Контрольная работа: Особенности производства услуг на предприятиях потребительской кооперации
|
Название: Особенности производства услуг на предприятиях потребительской кооперации Раздел: Рефераты по физкультуре и спорту Тип: контрольная работа | |||||||||||||||||||||||||||||||||||||||||||||||||||||||||||||||||||||||||||||||||||||||||||||||||||||||||||||||||||||||||||||||||||||||||||||||||||||||||||||||||||||||||||||||||||||||||||||||||||||||||||||||||||||||||||||||||||||||||||||||||||||||||||||||||||||||||||||||||||||||||||||||||||||||||||||||||||
| ОБРАЗОВАТЕЛЬНОЕ УЧРЕЖДЕНИЕ ВЫСШЕГО ПРОФЕССИОНАЛЬНОГО ОБРАЗОВАНИЯ БЕЛГОРОДСКИЙ УНИВЕРСИТЕТ ПОТРЕБИТЕЛЬСКОЙ КООПЕРАЦИИ Кафедра сервиса и туризма КОНТРОЛЬНАЯ РАБОТА по дисциплине «Особенности производства услуг на предприятиях потребительской кооперации» Выполнила студентка: Межакова Н. заочный факультет СКТ -6 (группа) Научный руководитель: к.т.н.,доц. Тимашов Е.П. (должность, фамилия, и.о.) Белгород - 2010 г Задание № 1 5. Преимущество кооперации как самобытной, социально-ориентированной системы Кооперативные преимущества обусловлены соединением частной (личной) инициативы с общественным характером труда. Сила и значимость кооперации состоит в том, что она выступает как форма самоорганизации населения, взаимной поддержки, коллективистских (общинных) начал, прямого единения бытовых и хозяйственных форм жизни. Кооперация – самоорганизующаяся общественная структура, самодостаточная хозяйственная организация. Главное кооперативное преимущество – оптимальное сочетание социальной миссии с хозяйственно-финансовой деятельностью. Ценности, принципы, этика и деловая компетенция являются кооперативным преимуществом. Кооперативы ставят на первое место людей, являющихся собственниками демократически управляемого предприятия. Преимущества кооперации как самобытной, социально ориентированной системы выражаются в следующем: - собственная социальная база – свои члены-пайщики; - кооперативные принципы и ценности, нравственные ценности в бизнесе и жизни, обеспечивающие стабильность системе и формирующие привлекательный образ кооперации; - репутация социально ориентированной системы, то есть системы, работающей для повышения материального благосостояния своих членов; - выполнение коммуникационной роли в сельской местности (помимо функционального назначения предприятия торговли и массового питания играют на селе роль общественных центров). Кооперативы являются конкурентоспособными предприятиями, которые эффективны в своей предпринимательской деятельности и в использовании капитала. При этом для кооперативов главное не выгода, а потребности ее членов. Преимущества кооперации как системы хозяйствующих субъектов: - организационное единство системы и общность экономических интересов кооперативов, позволяющих снизить предпринимательский риск; - законодательная база и поддержка государственных и муниципальных органов власти; - значительный сегмент внутреннего рынка региона; - гарантированный рынок сбыта продукции за счет реализации товаров своим членам; - гарантированный рынок сельскохозяйственных продуктов у пайщиков и обслуживаемого населения; - гарантированный рынок кредитов за счет использования заемных средств пайщиков и населения; - традиционные связи с местными производителями, поставщиками сырья, материалов, населением; - наличие собственной развитой инфраструктуры, в том числе материально-технической базы, создаваемой на протяжении многих десятков лет; - гибкость реагирования на рыночные изменения за счет наличия малых и средних предприятий; - дифференциация предприятий по масштабам деятельности в соответствии с особенностями сельского расселения, что особенно важно для регионов с экстремальными условиями проживания; - многоотраслевой характер деятельности, позволяющий создать интегрированное хозяйство; - высокий кадровый потенциал, воспроизводимый в собственной системе образования; - прозрачность учета и отчетности. Кооперативные преимущества проявляются в сочетании социальной миссии и хозяйственной деятельности не только для самих кооперативных организаций. Они создают благоприятную среду для пайщиков, населения, поддерживаются органами местного самоуправления, государством, обществом в целом. Преимущества для пайщиков: пайщики получают право на экономическое участие и кооперативные выплаты, возможность образования и получения навыков управления, самореализации через участие в общественной и культурной жизни потребительского общества. Преимущества для населения: население приобретает качественные и относительно дешевые товары, ряд льгот, разнообразные услуги, сдает для реализации сельхозпродукцию, товары индивидуальной трудовой деятельности по справедливым ценам, не подвергаясь риску обмана, получает возможность трудоустройства. Кооперативные преимущества улучшают жизнь людей повсюду. Органы местного самоуправления имеют реальную возможность увеличения налоговых поступлений от организаций потребительской кооперации с гарантией прозрачности учета и отсутствия сокрытия налогооблагаемой базы, используют опыт укрепления демократических принципов в принятии управленческих решений, приобретают союзника в реализации программ социальной защиты населения. Государство признает кооперативные преимущества в решении крупных социальных программ, таких как сокращение безработицы и обеспечение занятости, усиление общественного контроля за рациональным использованием природных ресурсов, ограничение теневой экономики и др. Как и государство, потребительская кооперация озабочена более эффективной деятельностью в социальной сфере, всесторонним исполнением своей социальной миссии. Общество в целом выигрывает от преимуществ кооперации в стабилизации и гармонизации социальных отношений, устойчивости экономического развития, формировании высоких общественных целей и идеалов. Эти важные преимущества дадут возможность кооперативам конкурировать и динамично развиваться в новом тысячелетии. Кооперативные преимущества выступают фактором развития самой системы и объективно способствуют совершенствованию общественных отношений в России. 