Курсовая работа: Анализ формирования и использования фонда заработной платы предприятия на примере ОАО Бря
|
Название: Анализ формирования и использования фонда заработной платы предприятия на примере ОАО Бря Раздел: Рефераты по экономике Тип: курсовая работа | |||||||||||||||||||||||||||||||||||||||||||||||||||||||||||||||||||||||||||||||||||||||||||||||||||||||||||||||||||||||||||||||||||||||||||||||||||||||||||||||||||||||||||||||||||||||||||||||||||||||||||||||||||||||||||||||||||||||||||||||||||||||||||||||||||||||||||||||||||||||||||||||||||||||||||||||||||||||||||||||||||||||||||||||||||||||||||||||||||||||||||||||||||||||||||||||||||||||||||||||||||||||||||||||||||||||||||||||||||||||||||||||||||||||||||||||||||||||||||||||||||||||||||||||||||||||||||||||||||||||||||||||||||||||||||||||||||||||||||||||||||||||||||||||||||||||||||||||||||||||||||||||||||||||||||||||||||||||||||||||||||||||||||||||||||||||||||||||||||||||||||||||||||||||||||||||||||||||||||||||||||||||||
ФЕДЕРАЛЬНОЕ АГЕНТСТВО ПО ОБРАЗОВАНИЮ РОССИЙСКОЙ ФЕДЕРАЦИИ БРЯНСКИЙ ГОСУДАРСТВЕННЫЙ УНИВЕРСИТЕТ им. ак. И.Г.Петровского Финансово-экономический институт Кафедра статистики и экономического анализа Курсовая работа по экономическому анализу на тему: Анализ формирования и использования фонда заработной платы предприятия на примере ОАО «Брянскпиво» Выполнила студентка очного отделения Проверил Брянск – 2010 СОДЕРЖАНИЕ 1. ТЕОРИТИЧЕСКИЕ ОСНОВЫ АНАЛИЗА ФОРМИРОВАНИЯ И ИСПОЛЬЗОВАНИЯ ФОНДА ЗАРАБОТНОЙ ПЛАТЫ ПРЕДПРИЯТИЯ.. 5 1.1 Оплата труда: понятие, формы и системы.. 5 1.2 Понятие, состав и значение фонда заработной платы.. 10 1.3Методика анализа формирования и использования фонда заработной платы……………………………………………………………………………...13 2.1Организационно-экономическая характеристика ОАО «Брянскпиво»………………………………………………………………...… .20 2.2 Анализ формирования и использования фонда заработной платы.. 23 2.3 Анализ эффективности использования фонда заработной платы……… 35 3. ПУТИ ПОВЫШЕНИЯ ЭФФЕКТИВНОСТИ ИСПОЛЬЗОВАНИЯ ФОНДА ЗАРАБОТНОЙ ПЛАТЫ.. 42 3.1 Резервы увеличения использования фонда заработной платы…………......................................................................................................42 3.2 Оценка выявленных резервов……………………………………………….44 ЗАКЛЮЧЕНИЕ. 47 СПИСОК ИСПОЛЬЗОВАННЫХ ИСТОЧНИКОВ.. 49 ПРИЛОЖЕНИЯ………………………………………………………………….51 ВВЕДЕНИЕ Персонал, работающий на предприятии, представляет собой главную ценность производства. Поэтому всесторонний анализ труда является залогом выявления скрытых производственных ресурсов. Анализировать труд целесообразно по нескольким направлениям, важнейшими из которых являются: анализ состава работающих; анализ динамики численного состава; анализ использования рабочего времени; анализ уровня образования работников, анализ производительности труда; анализ трудоемкости и анализ оплаты труда. Анализ использования трудовых ресурсов на предприятии, уровня производительности труда необходимо рассматривать в тесной связи с оплатой труда. С ростом производительности труда создаются реальные предпосылки для повышения уровня его оплаты. При этом средства на оплату труда нужно использовать таким образом, чтобы темпы роста производительности труда обгоняли темпы роста его оплаты. Только при таких условиях создаются возможности для наращивания темпов расширенного воспроизводства. В связи с этим анализ использования средств на оплату труда на каждом предприятии имеет большое значение. В процессе его следует осуществлять систематический контроль за использованием фонда заработной платы (оплаты труда), выявлять возможности экономии средств за счет роста производительности труда и снижения трудоемкости продукции. Важность организации труда и его оплаты определяется тем, что от работников (от их знаний, компетенции, квалификации, дисциплины, мотиваций, способности решать проблемы и принимать решения, восприимчивости к обучению) напрямую зависит производственный успех. Материальные вложения в квалифицированных специалистов обеспечивают предпринимателю меньшие издержки производства и большую прибыль. В настоящее время многообразие форм собственности, а также действующее законодательство предоставляют предприятиям и организациям право самостоятельно выбирать и устанавливать системы оплаты труда, которые являются наиболее целесообразными в конкретных условиях работы. Все это доказывает актуальность выбранной темы исследования. Цель данной курсовой работы – провести анализ формирования и использования фонда заработной платы. В соответствии с целью курсовой работы основными задачами являются: - анализ формирования и использования фонда оплаты труда; - охарактеризоватьметоды структурного распределения фонда заработной платы; - провести анализ влияния использования фонда оплаты труда на изменение себестоимости продукции; - описать особенности анализа фонда оплаты труда в отраслях; - представить выводы и предложения по проделанной работе. Работа представлена в трех главах. В первой главе приводится теоретический материал, раскрывающий, непосредственно тему работы. Во второй и третьей главе представлен практический материал. Объектом исследования работы является ОАО «Брянскпиво», расположенное в г.Брянске по адресу ул. Пушкина, 16А. Предметом исследования работы являются фонд заработной платы в разрезе основных групп и категорий персонала и фонд заработной платы по видам выплат. При написании данной работы были использованы учебные пособия по комплексному экономическому анализу хозяйственной деятельности, таких авторов, как Савицкая Г.В., Любушин Н.П. и Чечевицына Л.Н. А также статьи периодических изданий, такие как «Все для бухгалтера», «Экономист». 1. ТЕОРИТИЧЕСКИЕ ОСНОВЫ АНАЛИЗА ФОРМИРОВАНИЯ И ИСПОЛЬЗОВАНИЯ ФОНДА ЗАРАБОТНОЙ ПЛАТЫ ПРЕДПРИЯТИЯ 1.1 Оплата труда: понятие, формы и системы Процесс изготовления продукции и товаров, выполнения работ и оказания услуг связан с затратами не только общественного, но и живого труда. Рентабельность и прибыльность производства во многом зависят от эффективности использования живого труда. Одной из задач реформирования аграрного сектора в связи с переходом на рыночные условия хозяйствования является повышение заинтересованности работников в результатах его труда. Особую роль в системе материального стимулирования играет оплата труда. В научной литературе существуют различные подходы к определению понятия «оплата труда». Так, по мнению Г.А. Петраневой, оплата труда представляет собой цену сельскохозяйственной рабочей силы. При этом Ф.К. Шакиров уточняет, что оплата труда является основной формой возмещения затрат по воспроизводству рабочей силы на сельскохозяйственных предприятиях. Е.П. Козлова считает, что оплата труда – это денежное выражение той части труда работников в общественном продукте, которая поступает в личное потребление.