Курсовая работа: Статистическое изучение страхового рынка 2
|
Название: Статистическое изучение страхового рынка 2 Раздел: Рефераты по маркетингу Тип: курсовая работа | |||||||||||||||||||||||||||||||||||||||||||||||||||||||||||||||||||||||||||||||||||||||||||||||||||||||||||||||||||||||||||||||||||||||||||||||||||||||||||||||||||||||||||||||||||||||||||||||||||||||||||||||||||||||||||||||||||||||||||||||||||||||||||||||||||||||||||||||||||||||||||||||||||||||||||||||||||||||||||||||||||||||||||||||||||||||||||||||||||||||||||||||||||||||||||||||||||||||||||||||||||||||||||||||||||||||||||||||||||||||||||||||||||||||||||||||||||||||||||||||||||||||||||||||||||||||||||||||||||||||||||||||||||||||||||||||||||||||||||||||||||||||||||||||||||||||||||||||||||||||||||||||||||||||||||||||||||||||||||||||||||||||||||||||||||||||||||||||||||||||||||||||||||||||||||||||||||||||||||||||||||||||||||||||||||||||||||||||||||||||||||||||||||||||||||||||||||||||||||||||||||||||||||||||||||||||||||||||||||||||||||||||||||||||||||||||||||||||||||||||||||||||||||||||||||||||||||||||||||||||||||||||||||||||||||||||||||||||||||||||||||||||||||||||||||||||||||||||||||||||
Министерство образования и науки Российской Федерации ГОУ ВПО Всероссийский заочный финансово-экономический институт Кафедра статистики КУРСОВАЯ РАБОТА по дисциплине “Статистика” на тему: “Статистическое изучение страхового рынка ” Вариант № 20 Исполнитель: Специальность: Финансы и кредит Группа: Ф и К (вечер) № зачетной книжки: Руководитель: Козлов Георгий Евгеньевич Ярославль – 2010 Оглавление Введение………………………………………………………………………...…3 1.Теоретическая часть…………………………………………………………….5 1.1 Понятие и задачи статистики страхования………………………………….5 1.2 Система показателей статистики страхования……………………………...7 1.3 Статистическое изучение динамики показателей страхового рынка……...9 2. Расчетная часть……………………………………………………………..…12 3. Аналитическая часть………………………………………………………….38 3.1 Постановка задачи…………………………………………………………...38 3.2 Методика решения задачи……………………………………………….….39 3.3 Технология выполнения компьютерных расчетов……………………...…41 3.4 Анализ результатов статистических компьютерных расчетов……….…..43 Заключение…………………………………………………………………….…44 Список используемой литературы………………………………………….….46 Приложения……………………………………………………………………...47 Введение В соответствии с международной классификацией финансовых инструментов, используемых в процессе формирования потоков социально-статистической информации, страховые компании относятся к сектору финансовых корпораций, подсектору небанковских финансовых учреждений. Небанковские финансовые учреждения имеют право осуществлять некоторые банковские операции, и в последние 7—10 лет они стали основными конкурентами банковского сектора. Страхование как экономическая категория является составной частью категории финансов любой страны. Однако если финансовые потоки в целом связаны с распределением и перераспределением доходов, расходов и накоплений, то страхование отражает только перераспределительные отношения между субъектами. Страхование — это необходимый элемент производственных отношений, оно связано с возмещением материальных потерь в процессе общественного производства и является важнейшим условием нормального, непрерывного и бесперебойного воспроизводственного процесса. Рисковый характер, обусловленный в первую очередь противоречием между человеком и природными силами, порождает специфические отношения между людьми по предупреждению, преодолению, локализации разрушительных последствий форс-мажорных обстоятельств и стихийных бедствий, а также по безусловному возмещению нанесенного ущерба. Эти субъективные отношения выражают реальные и наиболее насущные потребности людей в поддержании достигнутого жизненного уровня. Данные отношения отличает определенная специфика, и они в совокупности составляют экономическую категорию страховой защиты общественного производства. Услуги страхования распространяются на страховом рынке. Страховой рынок — это особая сфера денежных отношений, где объектом купли-продажи выступает специфическая услуга — страховая защита, формируются предложение и спрос на нее. В настоящее время страховой рынок России характеризуется ростом числа страховых компаний и страховщиков, а также объемов совершаемых ими операций, появлением новых потребностей и новых направлений их деятельности. Кроме того, произошло достаточно резкое обострение конкуренции со стороны, как отечественных страховых компаний, так и зарубежных страховых и перестраховочных фирм. Целью моей работы является изучить статистику страхового рынка. Я рассмотрела в теоретической части понятия и задачи статистики страхования, систему её показателей, а также динамику показателей статистики страхового рынка. Задачей моей работы является решить все поставленные задания в расчетной части. Тем самым научиться: строить статистический ряд распределения, рассчитывать среднюю арифметическую, среднее квадратическое отклонение, коэффициент вариации; выявлять наличие корреляционной связи и т.д. В аналитической части мне нужно сделать анализ динамики прибыли страховых организаций, для этого нужно рассчитать следующие показатели: абсолютный прирост, темп роста, темп прироста, абсолютное значение 1% прироста, средние за период уровень ряда, абсолютный прирост, темп роста и прироста. Для выполнения расчетной и аналитической части мне потребовались такие программные средства как Wordи Excel. 1.