Курсовая работа: Оценка стоимости бизнеса на примере предприятия
|
Название: Оценка стоимости бизнеса на примере предприятия Раздел: Рефераты по экономике Тип: курсовая работа | |||||||||||||||||||||||||||||||||||||||||||||||||||||||||||||||||||||||||||||||||||||||||||||||||||||||||||||||||||||||||||||||||||||||||||||||||||||||||||||||||||||||||||||||||||||||||||||||||||||||||||||||||||||||||||||||||||||||||||||||||||||||||||||||||||||||||||||||||||||||||||||||||||||||||||||||||||||||||||||||||||||||||||||||||||||||||||||||||||||||||||||||||||||||||||||||||||||||||||||||||||||||||||||||||||||||||||||||||||||||||||||||||||||||||||||||||||||||||||||||||||||||||||||||||||||||||||||||||||||||||||||||||||||||||||||||||||||||||||||||||||||||||||||||||||||||||||||||||||||||||||||||||||||||||||||||||||||||||||||||||||||||||||||||||||||||||||||||||||||||||||||||||||||||||||||||||||||||||||||||||||||||||||||||||||||||||||||||||||||||||||||||||||||||||||||||||||||||||||||||||||||||||||||||||||||||||||||||||||||||||||||||||||||||||||||||||||||||||||||||||||||||||||||||||||||||||||||||||||||||||||||||||||||||||||||||||||||||||||||||||||||||||||||||||||||||||||||||||||||||
АННОТАЦИЯ Калинина Ю.А. Курсовая работа по курсу «Оценка стоимости бизнеса».– Челябинск: ЮУрГУ, ЭиП-560, 56 с., 23 табл., библиогр. список – 10 наим. В данной работе приводится оценка рыночной стоимости бизнеса. Рыночная стоимость предполагает применение методов трех подходов к оценке. Стоимость объекта оценки рассчитана с использованием затратного, сравнительного и доходного подходов. В рамках затратного подхода методология расчета основывался на методе некорректируемых чистых активов. Сравнительный подход основывался на методе сделок. Доходный подход рассчитывался методом дисконтирования денежных потоком. В данной работе приводится анализ финансового состояния, который включает в себя анализ динамики состава и структуры баланса, анализ финансовой устойчивости, анализ ликвидности и платежеспособности, оценку деловой активности, оценку рентабельности и финансовой состоятельности и вероятности банкротства. В качестве объекта оценки выступает ООО «ЛюксСтрой» ОГЛАВЛЕНИЕ Введение................................................................................................... 4 1 ОБЩАЯ ХАРАКТЕРИСТИКА ДЕЯТЕЛЬНОСТИ ООО «ЛюксСтрой» 1.1 Виды деятельности ООО «ЛюксСтрой»............................................ 6 1.2 Анализ рыночной ситуации............................................................... 7 2 Анализ ФИНАНСОВОГО СОТОЯНИЯ ООО «ЛюксСтрой» 2.1 Анализ финансовой устойчивости предприятия............................... 15 2.2 Анализ ликвидности и платежеспособности предприятия................ 21 2.3 Оценка деловой активности предприятия.......................................... 26 2.4 Оценка рентабельности предприятия................................................ 29 2.5 Оценка финансовой состоятельности и вероятности банкротства.... 32 3 Оценка стоимости бизнеса ООО «ЛюксСтрой» на основе затратного подхода...................................................................... 36 4 Оценка стоимости бизнеса ООО «ЛюксСтрой» на основе сравнительного подхода........................................................... 40 5 Оценка стоимости бизнеса ООО «ЛюксСтрой» на основе доходного подхода....................................................................... 44 6 Итоговая оценка стоимости бизнеса ООО «ЛюксСтрой» 57 Заключение............................................................................................. 63 библиографический список........................................................... 64 ВВЕДЕНИЕПо мере развития рыночных отношений потребность в оценке бизнеса растет. Оценка объектов собственности (объектов, принадлежащих полностью или частично Российской Федерации, субъектам Российской Федерации либо муниципальным образованиям) является обязательной при приватизации, передаче в доверительное управление либо в аренду, продаже, национализации, выкупе, ипотечном кредитовании, передаче в качестве вклада в уставные капиталы. Оценка бизнеса позволяет оценить рыночную стоимость собственного (уставного) капитала предприятий с недостаточно ликвидными акциями. Возрастает потребность в оценке бизнеса при инвестировании, кредитовании, страховании, исчислении налогооблагаемой базы. Целью данной работы является определение рыночной стоимости ООО «ЛюксСтрой» с использованием существующих подходов оценки бизнеса. 1 ОБЩАЯ ХАРАКТЕРИСТИКА ДЕЯТЕЛЬНОСТИ ООО «ЛюксСтрой» Организационно-правовая форма, ведомственная принадлежность: Общество с ограниченной ответственностью производственная компания ООО «ЛюксСтрой» Общее количество работающих на данном предприятии составляет 23 человека. 1.1. Виды деятельности ООО «ЛюксСтрой» - Деятельность агентов по оптовой торговле строительными материалами (основной вид деятельности - агрегированный) - Прочая оптовая торговля (основной вид деятельности - детализированный) - Оптовая торговля лесоматериалами - Оптовая торговля лакокрасочными материалами - Оптовая торговля прочими строительными материалами - Розничная торговля лесоматериалами - Розничная торговля металлическими и неметаллическими конструкциями и т.п. - Производство бетонных и железобетонных работ - Производство изделий из бетона для использования в строительстве - Производство товарного бетона - Производство сухих бетонных смесей - Производство прочих изделий из бетона, гипса и цемента - Монтаж зданий и сооружений из сборных конструкций - Разборка и снос зданий, расчистка строительных участков - Производство земляных работы - Производство общестроительных работ по строительству прочих зданий и сооружений, не включенных в другие группировки - Устройство покрытий зданий и сооружений - Строительство спортивных сооружений - Строительство водных сооружений - Строительство фундаментов и бурение водяных скважин - Производство каменных работ - Производство электромонтажных работ 1.2 Анализ рыночной ситуации Реальный объем ВВП России за 2009 г сократился на 7,9% по сравнению с предыдущим годом. Номинальный объем ВВП России за 2009 г составил 39 трлн 016,1 млрд руб в текущих ценах. Об этом сообщается в сводке Федеральной службы государственной статистики (Росстат). Рост валовой добавленной стоимости в 2009 г зафиксирован лишь в госуправлении, обеспечении военной безопасности и соцобеспечении - на 3,2%; в здравоохранении и предоставлении социальных услуг – на 0,6%. Валовая добавленная стоимость сократилась за год в сельском хозяйстве, охоте и лесном хозяйстве – на 1,7%; в рыболовстве и рыбоводстве – на 1,6%, в добыче полезных ископаемых – на 1,9%, в обрабатывающих производствах – на 13,9%; в производстве и распределении электроэнергии, газа и воды – на 6%; в строительстве – на 16,4%, в оптовой и розничной торговле – на 8,3%, в гостиничном и ресторанном бизнесе - на 15,4%; на транспорте и в связи – на 2,3%, в финансовой деятельности – на 5,7%, в сфере операций с недвижимостью - на 5,3%, в образовании – на 1,3%; в сфере прочих коммунальных, социальных и персональных услуг - на 18,3%. 2. Анализ ФИНАНСОВОГО СОТОЯНИЯ ООО «ЛюксСтрой» 2.1 Анализ финансовой устойчивости предприятия Финансовая устойчивость формируется в процессе всей хозяйственной деятельности организации и является отражением стабильного превышения доходов над расходами. Она обеспечивает свободное маневрирование денежными средствами предприятия и способствует бесперебойному процессу продажи товаров. Выделяются четыре основных типа финансовой устойчивости предприятия 1 Абсолютная устойчивость показывает, что запасы и затраты полностью покрываются собственными оборотными средствами. Предприятие практически не зависит от кредитов. Такая ситуация относится к крайнему типу финансовой устойчивости и на практике встречается довольно редко. Однако ее нельзя рассматривать как идеальную, так как предприятие не использует внешние источники финансирования в своей хозяйственной деятельности. 2 Нормальная устойчивость – предприятие оптимально использует собственные и кредитные ресурсы. Текущие активы превышают кредиторскую задолженность. 3 Неустойчивое финансовое состояние характеризуется нарушением платежеспособности: предприятие вынуждено привлекать дополнительные источники покрытия запасов и затрат, наблюдается снижение доходности производства. Тем не менее, еще имеются возможности для улучшения ситуации. 