[10, с. 123-125] Но наиболее полно раскрывает сущность и назначение оплаты труда и объединяет вышеизложенные суждения, определение, приведенное в Трудовом кодексе Российской Федерации, в котором сказано, что «оплата труда»- это система отношений, связанных с обеспечением установления и осуществления работодателем выплат работникам за их труд в соответствии с законами, иными нормативными правовыми актами, коллективными договорами, соглашениями, локальными нормативными актами и трудовыми договорами. Необходимо отметить, что в настоящее время многие авторы считают понятия «оплата труда» и «заработная плата» тождественными. Но на наш взгляд, между данными понятиями различия все же есть. В соответствии с Трудовым кодексом РФ, заработная плата определяется, как вознаграждение за труд в зависимости от квалификации работника, сложности, количества, качества и условий выполняемой работы, а также выплаты компенсационного и стимулирующего характера. Различают денежную и неденежную формы оплаты труда. Основной является оплата в денежной форме, так как деньги представляют собой всеобщий эквивалент в товарно-денежных отношениях. Оплата может производиться и в натурально-вещественной форме, т. е. вместо денег расчет осуществляется продукцией или товарами. [2, с. 13-15] Выделяют следующие основные функции оплаты труда: - Стимулирующая (мотивационная) функция обеспечивает заинтересованность в достижении высокой производительности труда на основе тесной связи материального вознаграждения с результатами труда. для реализации этой функции необходимо, чтобы размер оплаты соответствовал квалификации, условиям труда, вкладу работника в конечные результаты труда. [4, с. 23-25] - Регулирующая функция заключается в воздействии механизма оплаты труда на соотношение между спросом и предложением рабочей силы, на формирование численности персонала и уровня занятости в различных отраслях экономики. данная функция позволяет достичь баланса интересов между наемными работниками и работодателями. В основе организации оплаты труда всегда лежат определенные принципы. Ф.К. Шакиров основными принципами организации оплаты труда выделяет следующие: - соответствие уровня заработной платы конъюнктуре рынка, учет соотношения спроса и предложения на рабочую силу на рынке труда; - установление минимального (гарантированного) уровня оплаты, ниже которого она не может быть; - отсутствие верхних пределов заработной платы, что позволяет стимулировать работника к высокой производительности труда; - простота и ясность построения системы оплаты труда, доступность ее для понимания каждым рабочим и служащим. В своих трудах Ю.Н. Шумаков представляет наиболее полный перечень принципов организации оплаты труда. К выше перечисленным можно добавить следующие: [11, с. 56-57] - обеспечение социальной защищенности работников независимо от форм собственности; - обеспечение индексации оплаты труда в соответствии с темпами роста инфляции; - ритмичность выплаты заработной платы; - опережение темпов роста производительности труда по сравнению с темпами роста его оплаты; - обеспечение оптимального удельного веса заработной платы в себестоимости продукции, работ или услуг. Выполнение данных принципов основывается на осуществлении нормирования и тарификации труда, а так же на применении различных форм и систем оплаты труда. [2, с. 78] Нормирование труда устанавливает меру труда, при помощи которой можно количественно измерить труд. Под тарификацией понимают научный метод отнесения отдельного вида трудовой деятельности к какой-либо группе по оплате труда в зависимости от его качества, а также конкретного исполнителя по уровню квалификации к соответствующему разряду по оплате труда. Дифференциация оплаты труда при тарификации осуществляется при помощи тарифной системы. М.Н. Громов определяет тарифную систему как совокупность нормативных материалов, позволяющих определить оплату труда каждого работника по качеству вложенного труда. Основными элементами тарифной системы являются тарифные сетки, тарифные ставки и оклады, справочники тарификации работ и тарифно-квалификационные справочники, районные коэффициенты к заработной плате. [12, с. 101-102] Принятый на каждом конкретном предприятии способ определения размера оплаты труда по результатам выполненной работы называется формой оплаты труда. Выделяют две основные формы: сдельную и повременную. Как пишет М.Н. Громов, в первом случае заработок определяется по сдельным расценкам за объем выполненных работ или непосредственно произведенную продукцию, во втором — рабочим временем. При этом учитывают квалификацию работника, качество труда. Каждая из форм имеет различные системы оплаты, под которыми понимается способ соединения основной и дополнительной оплаты, то есть тарифной оплаты с различными доплатами и премиями. Повременная форма имеет следующие виды: простая повременная, повременно-премиальная. Сдельная форма имеет значительно больше вариантов: прямая сдельная, косвенная сдельная, сдельно-прогрессивная, сдельно-премиальная, аккордная, аккордно- премиальная. [15, с. 97-98] В зависимости от форм организации труда, системы оплаты подразделяют на коллективные (бригадные) и индивидуальные. Рассмотрим содержание основных систем и форм оплаты труда. - Прямая сдельная система — наиболее простая, заработок рабочего зависит от индивидуальной выработки. Для начисления заработной платы нужно знать сдельную расценку за единицу работы или единицу времени по каждой операции. Ее определяют, исходя из тарифной ставки и нормы выработки или времени на данную работу. Отчетливо видна связь между заработком и выработкой. - Сдельно-премиальная система — рабочим сверх заработка по прямым сдельным расценкам выплачивают премию за выполнение и перевыполнение заранее установленных количественных и качественных показателей. Показатели и условия премирования устанавливают в хозяйствах. - Сдельно-прогрессивная система — труд рабочего в пределах установленной нормы оплачивается по основным (неизменным) сдельным расценкам, а весь объем работы сверх нормы — по повышенным расценкам, то есть применяются сдельно-прогрессивные расценки. [9, с. 256] - Косвенная сдельная система — применяется преимущественно при оплате труда вспомогательных рабочих: шоферов, мастеров-наладчиков, ремонтных рабочих и др. Их заработная плата ставится в прямую зависимость от заработной платы основных рабочих. В свою очередь показатели основного работника зависят от ритмичной работы обслуживания. - Простая повременная система – оплата производится, исходя из фактически отработанного времени и тарифной ставки за единицу времени. По способу начисления различают почасовую, поденную и помесячную оплату. Повременная система оплаты также может использоваться как форма авансирования до расчетов за продукцию. - Повременно-премиальная система – сущность заключается в том, что в заработную плату рабочего-повременщика сверх тарифной заработной оплаты за отработанное время включается премия за выполнение нормативного задания, своевременное и качественное выполнение работы и другие достижения. [16, с. 243-244] - Аккордная система — оплата труда производится не за отдельную производственную операцию, а за комплекс взаимосвязанных работ. Аккордная оплата определяется исходя из действующих норм и расценок в соответствии с перечнем работ. Промежуточные расчеты производятся за фактически выполненные работы. Заработок начисляют по результатам труда коллектива (бригады, отряда и др.) в целом. Наличие производственной взаимосвязи между членами коллектива — главное условие применения аккордной системы оплаты труда. Любая система оплаты труда должна учитывать существующие в хозяйстве группы интересов и опираться на них точнее, она призвана содействовать реализации и согласованию этих интересов. 