Теоретическая часть 1.1 Понятие и задачи статистики страхования Страхование представляет систему экономических отношений по защите имущественных и неимущественных интересов предприятий, учреждений, организаций, а также отдельных граждан путем формирования денежных фондов, предназначенных для возмещения ущерба и выплаты страховых сумм при наступлении страховых событий. Экономической основой страхования является денежный фонд, который создается за счет взносов предприятий, учреждений, организаций и населения, выступающих в качестве страхователей. В страховании обязательно наличие двух сторон: страховщика - специальной организации, ведающей созданием и использованием страхового фонда, и страхователя - юридических и физических лиц, вносящих в фонд установленные платежи. Взаимные обязательства регламентируются договором страхования в соответствии с условиями страхования. Страховые организации образуют из своих фондов два вида страховых резервов: по имущественному, личному и социальному страхованию. Страховые резервы предназначаются для обеспечения страховой защиты страхователей. Отношение между страховщиком и страхователем имеет вероятностный характер, так как в его основе лежит страховой риск. Под страховым риском понимается вероятность наступления ущерба имуществу, здоровью, жизни страхователя в результате страхового события.[1] Страховщик и страхователь вступают во взаимодействие в условиях страхового рынка. Страховой рынок - это социально-экономическая сфера денежных отношений, где объектом купли-продажи является страховая защита и определяется спрос и предложение на нее. Развитие страхового рынка обеспечивает бесперебойность производственного процесса путем оказания денежной помощи пострадавшим. Обязательным условием существования страхового рынка является потребность на страховые услуги и наличие страховщиков, способных удовлетворить эти потребности. Страховой рынок России характеризуется ростом числа страховых компаний и страховщиков, а также объемом совершаемых ими операций, появлением новых потребностей и новых направлений их деятельности. Страховой рынок подразделяется на отрасли имущественного, личного страхования, страхования ответственности и социального страхования. Страхование может быть обязательным и добровольным. Имущественное страхование - вид страхования, объектом которого являются основные и оборотные фонды предприятий, организаций, домашнее имущество граждан. Личное страхование - вид страхования, в котором объектом страховых отношений являются интересы граждан, связанные с жизнью и здоровьем, трудоспособностью и др. Страхование ответственности - вид страхования, объектом которого является обязанность страхователей выполнить договорные условия или обязанность страхователей по возмещению материального или иного ущерба. Социальное страхование - вид страхования, объектом которого является материальное обеспечение нетрудоспособных граждан в результате болезни, несчастного случая, рождения ребенка и других обстоятельств. Социальное страхование может быть государственным и негосударственным. Задачей статистики страхования является сбор информации, ее обработка и анализ данных об имущественном, личном, социальном и страховании ответственности; выявление закономерностей появления страховых событий, оценка их частоты, тяжести и опустошительности установлением штрафных ставок. 1.2 Система показателей статистики страхования К показателям имущественного страхования относятся : страховое поле (N max ), число застрахованных объектов (заключенных договоров) ( N ), число страховых случаев ( n с ) , число пострадавших объектов (пп ), страховая сумма застрахованного имущества (S), страховая сумма пострадавших объектов ( Sn ), сумма поступивших платежей ( V ), сумма выплат возмещения ( W ). На основе абсолютных показателей определяются относительные и средние показатели. Степень охвата объектов добровольным страхованием рассчитывается как отношение количества заключенных договоров страхования к страховому полю: в = N: Nmax .. Доля пострадавших объектов определяется отношением количества пострадавших объектов к числу застрахованных: d = nn : N. Частота страховых случаев показывает, сколько страховых случаев приходится на 100 застрахованных объектов и рассчитывается как отношение числа страховых случаев к количеству застрахованных объектов: d = nc : N 100 . К числу средних показателей относятся: • средняя страховая сумма застрахованных объектов • средняя страховая сумма пострадавших объектов • средний размер выплаченного страхового возмещения • средний размер страхового платежа (взноса) где V - сумма поступивших страховых платежей. Таблица 1.1Структура страховых премий (взносов) и выплат по видам страхования в 2005 – 2008 г. (в процентах к итогу)[2]
К показателям страхования ответственного и социального страхования относятся: доходы и расходы фонда социальной защиты населения, их структура и динамика, источники формирования доходов и направление расходов и др. 1.3 Статистическое изучение динамики показателей страхового рынка Одним из важных показателей имущественного страхования является уровень убыточности страховых сумм (q
), представляющий собой долю выплат страхового возмещения (
W
)
в страховой сумме застрахованного имущества (S): Уровень убыточности страховых сумм по совокупности объектов определяется по формуле, где Средняя страховая сумма застрахованных объектов: где N - общее количество застрахованных объектов; п - число пострадавших объектов. Если Отношение Таким образом, уровень убыточности страховых сумм зависит от тяжести страховых событий и доли пострадавших объектов. Динамику убыточности страховых сумм можно охарактеризовать системой индексов: Используя индексный метод, можно определить абсолютный прирост (снижение), уровень убыточности страховых сумм, обусловленный изменением уровня тяжести страховых событий и доли пострадавших объектов: Изменение абсолютного прироста страховых сумм происходит за счет: а) уменьшения тяжести страховых событий б) изменения доли пострадавших объектов Динамику среднего уровня убыточности изучает