4 Кризисное финансовое состояние – это грань банкротства: наличие просроченных кредиторской и дебиторской задолженностей и неспособность погасить их в срок. В рыночной экономике при неоднократном повторении такого положения предприятию грозит объявление банкротства. Финансовая устойчивость предприятия определяется степенью обеспечения запасов и затрат собственными и заемными источниками их формирования, соотношением объемов собственных и заемных средств и характеризуется системой абсолютных и относительных показателей. 2.1.1 Абсолютные показатели финансовой устойчивости Смысл анализа финансовой устойчивости с помощью абсолютного показателя заключается в том, чтобы проверить, какие источники средств и в каком размере используются для покрытия запасов. Для характеристики источников формирования запасов используется несколько показателей, отражающих различную степень охвата разных видов источников: 1) Наличие собственных оборотных средств. Ес = Ис – F, где Ес – наличие собственных оборотных средств; Ис – источники собственных средств (итог разд. III «Капитал и резервы»); F – основные средства и вложения (итог разд. I баланса «Внеоборотные активы»). 2) Наличие собственных оборотных средств и долгосрочных заемных источников для формирования запасов и затрат. Ет = Ес + Кт = (Ис + Кт ) – F, где Ет – наличие собственных оборотных средств и долгосрочных заемных источников для формирования запасов и затрат; Кт – долгосрочные кредиты и заемные средства (итог разд. IV баланса «Долгосрочные обязательства»). 3) Общая величина основных источников средств для формирования запасов и затрат. Е где Е Кt – краткосрочные кредиты и займы (стр. 610, 621, 627 разд. V баланса «Краткосрочные обязательства»). На основе этих трех показателей, характеризующих наличие источников, которые формируют запасы и затраты для производственной деятельности, рассчитываются величины, дающие оценку размера (достаточности) источников для покрытия запасов и затрат: 1) излишек (+) или недостаток (–) собственных оборотных средств
где Z – запасы и затраты (стр. 210 + стр. 220 разд. II баланса «Оборотные активы»); 2) излишек (+) или недостаток (–) собственных оборотных и долгосрочных заемных источников формирования запасов и затрат
3) излишек (+) или недостаток (–) общей величины основных источников для формирования запасов и затрат
Показатели обеспеченности запасов и затрат источниками их формирования ( Таблица 1 – Определение типа финансовой ситуации на предприятии ООО «ЛюксСтрой» за период с 2007 по 2009 год, тыс. руб.
По данным таблицы 1 можно определить не только тип финансовой устойчивости, но и выявить источники формирования запасов, которые оказали на него наибольшее воздействие. Судя по трехкомпонентному показателю типа финансовой ситуации, для предприятия за весь период характерно неустойчивое финансовое состояние. Данное положение характеризуется нарушением платежеспособности. Однако есть еще возможность ее восстановить. Основным источником покрытия запасов и затрат на предприятии выступает кредиторская задолженность. 2.1.2 Относительные показатели финансовой устойчивости Финансовая устойчивость предприятия характеризуется состоянием собственных и заемных средств и анализируется с помощью системы финансовых коэффициентов. Информационной базой для расчета таких коэффициентов являются абсолютные показатели актива и пассива бухгалтерского баланса. Для характеристики финансовой устойчивости разработано множество относительных показателей финансовой устойчивости. Наиболее приемлемыми для торговых предприятий являются следующие: 1 КУ коэффициент автономии - характеризует независимость предприятия от земных источников. 2 КУ коэффициент обеспеченности собственными средствами – характеризует обеспеченность всех оборотных активов предприятия оборотными средствами, необходимыми для его финансовой устойчивости. 3 КУ коэффициент обеспеченности запасов собственными оборотными средствами – означает, в какой мере материальные запасы покрыты собственными оборотными средствами и не нуждаются в привлечении заемных. 4 КУ коэффициент маневренности – показывает, какая часть собственных средств предприятия находится в мобильной форме, позволяющей относительно свободно маневрировать этими средствами. 5 КУ коэффициент соотношения мобильных и иммобилизованных средств х показывает, в какой степени мобильные активы превышают иммобилизованные, т.е. изменение структуры активов. 6 КУ коэффициент отношения собственного капитала и краткосрочной задолженности – характеризует соотношение собственных источников формирования имущества и краткосрочных обязательств. 7 КУ коэффициент финансовой зависимости – является обратным коэффициенту автономии (финансовой независимости). 8 КУ коэффициент финансирования – показывает, какая часть активов финансируется за счет собственных источников. Таблица 2 – коэффициенты финансовой устойчивости ООО «ЛюксСтрой»
Из данной таблицы можно сделать следующие выводы: Увеличилось значение коэффициента автономии, что говорит о повышении финансовой устойчивости, однако оно по-прежнему значительно ниже нормы. Коэффициент обеспеченности собственными средствами, коэффициент обеспеченности запасов собственными оборотными средствами и коэффициент маневренности в 2007 и в 2008 годах имеют отрицательное значение, но уже в 2009 году приближаются к нормативу. Рост коэффициента обеспеченности собственными средствами в динамике считается положительным. Снижение коэффициента финансовой зависимости говорит о снижении доли заемных средств в финансировании предприятия, но его значение намного выше нормативного, это говорит о снижении платежеспособности предприятия. По другим коэффициентам наблюдается рост по сравнению с 2007 годом, что говорит о частичном изменении структуры активов и пассивов и о вилянии на укрепление финансовой устойчивости. В целом можно отметить: на предприятии неустойчивое финансовое положение. 2.2 Анализ ликвидности и платежеспособности предприятия Платежеспособность предприятия определяется его возможностью и способностью своевременно и полностью выполнять платежные обязательства, вытекающие из торговых, кредитных и иных операций денежного характера. Платежеспособность влияет на формы и условия коммерческих сделок, в том числе на возможность получения кредита. Ликвидность предприятия определяется наличием у него ликвидных средств, к которым относятся наличные деньги, денежные средства на счетах в банках и легкореализуемые элементы оборотных ресурсов. Ликвидность отражает способность предприятия в любой момент совершать необходимые расходы. Для оценки платежеспособности и ликвидности могут быть использованы следующие приемы: - структурный анализ изменений активных и пассивных платежей баланса, т. е. анализ ликвидности баланса; - расчет финансовых коэффициентов ликвидности. 2.2.1 Оценка ликвидности баланса Для проведения анализа данные актива и пассива баланса группируются по следующим признакам: – по степени убывания ликвидности (актив); – по степени срочности оплаты (погашения) (пассив). Активы в зависимости от скорости превращения в денежные средства (ликвидности) разделяют на следующие группы: А1 – наиболее ликвидные активы. К ним относятся денежные средства предприятий и краткосрочные финансовые вложения (стр. 260 + стр. 250); А2 – быстрореализуемые активы. Дебиторская задолженность и прочие активы (стр. 240 + стр. 270); А3 – медленнореализуемые активы. К ним относятся статьи из разд. II баланса «Оборотные активы» (стр. 210 + стр. 220 – стр. 216) и статья «Долгосрочные финансовые вложения» из разд. I баланса «Внеоборотные активы» (стр. 140); А4 – труднореализуемые активы. Это статьи разд. I баланса «Внеоборотные активы» (стр. 110 + стр. 120 – стр. 140). Группировка пассивов происходит по степени срочности их возврата: П1 – наиболее краткосрочные обязательства. К ним относятся статьи «Кредиторская задолженность» и «Прочие краткосрочные пассивы» (стр. 620 + стр. 660); П2 – краткосрочные пассивы. Разд. V баланса «Краткосрочные обязательства» (стр. 610 + стр. 630 + стр. 640 + стр. 650 + стр. 660); П3 – долгосрочные пассивы. Долгосрочные кредиты и заемные средства (стр. 510 + стр. 520); П4 – постоянные пассивы. Статьи разд. III баланса «Капитал и резервы» (стр. 490 – стр. 216). При определении ликвидности баланса группы актива и пассива сопоставляются между собой. Условия абсолютной ликвидности баланса:
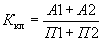
А2 А3 А4 Необходимым условием абсолютной ликвидности баланса является выполнение первых трех неравенств. Таблица 3 – анализ ликвидности баланса ООО «ЛюксСтрой», тыс. руб.
