Курсовая работа: Оценка эффективности рекламной кампании на примере компании ООО Центр
|
Название: Оценка эффективности рекламной кампании на примере компании ООО Центр Раздел: Рефераты по маркетингу Тип: курсовая работа | |||||||||||||||||||||||||||||||||||||||||||||||||||||||
Федеральное агентство по образованию Российский государственный университет им. И. Канта Кафедра маркетинга и коммерции КУРСОВАЯ РАБОТА по дисциплине: маркетинг «Оценка эффективности рекламной кампании на примере компании ООО «ЦЕНТР» » Работу выполнила студентка 3 курса экономического факультета специальности «Менеджмент организации» группы № 9 Дмитриева О.С. Научный руководитель: к.э.н., доцент Чуйкин А.М. Калининград 2006 СодержаниеВведение1. Планирование рекламной работы организацией-рекламодателем 2. Организация рекламной кампании 3.Анализ рекламной деятельности компании ООО «ЦЕНТР» 3.1.Организационно-экономические характеристики компании ООО «ЦЕНТР» 3.2.Анализ эффективности использования рекламных средств 3.3. Рекомендации по совершенствованию рекламной деятельности Заключение Список литературы Приложения ВведениеФормирующийся в России рынок товаров и услуг все настойчивее требует привлечения и использования рекламы. Реклама, с одной стороны, доводит до потребителей разные сведения, необходимые для покупки и использования изделий. С другой, - сочетая свою информативность с убедительностью и внушаемостью, реклама оказывает на человека эмоционально-психическое воздействие. Реклама, сама по себе, одновременно и бизнес, и искусство. В условиях рыночной экономики одним из важнейших факторов успешной работы любой компании является умение привлечь новых клиентов. Основным инструментом решения этой задачи является проведение рекламных кампаний. В этом случае перед отделом маркетинга встают проблемы планирования рекламной деятельности, распределения ресурсов и оценка эффективности и достигнутых результатов. Актуальность данной курсовой работы заключается в необходимости рекламной компании для любой уважающей себя фирмы, так как реклама в средствах массовой информации способствует развитию массового рынка сбыта товаров и услуг, и, в конечном счете, вложения от рекламы начинают обеспечивать жизнедеятельность газет и журналов, стремящихся охватить как можно большие массы людей. Таким образом, миллионы людей, и даже нация, начинают получать как свежие новости, так и рекламные сообщения. Целью является рассмотрение теоретического материала на основе которого будет разработана и оценена организация рекламной деятельности конкретной компании. Сама курсовая работа разбита на три части: 1. Планирование рекламной работы организацией-рекламодателем, где будет рассмотрены такие актуальные вопросы как: понятие и этапы проведения рекламной кампании, а также виды рекламных кампаний в зависимости от обстоятельств. 2. Организация рекламной кампании: разработка рекламных целей, методы расчета рекламного бюджета и оценка эффективности рекламной кампании. 3. Анализ планирования рекламной деятельности компании ООО «Центр» и рекомендации по её совершенствованию, что включает в себя организационно-экономическую характеристику компании, анализ использования рекламных средств, рекомендации по планированию рекламной деятельности и рекомендации по использованию рекламных средств. Таким образом перед нами поставлены конкретные задачи по совершенствованию рекламной компании, так как развитие в стране рынка и конкуренции по-новому ставит вопрос о месте и роли рекламы в жизни нашего общества. По мере развития товарного производства возрастает экономическая роль рекламы, благодаря которой потребитель отдает предпочтение какому-либо товару при выборе, тем самым, ускоряя процесс купли-продажи, оборачиваемость капитала. Правильно организованная рекламно-информационная деятельность в условиях рынка оказывает влияние не только на экономическую систему в целом, но и на отрасли, предприятия, отдельных потребителей. В проекте Закона Российской Федерации "О рекламе" дано следующее определение рекламы: "Реклама (рекламное сообщение) - любая форма распространения рекламодателем сведений (информации), независимо от используемых им технических или иных средств, в том числе их обнародование путем опубликования, передачи в эфир, публичного показа, публичного исполнения или сообщения, и т.п. в отношении третьих лиц о рекламодателе, его товарах (работах, услугах), их свойствах и характеристиках, условиях производства, приобретения и использования, иных обстоятельствах, служащих для формирования или поддержания интереса указанных лиц к рекламодателю, его товарам (работам, услугам), направленных на повышении конкурентоспособности их на рынке ". Данное определение подчеркивает связь рекламы и рынка с его продавцами и покупателями и усиливающейся конкуренцией товаров и услуг. Реклама сообщает огромным массам людей сведения о предполагаемых новых и совершенных товарах. Она играет ключевую роль в развитии экономики и является ее важным элементом. Важнейшим условием эффективной предпринимательской деятельности являются создание и производство новых конкурентоспособных товаров. Новый товар должен отвечать потребностям, которые сформируются у потребителей к моменту выхода изделия на рынок. Этот процесс требует целенаправленных рекламных усилий, как в сфере производства, так и в сфере торговли. Реклама вводит на рынок новые товары и услуги, формирует новые потребности. Если производителя лишить такой эффективной связи с потребителями, какой является реклама, то он перестанет вкладывать деньги в совершенствование старых и создание новых товаров. Стремление к развитию, конкуренция в предпринимательстве увянут. Однако нельзя считать рекламу панацеей от всех бед и использовать как безотказное средство. Эффективная реклама требует грамотного, целенаправленного подхода. Реклама эффективна лишь в том случае, если она включена в общий процесс создания продукции и ее продвижения к покупателю. Разрозненные, эпизодические рекламные мероприятия недостаточно эффективны даже при высоком качестве рекламы. Реклама, являясь одной из форм информационной деятельности, обеспечивает связь между производством и потреблением. На современном этапе реклама перешагнула узкие рамки информационной функции, обеспечивающей направляемый поток информации, и берет на себя коммуникативную функцию. С ее помощью поддерживается "обратная связь" с рынком и потребителем. Это позволяет контролировать продвижение товаров на рынке, создавать и закреплять у покупателя устойчивую систему предпочтений к рекламируемым объектам, вносить коррективы в сбытовую деятельность. Используя возможности направленного воздействия на потребителя, реклама способствует не только формированию спроса, но и управлению им. Продуманная реклама влияет на различные стороны предпринимательской деятельности, поощряя инициативу производства новых изделий, использование достижений научно-технического прогресса, фактора моды, разделения труда, кооперирования и специализации производства. Сочетание хозяйственного предпринимательства с рекламой позволяет предприятиям и иным рыночным субъектам получать высокие доходы, а следовательно, развивать производство. Тема эффективности рекламы неизбежно возникает в любом сообществе рекламодателей или рекламистов. При всем обилии разговоров вокруг этой темы, специалисты признают: есть только частные решения и подходы определения эффективности по различным параметрам в конкретных и ограниченных условиях. Большинство специалистов сходятся во мнении, что проблема относится к классу “не решаемых гарантированно”. Как, например, в ряде случаев нельзя заранее гарантировать результат судебного процесса или получить гарантию излечения. Тем не менее, болезненность и актуальность этой темы провоцируют постоянные дискуссии, так как по логике вещей, основное требование, предъявляемое к рекламе – это ее эффективность. 1.