система индексов переменного и постоянного состава, структурных сдвигов: индекс средней убыточности переменного состава индекс средней убыточности постоянного состава индекс структурных сдвигов Представим взаимосвязь индексов убыточности переменного, постоянного составов и структурных сдвигов: На основе этих индексов рассчитываются абсолютные изменения средней убыточности: Изменение средней убыточности выявляется по факторам: а) за счет изменения убыточности б) за счет структурных сдвигов Одной из задач статистики страхования является обоснование уровня тарифной ставки. От того, насколько объективно обоснована тарифная ставка, зависит финансовое состояние страховых органов, уровень развития страхового дела, взаимоотношения со страхователями. Тарифная ставка предназначена для возмещения ущерба, причиненного страховому имуществу стихийными бедствиями и другими страховыми событиями. Она состоит из двух частей: нетто-ставки и нагрузки (надбавки). Нетто-ставка составляет основную часть тарифа и предназначена для создания фонда на выплату страхового возмещения. Надбавка служит для образования резервных фондов. Нетто-ставка рассчитывается с определенной степенью вероятности по формуле где t - коэффициент доверительной вероятности, определяемой по таблице на основании заданной вероятности;
Брутто-ставка
состоит из нетто-ставки и надбавки и рассчитывается по формуле где f - доля нагрузки по страхованию имущества в брутто-ставке. В имущественном страховании проводят оценку устойчивости страхового дела с помощью показателя - коэффициента финансовой устойчивости: где 2. Расчетная часть Имеются следующие выборочные данные о деятельности страховых организаций одного из регионов в отчётном году (выборка 10% - ная, механическая), млн. руб.: Таблица 2.1 Выборочные данные о деятельности страховых организаций (исходные данные)
Задание №1 По исходным данным: 1. Постройте статистический ряд распределения предприятий по признаку – доходы страховых организаций, образовав, пять групп с равными интервалами. 2 . Графическим методом определить значения моды и медианы полученного ряда распределения. 3. Рассчитайте характеристики интервального ряда распределения: среднюю арифметическую, среднее квадратическое отклонение, коэффициент вариации, моду и медиану. 4. Вычислить среднюю арифметическую по исходным данным (табл. 2.1), сравнить её с аналогичным показателем, рассчитанным в п. 3 для интервального ряда распределения. Объяснить причину их расхождения. Сделайте выводы по результатам выполнения задания. Выполнение задания №1 Целью выполнения данного задания является изучение состава и структуры выборочной совокупности организаций путем построения и анализа статистического ряда распределения организаций по признаку доходов. 1.Построение интервального ряда распределения организаций по доходам Для построения интервального вариационного ряда, характеризующего распределение организаций по доходам, необходимо вычислить величину и границы интервалов ряда . При построении ряда с равными интервалами величина интервала h определяется по формуле
где Определение величины интервала по формуле (1) при заданных k = 5, xmax = 16,0 млн. руб., xmin = 6,0 млн. руб.:
При h = 2 млн. руб. границы интервалов ряда распределения имеют следующий вид (табл.2.2): Таблица 2.2.
Для построения интервального ряда необходимо подсчитать число организаций, входящих в каждую группу (частоты групп ). При этом возникает вопрос, в какую группу включать единицы совокупности, у которых значения признака выступают одновременно и верхней, и нижней границами смежных интервалов (для демонстрационного примера – это 8,0, 10,0, 12,0, 14,0 млн. руб.). Отнесение таких единиц к одной из двух смежных групп рекомендуется осуществлять по принципу полуоткрытого интервала [ ). Т.к. при этом верхние границы интервалов не принадлежат данным интервалам, то соответствующие им единицы совокупности включаются не в данную группу, а в следующую. В последний интервал включаются и нижняя , и верхняя границы . Процесс группировки единиц совокупности по признаку Доходам представлен во вспомогательной (разработочной) таблице 2.3. Таблица 2.3. Группировка страховых организаций по размеру денежных доходов
В результате группировке получили следующий ряд распределения (таблица 2.4.): Таблица 2.4. Распределение страховых организаций по доходам
Помимо частот групп в абсолютном выражении в анализе интервальных рядов используются ещё три характеристики ряда, приведенные в графах 4 - 6 табл. 1.4. Это частоты групп в относительном выражении, накопленные (кумулятивные) частотыSj
,получаемые путем последовательного суммирования частот всех предшествующих (j-1) интервалов, и накопленные частости, рассчитываемые по формуле Таблица 2.5. Структура организаций по доходам
Вывод. Анализ интервального ряда распределения изучаемой совокупности страховых организаций показывает, что распределение организаций по доходам не является равномерным: преобладают организации с доходами от 10 млн. руб. до 12 млн. руб. (это 10 организаций, доля которых составляет 33,33 %); 33,33 % организаций имеют доходы менее 10 млн. руб., а 66,66 % – менее 12 млн. руб. 1.2. Нахождение моды и медианы полученного интервального ряда распределения графическим методом Мода и медиана являются структурными средними величинами , характеризующими (наряду со средней арифметической) центр распределения единиц совокупности по изучаемому признаку. Мода Мо для дискретного ряда – это значение признака, наиболее часто встречающееся у единиц исследуемой совокупности. В интервальном вариационном ряду модой приближенно считается центральное значение модального интервала (имеющего наибольшую частоту). Более точно моду можно определить графическим методом по гистограмме ряда (рис.1).