1.2. Понятие, состав и значение фонда заработной платы Оплата труда является стержнем общественного производства, так как затрагивает всех без исключения работников. В связи на предприятии очень важно правильно сформировать и распределить фонд заработной платы. Заработная плата всех сотрудников предприятия в сумме дает показатель Фонд заработной платы, который занимает немалую долю в расходах предприятия. В зависимости от отраслевой принадлежности, индивидуальных особенностей деятельности предприятия и политики руководства в области выплат сотрудникам для расходов на Фонд заработной платы может колебаться от нескольких % до половины общей суммы затрат предприятия. Это не малая величина, поэтому анализ этой статьи расходов предприятия так важен. [12, с. 85] Фонд заработной платы — общая сумма заработной платы, начисленная рабочим и служащим за выполнение работы, а также оплата неотработанного времени в соответствии с трудовым законодательством и коллективным договором. К фонду заработной платы предприятий (организаций) относятся все суммы, начисленные за работу, выполненную как списочным, так и несписочным его составом. В фонд заработной платы включаются: заработная плата, начисленная за работы, выполненные по сдельной и повременной формам оплаты труда (основная часть фонда); премии в соответствии с утвержденными постоянно действующими положениями о премировании (за выполнение и перевыполнение производственных планов и норм выработки, сокращение простоев оборудования и др.); надбавки (за выслугу лет, работу в отдаленных местностях, высокую квалификацию и др.); доплаты (сдельщикам в связи с изменением условий работы, по прогрессивным расценкам, за работу в сверхурочное и ночное время, высококвалифицированным рабочим, занятым на особо ответственных работах, совмещение профессий); оплата простоев, не зависящих от рабочих; оплата ежегодных, ежегодных очередных и дополнительных отпусков; оплата учебных отпусков; оплата перерывов в работе в случаях, предусмотренных законодательством и т.д. [1, с. 196-197] В фонд заработной платы не включаются: единовременная помощь, в том числе и выплачиваемая из фонда материального поощрения; безвозмездная помощь работникам, вступившим в жилищно-строительный кооператив за счет фонда социального развития; суточные при служебных командировках и при переводе и переезде на работу в другие местности; стипендии учащимся, выплачиваемые за счет средств предприятия; пособия, выплачиваемые молодым специалистам за время отпуска после окончания высшего или среднего специального учебного заведения; пособия по социальному страхованию (по временной нетрудоспособности, беременности и родам, на рождение ребенка, малообеспеченным семьям, на похороны); пенсии работающим пенсионерам. При планировании и анализе отчетных данных об оплате труда: фонд заработной платы рабочих подразделяется на часовой, дневной и полный (месячный, квартальный, годовой). Фонд часовой заработной платы представляет собой заработную плату, начисленную рабочим за фактически отработанные часы в условиях нормальной продолжительности смены. Состав этого фонда соответствует времени, фактически отработанному рабочими и учтенному в человеко-часах. В этот фонд входят суммы, начисленные за отработанные рабочими человеко-часы в урочное и сверхурочное время по основным тарифным ставкам и основным сдельным расценкам при прямой, прогрессивной и премиальной сдельной системах заработной платы; доплаты сдельщикам по прогрессивным расцепкам; доплаты за работу в ночное время; выполнение работы ниже присвоенного разряда в связи с изменением условий работы, не освобожденным бригадирам за руководство бригадой и обучение учеников; премии и премиальные надбавки этого фонда [8, с.223]. Фонд дневной заработной платы включает не только суммы, начисленные за время фактической работы, но и за неотработанное внутри-сменное время, оплачиваемое в соответствии с установленным трудовым законодательством. Следовательно, этот фонд представляет собой оплату фактически отработанных человеко-дней и должен соответствовать рабочему времени, учтенному в человеко-днях. В состав фонда дневной заработной платы включаются: фонд часовой заработной платы; доплата за работы в сверхурочное время и праздничные дни; доплата подросткам за сокращенный рабочий день; оплата перерывов в работе кормящих матерей; оплата внутрисменных простоев не по вине рабочего; оплата внутрисменного времени, затраченного на выполнение государственных и общественных обязанностей. Суммы, начисленные за сверхурочные работы, включаются в состав фонда часовой заработной платы в нормальном размере без доплат за сверхурочность. Объясняется это тем, что фонд часовой заработной платы должен соответствовать числу отработанных человеко-часов, при учете которых каждый сверхурочный час учитывается как один час, хотя оплачивается он в полуторном или двойном размере. В состав полного фонда заработной платы (месячного, квартального, годового) включается фонд дневной заработной платы: оплата отпусков; вознаграждения за выслугу лет; выходные пособия; оплата человеко-дней, затраченных на выполнение государственных и общественных обязанностей; оплата целодневных простоев; заработная плата работникам, командированным на другие предприятия или проходящим обучение без исключения из списков предприятия, и другие элементы, не входящие в фонды часовой и дневной заработной платы [20, с. 167] Таким образом, в состав фонда заработной платы и выплат стимулирующего характера включаются все расходы предприятия на оплату труда независимо от источника их финансирования, в том числе суммы, начисленные работникам в соответствии с законодательством за неотработанное время, в течение которого за ним сохраняется заработная плата, а также стимулирующие и компенсирующие выплаты. Все указанные выплаты рабочим и служащим предприятия включаются в себестоимость продукции либо производятся за счет прибыли, остающейся в распоряжении предприятия, и размером не ограничиваются. 1.3. Методика анализа формирования и использования фонда заработной платы Анализ фонда заработной платы проводят по тому же плану, что и анализ других видов расходов: по сравнению с нормативной или плановой величиной либо по сравнению с предыдущим отчетным или базовым периодом. При ярко выраженной сезонности в деятельности предприятия будет полезным приводить сравнение с аналогичным периодом прошлых лет. Например, для предприятия по производству сельскохозяйственной продукции «пиком» деятельности являются летние месяцы и сентябрь, для отеля на горнолыжном курорте – сезон с января по март. Анализ проводится по категориям работающих и по подразделениям. В результате анализа выявляются тенденции изменения и причины перерасхода или недостачи фонда заработной платы относительно нормативных или плановых значений. При анализе данных, касающихся фонда оплаты труда и использования рабочего времени, широко используются различные индексные показатели. Анализ фонда оплаты труда начинается с анализа динамики и уровня выполнения плана по сумме фонда заработной платы в целом по предприятию и в разрезе отдельных категорий работников. При анализе фонда заработной платы выявляют абсолютное и относительное отклонение его фактической величины от плановой в целом по предприятию, его подразделениям. [17, с. 124] Абсолютное отклонение определяется как разность между фактически начисленным фондом заработной платы и плановым Однако абсолютное отклонение рассчитывается без учёта степени выполнения плана по производству продукции. Учесть этот фактор поможет расчёт относительного отклонения фонда заработной платы ΔФЗПот. Для этого переменная часть фонда заработной платы (ФЗПпер) корректируется на коэффициент выполнения плана по производству продукции (Кпп). К переменной части фонда заработной платы относят зарплату рабочих по сдельным расценкам, премии рабочим и управленческому персоналу за производственные результаты, сумму отпускных, соответствующую доле переменной зарплаты, другие выплаты, относящиеся к фонду заработной платы и которые изменяются пропорционально объёму производства продукции. Постоянная часть оплаты труда (ФЗПпост) не изменяется при увеличении или спаде объёма производства – это зарплата рабочих по тарифным ставкам, зарплата служащих по окладам, все виды доплат, оплата труда работников непромышленных производств и соответствующая им сумма отпускных. Относительное отклонение фонда заработной платы:
В процессе последующего анализа определяют факторы, вызвавшие абсолютное и относительное отклонения по фонду заработной платы. Факторная модель переменной части фонда зарплаты представлена на рис. 1
Рисунок 1 Схема факторной системы переменного фонда зарплаты Согласно этой схеме модель будет иметь следующий вид.