6. Концептуальные направления развития сферы услуг потребительской кооперации Потребительская кооперация развивает сферу услуг. Потребность в услугах городского и сельского населения быстро растет. Повышение роли услуг в жизни людей объясняется разными причинами: стремлением к лучшему качеству жизни; развитием разных видов деятельности; повышением культуры обслуживания; предложением товаров, требующих оказания услуг по их доставке, установке и использованию; предоставлением новых услуг и улучшением их качества; демографическими и экологическими изменениями, влияющими на состояние здоровья и особенности жизнедеятельности. В интересах обслуживаемого населения организации потребительской кооперации оказывают как бесплатные, так и платные услуги. Оказание платных услуг населению является перспективной и экономически выгодной отраслью деятельности потребительской кооперации. Все виды платных услуг, предоставляемых населению организациями потребительской кооперации, классифицируются на следующие основные группы: 1. Бытовые услуги. 2. Услуги торговли. 3. Услуги общественного питания. 4. Услуги производственной деятельности. 5. Сельскохозяйственные услуги. 6. Услуги рынков. 7. Медицинские и санаторно-оздоровительные услуги. 8. Услуги образования. 9. Другие виды платных услуг. К бытовым услугам относятся: ремонт и пошив одежды и обуви; ремонт и техническое обслуживание бытовой радиоэлектронной аппаратуры, бытовых машин и приборов; ремонт и изготовление металлоизделий; техническое обслуживание и ремонт автотранспортных средств; ремонт жилья и других сооружений; ритуальные услуги; услуги фотоателье; услуги парикмахерских; транспортные услуги. Услуги торговли и общественного питания, оказываемые населению, весьма разнообразны; их перечень включает свыше 100 видов услуг. К основным видам услуг торговли потребительской кооперации относятся: прием предварительных заказов на товары, доставка покупателям крупногабаритных товаров, раскрой тканей. Основными видами услуг общественного питания потребительской кооперации являются: изготовление кулинарных и кондитерских изделий по заказам потребителей; обслуживание свадеб и банкетов, совещаний, семинаров, вечеров отдыха. Услуги производственной деятельности потребительской кооперации приобретают значительный спрос в связи с развитием крестьянских (фермерских) и личных подсобных хозяйств населения. К услугам производственной деятельности относятся: забой скота и птицы; переработка зерна; производство колбасных изделий; сушка овощей и плодов; переработка семян подсолнечника. Такие производственные услуги осуществляются из сырья заказчика (например, пайщика-товаропроизводителя) на основе договора с потребительским обществом. Сельскохозяйственные услуги получают все большее значение в связи с развитием крестьянских (фермерских) и личных подсобных хозяйств. К сельскохозяйственным услугам относятся: вспашка земли, обработка садов, ветеринарные услуги, ремонт сельскохозяйственной техники. Услуги рынков. В настоящее время в общем объеме платных услуг потребительской кооперации, около 30% занимают услуги рынков. Основными видами услуг рынков являются: транспортные услуги; услуги по хранению сельскохозяйственных продуктов; предоставление мест для торговли, выдача напрокат инвентаря, разруб мяса, хранение продукции. Медицинские и санаторно-оздоровительные услуги занимают более 6% в общем объеме платных услуг потребительской кооперации. Потребность в медицинских и санаторно-оздоровительных услугах возрастает в связи с ухудшением экологической обстановки и повышением медицинской культуры населения. Услуги образования. Потребительская кооперация стала заниматься платным образованием в последнее десятилетие ХХ века, то есть в условиях экономической реформы. Наличие свыше 100 образовательных учреждений (вузов, техникумов, колледжей), в которых работают высококвалифицированные специалисты, позволяет оказывать значительный объем образовательных услуг, составляющих свыше 40% в общем объеме платных услуг, предоставляемых организациями потребительской кооперации. К другим видам услуг можно отнести следующие: юридические услуги (юридические консультации, оформление судебных исков и других документов); социальные услуги (уход за инвалидами, организация кооперативных детских садов и др.). Задание № 2 Таблица 1 Исходные данные по определению уровня спроса населения на услуги организаций потребительской кооперации за 200 7 - 200 9 гг.
Задание № 3 Динамика объема услуг, оказанных ООО «Белсервис» в 1999-2001гг.
