Реферат: Статистическое исследование взаимосвязи социально-экономических показателей
|
Название: Статистическое исследование взаимосвязи социально-экономических показателей Раздел: Рефераты по маркетингу Тип: реферат | ||||||||||||||||||||||||||||||||||||||||||||||||||||||||||||||||||||||||||||||||||||||||||||||||||||||||||||||||||||||||||||||||||||||||||||||||||||||||||||||||||||||||||||||||||||||||||||||||||||||||||||||||||||||||||||||||
КУРСОВАЯ РАБОТА по дисциплине: «Статистика» Тема: «Статистическое исследование взаимосвязи социально-экономических показателей. Статистика занятости и безработицы населения» Ижевск 2009г. Содержание Введение 3 I Корреляционно-регрессионный анализ 6 1.1.Функциональные и стохастические связи 6 1.2. Статистические методы моделирования связи 10 1.3. Статистическое моделирование связи методом корреляционно-регрессионного анализа 11 1.4. Парная корреляция и регрессия 14 1.5. Множественная корреляция и регрессия 17 1.6. Проверка адекватности регрессионной модели 22 II. Статистика занятости и безработицы населения 28 1. Занятость и безработица 281.1.Основные характеристики, классификация 281.2. Виды и формы занятости 30 1.3. Виды и формы безработицы 34 2.Статистика занятости и безработицы 37III. Типовой расчет практической части курсовой работы 43 Заключение 48 Список используемой литературы 49 Введение Существует два основных типа связей между социально-экономическими явлениями и их признаками: функциональная (жестко детерминированная) и статистическая (стохастически детерминированная). При функциональной связи каждому значению факторного признака соответствуют строго определенные значения результативного признака. При статистической связи с изменением значения факторного признака значения результативного признака могут варьировать в определенных пределах. При этом статистические характеристики результативного признака изменяются по определенному закону. Статистическая связь проявляется не в каждом отдельном случае, а в среднем при большом числе наблюдений. Корреляционная связь является частным случаем статистической связи, при которой изменение среднего значения результативного признака обусловлено изменением значений факторного признака (парная корреляция) или множества факторных признаков (множественная корреляция). Для оценки тесноты связи (связь отсутствует, слабая, умеренная, сильная), определения ее направленности (связь прямая или обратная), а также формы (связь линейная, параболическая, гиперболическая, степенная и т.д.) используется корреляционно-регрессионный метод. Корреляционно-регрессионный анализ позволяет количественно измерить тесноту, направление связи (корреляционный анализ), а также установить аналитическое выражение зависимости результата от конкретных факторов при постоянстве остальных действующих на результативный признак факторных признаков (регрессионный анализ). Основные условия применения корреляционно-регрессионного метода: 1. Наличие достаточно большой по объему выборочной совокупности. Считается, что число наблюдений должно превышать более чем в 10 раз число факторов, влияющих на результат. 2. Наличие качественно однородной исследуемой совокупности. 3. Подчинение распределения совокупности по результативному и факторным признакам нормальному закону или близость к нему. Выполнение этого условия обусловлено использованием метода наименьших квадратов (МНК) при расчете параметров корреляции и некоторых др. Основные задачи корреляционно-регрессионного анализа: 1. Измерение тесноты связи между результативным и факторным признаком. В зависимости от количества влияющих на результат факторов задача решается путем вычисления корреляционного отношения, коэффициентов парной, частной, множественной корреляции или детерминации. 2. Оценка параметров уравнения регрессии, выражающего зависимость средних значений результативного признака от значений факторного признака (признаков). Задача решается путем вычисления коэффициентов регрессии. 3. Определение важнейших факторов, влияющих на результативный признак. Задача решается путем оценки тесноты связи факторов с результатом. 4. Прогнозирование возможных значений результативного признака при задаваемых значениях факторных признаков. Задача решается путем подстановки ожидаемых значений факторов в регрессионное уравнение и вычисления прогнозируемых значений результата. Статистика рынка труда относится к числу наиболее развитых в международной статистике, где в основном сосредоточена в Международной организации труда (МОТ). Под рынком труда понимается система экономических, социальных, организационных и правовых мер и институтов, координирующих и регулирующих распределение и использование рабочей силы. Товаром на этом рынке выступает рабочая сила. Статистика рынка труда включает три аспекта: статистику трудовых ресурсов и экономически активного населения, статистику производительности труда и статистику оплаты труда. Проблема занятости населения является одной из важнейших социально-экономических проблем. Занятость неразрывно связана как с людьми и их трудовой деятельностью, так и с производством, распределением, присвоением и потреблением материальных благ. В силу этого категория занятости представляет собой всеобщую экономическую категорию, характерную для всех общественно-экономических формаций. Характеристики занятости, использования трудового потенциала общества представляют не только экономический интерес, они являются и основными показателями, отражающими политику государства в сфере труда, отношение к человеку и как к главной производительной силе общества, и как к личности. Существуют теоретическая и практическая трактовки занятости. Теоретически занятость - это общественно полезная деятельность граждан, связанная с удовлетворением личных и общественных потребностей и приносящая, как правило, заработок или трудовой доход. Практически занятость - это соотношение между числом трудоспособного населения и числом занятых, характеризующее степень использования трудовых ресурсов общества и ситуацию на рынке труда. Однако обе трактовки не учитывают глубинные процессы, свойственные занятости. Занятость имеет ярко выраженный социальный характер. Она отражает потребность людей не только в доходах, но и в самовыражении посредством общественно полезной деятельности, а также степень удовлетворения этой потребности при определенном уровне социально-экономического развития общества. 1. Корреляционно-регрессионный анализ 1.1 Функциональные и стохастические связи Между различными явлениями и их признаками необходимо прежде всего выделить 2 типа связей: · функциональную (жестко детерминированную) · статистическую (стохастически детерминированную). В соответствии с жестко детерминистическим представлением о функционировании экономических систем необходимость и закономерность однозначно проявляются в каждом отдельном явлении, то есть любое действие вызывает строго определенный результат; случайными (непредвиденными заранее) воздействиями при этом пренебрегают. Поэтому при заданных начальных условиях состояние такой системы может быть определено с вероятностью, равной 1. Разновидностью такой закономерности является функциональная связь. Связь признака у с признаком х называется функциональной, если каждому возможному значению независимого признака х соответствует 1 или несколько строго определенных значений зависимого признака у . Определение функциональной связи может быть легко обобщено для случая многих признаков х1 ,х2 …хn . Характерной особенностью функциональных связей является то, что в каждом отдельном случае известен полный перечень