Курсовая работа: Анализ финансового состояния предприятия ОАО СРЗ Холдинг
|
Название: Анализ финансового состояния предприятия ОАО СРЗ Холдинг Раздел: Рефераты по финансам Тип: курсовая работа | |||||||||||||||||||||||||||||||||||||||||||||||||||||||||||||||||||||||||||||||||||||||||||||||||||||||||||||||||||||||||||||||||||||||||||||||||||||||||||||||||||||||||||||||||||||||||||||||||||||||||||||||||||||||||||||||||||||||||||||||||||||||||||||||||||||||||||||||||||||||||||||||||||||||||||||||||||||||||||||||||||||||||||||||||||||||||||||||||||||||||||||||||||||||||||||||||||||||||||||||||||||||||||||||||||||||||||||||||||||||||||||||||||||||||||||||||||||||||||||||||||||||||||||||||||||||||||||||||||||||||||||||||||||||||||||||||||||||||||||||||||||||||||||||||||||||||||||||||||||||||||||||||||||||||||||||||||||||||||||||||||||||||||||||||||||||||||||||||||||||||||||||||||||||||||||||||||||||||||||||||||||||||||||||||||||||||||||||||||||||||||||||||||||||||||||||||||||||||||||||||||||||||||||||||||||||||||||||||||||||||||||||||||||||||||||||||||||||||||||||||||||||||||||||||||||||||||||||||||||||||||||||||||||||||||||||||||||||||||||||||||||||||||||||||||||||||||||||||||||||
ВведениеРоссийская экономика характеризуется в последние годы некоторым оживлением. Прежде всего, это проявляется в росте объемов производства промышленных предприятии, росте объемов продаж предприятий торговли и обусловлено как благоприятной внешнеэкономической ситуацией, так и изменившейся политикой государства в области налогообложения и в социальной сфере. На сегодняшний день, российские предприятия имеют высокий потенциал в развитии производства, реализация которого невозможна без поддержки со стороны государства с одной стороны и без реализации внутренних резервов производства с другой. В настоящее время тип развития современных промышленных предприятий России носит преимущественно экстенсивный характер, т.е. рост объемов выпуска осуществляется в основном за счет вовлечения в процесс производства не задействованных ранее трудовых, материальных, производственных ресурсов и денежных средств, направляемых на привлечение этих ресурсов. Определенный рост эффективности может быть обеспечен и при этом типе воспроизводства, но возможность обеспечить неуклонный рост с достаточно высокими темпами экономической эффективности производства дает только переход к преимущественно интенсивному типу развития. Интенсификация экономики состоит прежде всего в том, чтобы результаты производства росли быстрее чем затраты на него. При высоких темпах экстенсивного развития экономическая эффективность производства достигается за счет сокращения доли постоянных затрат в стоимости единицы продукции. В случае с российскими предприятиями, эта экономия может и должна быть значительной, вследствие сбережения последними производственных мощностей при снижении спроса на продукцию, а, следовательно, и объемов производства в 90-е г.г. XX в. Но при стабилизации экономики, а все предпосылки для этого уже созданы, при достижении определенных объемов производства интенсивный тип развития дает больший эффект. Общепринято, что базой интенсивного развития является научно-технический прогресс. Но при одинаковом уровне техники различные предприятия при прочих равных условиях могут добиться разных результатов вследствие различной степени эффективности управления наличными ресурсами. Для российских предприятий при дефиците денежных средств возможности технического перевооружения производства ограничены и эффективное управление - один из факторов и источников роста благосостояния предприятия и возможности перехода к техническому перевооружению производства. Исходя из вышеизложенного, в последнее время для российских предприятий наибольшее значение приобретает анализ степени финансово-хозяйственной деятельности производства в целях поиска возможных к реализации резервов роста объемов производства, качества продукции и, прежде всего, качества управления ресурсами. В курсовой работе проанализирована деятельность ОАО «СРЗ-Холдинг». Работа состоит из 3 разделов. В разделе «общие вопросы деятельности предприятия» отражены история создания и развития ОАО «Сарапульский радиозавод», и дальнейшим преобразованием в ОАО «Сарапульский радиозавод - Холдинг», организационно–правовые основы функционирования ОАО «СРЗ - Холдинг», проведены оценка основных и оборотных фондов, анализ себестоимости продукции. В современных условиях предприятие как объект товарно-денежных отношений, обладающий экономической самостоятельностью и полностью отвечающий за результаты своей хозяйственной деятельности, должно сформировать у себя систему управления (менеджмента), которая обеспечила бы ему высокую эффективность работы, конкурентоспособность и устойчивость положения на рынке. В рыночных условиях в значительной степени усиливается жесткость финансовых ограничений хозяйственной деятельности предприятий. Современная финансовая система исключает практику централизованного изъятия средств предприятий, помимо расчетов с государственным бюджетом и внебюджетными фондами. А также изменена кредитная система, в рамках которой теперь возможность получения предприятием кредита обусловлено степенью его финансовой устойчивости. Финансовая стабильность предприятия становится вопросом его выживания, поскольку банкротство предприятия в условиях рынка выступает вероятным результатом хозяйственной деятельности наряду с другими возможностями. В современных условиях возростает роль и значение анализа финансового состояния, как для предприятия, так и для его разнообразных партнеров, собственников, для финансовых органов. Во втором разделе курсовой работы проведен анализ финансового состояния ОАО «СРЗ - Холдинг» и рекомендованы мероприятия по его улучшению. 1. Организационно-правовая и экономическая характеристика ОАО «СРЗ-Холдинг» 1.1 История создания и развития Настоящему положению дел ОАО «СРЗ - Холдинг» предшествует богатая история всего «Сарапульского радиозавода». Сарапульский радиозавод – старейшее в России предприятие по производству средств связи. Образован в 1900 году в городе Санкт-Петербурге как телеграфно-телефоностроительный завод «К.Лоренц». 17 июня 1915 года в связи с началом первой мировой войны был и передан Главному Военно-техническому Управлению. 22 апреля 1917 года завод «К.Лоренц» преобразован в «Петроградский электротехнический завод Военно-инженерного ведомства». В 1918 году переведен в г. Москву с преобразованием его в Первый государственный электротехнический завод. Предприятие специализируется на производстве средств связи для армии, производстве радиовещательных аппаратов для населения, чем вносит большой вклад в радиофикацию города и деревни. В 1931 году за выполнение первого пятилетнего плана за 2,5 года коллектив завода награжден высшей государственной наградой – орденом Ленина с порядковым номером 10, ему присвоено имя наркома промышленности Г. К. Орджоникидзе. В этот период разрабатывались и выпускались радиостанции для сельского хозяйства, лесной промышленности, радиостанции и навигационные приборы для авиации, супергетеродинные автомобильные приемники АИ-656. Безотказная работа радиооборудования на Северном полюсе у папанинцев, на самолетах АН-25 В.П. Чкалова и М.М. Громова при рекордных перелетах из Москвы в Америку через Северный полюс – яркая демонстрация достижений заводчан. С началом Великой Отечественной войны завод в 1941 году был эвакуирован в город Сарапул, где в кратчайшие сроки организован выпуск продукции для фронта. Он производил радиооборудование для самолетов, танков. За выполнение правительственного задания по обеспечению фронта военной техникой, добросовестный труд коллектив завода 7 мая 1945 года был награжден орденом Трудового Красного Знамени. После войны наряду с военной, осваивается выпуск производственно-технической и гражданской продукции: аварийно-спасательных радиостанций «Шлюп», «Плот», приемников «Москвич», радиол «Кама», «Урал». Завод освоил выпуск радиолы «Италмас» - первой в стране радиолы со стереофоническим звучанием. Достижения и успехи завода в технике многократно отмечены медалями и дипломами на выставках ВДНХ СССР. Продукция завода демонстрировалась на международных выставках, в том числе Милане, Белграде, Софии, Брюсселе. Большой популярностью пользовались в стране миниатюрные радиоприемники: «Космос», «Орленок», «Матрешка», «Аленушка», «Луч», которые экспортировались в десятки стран мира, в том числе в Англию, Францию, Германию. Радиоприемник «Космос» был подарен первой космической семье В. Терешковой и А. Николаеву. Большой популярностью пользовался радиоприемник «Урал-авто», о надежности и высоком качестве которого на завод до сих пор приходят благодарственные письма потребителей. Этот приемник заслуженно получил Государственный Знак качества. По итогам Всероссийского конкурса 1999 года автомагнитола «Урал РМ-293СА» вошла в число «100 лучших товаров России», в 2000 г. – «Урал РМ-292СА3». Учитывая требования времени и уровень достижений научно-технического прогресса, на заводе разрабатывается и осваивается производство нового поколения бытовой радиоаппаратуры – автомобильных приемников, магнитол, акустических систем и изделий систем зональной радиотелефонной связи. Завод владеет лицензией на право разработки и производства военной техники связи, что позволяет получать государственные и зарубежные заказы оборонного значения. Высокой надежностью и безотказностью в работе отмечаются выпускаемые заводом мобильные средства связи для российской армии, министерства внутренних дел, других силовых структур: радиостанция «Р-163-50У», радиоприемник «Р-163-УП» комплекса радиосвязи «Арбалет». На смену этих изделий завод начал изготовление радиостанций «Р-168-25У1», «Р-168-5УВ» радиоприемника «Р-168УП» комплекса «Акведук», обеспечивающего устойчивую связь в сложных помеховых условиях. В настоящее время завод ведет разработку и производство: мобильных радиостанций Р-163, Р-168; радиоудлинителей телефонных линий «Урал-РТ»; абонентских станций РС-6У, базового приемо-передающего и коммутационного оборудования для зональной радиотелефонной связи; антенно-фидерных устройств, для радиотелефонных комплексов; блоков автоматической регулировки газовыми горелками для водогрейных котлов; Завод гордится своими рабочими, специалистами, руководителями, чьим умом и руками создавалась и создается уникальная радиоаппаратура, приносящая славу Сарапулу и России. Многие заводчане награждены государственными орденами и медалями, в том числе двое получили звание Героев Социалистического Труда и четверо в разные годы стали лауреатами Государственных премий. В 1992 г. завод приватизирован. В 1998 г. завод реорганизован с образованием головного и девяти дочерних обществ. Головное – Открытое Акционерное Общество «Сарапульский радиозавод - Холдинг» (ОАО «СРЗ-Холдинг»). Дочерние - ОАО «Сарапульский радиозавод» (ОАО «СРЗ»), ОАО «Сарапульский радиозавод - УралАвто», ОАО «Сарапульский радиозавод – Механика и Гальваника» (ОАО «СРЗ-МиГ»), ОАО «Сарапульский радиозавод – Банковская аппаратура и радиосистемы» (ОАО «СРЗ-БАРС»), ОАО «Сарапульский радиозавод – Микрон» (ОАО «СРЗ-Микрон»), ОАО «Сарапульский радиозавод – Энергомеханическое управление» (ОАО «СРЗ-ЭМУ»), ОАО «Сарапульский радиозавод – Урал – Строитель» (ОАО «СРЗ-Урал-С»), ОАО «Сарапульский радиозавод – Торгово – социальное управление» (ОАО «СРЗ-ТСУ»). С 1 апреля 1999 года на базе комбината питания ОАО «Сарапульский радиозавод- Холдинг» выделилось еще одно дочернее общество - ОАО «Сарапульский радиозавод Торгово-социальное управление». Развита социальная сфера: Подсобное хозяйство «Энергия» База отдыха «Крутые горки» Гостиница Культурно-спортивный комплекс Медсанчасть С целью снижения уровня накладных расходов, максимального погашения задолженности и оздоровления финансового положения, повышения конкурентоспособности было принято решение о концентрации производства и управления этими обществами в составе ОАО «СРЗ-Холдинг». 2. Теоретические основы анализа, финансового анализа 2.1 Финансовый анализ как база принятия управленческих решений Финансовый анализ является существенным элементом финансового менеджмента и аудита. Практически все пользователи финансовых отчетов предприятий применяют методы финансового анализа для принятия решений. Собственники анализируют финансовые отчеты с целью повышения доходности капитала, обеспечения стабильности фирмы. Кредиторы и инвесторы анализируют финансовые отчеты, чтобы минимизировать свои риски по займам и вкладам. Качество принимаемых решений в значительной степени зависят от качества их аналитического обоснования. Введение нового плана счетов бухгалтерского учета, приведение форм бухгалтерского учета и отчетности к большему соответствию требованиям международных стандартов вызывает необходимость использования новой методики финансового анализа, соответствующей условиям рыночной экономики. Такая методика нужна для обоснованного выбора делового партнера, определения степени финансовой устойчивости предприятия, оценки деловой активности и эффективности предпринимательской деятельности. Основными источниками информации о финансовой деятельности делового партнера служит бухгалтерская отчетность, которая стала публичной. Отчетность предприятия в условиях рыночной экономики базируется на обобщении данных финансового учета и является информационным звеном, связующим предприятие с обществом и деловыми партнерами – пользователями информации о его деятельности. Пользователи финансовой информацией делятся на основные и не основные партнерские группы. В таблице 4 представлен перечень основных партнерских групп, их вклад в основную деятельность предприятия, требования в отношении компенсации своего участия и цели, которые они преследуют при анализе предпринимательской деятельности. Таблица 4 Основные пользователи финансовой информации