Рис. 1 Определение моды графическим методом Медиана Ме – это значение признака, приходящееся на середину ранжированного ряда. По обе стороны от медианы находится одинаковое количество единиц совокупности. Медиану можно определить графическим методом по кумулятивной кривой (рис. 2). Кумулята строится по накопленным частотам (табл. 2.5, графа 5).
Рис. 2. Определение медианы графическим методом 3. Расчет характеристик ряда распределения Для расчета характеристик ряда распределения среднюю арифметическую, среднее квадратическое отклонение, коэффициент вариации, моду и медиану на основе табл. 2.5 строится вспомогательная таблица. Таблица 2.6.Расчёт характеристик ряда распределения
Среднее арифметическое находим по формуле средне арифметическая взвешенная:
Дисперсию вычислим по формуле:
Среднее квадратическое отклонение определим по формуле:
Коэффициент вариации найдем по формуле:
Вывод: 19,7% < 33%, т.к. коэффициент вариации меньше 33%, то совокупность по доходам страховых организаций считается однородной. Рассчитываем моду:
где X o – нижняя граница модального интервала, h –ширина модального интервала, f Mo – частота модального интервала, f Mo-1 – частота интервала, предшествующего модальному, f Mo+1 – частота интервала, следующего за модальным.
Вывод: В данной совокупности наиболее часто встречаются страховые организации с доходом 16 млн. руб. Найдём медиану:
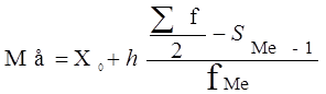
где X 0 – нижняя граница медианного интервала, h – ширина медианного интервала,
f Ме – частота медианного интервала, S Mе-1 – кумулятивная (накопленная) частота интервала, предшествующего медианному.
Вывод: В данной совокупности 50% страховых организаций имеют доход более 11,429 млн. руб., а 50% страховых организаций менее. ВЫВОД: Анализ полученных значений показателей Значение V
= 19,7% не превышает 33%, следовательно, вариация кредитных вложений в исследуемой совокупности организаций незначительна и совокупность по данному признаку качественно однородна. Расхождение между значениями 4. Вычисление средней арифметической по исходным данным Для расчета применяется формула средней арифметической простой:
Причина расхождения средних величин, рассчитанных по формулам Задание 2 По исходным данным табл. 1 с использованием результатов выполнения задания №1 необходимо выполнить следующее: 1. Установить наличие и характер корреляционной связи между признаками денежные доходыи прибыли, используя метод аналитической группировки образовав, пять групп с равными интервалами по факторному признаку. 2. Оценить тесноту и силу корреляционной связи, используя коэффициент детерминации и эмпирическое корреляционное отношение. 3. Оценить статистическую значимость показателя силы связи. Сделать выводы по результатам выполнения задания 2. Выполнение задания №2 Целью выполнения данного задания является выявление наличия корреляционной связи между факторным и результативным признаками, установление направления связи, оценка тесноты и силы связи. Факторный и результативный признаки либо задаются в условии задания, либо определяются путем проведения предварительного теоретического анализа. Лишь после того, как выяснена экономическая сущность явления и определены факторный и результативный признаки, приступают к проведению корреляционного анализа данных. По условию задания 2 факторным является признак Доходов (X) , результативным – признак Прибыли ( Y) . 1. Установление наличия и характера связи между признаками денежных доходов и прибыли методом аналитической группировки При использовании метода аналитической группировки строится интервальный ряд распределения единиц совокупности по факторному признаку Х
и для каждой группы ряда определяется среднегрупповое значение Используя разработочную таблицу 2.3., строим аналитическую группировку, характеризующую зависимость между факторным признаком Х – доходов и результативным признаком Y –прибыли. Таблица 2.7. Сводная итоговая аналитическая таблица
Вывод: сравнивая графы 5 и 7 аналитической таблицы, мы видим, что с увеличением прибыли страховых организаций растет их доход, отсюда следует, между этими показателями имеется прямая зависимость. 2. Измерение тесноты и силы корреляционной связи с использованием коэффициента детерминации и эмпирического корреляционного отношения Для измерения тесноты и силы связи между факторным и результативным признаками рассчитывают специальные показатели – эмпирический коэффициент детерминации и эмпирическое корреляционное отношение. Эмпирический коэффициент детерминации оценивает силу связи, определяя, насколько вариация результативного признака Y объясняется вариацией фактора Х (остальная часть вариации Y объясняется вариацией прочих факторов). Вычислим коэффициент детерминации, который представляет собой отношение межгрупповой дисперсии к общей дисперсии. Эмпирический коэффициент детерминации найдем по формуле:
Расчет межгрупповой дисперсии представим в рабочей таблице 2.8.: Таблица 2.8. Рабочая таблица с расчетом межгрупповой дисперсии
Межгрупповую дисперсию найдем по формуле:
Общую дисперсию рассчитаем по формуле:
Общая дисперсия
где y– индивидуальные значения результативного признака;
n – число единиц совокупности. Общая средняя
Для вычисления
Для расчета общей дисперсии Таблица 2.9.