факторов, определяющих значение зависимого (результативного) признака, а также точный механизм их влияния, выраженный определенным уравнением. Функциональную связь можно представить уравнением: yi = f (xi ) , (1.1.1) где yi - результативный признак ( i=1,…,n); f(xi ) - известная функция связи результативного и факторного признаков; xi - факторный признак. В реальной общественной жизни ввиду неполноты информации жестко детерминированной системы, может возникнуть неопределенность, из-за которой эта система по своей природе должна рассматриваться как вероятностная, при этом связь между признаками становится стохастической. Стохастическая связь – это связь между величинами, при которой одна из них, случайная величина у , реагирует на изменение другой величины х или других величин х1 ,х2 …хn (случайных или неслучайных) изменением закона распределения. Это обуславливается тем, что зависимая переменная (результативный признак), кроме рассматриваемых независимых, подвержена влиянию ряда неучтенных или неконтролируемых (случайных) факторов, а также некоторых неизбежных ошибок измерения переменных. Поскольку значения зависимой переменной подвержены случайному разбросу, они не могут быть предсказаны с достаточной точностью, а только указаны с определенной вероятностью. Характерной особенностью стохастических связей является то, что они проявляются во всей совокупности, а не в каждой ее единице. Причём неизвестен ни полный перечень факторов, определяющих значение результативного признака, ни точный механизм их функционирования и взаимодействия с результативным признаком. Всегда имеет место влияние случайного. Появляющиеся различные значения зависимой переменной – реализация случайной величины. Модель стохастической связи может быть представлена в общем виде уравнением:
где f(xi ) - часть результативного признака, сформировавшаяся под воздействием учтенных известных факторных признаков (одного или множества), находящихся в стахостической связи с признаком; e i - часть результативного признака, возникшая в следствие действия неконтролируемых или неучтенных факторов, а также измерения признаков, неизбежно сопровождающегося некоторыми случайными ошибками. Проявление стохастических связей подвержено действию закона больших чисел : лишь в достаточно большом числе единиц индивидуальные особенности сгладятся, случайности взаимопогасятся, и зависимость, если она имеет существенную силу, проявится достаточно отчётливо. Корреляционная связь существует там, где взаимосвязанные явления характеризуются только случайными величинами. При такой связи среднее значение (математическое ожидание) случайной величины результативного признака у закономерно изменяется в зависимости от изменения другой величины х или других случайных величин х1 ,х2 …хn . Корреляционная связь проявляется не в каждом отдельном случае, а во всей совокупности в целом. Только при достаточно большом количестве случаев каждому значению случайного признака х будет соответствовать распределение средних значений случайного признака у . Наличие корреляционных связей присуще многим общественным явлениям. Корреляционная связь – понятие более узкое, чем стохастическая связь. Последняя может отражаться не только в изменении средней величины, но и в вариации одного признака в зависимости от другого, то есть любой другой характеристики вариации. Таким образом, корреляционная связь является частным случаем стохастической связи. Прямые и обратные связи. В зависимости от направления действия, функциональные и стохастические связи могут быть прямые и обратные. При прямой связи направление изменения результативного признака совпадает с направлением изменения признака-фактора, то есть с увеличением факторного признака увеличивается и результативный, и, наоборот, с уменьшением факторного признака уменьшается и результативный признак. В противном случае между рассматриваемыми величинами существуют обратные связи. Например, чем выше квалификация рабочего (разряд), тем выше уровень производительности труда – прямая связь. А чем выше производительность труда, тем ниже себестоимость единицы продукции – обратная связь. Прямолинейные и криволинейные связи. По аналитическому выражению (форме) связи могут быть прямолинейными и криволинейными. При прямолинейной связи с возрастанием значения факторного признака происходит непрерывное возрастание (или убывание) значений результативного признака. Математически такая связь представляется уравнением прямой, а графически – прямой линией. Отсюда ее более короткое название – линейная связь. При криволинейных связях с возрастанием значения факторного признака возрастание (или убывание) результативного признака происходит неравномерно, или же направление его изменения меняется на обратное. Геометрически такие связи представляются кривыми линиями (гиперболой, параболой и т.д.). Однофакторные и многофакторные связи. По количеству факторов, действующих на результативный признак, связи различаются: однофакторные (один фактор) и многофакторные (два и более факторов). Однофакторные (простые) связи обычно называются парными (т.к. рассматривается пара признаков). Например, корреляционная связь между прибылью и производительностью труда. В случае многофакторной (множественной) связи имеют в виду, что все факторы действуют комплексно, то есть одновременно и во взаимосвязи. Например, корреляционная связь между производительностью труда и уровнем организации труда, автоматизации производства, квалификации рабочих, производственным стажем, простоями и другими факторными признаками. С помощью множественной корреляции можно охватить весь комплекс факторных признаков и объективно отразить существующие множественные связи. 1.2. Статистические методы моделирования связи Для исследования стохастических связей широко используется метод сопоставления двух параллельных рядов, метод аналитических группировок, корреляционный анализ, регрессионный анализ и некоторые непараметрические методы. · Метод сопоставления двух параллельных рядов является одним из простейших методов. Для этого факторы, характеризующие результативный признак располагают в возрастающем или убывающем порядке (в зависимости от эволюции процесса и цели исследования), а затем прослеживают изменение величины результативного признака. Сопоставление и анализ расположенных таким образом рядов значений изучаемых величин позволяют установить наличие связи и ее направление. Зависимость между факторами и показателями может прослеживаться во времени (параллельные динамические ряды). · Метод аналитических группировок тоже относится к простейшим методам. Чтобы выявить зависимость с помощью этого метода, нужно произвести группировку единиц совокупности по факторному признаку и для каждой группы вычислить среднее или относительное значение результативного признака. Сопоставляя затем изменения результативного признака по мере изменения факторного можно выявить направление, характер и тесноту связи между ними. В общем виде задача статистики в области изучения взаимосвязей состоит не только в количественной оценке их наличия, направления и силы связи, но и в определении формы (аналитического выражения) влияния факторных признаков на результативный. Для ее решения применяют методы корреляционного и регрессионного анализа. 