Для расчёта влияния этих факторов на абсолютное и относительное отклонение по фонду зарплаты необходимы следующие данные: 1. Фонд заработной платы: а) по плану: б) по плану, пересчитанному на объём производства, при плановой структуре: в) по плану, пересчитанному на фактический объём производства продукции и фактическую структуру:
г) фактически при фактической удельной трудоёмкости и плановом уровне оплаты труда: д) фактически: 2. Отклонение от плана: - абсолютное: -относительное: Расчёт влияния факторов на изменение переменной части фонда оплаты труда проводят по формулам: - влияние объёма производства продукции:
- влияние изменения структуры произведённой продукции:
- влияние изменения удельной трудоёмкости продукции:
- влияние изменения оплаты труда:
В конце анализа необходимо провести проверку произведённых расчётов:
Факторная модель постоянной части фонда оплаты труда представлена на рис. 2
Рисунок 2 Детерминированная факторная система фонда заработной платы рабочих-повременщиков Согласно этой схеме модель будет иметь следующий вид:
Аналогично можно представить факторную модель для фонда заработной платы служащих. В процессе анализа необходимо также установить эффективность использования фонда заработной платы. Для расширенного воспроизводства получения необходимой прибыли и рентабельности необходимо, чтобы темпы роста производительности труда опережали темп роста его оплаты. Если этот принцип не соблюдается, то происходит перерасход фонда зарплаты, повышение себестоимости продукции и, соответственно, уменьшение суммы прибыли. Изменение среднего заработка работающих за период характеризуется его индексом (JЗП ):
Изменение среднегодовой выработки определяется аналогично на основе индекса производительности труда (Jпт ):
Темп роста производительности труда должен опережать темп роста средней заработной платы. Для этого рассчитывают коэффициент опережения Коп и анализируют его в динамике:
Затем производят подсчёт суммы экономии (перерасхода) (Э) фонда заработной платы в связи с изменением соотношений между темпами роста производительности труда и его оплаты:
В условиях высокой инфляции при анализе индекса роста средней заработной платы необходимо базисный показатель средней зарплаты (СЗ0 ) скорректировать на индекс роста цен на потребительские товары и услуги (Jу )
где СЗ1 - средняя зарплата в отчётном периоде. Анализ причин экономии (перерасхода) следует начинать с определения влияния на фонд заработной платы изменения численности работников и уровня средней заработной платы. 2. АНАЛИЗ ФОРМИРОВАНИЯ И ИСПОЛЬЗОВАНИЯ ФОНДА ЗАРАБОТНОЙ ПЛАТЫ ПРЕДПРИЯТИЯ ЗА 2007-2009ГГ (НА ПРИМЕРЕ ОАО «Брянскпиво») 2.1. Организационно-экономическая и финансовая характеристика ОАО «Брянскпиво» Открытое акционерное общество «Брянскпиво», создано в процессе приватизации путем преобразования государственного предприятия «Пиво-безалкогольный комбинат «Брянский», является его правопреемником, обладает правами и несет обязанности возникшие у указанного предприятия до момента его преобразования в акционерное общество. Общество действует в соответствии с Гражданским Кодексом РФ, Федеральным законом "Об акционерных Обществах", иным действующим законодательством РФ и настоящим Уставом. Общество является юридическим лицом, правовое положение которого определяется законодательством Российской Федерации и настоящим Уставом. Общество имеет в собственности обособленное имущество, учитываемое на его самостоятельном балансе, расчетный и иные счета в российских и зарубежных отделениях банков, печать, содержащую его полное фирменное наименование на русском языке и указание на место его нахождения, штампы и бланки со своим наименованием, а также может иметь зарегистрированный в установленном порядке товарный знак и другие средства визуальной идентификации. Целью общества является извлечение прибыли. Общество имеет гражданские права и исполняет обязанности, необходимые для осуществления любых видов деятельности, не запрещенных законом. Основным видом деятельности общества является производство пива, также оно занимается производством солода и безалкогольных напитков. Таблица 1 Анализ основного и оборотного капитала
Проведя анализ основного и оборотного капитала мы видим, что за период с 2007 по 2009 год сумма основного капитала снизилась на один миллион сто семьдесят одну тысячу рублей и составила 155миллионов 507 тысячи рублей. Сумма оборотного капитала возросла на 8,4% и составила 228 миллионов 823 тысячи рублей. Выручка также возросла на 33,2% и к концу 2009 года составила 511миллионов 225 тысяч рублей. В связи с этим фондоотдача увеличилась на 8,8%, а фондоемкость снизилась на 8%. Что говорит о более эффективном использовании основного капитала предприятия. Также увеличилась и материалоотдача. Это увеличение составило 4,6%. Из-за чего снизилась материалоемкость на 4,4%. Коэффициент оборачиваемости оборотных активов тоже возрос на 4,6%. Это говорит об улучшении использования оборотного капитала. При этом фондовооруженность предприятия снизилась на 11,7%, что говорит об уменьшении производительности труда, а это отрицательный фактор для преприятия. В целом можно сказать, что предприятие стало лучше использовать свой основоной и оборотный капиталы. Таблица 2 Анализ финансовых результатов
Проведя анализ финансовых результатов ОАО «Брянскпиво» мы получили следующие результаты: Выручка предприятия возросла на 33,2% и составила 511 миллионов 225 тысяч рублей. При этом себестоимость проданных товаров снизилась на 1,8%. Что позволило увеличить валовую прибыль на 292%, и на конец 2009 года она составила 179 миллионов 101 тысячу рублей. Также возросли коммерческие расходы, появились управленческие расходы, в результате чего прибыль от продаж составила 112 миллионов 459 тысяч рублей. В 2009 году появились проценты к получению, проценты к уплате увеличились на 119%, возросли доходы и расходы предприятия. Но тем не менее прибыль до налогообложения увеличилась на 289 миллионов 195 тысяч рублей. Из-за увеличения прибыли возрос ла и сумма налога на прибыль, которая составила 6 миллионов 678 тысяч рублей. В итоге у предприятия осталось 28 миллионов 451 тысяча рублей в виде чистой прибыли. Что на 289% больше, чем в 2007 году. 2.2 Анализ формирования и использования фонда заработной платы за 2007-2009гг Анализ использования трудовых ресурсов на предприятии, уровня производительности труда необходимо рассматривать в тесной связи с оплатой труда. С ростом производительности труда создаются реальные предпосылки для повышения уровня его оплаты. При этом средства на оплату труда нужно использовать таким образом, чтобы темпы роста производительности труда обгоняли темпы роста его оплаты. Только при таких условиях создаются возможности для наращивания темпов расширенного воспроизводства. В связи с этим анализ использования средств на оплату труда на каждом предприятии имеет большое значение. В процессе его следует осуществлять систематический контроль за использованием фонда заработной платы (оплаты труда), выявлять возможности экономии средств за счет роста производительности труда и снижения трудоемкости продукции. Фонд заработной платы по действующей инструкции органов статистики включает в себя не только фонд оплаты труда, относимый к текущим издержкам предприятия, но и выплаты за счет средств социальной защиты и чистой прибыли, остающейся в распоряжении предприятия. Сведения об использовании средств, направляемых на потребление, представлены в табл.3 Таблица 3 Анализ использования средств, направляемых на потребление