Основные партнерские группы заинтересованы в успехах предприятия, так как их благополучие находится в прямой зависимости от результатов его деятельности. К не основным партнерским группам относятся группы, опосредованно заинтересованные в успехах предприятия: страховые компании, аудиторские и консалтинговые фирмы, фондовые биржи, юридические фирмы, ассоциации, пресса, профсоюзы, регулирующие органы. Основная цель финансового анализа – получение небольшого числа ключевых параметров, дающих объективную и точную картину финансового состояния предприятия, его прибылей и убытков, изменений в структуре активов и пассивов, в расчетах с дебиторами и кредиторами. При этом пользователей финансовой информации может интересовать как текущее финансовое состояние предприятия, так и прогноз на ближайшую перспективу. Методика финансового анализа включает три взаимосвязанных блока: 1. Анализ финансовых результатов деятельности предприятия; 2. Анализ финансового состояния предприятия; 3. Анализ эффективности финансово-хозяйственной деятельности предприятия. Основными функциями финансового анализа являются: - объективная оценка финансового состояния, финансовых результатов, эффективности и деловой активности объекта анализа; - выявление факторов и причин достигнутого состояния и полученных результатов; - подготовка и обоснование принимаемых управленческих решений в области финансов; - выявление и мобилизация результатов улучшения финансового состояния и финансовых результатов, повышения эффективности всей хозяйственной деятельности. 2.2 Понятие, значения и задачи анализа финансовой деятельности предприятия Финансовое состояние предприятия – это экономическая категория, отражающая состояние капитала в процессе его кругооборота и способность субъекта хозяйствования к саморазвитию на фиксированный момент времени. В процессе снабженческой, производственной, сбытовой и финансовой деятельности происходит непрерывный процесс кругооборота капитала, изменяются структура средств и источников и формирования, наличие и потребность финансовых ресурсов и как следствие финансовое состояние предприятия, внешним проявлением которого выступает платежеспособность. Финансовое состояние может быть устойчивым, неустойчивым и кризисным. Способность предприятия своевременно производить платежи, финансировать свою деятельность на расширенной основе, переносить непредвиденные потрясения и поддерживать свою платежеспособность в неблагоприятных обстоятельствах свидетельствует о его устойчивом финансовом состоянии, и наоборот. Финансовое состояние предприятия, его устойчивость и стабильность зависят от результатов его производственной, коммерческой и финансовой деятельности. Если производственный и финансовый план успешно выполняются, то это положительно влияет на финансовое положение предприятия. И, наоборот, в результате недовыполнения плана по производству и реализации продукции происходит повышение ее себестоимости, уменьшение выручки и суммы прибыли и как следствие ухудшение финансового состояния предприятия и его платежеспособности. Следовательно, устойчивое финансовое состояние не является счастливой случайностью, а итогом грамотного, умелого управления всем комплексом, факторов, определяющих результаты хозяйственной деятельности предприятия. Главная цель финансовой деятельности сводится к одной стратегической задаче – увеличению активов предприятия. Для этого оно должно постоянно поддерживать платежеспособность и рентабельность, а также оптимальную структуру активов и пассивов баланса. Основные задачи анализа: 1. Своевременное выявление и устранение недостатков в финансовой деятельности, и поиск резервов улучшения финансового состояния предприятия и его платежеспособности. 2. Прогнозирование возможных финансовых результатов, экономической рентабельности исходя из реальных условий хозяйственной деятельности и наличия собственных и заемных ресурсов, разработка моделей финансового состояния при разнообразных вариантах использования ресурсов. 3. Разработка конкретных мероприятий, направленных на более эффективное использование финансовых ресурсов и укрепление финансового состояния предприятия . Для оценки финансового состояния предприятия, его устойчивости используется целая система показателей, характеризующих: а) оптимальность структуры активов и пассивов предприятия, степень его финансового и производственного риска; б) оптимальность структуры источников формирования; в) наличие и размещение капитала, эффективность и интенсивность его использования; г) ликвидность баланса и платежеспособность предприятия, его инвестиционную привлекательность; д) рентабельность, деловую активность и эффективность деятельности предприятия; е) риск банкротства (несостоятельности) субъекта хозяйствования. Анализ финансового состояния предприятия основывается главным образом на относительных показателях, так как абсолютные показатели баланса в условиях инфляции очень трудно привести в сопоставимый вид. Относительные показатели анализируемого предприятия можно сравнить: - с общепринятыми «нормами» для оценки степени риска и прогнозирования банкротства; - с аналогичными данными других предприятий, что позволяет выявить сильные и слабые стороны предприятия и его возможности; - с аналогичными данными за предыдущие годы для изучения тенденций улучшений или ухудшений финансового состояния предприятия. Анализом финансового состояния занимаются не только руководители и соответствующие службы предприятия, но и его учредители, инвесторы с целью изучения эффективности использования ресурсов, банки – для оценки условий кредитования и определения степени риска, поставщики – для своевременного получения платежей, налоговые инспекции – для выполнения плана поступления средств в бюджет и т.д. В соответствии с этим анализ делится на внешний и внутренний. Внутренний анализ проводится службами предприятия, и его результаты используются для планирования, контроля и прогнозирования финансового состояния предприятия. Его цель – обеспечить планомерное поступление денежных средств и разместить собственные и заемные средства таким образом, чтобы создать условия для нормального функционирования предприятия, получения максимума прибыли и исключения риска банкротства. Внешний анализ осуществляется инвесторами, поставщиками материальных и финансовых ресурсов, контролирующими органами на на основе публикуемой отчетности. Его цель – установить возможность выгодно вложить средства, чтобы обеспечить максимум прибыли и исключить риск потери. Основными источниками информации для анализа финансового состояния служат бухгалтерский баланс, отчет о прибылях о убытках, о движении капитала, о движении денежных средств и другие формы отчетности, данные первичного и аналитического бухгалтерского учета, которые расшифровывают и детализируют отдельные статьи баланса. 2.3 Основные источники информации о финансовой деятельности предприятия Основные показатели, отражающие финансовое положение предприятия, представлены в балансе. Баланс характеризует финансовое положение предприятия на определенную дату и отражает ресурсы предприятия в единой денежной оценке по их направлениям использования, с одной стороны (актив), и по источникам их финансирования – с другой стороны (пассив). В актив баланса включаются статьи, в которые объединены определенные элементы имущества предприятия по функциональному признаку. Актив баланса состоит из двух разделов. В разделе I «Внеоборотнае активы» отражаются: земельные участки, здания, сооружения, машины, оборудование, незавершенное строительство; долгосрочные финансовые вложения; нематериальные активы. Раздел II актива баланса «Оборотные активы» отражает величину материальных оборотных средств: производственных запасов, незавершенного производства, готовой продукции и т.д.; наличие у предприятия свободных денежных средств, краткосрочных финансовых вложений, величину дебиторской задолженности и прочих оборотных активов. В пассиве баланса группировка статей дана по источникам формирования ресурсов. Вся совокупность обязательств предприятия за полученные ценности и ресурсы, прежде всего, разделения по субъектам: перед собственниками и перед третьими лицами (кредиторами, банками, бюджетом, внебюджетными фондами и другими). В разделе III «Капитал и резервы» отражаются показатели собственных средств (капитала) предприятия. Собственный капитал показывает величину стоимости средств, принадлежащих акционерам (собственникам предприятия). В разделе IV «Долгосрочные пассивы» отражается: величина долгосрочных кредитов банка, используемые для капитальных вложений на длительный срок. Также долгосрочные займы, отражающие долгосрочные кредиты (кроме банковских) и другие привлеченные средства на срок более одного года. Раздел V - «Краткосрочные обязательства», к ним относятся обязательства, которые покрываются за оборотными средствами или погашаются в результате новых краткосрочных обязательств. Эти обязательства погашаются в течение сравнительно короткого периода времени (обычно в течение одного года). В краткосрочные обязательства включаются такие статьи, как счета и векселя к оплате, долговые свидетельства о получении краткосрочных кредитов и займов, задолженность по заработной плате и налогам, различного рода авансы и прочее. Форма № 2 содержит сведения о текущих финансовых результатах деятельности предприятия за отчетный период. Здесь показаны величины бухгалтерской прибыли или убытка и слагаемые этого показателя: - прибыли или убыток от реализации продукции; - финансовый результат от прочей реализации (основных средств и нематериальных активов) и других финансовых операций; - доходы и расходы от прочих внереализационных операций (штрафы, убытки от безнадежных долгов и т. п.). В форме № 2 представлены также выручка от реализации продукции, работ, услуг, затраты предприятия на производство реализованной продукции (работ, услуг) коммерческие расходы, управленческие расходы, сумма налога на прибыль и нераспределенная прибыль. Расшифровка наиболее важных статей баланса показана в приложениях к балансу (форма № 5): движение заемных средств, дебиторская и кредиторская задолженность, амортизируемое имущество, движение средств финансовых инвестиций и финансовых вложений, затраты произведенные организацией, расшифровка отдельных прибылей и убытков, социальные показатели. Форма № 3 «Отчет о движении капитала» показывает структуру собственного капитала предприятия, представленную в динамике. Форма № 4 «Отчет о движении денежных средств и отражает остатки денежных средств на начало конец года и потоки денежных средств (поступление и расходование). 2.4 Методики анализа финансового состояния Основной целью проведения анализа финансового состояния организаций является получение объективной оценки их платежеспособности, финансовой устойчивости, деловой и инвестиционной активности, эффективности деятельности. Оптимальный перечень показателей, наиболее объективно отражающих тенденции финансового состояния, формируется каждым предприятием самостоятельно. Однако при всем возможном многообразии показателей все они, как правило, распределяются по четырем группам: • показатели финансовой устойчивости; • показатели ликвидности; • показатели рентабельности; • показатели деловой активности. Разные авторы предлагают разные методики финансового анализа. Детализация процедурной стороны методики финансового анализа зависит от поставленных целей, а также различных факторов информационного, временного, методического и технического обеспечения. Например, Ковалев А.И. и Привалов В.П. предлагают организовать аналитическую работу в виде двухмодульной структуры: - экспресс-анализ финансового состояния, - детализированный анализ финансового состояния. Экспресс-анализ финансового состояния: Его целью является наглядная и простая оценка финансового благополучия и динамики развития хозяйствующего субъекта. В процессе анализа А.И. Ковалев предлагает рассчитать различные показатели и дополнить их методами, основанными на опыте и квалификации специалиста. Автор считает, что экспресс-анализ целесообразно выполнять в три этапа: подготовительный этап, предварительный обзор финансовой отчетности, экономическое чтение и анализ отчетности. Цель первого этапа - принять решение о целесообразности анализа финансовой отчетности и убедиться в ее готовности к чтению. Здесь проводится визуальная и простейшая счетная проверка отчетности по формальным признакам и по существу: определяется наличие всех необходимых форм и приложений, реквизитов и подписей, проверяется правильность и ясность всех отчетных форм; проверяются валюта баланса и все промежуточные итоги. Цель второго этапа - ознакомление с пояснительной запиской к балансу. Это необходимо для того, чтобы оценить условия работы в отчетном периоде, определить тенденции основных показателей деятельности, а также качественные изменения в имущественном и финансовом положении хозяйствующего субъекта. Третий этап - основной в экспресс-анализе; его цель - обобщенная оценка результатов хозяйственной деятельности и финансового состояния объекта. Такой анализ проводится с той или иной степенью детализации в интересах различных пользователей (таблица 5). А.И. Ковалев предлагает проводить экспресс-анализ финансового состояния по выше изложенной методике. Экспресс-анализ может завершаться выводом о целесообразности или необходимости более углубленного и детального анализа финансовых результатов и финансового положения. Детализированный анализ финансового состояния: Его цель - более подробная характеристика имущественного и финансового положения хозяйствующего субъекта, результатов его деятельности в истекающем отчетном периоде, а также возможностей развития субъекта на перспективу. Он конкретизирует, дополняет и расширяет отдельные процедуры экспресс-анализа. При этом степень детализации зависит от желания аналитика. А.И. Ковалев предлагает следующую программу углубленного анализа финансово-хозяйственной деятельности предприятия Таблица 5 Совокупность аналитических показателей для экспресс-анализа.