1.3. Статистическое моделирование связи методом корреляционного и регрессионного анализа Задачи корреляционного анализа сводятся к измерению тесноты известной связи между варьирующими признаками, определению неизвестных причинных связей (причинный характер которых должен быть выяснен с помощью теоретического анализа) и оценки факторов, оказывающих наибольшее влияние на результативный признак. Задачами регрессионного анализа являются выбор типа модели (формы связи), установление степени влияния независимых переменных на зависимую и определение расчётных значений зависимой переменной (функции регрессии). Решение всех названных задач приводит к необходимости комплексного использования этих методов. Корреляционный и регрессионный анализ. Исследование связей в условиях массового наблюдения и действия случайных факторов осуществляется, как правило, с помощью экономико-статистических моделей. В широком смысле модель – это аналог, условный образ (изображение, описание, схема, чертёж и т.п.) какого-либо объекта, процесса или события, приближенно воссоздающий «оригинал». Модель представляет собой логическое или математическое описание компонентов и функций, отображающих существенные свойства моделируемого объекта или процесса, даёт возможность установить основные закономерности изменения оригинала. В модели оперируют показателями, исчисленными для качественно однородных массовых явлений (совокупностей). Выражение и модели в виде функциональных уравнений используют для расчёта средних значений моделируемого показателя по набору заданных величин и для выявления степени влияния на него отдельных факторов. По количеству включаемых факторов модели могут быть однофакторными и многофакторными (два и более факторов). В зависимости от познавательной цели статистические модели подразделяются на структурные, динамические и модели связи. Двухмерная линейная модель корреляционного и регрессионного анализа (однофакторный линейный корреляционный и регрессионный анализ). Наиболее разработанной в теории статистики является методология так называемой парной корреляции , рассматривающая влияние вариации факторного анализа х на результативный признак у и представляющая собой однофакторный корреляционный и регрессионный анализ. Овладение теорией и практикой построения и анализа двухмерной модели корреляционного и регрессионного анализа представляет собой исходную основу для изучения многофакторных стохастических связей. Важнейшим этапом построения регрессионной модели (уравнения регрессии) является установление в анализе исходной информации математической функции. Сложность заключается в том, что из множества функций необходимо найти такую, которая лучше других выражает реально существующие связи между анализируемыми признаками. Выбор типов функции может опираться на теоретические знания об изучаемом явлении, опят предыдущих аналогичных исследований, или осуществляться эмпирически – перебором и оценкой функций разных типов и т.п. При изучении связи экономических показателей производства (деятельности) используют различного вида уравнения прямолинейной и криволинейной связи. Внимание к линейным связям объясняется ограниченной вариацией переменных и тем, что в большинстве случаев нелинейные формы связи для выполнения расчётов преобразуют (путём логарифмирования или замены переменных) в линейную форму. Уравнение однофакторной (парной) линейной корреляционной связи имеет вид:
где a0 , a1 - коэффициенты (параметры) уравнения регрессии. Поскольку a0 является средним значением у в точке х=0 , экономическая интерпретация часто затруднена или вообще невозможна. Коэффициент парной линейной регрессии a1 имеет смысл показателя силы связи между вариацией факторного признака х и вариацией результативного признака у . Вышеприведенное уравнение показывает среднее значение изменения результативного признака у при изменении факторного признака х на одну единицу его измерения, то есть вариацию у , приходящуюся на единицу вариации х . Знак a1 указывает направление этого изменения. Параметры уравнения a0
, a1
находят методом наименьших квадратов
(метод решения систем уравнений, при котором в качестве решения принимается точка минимума суммы квадратов отклонений), то есть в основу этого метода положено требование минимальности сумм квадратов отклонений эмпирических данных yi
от выравненных S(yi
– Для нахождения минимума данной функции приравняем к нулю ее частные производные и получим систему двух линейных уравнений, которая называется системой нормальных уравнений :
Решим эту систему в общем виде:
(1.1.6) Параметры уравнения парной линейной регрессии иногда удобно исчислять по следующим формулам, дающим тот же результат:
(1.1.7) Определив значения a0
, a1
и подставив их в уравнение связи 1.4. Парная корреляция и регрессия Часто при анализе взаимосвязей социально-экономических явлений среди различных факторов, влияющих на результат, бывает важно выделить наиболее значимый факторный признак, который в большей степени обусловливает вариацию результативного признака (например, зависимость проданных туристическими фирмами путевок от затрат на рекламу или зависимость производительности труда операторов ЭВМ от стажа работы). Этим обусловлена необходимость измерения парных корреляций и построения уравнений парных регрессий. Парная корреляция характеризует тесноту и направленность связи между результативным и факторным признаками. Парная регрессия позволяет описать форму связи в виде уравнения парной регрессии (табл.2). Таблица 1 Основные виды уравнений парной регрессии
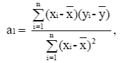
В данной таблице Параметры уравнений парной регрессии a1
, a2
называют коэффициентами регрессии. Для оценки параметров уравнения парной регрессии используется метод наименьших квадратов (МНК). Он заключается в определении параметров а0
, a1
, a2
, при которых сумма квадратов отклонений фактических значений результата (yi
) от теоретических (
На основе (1.1.8) определяются частные производные функции f(а0 , a1 ), которые затем приравниваются к 0. Далее полученные уравнения преобразуются в систему нормальных уравнений, из которых определяются параметры а0 , a1 . При этом число нормальных уравнений в общем случае будет равно числу параметров. При использовании СПП параметры регрессионного уравнения определяются автоматически. В частности, коэффициент парной линейной регрессии a1 определяется в соответствии с (1.1.9) и характеризует меру связи между вариациями факторного и результативного признаков. Коэффициент регрессии показывает, на сколько в среднем изменяется значение результативного признака при изменении факторного на единицу:
где n – объем совокупности. Тесноту и направление парной линейной корреляционной связи измеряют с помощью линейного коэффициента корреляции (1.1.10), принимающего значения в пределах от –1 до +1 (см. табл.2):
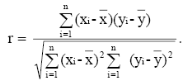
Квадрат коэффициента корреляции называют коэффициентом детерминации (r2 ). Коэффициент детерминации можно интерпретировать как долю общей дисперсии результативного признака (y), которая объясняется вариацией факторного признака (x). Таблица 2 Оценка характера связи по линейному коэффициенту корреляции
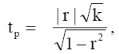
Значимость линейного коэффициента корреляции проверяется на основе t-критерия Стьюдента: проверяется нулевая гипотеза об отсутствии связи между факторным и результативным признаками (H0 : r = 0). Для проверки H0 по формуле (1.1.11) следует рассчитать t-статистику (tр ) и сравнить ее с табличным значением (tт ), определяемым с использованием таблицы приложения 2 по заданным уровню значимости (α) и числу степеней свободы (d.f.). Если tр > tт , то гипотеза H0 отвергается с вероятностью ошибки меньше чем α·100%. Это свидетельствует о значимости линейного коэффициента корреляции и статистической существенности зависимости между факторным и результативным признаками.