За 2008 год фонд оплаты труда снизился на 2,147 миллиона рублей. В том числе выплаты по сдельным расценкам снизились на 1,14 миллиона рублей, выплаты по тарифным ставкам и окладам уменьшились на 472,3 тысячи рублей, сумма премий за производственные результаты уменьшилась на 214,68 тысяч рублей, доплаты за профессиональное мастерство снизились на 107,34 тысяч рублей, доплаты за работу в ночное время, сверхурочные часы, праздничные дни и оплата ежегодных и дополнительных отпусков также снизились на 85,87 тысяч рублей и 128,81 тысяч рублей соответственно. Выплаты социального характера за 2008 год также уменьшились на 64,8 тысяч рублей. При этом доля фонда оплаты труда в общей сумме средств, направленных на потребление увеличилась на 0,01%, а социальных выплат- на 0,1% За 2009 год фонд оплаты труда увеличился на 8,64 миллиона рублей. В том числе выплаты по сдельным расценкам увеличились на 4,58 миллиона рублей, выплаты по тарифным ставкам и окладам возросли на 1,9 миллиона рублей, сумма премий за производственные результаты увеличилась 864 на тысячи рублей, доплаты за профессиональное мастерство возросли на 432 тысячи рублей, доплаты за работу в ночное время, сверхурочные часы, праздничные дни и оплата ежегодных и дополнительных отпусков также увеличились на 345,6 тысяч рублей и 518,4 тысяч рублей соответственно. Выплаты социального характера за 2009 год также возросли на 259,2 тысяч рублей. При этом доля фонда оплаты труда в общей сумме средств, направленных на потребление увеличилась на 0,11%, а социальных выплат- на 0,01% Из этого можно сделать вывод о значительном увеличении фонда оплаты труда и фонда социальной защиты за анализируемый период. Наибольший удельный вес в составе средств, использованных на потребление, занимает фонд оплаты труда, включаемый в себестоимость продукции. Приступая к анализу использования фонда заработной платы, включаемого в себестоимость продукции, в первую очередь необходимо рассчитать абсолютное и относительное отклонение фактической его величины от плановой. Абсолютное отклонение ( ∆ ФЗПабс= ФЗПф- ФЗПпл= (2.1) =58851,6-52358,4=6493,2 тыс.руб Относительное отклонение рассчитывается как разность между фактически начисленной суммой зарплаты и плановым фондом, скорректированным на коэффициент выполнения плана по производству продукции. Процент выполнения плана по производству продукции составляет 112,4%. Однако необходимо учитывать, что корректируется только переменная часть фонда заработной платы, которая изменяется пропорционально объему производства продукции. Это зарплата рабочих по сдельным расценкам, премии рабочим и управленческому персоналу за производственные результаты и сумма отпускных, соответствующая доле переменной зарплаты. Постоянная часть оплаты труда не изменяется при увеличении или спаде объема производства (зарплата рабочих по тарифным ставкам, зарплата служащих по окладам, все виды доплат, оплата труда работников непромышленных производств и соответствующая им сумма отпускных). Данные для расчета представлены в табл.4 Таблица 4 Исходные данные для анализа фонда заработной платы
Мы видим, что переменная часть оплаты труда рабочих увеличилась за период 2008-2009 года на 4,09 миллиона рублей, из которых выплаты по сдельным расценкам возросли на 3,44 миллиона рублей, премии за производственные результаты выросли на 649,32 тысяч рублей. За аналогичный период постоянная часть оплаты труда рабочих достигла 11,51 миллиона за счет увеличения повременной оплаты труда по тарифным ставкам на 685,73 тысяч рублей, а также роста доплат за сверхурочное время работы и стаж работы на 584,38 тысяч рублей. Возросла оплата отпусков рабочих на 389,59 тысяч рублей, оплата труда служащих на 742,77 тысячи рублей. За счет всего выше перечисленного общий фонд заработной платы возрос на 6,49 миллионов рублей, из которых 4,09 приходится на переменную часть, а 2,4 миллиона рублей – на постоянную. При этом удельный вес в общем фонде зарплаты ни переменной, ни постоянной части не изменился. На основании данных таблицы определим относительное отклонение по фонду заработной платы с учетом выполнения плана по производству продукции: ФЗПотн= ФЗПф- ФЗПск (2.2)
ФЗПотн=58851,6-(32985,79*1,124+19372,61)= =58851,6-56448,6=2403 тыс.руб где ФЗПф - фонд зарплаты фактический (2009г); ФЗПск -фонд зарплаты плановый (2007г), скорректированный на коэффициент выполнения плана по выпуску продукции; ФЗПпл.пер и ФЗПпл.пост - соответственно переменная и постоянная сумма фонда зарплаты за 2007г; Кпл - коэффициент выполнения плана по выпуску продукции. Кпл= ФЗПф/ФЗПпл (2.4) Кпл=58851,6/52358,40=1,124 Из чего можно сделать вывод об относительном перерасходе в использовании фонда зарплаты в размере 2миллиона 403 тысячи рублей. В процессе последующего анализа необходимо определить факторы абсолютного и относительного отклонения по фонду зарплаты. Переменная часть фонда зарплаты зависит от объема производства продукции (VВП), его структуры (УДi), удельной трудоемкости (утеi) и уровня среднечасовой оплаты труда (ОТi)(рис 3)
Рисунок 3 Переменная часть фонда зарплаты Расчет влияния этих факторов на абсолютное и относительное отклонение по фонду зарплаты представлен в таблице:
Результаты анализа мы можем занести в таблицу 5 Таблица 5 Влияния факторов на изменение переменной части фонда оплаты труда
В результате проведенного анализа влияния факторов на абсолютное и относительное отклонение по фонду зарплаты мы получили следующие данные: абсолютное отклонение по фонду зарплаты составило 6 миллионов 493 тысячи 20рублей. Которое произошло за счет увеличения объема производства продукции на 46,3 миллиона рублей, что повлекло увеличение отклонения на 6 миллионов 492 тысячи 44 рубля; за счет уменьшения трудоемкости продукции на 0,000568 отклонение уменьшилось на 117,9 тысяч рублей, а за счет увеличения уровня оплаты труда на 0,001 абсолютное отклонение возросло еще на 118,65 тысяч рублей. Относительное отклонение по фонду зарплаты составило 750рублей. Оно произошло за счет увеличения удельной трудоемкости продукции и уровня оплаты труда. Затем следует проанализировать причины изменения постоянной части фонда оплаты труда, куда входят зарплата рабочих-повременщиков, служащих, работников детских садов, клубов, санаториев-профилакториев и т.д., а также все виды доплат. Фонд зарплаты этих категорий работников зависит от среднесписочной их численности и среднего заработка за соответствующий период времени. Среднегодовая зарплата рабочих-повременщиков, кроме того, зависит еще от количества отработанных дней в среднем одним рабочим за год, средней продолжительности рабочей смены и среднечасового заработка.
Рисунок 4 Фонд повременной заработной платы Согласно этой схеме модель будет иметь следующий вид:
Таблица 6 Исходные данные для анализа повременного фонда заработной платы
Расчет влияния этих факторов можно произвести способом абсолютных разниц, используя данные таблицы ∆ФЗПп(ч)=(Чф-Чпл)*Дпл*tпл*ЧЗПпл= (2.6) =28*249*8*43,61=2432,39 тыс.руб ∆ФЗПп(Д)=Чф*(Дф-Дпл)* tпл* ЧЗПпл= (2.7) =251*(-1)*8*43,61=-89,68 тыс.руб. ∆ФЗПп= Чф* Дф*tф*(ЧЗПф-ЧЗПпл)= (2.8) =251*248*8*0,12=59,76 тыс.руб. Проверка: ∆ФЗПп=21775,09-19372,61=2402,47 тыс.руб. ∆ФЗПп=2432,39-89,68+59,76=2402,47 тыс.руб. Проведенный анализ показал, что фонд повременной оплаты труда увеличился на 2,4 миллиона рублей. На это увеличение повлияли следующие факторы: увеличение среднесписочной численности на 28 человек повлекло увеличение фонда повременной оплаты труда на 2432,39 тысячи рублей. Уменьшение количества отработанных дней одним рабочим на 1 день повлекло уменьшение фонда на 89,68 тысяч рублей. А возрастание среднечасовой зарплаты рабочего на 0,12 рубля вызвало рост фонда повременной оплаты труда еще на 59,76 тысяч рублей. Важное значение при анализе использования фонда зарплаты имеет изучение данных о среднем заработке работников предприятия, его изменении, а также о факторах, определяющих его уровень. Поэтому последующий анализ должен быть направлен на изучение причин изменения средней зарплаты одного работника по категориям и профессиям, а также в целом по предприятию. При этом необходимо учитывать (рис. ), что среднегодовая зарплата зависит от количества отработанных дней одним рабочим за год, продолжительности рабочей смены и среднечасовой зарплаты:
Расчет влияния этих факторов на изменение уровня среднегодовой зарплаты по категориям работников произведен призом абсолютных разниц (табл. 7). Таблица 7 Анализ уровня оплаты труда
Проведенный анализ уровня оплаты труда показал, что среднегодовая заработная плата рабочих-сдельщиков увеличилась на 113,3 рублей, а рабочих-повременщиков – на 119,4 рубля. При чем на это увеличение повлияли следующие факторы: Уменьшение количества отработанных дней на 1 день повлекло снижение среднегодовой зарплаты рабочих-сдельщиков на 442,24 рубля, а возрастание среднечасовой зарплаты на 0,28руб повлекло рост среднегодовой зарплаты рабочих-сдельщиков на 555,52 рубля. Эти же изменения привели к уменьшению среднегодовой зарплаты рабочих-повременщиков на 348,89 рубля из-за уменьшения отработанных дней и увеличению среднегодовой зарплаты рабочих-повременщиков на 229,49 рубля вследствии роста среднечасовой зарплаты. Следует также установить соответствие между темпами роста средней заработной платы и производительностью труда. Как уже отмечалось, для расширенного воспроизводства, получения прибыли и рентабельности нужно, чтобы темпы роста производительности труда опережали темпы роста его оплаты. Если такой принцип не соблюдается, то происходят перерасход фонда зарплаты, повышение себестоимости продукции и соответственно уменьшение суммы прибыли. Изменение среднего заработка работающих за период характеризуется его индексом (JЗП ):
JЗП=98489,68/98495,8= 0,9999 Изменение среднегодовой выработки определяется аналогично на основе индекса производительности труда (Jпт ):
Jгв=785,27/785,42=0,9998 Темп роста производительности труда должен опережать темп роста средней заработной платы. Для этого рассчитывают коэффициент опережения Коп и анализируют его в динамике:
Коп= 0,9998/0,9999=0,9999 Для определения суммы экономии (-Э) или перерасхода (+Э) фонда зарплаты в связи с изменением соотношений между темпами роста производительности труда и его оплаты можно использовать следующую формулу: Э=ФЗПф*(( JЗП- Jгв)/ JЗП) (2.13) Э=58851,6((0,9999-0,9998)/ 0,9999)= 5,89 тыс.руб После проведенного анализа соответствия между темпами роста средней заработной платы и производительностью труда можно сделать о перерасходе фонда зарплаты на 5,89 тысяч рублей. Это произошло из-за опережения темпа роста заработной платы над темпом роста производительности труда. Что повлекло увеличение себестоимости продукции и уменьшение суммы прибыли. В условиях высокой инфляции при анализе индекса роста средней заработной платы необходимо базисный показатель средней зарплаты (СЗ0 ) скорректировать на индекс роста цен на потребительские товары и услуги (Jу )
Jзп=98489,68/(98495,80*1,088)= 0,919 где СЗ1 - средняя зарплата в отчётном периоде. После проведенных расчетов видно, что реальная зарплата работников в 2009 году снизилась вследствие инфляции в 8,8% на 8,1% 2.3 Анализ эффективности использования фонда заработной платы за 2007-2009гг Для оценки эффективности использования средств на оплату труда необходимо применять такие показатели, как объем производства продукции в действующих ценах, выручку, сумму валовой, чистой прибыли на рубль зарплаты и др. В процессе анализа следует изучить динамику этих показателей, выполнение плана по их уровню. Очень полезным будет межзаводской сравнительный анализ, который покажет, какое предприятие работает более эффективно. Расчет показателей эффективности использования фонда заработной платы приведен ниже: ПП1зп=Vпр/СЗП (2.15) Где ПП1зп – производство продукции на рубль заработной платы; Vпр - объем производства продукции; СЗП – средняя заработная плата. ПП1зп2007 =373072,3/98495,8=3,79 руб. ПП1зп2008 =357776,3/98619,15=3,63 руб. ПП1зп2009 =496932,3/98489,68=5,05 руб. В1зп=В/СЗП (2.16) Где В1зп – выручка на рубль заработной платы; В – выручка предприятия. В1зп2007 =383915/98495,8=3,9 руб. В1зп2008 =367985/98619,15=3,73 руб. В1зп2009 =511225/98489,68=5,19 руб. Свп1зп=ВП/СЗП (2.17) Где Свп1зп – сумма валовой прибыли на рубль заработной платы; ВП – валовая прибыль. Свп1зп2007 =45702/98495,8=0,46 руб. Свп1зп2008 =-16582/98619,15=-0,17 руб. Свп1зп2009 =179101/98489,68=1,82 руб. Счп1зп=ЧП/СЗП (2.18) Где Счп1зп – сумма чистой прибыли на рубль заработной платы; ЧП- чистая прибыль. Счп1зп2007 = -15052/98495,8= -0,15 руб. Счп1зп2008 =4968/98619,15=0,05 руб. Счп1зп2009 =28451/98489,68=0,29 руб. Результаты расчетов представлены в таблице 8: Таблица 8 Показатели эффективности использования фонда заработной платы
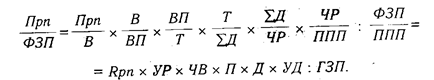
За анализируемый период предприятие добилось улучшения эффективности использования фонда заработной платы. Так производство продукции на рубль заработной платы увеличилось на 1,26 рубля, выручка на рубль зарплаты возросла на 1,29 рубля, сумма валовой прибыли и чистой прибыли на рубль зарплаты возросли на 1,36 и 0,44 рубля соответственно. При этом ОАО «Брянскпиво» достигло лучших значений первых двух показателей. Однако по размеру чистой прибыли и валовой прибыли конкурирующее предприятие имеет лучшие результаты, из чего ОАО «Брянскпиво» следует сделать выводы и искать пути повышения этих показателей. После этого необходимо установить факторы изменения каждого показателя, характеризующего эффективность использования фонда заработной платы. Для факторного анализа производства продукции на рубль заработной платы можно использовать следующую модель:
где ВП — выпуск продукции в действующих ценах; ФЗП — фонд заработной платы персонала; Т - количество часов, затраченных на производство продукции;
ЧР - среднесписочная численность рабочих; ППП - среднесписочная численность промышленно-производственного персонала; ЧВ - среднечасовая выработка продукции; П — средняя продолжительность рабочего дня; УД - удельный вес рабочих в общей численности персонала; ГЗП - среднегодовая зарплата одного работника.
(2.20) Прибыль от реализации продукции на рубль зарплаты, кроме выше названных факторов, зависит еще и от уровня рентабельности продаж (Rpn):
При анализе размера чистой прибыли на рубль заработной платы добавляется еще такой фактор, как доля чистой прибыли в общей сумме валовой прибыли (Дчп):
Анализируя изменение размера реинвестированной прибыли на рубль заработной платы, необходимо учитывать еще и такой фактор, как доля реинвестированной прибыли в общей сумме чистой прибыли (URP):
Таблица 9 Данные для факторного анализа прибыли на рубль зарплаты