Планирование рекламной работы организацией-рекламодателем 1.1. Понятие и этапы рекламной кампании. Реклама — двигатель торговли. Как ни удивительно, но об этой простой истине нередко забывают, подменяя осмысленную маркетинговую политику набором дорогостоящих шоу. Или наоборот — не снабжают этот двигатель топливом (то бишь средствами), а потом гадают, отчего же он «не едет». На деле же рекламная кампания — эффективный маркетинговый бизнес-инструмент, который может решать и множество специфических задач, но не должен уходить от главных — сообщить потенциальным потребителям о существовании рыночного предложения, его особенностях и преимуществах, а также показать способы этим предложением воспользоваться. А иначе, откуда возьмётся прибыль?! Так что же такое рекламная кампания? Кaк ни cтpaннo, чeткий oтвeт нa этoт пpocтoй вoпpoc нe тaк уж oчeвидeн. Фактически рекламнaя кaмпaния пoдoбнa нacтупaтeльнoй вoeннoй oпepaции, тщaтeльнo pacплaниpoвaннoй, выcтpaивaeмoй нa ocнoвe opигинaльнoгo opгaнизaциoннoгo peшeния и ocущecтвляeмoй в cтpoгoм coглacии c paзpaбoтaнным пpoeктoм. Успex в увeличeнии пpoдaжи тoвapa дocтигaeтcя лишь в тoм cлучae, ecли peклaмнaя кaмпaния дoвoдит инфopмaцию o тoвape дo cвeдeния aдpecaтa, зaкpeпляeтcя в eгo coзнaнии и пpивoдит к дeйcтвию. Этo cвoeгo poдa "нacтуплeниe нa умы и cepдцa", пpивoдящee к зaмeтнoму cдвигу в cиcтeмe цeннocтныx opиeнтaций в oбщecтвeннoм пoдcoзнaнии в цeлoм. Пoтoму-тo тaк вaжнo ocнoвaтeльнo пoдгoтoвитьcя к нeй и дeйcтвoвaть бeзoшибoчнo - инaчe дeньги пpocтo "вылeтaют в тpубу". Зaдaчa peклaмнoй кaмпaнии - пoзвoлить имиджу тoвapa "вклинитьcя" в ужe пoлнocтью зaнятoe мeнтaльнoe пpocтpaнcтвo мaccoвoгo пoтpeбитeля. Пcиxoлoгичecки этo oчeнь нeпpocтo - вeдь люди cклoнны к инepции мышлeния и в бoльшинcтвe cвoeм нe жeлaют ничeгo нoвoгo. Нeoбxoдимo убeдить пoтpeбитeля в тoм, чтo пpeдлoжeниe дeйcтвитeльнo уникaльнo - инaчe oн пpocтo нe oтвeдeт в cвoeй пcиxикe мecтo для paзмeщeния cвeдeний o тoвape и мecтe eгo пpoдaжи. Пpинципы peклaмныx кaмпaний унивepcaльны - oни пoзвoляют уcпeшнo peклaмиpoвaть любoй тoвap, oт зaкoлoк для вoлoc дo пoлитичecкиx фигуp. Зaкoны пcиxики - oдни и тe жe и "paбoтaют" oдинaкoвым oбpaзoм и пpи пpoдвижeнии нa pынoк нoвoгo cтиpaльнoгo пopoшкa, и пpи внeдpeнии в мaccoвoe coзнaниe глoбaльныx пoлитичecкиx идeй. Рекомендуется планировать рекламную кампанию в следующей последовательности: определить «портрет» вашего покупателя; · определить цели рекламной кампании; · определить основную идею рекламной кампании; · выбрать формы размещения рекламы; · определить наиболее оптимальные сроки размещения рекламных мероприятий относительно друг друга во времени; · подсчитать возможные расходы на рекламную кампанию; · сравнить полученную сумму с той суммой, которую вы можете выделить на ее проведение; · составить развернутый план рекламной кампании; · разработать все элементы рекламной кампании; · проверить возможную эффективность выбранной цели, идеи, элементов рекламной кампании; · при необходимости уточнить, изменить элементы рекламной кампании; · организовать работу фирмы во время рекламной кампании; · подвести итоги рекламной кампании. Обычное дело – когда фирма начинает планировать свою рекламнуюкампанию, ей кажется, что заглянуть в будущее более чем на три месяца очень сложно. Поэтому массированный рекламный удар первых трех месяцев сменяется… фазой неопределенности. Большинство компаний не в состоянии точно дать ответ, как будет развиваться их рекламная кампания через три-четыре месяца после своего начала. И к этой части длительных медиапланов относятся довольно равнодушно: все равно потом менять!Отсутствие внятной стратегии развития рекламной кампании не самая страшная беда. Есть ошибки намного более катастрофичные. Но когда заказчик знает заранее всю динамику развития событий, он может сэкономить серьезные деньги. Простейшие примеры: - печатать полиграфию намного дешевле летом; - наружную рекламу выгодно покупать осенью за полгода-год до ее размещения; - получить лучшее время в телеэфире, выкупая его за 3-5 месяцев. Поэтому разработка стратегии рекламной кампании на 6-12 месяцев – абсолютное благо для бизнеса. 1.2. Виды рекламных кампаний Рекламные кампании, как известно, бывают цикличными, взрывными и перманентными. Большинство фирм выбирает один из вариантов абсолютно хаотично – под давлением обстоятельств. Кончились деньги – прекратим рекламу, появились – начнем снова. Еще чаще бывает так: все идет хорошо, давайте сэкономим на рекламных расходах, все стало плохо – нужно срочно дать много рекламы. Чтобы определить алгоритм принятия решения, я попробую выяснить, в каких случаях и какие стратегии рекламных кампаний более эффективны. Взрывная рекламная кампания Eе еще называют “захватом города” – хороша при выведении на рынок нового продукта. Длиться она может от трех недель до двух-трех месяцев. Потом наступает затяжная пауза не менее 6 месяцев. А в некоторых случаях товар так сразу находит свое место на рынке, что уже нуждается только в целевой и поддерживающей рекламе. Такая реклама наиболее применима в сфере В2В («business to business»), при выведении на рынок бренда (а не товара) с коротким сроком жизни, при попытке с помощью рекламы эффектно “уйти” с рынка, сократив складские запасы и уничтожив признаки упадка в жизненном цикле товара. Именно так уходили с рынка наиболее дальновидные пейджинговые компании, бутики, производители отделочных материалов. Самые неудачные попытки применить эту стратегию случаются, когда так выводят товар или бренд на высококонкурентный рынок (чтобы удержать позиции, обязательно нужно развивать успех). Поэтому сотовые операторы обречены на вечную массированную рекламу. Или когда выводят совершенно новый товар. Взрыв спроса быстро сменяется безразличием, если реклама не продолжается хотя бы в меньших объемах. Реклама цикличная Хороша тем, что не отпускает клиента, и при этом не требует таких огромных вложений. Здесь главное – точно определить цикл. Иногда к цикличности побуждают конкуренты. Когда нет сил бороться с их рекламой, нужно просто сделать перерыв, а потом сказать: “И снова здравствуйте!”. Эту стратегию в совершенстве отработали “Пепси” и “Кола”, а также мировые спортивные и фэшн-бренды (“Addidas”, “Nike”, “H&M”). В Калининграде похожими методами рекламируются застройщики, ритейлоры, сотовые компании. То есть эта стратегия особо востребована на олигопольных рынках. Другой повод прибегнуть к ней – цикличность в спросе на товар. Бытовая техника, новогодние игрушки, очки, кожаная одежда, кондиционеры и туристические услуги покупаются со строго определенной периодичностью. Поэтому и рекламируют их с этой же периодичностью. Тут уже главное – кто окажется первым (не слишком рано и не слишком поздно начнет свою рекламу и сможет приковать к ней внимание). Перманентная реклама Метод рискованный и чем-то похожий на наркотическую зависимость. Обычно бывает страшно прервать рекламный вал, потому что малейший спад в оборотах может повлечь беду (дефолт, конфликт с поставщиком, неудовольствие владельца фирмы). Перманентная реклама важна и в тех отраслях, где цикл покупок велик (например, стройматериалы частник покупает не чаще одного раза в три-пять лет), а вовлеченность низка (вы же не думаете постоянно, какой компьютер вы купите следующей весной своему ребенку). Обычно именно сторонники перманентной рекламы делают шаг от рекламы товара к рекламе бренда. Наиболее яркий пример – производители и продавцы мебели, поставщики оборудования, риэлторы. Проблема перманентной рекламы только в том, что зачастую фирмы не могут позволить себе больших постоянных затрат на нее. И такая малобюджетная реклама выливается в жалобный протяжный писк вместо сильного и ровного сопрано. Так что один из важных факторов успеха или неуспеха – это точное определение достаточности финансирования рекламной кампании. Вот мы и подошли ко второму киту, на котором зиждется рекламная кампания, – к ее бюджету. 2. Организация рекламной кампанииОказываясь перед необходимостью серьезно заниматься рекламной работой, представители организаций-рекламодателей часто не знают с чего начать, как правильно разработать и эффективно осуществить рекламную кампанию, затратив на нее минимум средств. Каких-либо уникальных рецептов и рекомендаций "на все случаи жизни" пока не существует и вряд ли удастся их найти, поскольку любая "рекламная ситуация" определяется уникальным и никогда не повторяющимся сочетанием обстоятельств. С позиции организации-рекламодателя теоретически процесс организации рекламной работы можно условно разделить на четыре последовательные основные этапы замкнутого цикла.
