Реферат: Производительность труда в горной промышленности, пути её повышения на примере ОАО Русал- Са
|
Название: Производительность труда в горной промышленности, пути её повышения на примере ОАО Русал- Са Раздел: Рефераты по экономике Тип: реферат | ||||||||||||||||||||||||||||||||||||||||||||||||||||||||||||||||||||||||||||||||||||||||||||||||||||||||||||||||||||||||||||||||||||||||||||||||||||||||||||||||||||||||||||||||||||||||||||||||||||||||||||||||||||||||||||||||||||||||||||||||||||||||||||||||||||||||||||||||||||||||||||||||||||||||||||||||||||||||||||||||||||||||||||||||||||||||||||||||||||||||||||||||||||||||||||||||||||||||||||||||||||||||||||||||||||||||||||||||||||||||||||||||||||||||||||||||||||||||||||||||||||||||||||||||||||||||||||||||||||||||||||||||||||||||||||||||||||||||||||||||||||||||||||||||||||||||||||||||||||||||||||||||||||||||||||||||||||||||||||||||||||||||||||||||||||||||||||||||||||||||||||||||||||||||
Тема: « Производительность труда в горной промышленности, пути её повышения (на примере ОАО «Русал- Саянал»)» ) Содержание
ВВЕДЕНИЕ Сегодня для любого гражданина России не секрет, что экономика его страны практически перешла на рыночные рельсы и функционирует исключительно по законам рынка. Каждое предприятие отвечает за свою работу самостоятельно и самостоятельно принимает решения о дальнейшем развитии. А в рыночной экономике выживает тот, кто наилучшим образом использует имеющиеся у него ресурсы для получения максимального количества прибыли, решая основные проблемы экономической деятельности. Но как предприятие само может оценить эффективность своей работы и результативность использования собственных ресурсов (пока это не сделали конкуренты, просто вытеснив неудачника с рынка)? Из известных на данный момент факторов производства одним из главных, а зачастую основным и требующим наибольших затрат является труд. Анализ эффективности использования факторов производства невозможен без внимания к затратам на оплату труда. Решению этой сложной задачи посвящена не одна книга. При этом цель данной работы можно сформулировать следующим образом: используя литературу и другие источники информации практически закрепить полученные на занятиях навыки по технико-экономическому анализу хозяйственной деятельности предприятия. При этом будут решены следующие задачи: определение, что же современная наука понимает под понятием «трудовые ресурсы», какое место они занимают в хозяйственной деятельности предприятия и его анализе, характеристика трудовых показателей, используемых при проведении анализа. Исследование на примере конкретного предприятия (это будет ОАО «Русал-Саянал») динамики численности персонала, показателей отработанного времени, использования трудовых ресурсов, производительности труда и фонда оплаты труда на предприятии; оценка эффективности мероприятий по улучшению организации труда на этом предприятии путем изучения динамики производственных показателей и поиска узких мест в организации труда на предприятии. Как отмечалось, объектом исследования выбрано предприятие ОАО «Русал-Саянал». Предприятие занимается производственной деятельностью на рынке металлургической продукции страны. При этом стратегическими партнерами ОАО является важные для страны металлургические предприятия, что уже само собой говорит об уровне и объемах производства на данном предприятии. К особенностям данного субъекта можно отнести некоторую «раздутость» управленческого персонала, активное использование потогонных конвейерных технологий, сильный износ оборудования и стратегические планы руководства. Относительно анализа трудовых показателей следует отметить, что он является одной из важнейших проблем, которая исследуется не только в экономическом анализе, но и в ряде других дисциплин. В новых условиях хозяйствования важнейшими его задачами являются: 1. правильное отражение численности работников; 2. контроль над использованием рабочего времени, соблюдением дисциплины труда; 3. обеспечение точного и правильного начисления заработной платы каждому работнику; 4. контроль правильности использования фонда оплаты труда по категориям работников, цехам – по предприятию в целом; 5. своевременное составление бухгалтерской и статистической отчетности по труду и зарплате. Задачи и источники анализа . Анализу хозяйственной деятельности принадлежит важная роль в совершенствовании организации заработной платы, обеспечении ее прямой зависимости от количества и качества труда, конечных производственных результатов и экономическому развитию предприятия в целом. В процессе анализа: выявляются резервы для создания необходимых ресурсов роста и совершенствования труда, введения прогрессивных форм оплаты труда работников, обеспечивается систематический контроль над мерой труда и потребления[6]. Задачи анализа использования фонда оплаты труда: ¾оценка использования средств на оплату труда; ¾определение факторов, влияющих на использование фонда оплаты труда по категориям персонала и видам заработной платы; ¾оценка эффективности применяемых форм оплаты труда и видов заработной платы, систем премирования работников; ¾выявление резервов рационального использования средств на оплату труда, обеспечения опережающего роста производительности труда по сравнению с повышением его оплаты. ¾Источники информации для анализа : план экономического и социального развития предприятия, статистическая отчетность по труду ф.N 1-т «Отчет по труду», приложение ф.N 1-т «Отчет о движении рабочей силы, рабочих мест», ф.N 2-т «Отчет о количестве работников в аппарате управления и оплате их труда», данные табельного учета и отдела кадров. ГЛАВА I Теоретические аспекты производительности труда 1.1. Кадры предприятия: сущность, структура Трудовые ресурсы на предприятии — это объект постоянной заботы со стороны руководства предприятием. Роль трудовых ресурсов существенно возрастает в период рыночных отношений. Инвестиционный характер производства, его высокая наукоемкость, приоритетность вопросов качества продукции изменили требования к работнику, повысили значимость творческого отношения к труду и высокого профессионализма. Это привело к существенным изменениям в принципах, методах и социально-психологических вопросах управления персоналом на предприятии. Хорошо подобранный трудовой коллектив — одна из основных задач предпринимателя. Это должна быть команда единомышленников и партнеров, способных осознавать, понимать и реализовывать замыслы руководства предприятия. Только она служит залогом успеха предпринимательской деятельности, выражения и процветания предприятия. Новые производственные системы состоят не только из совершенных машин и механизмов, но и включают людей, которые должны работать в тесном взаимодействии, быть готовыми к выработке и реализации новых идей. Обеспечить тесное взаимодействие множества людей в ходе решения сложнейших технических и производственных проблем невозможно без глубокой заинтересованности каждого в конечном результате и сознательного отношения к работе. Именно человеческий капитал, а не заводы, оборудование и производственные запасы являются краеугольным камнем конкурентоспособности, экономического роста и эффективности. Основными аспектами влияния человеческого фактора на повышение эффективности работы предприятия являются: · отбор и продвижение кадров; · подготовка кадров и их непрерывное обучение; · стабильность и гибкость состава работников; · совершенствование материальной и моральной оценки труда работников. Если оценивать человеческий капитал не как издержки, а как актив предприятия, который надо грамотно использовать, то решение о принятии сотрудника на работу стоит больших денег. При традиционных принципах отбора слишком много внимания уделяется специализированным знаниям, которые быстро устаревают. Поэтому так мало внимания уделяется тем сотрудникам или кандидатам в сотрудники, кто способен постоянно учиться. Существуют два главных критерия отбора и продвижения работников: во-первых, высокая профессиональная квалификация и способность к обучению; во-вторых, опыт общения и готовность к сотрудничеству. Гарантия занятости и снижение текучести кадров обеспечивают значительный экономический эффект и формируют у работников желание повышать эффективность работы, не опасаясь увольнения. Система оплаты труда должна быть гибкой, стимулировать повышение производительности труда, обладать достаточным мотивационным эффектом. Рост оплаты труда не должен опережать темпов роста производительности, эффективности. Гибкость системы оплаты труда в том, что определенная часть заработка ставится в зависимость от общей эффективности работы предприятия, и если рабочий допустил ошибку, он должен расплачиваться за нее. В современных условиях для стимулирования повышения эффективности и производительности необходимо менять не только систему оплаты труда, но и сам подход к ее формированию, нужны иные психологические установки, мышление и шкала оценок. Необходимы новые подходы к формированию трудового коллектива предприятия. Организация труда и управления коллективом предприятия включает: · наем сотрудников в условиях неполной занятости; · расстановку работников в соответствии со сложившейся системой производства; · распределение среди них обязанностей; · подготовку и переподготовку кадров; · стимулирование труда; · совершенствование организации труда; · заботу о работниках, оказавшихся излишними на данном предприятии по самым разным причинам. Трудовой коллектив адаптируется к сложившейся