Вспомогательная таблица для расчета общей дисперсии Расчет общей дисперсии по формуле
Общая дисперсия может быть также рассчитана по формуле:
где
Считаем коэффициент детерминации: Вывод: 87% вариации прибыли страховых организаций обусловлено вариации доходов и на 13% вариации прочих факторов. Эмпирическое корреляционное отношение оценивает тесноту связи между факторным и результативным признаками и вычисляется по формуле
Значение показателя изменяются в пределах Таблица 2.10 Шкала Чэддока
Найдем эмпирическое корреляционное отношение по формуле:
Так как эмпирическое корреляционное отношение больше 0,7 можно сделать вывод, что связь между прибылью и доходом страховых организаций сильная. 3. Оценка статистической значимости коэффициента детерминации Показатели Проверка выборочных показателей на их неслучайность осуществляется в статистике с помощью тестов на статистическую значимость (существенность) показателя.
Для проверки значимости коэффициента детерминации
где n – число единиц выборочной совокупности,
Величина
где Для проверки значимости показателя
Если F
расч
>
F
табл
, коэффициент детерминации Если F
расч
<
F
табл
, то показатель Фрагмент таблицы Фишера критических величин F-критерия для значений Таблица 2.11 Фрагмент таблицы Фишера
Расчет дисперсионного F-критерия Фишера для оценки F
рас
ч Табличное значение F-критерия при
Вывод
: поскольку F
расч
>
F
табл
, то величина коэффициента детерминации Задание 3 По результатам выполнения задания 1 с вероятностью 0,954 определите: 1. Ошибку выборки средней величины доходов и границы, в которых она будет находиться в генеральной совокупности. 2. Ошибку выборки доли страховых организаций с доходами 14 млн. руб. и более, а также границы, в которых будет находиться генеральная доля. Выполнение задания № 3 Целью выполнения данного задания является определение для генеральной совокупности страховых организаций региона границ, в которых будут находиться величина среднего денежного дохода организаций и доля организаций с доходом не менее 14 млн. руб. 1. Определение ошибки выборки для среднего дохода организаций и границ, в которых будет находиться генеральная средняя Применение выборочного метода наблюдения всегда связано с установлением степени достоверности оценок показателей генеральной совокупности , полученных на основе значений показателей выборочной совокупности. Достоверность этих оценок зависит от репрезентативности выборки, т.е. от того, насколько полно и адекватно представлены в выборке статистические свойства генеральной совокупности. Как правило, генеральные и выборочные характеристики не совпадают, а отклоняются на некоторую величину , которую называют ошибкой выборки (ошибкой репрезентативности). Значения признаков единиц, отобранных из генеральной совокупности в выборочную, всегда случайны, поэтому и статистические характеристики выборки случайны, следовательно, и ошибки выборки также случайны. Ввиду этого принято вычислять два вида ошибок - среднюю ошибку выборки Средняя ошибка выборки
Величина средней ошибки выборки рассчитывается дифференцированно (по различным формулам) в зависимости от вида и способа отбора единиц из генеральной совокупности в выборочную. Для собственно-случайной и механической выборки с бесповторным способом отбора средняя ошибка
где N – число единиц в генеральной совокупности, n – число единиц в выборочной совокупности. Найдем среднюю ошибку выборки:
N=300 – 100%
Предельная ошибка выборки
где
Границы В экономических исследованиях чаще всего используются доверительные вероятности Р= 0,954, Р= 0,997, реже Р= 0,683. В математической статистике доказано, что предельная ошибка выборки
Значения t вычислены заранее для различных доверительных вероятностей Р и находятся в таблиц функций Лапласа Ф . Для наиболее часто используемых уровней надежности Р значения t задаются следующим образом:
Найдем предельную ошибку:
(p=0,954; t=2) Найдем границы:
Вывод: На основании проведенного выборочного исследования страховых организаций с вероятностью 0,954 можно утверждать, что доход страховых организаций в генеральной совокупности будет находиться в пределах от 10,185 млн. руб. до 11,681 млн. руб. 2.Определение ошибки выборки доли страховых организаций с доходами 14 млн. руб. и более и границ, в которых будет находиться генеральная доля Доля единиц выборочной совокупности, обладающих тем или иным заданным свойством, выражается формулой