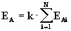
![]() Условное разделение планирования рекламной деятельности организации-рекламодателя на четыре этапа не является исчерпывающим. Различные связующие этапы должны дополнять этот процесс. Это и выявление групп целевого воздействия, и выдача заказов на изготовление и размещение рекламы, и совместные подготовительные работы со специализированными рекламными организациями, и обязательно контроль своевременного и качественного выполнения заказов на рекламные материалы и мероприятия. Для того чтобы понять важность эффективного планирования рекламной деятельности на предприятии подробнее следует рассмотреть базовые этапы планирования рекламной работы организации-рекламодателя. 2.1. Разработка рекламных целейК сожалению, многие работники предприятия плохо представляют себе, в чем состоят конкретные задачи и цели их рекламных планов. Назначение своей рекламы они весьма туманно определяют как "выделение имени фирмы среди прочих" или "снабжение боеприпасами торговых подразделений". Такие формулировки есть не что иное, как способ защитить свои программы от проверки их эффективности. Кроме того, они способствуют созданию общего мнения о том, что большие средства, отпущенные на рекламу, оказываются истраченными "впустую". Цели рекламы должны быть как можно более конкретными, но чтобы сделать их такими, необходимо понять, что может реклама. Простой способ достичь понимания возможностей рекламы - представить рекламу в виде пирамиды[1] . До введения на рынок нового товара перспективные покупатели живут в полном неведении о существовании товара. Следовательно, первая задача рекламы - заложить фундамент пирамиды путем ознакомления некоторой части неосведомленных покупателей с товарами или услугами. Следующая задача, или другой уровень пирамиды, - увеличение информации , то есть достижение такой ситуации, когда определенный процент группы, составляющий основание пирамиды, не только будет знать о существовании товара, но и о его назначении и, возможно, о некоторых его свойствах. Далее реклама должна сообщить достаточную информацию о товаре и его свойствах, чтобы убедить определенное число людей в его ценности. Это есть уровень убежденности . Из числа убежденных в полезности товара некоторые могут переместиться на следующий уровень - в число тех, кто желает иметь данный товар. И, наконец, после того, как будут пройдены все предыдущие уровни, некоторый процент желающих иметь товар достигнет вершины пирамиды - уровня действия - и пойдет в магазин, чтобы купить товар. После того, как некоторый процент покупателей принял решение о покупке, может быть введена новая рекламная цель: стимулировать повторение опыта использования товара. По мере того, как число купивших и повторивших покупку растет, модель претерпевает изменения. На вершине старой пирамиды выстраивается новая (перевернутая) пирамида, представляющая растущее число людей, включившихся в уровень действия пирамиды и приобретших привычку к повторению покупки. Перевернутая пирамида строится на основе удовлетворенности покупателей и передачи этого чувства от одного человека к другому. Чем больше удовлетворение и чем больше число людей узнает об этом, тем быстрее происходит расширение пирамиды. На этом этапе часто применяется подкрепляющая реклама для напоминания покупателям об их удовлетворительном опыте приобретении товара и для предложения повторной покупки. Из вышесказанного видно, что перед рекламой можно поставить множество конкретных целей в области коммуникаций и сбыта. Их можно классифицировать в зависимости от предназначения рекламы. Некоторые из целей рекламы перечислены в таблице[2] . Информативная реклама преобладает в основном на этапе выведения товара на рынок, когда стоит задача создания первичного спроса. Так, производителям йогурта нужно было сначала проинформировать потребителей о питательных достоинствах и многочисленных способах использования продукта. Увещевательная реклама приобретает особую значимость на этапе роста, когда перед фирмой встаёт задача формирование избирательного спроса. Напоминающая реклама чрезвычайно важна на этапе зрелости, для того чтобы заставить потребителя вспомнить о товаре. Цель дорогих объявлений “Кока-колы” в журналах – напомнить людям о напитке, а вовсе не в том, чтобы проинформировать или убедить их. Сравнительная реклама стремится утвердить преимущество одной марки за счёт конкретного её сравнения с одной или несколькими марками в рамках данного товарного класса. Подкрепляющая реклама стремится утвердить нынешних покупателей в правильности сделанного ими выбора. В рекламных объявлениях на автомобили часто фигурируют довольные покупатели, восторгающиеся той или иной особенностью купленной машина. 2.2. Методы расчета рекламного бюджета предприятияИтак, на что ориентироваться при оценке бюджета рекламной кампании организации. Кратко можно ответить следующим образом: 1. Средства, используемые для формирования рекламного бюджета компании, должны быть более или менее свободными. 2. С другой стороны, слишком малый бюджет рекламной кампании предприятия также недопустим. Понятно, что фирмы-конкуренты не дремлют. 3. Нужно иметь необходимые мощности для удовлетворения спроса, вызванного рекламной деятельностью. Если потенциальный клиент наталкивается на отсутствие возможности приобрести рекламируемый товар или услугу, эффективность рекламной кампании организации падает. И чем больше таких клиентов, тем ниже эффективность рекламы. В этом случае какую-то часть бюджета рекламной кампании предприятия (а, может быть, и весь рекламный бюджет компании) лучше потратить на устранение отсутствия такой возможности. Конечно же эти советы не претендуют на роль метода расчета бюджета рекламной кампании предприятия. Обзор методов расчета рекламного бюджета Отметим несколько особенностей существующих на данный момент методов расчета рекламного бюджета. · Практически все методы рассчитаны на крупных рекламодателей. · Практически ни один из методов не дает ответа на вопрос - по каким СМИ и в каком количестве внутри этих СМИ распределять рекламный бюджет. То есть априори считается, что главное - это “сколько” потратить, а не каким образом это “сколько” распределить. По принципу расчета рекламного бюджета все методы можно свести к нескольким основным. В них объем рекламного бюджета рассчитывается: · в зависимости от величины оборота фирмы. · в зависимости от объемов рекламных бюджетов фирм-конкурентов. · исходя из средств, оставшихся после распределения на все остальные нужды. · исходя из критерия оптимальности затрат на рекламу. А теперь подробнее. I. Расчет рекламного бюджета в зависимости от оборотаВ этих методах не без оснований полагается, что увеличение оборота фирмы пропорционально рекламным вливаниям. 1. Метод определения объема рекламного бюджета в процентах к объему сбыта .В этом методе рекламный бюджет оценивается относительно реально существующего на данный момент оборота: EA =k*S0 , где · EA - рекламный бюджет (затраты на рекламу); · k - сложившийся на рынке (или в самой фирме) показатель отчислений на рекламу относительно объема продаж; · S0 - оборот фирмы на момент оценки рекламного бюджета. Предположим, объем продаж фирмы составляет 500 тыс. долл. Сложившийся на рынке показатель процентного отчисления на рекламу от оборота равен 3%. Тогда рекламный бюджет составит 15 тыс. долл. (0.03 x 500). Пожалуй, единственным достоинством данного метода является его простота. В остальном же этот метод недалеко ушел от принципа оценки рекламного бюджета, что называется “от балды”. 2. Метод определения объема рекламного бюджета с учетом целей и задачФормализовать в линейном виде его можно следующим образом:
· p - стоимость одной, так называемой, рейтинговой единицы; · n0 - количество рейтинговых единиц, необходимых для условно 100% охвата целевой аудитории; · S - желаемый уровень объема продаж; · Smax - максимальный уровень объема продаж (условно 100% охват целевой аудитории). Допустим, Smax =100 тыс. долл., n0 =2000, p =10 долл. Тогда если фирма ставит целью достигнуть уровня объема продаж 75 тыс. долл., ей необходимо охватить рекламой 75% целевой аудитории (75/100), что потребует оплаты 1500 рейтинговых единиц (2000 x 0.75), что в свою очередь потребует 15 тыс. долл. (10 x 1500) рекламного бюджета. 3. Модель Юла.Приведем в общем виде формулу для этой модели:
· p и n0 имеют, по сути, те же значения, что и для метода 2.; · Nmax - количество потенциальных клиентов фирмы-рекламодателя; · N - количество клиентов, которые станут постоянными клиентами данной фирмы; · k - отношение количества клиентов данной фирмы, ставших постоянными, к количеству клиентов, которые попробуют товар данной фирмы; · k0 - отношение количества клиентов, которые попробуют товар данной фирмы, к количеству увидевших рекламу данной фирмы. Компания ставит конкретные цели и определяет бюджет, необходимый для достижения данных целей с помощью рекламной кампании. Сначала определяются цели, а потом бюджет. В принципе, это идеальный порядок, однако на практике такой метод встречается нечасто. Во-первых, большинство компаний ограничены в финансовых ресурсах. Во-вторых, этот метод также не дает гарантий оптимальности бюджета. Скорее наоборот для выполнения рекламных целей исполнители попытаются перестраховаться и увеличить бюджет, насколько это возможно, систематически превышая оптимальный уровень.4. Модель Видаля-Вольфа .Приведем формулу, которая используется в этой модели как базовая:
· S' - изменение уровня объема продаж по сравнению с текущим; · k1 - константа реакции оборота на рекламу; · Smax - уровень насыщения рынка данным товаром (работой, услугой); · S0 - текущий объем продаж; · k2 - константа уменьшения объема продаж при отсутствии затрат на рекламу. В этой формуле уже появился свободный член (
Например, фирма имеет оборот 50 тыс. долл. (S0 =50), через год оборот должен увеличиться еще на 50 тыс. долл. (S’ =50), уровень насыщения рынка данным товаром составляет 500 тыс. долл. (Smax =500), k1 =8, k2 =0.1. Тогда величина рекламного бюджета EA составит 7639 долл. 5. Модель ADBUDG .В этом методе в качестве базовой используется следующая формула: · P - доля рынка, которую желает занять фирма; · Pmin - доля рынка, которую займет фирма при нулевой рекламе (EA =0); · Pmax - доля рынка, которую займет фирма при наивысшем уровне рекламы (EA стремится к бесконечности); · g - коэффициент чувствительности функции реакции; · d - коэффициент ослабления. Отсюда легко найти величину рекламного бюджета:
Нетрудно заметить, что величина доли рынка, занимаемой фирмой, есть не что иное, как отношение оборота фирмы к величине уровня насыщения рынка данным товаром (аналогична величине Smax
из модели Видаля-Вольфа): · S - желаемый оборот фирмы; · Smin - оборот фирмы при нулевой рекламе; · Smax - оборот фирмы при наивысшем уровне рекламы. Отметим общие недостатки, характерные для методов расчета рекламного бюджета в зависимости от оборота. Зависимость величины оборота от величины рекламного бюджета имеет либо линейный характер (как в первых 4-х методах), либо нелинейный характер (метод ADBUDG). В этих зависимостях присутствуют от 1-го до 4-х коэффициентов (как линейно зависимых, так и линейно независимых между собой). Чисто с математической точки зрения для нахождения этих коэффициентов необходимо, во-первых, знать количество точек зависимости S=f(EA ) , равное количеству линейно независимых коэффициентов, а во-вторых, решить систему уравнений относительно этих коэффициентов. Однако если мы можем определить хотя бы одну точку зависимости S=f(EA ) , тогда непонятно, почему нельзя определить необходимую нам точку. Так, например, для 2-го метода можно было бы непосредственно оценить, что для достижения уровня объема продаж в 75 тыс. долл. необходимо затратить на рекламу 15 тыс. долл. Для модели Юла точно так же можно было бы непосредственно оценить, что для привлечения 4 млн. курильщиков потребуется 9600 тыс. долл. рекламного бюджета. Для остальных методов ситуация аналогичная. Однако, допустим даже, что мы правильно определили величину рекламного бюджета исходя из величины оборота (текущего или желаемого). Но вряд ли есть основания считать, что величина желаемого оборота является оптимальной величиной. Она может быть как завышена (тогда часть рекламных расходов совершаются впустую), так и занижена (тогда при большей величине рекламного бюджета фирма имела бы рентабельность больше, чем получается при данной величине рекламного бюджета). II. Расчет рекламного бюджета в зависимости от объемов рекламных бюджетов фирм-конкурентовВ общем случае
· EAi - рекламный бюджет i -й фирмы-конкурента; · N - количество фирм-конкурентов; · k - коэффициент пропорциональности между суммой рекламных бюджетов фирм-конкурентов и рекламным бюджетом данной фирмы. К таким методам можно отнести: 1. Метод оценки рекламного бюджета с учетом практики конкурирующих фирм.В этом методе объем рекламного бюджета рассчитывается как среднее между объемами рекламных бюджетов фирм-конкурентов: Надо заметить, что этот метод вряд ли несет хоть какую-либо смысловую нагрузку. Допустим, что на рынке присутствуют две основные фирмы-конкурента. Первая тратит на рекламу 20 тыс. долл., а вторая - 100 тыс. долл. Нетрудно подсчитать, что этот метод дает величину рекламного бюджета 60 тыс. долл., хотя понятно, что все зависит от величины данной фирмы. Если эта фирма по величине сопоставима с первой фирмой, она вряд ли сможет позволить расчетную величину рекламного бюджета без ущерба для оборотных средств. Если же фирма сопоставима со второй фирмой, то для успешной конкуренции она может и должна тратить на рекламу больше расчетной величины. 2. Метод долевого участия на рынке.Этот метод в чистом виде использует формулу (2).
В данном случае суммарный объем рекламных вливаний по данному товару является величиной внешней для данной фирмы (т.е. определенной). Оценить эту величину можно более или менее точно. Однако гораздо более важно правильно оценить величину доли рынка (k ), которую рассчитывает занять данная фирма. Именно от оценки этой величины и зависит, насколько величина рекламного бюджета будет оптимальной. А поскольку данный метод не дает способа оценки этой величины, ценность этого метода весьма сомнительна. III. Расчет рекламного бюджета по остаточным средствам ].Величина рекламного бюджета рассчитывается, исходя из средств, оставшихся после использования на все остальные нужды. Этот метод, по всей видимости, один из самых неудачных, так как низводит рекламную политику до уровня "падчерицы", причем абсолютно несправедливо. Вложения в рекламу ничем не отличаются от любых других вложений. Величина их рентабельности может быть как выше, так и ниже этих других (альтернативных) вложений. Поэтому и рассматриваться затраты на рекламу должны наравне с другими затратами. IV. Расчет рекламного бюджета исходя из критерия оптимальности затрат на рекламуМодель Данахера-Руста [6].В основу данного метода положен алгоритм поиска оптимальной величины рекламного бюджета по критерию максимума отношения эффективности рекламы к затратам на нее. Это, пожалуй, первый метод, перед которым уже можно слегка приподнять шляпу. Danaher и Rust рассматривают рекламу в качестве инвестиции и предлагают формулу для расчета рекламного бюджета, который позволит получить максимальный возврат от инвестиций в рекламу:
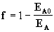
· f - значение охвата целевой аудитории (при 100% охвате f =1); · EA - величина затрат на рекламу (величина рекламного бюджета); · EA0 - некий коэффициент, по смыслу равный величине затрат на рекламу, при которой эффективность рекламы равна нулю (f =0). Очевидно, что затраты на рекламу равные EA0 и меньшие этого значения не имеют экономического смысла. Нетрудно заметить, что 100% охват целевой аудитории (f =1) достигается при бесконечной величине затрат на рекламу (EA стремится к бесконечности). Главная методологическая ошибка данного метода состоит, пожалуй, в том, что в качестве критерия принятия решения выступает максимум отношения величин охвата целевой аудитории и затрат на рекламу. Фактически это отношение эквивалентно рентабельности вложений в рекламу:
Как показывает практика, проблема определения оптимального рекламного бюджета не имеет абсолютного решения. Тем не менее, это не значит, что у компаний нет никаких ориентиров в этой области. В каждом конкретном случае техническим вычислениям должен предшествовать тщательный анализ ситуации и существующих методов определения рекламного бюджета. Поиск подходящих методов и их «настройка» на конкретную ситуацию могут предотвратить большие финансовые потери и значительно увеличить эффективность рекламной кампании. 2.3. Оценка эффективности рекламной кампании. Знаменитая фраза Джона Вандермейкера “Я точно знаю, что половина моих рекламных денег тратится впустую, вот только не знаю – какая” вряд ли вдохновит рекламодателя, который задумывается над эффективностью самой рекламы и оправданностью вложения в нее значительных средств. Ему нужны если не гарантии, то веские обоснования своих вложений. Зачем тратить деньги, часто немалые, на то, что останется бесполезным? Один из известных российских рекламистов – г-н Викентьев на своем семинаре как-то высказал два очень интересных соображения по поводу эффективности рекламы: «Если эффективность можно было бы реально оценивать – даже подсчитывать – на этом поле “паслись" бы страховщики – отечественные и зарубежные. Поскольку этого не происходит в массовом порядке ни здесь, ни там – похоже, что проблема эффективности рекламы глобально не решена...» «В сходных гуманитарных профессиях: педагогике, психологии, психотерапии, медицине и т.п. проблема “эффективности” обучения / лечения и т.