θH вычисляется по формуле: θH =1,13+0,13∙u =1,13+0,13∙3,57=1,59
При типовых режимах нагружения коэффициент N= 60·n3∙n∙tS - требуемый ресурс в циклах нагружения; n3 - число вхождений в зацепление, n3=1; n - частота вращения, n=268,9 мин-1; tS - ресурс передачи, tS=5000. N=60∙1∙268,9∙5000= 80,67∙106 NHG = (HBср)3 - число циклов, соответствующих перелому кривой усталости. NHG = (285)3=23,15∙106
Коэффициент KHβ для колеса с круговыми зубьями принимают по следующим рекомендациям:
Коэффициент Х выбирают в зависимости от режима нагружения. Постоянный режим характерен для передач машин центральных силовых и насосных станций, тяжелый – для горных машин, средний равновероятный и средний нормальный – для транспортных машин, легкий и особо легкий – для универсальных металлорежущих станков.
Поскольку в задании задан режим нагружения III, принимаем Х=0,5. Коэффициент
Допускаемые контактные напряжения вычисляют по формуле:
2.2 Конусное расстояние и ширина колес Угол делительного конуса колеса:
Конусное расстояние
Ширина колес
По ряду нормальных линейных размеров принимаем b=30 мм. 2.3 Модуль передачи и числа зубьев На практике применяют следующий метод определения чисел зубьев и модуля колес: определяют предварительное значение делительной окружности шестерни
Затем по графику, построенному для колес с круговыми зубьями (рис.2.9 [1]) находят число зубьев z1. Т.о., z1=12. Минимальное число зубьев шестерни при u=3,57 и β=35° равно 8, следовательно, это условие удовлетворено. Число зубьев колеса z2=12∙3,57=43. Внешний окружной модуль передачи
2.4 Фактическое передаточное число
2.5 Окончательные значения размеров колес Угол делительного конуса колеса: Угол делительного конуса шестерни: Делительный диаметр шестерни:
Делительный диаметр колеса:
Внешний диаметр шестерни с круговым зубом:
Внешний диаметр колеса с круговым зубом:
Коэффициент смещения xn принимают по таблице 2.10 [1]. Для передач, у которых z и u отличаются от указанных в таблице, коэффициенты принимают с округлением в большую сторону. Т.о., xn1=0,41, xn2=-0,41.
2.6 Силы в зацеплении Окружная сила на среднем диаметре колеса Осевая сила на шестерне: Радиальная сила на шестерне: Коэффициенты
На колесе осевая сила 2.7 Проверка зубьев колес по напряжениям изгиба Напряжения изгиба в зубьях колеса: Напряжение изгиба в зубьях шестерни: Коэффициент
где Таким образом, окружная скорость колеса равна Значения коэффициентов
Таким образом, Допускаемое напряжение изгиба для колеса: Допускаемое напряжение изгиба для шестерни: Напряжения изгиба в зубьях колеса:
Напряжение изгиба в зубьях шестерни:
2.8 Проверка зубьев колес по контактным напряжениям Расчетное контактное напряжение: Коэффициент Допускаемые контактные напряжения вычисляют по формуле:
Расчетное контактное напряжение:
Цепные передачи выходят из строя по следующим причинам (из [2]): 1. Износ шарниров. 2. Усталостное разрушение пластин по проушинам. 3. Проворачивание валиков и втулок в платинах в местах запрессовки. 4. Выкрашивание и разрушение роликов. 5. Достижение предельного провисания холостой ветви. 6. Износ зубьев звездочек. В соответствии с перечисленными причинами выхода из строя можно сделать вывод, что срок службы передачи ограничивается долговечностью цепи (в большинстве случаев). Долговечность же цепи в первую очередь зависит от износостойкости шарниров. 3.1 Шаг цепи Выбираем предварительное значение шага однорядной цепи:
Ближайшее значение шага и соответствующей ему площади находим из таблицы 13.1 [2].: P=25,4 мм, А=260 мм2, ВВН=15,88 мм – расстояние между внешними пластинами цепи. 3.2 Числа зубьев Число зубьев малой (ведущей) звездочки:
Принимаем ближайшее большее, z1=25. Число зубьев большой (ведомой) звездочки: 3.3 Коэффициент эксплуатации Определим коэффициент эксплуатации
Таким образом, 3.4 Размеры звездочек Делительный диаметр малой звездочки: Делительный диаметр большой звездочки: Диаметр выступов малой звездочки:
Диаметр выступов большой звездочки:
Ширина зуба звездочки: 3.5 Давление в шарнирах Определим значение окружной силы на звездочках:
Условное давление в шарнирах вычисляется по формуле:
где [p]=29 МПа – допускаемое давление в шарнирах (по табл. 13.2 [2]). 3.6 Число звеньев цепи и уточнение межосевого расстояния Число звеньев вычисляется по формуле: Уточняем межосевое расстояние:
Таким образом,
4.1 Предварительный расчет диаметров валов Предварительные оценки значений диаметров (мм) различных участков стальных валов редуктора определяют по формуле: для быстроходного вала
где Т – вращающий момент на быстроходном валу, [τ]=0,1τ-1 (примем τ-1=220 МПа).