системе производственных процессов. Структура производственного процесса должна базироваться на научных принципах организации труда, которые предполагают: · углубление разделения труда и улучшение кооперации труда на основе целесообразного расчленения производственного процесса; · рациональный подбор профессионально-квалифицированного состава рабочих и их расстановку; · совершенствование трудовых процессов путем разработки и внедрения наиболее рациональных методов и приемов труда; · улучшение обслуживания рабочих мест на основе четкого регламентирования каждой функции обслуживания; · внедрение эффективных форм коллективной работы, развития многоагрегатного обслуживания и совмещения профессий; · совершенствование нормирования труда на основе использования резервов, снижения затрат труда и наиболее рациональных режимов работы оборудования; · организацию и проведение систематического производственного инструктажа, повышение квалификации рабочих, обмен опытом и распространение передовых методов труда; · создание наиболее благоприятных в санитарно-гигиеническом, психофизиологическом, эстетическом отношениях условий труда и безопасности работы, введение рациональных графиков работы, режимов труда и отдыха на производстве. Обобщающими показателями реализации этих принципов служат: · рост производительности труда; · удовлетворение состоянием санитарно-гигиенических и психофизиологических условий труда; · удовлетворение содержательностью труда и его привлекательностью. Наем сотрудников в условиях рыночной экономики предполагает поддержание постоянных связей с учебными заведениями, использование при приеме на работу системы заявок и рекомендаций, проведение экзаменов и собеседований, оценку рекомендаций и отзывов и установление испытательного срока. Основные источники пополнения кадров на предприятии — все виды учебных заведений, предприятия с аналогичными профессиями, биржа труда. Расстановка рабочих и распределение среди них обязанностей основаны на сложившейся системе разделения труда. Наибольшее распространение получили следующие формы разделения труда: · технологическая — по видам работ, профессиям и специальностям; · пооперационная — по отдельным видам операций технологического процесса; · по функциям выполняемых работ — основных, вспомогательных, подсобных; · по квалификации. Таким образом, нам удалось рассмотреть значимость хорошо подобранного коллектива на предприятии, принципы организации труда и управления коллективом, а также различные способы стимулирования работников на предприятии. Далее мы перейдем к рассмотрению производительности труда как конечного результата деятельности предприятия. 1.2. Экономическая сущность производительности труда Эффективность использования трудовых ресурсов на предприятии выражается в изменении производительности труда — результирующего показателя работы предприятия, в котором отражаются как положительные стороны работы, так и все его недостатки. Производительность труда, характеризуя эффективность затрат труда в материальном производстве, определяется количеством продукции, производимой в единицу рабочего времени, или затратами труда на единицу продукции. Различают производительность живого труда и производительность совокупного, общественного, труда. Производительность живого труда определяется затратами рабочего времени в данном производстве, на данном предприятии, а производительность общественного труда — затратами живого и общественного труда. По мере научно-технического прогресса, совершенствования производства доля затрат общественного труда увеличивается, поскольку растет оснащенность работника все новыми средствами труда (от простейших машин до электронных комплексов). Однако основная тенденция в том, что абсолютная величина затрат как живого, так и общественного труда на единицу продукции сокращается. Именно в этом сущность повышения производительности общественного труда. Уровень производительности труда характеризуется двумя показателями: · выработкой продукции в единицу времени (прямой показатель); · трудоемкостью изготовления продукции (обратный показатель). Эти показатели могут быть представлены следующими формулами: b = B/T, t= Т/В, (1.1) где b — выработка продукции в единицу времени; t — трудоемкость изготовления продукции; В — объем произведенной продукции, руб.; Т — затраты живого труда на производство продукции, руб. Выработка продукции — наиболее распространенный и универсальный показатель производительности труда. В зависимости от того, в каких единицах измеряется объем продукции, различают определение выработки в натуральном выражении, а также показателях нормированного рабочего времени. Наиболее наглядно производительность труда характеризует показатель выработки продукции в натуральном выражении. Это такие единицы измерения, как тонны, метры, штуки и др., как правило, характерные для предприятий, выпускающих однородную продукцию. Если предприятие или цех выпускает несколько видов или марок однородной продукции, то выработка определяется в условных единицах. Показатель выработки продукции в денежном выражении применяется для определения производительности труда на предприятиях, выпускающих разнородную продукцию. При использовании нормированного рабочего времени выработка определяется в нормо-часах, в основном на отдельных рабочих местах, в бригадах, на участках, а также в цехах при выпуске разнородной и не завершенной производством продукции, которую нельзя измерить ни в натуральном, ни в денежном выражении. Трудоемкость продукции выражает затраты рабочего времени на производство единицы продукции. В отличие от показателя выработки этот показатель имеет ряд преимуществ: устанавливает прямую зависимость между объемом производства и трудовыми затратами, исключает влияние на показатель производительности труда изменений в объеме поставок по кооперации, организационной структуре производства, позволяет тесно увязать измерение производительности с выявлением резервов ее роста, сопоставить затраты труда на одинаковые изделия в разных цехах предприятия. В зависимости от состава включаемых трудовых затрат различают: · технологическую трудоемкость, включающую все затраты основных рабочих, сдельщиков и повременщиков, tтех; · трудоемкость обслуживания производства, включающую затраты труда вспомогательных рабочих, tобс; · производственную трудоемкость — затраты труда всех рабочих, как основных, так и вспомогательных; · трудоемкость управления производством, включающую затраты труда ИТР, служащих, обслуживающего персонала и охраны tупр; · полную трудоемкость, представляющую собой затраты труда всех категорий промышленно-производственного персонала tпол. Итак, производительность труда, характеризуя эффективность затрат труда в материальном производстве, определяется количеством продукции, производимой в единицу рабочего времени, или затратами труда на единицу продукции. Уровень производительности труда характеризуется выработкой продукции в единицу времени (прямой показатель) и трудоемкостью изготовления продукции (обратный показатель). Определяющее значение на развитие предприятия оказывает рост производительности труда, пути его повышения мы сейчас и рассмотрим. 1.3 Пути повышения производительности труда на предприятии Важным этапом аналитической работы на предприятии является поиск резервов производительности труда, разработка организационно-технических мероприятий по реализации этих резервов и непосредственное внедрение этих мероприятий. Под резервами роста производительности труда понимаются не использованные еще возможности экономии затрат живого и овеществленного труда. В отечественной практике получила распространение следующая классификация резервов повышения производительности труда. 1. Повышение технического уровня производства: · механизация и автоматизация производства; · внедрение новых видов оборудования; · внедрение новых технологических процессов; · улучшение конструктивных свойств изделий; · повышение качества сырья и новых конструктивных материалов. 2. Улучшение организации производства и труда: · повышение норм и зон обслуживания; · уменьшение числа рабочих, не выполняющих нормы; · упрощение структуры управления; · механизация учетных и вычислительных работ; · изменение рабочего периода; · повышение уровня специализации производства. 3. Изменение внешних, природных условий: · изменение горногеологических условий добычи угля, нефти, руд, торфа; · изменение содержания полезных веществ. 4. Структурные изменения в производстве: · изменение удельных весов отдельных видов продукции; · изменение трудоемкости производственной программы; · изменение доли покупных полуфабрикатов и комплектующих изделий; · изменение удельного веса новой продукции. Прирост производительности труда в результате увеличения объемов производства и изменения численности работников определяется по следующей формуле:
где ∆В — процент прироста выпускаемой продукции на предприятии в данный период; ∆Рn — процент уменьшения численности работников предприятия; Рост производительности труда работающих на предприятии ∆Р вследствие увеличения удельного веса кооперированных поставок продукции определяется по следующей формуле:
где dk1, dk0 - удельный вес кооперативных поставок и валовой продукции предприятия соответственно в базисном и планируемом периодах, %. Рост производительности труда в результате лучшего использования фонда рабочего времени рассчитывается по формуле:
где Фэ1, Фэ0 эффективный годовой фонд времени работы одного рабочего соответственно в базисном и планируемом периодах, чел.-ч. Следует отметить, что показатель предельной производительности труда зависит от факторов производства и наличного рынка труда. Отдельное предприятие, решая вопрос о том, какое количество рабочих ему следует нанимать, должно определить цену спроса на труд, т. е. уровень заработной платы. Цена же спроса на любой фактор производства, труд здесь не является исключением, зависит от его предельной производительности, т. е. от предельной производительности труда. Предельная производительность труда — это приращение объема выпускаемой продукции, вызванное использованием дополнительной единицы труда при фиксированных остальных условиях. Исчисляется исходя из предельного продукта труда, под которым понимается прирост продукции, произведенной в результате найма еще одной дополнительной единицы труда. Следовательно, руководство предприятия исходя из необходимости оптимизации всех привлекаемых ресурсов будет применять или вытеснять труд, достигая уровня предельной производительности. В такой ситуации возникает проблема излишней рабочей силы, т. е. безработицы, неполной занятости. Проблема рационального использования рабочей силы становится одинаково важной как для руководителей предприятия, т. е. работодателей, так и для государственных органов управления, которые должны решать вопросы социальной защиты людей, временно оказавшихся безработными. Сложный характер экономики, ее многофакторность и многообразие связей обусловливают необходимость использования при измерении экономического эффекта системы показателей. Для выражения экономического эффекта могут использоваться такие показатели, как товарная и реализованная продукция, прибыль, себестоимость продукции, уровень трудовых и материальных затрат на единицу продукции и др. В качестве критерия оценки эффективности производства выступает экономия общественного труда, рост его производительности. Доля прироста продукции в результате повышения производительности труда Dп определяется по формуле:
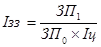
где r — темпы прироста численности работающих; b — темпы прироста производства продукции. К показателям общей эффективности промышленного производства следует отнести трудоемкость Те, фондоемкость Фе, капиталоемкость Ке. Трудоемкость характеризует величину затрат живого труда на единицу продукции и определяется как отношение величины трудовых затрат 3т к общему объему произведенной продукции ВП.
Обратное соотношение этих величин дает показатель производительности труда Пт:
Фондоемкость Фе раскрывает величину применяемых производственных фондов (основных и оборотных) в расчете на единицу продукции и определяется как отношение среднегодовой стоимости производственных фондов Фсг к общему объему произведенной продукции ВП:
Обратное соотношение этих величин дает уже рассмотренный выше показатель фондоотдачи Фо:
Особое место в оценке эффективности общественного производства занимают показатели использования капитальных вложений. Они характеризуют эффективность использования фондов накопления и возмещения на создание новых основных фондов и прирост оборотных фондов, техническое совершенствование производства. Наиболее важный из них — показатель капиталоемкости продукции Ке. Он определяется как отношение величины капитальных вложений К к приросту выпуска продукции ∆ВП, достигнутому за счет этих капитальных вложений:
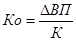
Из формулы видно, что капиталоемкость определяет размер капитальных вложений на единицу прироста продукции (удельные капитальные вложений). Показатель, обратный капиталоемкости, называется капиталоотдачей Ко:
Таким образом, мы рассмотрели теоретические основы производительности труда, пути ее повышения, показатели, которые определяют рост производительности труда и значение кадров для развития предприятия. ГЛАВА II Анализ трудовых показателей на ОАО «Русал-Саянал» 2.1 Краткая характеристика предприятия Полное фирменное наименование: Открытое акционерное общество «РУСАЛ САЯНАЛ» - Полное фирменное наименование на английском языке: Open Joint Stock Company «RUSAL SAYANAL» Сокращенное фирменное наименование: ОАО «РУСАЛ САЯНАЛ» Сокращенное фирменное наименование на английском языке: JSC «RUSAL SAYANAL» - Место нахождения: 655600, Республика Хакасия, г. Саяногорск, Промплощадка. - Дата государственной регистрации и государственный номер: Дата государственной регистрации: 29.12.2001 Номер свидетельства о государственной регистрации: 932 Орган, осуществляющий государственную регистрацию: Администрация г. Саяногорска (постановление № 2150). Основной государственный регистрационный номер юридического лица: 1021900673442 Дата внесения записи: 25.11.2002, Межрайонная инспекция МНС России № 2 по Республике Хакасия. - Сведения об уставном капитале общества Уставный капитал Общества на 31.12.2006 составляет 359 415 966, 594 рублей и разделен на 59 902 661 099 обыкновенных именных акций номинальной стоимостью 0,006 рублей каждая.
Среднесписочная численность работающих в Обществе составила: • в 2008 году - 699 человек. • в 2007 году - 698 человек. Основные виды деятельности общества в 2008 году: • производство алюминиевой фольги и упаковочных материалов на основе алюминиевой фольги, а также других алюминиевых полуфабрикатов. Положение Общества в отрасли Завод «РУСАЛ САЯНАЛ» был построен в 1993 году в городе Саяногорск (Республика Хакасия, Юго-Восточная Сибирь). На сегодняшний день ОАО «РУСАЛ САЯНАЛ» является ведущим в РФ и одним из мировых лидеров в производстве гладкой фольги и гибкой упаковки на ее основе. В 2006 году ОАО «РУСАЛ САЯНАЛ» выпустил 38,3 тыс. тонн продукции, в том числе фольги гладкой 29,3 тыс. тонн, гибкой упаковки на основе фольги 8,6 тыс. тонн, ленты х/к 0,3 тыс. тонн. Годовая проектная мощность составляет 47,65 тыс. тонн готовой продукции, в том числе фольга гладкая 21 тыс. тонн, гибкая упаковка на основе фольги 26,65 тыс. тонн. «РУСАЛ САЯНАЛ» осуществляет поставки алюминиевой фольги и упаковочных материалов на ее основе в страны СНГ, Прибалтики, Западной и Восточной Европы, Америки, Африки, Ближнего Востока и Юго-Восточной Азии. К числу приоритетной для завода «РУСАЛ САЯНАЛ» продукции относятся: • сигаретная фольга; • фольга для фармацевтической промышленности; • фольга для молочной промышленности; • кондитерская фольга; • техническая фольга; • fin-stock; • гладкая фольга, предназначенная для дальнейшей отделки у потребителя • бытовая фольга; • комбинированные материалы на основе фольги; • кабельная фольга. Важными задачами для завода «РУСАЛ САЯНАЛ» являются: • сохранение жизни и здоровья людей, предотвращение техногенных аварий на всех стадиях промышленного производства • выпуск высококачественной продукции, соответствующей требованиям мирового рынка; • сокращение сроков исполнения заказов до уровня ведущих мировых компаний; • снижение затрат на производство фольги и упаковки на ее основе; • автоматизация производства и управления; • освоение новых видов продукции, пользующейся устойчивым спросом на мировом рынке. 2.2 Анализ численности работников предприятия К трудовым ресурсам относится та часть населения, которая обладает необходимыми физическими данными, знаниями и навыками труда в соответствующей отрасли. Достаточная обеспеченность предприятий нужными трудовыми ресурсами, их рациональное использование, высокий уровень производительности труда имеют большое значение для увеличения объемов продукции и повышения эффективности производства. В частности, от обеспеченности предприятия трудовыми ресурсами и эффективности их использования, зависят объем и своевременность выполнения всех работ, эффективность использования оборудования, машин, механизмов – и как результат объем производства продукции, ее себестоимость, прибыль и ряд других экономических показателей. Обеспеченностьпредприятиятрудовымиресурсамиопределяется сравнением фактического количества рабочих по категориям и профессиям с плановой потребностью.Особоевнимание уделяется анализу обеспеченности предприятия работниками наиболее важных профессий. Необходимо анализировать и качественный состав трудовых ресурсов по квалификации. Таблица 2.1.1 Структура обеспеченности работниками предприятия
Из таблицы 2.1.1 видно, что штаты промышленно-производственного персонала по всем видам категорий не укомплектованы (кроме служащих). По сравнению с 2008 годом, только по категории руководители численность возросла на 1,7%. Не укомплектованность штата объясняется нестабильностью работы комбината, низким уровнем зарплаты по сравнению с другими предприятиями области, и несвоевременной ее выплатой. В 2009 году на предприятии общеобразовательный состав работников был следующим: I-II уровня аккредитации насчитывалось 2938 человек, среди них рабочих – 2127; III-IV уровня аккредитации насчитывалось 1347 человек, среди них рабочих – 264. Таким образом, только около 36% работников, а из них 21% рабочих имеют средне техническое и высшее образование. Это характеризует не высокий уровень квалификации работников и рабочих на ОАО «Русал-Саянал». Для оценки соответствия квалификации рабочих сложности выполняемых ими работ, сравнивают средние тарифные разряды работ и рабочих, рассчитанные по средневзвешенной арифметической:
Соответственно нашему предприятию, рассмотрим следующую таблицу: Таблица 2.1.2 Распределение количества рабочих по присвоенным тарифным разрядам
где Тр - тарифный разряд, ЧР- численность рабочих, Vpi- объем работ каждого вида.