где k = n-2 для малой выборки, k = n при большом числе наблюдений (n>100). Аналогично оценивается значимость коэффициента регрессии; tр рассчитывают как отношение взятого по модулю коэффициента регрессии к его средней ошибке с заданными уровнем значимости (α) и числом степеней свободы d.f.= n-2. (1.1.12) 1.5. Множественная корреляция и регрессия При анализе взаимосвязей социально-экономических явлений, как правило, выясняется, что на результат влияет ряд факторных признаков, основные из которых следует включить в регрессионную модель. При этом следует помнить, что все факторы учесть в модели невозможно по ряду причин: часть факторов просто неизвестна современной науке, по части известных факторов нет достоверной информации или количество включаемых в модель факторов может быть ограничено объемом выборки (количество факторных признаков должно быть на порядок меньше численности изучаемой совокупности). Множественная регрессия описывает форму связи в виде уравнения множественной регрессии, или регрессионной модели (табл.3). Таблица 3 Основные виды множественной регрессии
а0 – свободный член уравнения; a1 ,a2 ,…,am – коэффициенты множественной регрессии. Параметры уравнения множественной регрессии a1 ,a2 ,…,am называют коэффициентами множественной регрессии и определяют с помощью МНК путем решения системы нормальных уравнений МНК. При этом число нормальных уравнений в общем случае будет равно числу параметров. Если связь отдельного фактора с результатом не является линейной, то производят линеаризацию уравнения. Для упрощения решения системы нормальных уравнений значения всех признаков заменяют на отклонения индивидуальных значений признаков от их средних величин. Полученные коэффициенты множественной регрессии являются именованными числами и показывают, на сколько изменится результативный признак (по отношению к своей средней величине) при отклонении факторного признака от своей средней на единицу и при постоянстве (фиксированном уровне) других факторов. Значимость коэффициентов множественной регрессии оценивается на основе t-критерия Стьюдента; tр рассчитывают как отношение взятого по модулю коэффициента регрессии к его средней ошибке с заданными уровнем значимости (α) и числом степеней свободы d.f.= n-m-1. Коэффициенты регрессии можно преобразовать в сравнимые относительные показатели - стандартизованные коэффициенты регрессии, или β-коэффициенты (1.1.13). β-коэффициент позволяет оценить меру влияния вариации факторного признака на вариацию результата при фиксированном уровне других факторов:
где σxi – среднее квадратическое отклонение факторного признака, σy – среднее квадратическое отклонение результативного признака, ai – коэффициент регрессии при соответствующем факторном признаке xi . При интерпретации результатов корреляционно-регрессионного анализа часто используют частные коэффициенты эластичности (Exi ). Коэффициент эластичности (1.1.14) показывает, на сколько процентов в среднем изменится значение результативного признака при изменении факторного на 1% и при постоянстве (фиксированном уровне) других факторов:
где
Множественная корреляция характеризует тесноту и направленность связи между результативным и несколькими факторными признаками. Основой измерения связей является матрица парных коэффициентов корреляции. По ней можно в первом приближении судить о тесноте связи факторных признаков между собой и с результативным признаком, а также осуществлять предварительный отбор факторов для включения их в уравнение регрессии. При этом не следует включать в модель факторы, слабо коррелирующие с результативным признаком и тесно связанные между собой. Не допускается включать в модель функционально связанные между собой факторные признаки, так как это приводит к неопределенности решения. Более точную характеристику тесноты зависимости дают частные коэффициенты корреляции. Их удобно анализировать, если они представлены в табличном виде. Частный коэффициент корреляции служит показателем линейной связи между двумя признаками, исключая влияние всех остальных представленных в модели факторов. Например, для двухфакторной модели частный коэффициент корреляции между y и x1 при фиксированном x2 (ryx1 /x2 ) определяется в соответствии с (1.1.15).
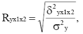
где ryx 1 , ryx 2 , rx 1 x 2 – парные коэффициенты корреляции. Проверка значимости частных коэффициентов корреляции аналогична, как и для парных коэффициентов корреляции. Множественный коэффициент корреляции (R) рассчитывается при наличии линейной связи между всеми признаками регрессионной модели. R изменяется в пределах от 0 до 1. Значимость множественного коэффициента корреляции проверяется на основе F-критерия Фишера. Например, в двухфакторной модели при оценке связи между результативным и факторными признаками для определения множественного коэффициента корреляции можно использовать формулу (1.1.16):
где δ2 y x1x2 – дисперсия результативного признака, рассчитанная по регрессионному уравнению, σ2 y – общая дисперсия результативного признака, ryx1 , ryx2 , rx1x2 – парные коэффициенты корреляции. Квадрат множественного коэффициента корреляции называют множественным коэффициентом детерминации (R2 ). R2 оценивает долю вариации результативного фактора за счет представленных в модели факторов в общей вариации результата. Множественный коэффициент детерминации обычно корректируют на потерю степеней свободы вариации по формуле (1.1.17):
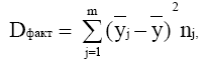
где R2 корр – корректированный множественный коэффициент детерминации, R2 –множественный коэффициент детерминации, n – объем совокупности, m – количество факторных признаков. Статистическая надежность регрессионного уравнения в целом оценивается на основе F-критерия Фишера: проверяется нулевая гипотеза о несоответствии представленных регрессионным уравнением связей реально существующим (H0 : a0 = a1 =a2 =…=am =0, R=0). Для проверки H0 следует рассчитать значение F-критерия (Fр) и сравнить его с табличным значением (Fт), определяемым с использованием таблицы приложения 1 по заданным уровню значимости (α= 0,05) и числу степеней свободы (d.f.1=m-1 и d.f.2=n-m). Fр определяется из соотношения факторной и остаточной дисперсий, рассчитанных на одну степень свободы по формуле (1.1.18):
где Dфакт , Dост – суммы квадратов отклонений, характеризующие факторную и остаточную вариации результативного признака. В случае однофакторного дисперсионного комплекса Dфакт и Dост выражаются в соответствии с (1.1.19), d.f.1 = m-1 – число степеней свободы факторной дисперсии, d.f.2 = n-m – число степеней свободы остаточной дисперсии.
