Курсовая работа: Державне регулювання грошового обороту України
|
Название: Державне регулювання грошового обороту України Раздел: Рефераты по финансам Тип: курсовая работа | |||||||||||||||||||||||||||||||||||||||||||||||||||||||||||||||||||||||||||||||||||||||||||||||||||||||||||||||||||||||||||||||||||||||||||||||||||||||||||||||||||||||||||||||||||||||||||||||||||||||||||||||||||||||||||||||||||||||||||||||||||||||||||||||||||||||||||||||||||||||||||||||||||||||||||||||||||||||||||||||||||||||||||||||||||||||||||||||||||||||||||||||||||||||||||||||||||||||||||||||||||||||||||||||||||||||||||||||||||||||||||||||||||||||||||||||||||||||||||||||||||||||||||||||||||||||||||||||||||||||||||||||||||||||||||||||||||||||||||||||||||||||||||||||||||||||||||||||||||||||||||||||||||||||||||||||||||||||||||||||||||||||||||||||||||||||||||||||||||||||||||||||||||||||||||||||||||||||||||||||||||||||||||||||||||||||||||||||||||||||||||||||||||||||||||||||||||||||||||||||||||||||||||||||||||||||||||||||||||||||||||||||||||||||||||||||||||||||||||||||||||||||||||||||||||||||||||||||||||||||||||||||||||||||||||||||||||||||||||||||||||||||||||||||||||||||||||||||||||||||
| ВСТУП Ринкові засади економічного розвитку вимагають високої відповідальності з боку держави щодо впровадження ефективної системи державного управління. Особливої ваги набуває потреба вдосконалення сучасної практики управління грошово-кредитною політикою, яка виступає одним із інструментів макростабілізації та економічного розвитку. В умовах світової фінансової кризи особливо гостро виявились проблеми в грошовій системі України, пов’язані з нестабільністю монетарної сфери. Значний вплив мала дестабілізація грошової системи на поглиблення кризових явищ в реальній економіці, що супроводжується скороченням кредитних ресурсів комерційних банків та їх значним подорожчанням. Різке падіння курсу української гривні, неповернення депозитів та загроза банкрутства багатьох комерційних банків примусили підвищити обсяги державного регулювання грошових систем, що обумовлює актуальність проблеми. Пошук нових методів та інструментів державного регулювання грошового обороту, спроможних його стабілізувати, набуває першочергового значення в структурі державної економічної політики. Дослідженням монетарної політики та розробкою теоретичних засад сучасних систем грошово-кредитного регулювання займалися такі відомі зарубіжні вчені, як Дж. Кейнс, Т. Крамп, Р. Манделл, Дж. Тобін, С. Фішер, М. Фрідмен, Ф. Мишкін, М. Кінг, О. Росте, Є. Хансен тощо. В Україні цьому питанню були присвячені роботи А. Гальчинського, В. Міщенка, Н. Гребеник, О. Кузнєцової, В. Лисицького, В. Ющенка, В. Стельмаха, С. Буковинського, О. Шарова, А. Гриценка, Т. Кричевської тощо. Проблемами державного управління економікою приділяли увагу такі українські та російські вчені-економісти, як: Л. Абалкін, В. Атаманчук, В. Базилевич, С. Герасимова, О. Кириченко, Т. Ковальчук, А. Ковальчук, Н. Корецький та ін. Вагомим дослідницьким внеском у формування теоретико-методологічних засад та розробці механізмів грошово-кредитної політики є наукові здобутки І. Лютого, О. Дзюблюка, В. Міщенка, А. Мороза, А. Гальчинського, В. Козюка, М. Пуховкіної, М. Савлука, О. Лаврушина, С. Моісеєва. Водночас доцільно зазначити, що реалії сьогодення понукають до пошуку шляхів підвищення ефективності використання інструментів грошово-кредитної політики. У зв’язку з цим значної ваги набуває потреба у побудові системи державного управління грошово-кредитною політикою, яка дозволить забезпечити розвиток національного господарства. Метою даної курсової роботи є дослідження теоретичних та методологічних основ державного регулювання грошового обороту України, аналіз стану сучасного грошового обороту та наведення основних напрямків вдосконалення державного регулювання грошового обороту. Для досягнення даної мети передбачено вирішення наступних завдань: - вивчення наявного теоретичного матеріалу з даної теми; - проведення аналізу сучасного стану грошового обороту України; - дослідження особливостей державного регулювання грошового обороту України; - виказання основних напрямків удосконалення державного регулювання грошового обороту України. Предметом дослідження являється сукупність теоретичних питань, фінансових механізмів та практичних інструментів, повіз забезпеченням державного регулювання грошового обороту України. Об’єктом дослідження є державна діяльність з точки зору регулювання грошового обороту. РОЗДІЛ 1. АНАЛІЗ СТАНУ ГРОШОВОГО ОБОРОТУ УКРАЇНИ ТА ЙОГО РЕГУЛЮВАННЯ Для проведення аналізу стану грошового обороту України особливу увагу слід приділити основним компонентам грошей. У звітних документах Національного банку наводяться абсолютні та відносні зміни агрегатів М0 (гроші поза банками, тобто готівка), М1 (М0 + кошти на розрахункових і поточних рахунках у національній валюті), М2 (М1 + строкові кошти в національній валюті та валютні кошти) і М3 (М2 + кошти клієнтів у довірчому управлінні) [26, с. 56]. З введенням національної валюти в Україні спостерігається процес інтенсивного наповнення економіки грошовою масою за всіма її компонентами, однак кризовий 2009 р. відмічений значним спадом грошової маси країни (табл. 2.1 за даними [40]) Таблиця 2.1 Грошові агрегати (на кінець періоду) (млн. грн.)