п. уже несколько веков умело сводится к проблеме профессионализма... В этом смысле профессионализм – лишь увеличение вероятности обучения / лечения: но не гарантия его». Тема эффективности рекламы неизбежно возникает в любом сообществе рекламодателей или рекламистов. При всем обилии разговоров вокруг этой темы, специалисты признают: есть только частные решения и подходы определения эффективности по различным параметрам в конкретных и ограниченных условиях. Большинство специалистов сходятся во мнении, что проблема относится к классу “не решаемых гарантированно”. Как, например, в ряде случаев нельзя заранее гарантировать результат судебного процесса или получить гарантию излечения. Тем не менее, болезненность и актуальность этой темы провоцируют постоянные дискуссии, так как по логике вещей, основное требование, предъявляемое к рекламе – это ее эффективность. Оценивать эффективность рекламы необходимо даже в том случае, когда рыночные показатели говорят о том, что рекламная компания достигает поставленных целей. Если этого не делать, можно неожиданно для себя обнаружить, что реклама привела к совсем неожидаемому эффекту, а принимать меры для исправления ситуации уже слишком поздно. Кроме того, чтобы вернуться на прежние позиции на рынке, скорее всего, потребуется в три-четыре раза больше ресурсов, в том числе временных и денежных. При оценке эффективности рекламы важно учитывать весь комплекс создавшихся на рынке условий и всех факторов, благоприятствующих или препятствующих решению задач рекламной компании. Подсчитать абсолютную экономическую эффективность отдельных рекламных акций или кампаний в целом можно лишь косвенно из-за множества не поддающихся учету рыночных факторов. Невозможно, например, провести грань между эффективностью рекламы и результатами контактов потребителей с другими людьми, особенностей сезонных продаж или случайно возникших обстоятельств, таких, например, как изменение цен или разорение конкурента. Эффективность рекламы можно оценить её эффектом по отношению к затратам. Под влиянием рекламы изменяются следующие параметры: · количество новых покупателей; · количество всех покупателей; · количество счетов; · сумма продаж или объём продаж; · сумма покупок для торговых фирм. Но этот способ нельзя считать полностью достоверным, так как остается совершенно неизвестным, что повлияло на реализацию и доходы – реклама или другие рыночные факторы, и на сколько разумно потрачен рекламный бюджет. Другая особенность метода – необходимость постоянно учитывать моменты изменения цены на товар или услугу и инфляционные процессы, которые могут сильно изменять картину реализации и доходов. Оценивать рекламу по увеличению количества посетителей также не совсем корректно, так как рекламная акция может привлечь дополнительных посетителей, но они не обязательно будут представителями целевой группы. Известно, что если объявить в прессе бесплатную раздачу чего угодно, то по указанному адресу к указанному часу соберется толпа. Само по себе это не удивительно – народ любит «халяву». Удивительно будет, если среди этой толпы окажется большой процент потенциальных потребителей, особенно если это дорогостоящих товар длительного пользования. Тем не менее, это наиболее распространенный метод отслеживания своей рекламы в том небольшом количестве средних и небольших российских компаний, которые задумываются над проблемой оптимизации рекламного бюджета. В мировой практике ответ на вопрос об эффективности рекламы решается с помощью исследований. За подобные работы берутся все солидные маркетинговые агентства, но эти исследования могут быть проведены и своими силами. Обычно они включают в себя опрос наиболее типичных представителей целевой аудитории. В ходе исследования выясняется, что именно потенциальные покупатели знают о рекламируемой фирме, в чем видят преимущества и выгоды от покупки товара или пользования услугами, как они узнали о существовании этой компании, какой образ сложился у них, как они понимают рекламу, что им в ней нравится, что не нравится и что, по их мнению, следует в ней изменить, дополнить. Маркетинговое агентство наверняка предложит в качестве метода исследования проведение фокус-групп или полевых опросов, но польза будет, даже если директор фирмы-рекламодателя просто спустится в торговый зал и поговорит с посетителями. При измерении эффективности с помощью полевых опросов, обычно используются два метода. Первый – опрос групп потребителей, который очень похож на панельный. Теоретически, это самый лучший способ, так как для диагностики каждого этапа эффективности создается панель (выборка из целевой группы) и эту панель периодически опрашивают до рекламы и после нее. Этот метод позволяет выяснить закономерность на уровне отдельных потребителей (опрашиваем одних и тех же), но опять же только теоретически. На практике, подобные опросы очень дороги и трудоемки. Второй метод – волновой опрос различных групп. Он позволяет связывать разные этапы оценки эффективности только косвенно, так как невозможно установить зависимости даже теоретически, потому что опрашиваются разные люди. Кроме того, между волнами обычно проходит в среднем 3-6 месяцев. Оба эти метода имеют один общий недостаток – когда эффективность измерена – уже поздно что-то менять, рекламная кампания прошла, бюджет потрачен, а эффект может быть нулевым. На российском рынке распространен местный “гибрид” маркетинговых методов – опрос посетителей офиса фирмы или магазина компании с помощью анкет. В качестве альтернативы, повышающей качество проводимых опросов, может быть использован метод последовательных опросов, примененный в 1999-2000 при анализе рекламной кампании салона “Венеция” (г. Самара). Он обладает еще одним преимуществом – может применяться уже во время проведения рекламной кампании. Этот метод дает возможность установить причинную зависимость и обеспечивает достаточную надежность результатов. Метод последовательных опросов – симбиоз двух описанных выше методов и его под силу использовать в своей работе даже средней фирме, так как вместо 800 респондентов раз в квартал опрашиваются 70, но раз в неделю. Погрешность результатов опроса одной группы в 70 человек очень велика, поэтому вводится “скользящее среднее значение”, например, первое значение определяется за 1-2 неделю, второе за 2-3 неделю и т.д. Если исследования не независимы и проводятся самой компанией, то средства статического анализа можно применять только за более продолжительный срок – квартал. Отличительная черта метода последовательных опросов в том, что данные поступают непрерывно и оперативно, менеджер фирмы сам может произвести необходимые корректирующие меры; сам метод не влияет на опрашиваемых респондентов, позволяет “считывать” данные по мере из изменения рыночной ситуации. Для выявления причинных зависимостей результаты опроса групп потребителей анализируются на уровне отдельных потребителей. Проводить такой анализ можно только в том случае, когда в разные моменты времени опрашивались одни люди. В случае применения метода последовательных опросов в исследовании принимают участие разные группы респондентов, но можно сделать следующее допущение: респонденты опрашиваемые в разных исследования являются “клонами”, то есть выбираются из однородной массы людей, то есть имитируется опрос одного и того же человека в нескольких исследованиях. Результаты, полученные в результате использования метода последовательного опроса, могут применяться для определения причин неэффективности рекламных кампаний, стимулирования сбыта, корректировки рекламной кампании, доработки рекламных материалов. Рекламное творчество состоит из набора разнообразных, но равноправных задач, некоторые из которых лежат на стыке рекламы и других областей бизнеса. В тех случаях, когда ведение рекламной кампании передается агентству, вопрос разграничения полномочий, ответственности, соответственно и подсчета эффективности (отрабатывает ли агентство те деньги, которые ему достаются) встает с собой остротой. Казалось бы, все просто, но многих рекламистов вопрос об эффективности ставит в тупик, особенно когда заказчик спрашивает не только о том, какова будет эффективность рекламы, но и требует гарантировать результат. Вот здесь у рекламного агентства чаще всего опускаются руки. В принципе, достаточно опытный рекламист может предсказать эффективность кампании с точности до его знаний о рынке. Однако, конечный эффект зависит от длинной цепочки комплекса маркетинга, в которой реклама является одним из элементов. В оценке эффективности рекламы “на глаз” рекламным агентством в принципе нет ничего плохого. Честное агентство постоянно отслеживает эффективность рекламных кампаний, накапливает статистику эффективности размещения рекламных сообщений на том или ином медианосителе. При изучении этой статистики можно проследить определенные закономерности, но чаще всего невозможно просчитать общую эффективность размещений рекламы, а только эффективность для данного вида товаров. При богатом опыте работы на рынке эти данные способны помочь достаточно точно спрогнозировать эффективность будущей рекламной кампании. Проблема в том, что все может измениться со временем. Очень часто агентство не учитывает этот фактор, и удивляется, почему прошлая рекламная кампания была удачной, а нынешняя нет. Для повышения эффективности рекламной кампании также полезно время от времени сверять “взгляд на мир” рекламодателя, рекламиста и потенциального покупателя. Иногда при создании рекламной кампании рекламист и заказчик упираются лбами в “профессионализм” друг друга. Рекламист считает, что, так как он специалист в области рекламы, то он точно знает, какая реклама эффективна. Заказчик в свою очередь считает себя специалистом в своей области бизнеса и ему видней, какая реклама будет эффективней для его товара или услуги. Этот спор легко разрешим, когда на этапе проектирования рекламной акции или рекламной кампании вместе с креативом, дизайном, медиапланом создается механизм измерения эффективности каждого конкретного рекламного сообщения. Таким механизмом в самом упрощенном виде может служить список контрольных вопросов для оценки эффективности проводимой рекламной кампании (рекламной акции): 1. Основные рекламные цели рекламной кампании / акции: цель, название акций (и), категория клиентов, на которых это рассчитано. 2. Основные способы достижения целей: что разрабатывалось, что изготавливалось, где и как размещалось, расходы. 