Задание № 4 Исходные данные по определению экономической эффективности предоставления услуг
Динамика показателей экономической эффективности предоставления услуг
Список использованных источников 1. Ильин А.В. Планирование на предприятии: Учебник. – Минск.: Новое знание, 2001. – 635с. 2. Верст И., Ревентлоу П. Экономика фирмы: Учебник. — М.: Высшая школа, 1999. 3. Выявление и изучение сезонных колебаний [электронный ресурс]. Режим доступа: http://allstats.ru/? cat=64 4. Внутренние факторы, влияющие на развитие туризма [электронный ресурс]. Режим доступа: http://www.tourfaq.net/travel_business/travel-marketing/11-vnutrennie-faktory-vlijajushhie-na.html 5. Гостиничное и ресторанное дело, туризм. Сборник нормативных документов. Ростов-на-Дону, 2003. 6. Концепция развития потребительской кооперации Российской Федерации до 2015 года 7. КотлерФ., Армстронг Г., Сондерс д., Вонг В. Основы маркетинга: Пер. с анг./ Общ.ред Н.В. Шульпиной. – М.: Виямс, 200.- 1151 с. 8. Песоцкая Е.В. Маркетинг услуг – СПб.: Издательство «Питер», 2000. – 160с. 9. Рузавин Г.И. Основы рыночной экономики: Учебн. пособие. — М.: Банки и биржи, ЮНИТИ, 1998. 10. Фишер С., Дорнбуш Р., Шмалензи Р. Экономика. - М., 1999. 11. Экономика предприятия. Учебник / Ф.К. Беа, Э. Дихтла, М. Швайцера / научная редакция перевода / А.П. Павлов, К. Рихтер, В.А. Антонов 12. Экономика предприятий / Хрипач В.Я., Суша Г.З. и др. – Мн.: Экономпесс, 2000, - 460с. 13. Экономика предприятий: Учебное пособие для вузов / Ред. Кантор Е.Л. – СПб.: Питер, 2002, – 351с. 1. Понятие и сущность экономической эффективности предоставления услуг. 2. Понятие показателей экономической эффективности предоставления услуг. 3. Понятие прибыли и её влияние на эффективность предоставления услуг. 4. Понятие затрат и влияние затрат на эффективность предоставления услуг. 5. Понятие оборотных средств предприятия и их роль в формировании конечных результатов деятельности по предоставлению услуг. 6. Понятие основных средств предприятия и их роль в формировании конечных результатов деятельности по предоставлению услуг. 7. Понятие производительности труда и его влияние на эффективность предоставления услуг.
Особенности предоставления услуг имеют сезонные их виды. Туристский рынок - это динамично развивающаяся отрасль экономики, и характерным явлением для неё является цикличность. Цикличность означает повторяемость основных тенденций и интенсивности развития. Цикличность может обуславливаться как внешними факторами, так и внутренними глубинными свойствами рынка. Можно выделить два вида цикличности: цикличность экономическую, то есть достаточно продолжительную по времени и охватывающую несколько лет. Такая цикличность необходима для долговременного планирования и анализа, поскольку она отражает основные закономерности действия механизма рынка. цикличность малую, или сезонную. Её временной интервал - до одного года. Она носит сезонный характер и более или менее совпадает с климатическими изменениями. Под сезонностью, или сезонными колебаниями, понимают более или менее устойчивую закономерность внутригодовой динамики социально-экономических явлений. Их причинами являются особенности товарного предложения, покупательского спроса, изменения затрат в зависимости от изменения климатических условий в разные временные промежутки рассматриваемого периода и т.д. Другими словами, сезонностью называют устойчивую закономерность динамики внутригодовых и постоянно повторяющихся колебания спроса и предложения. Практическое значение изучения сезонных колебаний состоит в том, что получаемые при анализе рядов внутригодовой динамики количественные характеристики отображают специфику развития изучаемых явлений по месяцам (кварталам) годового цикла. Довольно часто появление на рынке туристского продукта обуславливает пик сезонных колебаний и цен, особенно в летний период времени. Ему соответствует и сезонный подъём спроса. Существует реальная возможность влияния на сезонную неравномерность спроса в туризме. Сезонность туризма ведет к сезонному характеру занятости работников туристской индустрии. С одной стороны, туризм порождает неравномерное распределение рабочего времени (сверхурочные в туристский сезон и недостаточная загруженность рабочих в межсезонье) и, как следствие, значительный удельный вес не полностью занятых работников и текучесть кадров. С другой стороны, сезонность туризма стимулирует многопрофильный характер рабочих мест, когда один и тот же работник выполняет разные функции в зависимости от сезонных особенностей. Меры по повышению спроса на сезонные услуги в межсезонный период Меры по удовлетворению повышенного спроса в сезон наиболее высокого спроса на них В межсезонный период повышенного спроса служат рекламные туры, скидки, организация специальных событий для привлечения туристов: фестивалей, выставок, праздников, инсентив-туры. Сезонность в туризме способствует широкому профилю персонала, поскольку одному и тому же работнику приходится выполнять разные функции в зависимости от сезонных особенностей. Разработка и продвижение новых видов турпродукта, не подверженных сезонным колебаниям: развитие конгресного и событийного туризма; социального туризма для целевых групп: познавательного - для пенсионеров образовательного - для молодёжи. Удлинение главного туристского сезона оказывает сильное влияние на эффективность работы туристской фирмы, так как, во-первых, "консервация" или снижение загрузки материально-технической базы ведет к