Равномерная непрерывность
Определение 28.7:
Функция называется равномерно непрерывной на множестве , если: . (в отличие от критерия Коши: ). Пояснение:
Пусть: . Тогда: Т.е. функция не является равномерно непрерывной на множестве .
Теорема 28.3:
Непрерывная на отрезке функция – равномерно непрерывна на нём.
Классы интегрируемых функций
Теорема 28.4:
Непрерывная на отрезке функция – интегрируема на нём.
Теорема 28.5:
Монотонная на отрезке функция – интегрируема на нём.
Теорема 28.5:
Если функция определена и ограничена на отрезке , и если можно указать конечное число интервалов, покрывающих все точки разрыва этой функции на . Причём общая длина этих интервалов меньше . То - интегрируема на . Замечание:
Очевидно, что если - интегрируема на , а отличается от только в конечном числе точек, то - интегрируема на и .
Существование первообразной
Определение 28.9:
Пусть - интегрируема на , , тогда: функция интегрируема на и функция называется интегралом с переменным верхним пределом, аналогично функция - интеграл с переменным нижним пределом.
Теорема 28.6:
Если функция - непрерывна на , то у неё существует на первообразная, одна из которых равна: , где . Замечание 1:
Из дифференцируемости функции следует её непрерывность, т.е.  Замечание 2:
Поскольку - одна из первообразных , то по определению неопределённого интеграла и теореме о разности первообразных: . Это связь между определённым и неопределённым интегралами
Интегрирование подстановкой
Пусть для вычисления интеграла от непрерывной функции сделана подстановка .
Теорема.
Если 1. Функция и ее производная непрерывны при 
2. множеством значений функции при является отрезок [a;b]
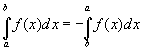
3. , то = .
Док-во:
Пусть F(x) есть первообразная для f(x) на отрезке [a;b]. Тогда по формуле Ньютона-Лейбница = . Т.к. , то является первообразной для функции , . Поэтому по формуле Ньютона-Лейбница имеем
= .
Формула замены переменной в определенном интеграле.
1. при вычислении опред. интег-ла методом подстановки возвращаться к старой переменной не требуется;
2. часто вместо подстановки применяют подстановку t=g(x)
3. не следует забывать менять пределы интегрирования при замене переменных.
Интегрирование заменой переменной
.
а). Метод подведения под знак дифференциала
Пусть требуется вычислить интеграл . Предположим, что существуют дифференцируемая функция и функция такие, что подынтегральное выражение может быть записано в виде:
.
Тогда: . Т.е. вычисление интеграла сводится к вычислению интеграла (который может оказаться проще) и последующей подстановке .
Пример:
Вычислить .
.
Подстановка: .
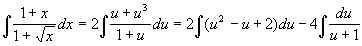
б). Метод подстановки
Пусть требуется вычислить интеграл , где . Введём новую переменную формулой: , где функция дифференцируема на и имеет обратную , т.е. отображение на - взаимно-однозначное. Получим: . Тогда . Т.е. вычисление интеграла сводится к вычислению интеграла (который может оказаться проще) и последующей подстановке .
Пример:
Вычислить .
, откуда: .
Интегрирование по частям
.
Пусть - дифференцируемые функции, тогда справедлива формула: , или короче: . Эта формула используется в тех случаях, когда подынтегральное выражение можно так представить в виде , что интеграл вычисляется проще исходного.
Пример:
Вычислить .
Положим . Тогда . В качестве выберем первообразную при . Получим . Снова . Тогда . Окончательно получим: . Замечание 26.5:
Иногда при вычислении интеграла методом интегрирования по частям получается зависимость: . Откуда можно получить выражение для первообразной: .
Интегрирование рациональных функций
Постановка задачи:
  
т.е. все задачи сводятся к задаче B.2).
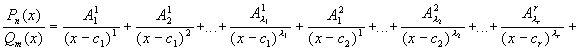
Теорема 1:
Пусть , тогда, если: , где , то  Из этой теоремы следует, что для интегрирования любой рациональной функции необходимо уметь интегрировать следующие функции:
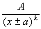
1.  |
2.  |
3.  |
4.  |
5.  |
6.  |
7.  |
8.  |
9.  |
10. . |
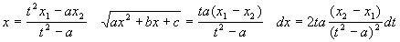
Интегрирования дробно-линейных и квадратичных иррациональностей

Сделав подстановку: , получим: .
тогда 

a). Подстановки Эйлера.
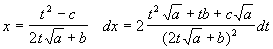
1). Корни многочлена - комплексные, сделав подстановку: , получим: .
2). Корни многочлена - действительные: . Подстановка: , получаем: .
b). Подстановка: , далее, если:
1). подстановка -  |
2). подстановка -  |
3). подстановка -  |
c).
Если подстановка - 
Интегрирование функций, рационально зависящих от тригонометрических

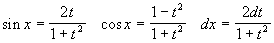
Универсальная подстановка: , тогда: 
подстановка: 
или - нечётные: вносим функцию при нечётной степени под знак дифференциала
Интегрируется по частям
Неопределенный интеграл
Определение 26.1:
Функция называется первообразной для функции на , если: .
Пусть и - первообразные функции на . Тогда: .
Определение 26.2:
Неопределённым интегралом от функции на называется объединение всех первообразных на этом интервале. Обозначается: . Замечание 26.1:
Если - одна из первообразных на , то . Замечание 26.2:
Подынтегральное выражение в определении представляет из себя полный дифференциал первообразной на , т.е. . Замечание 26.3:
Два неопределённых интеграла равны “с точностью до постоянной”.
Св-ва неопределенного интеграла:
1.Дифференциал от неопределенного интеграла равен подынтегральному выражению, а производная неопред. интегр. равна подынтегр. функции. Благодаря этому св-ву правильность интегрирования проверяется дифференцированием.
, 
2. Неопред. интегр. от дифференциала нек-рой функции равен сумме этой функции и производной постоянной:

3. Постоянный множитель м. выносить за знак интеграла:
, где a 0-постоянная.
4. Неопред. интегр. от алгебраич. суммы конечного числа непрерывных функций равен алгебраич. сумме интегралов от слагаемых функций:

5. (Инвариантность формулы интегрирования). Если , то и , где u= - произвольн. функция, имеющая непрерывную производную.
Табличные интегралы
Определённый интеграл.
Интегрируемость
Определение 28.1:
Множество точек отрезка таких, что: называют разбиением отрезка . Длины частичных отрезков разбиения обозначим: . Мелкостью разбиения (читается – “дельта большое”) назовем максимальнуя из длин отрезков разбиения, т.е. .
Определение 28.2:
Пусть в определении 28.1 для всех точки . Интегральной суммой функции на отрезке с разбиением будем называть сумму (зависящую от разбиения и выбора точек ) вида: .
Определение 28.3:
Пределом интегральных сумм функции на отрезке назовём такое число , что . Обозначается: . 
Определение 28.4:
Функция называется интегрируемой на отрезке , если существует конечный предел её интегнральных сумм на . Обозначается: .
Теорема 28.1:
Если интегрируема на отрезке , то она ограничена на нём.
Замечание 1:
Эта теорема является необходимым, но недостаточным условием интегрируемости функции. Пример – функция Дирихле (ограничена, но неинтегрируема).
Критерий интегрируемости функций
Теорема 28.2:
Для того, чтобы ограниченная на некотором отрезке функция, была интегрируема на нём, необходимо и достаточно, чтобы выполнялось условие: .
Следствие 1:
Условие Т.2 эквивалентно условию: .
Следствие 2:
Если функция интегрируема на , то: .
Определение 28.8:
Определённым интегралом функции на называется число , равное пределу интегральных сумм на . Условие интегрируемости эквивалентно существованию определённого интеграла.
Свойства определённого интеграла
1. Если с
– постоянное число и функция f(x) интегрируема на [a;b], то , т.е. пост. множитель с
можно выносить за знак определенного интег-ла.
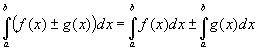
2. Если функции f(x), g(x) интегрируемы на [a;b], тогда интегрируема на [a;b] их сумма и разность
, 
3. Если , то: 
4. Если функция f(x) интегрируема на [a;b] и a<c<b, то
, т.е. интеграл по всему отрезку равен сумме интегралов по частям этого отрезка. Это св-во наз-ют аддивностью
определенного интеграла.
Сравнение определённых интегралов
Если - интегрируема на и , то: .
Если - интегрируема на и , то: 
Неравенство м\у непрерывными функциями на отрезке [a;b], можно интегрировать. Если - интегрируемы на и почти для всех , то: 
Модуль определенного интег-ла не превосходит интег-ла от модуля подынтегральной функции. Если - интегрируема на , то - также интегрируема на (обратное неверно), причём: 
Оценка интеграла. Если m и M-соответственно наименьшее и наибольшее значения функции y=f(x) на отрезке [a;b]. Если - интегрируемы на и  , то: 
Теорема о среднем значении
Если функция f(x) непрерывна на отрезке [a;b], то существует точка такая, что .
Док-во: По формуле Ньютона-Лейбница имеем
, где F’(x)=f(x). Применяя к разности F(b)-F(a) теорему Лагранжа (теорему о конечном приращении функции), получим F(b)-F(a)=F’(c)*(b-a)=f(c)*(b-a).
Эта теорема при f(x) 0 имеет простой геометрич. смысл: значение определенного интег-ла равно, при нек-ром , площади прямоугольника с высотой f(с) и основанием b-a.
Число наз-ся средним значением
функции f(x) на отрезке [a;b].
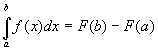
Формула Ньютона-Лейбница
Если - первообразная непрерывной функции на , то: .
Док-во: Рассмотрим тождество

Преобразуем каждую разность в скобках по формуле Лагранжа
. Получим т.е. , где есть нек-рая точка интервала . Т.к. функция y=f(x) непрерывна на [a;b]. Поэтому существует предел интегральной суммы, равный определенному интегралу от f(x) на [a;b].
Переходя к пределу при , получаем F(b)-F(a)=
= , т.е. .
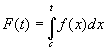
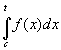
интеграл с переменным верхним пределом
Если изменять, например, верхний предел так, чтобы не выйти за пределы отрезка [a;b], то величина интеграла будет изменяться. Другими словами, интеграл с переменным верхним пределом представляет собой функцию своего верхнего предела. Производная определенного интег-ла по переменному верхнему пределу равна подынтегральной функции, в к-рой переменная интегрирования заменена этим пределом, т.е.
.
Док-во: По формуле Ньютона-Лейбница имеем: .
Следовательно, 
= .
Это значит, что определенный интег-л с переменным верхним пределом есть одна из первообразных подынтегральной функции.
|