где yij , – значения результативного признака у i–й единицы в j–й группе, i – номер единицы совокупности, j – номер группы, nj – численность j–й группы,
Если Fр > Fт, то гипотеза H0 отвергается. При этом с вероятностью 1-α= 0,95, или 95%, принимается альтернативная гипотеза о неслучайной природе оцениваемых характеристик, т.е. признается статистическая значимость регрессионного уравнения и его параметров. 1.6. Проверка адекватности регрессионной модели Для практического использования моделей регрессии большое значение имеет их адекватность, т.е. соответствие фактическим статистическим данным. Корреляционный и регрессионный анализ обычно (особенно в условиях так называемого малого и среднего бизнеса) проводится для ограниченной по объёму совокупности. Поэтому показатели регрессии и корреляции – параметры уравнения регрессии, коэффициенты корреляции и детерминации могут быть искажены действием случайных факторов. Чтобы проверить, насколько эти показатели характерны для всей генеральной совокупности, не являются ли они результатом стечения случайных обстоятельств, необходимо проверить адекватность построенных статистических моделей. При численности объектов анализа до 30 единиц возникает необходимость проверки значимости (существенности) каждого коэффициента регрессии. При этом выясняют насколько вычисленные параметры характерны для отображения комплекса условий: не являются ли полученные значения параметров результатами действия случайных причин. Значимость коэффициентов простой линейной регрессии (применительно к совокупностям, у которых n<30) осуществляют с помощью t-критерия Стьюдента. При этом вычисляют расчетные (фактические) значения t-критерия для параметра a0 :
(1.1.20)
для параметра a1 : (1.1.21) где n - объём выборки; (1.1.22) - среднее квадратическое отклонение результативного признака от выравненных значений ŷ ;
- среднее квадратическое отклонение факторного признака x
от общей средней Вычисленные по вышеприведенным формулам значения сравнивают с критическими t
, которые определяют по таблице Стьюдента с учетом принятого уровня значимости α
и числом степеней свободы вариации Проверка адекватности регрессионной модели
может быть дополнена корреляционным анализом. Для этого необходимо определить тесноту
корреляционной связи между переменными х
и у
. Теснота корреляционной связи, как и любой другой, может быть измерена эмпирическим корреляционным отношением
ηэ
, когда δ2
(межгрупповая дисперсия) характеризует отклонения групповых средних результативного признака от общей средней: Говоря о корреляционном отношении как о показателе измерения тесноты зависимости, следует отличать от эмпирического корреляционного отношения – теоретическое . Теоретическое корреляционное отношение η представляет собой относительную величину, получающуюся в результате сравнения среднего квадратического отклонения выравненных значений результативного признака δ , то есть рассчитанных по уравнению регрессии, со средним квадратическим отношением эмпирических (фактических) значений результативности признака σ :
где Тогда Изменение значения η объясняется влиянием факторного признака. В основе расчёта корреляционного отношения лежит правило сложения дисперсий, то есть
Тогда формула теоретического корреляционного отношения примет вид:
или Подкоренное выражение корреляционного выражения представляет собой коэффициент детерминации (мера определенности, причинности). Коэффициент детерминации показывает долю вариации результативного признака под влиянием вариации признака-фактора. Теоретическое корреляционное выражение применяется для измерения тесноты связи при линейной и криволинейной зависимостях между результативным и факторным признаком. Как видно из вышеприведенных формул корреляционное отношение может находиться от 0 до 1. Чем ближе корреляционное отношение к 1, тем связь между признаками теснее. Кроме того, при линейной форме уравнения применяется другой показатель тесноты связи – линейный коэффициент корреляции :
где n – число наблюдений. Для практических вычислений при малом числе наблюдений (n≤20÷30) линейный коэффициент корреляции удобнее исчислять по следующей формуле:
Значение линейного коэффициента корреляции важно для исследования социально-экономических явлений и процессов, распределение которых близко к нормальному. Он принимает значения в интервале: -1≤ r ≤ 1 . Отрицательные значения указывают на обратную связь, положительные – на прямую. При r = 0 линейная связь отсутствует. Чем ближе коэффициент корреляции по абсолютной величине к единице, тем теснее связь между признаками. И, наконец, при r = ±1 – связь функциональная. Квадрат линейного коэффициента корреляции r 2 называется линейным коэффициентом детерминации . Из определения коэффициента детерминации очевидно, что его числовое значение всегда заключено в пределах от 0 до 1, то есть 0 ≤ r 2 ≤ 1. Степень тесноты связи полностью соответствует теоретическому корреляционному отношению, которое является более универсальным показателем тесноты связи по сравнению с линейным коэффициентом корреляции. Факт совпадений и несовпадений значений теоретического корреляционного отношения η и линейного коэффициента корреляции r используется для оценки формы связи. Выше отмечалось, что посредством теоретического корреляционного отношения измеряется теснота связи любой формы, а с помощью линейного коэффициента корреляции – только прямолинейной. Следовательно, значения η и r совпадают только при наличии прямолинейной связи. Несовпадение этих величин свидетельствует, что связь между изучаемыми признаками не прямолинейная, а криволинейная. Установлено, что если разность квадратов η и r не превышает 0,1 , то гипотезу о прямолинейной форме связи можно считать подтвержденной. Показатели тесноты связи, исчисленные по данным сравнительно небольшой статистической совокупности, могут искажаться действием случайных причин. Это вызывает необходимость проверки их существенности, дающей возможность распространять выводы по результатам выборки на генеральную совокупность. Для оценки значимости коэффициента корреляции r используют t -критерий Стьюдента , который применяется при t -распределении, отличном от нормального. При линейной однофакторной связи t -критерий можно рассчитать по формуле:
где (n - 2) – число степеней свободы при заданном уровне значимости α и объеме выборки n. Полученное значение t расч сравнивают с табличным значением t -критерия (для α = 0,05 и 0,01). Если рассчитанное значение t расч превосходит табличное значение критерия t табл , то практически невероятно, что найденное значение обусловлено только случайными колебаниями (то есть отклоняется гипотеза о его случайности). II. Статистика занятости и безработицы населения1. Занятость и безработица1.1. Основные характеристики, классификацияК незанятому населению относятся две группы граждан: 1) добровольно незанятые граждане, живущие на средства одного из супругов, родителей и др.; 2) вынужденно не занятые граждане, которые, в свою очередь, подразделяются на: · ищущих работу самостоятельно; · ищущих работу с помощью служб занятости; · безработных граждан, имеющих официальный статус и получающих пособие по безработице. Определим статус занятости для экономически активного населения, включая и безработных. Обычно различают пять статусов. 1. Наемные работники - это лица, работающие по заключенному письменному контракту (договору) либо по устному соглашению с руководством предприятия об условиях трудовой деятельности, за которую они получают оговоренную при найме оплату. 2. Работающие на индивидуальной основе - лица, самостоятельно осуществляющие деятельность приносящую им доход, не использующие либо использующие наемных работников только на короткий срок. 3. Работодатели - лица, управляющие собственным предприятием либо уполномоченные управлять акционерным обществом, хозяйственным товариществом и т.п. Работодатель может полностью или частично делегировать свои функции наемному управляющему, оставляя за собой ответственность за благополучие предприятия. 4. Неоплачиваемые работники семейных предприятий - лица, работающие без оплаты на семейном предприятии, владельцем которого является их родственник. 5. Лица, не поддающиеся классификации по статусу занятости , - это безработные, не занимавшиеся ранее трудовой деятельностью, приносившей им доход. Сюда относятся и лица, которых затруднительно отнести к тому или иному статусу занятости. По степени количественного и качественного соответствия между потребностью экономики в рабочей силе и потребностью населения в рабочих местах выделяют занятость полную, продуктивную, свободно избранную, рациональную, эффективную и оптимальную. Полная занятость — это состояние, при котором обеспечены работой все нуждающиеся в ней и желающие работать, что соответствует наличию сбалансированности между спросом и предложением рабочей силы. Продуктивная занятость — это занятость, которая отвечает интересам повышения эффективности производства, внедрения достижений научно-технического прогресса, роста производительности труда. По определению Международной организации труда (МОТ), продуктивная занятость — это занятость тех, чей продукт труда принимается и оплачивается обществом. Свободно избранная занятость предполагает, что право распоряжаться собственной способностью к труду (рабочей силой) принадлежит исключительно ее владельцу, т.е. самому работнику. Этот принцип гарантирует право каждого работника на выбор между занятостью и незанятостью, запрещая любое административное привлечение к труду. Рациональная занятость - это занятость, обоснованная с точки зрения процессов формирования, распределения (перераспределения) и использования трудовых ресурсов с учетом их половозрастной и образовательной структуры, режимов воспроизводства трудоспособного населения и его размещения на территории страны. Рациональную занятость характеризует доля продуктивно занятых в общей численности экономически активного населения. Рациональная занятость определяется по формуле:
где Зпр – продуктивная занятость; Зп – полная занятость. Эффективная занятость предполагает способность общественного управления воспроизводить социально-экономические условия развития работников, диктуемые критериями образа жизни на данном этапе развития общества. Эффективный характер занятости предполагает занятие общественно-полезной деятельностью, которая обеспечивает достойный доход, здоровье, возвышение личности, рост образовательного и профессионального уровня для каждого члена общества на основе роста общественной производительности труда, а также экономическую и социальную целесообразность рабочих мест. Социально полезная занятость определяется числом трудоспособных людей, занятых как в общественном производстве, на военной службе, в органах МВД, так и обучающихся очно, ведущих домашнее хозяйство (ухаживающих за детьми, престарелыми, больными родственниками). Практическая потребность учета населения вызывает необходимость выделения видов (структуры) занятости распределения активной части трудовых ресурсов по сферам и отраслям экономики. Выделяют также различные формы занятости - организационно-правовые способы, условия трудоиспользования. Охарактеризуем отдельные формы занятости. По способу участия в общественном труде занятость населения можно подразделить на занятость по найму и самостоятельную занятость. Занятость по найму представляет собой отношения, возникающие между собственниками средств производства и работниками, не имеющими средств производства и продающими свою рабочую силу в обмен на определенную стоимость в форме заработной платы. Самостоятельная занятость (self-employment) для России является относительно новой формой занятости населения. Это отношения (экономические, правовые и т.д.), в которые вступают люди по поводу участия в общественно-полезном труде и которые основаны на личной инициативе, самостоятельности и ответственности, направлены, как правило, на получение трудового дохода и обусловливают самореализацию и самоутверждение личности. По режиму рабочего времени принято выделять занятость с режимом полного рабочего времени и неполную (частичную) занятость. Занятость с режимом полного рабочего времени основывается на регламентированной продолжительности полного рабочего дня, которая в настоящее время составляет 40 часов в неделю. По регулярности трудовой деятельности занятость подразделяется на постоянную, временную, сезонную и случайную. Постоянная (регулярная) занятость предполагает, что работник должен работать определенное число часов каждую неделю, реже — каждый месяц; временная занятость имеет две разновидности: занятость на определенный срок (фиксированный срок трудового договора) и командировочная занятость (через посредничество определенных фирм); сезонная занятость предполагает работу в течение определенного сезона, и, наконец, случайная занятость означает выполнение различных по характеру непродолжительных работ с целью получения материального вознаграждения без заключения трудового договора. По легитимности трудоустройства занятость подразделяется на формальную и неформальную. Формальная занятость — это занятость, зарегистрированная в официальной экономике. Неформальная занятость — занятость, не зарегистрированная в официальной экономике, имеющая источником рабочих мест неформальный сектор экономики и отдельные его виды. По условиям организации трудовых процессов занятость подразделяется на стандартную и нестандартную. В основе такого деления лежит специфика организации трудового процесса, которая принимает различные формы. Стандартная (типичная) занятость - это занятость, предполагающая постоянную работу наемного работника у одного работодателя вего производственном помещении при стандартной нагрузке в течение дня, недели, года. Нестандартная (гибкая) занятость выходит за эти рамки и включает следующие формы: · занятость, связанная с нестандартными режимами рабочего времени, такими, как гибкий рабочий год, сжатая рабочая неделя, гибкие графики рабочего времени и др.; · занятость, связанная с социальным статусом работников: самостоятельные работники, помогающие им члены семьи; · занятость на работах с нестандартными рабочими местами и организацией труда: надомный труд, «работники по вызовам», вахтово-экспедиционная занятость; · занятость по нестандартным организационным формам: временные работники, совместительство. Классификация форм занятости приведена на рисунке 1.1.