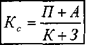
1 .Предварительный обзор экономического и финансового положения субъекта хозяйствования. - Характеристика общей направленности финансово-хозяйственной деятельности. - Выявление «больных» статей отчетности. 2. Оценка и анализ экономического потенциала субъект хозяйствования. - Оценка имущественного положения. - Построение аналитического баланса-нетто. - Вертикальный анализ баланса. - Горизонтальный анализ баланса. - Анализ качественных сдвигов в имущественном положении. - Оценка финансового положения. - Оценка ликвидности. - Оценка финансовой устойчивости. 3.Оценка и анализ результативности финансово-хозяйственной деятельности субъекта хозяйствования. - Оценка основной деятельности. - Анализ рентабельности. - Оценка положения на рынке ценных бумаг. Рассмотрим далее методику анализа финансового состояния, предлагаемую И.Т. Балабановым в его книге «Основы финансового менеджмента». Движение любых ТМЦ, трудовых и материальных ресурсов сопровождается образованием и расходованием денежных средств, поэтому финансовое состояние хозяйствующего субъекта отражает все стороны его производственно-торговой деятельности. Характеристику финансового состояния И.Т. Балабанов предлагает провести по следующей схеме: - анализ доходности (рентабельности); - анализ финансовой устойчивости; - анализ кредитоспособности; - анализ использования капитала; - анализ уровня самофинансирования; - анализ валютной самоокупаемости. Анализ доходности хозяйствующего субъекта характеризуется абсолютными и относительными показателями. Абсолютный показатель доходности - это сумма прибыли, или доходов. Относительный показатель - уровень рентабельности. Рентабельность представляет собой доходность, или прибыльность производственно-торгового процесса. Ее величина измеряется уровнем рентабельности. Уровень рентабельности хозяйствующих субъектов, связанных с производством продукции (товаров, работ, услуг), определяется процентным отношением прибыли от реализации продукции к себестоимости продукции. В процессе анализа изучают динамику изменения объема чистой прибыли, уровня рентабельности и факторы, их определяющие. Финансово устойчивым считается такое предприятие, которое за счет собственных средств покрывает средства, вложенные в активы (основные фонды, НМА, оборотные средства), не допускает неоправданной дебиторской и кредиторской задолженности. Главным в финансовой деятельности, считает И.Т. Балабанов, являются правильная организация и использование оборотных средств. Поэтому в процессе анализа финансового состояния вопросам рационального использования оборотных средств уделяет основное внимание. Характеристика финансовой устойчивости включает в себя анализ: - состав и размещение активов хозяйствующего субъекта; - динамики и структуры источников финансовых ресурсов; - наличия собственных оборотных средств; - кредиторской задолженности; - наличия и структуры оборотных средств; - дебиторской задолженности; платежеспособности. Под кредитоспособностью хозяйствующего субъекта понимается наличие у него предпосылок для получения кредита и способность возвратить его в срок. Кредитоспособность заемщика характеризуется его аккуратностью при расчетах по ранее полученным кредитам, его текущим финансовым состоянием и перспективами изменения, способностью при необходимости мобилизовать денежные средства из различных источников. При анализе кредитоспособности используется целый ряд показателей. Наиболее важными из них являются, норма прибыли на вложенный капитал и ликвидность. Норма прибыли на вложенный капитал определяется отношением суммы прибыли к общей сумме пассива по балансу. Ликвидность хозяйствующего субъекта - это способность его быстро погашать свою задолженность. Она определяется соотношением величины задолженности и ликвидных средств. Вложение капитала должно быть эффективным. Под эффективностью использования капитала понимается величина прибыли, приходящаяся на 1 (один) рубль вложенного капитала. Эффективность капитала - комплексное понятие, включающее в себя использование оборотных средств, основных фондов и НМА. Поэтому анализ эффективности капитала проводится по отдельным частям. Капитал в целом представляет собой сумму оборотных средств, основных фондов и НМА. Эффективность использования капитала лучше всего измеряется его рентабельностью. Уровень рентабельности капитала измеряется процентным отношением балансовой прибыли к величине капитала. Самофинансирование означает финансирование за счет собственных источников: амортизационных отчислений и прибыли. Эффективность самофинансирования и его уровень зависят от удельного веса собственных источников. Уровень самофинансирования можно определить с помощью коэффициента самофинансирования (Кс):
где П - прибыль, направляемая в фонд накопления; А - амортизационные отчисления; К - заемные средства; 3 - кредиторская задолженность и др. привлеченные средства. Однако хозяйствующий субъект не всегда может полностью обеспечить себя собственными финансовыми ресурсами и поэтому широко использует заемные и привлеченные денежные средства. Следующий источник по рассматриваемой проблеме это учебник под редакцией Е. С. Стояновой «Финансовый менеджмент: теория и практика». Автор особое внимание уделяет специфическим методам анализа: это расчеты эффекта финансового рычага и операционного рычага, а также расчету финансовых коэффициентов. Важнейшими коэффициентами отчетности, использующимися в финансовом управлении по Е. С. Стояновой, являются: 1. коэффициенты ликвидности (коэффициент текущей ликвидности, срочной ликвидности и чистый оборотный капитал); 2. коэффициенты деловой активности или эффективности использования ресурсов (оборачиваемость активов, оборачиваемость дебиторской задолженности, оборачиваемость материально - производственных запасов и длительность операционного цикла); 3. коэффициенты рентабельности (рентабельность всех активов предприятия, рентабельность реализации, рентабельность собственного капитала); 4. коэффициенты структуры капитала (коэффициент собственности, коэффициент финансовой зависимости, коэффициент защищенности кредиторов); 5. коэффициенты рыночной активности (прибыль на одну акцию, балансовая стоимость одной акции, соотношение рыночной цены акции и ее балансовой стоимости, доходность акции и доля выплаченных дивидендов). Важным инструментом финансового менеджмента является не только анализ уровня и динамики основных коэффициентов в сравнении с определенной базой, считает автор, но и определения оптимальных пропорций между ними с целью разработки наиболее конкурентоспособной финансовой стратегии. Эффект финансового рычага - это приращение к рентабельности собственных средств, получаемое благодаря использованию кредита, несмотря на платность последнего. Предприятие, использующее только собственные средства, ограничивает их рентабельность примерно двумя третями экономической рентабельности. Предприятие, использующие кредит, увеличивает либо уменьшает рентабельность собственных средств, в зависимости от соотношения собственных и заемных средств в пассиве и от величины процентной ставки. Тогда и возникает эффект финансового рычага (ЭФР): ЭФР=2/3(ЭР-СРСП)хЗС/СС, (2.2.) где ЭР, экономическая рентабельность, равная отношению прибыли до выплаты процентов и налогов к активам; СРСП - среднерасчетная ставка процента; ЗС - заемные средства; СС - собственные средства. То есть для того, чтобы повысить рентабельность собственных средств, предприятие должно регулировать соотношение собственных и заемных средств. Большое внимание Е.С. Стоянова уделяет операционному анализу, называемому также анализом "издержки-объем-прибыль", - отражающим зависимость финансовых результатов бизнеса от издержек и объемов производства и сбыта. Ключевыми элементами операционного анализа служит: операционный рычаг, порог рентабельности и запас финансовой прочности. Действие операционного рычага проявляется в том, что любое изменение выручки от реализации всегда порождает более сильное изменение прибыли. В практических расчетах для определения силы воздействия операционного рычага применяют отношение валовой маржи (результата от реализации после возмещения переменных затрат) к прибыли. Порог рентабельности - эта такая выручка от реализации, при которой предприятие уже не имеет убытков, но еще не имеет и прибыли. Вычислив порог рентабельности, получаем пороговое (критическое) значение объема производства - ниже этого количества производство не выгодно. Пройдя порог рентабельности, фирма имеет дополнительную сумму валовой маржи на каждую очередную единицу товара. Наращивается и масса прибыли. Разница между достигнутой фактической выручкой от реализации и порогом рентабельности составляет запас финансовой прочности. Так как в данной работе не используются элементы операционного анализа, то нет смысла более подробно останавливаться на выше описанном методе. Анализируя традиционные методические подходы к расчету показателей, можно отметить две позиции, которые нарушают объективную оценку финансово-экономического состояния предприятия. Первая позиция. Коэффициенты ликвидности и финансовой устойчивости рассчитываются на дату составления бухгалтерской отчетности, то есть на начало и конец отчетного периода. Таким образом, они фиксируют лишь моментное финансовое состояние предприятия и не дают представления о финансовом состоянии предприятия в целом. Так, например, наличие больших сумм на расчетном счете и в кассе предприятия на 1 января отчетного года еще не свидетельствует о высоком уровне его ликвидности. Более объективным и предпочтительным представляется метод расчета коэффициентов на основании средних (среднегодовых, средних за полугодие, средне квартальных) значений строк бухгалтерского баланса. Сторонники традиционной моментной методики расчета к положительным ее сторонам относят возможность проследить в динамике тенденции изменения финансовых показателей. В пользу целесообразности применения средних значений коэффициентов ликвидности и финансовой устойчивости свидетельствует то немаловажное обстоятельство, что другие показатели финансовой оценки, а именно коэффициенты рентабельности и деловой активности, рассчитываются на основании средних (среднегодовых) данных формы №1 и формы №2. При использовании средних расчетных значений достигается не только единообразие подходов в расчете всех четырех групп финансовых показателей, но и большая значимость и объективность итоговых результатов при рейтинговой оценке финансово-экономического состояния предприятия. В любом варианте анализ тенденций изменения финансовых результатов хозяйственной деятельности предприятия по средним расчетным коэффициентам будет более объективным по сравнению с традиционной практикой использования моментных показателей бухгалтерского баланса. Вторая позиция. Коэффициенты ликвидности и финансовой устойчивости - показатели первого класса - имеют качественное отличие от показателей второго класса - коэффициентов рентабельности и деловой активности. К первому классу относятся показатели, для которых определены нормативные (рекомендуемые) значения. Во второй класс входят ненормируемые показатели, значения которых непосредственно не могут быть использованы для оценки эффективности функционирования предприятия. Рассматривая показатели второго класса в динамике, можно лишь констатировать их состояние как «улучшение», «стабильность», «ухудшение». Разделение показателей на два класса в значительной мере условно и является уступкой недостаточной развитости рассматриваемого аналитического инструмента. Таким образом, в целях получения более объективной оценки финансово-экономического состояния предприятия целесообразно определить нормативные (рекомендуемые) значения коэффициентов рентабельности и деловой активности непосредственно для каждого предприятия с учетом специфики его производственно-хозяйственной деятельности. Наиболее логичной и последовательной, с моей точки зрения, является методика, предложенная А.