Курсовая работа: Автоматизация сушильно-промывной линии ЛПС-120
|
Название: Автоматизация сушильно-промывной линии ЛПС-120 Раздел: Промышленность, производство Тип: курсовая работа | |||||||||||||||||||||||||||||||||||||||||||||||||||||||||||||||||||||||||||||||||||||||||||||||||||||||||||||||||||||||||||||||||||||||||||||||||||||||||||||||||||||||||||||||||||||||||||||||||||||||||||||||||||||||||||||||||||||||||||||||||||||||||||||||||||||||||||||||||||||||||||||||||||||||||||||||||||||||||||||||||||||||||||||||||||||
ВведениеАвтоматизация технологических процессов является решающим фактором в повышении производительности труда, а также улучшения качественных и технико-экономических показателей. В данной работе разработана схема автоматизации сушильно-промывной линии ЛПС-120. Процесс промывки ткани и ее сушки после крашения требует высокого уровня точности управления и регулирования, разработанная ниже схема предусматривает выполнение этих требований и более рационального использования ресурсов, что приводит к экономической целесообразности внедрения автоматизации в процесс управления линией ЛПС-120. Автоматизация сушильно-промывной линии ЛПС-120 очень важна, учитывая то, что линия является неотъемлемой необходимой частью отделки тканей в текстильной промышленности, от этапа промывки и просушки зависит качество дальнейшей отделки ткани и изготовляемой продукции в целом. Используемые технические средства автоматизации морально и технически устарели и не могут обеспечить необходимый уровень управления процессом, поэтому основной целью создания автоматизированной системы управления является повышение технологических и технико-экономических показателей производства, при этом система должна обеспечивать необходимое качество выпускаемой продукции. 1. Организационно-техническая часть1.1. Описание технологического процессаЛинии ЛПС-120 предназначены для промывки и сушки напечатанных кубовыми, азоидными и азоидными в раппорте с активными красителями хлопчатобумажных и вискозных штапельных тканей и тканей из полиэфирно-целлюлозных волокон с вложением полиэфирного волокна не более 50%. На линии ЛПС-120 обрабатывают ткань поверхностной плотностью 80-250 г/м2 и шириной 70-125 см. В линию должна поступать ткань с печатным рисунком, расправленная по ширине после зреления, в воздушно-сухом состоянии. Один конец ткани, находящийся под стопой, при заполненной тележке во время работы линии должен быть легко доступен для сшивания с соответствующим концом ткани, находящимся в смежной тележке. Сшивание кусков ткани должно производиться только стыковым швом с уравниванием ширин стыкуемых кусков за счет образования, по возможности, равномерно распределенных гофров (складок) на концах стыкуемой, более широкой ткани. Кроме того, обрабатываемые ткани не должны иметь пороков (рвань, завалы, жгуты и др.). Расправленная ткань из тележки проходит через заправочное устройство и поступает в замачивающую ванну, затем в жало валов среднего отжима, выполняющего функции тянульного устройства и отжима в линии ЛПС-120, расправленная ткань из тележки проходит через заправочное устройство, поступает в жало валов отжима выполняющего функцию тянульного устройства и далее проходит в мойную ванну, где ткань обрабатывается водой при технологических параметрах. Перед жалом валов отжима установлены дуговой тканерасправитель с резиновой рубашкой, перфорированная спрысковая труба, совмещенная с ограждением жала валов отжима, через которую ткань при необходимости может смачиваться холодной или теплой водой, питающей линию. Далее ткань проходит по ролику рычажного пневмокомпенсатора, огибает направляющий ролик и поступает в мойную ванну ВРМ-120. Перемещаясь в ванне в направлении снизу вверх по двум рядам роликов, продольные оси которых расположены в двух вертикальных и взаимно параллельных плоскостях, перпендикулярных продольной оси линии, ткань первой по направлению ее хода ветвью проходит через моющую жидкость (воду), а затем по мере перемещения по роликам вверх промывается моющей жидкостью (водой), подаваемой навстречу ее движению на всю ширину ветви ткани через трубу. При этом осуществляется рециркуляция моющей жидкости (воды) в ванне с помощью; входящего в ее комплект центробежного насоса, забирающего моющую жидкость (воду) из нижней зоны ванны и подающего ее в трубу. Перед выходом из ванны ткань отжимается в жале валов двухвального отжима, встроенного в ванну, и, проходя по ролику рычажного