Примем по стандартному ряду: dП=25 мм – диаметр вала под подшипник. Из условия dП < dК принимается диаметр под колесо dК=30 мм. dВЫХ=20 мм – диаметр выходного конца вала; dЗ=34 мм – диаметр заплечика. Диаметр заплечика колеса dЗ≥ dП+3r, где r – размер фаски колеса, r =1,5 мм по таблице 24.16. Длина хвостовика быстоходного вала
для тихоходного вала
Примем по стандартному ряду: dП=35 мм – диаметр вала под подшипник; dВЫХ=30 мм – диаметр выходного конца вала; dК=38 мм – диаметр вала под колесо; dЗ=42 мм – диаметр заплечика. Длина хвостовика тихоходного вала
4.2 Конструирование зубчатой передачи При серийном производстве заготовки колес получают из прутка свободной ковкой, а также ковкой в штампах. Так как производство крупносерийное, то применяют двусторонние штампы. Для свободной выемки заготовки из штампа принимают значения 4.2.1 Конструирование колеса тихоходной ступени Материал сталь 45 ГОСТ4543-71 Ширина венца 30 Число зубьев 43 Длина ступицы Диаметр ступицы Модуль зацепления Ширина торцов венца Фаски на торцах венца Угол фаски Толщина диска
4.2.3 Конструирование шестерни быстроходной ступени Выполняют шестерню за одно целое с валом (вал-шестерня) т.к. качество вала-шестерни выше, а стоимость изготовления ниже, чем вала и насадной шестерни. Все параметры берутся из распечатки. 4.3 Конструирование крышек подшипников и стакана Материал для всех крышек подшипников СЧ21, для стакана – СЧ15. Все крышки назначаются привертными. Определяющим при конструировании крышки является диаметр отверстия в корпусе под подшипник. Наружный диаметр крышки выполняют с такими отклонениями, при которых в сопряжении с корпусом крышка образует очень малый зазор, препятствующий вытеканию масла из корпуса. При установке в крышке подшипников манжетного уплотнения выполняют расточку отверстия так, чтобы можно было выпрессовать изношенную манжету. 4.3.1 Конструирование крышки подшипника для быстроходного вала Крышка выполняется с отверстием для выходного конца вала. Диаметр винтов, которыми крепится крышка d=6 мм, их число z=4 Наружный диаметр крышки Толщина стенки Высота фланца Толщина боковой стенки Высота крышки l = 27 мм При сборке редуктора крышки всех подшипников должны находиться на одном уровне и иметь одну высоту. Это условие необходимо для облегчения сборки редуктора. 4.3.2 Конструирование стакана для быстроходного вала Конструкция стакана определяется схемой расположения подшипников. Толщина стенки Наружный диаметр стакана Диаметр фланца Высота фланца Высота стакана l = 104 мм 4.3.3 Конструирование крышки подшипника для тихоходного вала Крышка выполняется глухой. Диаметр винтов, которыми крепится крышка d=8 мм, их число z=4 Наружный диаметр крышки Толщина стенки Высота фланца Толщина боковой стенки Высота крышки l = 20 мм 4.4 Конструирование корпуса Чтобы поверхности вращающихся колес не задевали за внутренние поверхности стенок корпуса, между ними оставляют зазор:
где
Расстояние между дном корпуса и поверхностью колес:
Толщина стенки, отвечающая требованиям технологии литья, необходимой прочности и жесткости корпуса:
Корпус имеет довольно простую форму, поэтому, сравнивая литье по выплавляемым моделям и литье в оболочковые формы, которое значительно дешевле первого, выбираем второй способ. Этот способ применяется для отливок простой формы из чугуна и стали. Длина подшипниковых гнезд l = 30 мм Для соединения крышки с корпусом используют винты с цилиндрической головкой и внутренним шестигранником, так как при использовании винтов ширина фланца получается наименьшей. В зависимости от величины тихоходной ступени редуктора выбираем для крепления крышки болты М12х32 (ГОСТ 11738-84) (стр. 240 [1]). Размер фланца получаем: 4.5 Конструирование крышки люков Для заливки масла в редуктор, контроля правильности зацепления и для внешнего осмотра деталей делают люки. Конструируют крышку-отдушину. Параметры крышки: Длина крышки Толщина штампованного стального листа
Крышка крепится винтами М6x12 (ГОСТ 11644-75) (стр.257 [1]).