Д. Шереметом и Р.С. Сайфуллиным в книге «Финансы предприятий». Она наиболее полно раскрывает все теоретические аспекты анализа финансового состояния и более объективно характеризует положение предприятия. Рассмотрим ее более подробно и на ее основе в главе 3 проведем анализ финансово-хозяйственной деятельности ОАО «СРЗ - Холдинг». Данная методика включает следующие блоки анализа: анализ и оценка состава и динамики имущества и источников его формирования; - анализ финансовой устойчивости предприятия; - анализ ликвидности баланса и платежеспособности; - анализ рентабельности; - анализ деловой активности; сравнительная рейтинговая оценка рентабельности, деловой активности и финансовой устойчивости предприятия. Оценка финансового состояния и его изменения за отчетный период по сравнительному аналитическому балансу, а также анализ показателей финансовой устойчивости составляют исходный пункт, из которого дол жен логически развиваться заключительный блок анализа финансового состояния. Анализ ликвидности баланса должен оценивать текущую платежеспособность и давать заключение о возможности сохранения финансового равновесия и платежеспособности в будущем. Сравнительный аналитический баланс и показатели финансовой устойчивости отражают сущность финансового состояния. Ликвидность баланса характеризует внешние проявления финансового состояния, которые обусловлены его сущностью. Углубление анализа на основе данных учета приводит к задачам, относящимся преимущественно к внутреннему анализу. В ходе анализа для характеристики различных аспектов финансового состояния применяются как абсолютные показатели, так и финансовые коэффициенты представляющие собой относительные показатели финансового состояния. Анализ финансовых коэффициентов заключается в сравнении их значений с базисными величинами, а также в изучении их динамики. В качестве базисных величин используются усредненные по временному ряду значения показателей данного предприятия, относящиеся к прошлым, благоприятным с точки зрения финансового состояния, периодам; среднеотраслевые значения показателей; значения показателей, рассчитанные по данным отчетности наиболее удачливого конкурента. Кроме того, базой сравнения могут служить теоретически обоснованные или полученные в результате экспертных опросов величины, характеризующие оптимальные или критические с точки зрения устойчивости финансового состояния значения относительных показателей. Такие величины фактически выполняют роль нормативов для финансовых коэффициентов, хотя методики их расчета в зависимости, например, от отрасли производства пока не создано, поскольку в настоящее время не устоялся и поэтому лишен полноценной системной упорядоченности набор относительных показателей. Для анализа финансового состояния предприятия и тенденции его изменения достаточно сравнительно небольшого количества финансовых коэффициентов. Важно лишь, чтобы каждый из этих показателей отражал наиболее существенные стороны финансового состояния. 3. Анализ финансовой деятельности предприятия 3.1 Общая оценка финансовой деятельности предприятия Устойчивость финансового положения предприятия в значительной степени зависит от целесообразности и правильности вложения финансовых ресурсов в активы. Активы динамичны по своей природе. В процессе функционирования предприятия и величина активов, и их структура претерпевают постоянные изменения. Наиболее общее представление об имевших место качественных изменениях в структуре средств и их источников, а также динамике этих изменений можно получить с помощью вертикального и горизонтального анализа отчетности. Вертикальный анализ показывает структуру средств предприятия и их источников. Можно выделить две основные черты, обуславливающие необходимость и целесообразность проведения вертикального анализа : - относительные показатели в определенной степени сглаживают негативное влияние инфляционных процессов, которые могут существенно искажать абсолютные показатели финансовой отчетности и тем самым затруднять их сопоставление в динамике ; - переход к относительным показателям позволяет проводить межхозяйственные сравнения экономического потенциала и результатов деятельности предприятий, различающихся по величине используемых ресурсов и другим объемным показателям. Вертикальному анализу можно подвергать либо исходную отчетность, либо модифицированную отчетность (с укрупненной или трансформированной номенклатурой статей). В таблице 6 приведен вертикальный анализ баланса ОАО «СРЗ – Холдинг» по укрупненной номенклатуре статей. Рассматривается баланс на 1 Января 2003 года (приложение 3). Таблица 6 Вертикальный анализ баланса ОАО «СРЗ - Холдинг»
Анализируя таблицу 6, можно сделать можно сделать следующие выводы. В структуре баланса произошли изменения. Имущество предприятия возросло на 15106 тыс. руб. , это обусловлено тем, что сумма незавершенного производства увеличились на 144 тыс. руб. Возросли расчеты с дебиторами на 15825 тыс. руб., это может быть связано с тем, что продукцию отгрузили, но срок оплаты не наступил. В пассиве баланса увеличилась кредиторская задолженность на 8963 тыс. руб. Наряду с вертикальным балансом проведем горизонтальный анализ баланса. Горизонтальный анализ отчетности заключается в построении одной или нескольких аналитических таблиц, в которых абсолютные показатели дополняются относительными темпами роста (снижения). В таблице 7 приведен горизонтальный анализ баланса ОАО «СРЗ – Холдинг» по укрупненной номенклатуре статей. Таблица 7 Горизонтальный анализ баланса ОАО «СРЗ - Холдинг»
За анализируемый период наблюдается увеличение валюты баланса на 15106 тыс. руб. Данные увеличения обусловлены ростом дебиторской задолженности с19,45% до 22,42% и до 58,92%, что играет немаловажную роль. Также сказывается уменьшение денежных средств с 6,7 % до 0. Это говорит о том, что у предприятия нет в наличии денежных запасов. Финансовые результаты отчетного года в определенной степени характеризуются данными отчета о прибылях и убытках (форма № 2 отчетности). Исследуя отчет о прибылях и убытках за 2002 год (Приложение 4), можно сделать следующий вывод. За 2002 год выручка от реализации составила 38912 тыс. руб., себестоимость реализованной продукции 34705 тыс. руб. чистая прибыль ОАО «СРЗ – Холдинг» за 2002 год составила 3164 тыс. руб. 3.2 Оценка основных фондов предприятия Для осуществления производственной деятельности предприятие использует ограниченные экономические ресурсы, которые в наиболее общей классификации распределяются на: а) Материальные ресурсы (земля и капитал); б) Трудовые ресурсы (труд и предпринимательские способности); Вместо термина «экономические ресурсы» в микроэкономике к числу которой в первую очередь относится экономика предприятия, используется термин «фактор производства» (производственные факторы). К фактору «земля» относятся все естественные ресурсы, используемые в производственной деятельности предприятия :земля, недра, водные и лесные ресурсы. Все авансированные в деятельности предприятия средства можно назвать капиталом. Структура капитала отдельного предприятия представлена в таблице 8. Таблица 8 Структура капитала предприятия
При составлении бухгалтерского баланса предприятия его хозяйственные средства называются активами, а источники их финансирования – пассивами. Важнейшей составляющей хозяйственно – производственной деятельности предприятия являются основные фонды. Основные фонды предприятия представляют собой совокупность произведенных общественным трудом материально – вещественных ценностей, используемых в неизменной натуральной форме в течение длительного периода и утрачивающих стоимость по частям. В зависимости от характера участия основных фондов в процессе расширенного воспроизводства они подразделяются на производственные и непроизводственные. Производственные основные фонды неоднократно участвуют в процессе производства, изнашиваются постепенно и переносят свою стоимость на создаваемый продукт частями. Непроизводственные основные фонды не участвуют в процессе производства и предназначены для непроизводственного потребления ( удовлетворение культурно – бытовых потребностей работающих : жилые дома, поликлиники, клубы и др). В этом процессе они также изнашиваются постепенно и утрачивают свою стоимость по частям. Основные фонды предприятия в денежном выражении представляют собой основные средства. Основными задачами бухгалтерского учета основных средств являются правильное документальное оформление и своевременное отражение в учетных регистрах поступления основных средств, их внутреннего перемещения и выбытия; правильное исчисление и отражение в учете суммы амортизации основных средств; точное определение результатов при ликвидации основных средств; контроль за затратами на ремонт основных средств, за их сохранностью и эффективностью использования. Остаточная стоимость основных средств определяется вычитанием из первоначальной стоимости амортизации основных средств. Синтетический учет наличия и движения основных средств, принадлежащих предприятию, осуществляется на счетах: 01 «Основные средства»; 02 «Амортизация основных средств»; 91 «Прочие доходы и расходы». Счет 01 «Основные средства» предназначен для получения информации о наличии и движении принадлежащих организации на правах собственности основных средств, находящихся в эксплуатации, запасе, на консервации или сданных в текущую аренду. Соотношение различных групп основных фондов в общей стоимости, выраженное в процентах, составляет структуру основных производственных фондов. В таблице 9 приведены состав и структура основных фондов ОАО «СРЗ – Холдинг» за 2002 год. Для построения таблицы использованы приложения к бухгалтерскому балансу (приложение 2 ). Таблица 9 Состав и структура основных фондов ОАО «СРЗ – Холдинг» за 2002г.
