Реферат: Температурная зависимость электрического сопротивления проводников
|
Название: Температурная зависимость электрического сопротивления проводников Раздел: Промышленность, производство Тип: реферат | ||||||||||||||||||||||||||||||||||||||||||||||||||||||||||||||||||||||||||||||||||||
| Лабораторная работа №1 По теме Температурная зависимость электрического сопротивления проводников Выполнил студент группы ФМ-410 Ворожейкин А. Ю, Проверил Шарипов И. З. Уфа 2010г Цель: освоить метод измерения электрического сопротивления построить график этой зависимости для 2-х образцов. Найти температурный коэффициент сопротивления образцов. Теоретическая часть: Электрическая проводимость определяется по формуле:
Выполнение работы Дано 2 образца. Один из них сделан из чистой меди, другой представляет из себя сплав меди с никелем – константан (60% Cu 40% Ni) Снимаем значения сопротивления при разных температурах. Образец №1:
Линейные размеры 1 образца l 1 =0,66м, S 1 =0,08 10-6 м2 Удельное электрическое сопротивление:
Коэффициент электропроводности
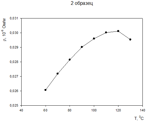
Образец №2: Линейные размеры 2 образца d=0,16 мм,
Строим графики зависимости ρ(T):
Вывод: Образец №1 это константан (для него По 1 графику видно, что к нему более приемлема классическая теория, т. е. |
||||||||||||||||||||||||||||||||||||||||||||||||||||||||||||||||||||||||||||||||||||