пневмокомпенсатора, поступает в следующую ванну ВРМ-120. Перемещаясь таким образом по остальным ваннам ВРМ-120, ткань промывается. При выходе из последней ванны ткань поступает в жало валов трехвального отжима, обеспечивающего дополнительное частичное удаление из нее избыточной влаги. Отжатая ткань высушивается до кондиционной влажности контактным способом на сушильных барабанах в сушильной барабанной машине, откуда горячая ткань попадает в охладительную камеру и затем выбирается люлечным тканеукладчиком в тележку. На линиях ЛПС-120 осуществляется высококачественная обработка тканей, предусмотренная ее назначением, при умеренном потреблении воды и пара на единицу продукции. Интенсификация промывки достигается за счет увеличения времени пребывания ткани в ванне, создания водяного клина между тканью и поверхностью роликов, подачи воды сверху навстречу движущейся вверх ткани, чередования промывки с отжимом. Для обеспечения возможности обработки ткани с минимальным натяжением на каждом приводном ролике ванны установлена фрикционная муфта с ручной регулировкой. Для стабильного центрирования обрабатываемых тканей на входе в линию и перед трехвальным отжимом установлены пневмомеханические тканенаправители. На последних предусмотрены датчики слежения за шириной ткани, которые осуществляют автоматический останов линии при сожгучивании ткани, проходящей в зоне тканенаправителей. Для уменьшения расходов воды и моющих растворов при промывке тканей предусмотрена возможность организации противотока моющей жидкости (воды) в группах смежных ванн, работающих в одинаковых технологических режимах. При этом вода подается в последнюю по ходу ткани ванну в группе смежных ванн, а сливается из первой ванны этой группы. Для стабильного соблюдения заданных температурных режимов работы ванн и обеспечения при этом минимально возможного расхода пара предусмотрено автоматическое поддержание заданной температуры моющей жидкости (воды) в каждой ванне в отдельности. Для уменьшения расхода пара на сушку ткани в линии применен трехвальный отжим, обеспечивающий удаление избыточной влаги из ткани. Для сокращения влаговыделений в цех все ванны закрыты крышками и дверями. Для охлаждения горячей высушенной ткани до температуры не более 40°С в промывно-сушильной линии имеется охладительная камера. Для исправления диагонального перекоса ткани перед сушильной машиной установлены перекосные ролики. Каждая колонка сушильной барабанной машины укрыта щитовой теплоизоляцией, обеспечивающей температуру наружных стенок не более 45°. Машина в целом оснащена вытяжным вентилятором. Для питания линии паром, горячей и холодной водой предусмотрены трубопроводы в пределах линии.
1.2. Разработка структурной схемыВ разработанной схеме автоматизации процесса используется современный программируемый микроконтроллерный регулятор DL-05. Сигналы датчиков уровня, давления, влажности и расхода поступают на вход программируемого микроконтроллерного регулятора DL-05, где обрабатываются и регистрируются. Регулятор выдаёт сигналы на исполнительные устройства, которые управляют исполнительными механизмами – клапанами. Для изменения и индикации параметров системы данные из регулятора поступают на операторскую панель управления. Параметры системы представлены на технологической карте. (Приложение 1) 1.3. Разработка функциональной схемы автоматизацииРазработка функциональной схемы автоматизации производилась в соответствии с ОСТ 36-27-77 "Обозначения условные в схемах автоматизации технологических процессов". Данный стандарт устанавливает развернутый способ построения условных графических изображений для выполнения функциональных схем автоматизации. Серная кислота, горячая и холодная вода через систему трубопроводов закачиваются насосами в промывные ванны ВРМ-120 по управляющему сигналу регулятора или по команде оператора, при достижении верхнего граничного уровня жидкости в ваннах насосы выключаются, и заполнение ванн прекращается. Для измерения расхода поступающих жидкостей используются датчики расхода Rosemount 3095MV. Для измерения параметров жидкостей в ванне используются – датчик уровня Rosemount 3300 и термометр сопротивления Метран-281. Вторым объектом управления является сушильная машина СБМ2-2/120, в которую посредством трубопровода подается пар для сушки ткани. Измерение параметров подаваемого пара происходит при помощи многопараметрического датчика Rosemount 3095MV, измеряющего температуру, давление и расход пара. Измерение влажности ткани на выходе измеряется при помощи инфракрасного влагомассомера АКВАР-1207. Цифровые сигналы (на базе HART-протокола) или токовые 4-20 мА от датчиков поступают на регулятор DL-05, на котором они обрабатываются и выводятся на сенсорную панель HMI-601 для отображения хода процесса и корректировки параметров системы. 