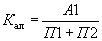
Анализ ликвидности баланса показал, что предприятие на протяжении всего периода имеет проблемы в степени покрытия своих текущих обязательств: наиболее ликвидные активы (денежные средства) меньше наиболее срочных обязательств (А1<П1). Быстрореализуемые активы хоть и покрывают краткосрочные обязательства (банковские кредиты до года), но все же суммы активов А1+А2 не достаточно, чтобы рассчитаться по текущим обязательствам П1 +П2, это свидетельствует о неплатежеспособности предприятия. Отсутствие долгосрочных обязательств не говорит в пользу перспективной ликвидности (А3 > П3), а текущая ликвидность, в свою очередь, не может быть компенсирована наличием медленно реализуемых активов. К концу 2009 года выполняется условие А4 < П4 это говорит о том что, на предприятии соблюдается важное условие платежеспособности — наличие у предприятия собственных оборотных средств, обеспечивающих бесперебойный воспроизводственный процесс; Сокращение дефицита активов по двум рассматриваемым группам свидетельствует о наметившейся положительной тенденции, более объективную оценку которой необходимо дать в ходе последующего анализа коэффициентов ликвидности. 2.2.2 Оценка относительных показателей ликвидности и платежеспособности Для качественной оценки платежеспособности и ликвидности предприятия кроме анализа ликвидности баланса необходим расчет коэффициентов ликвидности. · Коэффициент текущей ликвидности (покрытия долгов) (Кт.л. ): Показывает достаточность оборотных средств предприятия, которые могут быть использованы им для погашения своих краткосрочных обязательств. Характеризует запас прочности, возникающей вследствие превышения ликвидного имущества над имеющимися обязательствами. Нормальным значением для этого показателя считается от 1 до 2. Это главный показатель платежеспособности. · Коэффициент абсолютной ликвидности (Ка.л. ): Коэффициент абсолютной ликвидности показывает, какую часть краткосрочной задолженности организация может погасить в ближайшее время за счет денежных средств. Этот коэффициент интересен для поставщиков сырья и материалов. Нормальное значение: Кал > 0,2—0,5 · Коэффициент критической ликвидности (срочной) (Кк.л. ): Коэффициент показывает, какая часть краткосрочных обязательств может быть погашена немедленно за счет средств на различных счетах, в краткосрочных ценных бумагах, а также поступлений по расчетам. Допустимое значение: 0,7—1,0, желательно > 1,5, поскольку может оказаться недостаточным, если большую долю ликвидных средств составляет дебиторская задолженность, часть которой трудно своевременно взыскать. Если в составе текущих активов значительную долю занимают денежные средства и их эквиваленты (ценные бумаги), то это соотношение может быть и меньше. Таблица 4 - Коэффициенты, характеризующие платежеспособность, ООО «ЛюксСтрой»
Анализируя динамику коэффициентов ликвидности ООО «ЛюксСтрой» можно сделать следующий вывод: коэффициент абсолютной ликвидности намного меньше нормативного значения. Это свидетельствуют о том, что в 2007г предприятие на момент составления баланса могло покрывать лишь на 3,7% свои текущие обязательства за счет денежных средств, а в 2008г и 2009г – на 7,1% и 1,3% соответственно против 20% нормативного значения. Отрицательным фактом является уменьшение коэффициента к 2009 году на 2,4% по сравнению с 2007 годом. В целом предприятие можно признать неплатежеспособным (на дату составления баланса, т.е. на конец каждого периода). Коэффициент критической ликвидности к концу периода увеличился и достиг нормы 75,2%, т.е. в случае осуществления своевременных расчетов с дебиторами предприятие погасит свои текущие обязательства. Таким образом, к концу 2009г предприятие могло покрывать свои текущие обязательства за счет наиболее ликвидных активов (денежных средств, дебиторской задолженности) на 75,2%, что на 33,4% больше, чем в 2007г. Значение коэффициента текущей ликвидности, хоть и не соответствует нормативному значению, но все же очень близко к нему и составляет 97,7%. Если рассматривать его в динамике, то по сравнению с 2007 годом в конце периода наблюдается увеличение на 36,6%, что говорит о повышении платежеспособности предприятия. 2.3 Оценка деловой активности предприятия Анализ деловой активности заключается в исследовании уровней и динамики разнообразных финансовых коэффициентов – показателей оборачиваемости капитала. Оборачиваемость капитала является одним из важнейших показателей, характеризующих интенсивность использования средств предприятия. Рассмотрим общие показатели оборачиваемости . · Коэффициент общей оборачиваемости капитала: Коэффициент отражает скорость оборота всего капитала организации, т.е. сколько оборотов производят активы. Он показывает, сколько продукции приходится на каждый рубль активов или эффективность использования всех имеющихся ресурсов, независимо от их источников.
· Коэффициент оборачиваемости оборотн ых средств: Отражает скорость оборота материальных и денежных ресурсов предприятия за анализируемый период, или сколько рублей оборота (выручки) приходится на каждый рубль данного вида активов.
· Коэффициент оборачиваемости собственного капитала : Коэффициент показывает скорость оборота собственного капитала, или сколько рублей от выручки от реализации приходится на каждый рубль инвестированных собственных средств.
· Коэффициент оборачиваемости запасов (материальных средств) : Скорость оборота запасов и затрат, т.е. число оборотов за отчетный период за который материальные оборотные средства превращаются в денежную сумму. · Средний срок оборота материальных средств: Продолжительность оборота материальных средств за период.
· Коэффициент оборачиваемости дебиторской задолженности: Показывает число оборотов за период коммерческого кредита, предоставленного предприятием.
· Продолжительность оборота дебиторской задолженности: Показывает средний срок погашения дебиторской задолженности.
· Коэффициент оборачиваемости кредиторской задолженности: Показывает скорость оборота задолженности предприятия.
· Продолжительность оборота кредиторской задолженности: Показывает период, за который предприятие покрывает срочную задолженность.