Как видим, фактический средний разряд ниже планового, что сказывается негативно на выполнении работ более высокой квалификации и может привести к выпуску менее качественной продукции. Если бы средний разряд рабочих был выше среднего тарифного разряда работ, то рабочим нужно было бы производить доплату за использование их на менее квалифицированные работах. В связи с задержками выплаты заработной платы на комбинате, идет отток рабочих более высокой квалификации, поэтому на предприятии организованы курсы производственного обучения, привлекаются высококвалифицированные работники для обучения работников с более низкой квалификацией, заключаются договора с ПТУ о пополнения кадрового состава. В 2009 повысили квалификацию 2840 работников, из них 2712 рабочих. Административно-управленческий персонал необходимо проверить на соответствие фактического уровня образования каждого работника занимаемой должности и изучить вопросы,связанные с подбором кадров, их подготовкой и повышением квалификации. Квалификационный уровень работников во многом зависит от их возраста, стажа работы, образования и т. д. Поэтому в процессе анализа изучают изменения в составе рабочих по возрасту, стажу работы, образованию. Поскольку они происходят в результате движения рабочей силы, то этому вопросу при анализе уделяется большое внимание[6]. Для характеристики движения рабочей силы рассчитывают и анализируют динамику следующих показателей. Для начала рассмотрим следующую таблицу: Таблица 2.1.3 Динамика движения рабочей силы
Из таблицы 2.1.3 видно, что текучесть кадров, увеличилась на 4% в 2009 году по сравнению с 2008 годом. Во многом увеличению этого показателя способствовало сокращение штата (этот показатель возрос в 2009 году по сравнению с 2008 годом на 8,11%). В свою очередь сокращение штата связано с реструктуризацией производства предприятия и высвобождению работников непромышленной группы (детские учреждения, дома отдыха и т.д.). Если взять увольнение по собственному желанию, то здесь этот показатель возрос на 11,27% по сравнению с 2008 годом. Это объясняется тем, что на предприятии очень низкий уровень заработной платы, и выплачивается она не регулярно. Поэтому работники не заинтересованы в работе на данном предприятии. Всего как видно из таблицы, количество принятого на работу персонала в 2009 году меньше 2008 года на 18,84%, а количество уволившихся работников увеличилось на 7,52%. Коэффициент оборота по приему рабочих (Кпр):
Коэффициент оборота по выбытию (Кв):
Коэффициент текучести кадров (Кт):
Приведем анализ указанных выше показателей на ОАО «Русал-Саянал» Таблица 2.1.4 Характеристика движения рабочей силы на ОАО «Русал-Саянал»
Анализируя данные таблицы можно выявить следующее: 1. Коэффициент оборота по приему на работу снизился в 2009 году по сравнению с 2008 годом на 14,21%. Это негативная тенденция, так как прием работников снизился на данном предприятии. Прежде всего, это объясняется нежеланием работников работать на предприятии; 2. В то же время коэффициент оборота по выбытию в 2009 году по сравнению с 2008 годом возрос на 13,65%. Это говорит о негативной тенденции – работники не заинтересованы в работе на данном предприятии; 3. Что касается коэффициента текучести кадров, то здесь можно отметить, что он возрос на 37,69%. Это выявляет значительную динамику рабочей силы, как по приему, так и по выбытию. 4. Ну и последний показатель, которым характеризуется движение рабочей силы – это показатель постоянства состава. В 2009 году этот показатель вырос по сравнению с 2008 годом на 0,29% – следовательно, количество работающих постоянно занятых на производстве увеличивается и сокращается количество рабочих отлучающихся от производства. Необходимо изучить причины увольнения работников (по собственному желанию, сокращению кадров, из-за нарушений трудовой дисциплины и др.). Напряжение в обеспечении предприятия трудовыми ресурсами может быть несколько снято за счет более полного использования имеющейся рабочей силы, роста производительности труда, интенсификации производства, комплексной механизации и автоматизации производственных процессов, внедрения новой более производительной техники, усовершенствования технологии организации производства. В процессе анализа должны быть выявлены резервы сокращения потребности в трудовых ресурсах в результате проведения вышеперечисленных мероприятий. Если предприятие расширяет свою деятельность, увеличивает производственные мощности, создает новые рабочие места, то следует определить дополнительную потребность в трудовых ресурсах по категориям и профессиям и источники их привлечения. Резерв увеличения выпуска продукции за счет создания дополнительных рабочих мест определяется умножением их прироста на фактическую среднегодовую выработку одного рабочего:
На данном предприятии имеем такую тенденцию, что резерв увеличения количества рабочих мест равен 1313, а выработка фактически на одного рабочего равна 56,7781 тыс. руб. год.