1.4. Разработка автоматизированного рабочего места при помощи Trace Mode 6Создание экрана для участка сушильного аппарата. На созданном экране будут отображаться технологические параметры участка сушки ткани в сушильном аппарате. В соответствии с ТЗ на проектирование назначим аргументы шаблону экрана участка измерения параметров процесса – щелчок ПК на созданном шаблоне экрана и выбор из выпадающего списка пункта Свойства, там – вкладка Аргументы. Здесь и далее с помощью иконки создаются необходимые аргументы, задаются их имена, тип, тип данных, значения по умолчанию, привязки, флаги и т.д. Те аргументы, значения которых будут отображаться на экране, имеют тип IN, а те, что задаются с клавиатуры АРМ, отображаются на экране и пересылаются в конечном итоге в PC-based контроллер, имеют тип OUT. Флаг NP для аргумента Date_Time означает то, что при автопостроении каналов по аргументам шаблона этот аргумент не будет участвовать в процессе автопостроения. С помощью графических объектов (ГО), сохраненных в ресурсных библиотеках и вызываемых с помощью иконки панели инструментов, а также графических элементов (ГЭ) объемных труб, эллипс, текста, линий создадим статическую часть экрана. Графические объекты размещаются с использованием метода drag-and-drop и допускают масштабирование. В правой части экрана с помощью иконки разместим ГЭ "Тренд" для вывода параметров Температура, Влажность, Давление и Расход. Основные свойства ГЭ оставим заданными по умолчанию. Добавим для отображения на тренде четыре кривые, связав их с соответствующими аргументами экрана, и зададим для них цвет и толщину линий, интервалы выводимых значений. Для отображения текущего значения влажности ткани, температуры в аппарате, расхода и давления пара используем ГЭ ползунок и стрелочный прибор. Делаем привязку приборов к аргументам процесса Температура, Влажность, Давление и Расход. Сверху элементов добавляется наименование измеряемого параметра и единиц измерения параметра с помощью Текст. В левом верхнем углу графического экрана разместим ГЭ Текст для отображения текущего времени. Свойства – цвет, шрифт, привязка и формат вывода изменить. Для перехода на другие стадии процесса обработки ткани выбираются элементы Кнопка, размещаются в правом верхнем углу, которые привязываются к экранам Промывочные ванны и Тканеукладочная машина. 2. Техническая часть2.1. Выбор технических средств автоматизации2.1.1. Выбор датчика расхода, температуры и давления жидкости/пара в трубопроводеРазрабатываемая система должна производить учет параметров поступающих в промывные ванны жидкостей и подаваемого в сушильную машину пара. Для измерения расхода серной кислоты, горячей и холодной воды выбирается многопараметрический датчик Rosemount 3095MV, поскольку этот датчик позволяет одновременное измерение температуры, давления и расхода, то он также выбирается и для измерения параметров пара в трубопроводе. Датчик Rosemount 3095MV функционально делится на сенсорный модуль и модуль электроники. Многопараметрический сенсорный модуль включает в себя высокоточный емкостный сенсор перепада давлений и пьезорезистивный сенсор абсолютного давления. Кроме того, имеется вход для подключения четырехпроводного термосопротивления ТСП Pt100, измеряющего температуру процесса. Микропроцессор, расположенный в сенсорном модуле, обеспечивает линеаризацию и коррекцию показаний сенсоров. Модуль электроники принимает от сенсорного модуля три скорректированные цифровые переменные процесса: перепад давлений, абсолютное давление, температуру и с помощью собственного микропроцессора вычисляет значение расхода, скомпенсированного по давлению и температуре, или массового расхода. На выходе модуля формируется сигнал 4-20 мА, который могут принимать традиционные аналоговые вторичные приборы. Кроме того, модуль электроники обеспечивает также коммуникацию по HART-протоколу с программой Engineering Assistant, установленной на персональном компьютере, HART - коммуникатором или другим устройством HART путем наложения цифрового сигнала на токовый 4-20 мА. Структурная схема датчика представлена на Рис.4.1.1.