где m – число единиц совокупности, обладающих заданным свойством; n – общее число единиц в совокупности. Для собственно-случайной и механической выборки с бесповторным способом отбора предельная ошибка выборки
где
N – число единиц в генеральной совокупности, n – число единиц в выборочной совокупности. Предельная ошибка выборки
Посчитаем предельную ошибку:
Найдем пределы:
Вывод: с вероятностью 0,954 можно утверждать, что ошибка в выборке доли организаций с доходом 14 млн. руб. и более составляет 4,3 %, границы в которых находится генеральная доля от 0% до 15,27%. Задание 4 Определите тарифную ставку страхования профессиональной ответственности аудиторов при средней убыточности 55 руб. на 100 руб. страховых сумм, экспертной оценке вероятности наступления страхового события – 0,05, числе договоров – 1200, доле абсолютной нагрузки в брутто – ставке – 25% и вероятности непревышения возмещения по сравнению со страховыми суммами – 0,997 Решение: Тарифная ставка (брутто-ставка) страхования находиться по формуле:
T n - нетто- ставка страхования; H - абсолютная нагрузка в брутто – ставке. T n = T o + T p T o – основная часть нетто- ставки; T p- рисковая надбавка. То =Sв/S•q• где Sв — средняя величина страхового возмещения (страховой выплаты) на один страховой случай по договорам страхования данного вида; S — средняя страховая сумма на один договор страхования данного вида; Определим основную часть нетто – ставки страхования: Tp =55*0,05=2,75руб. на 100 руб. страховой суммы. Рисковая надбавка рассчитывается по формуле:
T 0 – основная часть нетто – ставки: T р – рисковая надбавка: q – экспертная оценка вероятности наступления страхового случая; t – коэффициент доверия, кратности не превышения возмещения по сравнению со страховыми суммами; N – количество договоров.
Определим брутто – ставку (тариф) страхователя:
Тарифная ставка страхования профессиональной ответственности аудиторов составит 5,3276 руб. со 100 руб. страховой суммы. 3.Аналитическая часть 3.1 Постановка задачи Обобщенную оценку эффективности деятельности страховых организаций дают достигнутые ими финансовые результаты. Одним из направлений изучения финансовых результатов деятельности организации является анализ прибыли, полученных за несколько отчетных периодов, то есть динамики. Страховые организации предоставляют в органы статистики сведения о финансовом состоянии, где отражают объем прибыли (убытка). Эта прибыль характеризует конечный финансовый результат и определяется на основе бухгалтерского учета всех хозяйственных операций. По данным отчетов о прибылях и убытках страховой организации за несколько лет, предоставлены в таблице 3.1, проведем анализ динамики прибыли страховых организаций, для этого рассчитаем следующие показатели: · абсолютный прирост; · темп роста; · темп прироста; · абсолютное значение 1% прироста; · средние за период уровень ряда, абсолютный прирост, темп роста и прироста; Таблица 3.1 Основные показатели деятельности страховых организаций
3.2Методика решения задачи Расчет показателей анализа ряда динамики осуществим по формулам, представленным в таблице 3.2 Таблица 3.2 Формулы расчета показателей
Средний уровень в интервальном ряду динамики вычисляется по формуле:
Для определения абсолютной величины, стоящей за каждым процентом прироста прибыли, рассчитывают показатель абсолютного значения 1% прироста (А%). Один из способов его расчета – расчет по формуле:
у1 - уровень первого периода; уi - уровень сравниваемого периода; уi -1 - уровень предыдущего периода; уn - уровень последнего периода; n- число уровней ряда динамики. 3.3 Технология выполнения компьютерных расчетов Расчеты показателей анализа динамики прибыли организации выполнены с применением пакета прикладных программ обработки электронных таблиц MSExcel в среде Windows. Расположение на рабочем листе Excel исходных данных (табл.3.1) и расчетных формул (в формате Excel) предоставлено в таблице 3.3. Таблица 3.3
Таблица 3.4 Результаты расчетов
На рисунке 3 представлено графически изображение динамики прибыли страховых организаций за 7 лет.