прямым убыткам в основной деятельности туристской фирмы; во-вторых, обеспечивается более полная занятость населения и ликвидируется безработица; в-третьих, повышается уровень использования основных фондов других отраслей − транспорта, питания, коммунально-бытового хозяйства и др.; в-четвертых, сглаживание сезонных колебаний ведет к более рациональному использованию природных ресурсов. Объем реализованных услуг туризма имеет явно выраженный сезонный характер, который обусловлен многими факторами (временем года, периодом отпуска, каникулами и т. п.). Сезонность порождает серьезные проблемы в обслуживании туристов. В «горячий» сезон могут возникнуть трудности с транспортом, размещением, организацией питания, экскурсий для многочисленных туристов. Например, в разгар летнего сезона из Парижа по железным дорогам выезжает свыше 250 тыс. человек в день, тогда как с ноября по февраль не более 3540 человек [6]. К негативным последствиям сезонности можно отнести и тот факт, что в течение большей части года основная масса мест в гостиницах на курортах Европы практически остается невостребованной. Для привлечения туристов вне сезона или для развития еще одного сезона – зимнего, туристские фирмы вынуждены проводить гибкую ценовую политику, снижать цены на размещение и транспортные услуги, большие средства вкладывать в рекламу зимних путешествий. Расширению туристского сезона способствует и активизация делового туризма, выражающаяся в проведении международных выставок, конференций, симпозиумов и т. д. Как правило, все эти мероприятия проводятся зимой, весной или осенью. Экономическая эффективность [править ] Материал из Википедии — свободной энциклопедии Перейти к: навигация , поиск Экономическая эффективность — результативность экономической системы, выражающаяся в отношении полезных конечных результатов ее функционирования к затраченным ресурсам. Складывается как интегральный показатель эффективности на разных уровнях экономической системы, является итоговой характеристикой функционирования национальной экономики. Главным критерием социально-экономической эффективности является степень удовлетворения конечных потребностей общества и прежде всего, потребностей, связанных с развитием человеческой личности. Социально-экономической эффективностью обладает та экономическая система, которая в наибольшей степени обеспечивает удовлетворение многообразных потребностей людей: материальных, социальных, духовных, гарантирует высокий уровень и качество жизни. Основой такой эффективности служит оптимальное распределение имеющихся у общества ресурсов между отраслями, секторами и сферами национальной экономики . Эффективность экономической системы зависит от эффективности производства, социальной сферы (систем образования, здравоохранения, культуры), эффективности государственного управления. Эффективность каждой из этих сфер определяется отношением полученных результатов к затратам и измеряется совокупностью количественных показателей. Для измерения эффективности производства используются показатели производительности труда, фондоотдачи, рентабельности, окупаемости и др. С их помощью сопоставляются различные варианты развития производства, решения его структурных проблем. Измерение эффективности социальной сферы требует использования особых качественных показателей развития каждой из отраслей этой сферы. Для государственной сферы необходимы специальные критерии соответствия затрат и результатов деятельности государства требованиям общества. Экономически эффективным принято считать такой способ производства, при котором фирма не может увеличить выпуск продукции без увеличения расходов на ресурсы и одновременно не может обеспечить тот же объем выпуска, используя меньшее количество ресурсов одного типа и не увеличивая при этом затраты на другие ресурсы. Эффективность производства складывается из эффективности всех действующих предприятий. Эффективность предприятия характеризуется производством товара или услуги с наименьшими издержками. Она выражается в его способности производить максимальный объем продукции приемлемого качества с минимальными затратами и продавать эту продукцию с наименьшими издержками. Экономическая эффективность предприятия в отличие от его технической эффективности зависит от того, насколько его продукция соответствует требованиям рынка, запросам потребителей. Одной из важных составляющих эффективности экономической системы является эффективность капитальных вложений. Она выражается отношением полученного эффекта к капитальным вложениям, вызвавшим этот эффект. Эффективность капитальных вложений измеряется набором показателей, в который входит общий эффект капитальных вложений, норма их доходности, срок окупаемости, сравнительная эффективность и др. Показатели экономической эффективности капитальных вложений используются для сопоставления альтернативных инвестиционных проектов и выбора оптимального проекта. — для кого предназначена данная работа для АПК — в чем проявляется её экономическая фиктивность(сокращение времени на обработку чего-нибудь) На микроэкономическом уровне это также отношение произведённого продукта (объём продаж компании) к затратам (труд, сырьё, капитал) минус единица. На макроэкономическом уровне экономическая эффективность это отношение произведённого продукта (ВВП ) к затратам (труд, капитал, земля) минус единица. Причём, можно отдельно оценивать эффективность капитала , эффективность труда, и эффективность земли (недр).