Большой интерес представляет классификация форм безработицы по различным критериям. Приведена в таблице 1.1. Таблица 1.1. Классификация форм безработицы
Логическим продолжением предложенной классификации форм безработицы является ее структуризация по следующим половозрастным, профессионально-квалификационным и социальным признакам: · по полу, с выделением наименее защищенных в социальном отношении безработных — женщин; · по возрасту, с выделением молодежной безработицы и безработицы лиц предпенсионного возраста; · по социальным группам (рабочие, интеллигенция, служащие, технические исполнители); · по уровню образования; · по профессиональным и стажевым группам; · по уровню доходов и обеспеченности; · по причинам увольнения; · по ментальным группам. При решении проблем безработицы считается целесообразным достижение естественной нормы (естественного уровня) безработицы - оптимального для экономики резерва рабочей силы способного достаточно быстро совершать межотраслевые и межрегиональные перемещения в зависимости от колебаний спроса и обусловленных ими потребностей производства. Абсолютное отсутствие безработицы считается невозможным в рыночной экономике. Фрикционная и структурная безработицы, по сути, неизбежны. Они и образуют естественный уровень безработицы. Естественный уровень безработицы в экономически развитых странах с 1980-х гг. оценивают в 7%. Безработица влечет за собой серьезные экономические и социальные издержки. Среди экономических последствий безработицы можно назвать следующие: • недовыпуск продукции, недоиспользование производственных возможностей общества. Зависимость между уровнем безработицы и отставанием объема ВНП нашла выражение в законе Оукена: превышение на 1% фактического уровня безработицы над естественным ведет к отставанию фактического объема ВНП на 2,5% от потенциального; • значительное снижение уровня жизни людей, оказавшихся безработными, поскольку работа является для них основным источником средств существования; • снижение уровня заработной платы занятых в результате возникающей конкуренции на рынке труда; • увеличение налоговой нагрузки на занятых из-за необходимости социальной поддержки безработных, выплат пособий и компенсаций и т.д. Помимо экономических издержек безработица имеет и значительные социальные и психологические последствия, зачастую менее очевидные, но более серьезные, чем экономические. Основные среди них следующие: • усиление политической нестабильности и социальной напряженности в обществе; • обострение криминогенной ситуации, рост преступности, поскольку значительное число правонарушений и преступлении совершается неработающими лицами; • повышение числа самоубийств, психических и сердечно-сосудистых заболеваний, смертности от алкоголизма, в целом объема девиантного поведения; • деформация личности безработного и его социальных связей, выражающаяся в появлении жизненной депрессии у вынужденно незанятых граждан, потере ими квалификации и практических навыков; обострении семейных отношений и распадах семей сокращении внешних социальных связей безработного. Последствия безработицы носят долговременный характер. Бывший безработный и после трудоустройства характеризуется пониженной трудовой активностью, вялостью поведения, что требует значительных усилий по реабилитации безработных. Экономические и социально-психологические последствия безработицы свидетельствуют о том, что это достаточно опасное для общества и для личности явление, требующее проведения активной политики занятости, нацеленной не только на ликвидацию последствий безработицы, но и на профилактику и предупреждение ее неконтролируемого роста сверх минимально допустимого уровня. 2.Статистика занятости и безработицыЗанятость - одна из важнейших социально-экономических проблем рыночной экономики. Перед статистикой занятости и безработицы стоят следующие задачи: 1. сбор данных о численности занятых и безработных как составных частях рабочей силы; 2. измерение уровня занятости и безработицы с целью изучения состояния, тенденций на рынке труда; 3. изучение трудоустройства населения для оценки ситуации на рынке труда и ее прогнозирования; 4. изучение состава занятых и безработных с тем, чтобы разработать программу занятости; 5. измерение взаимосвязи между занятостью, доходом, содержанием и другими мотивациями труда с целью разработки программы занятости. Выполнение этих задач создает условия для измерения предложения рабочей силы и ее фактического использования. Их решение основывается на сочетании ряда источников информации. Ситуация на рынке труда оценивается не только через абсолютную численность занятых и безработных, но и через уровень безработицы и уровень занятости, которые определяются как удельный вес соответствующей категории рабочей силы в численности экономически активного населения на начало (конец) периода. Количественно занятость характеризуется показателем уровня занятости . Он может рассчитываться двумя способами. 1. Доля занятых в общей численности населения:
2. Доля занятых в экономически активном населении:
В международной статистике исходным показателем для анализа занятости является уровень экономической активности населения, т.е. доля численности экономически активного населения в общей численности населения:
где Чз – численность занятых; Чн – общая численность населения; Чб – численность безработных. Безработица характеризуется показателями ее уровня, частоты и длительности. Уровень безработицы определяется в процентах как отношение числа безработных к числу занятых и безработных — по формуле:
где Чз — число занятых; Чб — число безработных. В методике зарубежных стран среднемесячный уровень безработицы в течение данного года рассчитывается по формуле:
Поскольку численность экономически активного населения, численность занятых и безработных связаны аддитивно, динамика этих показателей характеризуется следующим образом:
где Кэ – коэффициент роста численности экономически активного населения; Кз и Кб – коэффициенты роста численности занятых и безработных; Уз 0 и Уб 0 – уровни занятости и безработицы в базисном периоде. Как правило, уровень безработицы, определенный по данным выборочного обследования, в 3-6 раз выше, чем уровень, зарегистрированный в службах занятости. Следовательно, из каждых 100 безработных, определенных по методологии МОТ, лишь 38 по России (по некоторым регионам меньше) регистрировались в службах занятости. Различия этих показателей еще более весомы, если учесть состав безработных по полу.
В октябре 2009г. общая численность безработных по сопоставимому кругу лиц (т.е. в трудоспособном возрасте без студентов, учащихся и пенсионеров по возрасту, выслуге лет или на льготных условиях, отнесенных к безработным) превышала численность безработных, зарегистрированных в органах службы занятости в 2,6 раза. Существенность различия по полу в доле безработных, зарегистрированных в службах занятости, может быть оценена с помощью F-критерия Фишера: F = D факт : D ост где D факт и D ост – факторная и остаточная дисперсии на одну степень свободы. Для определения этих дисперсий можно использовать следующие формулы, учитывающие правило сложения дисперсий альтернативного признака: D
факт
= D
ост
= pj - доля безработных, зарегистрированных в службах занятости, в общей численности безработных (отдельно среди мужчин и среди женщин);
nj - численность безработных - отдельно для мужчин и женщин; n - общая численность безработных; k - число групп населения по полу. Росстат подвел итоги выборочного обследования населения по проблемам занятости по состоянию на вторую неделю октября. Начиная с сентября 2009г., опросы населения проводятся ежемесячно. Численность экономически активного населения в возрасте 15-72 лет (занятые + безработные) в октябре 2009г. составила 75,8 млн.человек, или более 53% от общей численности населения страны. В численности экономически активного населения 70,0 млн.человек классифицировались как занятые экономической деятельностью и 5,8 млн.человек - как безработные с применением критериев МОТ (т.е. не имели работы или доходного занятия, искали работу и были готовы приступить к ней в обследуемую неделю).
Уровень безработицы, исчисленный как отношение численности безработных к численности экономически активного населения, в октябре 2009г. составил 7,7%.
Численность занятого населения в октябре 2009г. по сравнению с сентябрем снизилась на 0,4 млн.человек.
В среднем среди молодежи в возрасте 15-24 года уровень безработицы в октябре 2009г. составил 17,4% (в сентябре 2009г. - 17,6%), в том числе среди городского населения - 15,3%, среди сельского населения - 22,6%. Коэффициент превышения уровня безработицы среди молодежи в среднем по возрастной группе 15-24 года по сравнению с уровнем безработицы взрослого населения в возрасте 30-49 лет составляет 2,8 раза, в том числе среди городского населения - 2,9 раза, сельского населения - 2,5 раза. Безработица по округам Российской Федерации. Самый низкий уровень безработицы, соответствующей критериям МОТ, по данным обследования населения по проблемам занятости, отмечается в Центральном федеральном округе, самый высокий - в Южном федеральном округе.
III .Типовой расчет практической части курсовой работы Корреляционно-регрессионный анализ Расчет и интерпретация параметров парной линейной корреляции по данным семи коммерческих банков о собственном капитале и сумме активов по каждому коммерческому банку. Таблица 1 – Расчет отклонений индивидуальных значений признаков от их средних значений.