Рис.2.1.1. Структурная схема многопараметрического датчика Rosemount 3095MV. Технические характеристики расходомера Rosemount 3095MV приведены в таблице 2.1.1. Таблица 2.1.1. Технические характеристики расходомера Rosemount 3095MV
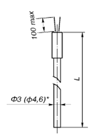
2.1.2. Выбор датчика температуры в ваннеДля измерения температуры в промывной ванне целесообразно использовать термоэлектрический преобразователь температуры ТПР Метран-281. Преобразователь температуры ТПР Метран-281 предназначен для измерения температуры в химических неагрессивных средах, а также агрессивных, не разрушающих материал оболочки. Таблица 2.1.2.1 Технические характеристики ТПР Метран-281
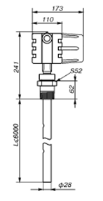
Рис.2.1.2.1. Размеры монтажной зоны для ТПР Метран-281. 2.1.3. Выбор датчика уровняДля измерения уровня в промывной ванне выбирается датчик уровня Rousemount 3300. Технические характеристики преобразователя Rousemount 3300 приведены в таблице 2.1.3.1. Таблица 2.1.3.1. Технические характеристики Rousemount 3300
Рис.2.1.3.1. Размеры монтажной зоны для Rousemount 3300. Уровнемер Rousemount 3300 – интеллектуальный прибор, построенный на основе волновой технологии и обеспечивает непрерывное измерение уровня жидкостей в сложных условиях эксплуатации. 2.1.4. Выбор измерителя влажностиДля измерения влажности ткани на выходе из сушильной машины применяется инфракрасный влагомассомер АКВАР–1207. Влагомассомер АКВАР–1207 состоит из микропроцессорного блока обработки сигналов, блока инфракрасного излучателя, блока приёмника и блока питания. Излучатель и приёмник устанавливаются на сканирующем устройстве ввода на полотно с противоположных сторон ткани. Контроль параметров ткани осуществляется путем измерения коэффициентов пропускания инфракрасного излучения на трех длинах волн. Микропроцессорный блок обеспечивает обработку цифровых сигналов от приёмника, вывод полученных значений на индикацию, ввод поправок в показания датчика. С целью интеграции влагомассомера с системами АСУТП он оснащён цифровым интерфейсом типа RS-232 или RS-485 (скорость обмена до 57,6 Кбод) и аналоговым интерфейсом типа токовый выход с цифровым сигналом на базе НАRТ протокола. Таблица 2.1.4.1. Технические характеристики АКВАР–1207.
2.1.5. Выбор регулятораВ качестве регуляторов был выбран DL05. Регуляторы DL05 представляют собой новый класс современных цифровых регуляторов непрерывного действия с аналоговым или импульсным выходом. Регуляторы применяются для управления технологическими процессами в промышленности. Регулятор DL05 позволяет обеспечить высокую точность поддержания значения измеряемого параметра. Регулятор DL05 предназначен: ● для измерения контролируемого входного физического параметра (температура, давление, расход, уровень и т.п.), обработки, преобразования; ● регулятор формирует выходной аналоговый или импульсный сигнал управления внешним исполнительным механизмом, обеспечивая аналоговое или импульсное регулирование входного параметра по П, ПИ, Таблица 2.1.5.1. Технические характеристики аналоговых входных сигналов
Таблица 2.1.5.2. Технические характеристики регулятора
2.1.6. Выбор исполнительного механизма
Рис.2.1.6.1. Электрический регулирующий клапан типа 3213/5824 Принцип действия: среда протекает через односедельный проходной клапан в направлении указанном стрелкой. Положение штока конуса определяет сечение потока между конусом и седлом клапана. 2.1.7. Выбор операторской панели управленияТерминалы операторских интерфейсов (HMI) обеспечивают значительно большую функциональность чем традиционные механические панели управления. HMI позволяет оператору на заводе наблюдать текущие условия системы управления и, если необходимо изменять параметры системы. HMI соединяются с контроллерами обычно через серийный коммуникационный порт. HMI может быть запрограммирована для просмотра и/или изменения текущих значений сохраненных в памяти контроллера. HMI может соединяться с различными устройствами без каких-либо дополнительных настроек аппаратной части панели. Была выбрана операторская панель управления типа HMI601, технические характеристики операторской панели приведены в таблице 4.7.1. Таблица 2.1.7.1. Технические характеристики HMI601
Рис.2.1.7.1. Схема подключения контроллера к панели.