· Продолжительность операционного цикла: Характеризует общее время, в течении которого финансовые ресурсы находятся в материальных средствах и дебиторской задолженности. Цо = Сд/з + См.ср. · Продолжительность финансового цикла: Время, в течении которого финансовые ресурсы отвлечены из оборота. Цф = Цо – Ск/з Таблица 5 – Показатели оборачиваемости капитала ООО «ЛюксСтрой»
По данным таблицы 5 видно, что оборачиваемость всех элементов имущества к концу 2009 года замедлилась. Рассмотрим подробнее оборачиваемость каждого вида имущества. Оборачиваемость капитала по сравнению с 2007 годом снизилась на 6,33 оборота – а это говорит о неэффективном использовании ресурсов, и что на 1 рубль стоимости всех активов получает 3,72 рубля дохода. Для увеличения интенсивности использования активов необходимо стремиться к увеличению данного показателя. Уменьшение коэффициента оборачиваемости собственного капитала до 21,21 оборота свидетельствует о снижении уровня деловой активности, так как на предприятии темп роста выручки ниже темпа роста собственного капитала. На предприятии также снизилась оборачиваемость оборотных средств в целом (на 5,46 оборотов) и запасов (на 21,11 оборотов). Срок реализации материальных оборотных средств увеличился составляет приблизительно 18 дней. Оборачиваемость дебиторской задолженности на конец периода составляет 6,32 оборота, а срок ее погашения увеличился до 57,72 дней. Снижение показателя является неблагоприятной тенденцией, так как чем продолжительнее период погашения, тем выше риск ее непогашения. Оборачиваемость кредиторской задолженности снизился до 4,51 оборота – это говорит о снижении коммерческого кредита, предоставляемого организации. Средний срок погашения кредиторской задолженности, то есть время, в течение которого счета кредиторов остаются неоплаченными, увеличился и составил 81,01 дней. Продолжительность операционного цикла оцениваемого предприятия на конец 2009 года увеличилась до 77,97 дней это рассматривается как отрицательная тенденция. Отрицательное значение длительности финансового цикла в 2009 году означает наличие временно свободных денежных средств. 2.4 Оценка рентабельности предприятия Показатели рентабельности характеризуют эффективность работы в целом, а также доходность различных направлений деятельности (производственной, предпринимательской, инвестиционной). Рентабельность более полно отражает окончательные результаты хозяйствования, поскольку показатель рассчитывается соотношением эффекта с наличными или используемыми ресурсами. Для анализа рентабельности рассчитаем следующие коэффициенты. · Рентабельность собственного капитала Показывает эффективность использования собственного капитала, т.е. количество чистой прибыли, заработанной каждым рублем, вложенным собственником в предприятие.
· Рентабельность продаж Показывает сколько прибыли продаж приходится на единицу проданных товаров.
· Рентабельность всего капитала предприятия Отражает эффективность использования всего имущества предприятия, или на сколько денежных единиц вложено предприятием для получения рубля чистой прибыли независимо от источников привлечения средств.
· Рентабельность реализованной продукции Показывает прибыль от понесенных затрат на производство продукции.
· Рентабельность внеоборотных активов Отражает эффективность использования основных средств и внеоборотных активов, измеряемую величиной прибыли, приходящейся на единицу основных средств.
· Рентабельность оборотных активов Отражает возможности предприятия в обеспечении достаточного объема прибыли по отношению к используемым оборотным средствам компании.
Таблица 6 - Коэффициенты рентабельности ООО «ЛюксСтрой»
Почти по всем показателям (кроме рентабельности реализованной продукции и рентабельности продаж) наблюдается снижение по сравнению с предыдущим годом, что оценивается как отрицательная тенденция. Рентабельность собственного капитала находится на низком уровне и к 2009 году уменьшилась до 0,18, соответственно можно сделать вывод о снижении скорости оборачиваемости собственного капитала при вложении в оборотные средства. Роста коэффициента рентабельности продаж по сравнению с 2007 годом до 2,6 % свидетельствует об увеличении прибыльности коммерческой деятельности, улучшении финансового благополучия предприятия. Рентабельность всего капитала предприятия снизилась на 8,7 % по сравнению с 2007 годом. Данное снижение говорит о замедлении оборачиваемости активов. Рентабельность реализованной продукции за весь период выросла на 2,2 %, но все же она довольно низка и на конец 2009г составляет 5%, это может свидетельствовать о необходимости пересмотра цен или усиления контроля за себестоимостью реализованной продукции. Рентабельность внеоборотных и оборотных активов снизилась на 18,9 % и 14 % соответственно - это говорит о замедлении скорости оборачиваемости внеоборотных и оборотных активов и нехватке денежных средств. 2.5 оценка финансовой состоятельности и вероятности банкротства В соответствии с федеральным законом «О несостоятельности (банкротстве)» несостоятельность (банкротство) - признанная арбитражным судом или объявленная должником неспособность должника в полном объеме удовлетворить требования кредиторов по денежным обязательствам и (или) исполнить обязанность по уплате обязательных платежей. До принятия закона «О несостоятельности (банкротстве)» действовала система критериев несостоятельности, состоящая из следующих показателей: коэффициент текущей ликвидности; коэффициент обеспеченности собственными средствами; коэффициент восстановления (утраты) платежеспособности. Коэффициент восстановления (утраты) платежеспособности характеризует наличие реальной возможности у предприятия восстановить либо утратить свою платежеспособность в течение определенного периода. Он определяется как отношение расчетного коэффициента текущей ликвидности к его установленному значению. Основанием для признания структуры баланса предприятия неудовлетворительной, а предприятия - неплатежеспособным является выполнение одного из следующих условий: - коэффициент текущей ликвидности на конец отчетного периода имеет значение менее 2; - коэффициент обеспеченности собственными средствами на конец отчетного периода имеет значение менее 0,1. При наличии установленных оснований для признания структуры баланса неудовлетворительной, если коэффициент восстановления (утраты) платежеспособности, определенный исходя из значения периода восстановления платежеспособности, равного шести месяцам, и установленного значения коэффициента текущей ликвидности, равного двум, имеет значение больше единицы, может быть принято решение о наличии реальной возможности у предприятия восстановить свою платежеспособность. При отсутствии установленных оснований для признания структуры баланса неудовлетворительной, в случае, если коэффициент восстановления (утраты) платежеспособности, определенный исходя из значения периода утраты платежеспособности, равного трем месяцам, и установленного значения коэффициента текущей ликвидности, равного двум, имеет значение меньше единицы, может быть принято решение о том, что предприятие в ближайшее время не сможет выполнить свои обязательства перед кредиторами (об утрате платежеспособности предприятия). В настоящее время действует другая система критериев. Здесь определяется не собственно несостоятельность, а признаки фиктивного банкротства предприятия. Признаком фиктивного банкротства является наличие у должника возможности удовлетворить требования кредиторов в полном объеме на дату обращения должника в арбитражный суд с заявлением о признании его несостоятельным. Для установления наличия (отсутствия) признаков фиктивного банкротства определяется обеспеченность краткосрочных обязательств должника его оборотными активами как отношение величины оборотных активов, за исключением НДС по приобретенным ценностям к величине краткосрочных пассивов, за исключением доходов будущих периодов, фондов потребления и резервов предстоящих расходов и платежей. На основании рассчитанной величины делаются следующие выводы: - если величина обеспеченности равна или больше 1, то признаки фиктивного банкротства усматриваются; - если величина обеспеченности меньше 1, то признаки отсутствуют. С целью выявления признаков преднамеренного банкротства проводится анализ финансово - хозяйственной деятельности должника, который делится на два этапа. На первом этапе рассчитываются показатели, характеризующие изменения в обеспеченности обязательств должника перед его кредиторами, имевшие место за период проверки. На втором этапе анализируются условия совершения сделок должника за этот же период, повлекших существенные изменения в показателях. К показателям, характеризующим степень обеспеченности обязательств должника перед его кредиторами, относятся: обеспеченность обязательств должника всеми его активами; обеспеченность обязательств должника его оборотными активами; величина чистых активов. Обеспеченность обязательств должника всеми его активами характеризуется величиной активов организации, приходящихся на единицу долга и определяется как отношение всей величины имущества, равной валюте баланса, за исключением организационных расходов, НДС по приобретенным ценностям и убытков к сумме кредиторской задолженности, включая задолженность по обязательным платежам. Обеспеченность обязательств должника его оборотными активами характеризуется величиной оборотных активов организации, приходящихся на единицу долга и определяется как отношение величины оборотных активов, за исключением НДС по приобретенным ценностям к сумме кредиторской задолженности, включая задолженность по обязательным платежам. Величина чистых активов организации характеризует наличие активов, не обремененных обязательствами. Таблица 7 - Расчет основных характеристик состоятельности предприятия ООО «ЛюксСтрой»