При́быль — превышение в денежном выражении доходов (выручки от товаров и услуг) над затратами на производство и сбыт этих товаров и услуг. Это один из наиболее важных показателей финансовых результатов хозяйственной деятельности субъектов предпринимательства (организаций и предпринимателей), ради которого и осуществляется предпринимательская деятельность. Капитал избегает шума и брани и отличается боязливой натурой. Это правда, но это ещё не вся правда. Капитал боится отсутствия прибыли или слишком маленькой прибыли, как природа боится пустоты. Но раз имеется в наличии достаточная прибыль, капитал становится смелым. Обеспечьте 10 процентов, и капитал согласен на всякое применение, при 20 процентах он становится оживлённым, при 50 процентах положительно готов сломать себе голову, при 100 процентах он попирает все человеческие законы, при 300 процентах нет такого преступления, на которое он не рискнул бы, хотя бы под страхом виселицы. Если шум и брань приносят прибыль, капитал станет способствовать тому и другому. Доказательство: контрабанда и торговля рабами [1] . Различают
Обычно рассчитывают валовую (балансовую, общую) прибыль и чистую — остающуюся после уплаты из валовой прибыли налогов и отчислений. В англоязычной бухгалтерской традиции понятию «прибыль» могут соответствовать разные термины — profit , gain , return . «Затраты», «расходы», «издержки» – ключевые понятия управленческого учета и проблемы их разграничения Н. В. Ленчевская, В современных условиях учет затрат – важнейший инструмент управления предприятием. Необходимость управления затратами на производство растет по мере того, как усложняются условия хозяйственной деятельности и возрастают требования к рентабельности. Предприятия, пользующиеся хозяйственной самостоятельностью, должны иметь четкое представление об окупаемости различных видов готовых изделий, эффективности каждого принимаемого решения и их влиянии на финансовые результаты, а также на величину затрат. Перед внедрением управленческого учета затрат необходимо определиться с терминологией: чем отличаются друг от друга затраты, издержки, расходы? Все названные понятия следует разграничивать во избежание ряда широко распространенных ошибок в подходе к управлению затратами. К примеру, контроль расходов на основании информации из отчета о прибылях и убытках не является управлением затратами. При росте запасов готовой продукции и одновременном снижении продаж расходы по данным отчета о прибылях и убытках компании снижаются, а затраты увеличиваются. Однако менеджеры могут несвоевременно отреагировать на эту неблагоприятную ситуацию. Существуют различные интерпретации термина «затраты». Так, «Современная экономическая энциклопедия» дает следующее определение: «Затраты – 1) выраженные в денежной форме расходы (издержки) на что-либо; 2) ресурсы «уничтожаемые» в процессе производства в целях получения определенной продукции (товаров и услуг); 3) включают стоимость сырья, основных и вспомогательных материалов, покупных полуфабрикатов, амортизационные отчисления, заработную плату и отчисления на социальное страхование, административно-хозяйственные и прочие накладные расходы и убытки, относимые на общие затраты» [3: С.88]. Затраты разделяют на «входящие» и «истекшие» [2: С. 48]. «Входящие затраты (синоним затрат) – это те средства, ресурсы, которые были приобретены, имеются в наличии и, как ожидается, должны принести доходы в будущем». Истекшие затраты тождественны понятию «расходы» и представляют собой «израсходованные в течение отчетного периода ресурсы и потерявшие способность приносить доход в дальнейшем» [2: С.48]. Под затратами предлагают понимать «явные (фактические) расходы организации. Они прямо связаны с фактом использования сырья, материалов, сторонних услуг для выпуска продукции, работ, услуг и их реализации. Лишь в момент реализации, когда предприятие получает и определяет свои доходы, оно определяет свои издержки, связанные с получением этих доходов» [4: С.25]. Как видим, часто в официальных документах, статьях, книгах термины «затраты», «расходы», «издержки» употребляются как синонимы. Однако более внимательное изучение этих категорий свидетельствует об их серьезном различии. На мой взгляд, наиболее полное определение следующее: «Затраты – стоимостное выражение использованных в хозяйственной деятельности организации за отчетный период материальных, трудовых, финансовых и иных ресурсов»[5: С.7]. Таким образом, можно сказать, что в понятие «затраты» заложено три признака [6: С.23]: • затраты связаны с производством продукции; • предполагается целевое использование ресурсов; • существует стоимостная оценка, с помощью которой неоднородные виды производственных ресурсов приводятся к денежному эквиваленту. Можно выделить три варианта взаимосвязей между ресурсами и затратами. Первый вариант, когда ресурсы используются (то есть возникают затраты) для создания другого ресурса. Первичные ресурсы превращаются во вторичные, потребляемые ресурсы превращаются во внешние. Например, из первичного ресурса сырья вырабатывается вторичный ресурс полуфабрикат, из которого в свою очередь создается внешний ресурс – готовая продукция. Второй вариант. Ресурсы используются (то есть возникают затраты), но при этом видимого нового ресурса не создается, точнее, его трудно выявить и идентифицировать. К примеру, работники аппарата управления потребляют ресурсы, но продукт, который при этом создается, не всегда можно увидеть. Третий вариант – это когда затраты представляют собой умозрительное использование ресурсов. Например, альтернативные затраты, которые представляют собой упущенную выгоду вследствие отказа от какого-то альтернативного варианта использования