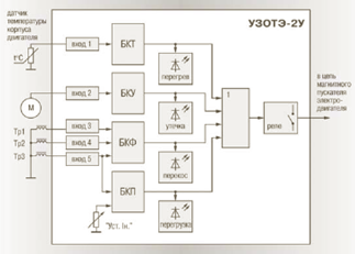
Рис.2.1.7.2. Схема подключения компьютера к панели. 2.2. Описание схемы принципиальной электрическойДля защиты трехфазных асинхронных двигателей линии было выбрано устройство защитного отключения трехфазного электродвигателя ОВЕН УЗОТЭ-2У. ОВЕН УЗОТЭ-2У предназначен для защиты трехфазных асинхронных электродвигателей, работающих в тяжелых производственных условиях: при перегрузках, вызванных пониженным напряжением в сети, при повышенной влажности и температуре, высокой запыленности. Функциональная схема ОВЕН УЗОТЭ-2У представлена на Рис.6.1.
Рис.2.2.1. Функциональная схема ОВЕН УЗОТЭ-2У. УЗОТЭ-2У включает в себя 4 блока контроля состояния электродвигателя: - блок контроля температуры корпуса двигателя (БКТ); - блок контроля тока утечки обмотки статора двигателя (БКУ); - блок контроля перекоса фаз (БКФ); - блок контроля тока, потребляемого двигателем (БКП). Превышение уровня сигнала в любом из каналов контроля приводит к срабатыванию выходного реле и аварийному отключению электродвигателя. 2.3. Описание щита системы автоматизацииЩит системы автоматизации предназначен для размещения на нем средств контроля и управления технологическим процессом, контрольно-измерительных приборов, сигнальных устройств, аппаратуры управления, автоматического управления, защиты, блокировки, линий связи между ними. Щит системы автоматизации соответствует ОСТ3613-76, ОСТ 36ЭД1-13-79 и руководящим материалам РМ3-82-83. Он предназначен для установки в закрытых помещениях с температурой окружающей среды от - 30 до +50 при относительной влажности не более 80% и отсутствии вибрации, агрессивных газов, паров токопроводящей пыли. Если на щите будут установлены приборы или аппаратура, рассчитанная на работу в меньшем диапазоне изменения температур или при меньшей влажности, то требования к температуре окружающей среды в месте установки щита должны определяться техническими условиями на эксплуатацию этих приборов или аппаратуры. На щите располагаются два программируемых микроконтроллерных регулятора DL-05 и операторская панель управления HMI601. Щит имеет размеры 525*455 мм и имеет глубину 87,5мм. 2.4. Идентификация объекта управленияОбъектом управления является промывная ванна ВРМ-120. Регулирование процесса подачи воды в нее осуществляется с помощью промышленного клапана. Переходная характеристика объекта управления представлена на Рис.2.2.2.
Рис.2.2.2. Переходная характеристика объекта управления. Запаздывание равно = 5 с Время регулирования t = 45 с Аппроксимацию переходной характеристики проводится методом Симаю. Выполняется расчет основных коэффициентов передаточной функции: Woy = k /(a0p2 + a1p + 1) a0 = F1 a1 = F2 F1 = t{ [(1 – hi)] – 0.5 [1 – h0] } t = t /n = 5 с
F2 = t F1{ [(1 – hi) (1 – i)] – 0.5 [1 – h0] } i = it /F1 Таблица. Значения коэффициентов передаточной функции ОУ.
Woy = (22,58p +1) /(220.09 p2 + 31.26 p + 1) Точность аппроксимации определяют по графику переходной характеристики, полученной при обратном преобразовании Лапласа функции ОУ:
3. Расчет регулятора давления3.1. Снятие и аппроксимация кривой разгонаСнятие кривой разгона предусматривает нанесение на объект ступенчатого возмущения путем энергичного изменения степени открытия проходного сечения регулирующего органа; при этом отмечают величину и момент нанесения возмущения. Изменение выходной величины регистрируют до тех пор, пака объект не примет нового установившегося значения (объект устойчивый) или пока скорость изменения выходной величины не станет постоянной (объект нейтральный). Кривые разгона определяют на действующем (находящемся в промышленной эксплуатации) объекте, изменяя его входную величину на несколько процентов. Использование такого сравнительно небольшого возмущения обусловлено тем, что реакция объекта не должна выходить за пределы ограничений, установленных технологическими соображениями. Кривая разгона была снята при изменении управляющего воздействия, расхода греющего пара, от номинального Таблица 2.1. Значения кривой разгона.