3. Достигнуты ли поставленные цели? 4. Оценка поставленных целей: правильно ли поставлены цели, достижимы ли эти цели за запланированный срок, сколько стоило достижение поставленной цели, можно ли было достичь поставленную цель менее дорогим способом, как? 5. Корректировка (если надо) целей рекламной кампании 6. Корректировка (если надо) способов достижения прежней цели. Разработка (если надо) способов достижения новых целей: выбор других носителей рекламы и способов размещения, изменение целевой группы, изменение характера акции 7. Предварительная оценка соотношения цели / затраты (п. 4). Проверку следует продолжать до тех пор, пока схема ответов в п.4 не выстроится таким образом, чтобы устраивать рекламодателя. Приблизительную эффективность рекламы можно измерять практически на каждом этапе рекламной кампании, учитывая косвенные признаки благополучия или появившихся трудностей. Точных цифр эти наблюдения дать не смогут, но они могут помочь руководителю сориентироваться в общей ситуации. Например, имеет смысл обратить внимание на мнения персонала, работающего с клиентами, самих покупателей о рекламе и ее результатах, следить за числом запросов на дополнительную информацию о товаре или услуге и увеличением / снижением количеством покупок, анализировать причины их возникновения и роль в этом рекламы. В зависимости от величины фирмы и наличия свободного времени и средств у директора, маркетолога или рекламиста, можно выбрать любой из способов измерения эффективности рекламы. Какой бы из способов ни был выбран, следует помнить, что идеально-эффективной рекламы не существует, но к идеальности необходимо стремиться подобно тому, как мореплаватели ориентируются на Полярную звезду, никогда ее не достигая… 3. Анализ рекламной деятельности компании ООО"Центр"3.1. Организационно-экономическая характеристика компанииООО«Центр»Компания ООО "Центр" является многопрофильным предприятием, созданным по решению учредителей. Предприятие является юридическим лицом, права которого приобретаются с момента государственной регистрации. Предприятие от своего имени может приобретать имущественные и личные неимущественные права и нести ответственность, быть истцом и ответчиком в судебных и арбитражных органах. Свою деятельность предприятие начало в октябре 2000 г. (город Владивосток). Предприятие отвечает по своим обязательствам, принадлежащим ему имуществом, на которое согласно действующему законодательству может быть обращено взыскание. Предприятие не отвечает по обязательствам своих участников, участники предприятия отвечают по обязательствам предприятия всем своим имуществом. Государство не отвечает по обязательствам предприятия, равно как и предприятие не отвечает по обязательствам государства. Предприятие обладает полной самостоятельностью в вопросах внутренней организации и управлении; принятие хозяйственных решений; организации и режиме оплаты труда; распределении чистой прибыли; распоряжении своим имуществом, а также иных вопросах своей деятельности, не регламентированных законодательством. Предприятие было создано в целях удовлетворения потребностей юридических лиц, граждан и в целом региона в товарах, работах и услугах. Предприятие осуществляет следующие виды деятельности: 1. Поставка и монтаж систем кондиционирования воздуха производства японской фирмы MITSUBISHI HEAVY INDUSTRIES, LTD.; 2. Осуществляет гарантийное и послегарантийное обслуживание оборудования; 3. Оказывает помощь предприятиям и организациям в доработке проектно-конструкторских работ в промышленности и строительстве, в размещении заказов на их изготовлении; оказание помощи предприятиям и организациям в изготовлении, приобретении и размещении различного оборудования, техники, способствующих совершенствованию производства; 4. Производственная деятельность, строительная, ремонтные работы. Для осуществления своей деятельности предприятие имеет право производить любые операции, заключать любые сделки, за исключением запрещенных законодательством, с юридическими лицами и гражданами. Предприятие самостоятельно планирует свою производственно-хозяйственную деятельность на основе договоров или иных форм обязательств и свободном выборе их предмета, порядка хозяйственных взаимоотношений и определения ответственности договаривающихся сторон по взятым обязательствам. Договор является основной формой, регламентирующей взаимоотношения предприятия с юридическими лицами и гражданами. Предприятие ведет бухгалтерский учет и осуществляет статистическую отчетность, а также несет ответственность за состояние учета и отчетности в порядке, установленном действующими на территории РФ законодательными нормативными актами. Финансовая деятельность предприятия направлена на создание денежных ресурсов в рублях для производства и социального развития, обеспечение роста прибыли (дохода). Предприятие несет ответственность за соблюдение кредитных обязательств и расчетной дисциплины. Имущество предприятия составляет основные фонды и оборотные средства , а также иное имущество, стоимость которого отражается в самостоятельном балансе предприятия. 3.2. Анализ эффективности использования рекламных средств.В анализе использования рекламных средств компанией ООО "Центр" следует сконцентрироваться на основном направлений работы предприятия, а именно, поставке и монтаже кондиционерного оборудования производства MITSUBISHI HEAVY INDUSTRIES, LTD. Круг потенциальных потребителей кондиционерного оборудования отличается большим разнообразием, следовательно, и рекламное воздействие должно быть различным. Кондиционерное оборудование - сложная техника, требующая хорошо подготовленного кадрового состава предприятия, способного осуществлять проектирование, монтаж, пуско-наладку и гарантийное обслуживание систем кондиционирования воздуха. Поэтому одной из существенных проблем в продвижении принципиально нового оборудования на рынок города стало его довольно высокая стоимость и соответственно ограниченный круг возможных потребителей. Но, даже не смотря на огромную цену (от 7 тыс. рублей за один кондиционер в 2000 г.) на качественную технику уже начал формироваться спрос. Дальнейшим этапом в реализации плана по продаже кондиционера стало желание довести до потенциальных клиентов информацию об услугах предлагаемых предприятием и особенностях продукции. Для осуществления этого постепенно начала использоваться реклама Сначала это были периодические информационные объявления, транслируемые по радио. Конечно же, мгновенного эффекта это не приносило, т.к. принятие решения о дорогостоящей покупке требует довольно долгого временного периода. Попытки размещения рекламы в течение нескольких месяцев не принесли результата. Дело было даже не в качестве радиообращений, а в том, что рекламное сообщение не достигало и не могло достичь потенциальных клиентов, т.к. отсутствие четких рекламных планов да и денежных средств приводило к размещению рекламных объявлений в неудобном эфирном времени с использованием одного из самых неэффективных средств рекламы. Не использовались в практике рекламной работы прямая почтовая реклама, наружная реклама, сбытовые презентации. Хотя именно эти методы рекламной работы при продаже сложного оборудования являются приоритетными. Размещение рекламы проводилось без предварительного планирования по мере возникновения финансовых возможностей. Такой подход не принес в течение длительного времени положительных результатов. Эффективность проведенных рекламных мероприятий оказывалась убыточной. В течении 2000 г. объем продаж кондиционерного оборудования составил около 8 с небольшим тысяч долларов США. Рекламные вложения не приносили эффекта и работали на будущие продажи. Реализация оборудования осуществлялась в основном посредством личных контактов руководителей с заказчиками. Такая тактика имела и свое обоснование. Ограниченные финансовые возможности и пока еще не подготовленный рынок города Владивостока не способствовали широкомасштабным рекламным акциям. Задача рекламной деятельности предприятия на данном этапе работы состояла в информировании потенциальных покупателей о качестве оборудования, его отличительных особенностях, принципах работы. Наиболее эффективно было бы направить средства, затраченные на рекламу по радио - на прямую почтовую рекламу. Учитывая, что круг потенциальных покупателей невелик, используя брошюры и рекламные проспекты, с помощью прямой почтовой рекламы можно было бы донести информацию до потенциальных потребителей об услугах и продукции, предлагаемой предприятием. Некоторые положительные сдвиги в проведении рекламной работы стали появляться в 2001 г. В результате проведенных рекламных мероприятий (участие в выставках, использование телевизионной рекламы, адресная рассылка писем) был значительно увеличен объем продаж кондиционерного оборудования. Более четко спланированная рекламная кампания, информационная подготовленность потенциальных потребителей, высокое качество и надежность оборудования также сыграло положительную роль в увеличении объема продаж (см. таблицу 1). Таблица 1 Распределение рекламных средств в 2001 г.
Крупномасштабная рекламная кампания была осуществлена в 2002 г. Предприятие заблаговременно составило план рекламной кампании и приблизительную смету затрат. Был подготовлен новый рекламный видеоролик и текст для радиосообщений. Также был разработан оригинал-макет для размещения объявления в газете. Затраты на рекламу были распределены следующим образом (см. таблицу 2) Таблица 2 Распределение рекламных средств в 2002 г.