Конические колеса должны быть точно и жестко зафиксированы в осевом направлении. Шариковые радиальные подшипники обладают малой осевой жесткостью. Поэтому в силовых передачах для опор валов конических колес применят конические роликовые подшипники.
5.2.1 Определение сил, нагружающих подшипник Силы, действующие в зацеплении.
Изгибающий момент от радиальных сил, действующих в зацеплении:
Длины участков:
Реакции в вертикальной плоскости:
Реакции в горизонтальной плоскости:
Суммарные реакции:
На концевом участке вала действует консольная нагрузка из-за наличия звёздочки и появления в связи с этим смещений.
Суммарные реакции на валу:
5.2.2 Выбор подшипника По справочнику выбирается подшипник радиальный особо легкой серии 7107.
Более нагруженной является опора 2. Дальнейший расчет будет вестись по ней.
Радиальная сила
где
Осевая сила
Сравниваем отношение
V- коэффициент вращения кольца, V=1 при вращении внутреннего кольца подшипника относительно направления радиальной нагрузки. Значит Х=1; Y=0. Эквивалентная радиальная динамическая нагрузка
где
Расчетный ресурс (долговечность) подшипника (ч).
где a1 - коэффициент долговечности, a1=1; a23 - коэффициент, характеризующий совместное влияние на долговечность особых свойств металла деталей подшипника и условий его эксплуатации, a23=0,7.
5.2.4 Подбор посадки подшипника Внутреннее кольцо подшипника вращается, нагружение циркуляционное.
по таблице 7.4 [1] выбирается поле допуска на вал n6. Наружное кольцо подшипника неподвижно, нагружение местное. По таблице 7.5 [1] выбирается поле допуска на отверстие H7. Расчет подшипников на быстроходном валу 5.3.1 Определение сил, нагружающих подшипник Силы, действующие в зацеплении.
Изгибающие моменты, от радиальных сил, действующих в зацеплении.
Длины участков
Реакции в вертикальной плоскости:
Реакции в горизонтальной плоскости:
Суммарные реакции:
На концевом участке вала действует консольная нагрузка.
Суммарные реакции на валу:
5.3.2 Выбор подшипника По справочнику выбирается подшипник радиальный средней серии 7305 (подшипник легкой серии не проходит по ресурсу).
Более нагруженной является опора 1. Дальнейший расчет будет вестись по ней.
Радиальная сила
где
Осевая сила
Сравниваем отношение
V- коэффициент вращения кольца, V=1 при вращении внутреннего кольца подшипника относительно направления радиальной нагрузки. Значит Х=0,4; Y=1,67. Эквивалентная радиальная динамическая нагрузка
где
Расчетный ресурс (долговечность) подшипника (ч).
5.3.4 Подбор посадки подшипника Внутреннее кольцо подшипника вращается, нагружение циркуляционное.
по таблице 7.4 [1] выбирается поле допуска на вал k6. Наружное кольцо подшипника неподвижно, нагружение местное. По таблице 7.5 [1] выбирается поле допуска на отверстие H7.
где Т – вращающий момент на быстроходном валу, [τ]=0,1τ-1 (примем τ-1=220 МПа).
Примем по стандартному ряду: dП=50 мм – диаметр вала под подшипник. Из условия dП < dК принимается диаметр под колесо dК=60 мм. dВЫХ=50 мм – диаметр выходного конца вала; dЗ=55 мм – диаметр заплечика. Диаметр заплечика колеса dЗ≥ dП+3r, где r – размер фаски колеса, r =2 мм по таблице 24.16 [1]. Примерная длина хвостовика быстроходного вала
Исходные данные: FК=3590 Н – консольная сила на конце вала; Ft=2250 H – окружная сила на барабане; n=122,2 об/мин
5.4.1 Определение сил, нагружающих подшипник Реакции от окружной силы:
Реакции от консольной силы:
Суммарные реакции на опоры:
Опора 2 нагружена больше, следовательно, дальнейший расчет будет вестись по этой опоре. 5.4.2 Выбор подшипника Выбирается подшипник шариковый радиальный сферический двухрядный легкой серии1210.
5.4.3 Расчет на ресурс Радиальная сила
где
Осевая сила
Сравниваем отношение
Значит Х=1; Y=3,13. Эквивалентная радиальная динамическая нагрузка
Расчетный ресурс (долговечность) подшипника (ч).
где
5.4.4 Подбор посадки подшипника Внутреннее кольцо подшипника вращается, нагружение циркуляционное.
по таблице 7.4 [1] выбирается поле допуска на вал k6. Наружное кольцо подшипника неподвижно, нагружение местное. По таблице 7.5 [1] выбирается поле допуска на отверстие H7.