3.3 Оценка оборотных средств предприятия Другой важнейшей составляющей хозяйственно–производственной деятельности предприятия является оборотные средства. Оборотными средствами (оборотным капиталом) называют активы предприятия, которые в результате его хозяйственной деятельности полностью переносят свою стоимость на готовый продукт, принимают однократное участие в процессе производства, изменяя при этом натурально – вещественную форму. Оборотные средства представляют собой более подвижную часть активов. В каждом кругообороте оборотные средства проходят три стадии :денежную, производственную и товарную. На первой стадии денежные средства предприятий используются для приобретения сырья, материалов, топлива, комплектующих изделий и т.д., необходимых для осуществления производственной деятельности. На второй стадии производственные запасы превращаются в готовую продукцию. На третьей стадии происходит процесс реализации продукции. Упрощенная схема этого процесса представлена на рисунке 3. Рис. 3
Оборотные средства по составу подразделяются на две составляющие: оборотные фонды и фонды обращения. Объединение оборотных фондов и фондов обращения в единую систему оборотных средств вытекает из непрерывности авансированной стоимости по трем названным стадиям их кругооборота. В состав производственных оборотных фондов входят: - производственные запасы – запасы сырья, материалов, комплектующих изделий, топлива, тары, малоценного и быстроизнашивающего инструмента и хозяйственного инвентаря. - незавершенное производство и полуфабрикаты собственного изготовления – это детали, узлы и изделия, не прошедшие всех стадий обработки, сборки и испытаний, укомплектования и приемки, а также предметы труда, изготовление которых полностью закончено в одном цехе и подлежит дальнейшей обработке в других цехах того же предприятия. - расходы будущих периодов – затраты на подготовку и освоение новых видов продукции, производимые в данный период но подлежащие погашению в будущем. Величина оборотных средств, находящихся в составе оборотных производственных фондов, определяется в первую очередь организованно-техническим уровнем производства и длительностью производственного цикла изготовляемой продукции. В состав фондов обращения входят: - готовая продукция на складах предприятия; - отгруженная и неоплаченная продукция; - дебиторская задолженность; - денежные средства на расчетных счетах в кассе. Фонды обращения не участвуют в образовании стоимости, но являются носителями уже созданной стоимости. Основное назначение фондов обращения – обеспечить денежными средствами ритмичность процесса обращения. Величина оборотных средств, занятых в сфере обращения, зависит от условий реализации продукции, системы товаро – движения, уровня организации маркетинга и сбыта продукции. В таблице 11 приведены состав оборотных средств ОАО «СРЗ - Холдинг», их структура, и динамика за 2001 год. Используются данные бухгалтерского баланса (Приложение 3). Таблица 10 Состав и структура оборотных средств ОАО «СРЗ – Холдинг» в 2002 году
Анализируя данные таблицы, можно сделать следующий вывод. За анализируемый период оборотные активы предприятия возросли на 206,64 % (15052). Это было вызвано увеличением количества готовой продукции на складе, не находящей сбыта, а также увеличением дебиторской задолженности (не оплачена отгруженная продукция). Наблюдается тенденция уменьшения доли оборотных производственных фондов в оборотных средствах, что является негативным фактором в деятельности предприятия. Считается, что чем больше доля средств в сфере производства, тем эффективнее используются оборотные средства на предприятии. В промышленности оптимальным принимается соотношение между оборотными средствами в сфере производства и сфере обращения как 2 : 1. Как видно из таблицы 10 это соотношение для предприятия на на 1 января 2001 года выглядело как 0,6:1, на1 января 2002 года как 0,48 : 1, а на 1 января 2003 года уже как 0,09 : 1. причиной этому явилось, как я уже отметила, увеличение остатков готовой продукции, дебиторской задолженности и резкое сокращение доли затрат в незавершенном производстве ( на 9,62 % ). Активная работа по стимулированию сбыта готовой продукции и инвестированию полученных средств в сферу производства является весомым резервом ускорения оборачиваемости оборотных средств предприятия. 3.4 Анализ себестоимости продукции Важным показателем, характеризующим работу предприятия, является себестоимость продукции. Себестоимость продукции – выраженные в денежной форме затраты на ее производство и реализацию. Основные задачи бухгалтерского учета затрат на производство и калькулирование себестоимости продукции – учет объема, ассортимента и качества произведенной продукции, выполненных работ и оказанных услуг и контроль за выполнением плана по этим показателям; учет фактических затрат на производство продукции и контроль за использованием сырья, материальных, трудовых и других ресурсов, за соблюдением установленных смет расходов по обслуживанию производства и управлению; калькулирование себестоимости продукции и контроль за выполнением плана по себестоимости; выявление результатов деятельности структурных подразделений предприятия по снижению себестоимости продукции; выявлению резервов снижения себестоимости продукции. От ее уровня зависят финансовые результаты деятельности, темпы расширенного воспроизводтства, финансовое состояние предприятия. В крупных и средних организациях для учета затрат на производство продукции применяют счета 20 «Основное производство», 23 «Вспомогательное производство», собирательно-распорядительные счета: 25 «Общепроизводственные расходы», 26 «Общехозяйственные расходы», 28 «Потери от брака», 97 «Расходы будущих периодов», 46 «Выполненные этапы по незавершенным работам», 40 «Выпуск продукции (работ, услуг)». Анализ себестоимости продукции, работ и услуг имеет исключительно важное значение. Он позволяет выяснить тенденции изменения данного показателя, выполнения плана по его уровню, определить влияние факторов на его прирост и на этой основе дать оценку работы предприятия по использованию возможностей и установить резервы снижения себестоимости продукции. Издержки предприятия – это денежное выражение использования производственных факторов для выпуска и реализации продукции. Денежные расходы на оплату труда, приобретение сырья и материалов, амортизацию основных фондов и другие, необходимые для осуществления производства и реализации продукции, составляют явные издержки предприятия, поскольку они рассчитываются на основе финансовых отчетов, их называют еще бухгалтерскими. Совокупность всех явных издержек образует себестоимость продукции. Для целей учета, анализа и планирования, затраты включаемые в себестоимость продукции, классифицируют по различным признакам. Классификация затрат позволяет более обосновано выявить резервы снижения себестоимости и спроектировать мероприятия по сокращению затрат на производство и реализацию продукции. Планирование и учет себестоимости ведут по элементам затрат и калькуляционным статьям расходов. Наибольший практический интерес представляет группировка по экономическим элементам, называемым сметой затрат на производство. Смета затрат на производство позволяет определить затраты на общий объем потребляемых ресурсов для выполнения всей производственной программы предприятия независимо от того, на какой конкретный вид продукции они использованы. Структура затрат на производство продукции на анализируемом предприятии приведена в таблице (11). Таблица 11 Структура затрат на производство продукции
Более наглядно структуру затрат на производство продукции можно увидеть на рисунке 4. Рис. 4. Структура затрат на производство продукции
В 2002 г. по сравнению с 2001г. у предприятия изменилась структура затрат на производство. Возросли материальные затраты в связи с увеличением тарифов на тепло – энергию, цен на топливо, материалы. Снижение удельного веса связано с уменьшением фонда оплаты труда из-за низкооплачиваемой работы и большой трудоемкости, все это сказывается на малочисленности рабочих. Эти удорожающие факты были учтены при пересмотре цен на продукцию. Важный обобщающий показатель себестоимости продукции – затраты на рубль товарной продукции, который выгоден тем, что наглядно показывает прямую связь между себестоимостью и прибылью. Исчисляется он отношением общей суммы затрат на производство и реализацию продукции и стоимости произведенной товарной продукции в действующих ценах. Рассчитаем затраты на 1 рубль товарной продукции в 2002 году: СБ тп 34193000 З = ----------- = ------------ = 0,89 рубль. (3.5) ТП 38257000 Таким образом затраты на 1 рубль товарной продукции составили 89 копеек. Основными источниками резервов снижения себестоимости промышленной продукции являются: - увеличение объема ее производства; - сокращение затрат на ее производство за счет повышения уровня производительности труда, экономного использования сырья, материалов, электроэнергии, топлива, оборудования, сокращения непроизводительных расходов, производственного брака и т.д. Резервы увеличения производства продукции выявляются в процессе анализа выполнения производственной программы. При увеличение объема производства продукции возрастает только переменные затраты (прямая заработная плата, прямые материальные расходы и т. д.), сумма же постоянных расходов, как правило, не изменяется, в результате снижения себестоимости изделий. Резервы сокращения затрат выявляются по каждой статье расходов за счет конкретных организационно-технических мероприятий (внедрение новой более прогрессивной техники и технологии производства, улучшение организации труда и т.д.), которые будут способствовать экономии заработной платы, сырья, материалов, энергии и т д. 3.5 Анализ ликвидности баланса Задача анализа ликвидности баланса возникает в условиях рынка в связи с усилением жесткости финансовых ограничений и необходимостью давать оценку кредитоспособности предприятия, то есть его способности своевременно и полностью рассчитываться по своим обязательствам. Ликвидность баланса определяется как степень покрытия обязательств предприятия его активами, которая определяется как величина, обратная времени, необходимому для превращения их в денежные средства. Чем меньше время, которое потребуется, чтобы данный вид активов превратился в деньги, тем выше его ликвидность. Анализ ликвидности баланса может проводиться с использованием абсолютных и относительных показателей. Проведем анализ ликвидности баланса ОАО «СРЗ – Холдинг» через абсолютные показатели. Данный анализ заключается в сравнении средств по активу, сгруппированных по степени их ликвидности, с обязательствами по пассиву, сгруппированным по срокам их погашения и расположенными в порядке возрастания сроков. В зависимости от степени ликвидности, то есть скорости превращения в денежные средства, активы предприятия разделяются на следующие группы: 1. Ликвидные активы (группа А1) – денежные средства предприятия и краткосрочные финансовые вложения. А11 = 109 тыс. руб. А12 = 1399 тыс. руб. А13 = 0 тыс. руб. 2. Быстро реализуемые активы (группа А2) – статьи раздела II актива баланса «Дебиторская задолженность» + «Прочие оборотные активы». А21 = 3411 тыс. руб. А22 = 4681 тыс. руб. А23 = 19236 тыс. руб. 3. Медленно реализуемые активы ( группа А3 ) – статьи раздела II актива баланса «Запасы» за исключением «Расходов будущих периодов» + «НДС по приобретенным ценностям» + статья раздела I актива баланса « Долгосрочные финансовые вложения». А31 =3762 тыс. руб. А32 = 4504 тыс. руб. А33 = 3096 тыс. руб. 4. Трудно реализуемые активы (группа А4) – статьи раздела I актива баланса « Внеоборотные активы» за исключением «Долгосрочных финансовых вложений». А41 =10256 тыс. руб. А42 = 10288 тыс. руб. А43 = 10310 тыс. руб. Пассивы баланса группируются по степени срочности их оплаты. 