ресурсов. Теперь рассмотрим понятие «расходы». ПБУ 10/99 дает следующее определение: «расходы – это уменьшение экономических выгод в течение отчетного периода, происходящее в форме оттока или истощения активов или увеличения обязательств, ведущее к уменьшению капитала, не связанных с его распределением между участниками акционерного капитала». Следовательно, расходы возникают в двух случаях [6: С.24]. Вариант первый. Совокупная величина ресурсов уменьшается за счет увеличения производственных ресурсов. Особенность данного варианта заключается в том, что в большинстве случаев для приобретения производственных ресурсов используются финансовые ресурсы. То есть сначала организацию покидают финансовые ресурсы, но взамен поступают производственные ресурсы. А когда организацию покидают производственные ресурсы, возникает расход. Вариант второй. Организацию покидают финансовые ресурсы, но производственные ресурсы при этом в организацию не поступают. С точки зрения целевой обоснованности, возникающие расходы можно разделить на: • целевые расходы, которые обусловлены процессами производства; • нейтральные расходы, так как они нейтральны по отношению к процессам производства. Рассмотрим соотношения между понятиями «затраты» и «расходы». Значительная часть расходов одновременно является затратами, то есть затраты и расходы соответствуют друг другу. Это как раз и есть целевые расходы. Накопленные затраты, которые несет организация, направлены на исчисление себестоимости продукции и становятся расходом в момент извлечения дохода от реализации. Однако часть расходов не является затратами. Это нейтральные расходы. Поскольку в определении затрат заложен признак их связи с производственными ресурсами, использование финансовых ресурсов затратами не является. Кроме того, часть затрат может вообще не приводить к расходам. Например, в случае альтернативных затрат. Теперь рассмотрим понятие «издержки». Издержки – весьма обширная экономическая категория, к определению которой существует множество различных подходов. Это связано прежде всего с тем, что нет законодательно закрепленного определения данного термина. По мнению некоторых специалистов, издержки представляют собой обобщающий показатель, включающий стоимость всех видов затрачиваемых материалов и выполняемых услуг, другие рассматривают категорию «издержки» как часть затрат, или как денежное выражение затрат, необходимых для осуществления предприятием только своей производственной деятельности. Определим, из чего же состоят издержки. Большинство экономистов подразделяют их на: • издержки производства; • издержки обращения. Современный экономический словарь дает следующее определение этим категориям: «Издержки производства – это затраты, непосредственно связанные с производством товаров или услуг. Издержки обращения – это издержки, связанные со сбытом и приобретением товаров, с их продвижением в сфере обращения». Налоговый кодекс, а также инструкция по применению плана счетов бухгалтерского учета приравнивают издержки обращения к расходам на продажу: «В организациях, осуществляющих торговую деятельность, на счете 44 «Расходы на продажу» могут быть отражены, в частности, следующие расходы (издержки обращения): на перевозку товаров; на оплату труда; на аренду; на содержание зданий, сооружений, помещений и инвентаря; по хранению и подработке товаров; на рекламу; на представительские расходы; другие аналогичные по назначению расходы»; «в сумму издержек обращения включаются также расходы налогоплательщика – покупателя товаров на доставку этих товаров, складские расходы и иные расходы текущего месяца, связанные с приобретением, если они не учтены в стоимости приобретения товаров, и реализацией этих товаров». Таким образом, большинство авторов считают тождественными понятия «издержки производства» и «затраты». Основное разногласие связано с термином «издержки обращения»: либо затраты включают в себя использование ресурсов на производство и реализацию и, следовательно, являются более широким понятием. Либо издержки являются более общим понятием, включающим издержки производства и обращения, в то время как затраты охватывают лишь производственную деятельность. В зарубежной литературе затраты чаще именуются издержками производства и обращения. Учитывая, что в настоящее время отсутствует четко ограничивающее определение «издержек», а также рассмотрев практическую область применения, считаю: экономическое содержание понятия «затраты» аналогично «издержкам», однако на практике в бухгалтерском учете чаще употребляются словосочетания с «затратами», в экономическом анализе – с «издержками». Аналогичные проблемы решены в ряде стран. Например, в Великобритании и США: термин «expenses» означает затраты, используемые при исчислении прибыли или калькулировании остатков запасов. Термин «expenditures» означает расход, не связанный с процессом калькулирования. Существует также термин «cost», который имеет более широкое применение и означает, согласно оксфордскому словарю по бухгалтерскому учету, «расходы на товары и услуги, необходимые для осуществления процесса функционирования организации». Анализ вышеперечисленных терминов показывает, что в финансовом бухгалтерском учете для определения затрат используется принцип начисления, то есть затраты относятся на себестоимость в момент их возникновения независимо от факта оплаты. В налоговом учете применим как принцип начисления (ст.271, гл. 25 НК РФ), так и кассовый (ст.273, гл. 25 НК РФ). В управленческом учете в основу подготовки информации для разных целей могут быть положены как принцип начисления, так и кассовый. Кроме того, для удобства принятия решений используются условные (альтернативные) затраты.