3 Оценка стоимости бизнеса ООО «ЛюксСтрой» на основе затратного подхода Затратный подход в оценке бизнеса рассматривает стоимость предприятия с точки зрения понесенных издержек или, другими словами, вложенных в него средств. Следует отметить, что, зачастую, цена, полученная этим методом, не отражает потенциал компании и его реальную стоимость. Балансовая стоимость активов и обязательств предприятия вследствие инфляции, изменений конъюнктуры рынка, используемых методов учета, как правило, не соответствует рыночной стоимости. В результате перед оценщиком встает задача проведения корректировки баланса предприятия. Для осуществления этого предварительно проводится оценка обоснованной рыночной стоимости каждого актива баланса в отдельности, затем определяется текущая стоимость обязательств и, наконец, из обоснованной рыночной стоимости суммы активов предприятия вычитается текущая стоимость всех его обязательств. Результат показывает оценочную стоимость собственного капитала предприятия. Существуют два основных метода оценки, базирующиеся на определении стоимости активов: - методом стоимости чистых активов; - методом ликвидационной стоимости. При оценке стоимости ООО «ЛюксСтрой» был применен метод чистых активов. Чистые активы — это величина, определяемая путем вычитания из суммы активов общества, принимаемых к расчету, суммы его обязательств, принимаемых к расчету. Применение методики определения стоимости чистых активов целесообразно при оценке действующей компании или в том случае, если компания обладает значительными материальными и финансовыми активами. Оценка методом чистых активов проводится внесколько этапов: 1. Оценивается недвижимое имущество предприятия по обоснованной рыночной стоимости. 2. Определяется обоснованная рыночная стоимость машин и оборудования. 3. Выявляются и оцениваются нематериальные активы. 4. Определяется рыночная стоимость финансовых вложений, как 5. Товарно-материальные запасы переводятся в текущую стоимость. 6. Оценивается дебиторская задолженность. 7. Оцениваются расходы будущих периодов. 8. Обязательства предприятия переводятся в текущую стоимость. 9. Определяется стоимость собственного капитала путём вычитания из обоснованной рыночной стоимости суммы активов текущей стоимости всех обязательств. В результате проведения состава перечисленных видов работ стоимость собственного капитала компании рассчитывается как рыночная стоимость совокупных активов минус текущая стоимость всех обязательств. В рамках оценки бизнеса при использовании метода чистых активов традиционный баланс предприятия заменяется скорректированным балансом, в котором все активы (материальные и нематериальные), а также все обязательства показаны по рыночной или какой-либо другой подходящей текущей стоимости. Поскольку для проведения оценки методом скорректированных чистых активов отсутствует необходимая информация в рамках затратного подхода к оценке стоимости ООО «ЛюксСтрой» корректировка активов проводится не будет. В состав активов, принимаемых к расчету, включается: - внеоборотные активы (нематериальные активы, основные средства, незавершенное строительство, доходные вложения в материальные ценности, долгосрочные финансовые вложения и прочие внеоборотные активы); - оборотные активы (запасы, НДС, дебиторская задолженность, краткосрочные финансовые вложения, денежные средства и прочие оборотные активы за исключением стоимости в сумме фактических затрат на выкуп собственных акций, выкупленных АО у акционеров, для их последующей перепродажи или аннулирования и задолженности участников по взаиморасчетам в уставный капитал). В состав пассивов, принимаемых к расчету, включается: - долгосрочные обязательства по займам и кредитам и прочие; - краткосрочные обязательства по займам и кредитам; - кредиторская задолженность; - задолженность участникам по выплате доходов; - резервы предстоящих расходов; - прочие краткосрочные обязательства. Расчет рыночной стоимости ООО «ЛюксСтрой» методом чистых некорректируемых активов представлен в таблице 5. Таблица 8 – Расчет стоимости ООО «ЛюксСтрой» методом некорректируемых чистых активов.
Таким образом, рыночная стоимость ООО «ЛюксСтрой» в рамках затратного подхода, с учетом округления равна 1 948 000 (один миллион девятьсот сорок восемь тысяч) рублей. 4. Оценка стоимости бизнеса ООО «ЛюксСтрой» на основе сравнительного подхода Сравнительный подход предполагает, что ценность собственного капитала фирмы определяется тем, за сколько он может быть продан при наличии достаточно сформированного рынка. Другими словами, наиболее вероятной ценой стоимости оцениваемого бизнеса может быть реальная цена продажи сходной фирмы, зафиксированная рынком. Возможность применения сравнительного подхода зависит от наличия активного финансового рынка, поскольку подход предполагает использование данных о фактически совершенных сделках. Второе условие - это открытость рынка или доступность финансовой информации, необходимой Оценщику. Третьим необходимым условием является наличие специальных служб, накапливающих ценовую и финансовую информацию. В зависимости от целей, объекта и конкретных условий оценки сравнительный подход предполагает использование трех основных методов: 1. Метод компании-аналога. 2. Метод сделок. 3. Метод отраслевых коэффициентов. Метод компании-аналога или метод рынка капитала основан на использовании цен, сформированных открытым фондовым рынком. Таким образом, базой для сравнения служит цена на единичную акцию акционерных обществ открытого типа. Следовательно, в чистом виде данный метод используется для оценки миноритарного пакета акций. Метод сделок или метод продаж ориентирован на цены приобретения предприятия в целом либо контрольного пакета акций. Это определяет наиболее оптимальную сферу применения данного метода - оценки предприятия или контрольного пакета акций. Метод отраслевых коэффициентов или метод отраслевых соотношений основан на использовании рекомендуемых соотношений между ценой и определенными финансовыми параметрами. Отраслевые коэффициенты рассчитаны на основе длительных статистических наблюдений специальными исследовательскими институтами за ценой продажи предприятия и его важнейшими производственно-финансовыми характеристиками. В результате обобщения были разработаны достаточно простые формулы определения стоимости оцениваемого предприятия. Этот метод пока не получил достаточного распространения в отечественной практике в связи с отсутствием необходимой информации, требующей длительного периода наблюдения. Суть сравнительного подхода при определении стоимости предприятия заключается в следующем. Выбирается предприятие, аналогичное оцениваемому, которое было недавно продано. Затем рассчитывается соотношение между ценой продажи и каким-либо финансовым показателем по предприятию-аналогу. Это соотношение называется мультипликатором. Умножив величину мультипликатора на тот же базовый финансовый показатель оцениваемой компании, получим ее стоимость. В рамках сравнительного подхода для оценки рыночной стоимости ООО «ЛюксСтрой» был использован метод сделок. Процесс оценки предприятия методом сделок включает следующие основные этапы: - Сбор необходимой информации. - Сопоставление списка аналогичных предприятий. - Финансовый анализ. - Расчет оценочных мультипликаторов. - Выбор величины мультипликатора. - Определение итоговой величины стоимости. - Внесение итоговых корректировок. Применяемый метод предполагает наличие информации по тем компаниям, которые в данный момент времени продаются на рынке. Поэтому нами была произведена выборка предприятий, близких по основным показателям деятельности к оцениваемой компании. В итоге была получена выборка по 8 различным предприятиям-аналогам. Таблица 9 – Предприятия-аналоги ООО «ЛюксСтрой», тыс.руб.