Рис. 3 Изменение прибыли страховых организаций 3.4 Анализ результатов статистических компьютерных расчетов Результаты проведенных расчетов позволяют сделать следующие выводы: наблюдается скачкообразная динамика прибыли в течение анализируемого семилетнего периода деятельности страховых организаций. Средний размер прибыли страховых организаций составил 19209,257 млн. руб., в среднем за год она увеличилась на 62,467 млн. руб. Абсолютное значение 1% прироста, с 2002г. по 2008г. увеличивается, причем резкий рост прибыли замечен в периоде с 2005г. по 2006г. (на 17,5 млн. руб.), затем рост прибыли начинает уменьшаться в периоде с 2006г. по 2008г.. Самое минимальное значение было 2004 году и оно составило 10203,8 млн. руб., а самое максимальное значение было в 2006 году и оно составило 30550,8 млн. руб. Таким образом, состояние прибыли страховых организаций можно считать нестабильным. Для более глубокого анализа динамики прибыли необходимо изучить изменения составляющих её элементов и направления этих изменений за рассматриваемый период, выявить влияние отдельных факторов. Прогноз прибыли страховых организаций на 2010 – 2011 годы. Исходные данные
Средний абсолютный прирост не измениться Прогноз осуществляется по формуле 2009год 2010 год 2011 год Найдем средний коэффициент роста
2009год 2010 год 2011 год Построим график изменения прибыли страховых организаций
По графику видно, что прибыль в 2010 -2011 году будет постепенно расти, но почти не измениться со сравнением с 2008 годом. Заключение В своей курсовой работе на тему: «Статистическое изучение страхового рынка», я постаралась раскрыть многие вопросы, такие как: понятие и задачи статистики страхования; система показателей статистики страхования; статистическое изучение динамики показателей страхового рынка. В расчетной части было поставлено несколько задач: по исходным данным построить статистический ряд распределения предприятий по признаку – доходы страховых организаций, образовав, пять групп с равными интервалами, рассчитать характеристики интервального ряда распределения: среднюю арифметическую, среднее квадратическое отклонение, коэффициент вариации, моду и медиану. Установить наличие и характер связи между признаками денежный доход и прибыль, методом аналитической группировки образовав, пять групп с равными интервалами по факторному признаку. Измерить тесноту корреляционной связи между названными признаками с использованием коэффициентов детерминации и эмпирического корреляционного отношения. По результатам выполнения задания 1 с вероятностью 0,954 определить: ошибку выборки средней величины доходов и границы, в которых она будет находиться в генеральной совокупности; ошибку выборки доли страховых организаций с доходами 14 млн. руб. и более и границы, в которых будет находиться генеральная доля. Определить тарифную ставку страхования профессиональной ответственности аудиторов. Сделать выводы по результатам выполнения задания. В результате выполнения поставленных задач можно сделать следующие выводы: расчеты, проведенные по ряду распределения показали, что средний доход страховых организаций изучаемой совокупности составил 10,933 млн. руб., при среднем квадратическом отклонении 2,159 млн. руб., коэффициент вариации составил 19,7% это означает, что совокупность однородна по изучаемому признаку. Сравнивая, графы 5 и 7 аналитической таблицы 2.7 мы видим, что с увеличением прибыли страховых организаций растет их доход, отсюда следует, между этими показателями имеется прямая зависимость. Вариация дохода страховых организаций на 87% обусловлена вариацией прибыли и на 13% вариации прочих факторов. Так как эмпирическое корреляционное отношение больше 0,7 можно сделать вывод, что связь между прибылью и доходом страховых организаций высокая. С вероятностью 0,954 можно утверждать, что доход страховых организаций в генеральной совокупности будет находиться в пределах от 10,185 млн. руб. до 11,681 млн. руб.; с вероятностью 0,954 можно утверждать, что ошибка в выборке доли организаций с доходом 14 млн. руб. и более составляет 0,04%, границы в которых находится генеральная доля от 0% до 15,27%. Тарифная ставка страхования профессиональной ответственности аудиторов составит 5,3276 руб. со 100 руб. страховой суммы. В аналитической части работы я самостоятельно изучила статистический материал (который был взят из «Статистического ежегодника 2009»), с выполнением расчетов при помощи компьютера, результат расчетов представляется в виде статистического графика. Аналитическая часть завершается аргументированными выводами. В самом конце работы составила список использованной литературы. Список используемой литературы 1. Антоненко Л.С. Курс социально-экономической статистики: – М.: ЮНИТИ – ДАНА. 1999г. 2. Башкатов Б. И. Социально-экономическая статистика: Учебник для вузов/– М.: ЮНИТИ – ДАНА, 2002. – 703 с. 3. Багат А.В., Конкина М.М., В.М. Симчера В.М. . Статистика: учеб. пособие/; под ред. Симчеры В.М. – М.: Финансы и статистика, 2005. – 368с. 4. Гусаров В. М. Статистика: Учеб. пособие для вузов – М.: ЮНИТИ – ДАНА, 2001 – 463 с. 5. Гусаров В. М. Теория статистики: Учебн. Пособие для вузов. – М.: Аудит, ЮНИТИ, 1998. – 247 с. 5. Российский статистический ежегодник. 