Як видно з даних табл. 2.1, зростання грошової маси М3 до 2009 р. у 42,3 рази супроводжується збільшенням грошових агрегатів М0 – в 27,5, М1 – в 28,8 та М2 – в 43,4 рази. Однак вже в 2009 р. відбулося значне зниження грошового агрегату М2 – на 27,7 млн. грн. та грошового агрегату М3 – на 28,4 млн. грн. Для точнішого аналізу динаміки грошової маси протягом останніх 5-ти років використаємо значення ланцюгових темпів приросту показників (табл. 2.2). Таблиця 2.2. Ланцюгові темпи приросту грошових агрегатів протягом 2005 – 2009 рр. (%)
Таким чином, з даних табл. 2.2 можемо спостерігати, що зростання грошової маси в Україні відбувалося доволі нерівномірними темпами. Зокрема, найбільший приріст грошової маси спостерігався у 2005 та 2007 рр., низький – у 2006 р., а найнижчий – у 2009 р. Зокрема, протягом 2009 р. спостерігався від’ємний приріст грошових агрегатів М2 – - 5,42 % та М3 – - 5,51 %. Наочне відображення коливань ланцюгових темпів приросту грошових агрегатів показано на рис. 2.1. Як видно з рис. 2.1. відбувається помітне відхилення темпів приросту агрегату М0 від траєкторії агрегату М3 у 2008 р. – майже на 10 %, що свідчить про відчутне зростання грошей, які знаходяться поза банками. Практично синхронна зміна темпів приросту спостерігається у грошових агрегатів М1, М2 та М3. При цьому темпи приросту грошових агрегатів М2 та М3 практично ідентичні. Загальні зміни грошової маси у середньому складають 38,4 %, а в 2008 р. її приріст становив приблизно 30%. Однак в 2009 р. відбувається значне падіння темпів приросту усіх грошових агрегатів, тобто грошової маси України взагалі. Проте при цьому можемо спостерігати відхилення траєкторії агрегату М1 в позитивну сторону від траєкторії зміни грошової маси.
Рис. 2.1. Динаміка ланцюгових темпів приросту грошових агрегатів протягом 2005 – 2009 рр. Проаналізуємо річні темпи приросту складових грошових агрегатів (табл. 2.3). Як бачимо, найменші середньорічні темпи приросту протягом досліджуваного періоду демонструють готівка (31,1 %) та кошти на розрахункових і поточних рахунках у національній валюті (27,1%). Таблиця 2.3 Річні темпи приросту складових грошових агрегатів (%)
При цьому, 2008 р. характеризується високими темпами приросту готівки, та від’ємним приростом коштів на розрахункових і поточних рахунках у банках. Тобто відбувся значний відтік коштів із банківського сектору економіки. Однак, вже в 2009 р. можемо спостерігати протилежну тенденцію – темп приросту готівкових грошей знизився в 28 раз, а приріст коштів на розрахункових і поточних рахунках в банках становив більше 9%. Найбільший же середньорічний темп приросту характерний для коштів клієнтів, які знаходяться у довірчому управлінні – 82,1 %. Хоча при цьому амплітуда коливань річних темпів приросту є доволі великою (рис. 2.2). Упродовж усього досліджуваного періоду спостерігається широкий розмах варіації ланцюгових показників, що вказує швидше на спонтанні, некеровані, ніж на цілеспрямовані, усвідомлені зміни у грошовому вираженні компонента «кошти клієнтів у довірчому управлінні». Характер цих змін може сприйматися як цілком логічний наслідок недосконалості ринку цінних паперів. Таким чином, незважаючи на те, що характер зміни інтенсивності темпів річного приросту готівки визначаються Національним банком, закономірних зв’язків між річними змінами компонентів грошових агрегатів не спостерігається.
Рис. 2.2. Динаміка зміни сум коштів клієнтів у довірчому управлінні Узагальнення отриманих статистичних показників показує, що динамічні зміни річних темпів приросту компонентів грошових агрегатів (за винятком цінних паперів) не містять характерних ознак, які б указували на відмінність поведінки Національного банку від поведінки суб’єктів господарювання. Кризові явища в економіці України, що посилилися з вересня 2008 р., дають підстави для висновку про високий ступінь невпевненості щодо впливу монетарної політики на економічний розвиток держави в цілому. Тобто, можемо зробити припущення, що у зрушеннях грошових агрегатів значну роль відіграють такі інституційні впливи, що не мають ознак системності. Для узагальненого уявлення про комплексні зміни в монетарній політиці України проведемо аналіз динамічних зрушень у структурі компонентів грошових агрегатів. Зміни у структурі грошового агрегату М3 упродовж досліджуваного періоду (табл. 2.4) відбивають сутність відмінностей у річних темпах приросту кожного з його системоутворюючих компонентів. Таблиця 2.4 Структура грошової маси України протягом 2005 – 2009 рр. (%)