где Р>ВП — резерв увеличения выпуска продукции; Р>КР — резерв увеличения количества рабочих мест; W г.ф — фактическая среднегодовая выработка рабочего. 2.3 Анализ показателей отработанного времени Полноту использования трудовых ресурсов можно оценить по количеству отработанных дней и часов одним работником за анализируемый период времени, а также по степени использования фонда рабочего времени. Такой анализ проводится по каждой категории работников, по каждому производственному подразделению и в целом по предприятию[4]. Таблица 2.2.1 Использование трудовых ресурсов предприятия
Фонд рабочего времени (Т) зависит от численности рабочих (ЧР), количества отработанных дней одним рабочим в среднем за год (Д) и средней продолжительности рабочего дня (tсм): Т= ЧР х Д х tсм. На анализируемом предприятии фактический фонд рабочего времени меньше планового на 2 147 548 часа. Влияние факторов на его изменение можно установить способом абсолютных разниц:
БО= -1103560-680862-363126= -2 147 548 Как видно из расчетов, имеющиеся трудовые ресурсы предприятие использует недостаточно полно. Наибольший удельный вес в сокращении Фонда рабочего времени занимает численность рабочих. Из-за того, что произошло сокращение численности рабочих, Фонд рабочего времени сократился на 1103560 часов. Это большие потери времени даже в рамках всего предприятия. Что касается изменения количества дней на одного работника, то, как видим из таблицы, общее число дней на одного работника снизилось в году на 10. Поэтому Фонд рабочего времени уменьшился на 680862 часа. Ну и последний фактор, который оказывал влияние на Фонд рабочего времени – это продолжительность смены. Фактически по сравнению с планом продолжительность смены сократилась на 0,2 часа. Это повлекло за собой падение Фонда рабочего времени на 363126 часов. Это конечно тоже большие потери рабочего времени и с ними нельзя не считаться. В совокупности под влиянием трех факторов Фонд рабочего времени сократился на 2 147 548 часов. Это очень внушительные потери рабочего времени и надо предпринимать меры по сокращение влияния этой тенденции. В действительности потери рабочего времени еще выше в связи с тем, что фактический фонд включает в себя и сверхурочные работы, которые составили 34916 часов. Если их учесть, то общие потери рабочего времени составят 1009072 часа или 7,31%. Для выявления причин целодневных и внутрисменных потерь рабочего времени сопоставляют данные фактического и планового баланса рабочего времени. Они могут быть вызваны разными объективными и субъективными обстоятельствами, не предусмотренными планом: дополнительными отпусками с разрешения администрации, заболеваниями рабочих с временной потерей трудоспособности, прогулами, простоями из-за неисправности оборудования, машин, механизмов; из-за отсутствия работы, сырья, материалов, электроэнергии, топлива и т.д. Каждый вид потерь анализируется подробнее, особенно те, которые зависят от предприятия. Уменьшение потерь рабочего времени по причинам, зависящим от трудового коллектива, является резервом увеличения производства продукции, который не требует дополнительных капитальных вложений и позволяет быстро получить отдачу. Таблица 2.2.2 Анализ использования фонда рабочего времени
В нашем примере большая часть потерь ((17458+17+175)
Однако надо иметь в виду, что потери рабочего времени, не всегда приводят к уменьшению объема производства продукции, так как они могут быть компенсированы повышением интенсивности труда работников. Поэтому при анализе использования трудовых ресурсов большое внимание уделяется изучению показателей производительности труда. 2.4 Анализ производительности труда Для оценки уровня производительности труда применяется система обобщающих, частных и вспомогательных показателей. К обобщающим показателям относятся среднегодовая, среднедневная и среднечасовая выработка продукции одним рабочим, а также среднегодовая выработка продукции на одного работающего в стоимостном выражении. Частные показатели — это затраты времени на производство единицы продукции определенного вида (трудоемкость продукции) или выпуск продукции определенного вида в натуральном выражении за один человеко-день или человеко-час. Вспомогательные показатели характеризуют затраты времени на выполнение единицы определенного вида работ или объем выполненных работ за единицу времени. Наиболее обобщающим показателем производительности труда является среднегодовая выработка продукции одним работающим. Величина его зависит не только от выработки рабочих, но и от удельного веса последних в общей численности промышленно-производственного персонала, а также от количества отработанных ими дней и продолжительности рабочего дня.
Таблица 2.3.1 Исходные данные для факторного анализа
Отсюда среднегодовая выработка продукции одним работником равна произведению следующих факторов: ГВ = Уд х Д х tсм х ЧВ. Расчет влияния данных факторов на изменение уровня среднегодовой выработки промышленно-производственного персонала произведем способом абсолютных разниц. Таблица 2.3.2 Расчет влияния факторов на уровень среднегодовой выработки работника предприятия способом абсолютных разниц
Из данных таблицы можно сделать выводы, что: · Под влиянием такого фактора как удельный вес рабочих в общей численности работников, среднегодовая выработка работающего уменьшилась на 0,2 тыс. руб. Это связано, скорее всего, с мероприятиями по обслуживанию и управлению производством на данном предприятии, а также, возможно, с организационными моментами производственной деятельности. · За счет такого фактора как количество отработанных дней одним рабочим за год, среднегодовая выработка работника уменьшилась на 2.10 тыс. руб. Это объясняется тем, что рабочие меньше отработали в году дней (10) и, следовательно, меньше нужно было в данном случае работать и обслуживающему персоналу. Отсюда и понижение среднегодовой выработки работников; · Что касается продолжительности рабочего дня, то, как показывает анализ, при уменьшении продолжительности рабочего дня рабочих на 0,2 часа, среднегодовая выработка работника уменьшилась на 0,94 тыс. руб. в год, – следовательно, меньше времени было отведено работникам в производственном процессе, а также влияние объективных факторов; · И под влиянием среднечасовой выработки рабочих, среднегодовая выработка работников увеличилась на 5,55 тыс. руб. Это единственный фактор, которому в данном случае следует уделить максимум внимания, ибо только благодаря ему возможен, как показывает анализ, дальнейший экономический рост предприятия и производительности работников. Аналогичным образом анализируется изменение среднегодовой выработки рабочего, которая зависит от количества отработанных дней одним рабочим за год, средней продолжительности рабочего дня и среднечасовой выработки: Wг. = Д х tсм х ЧВ. Рассчитаем влияние данных факторов способом абсолютных разниц:
БО=-2,11-1,12+6,67=~4,3 Итак, анализируя вышеприведенные факторы, можно вывить следующее: - Под влиянием изменения количества рабочих дней фактически по сравнению с планом, т.е. уменьшения фактических дней, среднегодовая выработка рабочего снизилась на 2,11 тыс. руб. Это конечно негативная тенденция в работе предприятия. Объясняется это тем, что рабочие проработали в году меньше дней. Очевидно, мотивационная политика предприятия работает на данном предприятии слабо, и не выявляется стремление рабочих получить надбавки за проработанное сверхурочно время; - Второй фактор, который оказывал влияние на среднегодовую выработку рабочего, – это продолжительность рабочего дня. Как видим из расчетов, этот фактор снизил среднегодовую выработку рабочего на 1,12 тыс. руб. в год. Следовательно, сокращение продолжительности рабочей смены на 0,2 часа, привело к сокращению выработки на 1,12 тыс. руб. в год. Это негативная тенденция и надо предпринимать меры по недопущению сокращения рабочей смены; - Ну и последний фактор, который оказывал влияние на среднегодовую выработку рабочего – это часовая выработка рабочего. Это, конечно, самый главный фактор, ибо от часовой выработки конкретного работника зависит и годовая его выработка. Как показывают расчеты, среднечасовая выработка увеличилась на 0,004 руб. в час, а в итоге это привело к увеличению среднегодовой выработки рабочего на 6,67 тыс. руб. в год. То есть, это фактор наиболее масштабно повлиял на изменение среднегодовой выработки рабочего и в первую очередь надо работать по увеличению влияния именно этого фактора. Обязательно анализируется изменение среднечасовой выработки как одного из основных показателей производительности труда и фактора, от которого зависит уровень среднедневной и среднегодовой выработки рабочих. Величина этого показателя зависит от факторов, связанных с изменением трудоемкости продукции и стоимостной ее оценки. К первой группе факторов относятся такие, как технический уровень производства, организация производства, непроизводительные затраты времени в связи с браком и его исправлением. Во вторую группу входят факторы, связанные с изменением объема производства продукции в стоимостной оценке в связи с изменением структуры продукции и уровня кооперированных поставок. Для расчета влияния этих факторов на среднечасовую выработку используется способ цепной подстановки. Кроме планового и фактического уровня среднечасовой выработки, необходимо рассчитать три условных показателя ее величины. Первый условный показатель среднечасовой выработки должен быть рассчитан в сопоставимых с планом условиях (за производительно отработанное время, при плановой структуре продукции и плановом техническом уровне производства). Для этого фактический объем производства товарной продукции следует скорректировать на величину его изменения в результате структурных сдвигов (Δ ВПстр) и кооперированных поставок (Δ ВПк.п.), а количество отработанного времени — на непроизводительные затраты времени (Тн) и сверхплановую экономию времени от внедрения мероприятий НТП (Тэ), которую нужно предварительно определить. Большую роль в изучении влияния факторов на уровень среднечасовой выработки играют приемы корреляционно-регрессионного анализа. В многофакторную корреляционную модель среднечасовой выработки можно включить следующие факторы: фондовооруженность или энерговооруженность труда; процент рабочих, имеющих высшую квалификацию или средний тарифный разряд рабочих, средний срок службы оборудования, долю прогрессивного оборудования в общей его стоимости и т.д. Коэффициенты уравнения множественной регрессии покажут, на сколько рублей изменяется среднечасовая выработка при изменении каждого факторного показателя на единицу в абсолютном выражении. Для того чтобы узнать, как за счет этих факторов изменилась среднегодовая выработка рабочих, необходимо полученные приросты среднечасовой выработки умножить на фактическое количество отработанных человеко-часов одним рабочим:
Для определения влияния их на среднегодовую выработку работника нужно полученные приросты среднегодовой выработки рабочих умножить на фактический удельный вес рабочих в общей численности производственно-промышленного персонала:
Чтобы рассчитать влияние этих факторов на изменение объема выпуска продукции, следует прирост среднегодовой выработки работника за счет i-го фактора умножить на фактическую среднесписочную численность промышленно-производственного персонала:
или изменение среднечасовой выработки за счет i-го фактора умножить на фактическую величину продолжительности рабочего дня, количества отработанных дней одним рабочим за год, удельного веса рабочих в общей численности работников и среднесписочной численности работников предприятия:
В заключение анализа необходимо разработать конкретные мероприятия по обеспечению роста производительности труда и определить резервы повышения среднечасовой, среднедневной и среднегодовой выработки рабочих. Основные направления поиска резервов роста производительности труда вытекают из самой формулы расчета ее уровня: ЧВ == ВП/Т, согласно которой добиться повышения производительности труда можно путем: а) увеличения выпуска продукции за счет более полного использования производственной мощности предприятия, так как при наращивании объемов производства на имеющейся мощности увеличивается только переменная часть затрат рабочего времени, а постоянная остается без изменения. В результате затраты времени на выпуск единицы продукции уменьшаются; б) сокращения затрат труда на ее производство путем интенсификации производства, внедрения комплексной механизации и автоматизации производства, более совершенной техники и технологии производства, сокращения потерь рабочего времени за счет улучшения организации производства, материально-технического снабжения и других факторов в соответствии с планом организационно-технических и инновационных мероприятий. При этом возможны следующие варианты соотношения изменения объема выпуска продукции и затрат труда, которые должны учитываться при выборе управленческой стратегии по обеспечению роста производительности труда при существующих в данный момент экономических условиях: а) происходит увеличение объема выпуска продукции при снижении затрат труда на ее производство; б) объем продукции растет быстрее, чем затраты труда; в) объем продукции растет при неизменных затратах труда; г) объем продукции остается неизменным при снижении затрат труда; д) объем продукции снижается более медленными темпами, чем затраты труда. Независимо от выбранного варианта стратегической политики резервы увеличения среднечасовой выработки определяются следующим образом: Р.ув.Wч.= Wч.в- Wч.ф=((ВПф+Р.ув.ВП)/(Тф-Р.ум.Т+Тд))-(ВПф/Тф); где Р.ув.Wч — резерв увеличения среднечасовой выработки; Wч.в.;Wч.ф — соответственно возможный и фактический уровень среднечасовой выработки; Р.ув. ВП — резерв увеличения валовой продукции за счет внедрения мероприятий НТП; Тф — фактические затраты рабочего времени на выпуск фактического объема продукции; Р.ум.Т — резерв сокращения рабочего времени за счет механизации и автоматизации производственных процессов, улучшения организации труда, повышения уровня квалификации работников и др.; Тд. — дополнительные затраты труда, связанные с увеличением выпуска продукции, которые определяются по каждому источнику резервов увеличенияпроизводства продукции с учетом дополнительного объема работ, необходимого для освоения этого резерва, и норм выработки. Умножив резерв роста среднечасовой выработки на плановую продолжительность рабочего дня, получим резерв роста среднедневной выработки. Если же этот резерв умножим на планируемый фонд рабочего времени одного рабочего, то узнаем резерв роста среднегодовой выработки рабочих. Для определения резерва увеличения выпуска продукции необходимо возможный прирост среднечасовой выработки умножить на планируемый (возможный) фонд рабочего времени всех рабочих: Р.ув.ВП = Р.ув.Wч. х Тв; Резерв роста производительности труда за счет проведения определенного мероприятия (Р.ув.Wг.xi) можно рассчитать также по следующей формуле: Р.ув.Wг.xi (%)=(Р.ум.Чрxi (%)/100- Р.ум.Чрxi (%))100; где Р.ум.Чрxi — процент относительного сокращения численности рабочих или управленческого персонала за счет проведения определенного мероприятия. 2.5 Анализ Фонда оплаты труда и среднемесячной заработной платы Анализ использования трудовых ресурсов на предприятии, уровня производительности труда необходимо рассматривать в тесной связи с оплатой труда. С ростом производительности труда создаются реальные предпосылки для повышения уровня его оплаты. При этом средства на оплату труда нужно использовать таким образом, чтобы темпы роста производительности труда обгоняли темпы роста его оплаты. Только при таких условиях создаются возможности для наращивания темпов расширенного воспроизводства. В связи с этим анализ использования средств на оплату труда на каждом предприятии имеет большое значение. В процессе его следует осуществлять систематический контроль над использованием фонда заработной платы (оплаты труда), выявлять возможности экономии средств за счет роста производительности труда и снижения трудоемкости продукции. Фонд заработной платы по действующей инструкции органов статистики включает в себя не только фонд оплаты труда, относимый к текущим издержкам предприятия, но и выплаты за счет средств социальной защиты и чистой прибыли, остающейся в распоряжении предприятия. Наибольший удельный вес в составе средств, использованных на потребление, занимает фонд оплаты труда, включаемый в себестоимость продукции. Приступая к анализу использования фонда заработной платы, включаемого в себестоимость продукции, в первую очередь необходимо рассчитать абсолютное и относительное отклонение фактической его величины от плановой величины. Однако следует иметь в виду, что абсолютное отклонение само по себе не характеризует использование фонда зарплаты, так как этот показатель определяется без учета степени выполнения плана по производству продукции.
Приведенные расчеты показывают, что изменение фонда заработной платы в абсолютном выражении составило 2885 тыс. руб. Таким образом, можно сказать, что в целом по предприятию наблюдается тенденция к сокращению фонда оплаты труда. С одной стороны это позитивный момент, так как при этом есть резервы снижения себестоимости продукции, с другой стороны – снижение фонда заработной платы негативно сказывается на материальном состоянии работников, снижает в какой-то степени мотивацию персонала, что в конечном итоге сказывается на производительности труда. Относительное отклонение рассчитывается как разность между фактически начисленной суммой зарплаты и плановым фондом, скорректированным на коэффициент выполнения плана по производству продукции. При этом необходимо учитывать, что корректируется только переменная часть фонда заработной платы, которая изменяется пропорционально объему производства продукции. Это зарплата рабочих по сдельным расценкам, премии рабочим и управленческому персоналу за производственные результаты и сумма отпускных, соответствующая доле переменной зарплаты. Постоянная часть оплаты труда не изменяется при увеличении или спаде объема производства (зарплата рабочих по тарифным ставкам, зарплата служащих по окладам, все виды доплат, оплата труда работников непромышленных производств и соответствующая им сумма отпускных). На основании данных таблицы определим относительное отклонение по фонду заработной платы с учетом выполнения плана по производству продукции:
где: В нашем случае, план по объему товарной продукции выполнен на 100,5%. В связи с не укомплектованностью промышленного персонала (рабочих-сдельщиков) и превышением производительности над оплатой труда, явна экономия или недорасход фонда заработной платы. Таблица 2.4.1 Исходные данные для анализа фонда заработной платы
При расчете относительного отклонения по фонду зарплаты можно использовать так называемый поправочный коэффициент (Кп), который отражает удельный вес переменной зарплаты в общем фонде. Он показывает, на какую долю процента следует увеличить плановый фонд зарплаты за каждый процент перевыполнения плана по выпуску продукции (
Переменная часть фонда зарплаты зависит от объема производства продукции (VВП), его структуры (Удi), удельной трудоемкости (Те.уд) и уровня среднечасовой оплаты труда (ОТi).