Для предприятий аналогов рассчитаем ценовые мультипликаторы. В связи с отсутствием необходимой информации рассчитаны следующие мультипликаторы: цена/чистая прибыль и цена/выручку. Таблица 10 – Расчет мультипликаторов компаний-аналогов
Мультипликатор для оцениваемого предприятия определяем методом медианы: выбором среднего значения из полученных мультипликаторов предприятий-аналогов. Затем на основе полученных мультипликаторов вычисляем стоимость оцениваемого предприятия путем умножения полученных мультипликаторов на соответствующий финансовый показатель. Таблица 11 – Расчет стоимости ООО «ЛюксСтрой» сравнительным подходом.
Стоимость ООО «ЛюксСтрой» в рамках сравнительного подхода, с учетом округления равна 3 925 000 (три миллиона девятьсот двадцать пять тысяч) рублей. 5. Оценка стоимости бизнеса ООО «ЛюксСтрой» на основе доходного подхода Доходный подход исходит из того принципа, что потенциальный инвестор не заплатит за данный бизнес сумму, большую, чем текущая стоимость будущих доходов от этого бизнеса, т.е. принципа ожидания (предвидения). Данный подход к оценке считается наиболее приемлемым с точки зрения инвестиционных мотивов, поскольку любой инвестор, вкладывающий деньги в действующее предприятие, в конечном счете, покупает не набор активов, а поток будущих доходов, позволяющий ему окупить вложенные средства получить прибыль и повысить свое благосостояние. Существует два метода пересчёта чистого дохода в текущую стоимость: метод капитализации прибыли и метод дисконтированных будущих денежных потоков. Метод капитализации дохода используется в случае, если ожидается, что будущие чистые доходы приблизительно будут равны текущим или темпы их роста будут умеренными и предсказуемыми. Причем доходы являются достаточно значительными положительными величинами, т.е. бизнес будет стабильно развиваться. Метод дисконтированных будущих денежных потоков используется, когда ожидается, что будущие уровни денежных потоков существенно отличаются от текущих, можно обоснованно определить будущие денежные потоки, прогнозируемые будущие денежные потоки являются положительными величинами для большинства прогнозных лет, ожидается, что денежный поток в последний год прогнозного периода будет значительной положительной величиной. Стоимость бизнеса ООО «ЛюксСтрой» в рамках доходного подхода будет определена методом дисконтирования денежных потоков. Основные этапы оценки методом дисконтирования денежных потоков: 1 Выбор модели денежного потока; 2 Определение длительности прогнозного периода; 3 Анализ и прогнозирование валовых доходов, расходов и инвестиций компании; 4 Расчёт величины денежного потока для каждого года прогнозного периода; 5 Определение ставки дисконтирования; 6 Расчёт величины стоимости в постпрогнозный период; 7 Внесение итоговых поправок. Выбор модели денежного потока При оценке бизнеса можно применять одну из двух моделей денежного потока: денежный поток для собственного капитала или бездолговой денежный поток. Бездолговой денежный поток не учитывает суммы выплат процентов по кредиту и увеличение или уменьшение задолженности. Данный вид потока рассматривается с целью определения эффективности вложения капитала в целом. Полученные суммарные величины сопоставляются с полными инвестициями в бизнес, независимо от происхождения последних (т.е. оценивается стоимость собственного и заемного капитала). Денежный поток для собственного капитала принимает во внимание изменение (как рост, так и уменьшение) долгосрочной задолженности. С помощью данного вида денежного потока оценивается стоимость только собственного капитала. Денежный поток для собственного капитала = Чистая прибыль после уплаты налогов + Амортизация + Уменьшение чистого оборотного капитала ( - увеличение чистого оборотного капитала) + Увеличение долгосрочной задолженности ( - Уменьшение долгосрочной задолженности) - увеличение капитальных вложений ( + уменьшение капитальных вложений) + Изъятия вложений + уменьшение процентных выплат по кредиту ( - увеличение процентных выплат по кредиту). Бездолговой денежный поток = Чистый доход (+ выплаты %, скорректированные на ставку налогообложения) + Амортизация + Уменьшение чистого оборотного капитала ( - увеличение чистого оборотного капитала) - увеличение капитальных вложений ( + уменьшение капитальных вложений) Поскольку у ООО «ЛюксСтрой» отсутствует долгосрочная задолженность и нам не известны планы собственников предприятия по ее формированию в будущем в качестве прогнозного нами будет использоваться бездолговой денежный поток. Определение длительности прогнозного периода В качестве прогнозного берется период, продолжающийся до тех пор, пока темпы роста компании не стабилизируются (предполагается, что в постпрогнозный период должны иметь место стабильные долгосрочные темпы роста или бесконечный поток доходов). Прогнозный период для ООО «ЛюксСтрой» выберем продолжительностью в 3 года, так как мы предполагаем, что в этот период времени не произойдет существенных макроэкономических изменений. Анализ и прогнозирование валовых доходов, расходов и инвестиций компании Прогноз денежного потока будет основан на следующих допущениях: - по данным прогноза минэконом развития рост цен в строительстве в 2010 году составит 7,5 %; 2011 году – 8,1 %; в 2012 году – 8 %; - затратоемкость (отношение себестоимости реализованной продукции к выручке) продукции была определена как средневзвешенная по данным ретроспективного анализа за 2007-2009 гг. и составляет 0,594; Расстановка баллов основана на предположении о том, что год находящийся ближе к прогнозному периоду имеет большую достоверность по сравнению с отдаленными годами.
- доля коммерческих расходов к выручке прогнозируется как среднее за период и составляет 0,387;
- капитальные вложения для 2010 года найдем как сумму капитальных вложений и основных средств за предыдущий год умноженную на норму амортизационных отчислений. Для последующих годов капитальные вложения составят произведение стоимости основных фондов предыдущего года и нормы амортизации. Стоимость основных фондов рассчитаем как сумму стоимости основных фондов предыдущего года, половина капитальных вложений, осуществленных в текущем году и половина капитальных вложений, осуществленных текущем году.
- долю чистого оборотного капитала в выручке примем на уровне 2009 г. - 0,017, так как в 2006 - 2007 гг. чистый оборотный капитал имел отрицательное значение.
- так как большую часть основных средств составляет оборудование, средняя норма амортизационных отчислений по которому 10 % годовых, темпы изменения амортизации возьмем как среднее арифметическое – 10%.