Як видно з даних табл. 2.4, протягом досліджуваного періоду найбільш вагомим компонентом у структурі грошової маси України є строкові кошти в національній валюті та валютні кошти, що свідчить про наявний потенціал інвестиційної активності. На другому місці за вагомістю знаходяться готівкові кошти, тобто таким чином підтверджуються зроблені нами висновки про відсутність ефективної монетарної політики Національного банку України. Що ж до питомої ваги показника «кошти клієнтів у довірчому управлінні», то вона становить фактично протягом всього періоду менше 1 %. При цьому фактичне зниження питомої ваги даного показника в структурі грошової маси протягом 2008 – 2009 рр. становить 57,7 %. Даний факт свідчить про дійсні наслідки монетарної політики держави у такому важливому питанні економічного розвитку, як стимулювання залучення коштів до довірчого управління. Конфігурація монетарних важелів повинна переорієнтовувати грошово-кредитну політику на спрямування заощаджень у реальний сектор економіки та на розвиток ринку цінних паперів. При цьому орієнтирами моніторингу відповідних заходів є відносне вирівнювання пропорцій компонентів грошових агрегатів за рахунок зростання структурних часток коштів на розрахункових і поточних рахунках у національній валюті та коштів клієнтів у довірчому управлінні. Однак реалії економіки України визначаються не використанням цього потужного компоненту, а намаганням отримати зовнішні запозичення. Усереднені структурні складові грошового агрегату М3 демонструють різну динаміку змін за періодами (табл. 2.5). Таблиця 2.5 Усереднена структура грошового агрегату М3 за періодами, (%)
Частка коштів на розрахункових і поточних рахунках знижується, частка готівки залишається майже незмінною, частка строкових коштів у національній валюті та валютних коштів зростає, а частка коштів клієнтів у довірчому управлінні змінюється доволі нерівномірно – протягом 2006 – 2007 рр. вона зросла майже в 2,5 рази, а протягом 2008 – 2009 рр. – знизилася на 38,7 %. Структурна динаміка демонструє вкрай нерівномірні та навіть протилежні за знаком (від періоду до періоду) відносні й абсолютні відхилення (табл. 2.6). Таблиця 2.6 Зміна структурних складових М3 за періодами (%)
Детальний аналіз грошової пропозиції в Україні, дослідження змін її структурних складових довели, що гроші в 2004 – 2005 рр. принципово відрізняються від грошей у 2008 – 2009 рр. Через різні ролі та призначення агрегати надають різні імпульси та забезпечують різну ефективність грошово-кредитної політики. Емітовані готівкові кошти не перемістилися в реальний сектор економіки, а поступово перетворилися на строкові кошти в національній валюті та валютні кошти. Продемонстроване зменшення частки коштів клієнтів у довірчому управлінні вказує на скорочення економічної активності в реальному секторі економіки. У загальному випадку це виглядає як процес перетікання більшості грошової маси у заощадження, механізми прямування яких у реальний сектор економіки наразі відсутні, зокрема ринок цінних паперів так і не розгорнуто. Таким чином, можна стверджувати, що монетарний важіль управління економікою в Україні не задіяний. Для розуміння специфіки грошово-кредитного регулювання в Україні проведемо аналіз платіжного балансу країни за 2008 – 2009 рр. (додаток А). У 2009 р. зниження зовнішнього попиту та світових цін внаслідок глобальної кризи обумовили суттєве зменшення надходжень від експорту товарів і послуг – на 36,7%. Але відсутність зовнішнього фінансування, скорочення внутрішнього попиту та девальвація обмінного курсу гривні наприкінці 2008 р. визначили ще більше падіння імпорту – на 43,1 %. Як наслідок, в цілому за 2009 р. дефіцит поточного рахунку суттєво скоротився – до 1.9 млрд. дол. США (близько 1.7 % від ВВП) порівняно з 12.8 млрд. дол. США в 2008 р. (7.0 % від ВВП) (рис. 2.3). У той же час сальдо фінансового рахунку платіжного балансу сформувалось від’ємним (11.8 млрд. дол. США), що було обумовлено насамперед чистим погашенням накопиченої у попередні роки зовнішньої заборгованості приватним і державним секторами економіки (9,0 млрд. дол. США). У грудні ситуація з платіжним балансом стала нагадувати події попередніх років, коли зростаючий дефіцит поточного рахунку фінансувався приторком капіталу, насамперед позикового. Так, уперше в 2009 р. фінансовий рахунок було сформовано з профіцитом (363 млн. дол. США) через додатне сальдо за статтею «Кредити та облігації» (676 млн. дол. США).
Рис. 2.3. Поточний і фінансовий рахунки платіжного балансу Певне відновлення внутрішнього попиту та стабілізація на валютному ринку сприяли розширенню від’ємного сальдо поточного рахунку до 585 млн. дол. США. Але зведений платіжний баланс залишився все ще з дефіцитом – 222 млн. дол. США, хоча його значення в грудні було найменшим за рік. Також уперше в 2009 р. кумулятивний (за останні 12 місяців) дефіцит поточного рахунку продемонстрував розворот висхідного тренду (у грудні підвищився до 1,9 млрд. дол. США порівняно з 1,6 млрд. дол. США в листопаді). Тобто вперше в 2009 р. дефіцит поточного рахунку за місяць виявився вищим, ніж рік тому. Головний внесок в таке розширення дефіциту поточного рахунку мало формування максимального за рік від’ємного сальдо торгівлі товарами – 830 млн. дол. США (порівняно з 582 млн. дол. США в листопаді) (рис. 2.4 – 2.5).
Рис. 2.4. Динаміка балансу товарів та рахунку поточних операцій протягом 2009 р. Окрім стандартної сезонності основними чинниками такого розширення дефіциту товарного балансу наприкінці року стало відновлення внутрішнього попиту та стабілізації на валютному ринку. Також суттєвий вплив на розширення дефіциту поточного рахунку мало й традиційне для кінця року скорочення додатного сальдо торгівлі послугами.