1. Рассчитаем средние значения факторного (Х) и результативного (У) значений признаков для всей анализируемой совокупности. Данные характеристики вычисляются как простые средние арифметические величины, так как по каждой единице совокупности имеются индивидуальные данные.
2. Сопоставим знаки отклонений признаков Х и У от их средних величин. В результате выявлены только лишь совпадающие по знаку пары отклонений. Немецкий ученый Г.Т.Фехнер предложил меру тесноты связи в виде отношения разности числа пар совпадающих и несовпадающих пар знаков к сумме этих чисел:
Коэффициент Фехнера достаточно приблизительный показатель тесноты связи, не учитывающий величину отклонений признаков от средних значений, но он может служить некоторым ориентиром в оценке интенсивности связи. В данном случае коэффициент показывает умеренную связь между собственным капиталом и суммой активов коммерческих банков.Для проведения дальнейшего анализа составим таблицу 2. Таблица 2 – Расчет квадратов отклонений индивидуальных значений признаков от их средних величин и значений результативного признака по уравнению связи.
3. Рассчитаем коэффициент парной линейной регрессии:
В среднем по изучаемой совокупности, увеличение собственного капитала по одному из семи коммерческих банков на один рубль, приводит к увеличению суммы активов на 13,92 рублей. 4. Рассчитаем свободный параметр уравнения связи
Анализ выявил, что в отчетном периоде на сумму активов коммерческих банков положительно влияли факторы не учтенные в исследовании и увеличили сумму активов на величину a0 . 5. Составим уравнение парной линейной регрессии на основании рассчитанных коэффициентов по формуле.
Расчетные значения результативного признака по уравнению связи приведены в таблице 2. 6. Рассчитаем линейный коэффициент парной корреляции
Показывает прямую тесную связь между собственным капиталом и суммой активов коммерческих банков. Квадрат коэффициента корреляции (коэффициент детерминации), равный 0,94, показывает сильную прямую связь между анализируемыми признаками (94% вариации активов обусловлены вариацией капитала). 7. Рассчитаем еще один показатель тесноты связи – корреляционное отношение:
Расчет подтверждает сильную прямую связь. 8. Проведем статистическую оценку надежности и точности расчета коэффициентов линейной регрессии и корреляции. Для этого проведем расчет средней случайной ошибки коэффициентов парной линейной регрессии и коэффициента корреляции.
Следующим шагом будет расчет t-критерия Стьюдента для выявления уровня вероятности нулевого (или близких ему) значений проверяемы показателей тесноты связи.
Расчетные значения t-критерия для коэффициентов парной линейной регрессии и корреляции сравним со значениями, приведенными в таблице 3 для исследуемого количества степеней свободы. Таблица 3 – Значение t-критерия Стьюдента при уровнях вероятности 1,10; 0,05; 0,01
Сравнение расчетных значений t-критерия Стьюдента с табличными показывает еще более понижающийся уровень вероятности нулевого значения проверяемых показателей тесноты связи, а это подтверждает оценку тесноты связи между собственным капиталом и суммой активов коммерческих банков. 9. Последним коэффициентом, характеризующим направленность и силу связи между собственным капиталом и суммой активов коммерческих банков, является коэффициент корреляции рангов. Проранжируем в порядке возрастания признаков совокупность из семи анализируемых банков. Для расчета коэффициента корреляции рангов составим таблицу 4. Таблица 4 – Расчет квадратов разностей рангов по факторному и результативному признакам
Данная характеристика также подтверждает сильную, прямую связь между признаками. Заключение: Обобщение результатов расчетов и интерпретации характеристик тесноты и формы связи позволяет охарактеризовать связь между собственным капиталом и суммой активов коммерческих банков как прямую и тесную (сильную), также были выявлены резервы увеличения прибыли (отрицательно влияющие факторы). Корреляционный и регрессионный анализ позволяет определить зависимость между факторами, а так же проследить влияние задействованных факторов. Эти показатели имеют широкое применение в обработке статистических данных для достижения наилучших показателей биржевых ставок. При проведении корреляционно-регрессионного анализа связи между собственным капиталом и суммой активов коммерческих банков, получили по двум параметрам (линейному коэффициенту парной корреляции и корреляционному отношению) сильную прямую связь. И при проведении статистической оценки надежности и точности расчета коэффициентов линейной регрессии и корреляции, то есть расчета средней случайной ошибки коэффициентов парной линейной регрессии и коэффициента корреляции, получили очень малые значения величин ошибок. Важнейшим показателем состояния рынка труда является уровень безработицы. Единственный фактор, сдерживающий рост безработицы с точки зрения динамических потоков на рынке труда - существенное увеличение доли безработных, перешедших в состав экономически неактивного населения (например, женщины – заняты ведением домашнего хозяйства). По мнению большинства экономистов, полная занятость - понятие абстрактное, не совместимое с идеей развитого рыночного хозяйства. Однако все же безработица должна быть поставлена в определенные рамки, в пределах которых достигаются режим эффективного роста и состояние экономической стабильности. Главный путь решения проблемы безработицы на рынке труда - экономический рост производства (восстановление законсервированных производственных мощностей), что приведет к увеличению темпа роста числа занятых в экономике. Список используемой литературы 1. Кейнс Дж.М. «Общая теория занятости, процента и денег». – М.: Гелиос АРВ, 2002. 2. Липсиц И.В. «Экономика: учебник для вузов». – М.: Омега-Л, 2006. – (Высшее экономическое образование). 3. Николаева И.П. «Экономика в вопросах и ответах: учеб. пособие». – М.: ТК Велби, Изд-во Проспект, 2006. 4. Октябрьский П.Я. «Статистика: Учебник». – М.: ТК Велби, Изд-во Проспект, 2005. 5. Остапенко Ю.М. «Экономика труда: Учеб. пособие». – М.: ИНФРА-М, 2006 – (Высшее образование). 6. «Корреляционно-регрессионный анализ статистических связей на персональном компьютере» Н.Ю. Лукьянова. - Калининград, 1999. |
||||||||||||||||||||||||||||||||||||||||||||||||||||||||||||||||||||||||||||||||||||||||||||||||||||||||||||||||||||||||||||||||||||||||||||||||||||||||||||||||||||||||||||||||||||||||||||||||||||||||||||||||||||||||||||||||
(1.1.5)




(1.1.9)
(1.1.10)
(1.1.11)
(1.1.13)
(1.1.14)
(1.1.15)
или (1.1.16)
(1.1.17)
(1.1.19)


(1.1.23)
;
.
. (1.1.24)
. (1.1.25)
, (1.1.26)
.
, (1.1.27)
. (1.1.28)
, (1.1.29)
