Основным рекламным слоганом стала фраза "Митсубиси - климат без границ". Эта фраза присутствовала в теле и радиорекламе. Компания ООО "Центр" сконцентрировало внимание потенциальных покупателей на качестве и превосходных технических решениях кондиционерного оборудования. Текст рекламы в теле- и радиоэфире был следующий: "..... Бесшумность работы..... Техническое совершенство .... Превосходный дизайн ..... Кондиционер Митсубуси - климат без границ", далее следовал адрес и телефон. В 2003 г. значительно возросли объемы реализованного кондиционерного оборудования, но нельзя сказать, что все это явилось следствием хорошо спланированной рекламной кампании. Конечно же, значительное влияние оказали не только рекламные факторы. Потенциальные покупатели имели в своем распоряжении достаточную информацию о кондиционерной технике, повысился уровень материального благосостояния жителей города (по сравнению с 2000 г.). За два года работы предприятие смогло увеличить объемы реализации кондиционерного оборудования более чем в 10 раз. Положительным фактором, который способствовал этому результату стало и активное привлечение и использование рекламы. Но не все рекламные средства работают одинаково эффективно, поэтому некоторое изменение соотношения и корректировка рекламной деятельности позволит предприятию сократить затраты на рекламу и увеличить объемы продаж оборудования. Анализируя распределение рекламных средств в 2003 г., следует отметить, что значительное выделение средств на радиорекламу не было оправданным, т.к. основная часть потенциальных покупателей кондиционерного оборудования не восприимчива к радиообъявлениям, что прекрасно было подтверждено в самом начале деятельности предприятия по продвижению кондиционеров в 2000 г. Также недостатком при организации рекламы было непродуманное использование телевизионного эфирного времени, в результате этого гораздо меньший эффект, чем можно было ожидать, был получен в результате привлечения телевизионной рекламы. Неудачным я считаю, было размещение рекламного видеоролика в утреннем эфире телевизионной программы. Новая программа, которая появилась на канале летом 2001 г. несомненно, вызвала интерес у телезрителей, но некоторое время потребовалось, чтобы у этой программы появился "свой" зритель, и она завоевала популярность в городе и в крае. Цель предприятия донести свою рекламу до потенциальных потребителей не осуществилась в полной мере, т.к. общая тенденция к просмотру телевизионных передач, показывает, что наиболее выгодное время размещения рекламных видеороликов с 18 до 22 часов, т.к. в это время наибольшее число граждан предпочитают проводить время у телевизора. Размещение рекламы в телевизионном эфире с 6 до 9 часов утра в будние дни и с 7 до 10 часов утра в воскресные дни (время выхода утренней телевизионной программы) является явно невыгодным рекламодателю, т.к. в это время очень невелика численность телезрителей. Тем не менее, благодаря активному привлечению различных средств рекламы значительно выросли объемы продаж кондиционерного оборудования по сравнению с 2001 г. и 2002 г. Кроме этого к положительному эффекту рекламного воздействия можно отнести лучшую информированность жителей города и потенциальных потребителей о деятельности предприятия. Активное использование различных средств рекламы подготовило основу для того, чтобы: 1. Добиться значительной доли рынка кондиционерного оборудования в городе Владивостоке. 2. Увеличить объемы реализации кондиционерного оборудования. 3. Закрепить в сознании потребителей и потенциальных клиентов имидж предприятия как надежного делового партнера. 4. Нейтрализовать притязания конкурентов. 3.2. Рекомендации по совершенствованию реклам нойдеятельности.На основе проведенного анализа рекламной деятельности компании ООО "Центр" можно предложить следующие рекомендации и мероприятия по планированию рекламы. В развитых странах обычно принят такой порядок - разработка годового бюджета фирмы, а затем планирование рекламной кампании. Широкий спектр рекламных услуг различных агентств и фирм, позволяет осуществлять практические любые намерения в этой области. К сожалению, такая форма не всегда приемлема для российских предпринимателей, т.к. на малых предприятиях планирование годового бюджета не всегда возможно из-за нестабильности экономической ситуации и постоянной смены законов и налогов. Помимо этого существуют сложности размещения и изготовления рекламы. Т. к. такие сложности характерны и для компании ООО "Центр", то предлагается несколько иной порядок планирования рекламной работы , которыйвключает в себя 4 последовательных этапа: 1 этап. Продукция + время. Формирование проекта плана рекламных мероприятий. Вначале необходимо рассмотреть перечень продукции, услуг, товаров, по которым необходима реклама. Для компании ООО "Центр" эта продукция или услуга отражает одно из основных направлений деятельности. Затем необходимо проставить временные отрезки, а именно: в какой период и какому товару (услуге) необходима реклама. Почти все услуги, предлагаемые компанией ООО"Центр" имеют ярко выраженный сезонный характер, поэтому размещение рекламы по какому-либо направлению деятельности должно осуществляться с учетом времени года. 2 этап . Продукция = виды рекламы. На этом этапе - на материале, подготовленном на первом этапе, отмечаются виды рекламы, наиболее подходящие для каждого продукта (услуги). 3 этап . Реклама = деньги. Далее необходимо рассмотреть реальные возможности предприятия, т.е. определить ту сумму, которую предприятие может выделить на рекламную компанию. И, исходя из выделенной суммы, необходимо произвести корректировку проекта плана. Так как обычно на рекламу выделяется меньше, чем намечалось ранее, то проще всего скорректировать план следующим образом: изменить периодичность размещения рекламы, уменьшить площадь публикации или время трансляции рекламного объявления. Или, например, вместо рекламы в самой известной и дорогой газете города дать несколько объявлений в других изданиях, где размещение рекламы стоит дешевле. Причем, необходимо помнить, что самая престижная газета - это еще не залог успеха рекламной кампании, выбор издания очень тесно связан с функциями, особенностями товара или услуги. 4 этап . План. Согласовав потребности в рекламе с реальными возможностями, предприятие получает план рекламной кампании на определенный период. Метод разработки проекта плана на год хорош тем, что, проработав один раз план рекламной кампании, руководитель предприятия и сотрудники начнут более четко представлять потребности фирмы в рекламе. При этом, финансируя рекламу на один квартал, всегда под рукой имеется проект плана на следующий период. К сожалению, к российским особенностям можно отнести размещение рекламы без планирования, а по предложениям представителей рекламных агентств и средств массовой информации. Этой ошибки на начальном этапе деятельности не избежало и компания ООО "Центр". Случайный выбор и случайное размещение рекламы ведут к ее низкой эффективности и, в конечном счете, к повышенным расходам на рекламу. Планирование - это процесс, который позволяет осознанно размещать рекламу, координируя ее с товаром и финансовыми возможностями. Рекомендации по использованию рекламных средствКомпания ООО "Центр" хорошо известно по крупным объектам, где установленное оборудование зарекомендовало себя как надежная и качественная техника. Но при разработке рекламных целей следует принимать во внимание, что рыночная ситуация быстро меняется и останавливаться на достигнутом - значит отдать свою рыночную долю конкурирующей фирме. Проанализировав группы покупателей, которые уже приобретали кондиционерное оборудование для решения различные технических проблем и создания благоприятных климатических условий, были выявлены потенциальные потребители продукции. Именно на них и следует обратить особое внимание при организации рекламных кампаний в средствах массовой информации. Чтобы реклама оказалась эффективной и достигла группы потенциальных покупателей необходимо выбрать из множества средств рекламного воздействия те, которые без труда смогут достичь цели. Для каждой группы потребителей следует выбрать те виды рекламных материалов, которые могут быть восприняты представителями группы целевого воздействия. Прямая почтовая рекламаОдним из самых эффективных видов рекламных материалов для потенциальных потребителей кондиционерного оборудования является прямая почтовая реклама. Т.к. кондиционерная техника сложное техническое изделие, то покупке всегда предшествует детальное изучение возможностей, надежности и качества предлагаемого оборудования. Рассылка проспектов, дополнительной информации и рекламных материалов приносит довольно ощутимый эффект. Следует отметить, что в настоящее время помимо чисто "классической" прямой почтовой рекламы, в виде целевой рассылки писем и печатных рекламных материалов, под воздействием научно-технического прогресса появляются такие ее формы как: · массовая целевая передача рекламных сообщений по телефаксам, · рассылка по почте рекламных видеокассет, видеодисков, компьютерных дискет и т.п., что более точно можно охарактеризовать таким термином как "прямая реклама". Преимущества такой прямой почтовой и не почтовой рекламы состоят в том, что она может быть нацелена на конкретные категории лиц в конкретных регионах, проводится в необходимое рекламодателю время, носит характер личностного обращения. Касаясь вопросов технического исполнения и тиражирования рассылаемых рекламно-информационных писем, следует заметить, что различные ксерокопии (часто неаккуратно выполненные) таких рекламных сообщений, без указания конкретных адресатов часто вызывают у их читателей негативную реакцию и создают атмосферу недоверия к излагаемой в них информации. В заключение следует особо отметить, что, занимаясь прямой почтовой рекламой, компания ООО "Центр" должно помнить о том, что все обещания, изложенные в рекламно-информационном письме, должны быть обязательно реализованы в ходе дальнейшего делового сотрудничества партнерами. В противном случае любые повторные рекламные обращения этой организации к потенциальным деловым партнерам, которые были не удовлетворены и разочарованы первым опытом сотрудничества, уже никогда не будут иметь никакого успеха. Телевизионная реклама Кондиционеры - дорогостоящее оборудование, особенно в условиях российской действительности. Не каждый может позволить себе комфорт стоимостью в 0,5 - 1 тысячи долларов США. Следовательно, рекламировать это оборудование необходимо в престижных и дорогих СМИ, которые способны донести информацию о предприятии до людей с высокими денежными доходами. Поэтому, а также чтобы охватить как можно более широкие группы покупателей следует активно использовать телевизионную рекламу. Это самый дорогой и в то же время самый эффективный вид рекламы для различных товарных групп. Цена рекламы по телевидению зависит от передачи, в которой она размещена, и от времени трансляции. Тем не менее, разумное привлечение телерекламы позволит предприятию значительно расширить влияние на потенциальных клиентов, создать необходимый предприятию имидж и т.