Рис. 2.5. Рахунок поточних операцій та баланс товарів кумулятивно за 4 квартали 2009 р. Додатне сальдо торгівлі послугами протягом 2008 – 2009 рр. продовжувало скорочуватися і у IV кварталі 2009 р. становило 605 млн. дол. США переважно за рахунок збільшення імпорту послуг на 34,2 %. Зниження світового попиту, падіння цін на товарних ринках, загострення конкуренції та підвищення протекціонізму обумовили суттєве зменшення обсягів експорту товарів у 2009 році – на 40,3% порівняно з 2008 роком до 40,4 млрд. дол. США. Більш значне падіння внутрішнього попиту та відносне подорожчання імпортованих товарів обумовили ще вищі темпи падіння обсягів імпорту в 2009 році – 45,4% до 45,7 млрд. дол. США. Найбільш значних скорочень зазнав імпорт машинобудівної продукції (в 2,9 рази). Вперше з жовтня 2008 р. в Україні поновився притік боргового капіталу в значних обсягах – додатне сальдо за статтею «Кредити та облігації» у грудні становило 676 млн. дол. США, тоді як за перші 11 місяців відтік склав 9.4 млрд. дол. США. Такий чистий притік був обумовлений, з одного боку, покращенням ситуації з ліквідністю в світовій фінансовій системі, а з іншого, певним відновленням довіри до вітчизняних позичальників внаслідок стабілізації на українському фінансовому ринку, зокрема на його валютному сегменті, та зростання цін на світових сировинних ринках, що позитивно впливало на висновки іноземних кредиторів щодо перспектив української економіки, а також дуже низькими обсягами погашень зовнішніх зобов’язань. Аналізуючи стан регулювання грошово-кредитної політики України на сучасному етапі варто відмітити безконтрольне нарощування зовнішнього боргу (рис. 2.6). Як видно з рис. 2.6., протягом аналізованого періоду найнижчими темпами зростав зовнішній державний борг України (121 %), найвищими – зовнішні борги банків (у 14,1 рази). Це призвело до принципової зміни структури зовнішнього боргу України.
Рис. 2.6. Динаміка зовнішнього боргу України за 2005 – 2009 рр., % до 01. 01. 2005 р [32, с. 54]. Якщо станом на початок 2005 р. на сферу відповідальності уряду припадало більше третини зовнішнього боргу – 36,6%, то на дату календарного відліку світової фінансової кризи (початок жовтня 2008 р.) ця частка скоротилася майже втричі – до 11,76 % (табл. 2.7). Натомість зовнішня заборгованість банків із 8,7% зросла до 32,16 %. Разом із заборгованістю корпоративного бізнесу вона сягнула 72 % загального зовнішнього боргу України та перевищила 75 млрд. дол., що у 2 рази більше від офіційних валютних резервів України, які перебувають в оперативному управлінні НБУ. Таблиця 2.7 Структура зовнішнього боргу України протягом 2006 – 2009 рр.
Крім прорахунків у сфері валютного контролю та валютного регулювання Національний банк України своїми діями під час 2008 – 2009 рр. спричинив і інші інфляційні загрози: - імпортована інфляція, пов’язана із завезенням до країни вкрай необхідних товарів, які не можна у короткий термін замінити вітчизняними (наприклад, ліки); - кредитна емісія, що загрожує не прогнозованим зростанням грошової маси [21, с. 25]. Рятуючи банки від дефолту, Національний банк України різко наростив обсяги їх рефінансування (рис. 2.7).
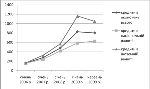
Рис. 2.7. Помісячний приріст оборотів рефінансування за 2008 – 2009 рр., млрд. грн. [41]. Як видно з рис. 2.7, обсяг кредитів, які НБУ надав банкам, за 2008 р. сягнув 170 млрд. грн. (3/4 від суми доходів державного бюджету), що в чотири рази більше, ніж за чотири попередні роки разом узяті. За перші три місяці фінансової кризи – жовтень – грудень 2008 р. – сума рефінансування склала 105,4 млрд. грн. В першому півріччі 2009 р. Національний банк збільшив оборот рефінансування ще на 55,8 млрд. грн. За своєю суттю рефінансування – це первинна емісія, яка погрожує, за ефектом мультиплікатора, багатократним зростанням маси грошей, що завдяки НБУ з’явилась на балансах банків. Отже, своїми діями НБУ сформував потужний інфляційний потенціал. Крім того, обсяги грошової емісії Національного банку України (основного чинника інфляції) на сьогодні жодним чином не регламентовані й не регульовані. Також доволі серйозним прорахунком грошової політики Національного банку є безконтрольна доларизація економіки держави (рис. 2.8).
Рис. 2.8. Динаміка кредитних вкладень банків України за 2005 – 2009 рр. в розрізі валют, % до 01.01.2005 р [38, с. 440] Як бачимо з рис. 2.8, протягом досліджуваного періоду в Україні чітко простежується тенденція випереджаючого зростання обсягів кредитування в іноземній валюті (в основному в доларах США). Активізація процесу доларизації хронологічно збігається з нарощуванням присутності іноземних банків на вітчизняному ринку. Причому якщо станом на початок 2005 р. на іноземну валюту припадало 42 % загального обсягу виданих в Україні кредитів, то вже на початку 2007 р. обсяги кредитів у іноземній валюті зрівнялися з гривневими, а станом на 1 жовтня 2008 р. кредити в іноземній валюті перевищили гривневі – 51,4 %. Переоцінка цієї заборгованості внаслідок обвалу курсу гривні призвела до того, що на початку 2009 р. частка інвалютних кредитів становила 57,7 % від загальної суми заборгованості клієнтів банкам. Водночас потрібно наголосити, що значні масштаби доларизації економіки України несуть у собі серйозні загрози для національної грошової системи не так через ризики, яких сьогодні зазнає обіг долара як провідної світової валюти, як через обмеження можливостей повноцінного монетарного регулювання економіки, що виникають за умов паралельного перебування в обігу нарівні