5. Наиболее срочные обязательства ( группа П1 ) – кредиторская задолженность. П 11 = 5995 тыс. руб. П 12 = 7134 тыс. руб. П 13 = 16097 тыс. руб. 6. Краткосрочные обязательства ( группа П2 ) – статьи раздела V пассива баланса « Краткосрочные заемные средства» + « Расчеты по дивидендам» + « Прочие краткосрочные обязательства». П21 = 0 тыс. руб. П22 = 0 тыс. руб. П23 = 0 тыс. руб. 7. Долгосрочные обязательства ( группа П3 ) – статьи раздела IVпассива баланса « Долгосрочные обязательства». П31 = 0 тыс. руб. П32 = 0 тыс. руб. П33 = 0 тыс. руб. 8. Постоянные пассивы ( группа П4 ) – статьи раздела III «Капитал и резервы» за минусом статьи раздела II актива «Расходы будущих периодов» + статьи раздела V пассива «Доходы будущих периодов», «Фонды потребления», «Резервы предстоящих расходов и платежей» - статьи раздела III пассива «Капитал и резервы» . П41 = 11193 тыс. руб. П42 = 13663 тыс. руб. П43 = 16470 тыс. руб. Для определения ликвидности баланса следует сопоставить итоги приведенных групп по активу и пассиву. Баланс считается абсолютно ликвидным, если имеют место следующие соотношения: А1 > П 1; А2 > П2; А3 > П3; А4 < П4; Выполнение первых трех неравенств с необходимостью влечет выполнение и четвертого неравенства, поэтому практически существенным является сопоставление итогов первых трех групп по активу и пассиву. Четвертое неравенство носит «балансирующий характер», и в то же время оно имеет глубокий экономический смысл: его выполнение свидетельствует о соблюдении минимального условия финансовой устойчивости – наличии у предприятия собственных средств. Для ОАО «СРЗ – Холдинг» система неравенств будет выглядеть следующим образом: На 1 января 2001 года: 109 < 5995; 3411 > 0; 3762 > 0; 10 256 > 1 1193. На 1 Января 2002 года: 1399< 7134; 4681 > 0; 4504> 0; 10288 < 13663. На 1 Января 2003 года : 0< 16079; 19236 > 0; 3096 > 0; 10310 < 16470. Как видно, первое неравенство имеет знак, противоположный зафиксированному в оптимальном варианте. Сопоставление наиболее ликвидных средств и быстро реализуемых активов с наиболее срочными обязательствами и краткосрочными пассивами, то есть суммы А1 и А2 с суммой П1 и П2, позволяет охарактеризовать текущую ликвидность предприятия. Для ОАО « СРЗ – Холдинг» на 1 Января 2003 года : 19236 > 16097 Данное неравенство свидетельствует о том, что на ближайшее к рассматриваемому периоду времени предприятие не будет иметь особых проблем с платежеспособностью. Сравнение медленно реализуемых активов с долгосрочными пассивами, то есть группы А3 с группой П3, отражает перспективную ликвидность предприятия. А3 > П3 Для ОАО «СРЗ – Холдинг» данное неравенство на 1 Января 2002 года имеет вид: 3096 >0 Сравнение медленно реализуемых активов с долгосрочными пассивами, то есть группы А3 с группой П3, отражает перспективную ликвидность предприятия. Медленно реализуемые активы на 3096 тыс. руб. превысили долгосрочные обязательства, но в силу низкой ликвидности этот излишек не может быть направлен на осуществление текущих платежей и в ближайшем будущем, что не может повлиять на свою платежеспособность (А3 = 3096 > П3 = 0 ). На конец отчетного периода постоянные пассивы превысили на 6160 тыс. руб. трудно реализуемые активы. Таким образом, предприятие платежеспособно, но недостаточно высокой платежеспособностью. Данные анализа ликвидности баланса с использованием абсолютных показателей подтверждаются анализом ликвидности баланса через относительные показатели – коэффициенты ликвидности. Коэффициенты ликвидности позволяют определить способность предприятия оплатить свои краткосрочные обязательства. Коэффициент общей (текущей) ликвидности характеризует общую обеспеченность предприятия оборотными средствами для ведения хозяйственной деятельности и своевременного погашения срочных обязательств на 2 – 3 месяца вперед, дает общую оценку ликвидности активов, показывая, сколько рублей текущих активов предприятия на 1 рубль текущих обязательств. ОбС К1 = -------------; (3.6) КрО где: ОбС – оборотные средства предприятия; КрО – краткосрочные обязательства; Рассчитаем коэффициенты текущей ликвидности ОАО «СРЗ – Холдинг» на 1 Января 2001 года, на 1 Января 2002 года и на 1 января 2003 года. 7284 К11 = --------------- = 1,15; 6345 10593 К12 = --------------- = 1,47; 7209 22336 К13 = ---------------- = 1,38; 16172 Согласно нормам считается, что этот коэффициент должен находиться в пределах больше 2. Нижняя граница обусловлена тем, что текущих активов должно быть, по меньшей мере, достаточно для погашения краткосрочных обязательств, иначе предприятие может оказаться неплатежеспособным по этому виду кредита. Превышение оборотных активов над краткосрочными обязательствами более чем в два раза считается также нежелательным, поскольку свидетельствует о нерациональном вложении средств и неэффективном их использовании. Коэффициент текущей ликвидности повысился за отчетный период с 1,15 до 1,38, но остается ниже нормального значения как на начало, так и на конец отчетного периода. Это говорит о низких платежных возможностях предприятия даже при условии своевременных расчетов с дебиторами и реализации в случае необходимости материальных оборотных средств предприятия. Разновидностью коэффициента текущей ликвидности является коэффициент быстрой ликвидности (критической ликвидности). По смысловому значению показатель аналогичен коэффициенту текущей ликвидности, однако он исчисляется по более узкому кругу текущих активов, когда из расчета исключена наименее ликвидная их часть – производственные запасы и затраты. Коэффициент быстрой ликвидности характеризует ликвидность предприятия на 1 – 2 месяца вперед, он должен иметь значение не менее 0.8. Подсчет этого показателя вызван тем, что ликвидность отдельных категорий оборотных средств далеко не одинакова, и если, например, денежные средства могут служить непосредственным источником выплаты текущих обязательств, то запасы могут быть использованы для этой цели лишь после их реализации, что предполагает не только наличие покупателя, но и наличие у покупателя денежных средств. Коэффициент быстрой ликвидности определяется по формуле : ДСА К2 = ------------ ; (3.7) КрО где: ДСА – денежные средства, расчеты и прочие активы. 7284 – 3386 3898 К21 = ----------- = ------- = 0,61; 6345 6344 10593 – 4267 6326 К22 = ----------- = ------- = 0,88; 7209 7209 22336 – 2569 19767 К23 = ----------- = -------- = 1,22; 16172 16172 Коэффициент быстрой ликвидности увеличился с 0,61 до 0,88 и до 1,22, что чуть выше нормального ограничения, это свидетельствует о том, что в ближайшей перспективе есть возможности погасить часть кредиторский задолженности, а следовательно, существует возможность привлечения в оборот предприятия новых кредитов. Наиболее ликвидными статьями оборотных средств являются денежные средства, которыми располагает предприятие на счетах в банке и в кассе, а также в виде ценных бумаг. Поэтому при анализе ликвидности баланса рассчитывается также коэффициент абсолютной ликвидности. Он является наиболее жестким критерием ликвидности предприятия и показывает, какая часть краткосрочных заемных обязательств может быть при необходимости погашена немедленно. Рекомендуемая нижняя граница показателя 0,2. ДСФ К3 = ---------------; (3.8) КрО где: ДСФ – сумма денежных средств и краткосрочных финансовых вложений. 109 К31 = -------------- = 0,02; 6345 1399 К31 = -------------- = 0,19; 7209 0 К32 = -------------- = 0; 16172 Коэффициент абсолютной ликвидности за период с 1.01.01 г. по 1.01.02 г. повысился с 0,02 до 0,19, а на 1.01.03г. упал до 0. У предприятия нет средств на расчетном счете, оно не способно расплатиться по долгам, не допуская обращения взыскания на свое имущество. Оно не может мгновенно погасить ни одного из своих обязательств. Значения коэффициентов ликвидности приведены в таблице 12. Таблица 12 Показатели ликвидности ОАО «СРЗ - Холдинг»
Анализируя рассчитанные коэффициенты текущей, критической и абсолютной ликвидности, можно сделать следующий вывод. В целом коэффициенты ликвидности свидетельствуют о достаточно плохой платежеспособности предприятия. Оно не имеет в достаточном размере оборотных средств. Таким образом, результаты анализа ликвидности баланса с использованием абсолютных и относительных показателей совпадают. 3.6 Анализ финансовой устойчивости ОАО «СРЗ – Хролдинг» 3.6.1 Расчет показателей финансовой устойчивости Следующей важной задачей методики анализа финансового состояния является оценка финансовой устойчивости предприятия. При возникновении договорных отношений между предприятиями, у них появляется обоюдный интерес к финансовой устойчивости друг друга. Стабильность работы предприятия связана с общей его финансовой структурой, степенью его зависимости от внешних кредиторов и инвесторов. Так, многие предприятия в процессе своей деятельности помимо собственного капитала привлекают значительные средства, взятые в долг. Финансовая устойчивость характеризуется соотношением собственных и заемных средств. Насколько оптимально соотношение собственного и заемного капитала во многом зависит финансовое положение предприятия. Выработка правильной финансовой стратегии помогает многим предприятиям повысить эффективность своей деятельности. Показатели ликвидности и финансовой устойчивости взаимодополняют друг друга и в совокупности дают представление о благополучии финансового состояния предприятия: если у предприятия обнаруживаются плохие показатели ликвидности, но финансовая устойчивость им не потеряна, то у предприятия есть шансы выйти из затруднительного положения. Но если неудовлетворительны и показатели ликвидности, и показатели финансовой устойчивости, то такое предприятие – вероятный кандидат в банкроты. Для оценки финансовой устойчивости определяют абсолютные и относительные показатели. Абсолютные показатели позволяют классифицировать финансовые ситуации по степени их устойчивости. Определим следующие показатели: 1. Излишек (+) или недостаток (-) собственных оборотных средств предприятия. Характеризует обеспеченность запасов и затрат собственными оборотными средствами. К4 = СОС – ЗЗ ; (3.9) где: СОС – сумма собственных оборотных средств предприятия. ЗЗ – запасы и затраты. К41 = - 2828; К42 = - 1129; К43 = +3064; 2. Излишек (+) или недостаток ( - ) собственных и приравненных к ним долгосрочных заемных средств. Характеризует обеспеченность запасов и затрат собственными и приравненными к ним средствами. К5 = СОС дз – ЗЗ ; (3.10) где: СОС дз – Сумма собственных и приравненных к ним долгосрочных заемных средств. К41 = - 2828; К42 = - 1129; К43 = +3064; 3. Излишек (+) или недостаток (-) собственных и приравненных к ним долгосрочных и краткосрочных заемных средств. Характеризует обеспеченность запасов и затрат всеми источниками их формирования (собственными и заемными). К6 = СОС дкз – ЗЗ ; (3.11) где: СОС дкз – сумма собственных, долгосрочных и краткосрочных заемных средств. К41 = - 2828; К42 = - 1129; К43 = +3064; Полученные значения показателей свидетельствуют о стабилизируешемся финансовом состоянии предприятия. Относительные показатели финансовой устойчивости используют для оценки доли запасов, сформированных за счет собственных средств. Рассчитаем относительные показатели финансовой устойчивости предприятия. Коэффициент обеспеченности запасов и затрат собственными оборотными средствами показывает, в какой мере материальные запасы покрыты собственными источниками и не нуждаются в привлечении заемных. Рассчитывается по формуле : СОС К7 = ------------------ ; (3.12) ЗЗ где : СОС – сумма собственных оборотных; ЗЗ – величина запасов и затрат предприятия средств. Рекомендуемый критерий К об > 0,6. 936 К71 = ---------------- = 0,25; 3764 3384 К72 = ---------------- = 0,75; 4513 6164 К73 = ---------------------- = 1,99; 3100 Полученные значения коэффициента обеспеченности запасов и затрат собственными средствами свидетельствуют о том, что запасы на предприятии финансируются не только за счет кредиторской задолженности, но и за счет собственных источников. Коэффициент обеспеченности запасов и затрат собственными оборотными средствами. Характеризует обеспеченность оборотных средств собственными и приравненными к ним долгосрочными заемными средствами. СОС дз К8 = ------------------ ; (3.13) ЗЗ 936 К81 = ----------------- = 0,25; 3764 3384 К82 = ----------------- = 0,75; 4513 6164 К83 = ----------------- =1,99; 3100 Нормальное ограничение для К8 > 1. За отчетный период коэффициент обеспеченности запасов и затрат собственными оборотными средствами увеличивается, и становится выше нормального ограничения. Коэффициент обеспеченности собственными оборотными средствами. Характеризует обеспеченность собственными средствами. 3.6.2 Анализ запасов и затрат Анализ показателей финансовой устойчивости непосредственно связан исследованию запасов и затрат, которое является одним из самых существенных факторов устойчивости финансового состояния. Углубленный анализ состояния запасов и затрат выступает в качестве составной части внутреннего анализа финансового состояния и в известной мере относится к области коммерческой тайны. Состояние запасов и затрат представлено в таблице 13, построенной на основе баланса. Общая величина запасов и затрат за отчетный период уменьшилась на 39,76 % , что составило – 1693 тыс. руб. В основном это было вызвано уменьшением затрат в незавершенном производстве. Готовая продукция и товары для продажи возросли на 39 тыс. руб., это говорит о том, что она находится на складе и не находит сбыт на 5,65 %. Таблица 13 Анализ состояния запасов и затрат