- ставка налога на прибыль прогнозируется в размере 20 % Таблица 12 – Прогнозирование допущений
Таблица 13 – Прогноз денежного потока
Определение ставки дисконтирования для прогнозного периода Расчет ставки дисконтирования проведем методом кумулятивного построения. При построении ставки дисконта по данному методу за основу берется безрисковая норма доходности, а затем к ней добавляется норма доходности за риск инвестирования в данную компанию. В качестве безрисковой ставки принимаем ставку доходность к погашению по государственным облигациям сроком обращения равным длительности прогнозного периода (ОФЗ-25069-ПД со сроком обращения 3 года). Безрисковая ставка равна 6,18% Для определения дополнительной премии за риск инвестирования в определенную компанию учитываются следующие наиболее важные факторы: - размер компании; - финансовая структура; - диверсификация клиентуры; - товарная и территориальная диверсификация; - ключевая фигура в руководстве, качество руководства; - доходы: рентабельность и предсказуемость; - прочие особые риски. Премия за каждый вид риска принимает значение в диапазоне от 0 до 5/6 безрисковой ставки. В нашем случае надбавка по каждому из видов дополнительных рисков может составлять от 0 до 5,15%. 1) Премия за размер компании
Где ЧАо – чистые активы по балансу оцениваемого предприятия, руб.; ЧАmax – чистые активы по балансу наибольшего предприятия в отрасли, руб. Крупнейшим предприятием в отрасли в является ООО «ЛюксСтрой», размер чистых активов по балансу которой на дату оценки составляет 1621 тысяч рублей. Рассчитаем премию за размер компании:
2) Премия за финансовую структуру
Коэффициент покрытия (текущей ликвидности) составляет 0,977<2. Рассчитаем премия за риск финансовой структуры:
3) Премия за диверсификацию клиентуры Для анализа степени диверсификации клиентуры используем метод концентрации, показывающий какая доля дебиторской задолженности приходится на определенное число крупнейших потребителей (дебиторов). При анализе степени диверсификации рассматриваем уровень концентрации 1 (CR-1) 3 (CR-3), 8 (CR-8) и 24 (CR-24) крупнейших потребителей услуг оцениваемой компании. Таблица 22 - Расчет величины риска по фактору диверсификация клиентуры, %
4) Премия за производственную и территориальную диверсификацию. Риски товарной и территориальной диверсификации определяются тем, насколько широка у предприятия номенклатура товаров и услуг и насколько обширны рынка сбыта с географической точки зрения. области.
N – произведение количества видов продукции и количества территорий. Предприятие выпускает более 13 видов продукции и реализует их на всей территории Челябинской области. Следовательно, премию за риск, связанную с производственной и территориальной диверсификацией принимаем равной 0%. 5) Премия за доходы компании Риск рентабельности и прогнозируемости дохода связан с тем, насколько прогнозируема выручка предприятия и стабильна рентабельность продукции. - уровень рентабельности
Где Rоц – рентабельность оцениваемой компании; Rотр – рентабельность отраслевая. Рентабельность продаж оцениваемой компании составляет 2,61 % Из-за отсутствия информации примем за отраслевую рентабельность среднее значение по компаниям аналогам 3%.
- риск, связанный со стабильностью рентабельности
Где kвар 0 – коэффициент вариации оцениваемой компании; kвар кр – коэффициент вариации крупнейшего в отрасли.
Где Rt – рентабельность на конкретный период; n – число периодов. Средняя рентабельность за период крупнейшей компании в отрасли составляет 3,13%. Рассчитаем коэффициент вариации оцениваемой компании и крупнейшей компании в отрасли:
Так как - надбавка за прогнозируемость деятельности
Поскольку оценщик не располагает сведениями о плановых значениях показателях деятельности оцениваемого предприятия, поэтому данную надбавку учитывать не будем. Таким образом, рассчитаем общую премию за доходы компании:
6) Премия за качество управления Таблица 14 – Расчет надбавки за фактор ключевой фигуры в руководстве
Таким образом, надбавка за риск, связанный с ключевой фигурой в руководстве назначается в размере 2,15%. Премия за дополнительные риски составит:
Итоговый расчет ставки дисконтирования для прогнозного периода: d = 6,18 + 10,47 = 16,65 %, Таким образом для прогнозного периода ставка дисконтирования составит 16,65%. Продисконтируем полученные значения денежных потоков по годам. Таблица 15
Определение ставки дисконтирования для постпрогнозного периода Для расчета ставки дисконтирования в постпрогнозный период воспользуемся моделью кумулятивного построения. Принимаем, что для постпрогнозного периода будут иметь место те же риски, что и в прогнозном периоде. В качестве безрисковой ставки принимаем ставку доходность к погашению по государственным облигациям с более длительным сроком обращения (ОФЗ-26198-ПД со сроком обращения 10 лет). Безрисковая ставка равна 6,16%. Предполагаем, что в прогнозный период, когда произойдет стабилизация экономики, помимо уменьшения безрисковой ставки, произойдет и снижение дополнительных рисков. Примем снижение дополнительных рисков пропорционально снижению безрисковой ставки. Следовательно, премия за дополнительные риски составит – 10,44 %. Таким образом, ставка дисконтирования для постпрогнозного периода составит: d = 6,16 + 10,44 = 16,60 %, Расчет величины стоимости компании в постпрогнозный период Определение стоимости в постпрогнозный период основано на предпосылке о том, что бизнес способен приносить доход и по окончании прогнозного периода. Предполагается, что после окончания прогнозного периода доходы бизнеса стабилизируются и в остаточный период будут иметь место стабильные долгосрочные темпы роста или бесконечные равномерные доходы. Как правило, для определения стоимости предприятия за пределами прогнозного периода применяется модель Гордона. Она капитализирует годовой доход послепрогнозного периода в показатели стоимости при помощи коэффициента капитализации, рассчитанного как разница между ставкой дисконта и долгосрочными темпами роста денежного потока. При отсутствии темпов роста коэффициент капитализации будет равен ставке дисконта. Модель Гордона основана на прогнозе получения стабильных доходов в постпрогнозный период и предполагает, что величины износа основных средств и капиталовложений равны. Расчет стоимости V в постпрогнозный период в соответствии с моделью Гордона производится по формуле:
Где CF( t +1) – денежный поток доходов за первый год постпрогнозного (остаточного) периода; r– ставка дисконта; g – долгосрочные темпы роста денежного потока. Стоимость в постпрогнозный период V по формуле Гордона определяется на момент окончания прогнозного периода. Полученную таким образом стоимость бизнеса в постпрогнозный период приводят к текущим стоимостным показателям по той же ставке дисконта, что применяется для дисконтирования денежных потоков прогнозного периода. Согласно Минэкономразвития долгосрочные темпы роста цен строительства в постпрогнозный период будут составлять 7,5%. Рассчитаем стоимость в постпрогнозный период:
Полученную таким образом стоимость бизнеса в постпрогнозный период приводим к текущим стоимостным показателям и складываем с суммарным прогнозным дисконтированным денежным потоком:
Таким образом, стоимость ООО «ЛюксСтрой», рассчитанная доходным подходом, с учетом округления составляет 8 522 000 (восемь миллионов пятьсот двадцать две тысячи) рублей. 6. Итоговая оценка стоимости бизнеса ООО «ЛюксСтрой» Для того чтобы определить итоговую величину рыночной стоимости оцениваемого объекта, необходимо произвести согласование результатов, полученных при затратном, сравнительном и доходном подходах . Рыночная стоимость объекта оценки определяется по формуле (13):