Таблица 2.4.2 Исходные данные для выявления влияния факторов на фонд заработной платы
Таблица 2.4.3 Расчет влияния факторов на изменение переменной части фонда зарплаты, тыс. грн.
Затем следует проанализироватьпричины изменения постоянной части фонда оплаты труда, куда входят зарплата рабочих-повременщиков, служащих, работников детских садов, клубов, санаториев-профилакториев и т.д., а также все виды доплат. Фонд зарплаты этих категорий работников зависит от среднесписочной их численности и среднего заработка за соответствующий период времени. Среднегодовая зарплата рабочих-повременщиков, кроме того, зависит еще от количества отработанных дней в среднем одним рабочим за год, средней продолжительности рабочей смены и среднечасового заработка. Согласно схеме 2.4.2, для детерминированного факторного анализа абсолютного отклонения по фонду повременной зарплаты могут быть использованы следующие модели:
Рис 2.4.2 Детерминированная факторная система фонда заработной платы рабочих- повременщиков Таблица 2.4.4 Исходные данные для анализа повременного фонда заработной платы
Расчет влияния этих факторов можно произвести способом абсолютных разниц, используя данные таблицы 2.4.4:
БО=-85700,16-283108,8-150991,36-71720=~-581 520,32 Таким образом, экономия повременного фонда заработной платы произошло в основном за счет сокращения дней, отработанных рабочими в году (наибольшее отклонение –283108,8 тыс. руб..), также за счет сокращения численности рабочей смены (-150991,36), а также за счет среднечасовой заработной платы. Как показывают расчеты, наименее всего влиял как фактор на изменение фонда заработной платы – численность рабочих-повременщиков. Фонд заработной платы персонала (работников предприятия)также может измениться за счет его численности (в эквиваленте полной занятости) и среднегодового заработка. За счет этого фактора фонд зарплаты уменьшился на 2885,6 тыс.руб.:
За счет уменьшения фактической среднесписочной численности от плановой на 796 человек имеем годовое отклонение в фонде оплаты труда на 3025,9 тыс.руб. За счет увеличения средней зарплаты, фонд увеличился на 140,3 тыс. руб.
Таким образом, баланс отклонения по фонду заработной платы по двум факторам составит: -3025,9+140,3=2885,6 тыс. руб. Важное значение при анализе использования фонда зарплаты имеетизучение данных о среднем заработке работников предприятия, его изменении, а также о факторах, определяющих его уровень. Поэтому последующий анализ должен быть направлен на изучение причин изменения средней зарплаты работника по категориям и профессиям, а также в целом по предприятию. При этом необходимо учитывать, что среднегодовая зарплата зависит от количества отработанных дней одним рабочим за год, продолжительности рабочей смены и среднечасовой зарплаты[6]: ГЗП = Д х tсм х ЧЗП; Таблица 2.4.5 Анализ среднемесячной заработной платы персонала ОАО «Русал-Саянал»
По данным отчетности, имеем что работник: -Должен был отработать в году по плану 218 дней, а фактически отработал 208 дней; -Продолжительность смены запланирована на уровне 7,8 часа, а фактически – 7,6 часа; -Среднечасовая зарплата по плану составила 2,235 руб., а фактически она была 2,412 руб. -Среднегодовая зарплата по плану составила 3801,54 руб., по факту она составила 3813,77 руб. Отклонение составило 12,23 руб. Расчет влияния этих факторов на изменение уровня среднегодовой зарплаты персонала произведем приемом абсолютных разниц: ГЗПд = (Дф –Дпл) х tсм.пл х ЧЗПпл=(208-218)*7,8*2,235=-174,33 грн; ГЗПt.см = Дф х (tсм.ф- -tсм.пл) х ЧЗПпл=208*(7,6-7,8)*2,235=-92,97 грн; ГЗПчзп = Дф х tсм.ф х (ЧЗПф - ЧЗПпл )=208*7,6*(2,412-2,235)=279,80 грн; БО=-174,33-92,97+279,80=12,23 грн. Увеличение средней тарифной ставки произошло в основном вследствие повышения тарифных ставок с 1 октября 2009 года. Аналогично выполняется расчет влияния этих факторов для анализа средней заработной платы для работников по категориям и профессиям. В процессе анализа необходимо изучить выполнение плана мероприятий по снижению трудоемкости продукции, своевременность пересмотра норм выработок и расценок, правильность оплаты по тарифам, правильность начисления доплат за стаж работы, сверхурочные часы, время простоя по вине предприятия и др. Следует также установить соответствие между темпами роста средней заработной платы и производительностью труда. Как уже отмечалось, для расширенного воспроизводства, получения прибыли и рентабельности нужно, чтобы темпы роста производительности труда опережали темпы роста его оплаты. Если такой принцип не соблюдается, то происходит перерасход фонда зарплаты, повышение себестоимости продукции и соответственно уменьшение суммы прибыли. Изменение среднего заработка работающих за тот или иной отрезок времени (год, месяц, день, час) характеризуется его индексом (Iсз), который определяется отношением средней зарплаты за отчетный период (ЗП1) к средней зарплате в базисном периоде (ЗП0). Аналогичным способом рассчитывается индекс производительности труда (Iгв): Iзп(ср)=ЗП(ср)ф/ ЗП(ср)пл; Iгв=ГВф/ ГВпл; Коэффициент опережения (Коп) равен: Коп=Iгв/Iзп(ср); Для определения суммы экономии (-Э) или перерасхода (+Э) фонда зарплаты в связи с изменением соотношений между темпами роста производительности труда и его оплаты можно использовать следующую формулу:
В условиях инфляции при анализе индекса роста средней заработной платы необходимо учитывать индекс роста цен на потребительские товары и услуги (Iц) за анализируемый период:
Для оценки эффективности использования средств на оплату труда необходимо применять такие показатели, как объем производства продукции в действующих ценах, выручка, сумма валовой, чистой, капитализированной прибыли на рубль зарплаты и др. В процессе анализа следует изучить динамику этих показателей, выполнение плана по их уровню. Очень полезным будет межзаводской сравнительный анализ, который покажет, какое предприятие работает более эффективно. После этого необходимо установить факторы изменения каждого показателя, характеризующего эффективность использования фонда заработной платы. Для факторного анализа производства продукции на рубль заработной платы можно использовать следующую модель:
где ВП — выпуск продукции в действующих ценах; ФЗП — фонд заработной платы персонала; Т — количество часов, затраченных на производство продукции; Проведенный анализ показывает основные направления поиска резервов повышения эффективности для использования средств на оплату труда. На анализируемом предприятии это сокращение сверхплановых целодневных, внутрисменных и непроизводительных потерь рабочего времени, повышение коэффициента реализуемости продукции и т.