Для расчета влияния факторов по приведенным выше моделям может использоваться способ цепной подстановки. Используя данные табл. , узнаем, за счет каких факторов изменилась чистая прибыль на рубль зарплаты: ЧП/ФЗПпл=Дчппл*Rрппл*УРпл*ЧВпл*Ппл*Дпл*УДпл/ГЗПпл (2.24) ЧП/ФЗПпл=-4,94*(-3,92)*1,1351*785,42*8*249*0,79/98500=275,82 коп. ЧП/ФЗП(ГЗП)= Дчппл*Rрппл*УРпл*ЧВпл*Ппл*Дпл*УДпл/ГЗПф (2.25) ЧП/ФЗП(ГЗП)= -4,94*(-3,92)*1,14*785,42*8*249*0,79/98490=275,12 коп ЧП/ФЗП(УД)= Дчппл*Rрппл*УРпл*ЧВпл*Ппл*Дпл*УДф/ГЗПф (2.26) ЧП/ФЗП(УД)= -4,94*(-3,92)*1,14*785,42*8*249*0,791/98490=276,2 коп ЧП/ФЗП(Д)= Дчппл*Rрппл*УРпл*ЧВпл*Ппл*Дф*УДф/ГЗПф (2.27) ЧП/ФЗП(Д)= -4,94*(-3,92)*1,14*785,42*8*248*0,791/98490=275,09 коп ЧП/ФЗП(П)= Дчппл*Rрппл*УРпл*ЧВпл*Пф*Дф*УДф/ГЗПф (2.28) ЧП/ФЗП(П)= -4,94*(-3,92)*1,14*785,42*8*248*0,791/98490=275,09 коп ЧП/ФЗП(ЧВ)= Дчппл*Rрппл*УРпл*ЧВф*Пф*Дф*УДф/ГЗПф (2.29) ЧП/ФЗП(ЧВ)= -4,94*(-3,92)*1,14*785,27*8*248*0,791/98490=275,04 коп ЧП/ФЗП(УР)= Дчппл*Rрппл*УРф*ЧВф*Пф*Дф*УДф/ГЗПф (2.30) ЧП/ФЗП(УР)= -4,94*(-3,92)*1,539*785,27*8*248*0,791/98490=372,98 коп ЧП/ФЗП(Rрп)= Дчппл*Rрпф*УРф*ЧВф*Пф*Дф*УДф/ГЗПф (2.31) ЧП/ФЗП(Rрп)= -4,94*5,57*1,539*785,27*8*248*0,791/98490=-529,97 коп ЧП/ФЗПф= Дчпф*Rрпф*УРф*ЧВф*Пф*Дф*УДф/ГЗПф (2.32) ЧП/ФЗПф=0,25*5,57*1,539*785,27*8*248*0,791/98490=26,82 коп Изменение чистой прибыли на рубль зарплаты общее: 26,82-275,82=-249 коп в том числе за счет изменения: среднегодового заработка одного работника предприятия 275,12-275,82= -0,7коп удельного веса рабочих в общей численности персонала 276,2-275,12=1,08 коп количества отработанных дней одним рабочим за год 275,09-276,2=-1,11 коп среднечасовой выработки рабочих 275,04-275,09=-0,05 коп коэффициента реализуемости продукции 372,98-275,04=97,94 коп уровня рентабельности продаж -529,97-372,98=-902,95 коп доли чистой прибыли в общей сумме валовой прибыли 26,82+529,97=556,79 коп После проведения факторного анализа изменения чистой прибыли на рубль зарплаты видно, что она снизилась на 2,49руб. На это снижение повлияло изменение среднегодового заработка одного работника предприятия, что повлекло снижение суммы чистой прибыли на рубль зарплаты на 0,7 коп; удельного веса рабочих в общей численности персонала- вызвало увеличение суммы чистой прибыли на рубль зарплаты на 1,08коп , количества отработанных дней одним рабочим в год – вызвало уменьшение результативного показателя на 1,11 коп; среднечасовой выработки рабочих- повлекло уменьшение на 0,05 коп; коэффициента реализуемости продукции – привело к увеличению чистой прибыли на рубль зарплаты на 97,94 коп; уровня рентабельности продаж – вызвало снижение результативного показателя на 902,95 коп; доли чистой прибыли в общей сумме валовой прибыли, что повлекло рост чистой прибыли на рубль зарплаты на 556,79 коп. 3. ПУТИ ПОВЫШЕНИЯ ЭФФЕКТИВНОСТИ ИСПОЛЬЗОВАНИЯ ФОНДА ЗАРАБОТНОЙ ПЛАТЫ 3.1. Резервы увеличения использования фонда заработной платы В каждой отрасли, на любом предприятии и в его производственных подразделениях, в первичных ячейках производства - бригадах, непосредственно на рабочих местах должны быть выявлены и приняты все меры для приведения в действие поистине неисчерпаемых возможностей повышения эффективности работы, роста производительности труда. Производственная программа формируется по основным видам и комплексом работ, ОАО «Брянскпиво» повышает значения основных показателей за анализируемый период. Оценивая итоги деятельности предприятия за 2007-2009 гг. можно заключить: не смотря на то, что происходит рост объемов производства по отношению к 2007 году по всем основным показателям, расходы на их содержание значительно возрастают. В основном превышение затрат обусловлено удорожанием выполняемых работ; этому способствовало увеличение заработной платы, повышение стоимости сырья и материалов. Достаточная обеспеченность предприятий нужными трудовыми ресурсами, их рациональное использование, высокий уровень производительности труда имеют большое значение для увеличения объемов продукции и повышения эффективности производства ОАО «Брянскпиво». Анализируя производительность труда, ее целесообразно сопоставлять со среднегодовой заработной платой. На основании данных о динамике выработки и среднегодовой заработной платы, можно сделать вывод об улучшении, либо ухудшении использования рабочей силы на предприятии. Анализ производительности труда и заработной платы предприятия позволил сделать следующие выводы. В целом за период, наблюдается отрицательная тенденция соотношения роста выработки и роста заработной платы. В рассматриваемый период времени изменение выработки оказывало решающее влияние на изменения количества работников, то есть изменение выпуска продукции происходило в основном за счет увеличения экстенсивного использования труда. Изменение производительности труда выступает как фактор роста эффективности использования фонда заработной платы. Так же следует отметить, что рост фонда заработной платы происходил в 2007-2009 гг. под решающим влиянием двух факторов: под действием роста среднесписочной численности работающих и роста зарплаты одного работающего, что связано с ростом выпуска продукции через заработную плату рабочих-сдельщиков. В работе также проведен анализ фонда заработной платы, с точки зрения его эффективного использования. Рассматривая динамику показателей, рассчитанных на рубль заработной платы, обращает на себя внимание то обстоятельство, что происходит увеличение показателей, связанных с реализацией продукции. Реализованная продукция на рубль заработной платы за рассматриваемый период существенно возросла. Рост средней заработной платы является одним из основных факторов роста производительности труда, отказ от сдельно-премиальной оплаты труда приводит к значительному сокращению возможности роста объема выработки, повышает текучесть кадров. 3.2. Оценка выявленных резервов Исходя из анализа показателей эффективности использования фонда заработной платы можно сделать вывод о необходимости увеличения таких показателей, как сумма валовой прибыли на рубль зарплаты и сумма чистой прибыли на рубль затрат. Эти показатели можно увеличить за счет уменьшения себестоимости производимой продукции и снижения прочих расходов. Это может быть достигнуто за счет технического дооснащения и модернизации предприятия(2%), компьютеризации процессов производства и управления(0,5%), а также повышение безопасности труда и обеспечение выполнения условий договоров(0,5%). Предлагаемая программа мероприятий должна привести к снижению себестоимости на 3%. В результате этих мероприятий можно достигнуть увеличения валовой и чистой прибыли: ВП= В-С ВП=511225-(332124*97%)=511225-322160,28=189064,72 тыс. руб. ЧП=ВП-КУР-%у+%п+ПД-ПР-ОтНА-НП Где ВП- валовая прибыль; В-выручка; С –себестоимость продукции; ЧП- чистая прибыль; КУР – коммерческие и управленческие расходы; %у и %п – проценты к уплате и получению; ПД И ПР – прочие доходы и расходы; ОтНА – отложенные налоговые активы; НП – налог на прибыль. ЧП=189064,72-16757-49885-34832+810+19731-61536-1413-8494,4=36688,32 тыс.руб. В результате сумма валовой прибыли и сумма чистой прибыли на рубль заработной платы составят: Свп1зпрезерв =189064,72/98489,68=1,92 Счп1зпрезерв =36688,32 /98489,68=0,37 Таблица 10 Расчет показателей эффективности использования ФЗП с учетом выявленных резервов