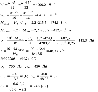
Проверку статической прочности выполняют в целях предупреждения пластических деформаций в период действия кратковременных перегрузок. Уточненные расчеты на сопротивление усталости отражают влияние разновидности цикла напряжений, статических и усталостных характеристик материалов, размеров, формы и состояния поверхности. 6.1 Расчет тихоходного вала 6.1.1 Расчетная схема
6.1.2 Расчет на статическую прочность Коэффициент перегрузки
где Тmax – максимальный кратковременно действующий крутящий момент. В расчете определяют нормальные s и касательные t напряжения в рассматриваемом сечении вала при действии максимальных нагрузок.
где Mmax – суммарный изгибающий момент, Mkmax=Tmax – крутящий момент, Fmax – осевая сила, W и Wk – моменты сопротивления сечения вала при расчете на изгиб и кручение, А – площадь поперечного сечения.
Частные коэффициенты запаса прочности.
Общий коэффициент запаса прочности по пределу текучести.
Сечение 2:
Значит, тихоходный вал прочен по статической нагрузке. 6.1.3 Расчет на сопротивление усталости Для каждого из установленных предположительно опасных сечений вычисляют коэффициент S.
где Ss и St - коэффициенты запаса по нормальным и касательным напряжениям.
Пределы выносливости вала в рассматриваемом сечении.
Сечение 2: Концентратор напряжения – проточка.
по таблицам 10.2 – 10.9 [1].
Тихоходный вал прочен, т.к. расчетный коэффициент запаса прочности выше, чем допускаемый [S]=1,5-2,5. 6.2 Расчет быстроходного вала 6.2.1 Расчетная схема
6.2.2 Расчет на статическую прочность Сечение A:
Значит, быстроходный вал прочен по статической нагрузке. 6.3 Расчет приводного вала на статическую прочность 6.3.1 Расчетная схема
6.3.2 Расчет на статическую прочность Сечение 2:
Значит, быстроходный вал прочен по статической нагрузке.
7.1 Шпоночные соединения Шпоночные соединения применяются для передачи вращательного момента с колеса на вал. Чаще всего применяются призматические и сегментные шпонки. Во всех шпоночных соединениях при проектировании в данном случае использовались призматические шпонки, т.к. диаметры валов малы, и использование сегментных шпонок не допустимо из-за глубоких пазов для них. Рассчитываются шпоночные из условия прочности шпонки на смятие. 7.1.1 Шпонка на тихоходном валу
Для Для стальной неподвижной шпонки принимается
7.1.2 Шпонка на быстроходном валу
Для Для стальной неподвижной шпонки принимается
7.2 Шлицевые соединения Шлицевые соединения выходят из строя вследствие повреждения рабочих поверхностей: изнашивания, смятия, заедания. Основной расчет выполняют по критерию смятия для большинства соединений. Расчет шлицевых соединений представлен в Приложении. 8 Выбор и расчет упругой муфты По атласу деталей машин под ред. Решетова [3] определяем муфту упругую втулочно-пальцевую. Пальцы и кольца берут стандартными, размещая их так, чтобы выполнялось условие
, где
Примем z=6. Упругие элементы проверяют на смятие в предположении равномерного распределения нагрузки между пальцами:
, где 9 Выбор смазочных материалов Для смазывания передач широко применяют картерную систему. В корпус редуктора заливают масло так, чтобы венцы колес были в него погружены. Колеса при вращении увлекают масло, разбрызгивая его внутри корпуса. Масло попадает на внутренние стенки корпуса, откуда стекает в нижнюю его часть. Внутри корпуса образуется взвесь частиц масла в воздухе, которая покрывает поверхность расположенных внутри корпуса деталей. Принцип назначения сорта масла следующий: чем выше окружная скорость колеса, тем меньше должна быть вязкость масла и чем выше контактные давления в зацеплении, тем большей вязкостью должно обладать масло. Поэтому требуемую вязкость масла определяют в зависимости от контактного напряжения и окружной скорости колес. Контактные напряжения (из распечатки):
И для тихоходной, и для быстроходной ступеней контактные напряжения меньше 600 Мпа. Частота вращения тихоходного вала Круговая частота и окружная скорость:
По таблице 11.1 [1] выбирается кинематическая вязкость масла 28 И – индустриальное Г – для гидравлических систем А – масло без присадок 46 – класс кинематической вязкости Подшипники смазываем тем же маслом. Так как имеем картерную систему смазывания, то они смазываются разбрызгиванием.
Дунаев П.Ф., Леликов О.П. Конструирование узлов и деталей машин. М., Высшая школа, 1985. Ряховский О.А. Детали машин. М., МГТУ, 2004. Атлас по деталям машин. Под ред. Решетова Д.Н. М., Машиностроение, 1992.
|

.




























,