д. Из анализа рекламной деятельности предприятия следует, что телевидение всегда являлось наиболее приоритетным средством в рекламной кампании компании ООО "Центр", но размещение рекламы на одном телевизионном канале явно не способствовало достижению высокой эффективности при использовании этого средства рекламы. В настоящее время в городе существует несколько телевизионных каналов. Наибольшей популярностью пользуются каналы ОРТ, РТР, ТНТ и канал НТВ. Долгое время компания ООО "Центр" сотрудничает с местной телерадиокомпанией "VBC". Результатом этих давних деловых отношений стало периодическое использование рекламных роликов в программах 2 канала. На мой взгляд очевидным недостатком явилось практически полное пренебрежение остальными вещательными каналами телевидения. Размещение рекламы по кондиционерному оборудования в телеэфире наиболее оптимально в вечернее время. Рейтинг же телеканалов указывает на то, что в вечернее время наибольшей популярностью пользуется канал "ОРТ" - 57% опрошенных жителей регулярно смотрит в вечернее время, канал "РТР" - 20%, канал "ТНТ" - 17%. При рекламе кондиционерного оборудования наиболее уместным будет размещение рекламных видеороликов в вечернем телевизионном эфире с 18 до 22 часов, т.к. именно в это время по данным статистики, телевизионными приемниками пользуется наибольшее число жителей. Реклама же днем на порядок менее эффективна, потому что обычно ее увидят лишь пенсионеры и неработающие инвалиды, т.к. эти категории населения неплатежеспособны, размещение рекламы по кондиционерному оборудованию в дневное время окажется пустой тратой средств. Вполне очевидно, что эффективность рекламы также зависит от того, в какой телевизионной передаче она помещена, т.к. от этого зависит аудитория программы, которая и решает судьбу рекламы. Также имеет значение телевизионный канал, на котором помещается ролик: например, первый канал принимается на всей территории города и края, что обеспечивает огромную аудиторию, а с приемом телепередач 2-го канала испытывают трудности жители края. Для телевизионной рекламы характерна высокая информационная насыщенность роликов, потому что в несколько секунд ролика необходимо вместить как можно больше информации. Таким образом, телевизионную рекламу следует признать эффективным средством, разумеется, при достаточном финансировании. Рекламные видеоролики по кондиционерному оборудованию следует размещать в информационных блоках новостей телепередач различных телеканалов в вечернее время. Если компания ООО "Центр" действительно хочет расширить зрительскую аудиторию потенциальных покупателей кондиционерного оборудования, то размещать рекламу необходимо на нескольких каналах в вечерних блоках новостей. Наиболее привлекательными следует признать следующее эфирное время для рекламных вставок (в порядке приоритета): 1. Перед программой "Время", т.к. программа "Время" пользуется большой популярностью среди жителей города. 2. Перед программой "Подробности", т.к. эта аналитическая программа привлекает к телеэкранам людей с высоким уровнем интеллекта и как следствие достаточными денежными средствами. 3. Перед программой "Сегодня" на канале НТВ, которая так же пользуется популярностью среди людей с высоким достатком. Наибольшего охвата потенциальных потребителей компания ООО "Центр" добьется следуя приведенной выше схеме размещения рекламных видеороликов. Рекламу в утреннем эфире периодически можно использовать для расширения размаха рекламной кампании. Сконцентрировать рекламные средства предприятию следует на вечернем эфирном времени. Это позволит добиться компании осуществления своих рекламных целей за более короткий срок при фактически тех же рекламных расходах. Используя предложенные рекомендации по выбору средств рекламы, компания значительно увеличит число потенциальных покупателей, осведомленных о деятельности компании ООО "Центр", его продукции и услугах. Это поможет предприятию добиться, поставленных рекламных целей и расширить объемы реализуемого оборудования. ЗаключениеХарактерной чертой современной рекламы является приобретение ею новой роли в результате вовлечения в процесс управления производственно-сбытовой деятельностью промышленных и сервисных фирм. Суть новой роли рекламы в том, что она стала неотъемлемой и активной частью комплексной системы маркетинга, уровень развития которой определяет качество и эффективность рекламно-информационной деятельности производителя и ее соответствие новым требованиям рынка. При этом подчеркивается, что главной функцией рекламы является индивидуализация продукта, т. е. Выявление его из основной массы конкурирующих изделий путем подчеркивания какой-либо свойственной только ему отличительной черты, способной более полно удовлетворить ту или иную потребность. В процессе исследований, проводимых во время написания курсовой работы на тему "Организация рекламной деятельности", изучалось состояние дел по планированию рекламы в фирме с целью выявления проблем в этой сфере деятельности организации и резервов повышения эффективности затрачиваемых рекламных средств. В качестве объекта исследования была выбрана компания ООО "Центр". Деятельность данной организации представляет большой интерес с точки зрения рассматриваемой проблемы. Это связано прежде всего с тем, что начиная с 2000 года ООО "Центр" начало активное привлечение рекламы для продвижения на рынок города новой продукции и услуг. На начальном этапе организации коммерческой деятельности многие предприятия сталкиваются с проблемой привлечения различных средств рекламы для воздействия на рынок, но не всегда это бывает эффективно. Как видно из нашего примера, в начале своей коммерческой деятельности, фирма отказалась от планирования и анализа рекламной компании, что привело к потере финансовых средств, а так же к малому объему продаж продукции. Для избежания характерных ошибок при планировании рекламной деятельности начинающим предпринимателям и крупным компаниям будет полезно ознакомиться с анализом рекламной деятельности предприятия и рекомендациями по совершенствованию рекламы. При написании курсовой работы решались следующие задачи: 1. Исследование теоретических основ изучения проблемы. При этом были обобщены публикации отечественных и зарубежных авторов по данной теме. 2. Анализ эффективности рекламной деятельности компании ООО "Центр". 3. Формирование основных выводов и рекомендаций. Анализ показал, что, несмотря на то, что предприятие довольно успешно работает в современных условиях, необходимо уделить особое внимание проблеме планирования рекламной деятельности на предприятии, чтобы избежать чрезмерных финансовых расходов, добиться поставленных целей, умело воздействовать на потенциальных потребителей продукции. Исследования были направлены на то, чтобы заставить предприятие пересмотреть свою рекламную работу и добиться большей пользы в результате привлечения рекламы. Предприниматель, который сумеет правильно спланировать рекламную деятельность в своей фирме, получает огромное преимущество в конкурентной борьбе. В зависимости от величины фирмы и наличия свободного времени и средств у директора, маркетолога или рекламиста, можно выбрать любой из способов измерения эффективности рекламы. Какой бы из способов ни был выбран, следует помнить, что идеально-эффективной рекламы не существует, но к идеальности необходимо стремиться подобно тому, как мореплаватели ориентируются на Полярную звезду, никогда ее не достигая… Список литературы1. Ассэль Г. Маркетинг: принципы и стратегия. Учебник для вузов.- М.:ИНФРА – М, 2001. 2. Голубков Е.П. Основы маркетинга: Учебник.- М.: Издательство «Финпресс», 1999. 3. Делл Д., Линда Т. Как стать известным, не тратя денег на рекламу: Учебник по рекламе. – Минск, 1997. 4. Котлер Ф., Армстронг Г., Сондерс Дж., Вонг В. Основы маркетинга: пер. с англ. – 2-е Европ. изд. –К.; М.; СПб.: Издат. дом «Вильямс», 1998 5. Котлер Ф. Маркетинг в третьем тысячелетии: как создать, завоевать и удержать рынок/ Пер. с анг.- М.: ООО «издательство АСТ», 2000. 6. Котлер Ф. Основы маркетинга: Пер. с англ. - М.: "Бизнес-книга", "ИМА-Кросс. Плюс", 1995. 7. Основы предпринимательской деятельности. (Экономическая теория. Маркетинг. Финансовый менеджмент). Под ред. Власовой В.М. – М.: Финансы и статистика, 1994. 8. Современная реклама: пер. с англ. - Тольятти: "Издательский Дом Довгань", 1997 г. 9. Федеральный закон "О рекламе". 10. Журнал «Маркетинг в России и за рубежом» №5/2002Эффективность рекламы при осуществлении активных продаж. Ресурсы Интернет:1. статьи о рекламе http://www.reklamanaauto.ru/content/stati/efekt.html 2. http://www.advertology.ru/article34789.html http://www.advertology.ru/article8839.html 3. http://advtime.ru/online/reklkamp.html 4. http://www.arm-group.ru/history/work/advert 5. http://basegroup.ru/practice/promotion.htm 6. http://www.dkor.ru/part2-4.htm (можно рассчитать бюджет любой рекламной кампании on line) 7. Статья. Увеличение эффективности рекламных кампаний в Google AdWords (Д. Мамонтов) http://www.mamontov.com.ua/context-google-adwords.html 8. http://reklamoff.ru/index.php?ea=1&roll=1&ln=1&chp=showpage&num=137 Приложение 1Пирамида рекламы
Приложение 2. Возможные цели рекламы.
[1] См. приложение 1 [2] См. приложение 2 |

.
.