После предложенных мероприятий сумма валовой прибыли на рубль зарплаты увеличится на 0,10 рубля и превысит показатель предприятия-конкурента на 0,04 рубля. А сумма чистой прибыли на рубль зарплаты после предложенных мероприятий увеличится на 0,08 рубля, при этом превысив показатель предприятия-конкурента ОАО Пивоваренная компания «Балтика» на 0,07 рубля. Увеличить заработную плату работников можно путем обеспечения роста производительности труда. А также за счет увеличения объема выпущенной продукции. Увеличить производительность труда можно за счет повышения технического уровня производства(1,5%), совершенствования организации труда(0,4%), снижения трудоемкости(0,6%), за счет сокращения целодневных и внутрисменных потерь времени(1%), сокращения непроизводственных затрат времени(0,5%). В результате чего производительность труда можно увеличить на 4%. Тогда средняя заработная плата работника будет: ЗПчас1раб =Vпроиз.пр1раб *С Где ЗПчас1раб – среднечасовая зарплата работника; Vпроиз.пр1раб – объем произведенной продукции одним работником; С- ставка за 1 произведенный дал. ЗПчас1раб =(0,4+0,4*0,04)*124,1=51,6 руб Из расчета видно, что после внедрения предложенных мероприятий среднечасовая зарплата работника увеличится на 2 рубля. ЗАКЛЮЧЕНИЕЭффективность использования рабочей силы на предприятии в определенной мере зависит от структуры кадров предприятия - состава кадров по категориям и их доли в общей численности. Кадровая политика на предприятии должна быть направлена на оптимальное сочетание категорий промышленно-производственного персонала. Фонд заработной платы является важнейшим показателем производства в рыночной экономике, без которого невозможна деятельность предприятия. Поэтому эффективное использование трудовых ресурсов ведет к достижению конечной цели любого предприятия - получению прибыли. Одним из важных путей обеспечения стабильности экономического положения предприятия является также сокращение издержек производства и обращения и особенно затрат живого труда на единицу продукции при более полном учете и удовлетворении потребностей работника по содержательности, условиям и оплате труда. Предприятию можно также предложить использовать наряду с выплатой зарплаты отсроченные платежи (например, в пенсионный фонд), участие в прибылях компании, участие в акционерном капитале. На ряду с этим можно применять различные дополнительные стимулы - оплата транспортных расходов, субсидии на питание, скидки на покупку товаров фирмы, помощь в обучении, страхование жизни, медицинское обследование. Это с одной стороны, заинтересовывает работников в получении дополнительных доходов, а с другой - способствует социальному партнерству наемных работников и собственников предприятия. Учет расчетов по оплате труда в ОАО «Брянскпиво» ведется в соответствии с планом счетов с применением журнально-ордерной формы учета и значительная часть учетно-аналитической информации обрабатывается с использованием ПЭВМ. В частности используется программа «1С:Предприятие». Это не только упрощает обработку учетной информации, но и делает ее менее трудоемкой. Для существенного повышения эффективности производства важно добиться более высокого уровня кадрового обеспечения: будет сформирован многочисленный отряд рабочих универсалов, которые сочетают в себе специалиста, организатора, управленца, а также выполняет учетно-экономические функции. В экономически обновленных предприятиях сформируется тип профессионально-мобильного работника широкого профиля, экономически грамотного, способного трудиться в новых условиях. В ОАО «Брянскпиво» за период с 2007 по 2009 год размер выручки предприятия возрос на 33,2% и составил 511миллионов 225 тысяч рублей. Объем чистой прибыли увеличился почти в три раза и составил в 2009 году 28 миллионов 451 тысячу рублей. Фонд оплаты труда увеличился на 6 миллионов 493 тысячи рублей и составил 58 миллионов 852 тысячи рублей. При чем переменная часть увеличилась на 4 миллиона 91 тысячу, а постоянная – на 1 миллион 270 тысяч рублей. На это увеличение в наибольшей степени повлиял рост объемов производства. Темпы роста оплаты труда опережают темпы роста производительности труда, что повлекло за собой перерасход фонда зарплаты на 5 миллионов 890 тысяч рублей. Источниками улучшения показателей эффективности использования фонда заработной платы может быть уменьшение себестоимости, за счет чего сумма валовой прибыли на рубль зарплаты может увеличится на 0,10 рубля, а сумма чистой прибыли на рубль зарплаты – на 0,08 рубля; технического дооснащения и модернизации предприятия; повышение безопасности труда и обеспечение выполнения условий договоров. Рост средней часовой заработной платы работника может быть достигнут за счет роста производительности труда. В результате чего средняя часовая зарплата работника может увеличится на 2 рубля. СПИСОК ИСПОЛЬЗОВАННЫХ ИСТОЧНИКОВ 1. Авраменко В.И. Корма и кормление домашнего скота и птицы. М.: ООО «Издательство АСТ» ;Донецк: «Сталкер». 2003.- 438с. 2. Азрилиян А.Н. Заработная плата // Большой экономический словарь.- 2-е изд. доп. и перераб. — М.: Институт новой экономики, 1997.- 864с. 3. Анализ хозяйственной деятельности предприятий АПК; учеб. пособие /Г.В. Савицкая. -5-е изд., испр. и доп.-М.: Новое издание, 2005.- 652с.(Экономическое образование) 4. Боярский Л.Г. «Повышение питательности кормов путем рационального использования протеина» Вестник Российской академии сельскохозяйственных наук, 2006., №2.- 80с. 5. Бухгалтерский учет: Учебник / А.С. Бакаев, П.С. Безруких Н.Д. Врублевский и др.; Под ред. П.С. Безруких.- 4-е изд., перераб. и доп. - М.: Бухгалтерский учет, 2002.- 719с. 6. Бухгалтерский учет: Учебник под ред. Л.И. Хоружий, Р.Н. Расторгуевой. —М.:КолосС,2004.-511с.:ил. 7. Воробьева Е.В. «Формы оплаты труда по конечным результатам». АКДИ Экономика и жизнь № 11, 2004.- 11 с. 8. Жуков А.Л. Регулирование и оплата труда: Учебное пособие. — М.: Издательство «МИК», 2003. — 336с. 9. Искаков Р.Ш., Д.М. Мухутдинов. «Селекционно-племенная работа в молочном скотоводстве» Достижение науки и техники АПК, 2006, №12.- 14с. 10. Ковалев В.В., Финансовый анализ: методы и процедуры. М: Финансы и статистика. 2005. — 560с. 11. Комплексный экономический анализ хозяйственной деятельности: Учеб./Л.Т.Гиляровская (и др.).-М. :ТК Велби, Изд-во Проспект, 2006. - 360с. 12. Организация и нормирование труда. Учебник для вузов, под ред. Ю.Г.Одегова. — М.: Издательство «Экзамен», 2003. — 464с. 13. Трудовое право России. Под ред. А.С. Пашкова.- СП6.: Издательство Санкт-Петербургского университета, 2004.- 288с. 14. Полищук Л. «Экономическая эффективность сокращения сервис-периода коров». Развитие АПК, 2006, № 3. — 62с. 15. Полищук Л. «Экономическая эффективность снижения яловости коров и повышения сохранности молодняка». Развитие АПК, 2006, № 10. — 65с. 16. Пястлов С.М., Экономический анализ деятельности предприятий; Учебное пособие для студентов экономических специальностей высших учебных заведений, экономистов и преподавателей - М.:Академический Проспект. 2004. -576с. 17. Савицкая Г.В., Анализ производственно финансовой деятельности сельскохозяйственных предприятий: Учебник. - М. :Инфра-М, 2003. - 368с. (серия «Среднее профессиональное образование») 18. Скляренко В.К., Прудников В.М. Экономика предприятия: Учебник. — М.: ИНФРА-М., 2006. — 528с. — (Высшее образование) 19. Экономика сельскохозяйственного предприятия /И.А. Минаков, А.А.Себетова, Н.И.Куликов и др. — М.: КолосС, 2004.- 528с. 20. Экономический анализ финансово-хозяйственной деятельности: Учебное пособие для среднего профессионального образования/ Под общей редакцией М.В.Мельник; Финансовая акад. при Правительстве РФ. - М.:Экономистъ, 2004. -320с. ПРИЛОЖЕНИЯ |
|||||||||||||||||||||||||||||||||||||||||||||||||||||||||||||||||||||||||||||||||||||||||||||||||||||||||||||||||||||||||||||||||||||||||||||||||||||||||||||||||||||||||||||||||||||||||||||||||||||||||||||||||||||||||||||||||||||||||||||||||||||||||||||||||||||||||||||||||||||||||||||||||||||||||||||||||||||||||||||||||||||||||||||||||||||||||||||||||||||||||||||||||||||||||||||||||||||||||||||||||||||||||||||||||||||||||||||||||||||||||||||||||||||||||||||||||||||||||||||||||||||||||||||||||||||||||||||||||||||||||||||||||||||||||||||||||||||||||||||||||||||||||||||||||||||||||||||||||||||||||||||||||||||||||||||||||||||||||||||||||||||||||||||||||||||||||||||||||||||||||||||||||||||||||||||||||||||||||||||||||||||||||


. (1.18)
, (1.21)

. (2.11)
, (2.14)
(2.21)
(2.22)
(2.23)