Реферат: Об одном кулисно-рычажном механизме
|
Название: Об одном кулисно-рычажном механизме Раздел: Рефераты по науке и технике Тип: реферат | ||||
Смоляков Андрей Анатольевич, старший научный сотрудник РФЯЦ-ВНИИЭФ . Уповалов Вячеслав Владимирович, научный сотрудник РФЯЦ-ВНИИЭФ . Предлагается к рассмотрению кулисно-рычажный механизм, в котором осуществляется преобразование вращательного движения кулачка в качание кулисы. Механизм может быть реализован двумя способами, как показано на рис. 1 и 2. Устройство состоит из кулачка, вращающегося вокруг постоянной оси, и кулисы с двумя направляющими. Кулиса, с жестко заделанными направляющими, качается вдоль своей оси качания, перпендикулярной оси вращения кулачка. В каждый момент времени кулачок касается обеих направляющих (каждой в одной точке) за счет выбора формы кулачка (в первом варианте) или направляющих (во втором варианте). В первом варианте (см. рис. 1) направляющие имеют форму цилиндров, а во втором варианте (см. рис. 2) кулачок выполнен в форме цилиндра.
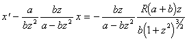
Оси x и y лежат в плоскости определяющей кулачка и направлены соответственно вдоль максимального и минимального диаметров. Уравнение (1.1) имеет вид дифференциального уравнения Клеро. Как известно, дифференциальное уравнение Клеро
при очевидных граничных условиях
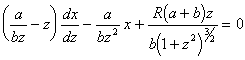
l - расстояние между осями направляющих кулисного механизма; R - радиус кулачка; H - радиус качания кулисы (перпендикуляр от центра оси качания кулисы к отрезку, соединяющему центры направляющих); L - радиус вращения кулачка (между центром кулачка и центром оси вращения кулачка). Ось x направлена вдоль центральной оси направляющей, ось y - перпендикулярно к оси x . Начало координат - середина направляющей, самое ?узкое¦ место. Координата y определяет радиус сечения направляющей в точке с координатой x . Продифференцируем (2.1) по x :
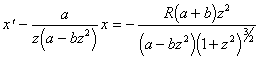
в котором приведем к общему знаменателю выражения в скобках и затем сократим выражения в скобках что приведет к окончательному виду дифференциального уравнения, определяющего форму направляющих
приводится к уравнению в виде переписав последнее относительно Для уравнения (2.12) можно записать соотношения
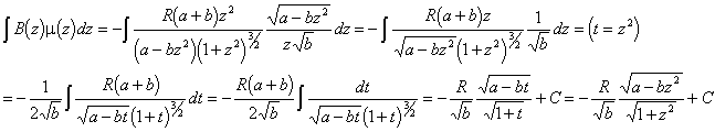
Обозначим
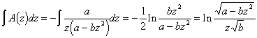
или, после упрощения при интегральном множителе Для уравнения (2.15) можно записать Из /2/ имеем:
отсюда
Общее решение можно теперь записать как Если рассматривать z как параметр, то подставив значение для x в уравнение (2.12), можно получить параметрическое решение уравнений (2.1), (2.2) и (2.3) в виде
выполняется тождественно. Уравнение (2.16) для условия
примет вид:
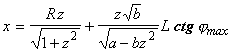
откуда Окончательно имеем параметрическое задание
Оба варианта определения геометрических форм деталей предложенной конструкции кулисно-рычажного механизма были предварительно промоделированы в программе трехмерного проектирования AutoCAD версии 12. Изготовленные пробные экземпляры показали ожидаемый результат. Данная конструкция обладает способностью сохранять форму передачи движения при любом изменении положения самой конструкции за счет постоянного касания кулачка с каждой направляющей в одной точке. При этом не требуется использования дополнительных деталей, например подшипников, что позволяет без проблем изготовить подобные кулисно-рычажные механизмы малых размеров. Это дало возможность использования описанного механизма, в частности, в серийном производстве датчиков для медицинских приборов, осуществляющих сканирование внутренних органов человека, на Арзамасском приборостроительном заводе. Возможно применение и в других областях приборостроения и промышленности. Первый вариант более труден для изготовления (т.к. форма кулачка является сложной геометрической фигурой, для изготовления которой необходима специальная оснастка), поэтому наибольший практический интерес представляет второй вариант реализации (и поэтому изложенный более подробно), где направляющие являются фигурами вращения и могут быть легко изготовлены на станке с ЧПУ. Следует отметить, что для второго варианта необходимо просчитать На описанное устройство получено решение о выдаче патента Всероссийским Научно-исследовательским институтом Государственной Патентной Экспертизы (ВНИИГПЭ). Литература:1. Корн Г. К. и Корн Т. К., Справочник по математике (для научных работников и инженеров),стр. 269, М.: ?Наука¦, 1974. 2. Бронштейн И. Н. и Семендяев К. А., Справочник по математике для инженеров и учащихся втузов, стр. 93, М.: ?Наука¦, 1986. |



(2.2)
или
(2.8)
(2.9)
, 
,
(2.12)
,
.
(2.14)
,
(2.15)
.
, 
.
. (2.16)
,
,