где РС – рыночная стоимость объекта оценки, руб., С1 ,С2 , С3 – стоимость объекта оценки полученная затратным, сравнительным и доходным подходами соответственно, руб., q1 , q2 , q3 – средневзвешенное значение достоверности затратного, сравнительного и доходного подходов соответственно. Из приведенных ранее расчетов выпишем полученные с помощью трех подходов стоимости объекта оценки: Стоимость определенная затратным подходом =1 948 000 руб. Стоимость определенная сравнительным подходом = 3 925 000 руб. Стоимость определенная доходным подходом = 8 522 000 руб. Для согласования результатов оценки и установления окончательного заключения о рыночной стоимости необходимо придать весовые коэффициенты результатам, полученным при оценке каждым из подходов. Весовые коэффициенты показывают, какая доля стоимости, полученной в результате использования каждого из применяемых подходов к оценке, присутствует в итоговой величине стоимости оцениваемого объекта. Для определения весовых коэффициентов будет использован метод анализа иерархий. Метод анализа иерархий (МАИ) – был разработан американским математиком Т.Л. Саати. Сущность данного метода заключается в оценке влияния нижних уровней иерархии на вершинный фактор, которым в нашем случае будет являться стоимость бизнеса. Первым этапом использования МАИ является структура моделей согласованности иерархий, использующая 3 уровня иерархий. Верхний уровень – оценка стоимости бизнеса, промежуточный уровень – это критерии согласования, нижний уровень – результаты, полученные на основе использования затратного, сравнительного и доходного подхода. К критериям согласования можно отнести следующие: 1) критерий А – «Возможность отразить действительные намерения потенциального инвестора или продавца». 2) критерий Б – «Тип, качество и обширность данных, на основе которых проводится анализ». 3) критерий В – «Способность параметров используемых методов учитывать конъюнктурные колебания». 4) критерий Г – «Способность учитывать специфические особенности объекта, влияющие на его стоимость (размер компании, местонахождение, потенциальный доход, отраслевая принадлежность)». После определения критериев выявляется их приоритетность путем попарного сравнения с использованием оценочной шкалы, приведённой в таблице 20. Такая процедура допускает использование всего 1 эксперта. Таблица 16 - Оценочная шкала
Таким образом, основным инструментом в методе будет матрица чисел, представляющих суждение эксперта о парных сравнениях силы влияния одного уровня на элементы следующего уровня. Проведем согласования результатов оценки стоимости бизнеса ООО «ЛюксСтрой» с использованием данного метода. Определим шкалу приоритетов для критериев согласования, используя оценки табл. 16. Согласованные результаты внесем в следующую матрицу (табл. 17). Таблица 17 - Шкала приоритетов
Данная матрица заполняется следующим образом: Пусть критерий А не значительно важнее критериев Б и В, тогда в матрицу на пересечении строки А и столбцов Б и В ставим 3, критерий А по сравнению с критерием Г заслуживает промежуточной оценки, отсюда следует, что на пересечении строки А и столбца Г ставим 4. Аналогичным образом заполняем клетки матрицы до главной диагонали. При сравнении критерия с самим собой он имеет равную значимость, поэтому на пересечении строки А и столбца А ставим 1. Главная диагональ матрицы состоит из 1. Вторая часть матрицы должна состоять из обратных величин, поскольку производятся обратные сравнения. Следующий шаг состоит в определении вектора приоритетов по данной матрице. Оценка данного вектора определяется следующим образом: 1) умножим 4 элемента каждой строки друг на друга; 2) извлекаем корень 4 степени, т.е. находим среднегеометрическую величину; 3) нормализуем полученные значения таким образом, чтобы их сумма равнялась единице. Для этого полученную среднюю геометрическую оценку делим на сумму всех средне геометрических. В результате получаем вектор приоритетов. После чего производим попарное сравнение методов по 4 критериям согласования. Таблица 18 - Критерий А
Таблица 19 - Критерий Б
Таблица 20 - Критерий В
Таблица 21 - Критерий Г
Расчет итоговых весов методов оценки получим путём умножения матрицы, составленной из весов методов по четырём критериям, на вектор приоритетов. Результаты определения итоговых весов методов, использованных в оценке бизнеса ООО «ЛюксСтрой», представлены в табл. 22. Таблица 22 - Итоговый вес критериев
Итоговая стоимость бизнеса оцениваемой компании будет определяться путём умножения значения стоимости, полученного по каждому из использованных методов, на вес метода. Расчет итоговой стоимости ООО «ЛюксСтрой» представлен в таблице 23. Таблица 23 - Итоговая стоимость ООО «ЛюксСтрой»
Таким образом, рыночная стоимость ООО «ЛюксСтрой» составляет 6 606 000 (шесть миллионов шестьсот шесть тысяч) рублей. Заключение В данной курсовой работе была проведена оценка рыночной стоимости ООО «ЛюксСтрой», основной деятельностью которого является производство пенобетонных блоков и малых архитектурных форм. Проведя анализ финансового состояния ООО «ЛюксСтрой», можно сделать следующие выводы: На предприятии наблюдается неустойчивое финансовое состояние. Данное положение характеризует, то что основным источником покрытия запасов и затрат на предприятии выступает кредиторская задолженность и нарушение платежеспособности. Рост платежеспособности на предприятии вызван ростом дебиторской задолженности, что является отрицательным фактом. Так же о неплатежеспособности свидетельствует низкий уровень ликвидности. Это говорит о недостаточности оборотных средств предприятия, которые могут быть использованы им для погашения своих краткосрочных обязательств. Снижение оборачиваемости всех элементов имущества указывает на снижение интенсивности использования средств предприятия, а это в свою очередь приводит к снижению рентабельности. Оценка проводилась в соответствии с требованиями, установленными ФЗ «Об оценочной деятельности РФ» №135-ФЗ от 29.07.1998 года и ФСО №1, №2, №3 от 20 июля 2007 года [3]. Приведенные в работе величины стоимостей действительны лишь на дату оценки. Данные, использованные для расчетов, были получены из надежных источников и считаются достоверными. Приведенные расчеты и анализ рынка позволяют сделать вывод, что рыночная стоимость ООО «ЛюксСтрой» на 1.01.10 составляет 7 698 000 (семь миллионов шестьсот девяносто восемь тысяч) рублей. библиографический список 1 Грязнова А.Г. Оценка бизнеса: учебное пособие для вузов по экономическим специальностям / А.Г. Грязнова, М.А. Федотова и др. – М.: Финансы и статистика, 2006 – 736с 2 Губин В.Е. Анализ и диагностика финансово-хозяйственной деятельности. = М.:ИД «ФОРУМ»: ИНФА-М, 2006. – 336С. 3 Карпушкина А.В. Оценка стоимости предприятия (бизнеса): текст лекций – Челябинск: изд-во ЮУрГУ, 2008г. 92с. 4 Сычева Г.И. Оценка стоимости предприятия (бизнеса) / Г.И. Сычева, Е.Б. Колбачев, В.А. Сычев. – серия «Высшее образование». – Ростов-на-Дону: Феникс, 2004. – 384с 5 Федеральный закон «Об оценочной деятельности в Российской Федерации», № 135-ФЗ, от 29.07.98 г.; 6 Царев В.В. Оценка стоимости бизнеса: теория и методология: учебное пособие для вузов / В.В. Царев, А.А. Кантарович. – М.: ЮНИТИ, 2007. – 575с. 7 Щербаков В.В. Оценка стоимости бизнеса / В.А. Щербаков. – М.: Омега-Л, 2006. – 285с. 8 www.akm.ru 9 www.gks.ru 10 www.rusbonds.ru |
|||||||||||||||||||||||||||||||||||||||||||||||||||||||||||||||||||||||||||||||||||||||||||||||||||||||||||||||||||||||||||||||||||||||||||||||||||||||||||||||||||||||||||||||||||||||||||||||||||||||||||||||||||||||||||||||||||||||||||||||||||||||||||||||||||||||||||||||||||||||||||||||||||||||||||||||||||||||||||||||||||||||||||||||||||||||||||||||||||||||||||||||||||||||||||||||||||||||||||||||||||||||||||||||||||||||||||||||||||||||||||||||||||||||||||||||||||||||||||||||||||||||||||||||||||||||||||||||||||||||||||||||||||||||||||||||||||||||||||||||||||||||||||||||||||||||||||||||||||||||||||||||||||||||||||||||||||||||||||||||||||||||||||||||||||||||||||||||||||||||||||||||||||||||||||||||||||||||||||||||||||||||||||||||||||||||||||||||||||||||||||||||||||||||||||||||||||||||||||||||||||||||||||||||||||||||||||||||||||||||||||||||||||||||||||||||||||||||||||||||||||||||||||||||||||||||||||||||||||||||||||||||||||||||||||||||||||||||||||||||||||||||||||||||||||||||||||||||||||||||











,
,
,
,
, 