7.1. Понятие затрат на производствоЗатраты на производство являются частью расходов организации, связанных с выполнением последней обычных (уставных) видов деятельности по производству продукции, выполнению работ и оказанию услуг, являющихся целью создания организации, а также предметом ее деятельности. В соответствии с Положением по бухгалтерскому учету "Расходы организации" (ПБУ 10/99), утвержденным Приказом Минфина России от 6 мая 1999 г. N 33н (с изменениями и дополнениями), под расходами организации понимаются затраты по ее обычным видам (производству продукции, выполнению работ, оказанию услуг, продаже товаров) и предметам деятельности (предоставление за плату своих активов, а также прав на объекты интеллектуальной собственности, участие в уставных капиталах других организаций), а также прочие расходы, которые учитываются при определении результата финансово - хозяйственной деятельности организации за отчетный период. В состав прочих расходов включаются операционные и внереализационные расходы организации. Учет затрат по обычным видам деятельности ведется организацией на счетах 20 "Основное производство", 23 "Вспомогательные производства", 25 "Общепроизводственные расходы", 26 "Общехозяйственные расходы", 28 "Брак в производстве", 29 "Обслуживающие производства и хозяйства". Наряду с этим организация может вести учет затрат также по элементам с использованием счетов 30 - 39, которые выполняют функции отражающих счетов бухгалтерского учета. Состав и методика использования счетов 20 - 39 при последнем варианте учета устанавливается организацией исходя из особенностей деятельности, структуры, организации управления на основе соответствующих рекомендаций Министерства финансов Российской Федерации. В бухгалтерском учете расходы по обычным видам и предметам деятельности организации признаются (отражаются на счетах учета затрат) при соблюдении следующих условий: сумма расходов может быть определена; имеется уверенность в том, что в результате конкретной операции произойдет уменьшение экономических выгод организации, когда она передала актив либо отсутствует неопределенность в отношении его передачи. При этом в состав затрат включается также амортизация по активам, определяемая исходя из их стоимости, срока полезного использования и принятых способов ее начисления. Затраты по обычным видам и предметам деятельности формируются в учете в соответствии со следующими принципами: полноты - затраты на производство продукции (работ, услуг) включают стоимость всех ресурсов, которые были использованы организацией в отчетном периоде; допущения временной определенности фактов хозяйственной деятельности (принцип начисления) - затраты отражаются по мере их производства вне зависимости от оплаты; осмотрительности - активы и доходы не должны быть завышены, а обязательства и расходы - занижены; приоритета содержания перед формой - факты хозяйственной деятельности должны отражаться в бухгалтерском учете исходя не столько из их правовой формы, сколько из их экономического содержания и условий хозяйствования; отдельного учета затрат, связанных с производством продукции (работ, услуг), и вложений во внеоборотные активы, финансовых вложений. В зависимости от сферы деятельности организации затраты по ее обычным видам деятельности могут классифицироваться: в производственной сфере - как затраты на производство, которые могут отражаться в размере фактической или нормативной (плановой) полной производственной себестоимости продукции, работ и услуг либо в размере прямых затрат или стоимости материально - производственных запасов; в сфере обращения - в форме издержек обращения. Порядок учета затрат на производство и калькулирование себестоимости продукции (работ, услуг) или учета издержек обращения организация определяет самостоятельно исходя из отраслевой специфики и нормативных документов (при их наличии), применяемых в части, не противоречащей новым нормативным документам по бухгалтерскому учету. Это, в частности, касается организаций, занятых в промышленности, строительстве, науке, торговле и др. Оборотные средства – это совокупность денежных средств, авансируемых для создания оборотных производственных фондов и фондов обращения, обеспечивающих непрерывный кругооборот денежных фондов. Основные средства [править ] Материал из Википедии — свободной энциклопедии (Перенаправлено с Фонды основные )
Перейти к: навигация , поиск Основны́е сре́дства (ОС) (или Основные производственные фонды (ОПФ)) — отражённые в бухгалтерском или налоговом учёте основные фонды организации в денежном выражении. ОПФ - часть производственных фондов предприятия, имущество предприятия, которое вещественно воплощено в средства труда, сохраняет в течение длительного времени свою натуральную форму, а свою стоимость переносит по частям на вновь созданный продукт за ряд кругооборотов, следовательно - амортизацию. Основные фонды — это средства труда , которые многократно участвуют в производственном процессе, сохраняя при этом свою натуральную форму. Предназначаются для нужд основной деятельности организации и должны иметь срок использования более года. По мере износа, стоимость основных средств уменьшается и переносится на себестоимость продукции с помощью амортизации .