Передаточная функция объекта управления по экспериментально снятой кривой разгона определяется следующим образом. По приведенным в табл.2.1.1. данным, строится кривая разгона (рис.2.1.1). Из рисунка следует, что за конечное значение давления
Поскольку порядок объекта выше первого, определяется постоянная времени входящих в него апериодических звеньев. Для объекта 2-го порядка вычисляется значение Т
Значение времени запаздывания
Определяется значение условного времени запаздывания
Окончательное значение времени запаздывания τ
Коэффициент усиления объекта k находится исходя из соотношения
Искомая передаточная функция объекта управления определяется по
Чтобы показать соответствие найденной передаточной функции объекта его переходной характеристике h(t), а затем и кривой разгона
После подстановки числовых значений выражение (2.1.8) принимает вид
Кривую разгона объекта управления находят из зависимости
Откуда
По расчетному выражению зависимости (2.1.11), значения которой приведены в табл.2.1.2, строится график аппроксимированного переходного процесса. Он изображен пунктиром на рис.2.1.1. Таблица 2.1.2. Значения аппроксимированной кривой разгона.
Точность аппроксимации объекта передаточной функцией (2.1.7) оценивается по формуле [3].
где
Точность аппроксимации удовлетворяет требованиям инженерных расчетов. 3.2. Выбор типа регулятора давления и определение его параметровПо номограмме рис.5 [3] выбираем ПИ-регулятор. Оптимальные параметры настройки ПИ-регулятора рассчитываются по частотным характеристикам [3].
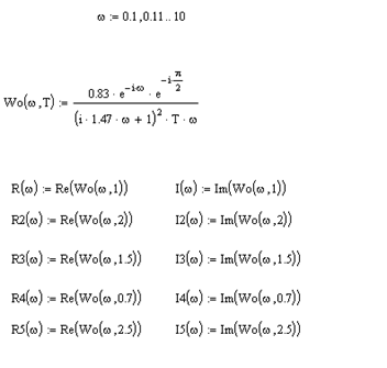
Строится АФЧХ объекта управления (рис.2.2.1) Рис. 3.2.1. АФЧХ объекта управления. По АФЧХ объекта управления строится АФЧХ разомкнутой системы для
При этом каждый вектор АФЧХ объекта управления следует повернуть на 90º по часовой стрелке и уменьшить в
Показатель колебательности М выбирается равным 1.6. Предельное значение коэффициента передачи регулятора для каждого значения времени изодрома определяется по формуле [3]
Значения предельных коэффициентов передачи регулятора при различных значениях времени изодрома приведены в таблице 3.2.1. Таблица 2.2.1. Предельные значения коэффициента передачи регулятора.
По результатам расчета в плоскости параметров настройки регулятора Расчет и построение АФЧХ разомкнутой системы с использованием программы Mathcad 2000.
Рис. 3.2.2. АФЧХ разомкнутой системы. 3.3. Анализ качества замкнутой системыПередаточная функция ПИ-регулятора имеет вид
Передаточная функция замкнутой системы по управлению рассчитывается по выражению
где После подстановки числовых значений и некоторых преобразований
При аппроксимации
Переходная функция h(t), соответствующая реакции замкнутой системы с передаточной функцией
Обратное преобразование Лапласа проведено с использованием программы Mathcad 2000.
Рис.3.3.1. Реакция замкнутой системы на единичное ступенчатое воздействие. По графику переходного процесса (рис.2.3.1) можно определить время регулирования - 21 с. Перегулирование σ = 0. Переходный процесс монотонный. Раздел 3. расчет регулятора уровня3.1. Снятие и аппроксимация кривой разгонаКривая разгона была снята при изменении управляющего воздействия, расхода химочищенной воды, от номинального Таблица 3.1.1. Значения кривой разгона.
Передаточная функция по экспериментально снятой кривой разгона определяется также, как и в разделе 3.1. По приведенным в табл.3.1.1. данным, строится кривая разгона (рис.3.1.1). Из рисунка следует, что за конечное значение уровня L можно принять давление 130 см, а полученное экспериментально время запаздывания равно Сравнивая это значение с данными табл. II.3 [1], объекту присваивается 2-й порядок.