з національною грошовою одиницею іноземної валюти. Тому доларизація економіки України як результат фінансової глобалізації є явищем більшою мірою негативним, хоча й цілком об’єктивним. Таким чином, підсумовуючи проведений аналіз стану грошового обороту України та його регулювання можемо зазначити, що на сьогоднішній день вичерпалися всі наявні в Україні важелі регулятивного впливу на грошовий ринок, а тому постає нагальна потреба в розробці нових методів та запровадженні нових підходів грошово-кредитного регулювання, застосуванні інших монетарних стратегій. РОЗДІЛ 2. НАПРЯМКИ УДОСКОНАЛЕННЯ ДЕРЖАВНОГО РЕГУЛЮВАННЯ ГРОШОВОГО ОБОРОТУ УКРАЇНИ Фінансова криза, що відбувається у світі, зумовила погіршення стану економік майже всіх країн. Відбувається зупинення підприємств, падіння обсягів виробництва, зменшення реальних доходів населення, погіршується стан банківської системи. Порівняно з багатьма іншими країнами вплив глобальної кризи на Україну виявився досить суттєвим, що пояснюється особливостями інтеграції країни в систему світо господарських зв’язків та структури національної економіки, незавершеністю багатьох інституційних та структурних реформ. До того ж економічна криза в країні розгортається на тлі політичної кризи, що об’єктивно ускладнює процес вироблення та реалізації антикризової політики. Криза, яка з особливою гостротою розгорнулася восени 2008 р., виявила усю безпорадність самостійного і неузгодженого управління грошово-кредитною політикою з боку Національного банку України. Таким чином, назріла нагальна потреба в розробці системи заходів впливу на певні грошові індикатори. Аналізуючи досвід подолання фінансової кризи в зарубіжних країнах, можна назвати два основних шляхи державного регулювання: 1. США, ЄС та Японія обрали шлях зниження центральними банками облікової ставки та норм резервування для комерційних банків. 2. Росія, зіштовхнувшись із проблемою великомасштабного відтоку капіталу та необхідністю витрачати великі кошти на обслуговування кредитів у іноземній валюті, підняла ставку рефінансування (з 10 до 13%) з тим, щоб зменшити девальваційний тиск на рубль [1, с. 116]. Ключовим елементом національних антикризових програм розвинутих країн стали заходи, спрямовані на стабілізацію ситуації на фінансових ринках. Важливим елементом антикризових програм є державна допомога системним банкам та фінансовим інституціям, що переживають труднощі. Така допомога здійснюється різними шляхами, а саме: - кредитування за рахунок бюджетних коштів; - рекапіталізація за участю держави; - надання гарантій (за певну плату) на вартість минулих інвестицій банків, які можуть з певною імовірністю виявитися збитковими; - розміщення державних коштів на депозитних рахунках комерційних банків; - викуп цінних паперів, забезпечених виданими кредитами [31, с. 12]. Однак, при виборі методів подолання фінансової кризи для нашої країни слід враховувати внутрішні чинники фінансової кризи в Україні, адже вони мають значний вплив на нинішню економічну ситуацію: По-перше, це постійне збільшення соціальних виплат, незалежно від показників зростання виробництва праці й товарного забезпечення , як для внутрішнього споживання, так і для експорту. По-друге, як наслідок, це негативне сальдо торгового балансу, яке до кінця 2009 р. досягло вже майже 20 млрд. дол. По-третє, сума іноземних кредитів за перше півріччя 2008 р. досягла 85 млрд. дол., що в 2,2 рази перевищує державні резерви. А у зв’язку зі світовою фінансовою кризою комерційні банки та підприємства втратили можливість постійно брати зовнішню позику задля погашення старих кредитів. Четвертою причиною є виникнення дисбалансу між попитом і пропозицією іноземної валюти, що зумовило зниження курсу національної валюти. П’ятий чинник – високий рівень доларизації економіки, що створює загрозу для національної економіки в умовах нестабільного курсу долара. Це обмежило дію інструментів монетарної політики НБУ і зробило ситуацію на вітчизняному фінансовому ринку залежною від такої на міжнародних фінансових ринках. Що стосується зовнішніх чинників, слід зазначити, що вони лише збільшили дію внутрішніх. Можна відокремити такі з них: фондовий ринок, банківська система, зовнішньоторговельна та боргова сфери. Отже, враховуючи ці проблеми, для поліпшення стану фінансового ринку України релевантною є зміна грошово-кредитної політики на більш жорстку і послідовну, а саме: - зниження ставки рефінансування комерційних банків на 5 – 6 % (зараз становить 12 %), що зробить кредити більш доступними. Разом із цим, необхідно запровадити контроль за виданими кредитами банкам, щоб запобігти ситуації, коли вони будуть отримувати кредити під 6 – 7 %, а надавати підприємствами під 20 – 30 %. Для рефінансування банків можна використовувати частину золотовалютних резервів держави; - запровадження адміністративного регулювання процентних ставок задля запобігання корупції й зловживань, встановлення банківської маржі по операціях за кредитом, який виділяє держава, на рівні 2 – 3 %; - виконання Національним банком функції «кредитора останньої надії» та забезпечення рефінансування вибірково, залежно від вкладу банку в розвиток економіки країни; - реальне прив’язування монетарної політики до попиту підприємств, тобто збільшення долі рефінансування банків під виробничі векселі; - здійснення націоналізації активів проблемних банків. Для цього можна створити державну компанію з повернення активів; - використання керованого плаваючого курсу з поступовим переходом до режиму вільного обмінного плаваючого курсу. Це