3.7 Анализ рыночной устойчивости ОАО «СРЗ - Холдинг» Финансовое состояние предприятия во многом зависит от того, какие средства оно имеет в своем распоряжении и куда они вложены. Насколько оптимально соотношение собственного и заемного капитала, во многом зависит финансовое положение предприятия. Выработка правильной финансовой стратегии поможет предприятию повысить эффективность своей деятельности. В связи с этим выделяют показатели, которые характеризуют рыночную устойчивость предприятия. Индекс постоянного актива характеризует уровень формирования оборотных активов за счет заемных средств. Чем ближе к единице величина этого показателя, тем большая величина оборотных активов создается за счет заемных средств. Исчисляется по формуле: ОСрВ К10 = -------------, (3.14.) ИССр где ОСрВ – сумма основных средств и внеоборотных активов ИССр – источники собственных средств предприятия 10256 К101 = ------------- = 0,9161; 11195 Полученные значения индекса свидетельствуют о том, что оборотные активы предприятия создаются в основном за счет заемных средств. Одним из важнейших показателей является коэффициент автономии, который характеризует независимо от заемных средств, и показывает долю собственного капитала во всем капитале. Желательно, чтобы коэффициент автономии по своей величине превышал значение 0,5, при этом все обязательства предприятия могут быть покрыты собственными средствами. Рост коэффициента автономии свидетельствует об увеличении финансовой независимости предприятия. Рассчитывается по формуле: ИССр К 1 1 = -------------, (3.15.) ВБ где ИССр – источники собственных средств предприятия; ВБ – сумма валюты баланса. 11195 К111 = --------------- = 0,64; 17540 13672 К112 = --------------- = 0,65 20881 16474 К113 = --------------- = 0,5 32646 За отчетный период коэффициент автономии поднялся с 0,64до 0,65 и снизился до 0,5, это рассматривается как отрицательный факт. И вызывает беспокойство т.к. приближается к норме, ниже которой обязательства предприятия не смогут быть покрыты собственными средствами. Следующий показатель – коэффициент финансовой зависимости, является обратным к коэффициенту автономии. Рост этого показателя в динамике означает увеличение доли заемных средств в финансировании предприятия. Если его значение снижается до единицы, то значит, предприятие полностью финансируется за счет собственных средств. Рассчитывается по формуле: ВБ 1 Кф.з. = -------------------- = ------------- (3.16.) ИССр К10 Рост значения коэффициента финансовой зависимости показывает, что за рассматриваемый период увеличилась доля заемных средств в финансировании предприятия. В начале года в каждом 1,54 руб., вложенном в активы, 54 копеек были заемными. К концу года зависимость от заемных средств возросла и составила 2. Полученные показатели подтверждают это. Коэффициент соотношения заемных и собственных средств характеризует уровень покрытия заемных средств за счет собственных источников. Он показывает, каких средств у предприятия больше – земных или собственных. Чем больше коэффициент превышает единицу, тем больше зависимость предприятия от заемных средств. Нормальное ограничение для коэффициента К12< 1. Коэффициенты соотношения заемных и собственных средств на конец каждого из периодов соответствуют норме. Но доля заемных средств возросла с 0,57 до 0,98, что свидетельствует о увеличении зависимости ОАО «СРЗ -Холдинг» от внешних кредиторов. Очень важным показателем финансовой устойчивости является коэффициент реальной стоимости имущества (он называется еще коэффициентом реальной стоимости основных и материальных оборотных средств в имуществе предприятия). Он определяет, какую долю в стоимости имущества составляют средства производства. Рассчитывается по формуле: Нормальное ограничение для коэффициента >0,5. По существу, этот коэффициент определяет уровень производственного потенциала предприятия, обеспеченность производственного процесса средствами производства. Он очень важен, если данное предприятие предполагает установить договорные отношения с новыми партнерами – поставщиками или покупателями. Коэффициент реальной стоимости имущества у таких поставщиков или покупателей поможет создать представление об их производственном потенциале и целесообразности заключения договоров с ними с этой точки зрения. Коэффициент реальной стоимости имущества за анализируемый период снизился с 0,74 до 0,66 и до 0,37 и соответствует ниже нормы. Следует отметить, что коэффициент реальной стоимости имущества относится к группе показателей, определяющих состояние основных средств предприятия. Коэффициент маневренности собственного капитала показывает, какая часть собственных средств предприятия находится в мобильной форме, позволяющей относительно свободно маневрировать этими средствами. Обеспечение собственных текущих активов собственным капиталом является гарантией устойчивости финансового состояния при неустойчивости кредитной политики. Высокое значение коэффициента маневренности характеризует финансовое состояние положительно. Нормальное ограничение коэффициента маневренности К12 > 0,3. Рассчитывается по формуле: ИССр - ОСрВ К13 = -------------------, (3.19.) ИССр 11195 – 10256 936 К131 = -------------------- = ----------- = 0,0839; 11195 11195 13672 – 10288 3384 К132 = -------------------- = ----------- = 0,2475; 13672 13672 16474 – 10310 6164 К133 = ------------------- = ---------- = 0,3742; 16474 16474 Коэффициент маневренности, на начало анализируемого периода (0,083) ниже нормального, а на конец его (0,3742), что соответствует нормальному ограничению маневренности, следовательно, собственный капитал стал использоваться для финансирования текущей деятельности и формирования оборотных средств. 3.8 Анализ деловой активности предприятия Коэффициенты деловой активности позволяют проанализировать, на сколько эффективно предприятие использует свои средства. Как правило, к этой группе относятся различные показатели оборачиваемости. Показатели оборачиваемости имеют большое значение для оценки финансового положения предприятия, поскольку скорость оборота средств, то есть скорость превращения их в денежную форму, оказывает непосредственное влияние на платежеспособность предприятия. Кроме того, увеличение скорости оборота средств при прочих равных условиях отражает повышение производственно-технического потенциала предприятия. Наиболее распространенным является коэффициент оборачиваемости активов (или коэффициент трансформации) – отношение выручки от реализации продукции ко всему итогу актива баланса, - характеризует эффективность использования предприятием всех имеющих ресурсов, независимо от источников их привлечения, то есть показывает, сколько раз за год (или другой отчетный период) совершается полный цикл производства и обращения, приносящий соответствующий эффект в виде прибыли, или сколько денежных единиц реализованной продукции принесла каждая денежная единица активов. Рассчитывается по формуле: Оборачиваемость может считаться эффективной при получении значения больше единицы. В данном случае это условие выполняется, у предприятия оборачиваемость капитала выросла с 0,6 до 1,64. Коэффициент оборачиваемости оборотных средств показывает скорость оборота всех оборотных средств организации (как материальных, так и денежных). Рассчитывается по формуле: ВР К15 = -------------, (3.21.) ОСср где ОС ср. – сумма средней величины оборотных средств в виде затрат, денежных средств, дебиторской задолженности и прочих оборотных средств предприятия. 14202 К151 = -------------------------- = 1,06; 13404,3 31623 К152 = -------------------------- = 2,36; 13404,3 38912 К153 = ------------------------- = 2,9; 13404,3 Оборачиваемость оборотного капитала может считаться эффективной при получении значения не менее трех оборотов в год. У анализируемого предприятия оборачиваемость оборотных средств низкая. За данный период оборачиваемость повысилась с 1,06 до 2,9 оборотов, но все равно ниже нормы. Следующий показатель – коэффициент оборачиваемости собственного капитала, рассчитывается как частное деление объема реализованной продукции на среднегодовую стоимость собственного капитала. Этот показатель характеризует различные аспекты деятельности: с финансовой точки зрения он отражает скорость оборота собственного капитала; с экономической – активность денежных средств, которыми рискует акционер. Если он слишком высок (что означает значительное превышение уровня реализации над вложенным капиталом), это влечет за собой увеличение кредитных ресурсов и возможность достижения того предела, за которым кредиторы начинают больше участвовать в деле, чем собственники предприятия. В этом случае отношение обязательств к собственному капиталу увеличивается, увеличивается также риск кредиторов, и предприятие может иметь серьезные затруднения, обусловленные уменьшением доходов или общей тенденции снижения цен. Низкий показатель означает бездействие части собственных средств. В этом случае коэффициент оборачиваемости собственного капитала указывает на необходимость вложения собственных средств в более подходящий в сложившихся условиях источник доходов. Рассчитывается по формуле: ВР К16 = --------------, (3.22.) ИССр ср. где ИССр ср. – сумма средней величины источников собственных средств предприятия. 14202 К161 = -------------------------- = 1,03; 13780,3 31623 К162 = -------------------------- = 2,29; 13708,3 38912 К163 = ------------------------- = 2,82; 13780,3 Значение коэффициента оборачиваемости собственного капитала выросло с 1,03 до 2,82, что является положительным фактором. На конец отчетного года на 1 рубль собственных средств приходится всего 41 копейка реализованной продукции. Коэффициент оборачиваемости основных средств (или фондоотдача) характеризует оборачиваемость иммобилизированных средств, рассчитывается как частное от деления объема реализованной продукции на среднегодовую стоимость основных средств. Повышение фондоотдачи, помимо увеличения объема реализованной продукции, может быть достигнута как за счет относительно невысокого удельного веса основных средств, так и за счет их более высокого технического уровня. Разумеется, ее величина сильно колеблется в зависимости от особенностей отрасли и ее капиталоемкости. Однако общие закономерности здесь таковы, что чем выше фондоотдача, тем ниже издержки отчетного периода. Низкий уровень фондоотдачи свидетельствует либо о недостаточном объеме реализации, либо о слишком высоком уровне вложений в эти виды активов. Следует отметить, что, как уже было сказано, на складе предприятия находится количество продукции, не находящей сбыта. При реализации этой продукции фондоотдача, несомненно, возрастет. Ситуация на 1.01.2003 года такова: на каждый рубль, вложенный в основные средства, приходится 3,8 рубля, полученных в результате реализации продукции. Рассчитанные значения показателей деловой активности ОАО «СРЗ – Холдинг» по состоянию на 1 Января 2003 года приведены в таблице 14. Таблица 14 Показатели деловой активности ОАО «СРЗ - Холдинг» за 2002 г.
Как видно из таблицы (14), первые два коэффициента оборачиваемости имеют значение меньше рекомендуемых, что говорит о низкой оборачиваемости средств, 3 коэффициент тоже повысился. В целом анализ деловой активности предприятия свидетельствует о низкой активности предприятия и стоящей перед ним проблемой выживания. Рассчитанные показатели оценки ликвидности, финансовой устойчивости, рыночной устойчивости и деловой активности приведены в таблице 15. Таблица 15 Показатели оценки ликвидности, финансовой устойчивости, рыночной устойчивости и деловой активности
3.9 Анализ рентабельности ОАО «СРЗ – Холдинг» Коэффициенты рентабельности показывают, насколько прибыльна деятельность предприятия. Эти коэффициенты рассчитываются как отношение полученной прибыли к затраченным средствам, либо как отношение полученной прибыли к объему реализованной продукции. Наиболее часто используемыми показателями являются коэффициенты общей рентабельности предприятия, рентабельности реализованной продукции, расчетной рентабельности и рентабельности собственного капитала. Коэффициент общей рентабельности предприятия рассчитывается делением балансовой прибыли на сумму основных и оборотных фондов предприятия. Он показывает, сколько денежных единиц прибыли ( копеек ) получено предприятием с единицы стоимости активов ( 1 рубля ) независимо от источников привлечения средств. Этот показатель является одним из наиболее важных индикаторов конкурентоспособности предприятия. Коэффициент рентабельности собственного капитала (рентабельность собственного капитала) позволяет определить эффективность использования капитала, инвестированного собственниками, и сравнить этот показатель с возможным получением дохода от вложения этих средств в другие ценные бумаги. В западных странах он оказывает существенное влияние на уровень котировки акций компании Рассчитанные коэффициенты рентабельности отражены в таблице 16. Таблица 16 Коэффициенты рентабельности.