2009: Стат. Сб. РОССТАТ – М, 2009 – 819 с. Приложения Требования к структуре и содержанию теоретической части курсовых работ Изложение теоретического материала целесообразно разбить на 3 параграфа: §1. Рассматриваемое социально-экономическое явление как объект статистического изучения. §2. Система статистических показателей, характеризующих изучаемое явление. §3. Применение метода__________________________ в изучении явления. название статистического метода При изложении материала в §1-§3 необходимо руководствоваться нижеследующим. В §1 следует описать изучаемое социально-экономическое явление с точки зрения статистики: кратко изложить содержание и задачи статистики при изучении явления; определить необходимые для описания явления понятия и категории; привести классификацию изучаемых объектов по видам (типам), а также изложить другие вопросы, связанные с раскрытием экономической (социальной) сущности изучаемого явления. В завершение параграфа следует указать источники получения статистической информации об изучаемом явлении. В §2 необходимо рассмотреть показатели, используемые для получения статистических характеристик изучаемого явления, раскрыть назначение каждого из показателей, привести формулы для их расчета, а также примеры расчета показателей по этим формулам. Все примеры расчета показателей должны быть непосредственно связаны с изучаемым в курсовой работе явлением. В случае, если такие примеры имеются в расчетной части КР, то в §2 вместо примеров могут быть сделаны ссылки на эти расчеты (с указанием соответствующих страниц). В данном параграфе следует также представить актуальный статистический материал, характеризующий изучаемое явление и относящийся к одному или нескольким из рассмотренных показателей. Приводимые статистические данные целесообразно проиллюстрировать графиками и диаграммами. Необходимые статистические данные можно отыскать в выпускаемых Росстатом статистических сборниках, на сайтах сети Интернет или в периодической печати. В КР обязательно должны быть указаны источники приводимого статистического материала. В §3 необходимо кратко перечислить статистические методы , которые можно использовать для изучения рассматриваемого явления, и затем подробно описать один из них (например, метод группировки, выборочный, балансовый, индексный методы, методы анализа рядов динамики и др.). Метод для подробного рассмотрения либо указан в теме КР, либо выбирается, исходя из содержания темы работы или по согласованию с преподавателем. Название выбранного метода фиксируется в оглавлении теоретической части КР в §3. Рассмотрение выбранного метода необходимо проводить по следующей методической схеме : · сущность метода, сфера его применения в статистике; · назначение и возможности данного метода в статистическом анализе изучаемого явления (требуется описать применительно к изучаемому явлению : какие именно статистические задачи можно решать с применением данного метода; какие статистические характеристики явления можно рассчитать с его помощью; какие статистические закономерности можно установить в явлении, используя данный метод; какая статистическая информация необходима для применения метода и др.); · примеры применения метода с выполнением необходимых расчетов (если такие примеры имеются в расчетной или аналитической части КР, в §3 вместо примеров могут быть сделаны ссылки на эти расчеты). При изложении теоретического материала необходимо ссылаться на соответствующие страницы используемой литературы. Освещать следует только те вопросы, которые непосредственно относятся к основному содержанию темы, не касаясь проблем других отраслей знаний ─ математической статистики, бухгалтерского учета, экономического анализа, банковского дела и т.д. [1] Башкатов Б. И. Социально-экономическая статистика: Учебник для вузов/– М.: ЮНИТИ – ДАНА, 2002. – 703 с. [2] Российский статистический ежегодник. 2009: Стат. Сб. РОССТАТ – М, 2009 – 819 с. |
|||||||||||||||||||||||||||||||||||||||||||||||||||||||||||||||||||||||||||||||||||||||||||||||||||||||||||||||||||||||||||||||||||||||||||||||||||||||||||||||||||||||||||||||||||||||||||||||||||||||||||||||||||||||||||||||||||||||||||||||||||||||||||||||||||||||||||||||||||||||||||||||||||||||||||||||||||||||||||||||||||||||||||||||||||||||||||||||||||||||||||||||||||||||||||||||||||||||||||||||||||||||||||||||||||||||||||||||||||||||||||||||||||||||||||||||||||||||||||||||||||||||||||||||||||||||||||||||||||||||||||||||||||||||||||||||||||||||||||||||||||||||||||||||||||||||||||||||||||||||||||||||||||||||||||||||||||||||||||||||||||||||||||||||||||||||||||||||||||||||||||||||||||||||||||||||||||||||||||||||||||||||||||||||||||||||||||||||||||||||||||||||||||||||||||||||||||||||||||||||||||||||||||||||||||||||||||||||||||||||||||||||||||||||||||||||||||||||||||||||||||||||||||||||||||||||||||||||||||||||||||||||||||||||||||||||||||||||||||||||||||||||||||||||||||||||||||||||||||||||
, или
,
. 
, или
,
,
.

,
,
,
(1)
.

, где

;
=19,7%
= 16 млн. руб.
;
= 11,429 млн. руб.
,
и
, заключается в том, что по формуле (ср. ариф. простой) средняя определяется по фактическим значениям исследуемого признака для всех 30-ти банков, а по формуле (ср. ариф. взвешанной) средняя вычисляется для интервального ряда, когда в качестве значений признака берутся середины интервалов и, следовательно, значение средней будет менее точным.

,
или как средняя взвешенная по частоте групп интервального ряда:


,
или 87% 

,
,
, где
тыс. руб.


или 4,3 %

, где
руб. со 100 руб. страховой суммы.
руб. со 100 руб. страховой суммы.


.
, где


; 