сприятиме посиленню гнучкості обмінного курсу гривні через розширення діапазону його можливих коливань; - запровадження контролю над зовнішнім боргом приватного сектору (банківського та корпоративного) і зіставлення з можливостями його погашення. Необхідною складовою стратегії подолання економічної кризи є реанімація фондового ринку в Україні. Для цього можливим є здійснення наступних заходів: - консолідація всіх інститутів фондового ринку під контролем (можливо, за участі) держави, залишивши одну фондову біржу (за конкурсом) та єдиний центральний депозитарій (шляхом злиття існуючих депозитаріїв – МФС, Всеукраїнського центрального депозитарію, депозитарію Нацбанку та Національного депозитарію); - створення інституту Центрального контрагента, що зможе забезпечити реальність цін на українські цінні папери; - встановлення правил щодо обов’язкового здійснення розрахунків за операціями з цінними паперами через центральний депозитарій; - здійснення всіма акціонерними товариствами емісії акцій в без документарній формі та знерухомлення їх у центральному депозитарії [22, с. 89]. В умовах економічної кризи і банки і держава, в особі уряду України, все частіше вдаються до фінансування від міжнародних фінансових організацій (МФО), таких, Міжнародний валютний фонд, Європейський банк реконструкції та розвитку і Міжнародна фінансова корпорація. При цьому вимоги Міжнародного валютного фонду досить жорсткі, кредити надаються в основному для найшвидшого повернення корпоративними позичальниками своїх боргів іноземним кредиторам. Для стабілізації грошово-кредитної системи України в цих умовах доцільно використовувати ряд методів і механізмів: 1. Поступово перетворювати короткострокові кредити в середньострокові та довгострокові. 2. Спрямовувати майбутні іноземні кредити на інвестиції в імпортозамінюючі й експорт орієнтовані виробництва (на даному етапі західні кредити використовувати на конкретні проекти розвитку підприємств або галузей, здійснення їх реструктуризації та підвищення конкурентоспроможності продукції з одночасним посиленням контролю за їх використанням і поверненням). 3. Досягати незв’язаного характеру іноземних кредитів, щоб вони слугували національному виробнику, а не експорту товарів з країн – позичальників кредитів. Подальше залучення зв’язаних товарних кредитів може здійснюватися лише на умовах визначення критеріїв і проведення ретельної оцінки ефективності залучення і використання кредитних ресурсів, забезпечення чіткої керованості процесом залучення, використання і повернення зовнішніх запозичень. 4. Брати зовнішні кредитні ресурси з метою фінансування платіжного балансу (своєчасного виконання зобов’язань з виплати зовнішнього боргу, підтримки національної валюти). 5. Для широкої громадськості істотно підвищити прозорість системи залучення і використання іноземних кредитів (які залучаються як державою, так і підприємствами під державні гарантії). 6. Поступово знижувати кількість зовнішніх кредитів. 7. Брати тільки такі кредити, які можливо обслужити. 8. Національному банку України слід встановити жорсткіші вимоги до формування банківських резервів на відшкодування можливих втрат від кредитних операцій в іноземній валюті з фізичними і з юридичними особами, що не мають джерел валютних надходжень. 9. Відстежувати цільову спрямованість використання кредитних ресурсів і наявність у компанії реальних джерел для погашення боргів. Економічно обґрунтовано залучати такі кредити тільки для фінансування інвестиційних проектів. 10. Збільшити прозорість комерційних банків, зробити їх публічними, виявити реальних власників, вжити заходів щодо скорочення кількості кєптивних банків, що дозволить підвищити відповідальність за них безпосередніх власників. 11. Провести реструктуризацію фінансово-кредитних інститутів шляхом: - скорочення числа відділень; - створення ефективних регіональних центрів з флагманським відділенням у кожній області; - консолідації фінансово-кредитних інститутів. Якщо таке укрупнення відбудеться, фінансові установи, що залишилися, цілком зможуть діяти з іноземними на рівних з погляду залучення ресурсів на зовнішньому ринку; - зміни технологій роботи (наприклад, розвиток систем самообслуговування, зокрема шляхом електронних платежів, що стане альтернативою відкриттю нових банківських відділень). 12. Нормативно обмежити споживче кредитування, впровадити диференційовані ставки резервування залежно від структури кредитного портфеля, забезпечити позичальника інформацією про реальну ціну кредиту. 13. Підсилити контроль за рівнем «проблемних» кредитів, дотриманням банками показників фінансової стійкості. Досить необхідним на даному етапі є спрямування зусиль управління грошовим обігом на подолання значних масштабів доларизації економіки України. Однак, при цьому необхідно усвідомлювати, що остаточно подолати таке явище, як доларизація в умовах наростання впливу глобалізацій них процесів на вітчизняну економіку навряд чи можливо. Тому потрібно мінімізувати його роль передусім у внутрішньому господарському житті країни та посилити заходи щодо стабілізації національної грошової системи. Важливим завданням у цьому контексті є проведення зваженої монетарної політики та надання процесам інтеграції у світовий економічний простір керованого характеру. Адміністративна заборона на здійснення операцій з іноземною валютою населення і в банківському секторі навряд чи дасть позитивні результати (йдеться про заборону купівлі-продажу іноземної валюти, депонування валютних коштів на банківських рахунках і отримання