д. ГЛАВА III Мероприятия по повышению производительности труда на ОАО «Русал-Саянал» 3.1 Анализ влияния мероприятий по улучшению организации труда на динамику трудовых показателей на ОАО «Русал-Саянал» Новые условия хозяйствования, сделали необходимым такую реальность, чтобы каждое предприятие улучшало условия труда своих работников, вводило на предприятии новые технологии, принимало более новые и совершенные формы организации труда и управления. В 2006-2007году, с приходом на предприятие новых руководителей, начато планомерное осуществление реформы организации оплаты труда. Был намечен и проведен ряд организационно-технических и социально-экономических мероприятий по улучшению использования трудовых ресурсов, (следовательно, повышению качества трудовых показателей и фонда заработной платы). Не вдаваясь в ненужные подробности, кратко опишем основные направления действий. Основной упор был сделан на использование опыта комбината по единой тарификации рабочих и инженерного персонала. Введение единой тарифной сетки позволило стандартизировать систему рабочих и должностных окладов, приведя их в соответствие с квалификацией, сложностью выполняемых функций и опытом работы. Был взят курс на повсеместное внедрение на рабочих местах системы сдельной оплаты труда, с целью заинтересовать исполнителей в росте объемов производства. Следует отметить также повсеместное внедрение контрактной системы оплаты труда (в основном руководящих работников), которая тоже начинает приносить свои плоды. Проанализировав все полученные данные по предприятию, предлагаются следующие мероприятия по повышению производительности труда: · Автоматизация производства с целью снижения трудоемкости продукции и повышения ее выработки. · Дальнейшее снижение себестоимости путем сокращения материальных затрат на производство продукции. · Повышение качества продукции с целью увеличения спроса продукции, а, следовательно, и увеличения объемов производства. · Повышение профессиональной квалификации рабочих с целью увеличения коэффициента выполнения норм; набор и обучение учеников на предприятии, повышение мотивации работников различными поощрениями (избегая денежных вознаграждений), в связи с этим увеличение объема непроизводственных фондов. Нельзя сказать, что в динамике основных статей оплаты труда наблюдалась какая-то общая закономерность, скорее всего, это результаты кратковременных веяний и сиюминутных решений, связанных с конкретными производственными задачами. Но кое-что все-таки можно отметить. Анализ использования трудовых ресурсов на предприятии, уровень производительности труда необходимо рассматривать в тесной связи с оплатой труда. В процессе его следует осуществлять систематический контроль над использованием фонда заработной платы (оплаты труда), выявлять возможности экономии средств за счет роста производительности труда и снижения трудоемкости продукции. Заключение Трудовые показатели играют важную роль в процессе функционирования любого предприятия. Как показывает опыт, этими показателями не следует пренебрегать, так как речь идет о наиболее важном и наиболее ценном ресурсе – человеческом. Специфика этого ресурса понятна каждому: каждый человек работает по своим возможностям, уровень производительности, следовательно, у каждого свой и, следовательно, у каждого своя оплата труда – по тому общественному благу, которое он создал. В новых рыночных отношениях появилось множество предприятий с различной формой собственности, с различным объемом производства, с различным количеством работников. Руководители новых предприятий заинтересованы в том, чтобы нанять как можно меньше работников, и чтобы продуктивность у них была на высоком уровне, т.е. стремятся сократить численность и поднять производительность труда, – ибо эти показатели прямо связаны с себестоимостью продукции и финансовыми результатами в конечном итоге. Предприятия должны добиваться установления рациональной продолжительности рабочего дня, с тех позиций, чтобы она и не слишком утомляла работников предприятия и существенно влияла на результаты производственной деятельности. То есть, здесь должна быть найдена «золотая» середина. Производительность труда работника каждого предприятия в конечном итоге влияет на объем ВВП на государственном уровне. Поэтому, в повышении производительности труда должны быть заинтересованы не только сами работники конкретного предприятия, не только руководители предприятия, но и на государственном уровне все чиновники и должностные лица. От их рациональной и эффективной политики зависит результаты деятельности как предприятия так и конкретного работника. Но особое внимание следует уделять таким вопросам как среднемесячная заработная плата, фонд заработной платы. Именно от этих категорий зависит многое: начиная от материальной обеспеченности конкретного работника и заканчивая уровнем экономического развития страны. Социальным вопросам следует также уделять максимум внимания. От того, в каких условиях работает работник, как он материально и морально обеспечен, каково состояние социальной инфраструктуры – это те вопросы, которые требуют к себе особого внимания. Конечно, в сложных сегодняшних условиях предприятия ориентируются на то, чтобы выжить, выстоять в сложных экономических условиях. Поэтому не удивительно, что иногда предприятия не уделяют должного внимания социальным вопросам, решение которых очень важно для трудового коллектива. Вопросы взаимодействия работодателей и работников регулируются как на самом низком уровне, так и на самом высоком. Не зря в докладе Президента перед Верховной Радой ставится вопросы об улучшении законодательной базы для благоприятного развития предпринимательства. Так как через него решаются многие проблемы в обществе. Если обратится к международному опыту, то здесь следует отметить что трудовые показатели в развитых странах мира значительно (на несколько десятков пунктов) опережают наши показатели. Конечно, здесь сказывается более рациональная и эффективная, проверенная опытом организация труда и управления, мотивационная политика по отношению к работникам западных фирм. Наши предприятия должны учится этому у западных коллег, что, собственно говоря, и происходит, но данный процесс проходит очень медленно и на этом пути надо сделать еще очень много. Будем, конечно, надеяться на лучшее, много надо работать в этом направлении и только тогда можно будет говорить о решении данных вопросов. Список литературы 1) «Отчет по труду» по ОАО «Русал-Саянал» -за 2008-2009 гг. 2) Анализ трудовых показателей: Учеб. Пособие для вузов / А.В. Никитин, Н.А. Кольцов, И.А. Самарина и др.; Под ред. П.Ф. Петроченко. –2-ое изд., перераб. – М.: Экономика, 1989. –288с. 3) Анализ хозяйственной деятельности предприятия: Учеб. пособие/Г.В.Савицкая. –7-ое изд., исп. – Мн.: Новое знание, 2002. –704с. – (Экономическое образование) 4) Анализ хозяйственно-финансовой деятельности предприятий (объединений) промышленности, работающих в условиях прямого хозяйственного расчета и самофинансирования. – М.: Финансы и статистика, 1990.–80с. 5) Экономика предприятия: Учебник для вузов. 4-е изд./Под ред.В.И. Семенова. - СПб.: Питер,2007. - 384с. 6) Коллективный договор по ОАО «Русал-Саянал» 7) Коробов М.Я. Финансово- экономический анализ деятельности предприятий: Учебник.– К., 2001. 8) Справка о выполнении показателей по труду и заработной плате за 2008г. по ОАО «Русал-Саянал». 9) Грузинов В.П., Грибов В.Д. Экономика предприятия. – М.: Банки и биржи, 1998. – 348 с. 10) Зайцев, Н.Л. Экономика предприятия: Учебник для вузов/Н.Л. Зайцев. - М.: ИНФРА, 2007. – 414 с. 11) Сайты и серверы о ОАО «Русал-Саянал»: http://www.rusal.ru/open_info13.aspx http://www.rhlider.ru/about-republic/economy-sectors/business-and-industry/ http://www.khaz.ru/UserFiles/File/khaz_env_ru.pdf http://data.cbonds.info/emissions/7942/IAGSRH_memorandum.pdf http://premier.gov.ru/regions/19.html |
||||||||||||||||||||||||||||||||||||||||||||||||||||||||||||||||||||||||||||||||||||||||||||||||||||||||||||||||||||||||||||||||||||||||||||||||||||||||||||||||||||||||||||||||||||||||||||||||||||||||||||||||||||||||||||||||||||||||||||||||||||||||||||||||||||||||||||||||||||||||||||||||||||||||||||||||||||||||||||||||||||||||||||||||||||||||||||||||||||||||||||||||||||||||||||||||||||||||||||||||||||||||||||||||||||||||||||||||||||||||||||||||||||||||||||||||||||||||||||||||||||||||||||||||||||||||||||||||||||||||||||||||||||||||||||||||||||||||||||||||||||||||||||||||||||||||||||||||||||||||||||||||||||||||||||||||||||||||||||||||||||||||||||||||||||||||||||||||||||||||||||||||||||||||

;
;
;
;