Поскольку порядок объекта выше первого, определяется постоянная времени входящих в него апериодических звеньев. Для объекта 2-го порядка вычисляется значение Т
Значение времени запаздывания
Определяется значение условного времени запаздывания
Окончательное значение времени запаздывания τ
Коэффициент усиления объекта k находится исходя из соотношения
L – установившийся уровень после проведения эксперимента, мм;
Искомая передаточная функция объекта управления определяется по (2.1.6)
Чтобы показать соответствие найденной передаточной функции объекта его переходной характеристике h(t), а затем и кривой разгона После подстановки числовых значений выражение (2.1.8) принимает вид
Кривую разгона объекта управления находят из зависимости
Откуда
По расчетному выражению зависимости (3.1.9), значения которой приведены в табл.3.1.2, строится график аппроксимированного переходного процесса. Он изображен пунктиром на рис.3.1.1. Таблица 3.1.2. Значения аппроксимированной кривой разгона.
Точность аппроксимации объекта передаточной функцией (2.1.7) оценивается по формуле (2.1.12) [3].
Точность аппроксимации удовлетворяет требованиям инженерных расчетов. 3.2. Выбор типа регулятора уровня и определение его параметровПо номограмме рис.5 [3] выбираем ПИ-регулятор. Параметры настройки регулятора уровня определяются также, как у регулятора давления. Строится АФЧХ объекта управления (рис.3.2.1), а затем АФЧХ Рис.3.2.1. АФЧХ объекта управления.
разомкнутой системы при нескольких значениях времени изодрома (рис.3.2.2). Рис.3.2.2. АФЧХ разомкнутой системы.
Значения предельных коэффициентов передачи регулятора при различных значениях времени изодрома приведены в таблице 3.2.1. Таблица 3.2.1. Предельные значения коэффициента передачи регулятора.
Оптимальные параметры настройки регулятора уровня: 3.3. Анализ качества замкнутой системыАнализ качества замкнутой системы с регулятором уровня проводится аналогично 2.3. Строится график переходного процесса с помощью обратного преобразования Лапласа (рис.3.3.1). Передаточная функция замкнутой системы имеет вид
Переходная характеристика
Рис.3.3.1. График переходного процесса. ЗаключениеВ данном курсовом проекте была произведена автоматизация сушильно-промывной линии типа ЛПС-120 в соответствии с современными стандартами. Был произведен выбор элементной базы для автоматизации производства. При использовании выбранной элементной базы достигается линейность характеристик системы, высокая степень агрегативности, легкость управления, высокая чувствительность, малая себестоимость, высокая надежность, эргономичность. В ходе выполнения курсового проекта разработаны схема функциональная, выполнен эскиз щита системы автоматизации. Были выбраны оптимальные настройки регулятора. Список литературы1. Бельцов В.М. – Оборудование для отделки хлопчатобумажных тканей. – М.: Легкая и пищевая пром-сть, 1982. – 352 с. 2. Малышков М.М. и др. – Автоматизация красильно-отделочного производства – М.: Легкая индустрия, 1976. – 280 с. 3. Беленький Л.И. и др. – Автоматическое управление технологическими процессами отделочного производства – М.: Легпромбытиздат, 1990. - 208 с.: ил. 4. Климов В.А., Архипов А.В., Бардачев Ю.Н. и др. – АСУТП в текстильной и легкой промышленности – М.: Легпромбытиздат, 1986. –256 с. 5. Майзель М.М., Пятов Л.И. Автоматизация производственных процессов легкой промышленности. Учебное пособие для вузов. М., "Машиностроение", 1973. – 320 с. 6. http: // www. atmel. com/literature 7. http: // www. samson. de 8. http: // www. metran. ru |
|||||||||||||||||||||||||||||||||||||||||||||||||||||||||||||||||||||||||||||||||||||||||||||||||||||||||||||||||||||||||||||||||||||||||||||||||||||||||||||||||||||||||||||||||||||||||||||||||||||||||||||||||||||||||||||||||||||||||||||||||||||||||||||||||||||||||||||||||||||||||||||||||||||||||||||||||||||||||||||||||||||||||||||||||||||


