валютних кредитів). Навпаки, примусові заходи із де доларизації можуть лише спричинити масштабну втечу капіталів та значне збільшення обсягів операцій на чорному валютному ринку. Потрібно творити економічні підстави для всіх суб’єктів ринку, що визначали б доцільність відмов від використання іноземної валюти у внутрішньому грошовому обігу. Такими підставами можуть бути: - підвищення довіри до вітчизняної банківської системи, зокрема шляхом збільшення сум гарантованого повернення вкладів громадян у національній валюті та жорсткого регулювання рівня ризиковості операцій, здійснюваних фінансовими інститутами; - підвищення ефективності внутрішніх платіжних систем, заснованих на картковому обігу. Це сприятиме розвитку безготівкового платіжного обороту і скороченню готівкового, котрий значною мірою обслуговується валютними коштами; - поступовий перехід до режиму повної конвертованості гривні, що в перспективі усуватиме стимули до нагромадження іноземної валюти і використання її у внутрішніх розрахунках; - чітке визначення курсу монетарної політики НБУ на подолання інфляції і гарантування стабільності національних грошей. Це послабить передумови використання іноземної валюти як засобу збереження заощаджень та усуне необхідність вираження внутрішніх цін в «умовних одиницях»; - розвиток ринку державних цінних паперів, номінованих у національній валюті, як альтернативного напряму інвестування коштів на противагу готівковій валюті та валютним депозитам у банках; - ліквідація законодавчих та економічних засад функціонування сектору тіньової економіки, що обслуговується переважно іноземною валютою [30, с. 33]. Зазначені заходи можуть сприяти процесу дедоларизації економіки, на що, власне кажучи, і повинна бути спрямована не лише валютна політика Національного банку України, а й уся економічна політика держави. Ключову роль у цій політиці мають відігравати заходи, спрямовані на підвищення привабливості національної валюти порівняно з валютою іноземною, що об’єктивно потребує зниження ризиків і витрат, пов’язаних із використанням економічними агентами національних грошей, тобто забезпечення їхньої стабільності. Використання Національним банком хоча б половини із запропонованих заходів дозволить значно підвищити ефективність управління монетарною політикою держави та покращити стан фінансового ринку України вже найближчим часом. ВИСНОВОК Виходячи з проведеного аналізу сучасного стану грошового обороту України, можемо зробити наступні висновки: 1. до 2008 р. спостерігалося стабільне зростання грошової маси України, однак в 2009 р. значно скоротилися показники М2 – на 27,2 млн. грн., що становить 5,42 % та М3 – на 28,4 млн. грн., тобто на 5,51 %; 2. протягом досліджуваного періоду в структурі грошового обороту України найбільш вагомими показником був агрегат М2 – строкові кошти в національній валюті та іноземна валюта. З одного боку, це свідчить про наявний потенціал інвестиційної активності, однак з іншого – відбувається відтікання коштів з реального сектору економіки; 3. 2008 – 2009 рр. відмічені значним нарощуванням державного боргу, зокрема зростання зовнішнього боргу держави становило 121 %, а сума зовнішніх запозичень банківського сектору зросла більше, ніж у 14 раз; 4. протягом аналізованого періоду відбувалося постійне зростання темпів рефінансування банків. Лише за останній квартал 2008 р. воно становило 105,4 млрд. грн. а за шість місяців 2009 р. обсяги рефінансування Національним банком України комерційних банків зросли ще на 55,7 млрд. грн. Таким чином, світова фінансова криза відчутно позначилася на Українському грошовому ринку, однак дослідження державної монетарної політики довели, що багатьох наслідків можливо було б уникнути, якби Національним банком України проводилася виважена грошово-кредитна політика. Дослідження наявних заходів боротьби з фінансовою кризою у зарубіжних країнах та вивчення українських фінансових реалій дозволило навести низку заходів грошово-кредитної політики, які б змогли в недалекому майбутньому значно покращити стан грошового обігу України. До основних з числа цих заходів можливо віднести: - реальне прив’язування монетарної політики до попиту підприємств, тобто збільшення частки рефінансування банків під виробничі векселі% - націоналізація активів проблемних банків; - використання керованого плаваючого курсу гривні з поступовим переходом до вільного обмінного плаваючого курсу; - контроль над зовнішнім боргом приватного сектору; - реанімація фондового ринку; - подолання значних масштабів доларизації української економіки. СПИСОК ВИКОРИСТАНИХ ДЖЕРЕЛ 1. Бураковський І.В., Плотніков О.В. Глобальна фінансова криза: уроки для світу та України. – Харків: Фоліо, 2009. – 299 с. 2. Демківський А.В. Гроші та кредит. Навчальний посібник. – К.: Дакор, 2005. – 528 с. 3. Державне регулювання економіки: Навч. посіб. / С.М. Чистов, А.Є. Никифоров, Т.Ф. Куценко та ін. – Вид. 2-ге, доопрац. і допов. – К.: КНЕУ, 2005. – 440 с. 4. Злупко С.М. Перехідна економіка: сучасна Україна: Навч. посіб. – К.: Знання, 2006. – 324 с. 5. Івасів Б.С. Гроші та кредит: Підручник. – Вид. 2-ге, змін. й доп. – Тернопіль: Карт-бланш, 2005. – 528 с. 6. Карлін М.І. Державні фінанси України: Навч. посіб. – К.: Знання, 2008. – 348 с. 7. Карлін М.І. Фінанси України та сусідніх держав: Навч. посіб. – К.: Знання, 2007. – 589 с. 8. Карпінський Б.А., Герасименко О.В. Фінансова система. – Навчальний посібник. – Київ: «Центр навчальної літератури», 2003. – 184 с. 9. Матвієнко П.