[править ] Классификация Для учёта основных фондов, определения их состава и структуры необходима их классификация. Существуют следующие группы основных производственных фондов (в том числе согласно российскому ПБУ 6/01 ):
В составе основных средств учитываются также: капитальные вложения на коренное улучшение земель (осушительные, оросительные и другие мелиоративные работы); капитальные вложения в арендованные объекты основных средств; земельные участки, объекты природопользования (вода, недра и другие природные ресурсы). Для признания объекта основным средством для организации необходимо выполнение следующих условий:
От основных фондов следует отличать оборотные фонды , включающие такие предметы труда, как сырьё, основные и вспомогательные материалы, топливо, тара и так далее. Оборотные фонды потребляются в одном производственном цикле, вещественно входят в продукт и полностью переносят на него свою стоимость. Каждое предприятие имеет в своем распоряжении основные и оборотные фонды. Совокупность основных производственных фондов и оборотных фондов предприятий образует их производственные фонды. Основные фонды подразделяются на производственные и непроизводственные фонды. Производственные фонды участвуют в процессе изготовления продукции или оказания услуг. К ним относятся: станки, машины, приборы и т. п. Непроизводственные основные фонды не участвуют в процессе создания продукции. К ним относятся: жилые здания, клубы, стадионы, больницы и т. п. Несмотря на то, что непроизводственные основные фонды не оказывают какого-либо непосредственного влияния на объем производства, рост производительности труда, постоянное увеличение этих фондов связано с улучшением благосостояния работников предприятия, повышением материального и культурного уровня их жизни, что, в конечном счете, сказывается на результате деятельности предприятия. [править ] Эффективность использования основных средств Проблема повышения эффективности использования основных средств и производственных мощностей предприятий занимает центральное место в период перехода России к рыночным отношениям. От решения этой проблемы зависит место предприятия в промышленном производстве, его финансовое состояние, конкурентоспособность на рынке. Эффективность использования основных средств измеряется в том числе величиной прибыли на рубль вложений в основные средства. Имея ясное представление о роли основных средств в производственном процессе, факторах, влияющих на использование основных средств, можно выявить методы, направления, при помощи которых повышается эффективность использования основных средств и производственных мощностей предприятия, обеспечивающая снижение издержек производства и рост производительности труда . Производительность труда [править ] Материал из Википедии — свободной энциклопедии Перейти к: навигация , поиск Производи́тельность труда́ — эффективность труда . Производительность труда может измеряться количеством времени, затрачиваемым на единицу продукции либо количеством продукции, выпущенной работником за какое-то время. Обычно под производительностью труда в экономической статистике разумеется фактическая производительность труда, однако в экономической кибернетике , в частности, в модели жизнеспособных систем Стаффорда Бира , вводятся понятия наличной и потенциальной производительности труда. Под ростом производительности труда подразумевается экономия затрат труда (рабочего времени) на изготовление единицы продукции или дополнительное количество произведенной продукции в единицу времени, что непосредственно влияет на повышение эффективности производства, так как в одном случае сокращаются текущие издержки на производство единицы продукции по статье «Заработная плата основных производственных рабочих», а в другом — в единицу времени производится больше продукции.
[править ] Фактическая производительность труда
Три показателя производительности труда в экономической кибернетике Фактическая производительность труда определяется из непосредственно наблюдаемых данных по формуле:
где Qfact — фактический выпуск продукции в единицах измерения данного вида продукции (выработка ), t — фактические затраты живого труда в единицах времени (трудоёмкость ). [править ] Наличная производительность труда Наличная производительность труда есть расчётная величина, которая показывает, сколько продукции можно выпустить в текущих условиях (например, на имеющемся оборудовании из доступных материалов) в случае, если все простои и задержки будут сведены к нулю. Наличная производительность труда определяется по формуле:
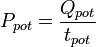
где Qcap — максимально достижимый в текущих условиях выпуск продукции в единицах измерения данного вида продукции (наличная выработка), tcap — минимально необходимые в текущих условиях затраты живого труда в единицах времени (наличная трудоёмкость). [править ] Потенциальная производительность труда Потенциальная производительность труда есть расчётная величина, которая показывает, сколько продукции можно выпустить в теоретически достижимых в данных природных условиях на данном уровне развития цивилизации (например, из наилучших из имеющихся на рынке материалов при использовании передовых технологий и установке самого современного из имеющегося на рынке оборудования) в случае, если все простои и задержки будут сведены к нулю. Потенциальная производительность труда определяется по формуле:
где Qpot — максимально достижимый в данных природных условиях на данном уровне развития цивилизации выпуск продукции в единицах измерения данного вида продукции (потенциальная выработка), tpot — минимально необходимые в данных природных условиях на данном уровне развития цивилизации затраты живого труда в единицах времени (потенциальная трудоёмкость). |
|||||||||||||||||||||||||||||||||||||||||||||||||||||||||||||||||||||||||||||||||||||||||||||||||||||||||||||||||||||||||||||||||||||||||||||||||||||||||||||||||||||||||||||||||||||||||||||||||||||||||||||||||||||||||||||||||||||||||||||||||||||||||||||||||||||||||||||||||||||||||||||||||||||||||||||||||||