3.10 Прогнозирование возможного банкротства предприятия Для предсказания банкротства используют метод расчета индекса кредитоспособности, предложенный в 1968 году известным западным экономистом Альтманом (EdwardAltman). Индекс кредитоспособности (или Z – счет Альтмана) построен с помощью аппарата мультипликативного дискриминантного анализа и позволяет в первом приближении разделить хозяйствующие субъекты на потенциальных банкротов и небанкротов. Индекс Альтмана представляет собой функцию от некоторых показателей, характеризующих экономический потенциал предприятия и результат его работы за истекший период. В общем виде индекс предприятия (Z) имеет вид: Z = 1,2*К1 + 1,4*К2 + 3,3*К3 + 0,6*К4 + 1,0*К5 (3.28.) где показатели К1, К2, К3, К4, К5 рассчитываются по следующим алгоритмам: Оборотный капитал К1 = ------------------------ ; (3.29.) Всего активов Резервы + фонды спецназначения целевые финансирования + нераспределенная прибыль К2 = ------------------------------------------------------ ; (3.30) Всего активов Результат от реализации К3 = --------------------------------------- ; (3.31) Всего активов Уставной капитал К4 = --------------------------------- ; (3.32 ) Обязательства Выручка от реализации К5 = -------------------------------- ; (3.33) Всего активов Для определения степени вероятности банкротства используется следующая таблица17. Таблица 17. Степень вероятности банкротства
Рассчитаем показатели К1 …. К5. 22336 К1 = -------------- = 0,68 ; 32646 6049 К2 = -------------- = 0,185; 32646 4154 К3 = -------------- = 0,127; 32646 10938 К4 = -------------- = 0,676; 16172 38912 К5 = ------------- = 1,19; 32646 Z = 2,9. В соответствии с критериями, представленными в таблице 3.9., существует вероятность банкротства ОАО « СРЗ – Холдинг» по состоянию на 1 января 2003 года, но эта вероятность не очень высока. Таким образом, согласно данной методике, структура баланса ОАО «СРЗ – Холдинг» считается не достаточно удовлетворительной, а само предприятие не достаточно неплатежеспособно. Заключение Эффективное производство - основной аспект достижения предприятием поставленных перед ним целей, реализации комплекса социально-экономических задач. Основа эффективного производства - рациональное использование всех, находящихся в распоряжении предприятия, ресурсов, главные из которых - материальные, трудовые ресурсы, основные производственные фонды и оборотные средства. Цель курсовой работы заключается в проведении анализа финансово – хозяйственной деятельности ОАО «СРЗ - Холдинг» и рекомендованы мероприятия по улучшению деятельности. В первом разделе курсовой работы рассмотрены основные и оборотные фонды предприятия. Наблюдается тенденция уменьшения доли оборотных производственных фондов в оборотных средствах, что является негативным фактором в деятельности предприятия. Причиной этому явилось увеличение остатков готовой продукции и резкое сокращение доли затрат в незавершенном производстве (16,42 %). Активная работа по стимулированию средств в сферу производства является одним из направлений совершенствования деятельности предприятия. Также в первом разделе рассмотрена структура объема продукции. В 2002 году по сравнению с 2000 годом значительно сократился удельный вес продажи товаров и услуг, за счет увеличения удельного веса готовой продукции (до 84,55 %). Чтобы «выжить» предприятию необходимо перепрофилироваться на другие изделия, рынок в которых не насыщен. Анализ финансового состояния ОАО «СРЗ - Холдинг» проведенный в третьем разделе курсовой работы показал, что: -предприятие находится в состоянии абсолютной финансовой неустойчивости; - кредиторская задолженность используется не по назначению – как источник формирования запасов. В случае одновременного востребования запасов может и не быть вовсе. Нет денежных средств как на начало, так и на конец года. Также снизилась прибыль и это отрицательно сказывается на деятельности предприятия, это можно предположить о сокращении спроса на продукцию. Предприятие ОАО «СРЗ - Холдинг» является неплатежеспособным, так как соблюдается одно из условий неплатежеспособности предприятия – коэффициент текущей ликвидности на конец 2002 года составил 1,38. Предприятие оказалось неплатежеспособным в связи с задолженностью сторонних организаций за поставленную продукцию. С целью улучшения финансового состояния предприятия предлагается следующее: - расширенное действие службы бюро внешних связей, поиск рынков сбыта. - следить за соотношением дебиторской и кредиторской задолженности. - освоение новых видов продукции, как можно больше затрагивать рынки народного потребления. Результатом проведения этих мероприятий будет пополнении оборотного капитала, повышение ликвидности баланса. На сегодняшний день основой выживания ОАО «СРЗ - Холдинг» в условиях рыночной экономики должны стать высокий уровень подготовки специалистов, организации производства и жестокий спрос за результаты производственно-хозяйственной деятельности со всех исполнителей. Литература 1. Гражданский кодекс Российской Федерации. (Часть 1, 2, 3, с изменениями и дополнениями от 20. 02., 12. 08. 96 г., 24. 10. 97г., 8. 07., 17. 12. 99 г., 16. 04., 15. 05., 26. 11. 01 г.,). 2. Конституция Российской Федерации, 1993 г. 3. Налоговый кодекс РФ. Часть первая от 31 июля 1998 г. №146-ФЗ и часть вторая от 5 августа 2000 г. № 117-ФЗ (с изменениями и дополнениями от 30 марта, 30 мая, 6, 7, 8 августа, 27, 29 ноября, 28, 29, 30, 31 декабря 2001 г.) 4. О бухгалтерском учете: Федеральный закон от 21 ноября 1996 г. №129 – ФЗ (с изменениями и дополнениями от 23.07.98г.) 5. Об акционерных обществах: Федеральный закон от 26.12.95г. №208-ФЗ (в ред. 7.08. 2001г. №120 – ФЗ) 6. О несостоятельности (банкротстве) предприятий: Федеральный закон от 08 января 1998 г. №6-ФЗ 7. Об утверждении Плана счетов бухгалтерского учета финансово – хозяйственной деятельности и инструкция по его применению: Приказ Минфина РФ от 31.10.2000 №94Н 8. Об утверждении Положения по ведению бухгалтерского учета и бухгалтерской отчетности в Российской Федерации: Приказ Минфина РФ № 34Н от 29. 07. 98 г. (с изменениями и дополнениями от 30.12.99, от 24.03.00.). 9. Абрютина М.С. Анализ финансово - экономической деятельности предприятия: Учебное пособие. - М.: Дело и Сервис, 2001, 232с. 10. Методические рекомендации о порядке формирования показателей бухгалтерской отчетности: Приказ Минфина РФ от 28 июня 2000 г. № 60н. 11. Баканов М.И., Шеремет А.Д. Экономический анализ: ситуации, тесты, примеры, задачи, выбор оптимальных решений, финансовое прогнозирование. М.: Финансы и статистика, 2000, 276с. 12. Баканов М.И., Шеремет А.Д. Теория экономического анализа. - М: Финансы и статистика, 2001, 293с. 13. Богатко А.Н. Основы экономического анализа хозяйствующего субъекта. - М: Финансы и статистика, 1999, 121с. 14. Вакуленко Т.Г., Фомина Л.Ф. Анализ бухгалтерской (финансовой) отчетности для принятия управленческих решений. – СПб.: Издательский дом Герда», 2002, 288с. 15. Волков И.М. Проектный анализ. - М.: Проспект, 2000, 174с. 16. Ветрова Н.В. Расчет прибыли на предприятии // Финансы - 1997 - №12. – 3 84с. 17. Герчикова И.Н. Анализ основных показателей фирмы // Маркетинг. - 1996. - №6.-С. 82-93. 18. Зайцев Н.Л. Экономика промышленного предприятия: Учебник.-3-е изд., перераб. и доп. - М.: ИНФРА-М,2001.-358с. 19. Ковалев В.В. Волкова О.Н. Анализ хозяйственной деятельности предприятия. - М: Проспект, 2000, 365с. 20. Ковалев И.П. Управление издержками фирмы // Менеджмент в России и за рубежом. —2000. - № 15.-С.12-15. 21. Любушин Н.Г. Анализ финансово-экономической деятельности предприятия. - М.: ЮНИТ - ДАНА, 2000, 451с. 22. Намезадиев Г.И. Экономический анализ хозяйственной деятельности в материально-техническом обеспечении. - М.: Финансы и статистика, 1990, 324с. 23. Негашев Е.В., Шеремет А.Д. Методика финансового анализа: Учебное пособие. - М.: ИНФРА-М, 1999, 378с. 24. Поршнева А.Г., Румянцева З.П. Управление организацией. - М.: Инфра-М,1999, 243с. 25. Разумов И.М. Организация, планирование и управление предприятием машиностроения. - М. "Машиностроение", 1992, 389с. 26. Савицкая Г.В. Анализ хозяйственной деятельности предприятия. - Минск: 000 Новое знание, 1998, 498с. 27. Сергеев И.В. Экономика предприятия: Учебное пособие - М.: Финансы и статистика, 1997, 336с. 28. Хеддервик К. Финансово-экономический анализ деятельности предприятий. - М.: Финансы и статистика,1999.-247с. 29. Черногорский С.А., Гарушкин А.Б. Основы финансового анализа. – СПб: «Издательский дом Гетда», 2002. –176с. 29. Щиборец К.А. Стратегическое управление затратами. // Консультант директора. – 2000. - № 15. - С. 25-29. 30. Экономика предприятия. // Под ред. Хрипача В.Я.-2-е изд. стереотипное.-Мн.: Экономпресс,2001.-464с. 31. Экономика предприятия: Учебное пособие дляВУЗов. // Под ред. проф. В.Л. Горфинкеля, проф. В.А. Швандара. -М.: ЮНИТИ-ДАНА., 2000, 459с. Бухгалтерский баланс ┌─────────┐ на __01 января__ 2001 г. │ КОДЫ │ ├─────────┤ Форма N 1 по ОКУД │ 0710001 │ ├──┬───┬──┤ Дата (год, месяц, число) │ │ │ │ ├──┴───┴──┤ Организация ______________________________ по ОКПО │ │ ├─────────┤ Идентификационный номер налогоплательщика ИНН │ │ ├─────────┤ Вид деятельности __производство______________________ │ │ ├────┬────┤ Организационно-правовая форма/форма собственности _____│ │ │ ________________________________________ по ОКОПФ/ОКФС │ │ │ ├────┴────┤ Единица измерения: тыс. руб. по ОКЕИ │ 384/385 │ (ненужное зачеркнуть) └─────────┘ Местонахождение (адрес) ____________________________________________________________________ ┌───────────┐ Дата утверждения │ │ ├───────────┤ Дата отправки (принятия) │ │ └───────────┘
Руководитель _________ ____________Главный бухгалтер _________ (подпись) (расшифровка (подпись) (расшифровка подписи) подписи) |
|||||||||||||||||||||||||||||||||||||||||||||||||||||||||||||||||||||||||||||||||||||||||||||||||||||||||||||||||||||||||||||||||||||||||||||||||||||||||||||||||||||||||||||||||||||||||||||||||||||||||||||||||||||||||||||||||||||||||||||||||||||||||||||||||||||||||||||||||||||||||||||||||||||||||||||||||||||||||||||||||||||||||||||||||||||||||||||||||||||||||||||||||||||||||||||||||||||||||||||||||||||||||||||||||||||||||||||||||||||||||||||||||||||||||||||||||||||||||||||||||||||||||||||||||||||||||||||||||||||||||||||||||||||||||||||||||||||||||||||||||||||||||||||||||||||||||||||||||||||||||||||||||||||||||||||||||||||||||||||||||||||||||||||||||||||||||||||||||||||||||||||||||||||||||||||||||||||||||||||||||||||||||||||||||||||||||||||||||||||||||||||||||||||||||||||||||||||||||||||||||||||||||||||||||||||||||||||||||||||||||||||||||||||||||||||||||||||||||||||||||||||||||||||||||||||||||||||||||||||||||||||||||||||||||||||||||||||||||||||||||||||||||||||||||||||||||||||||||||||||