В. Розвиток грошово-кредитних відносин у трансформаційній економіці України. – К.: Наук. думка, 2004. – 256 с. 10. Михайловська І.М., Ларіонова К.Л. Гроші та кредит: Навчальний посібник. – Львів: Новий Світ – 2000, 2007. – 432 с. 11. Михасюк І.Р., Швайка Л.А. Державне регулювання економіки: Підручник. – Львів: «Магнолія плюс», видавець СПД ФО «В. М. Піча», 2006. – 220 с. 12. Романишин В.О., Уманців Ю.М. Центральний банк і грошово-кредитна політика: Навчальний посібник. – К.: Атіка, 2005. – 480 с. 13. Селезньов В.В. Основи ринкової економіки України: Посібник. – К.: А. С. К., 2006. – 688 с. 14. Стеченко Д.М. Державне регулювання економіки: Навч. посіб. – 3-тє вид., випр. – К.: Знання, 2006. – 262 с. 15. Стрельбицька Л.М., Стрельбицький М. П., Гіжевський В.К. Банківське безпекознавство: Навчальний посібник / За ред.. М.П. Стрельбицького. – К.: Кондор, 2007. – 602 с. 16. Фінансово-економічний розвиток України в умовах глобалізації. Колективна наукова монографія / Під ред. Я.В. Белінської. – К.: Національна академія управління, 2008. – 212 с. 17. Швайка Л.А. Державне регулювання економіки: Підручник. – К.: Знання, 2008. – 462 с. 18. Школа І.М., Вдовіченко А.А., Ореховська Т.М. та ін. Стратегія розвитку підприємств невиробничої сфери регіону: Навчальний посібник / За ред.. І. М. Школи, А.А. Вдовіченка. – Чернівці: Книги – ХХІ, 2008. – 288 с. 19. Щетинін А.І. Гроші та кредит: Підручник: Вид. 2-ге, перероб. та доп. – Київ: Центр навчальної літератури, 2006. – 432 с. 20. Буковинський С.А., Грищенко А.А., Кричевська Т.О. Середньострокова монетарна стратегія та проблеми її формування й реалізації в Україні // Фінанси України. – 2008. - № 6. – С. 3 – 30. 21. Геєць В. Макроекономічна оцінка грошово-кредитної та валютно-курсової політики України до і під час фінансової кризи // Економіка України. – 2009. - № 2. – С. 24 – 30. 22. Гриценко А.А. Проблеми забезпечення стабільності грошової одиниці України // Фінанси України. – 2007. - № 9. – С. 88 – 97. 23. Гриценко А., Кричевська Т. Монетарна стратегія: шлях до ефективної грошово-кредитної політики // Вісник НБУ. – 2006. - № 2. – С. 8 – 19. 24. Дзюблюк О. Грошова система України: глобалізаційні фактори впливу // Вісник НБУ. – 2007. - № 7. – С. 14 – 22. 25. Косова Т.Д. Проблеми і перспективи розвитку фінансового ринку України // Вісник економічної науки України. – 2008. - № 2. – С. 88 – 93. 26. Кухарська Н. Специфіка грошово-кредитного регулювання в Україні // Економіст. – 2009. - № 3. – С. 55 – 57. 27. Матвієнко П.В. Підвищення ефективності грошово-кредитних відносин // Економіка та держава. – 2007. - № 3. – С. 44 – 48. 28. Науменкова С. Основні тенденції розміщення грошової маси та їх вплив на формування грошово-кредитної політики // Вісник Національного банку України. – 2006. - № 1. – С. 19 – 26. 29. Некіпєлов О. Ризики грошово-кредитної політики та сучасні фінансові кризи // Економіка України – 2009. - № 2. – С. 24 – 30. 30. Ніколайчук С., Каушан І. Вплив глобальної фінансово-економічної кризи на платіжний баланс України та динаміку його основних показників // Вісник Національного банку України, 2009. - № 11. – С. 32 – 39. 31. Петрик О. Цілі та основні режими сучасної монетарної політики // Вісник НБУ. – 2006. - № 7. – С. 6 – 13. 32. Попов В.Ю. Статистика монетарного важеля економічного розвитку // Статистика України. – 2009. - № 4. – С. 52 – 58. 33. Сивульський М.І. Національні особливості фінансової кризи // Фінанси України. – 2009. - № 7. – С. 3 – 19. 34. Скиба Г.В., Доскоч Д.І. економіка України в умовах світової фінансової кризи та шляхи її оздоровлення // Вісник Хмельницького національного університету – 2009. - № 5. – т. 2. – С. 199 – 202. 35. Телятник Л. Проблеми розвитку теорії аналізу грошового обігу, соціально-правової оцінки та регулювання // Підприємництво, господарство і право. – 2003. - № 3. – С. 134 – 136. 36. Унинець-Ходаківська Н. Роль державного регулювання на ринку фінансових послуг // Актуальні проблеми економіки. – 2009. - № 6. – С. 238 – 247. 37. Філатова О.В. теоретичні та прикладні аспекти державного управління грошово-кредитною політикою // Економіка та держава. – 2009. - № 7. – С. 63 – 68. 38. Череп А., Носенко Д. Грошово-кредитна політика України в умовах фінансової кризи // Журнал Європейської економіки. – 2008. - № 4. – т. 7. – С. 438 – 445. 39. Шитко О.П. Фінансова система: підходи до визначення та кількісної оцінки // Акутальні проблеми економіки. – 2006. - № 4. – С. 66 – 74. 40. www.ukrstat.gov.ua 41. www.bank.gov.ua ДОДАТКИ Додаток А Платіжний баланс України 2008 – 2009 рр. (млн. дол. США)
|
|||||||||||||||||||||||||||||||||||||||||||||||||||||||||||||||||||||||||||||||||||||||||||||||||||||||||||||||||||||||||||||||||||||||||||||||||||||||||||||||||||||||||||||||||||||||||||||||||||||||||||||||||||||||||||||||||||||||||||||||||||||||||||||||||||||||||||||||||||||||||||||||||||||||||||||||||||||||||||||||||||||||||||||||||||||||||||||||||||||||||||||||||||||||||||||||||||||||||||||||||||||||||||||||||||||||||||||||||||||||||||||||||||||||||||||||||||||||||||||||||||||||||||||||||||||||||||||||||||||||||||||||||||||||||||||||||||||||||||||||||||||||||||||||||||||||||||||||||||||||||||||||||||||||||||||||||||||||||||||||||||||||||||||||||||||||||||||||||||||||||||||||||||||||||||||||||||||||||||||||||||||||||||||||||||||||||||||||||||||||||||||||||||||||||||||||||||||||||||||||||||||||||||||||||||||||||||||||||||||||||||||||||||||||||||||||||||||||||||||||||||||||||||||||||||||||||||||||||||||||||||||||||||||||||||||||||||||||||||||||||||||||||||||||||||||||||||||||||||||||







