Курсовая работа: Управление конкурентоспособностью предприятия 2

Название: Управление конкурентоспособностью предприятия 2
Раздел: Рефераты по маркетингу
Тип: курсовая работа

СОДЕРЖАНИЕ

Введение 3

1 Содержание управления конкурентоспособностью товара

1.1 Сущность и параметры оценки конкурентоспособности товара 5

1.2 Методологические основы оценки конкурентоспособности товара 8

2 Оценка конкурентоспособности товара на примере ЗАО «Гранит-Сервис»

2.1 Общая характеристика рынка и предприятия ЗАО «Гранит-Сервис» 17

2.2 Оценка качества товара ЗАО «Гранит-Сервис» 24

2.3 Комплексная оценка конкурентоспособности

товара ЗАО «Гранит-Сервис» 27

3 Предложения по повышению (поддержанию) конкурентоспособности

товара ЗАО «Гранит-Сервис» 30

Заключение 38

Список литературы 40

ВВЕДЕНИЕ

В рыночной экономике основополагающим фактором коммерческого успеха товара является конкурентоспособность. Это многоаспектное понятие, которое означает соответствие товара условиям рынка, конкретным требованиям потребителей не только по своим качественным, техническим, экономическим, эстетическим характеристикам, но и по коммерческим и иным условиям его реализации (цена, сервис, реклама, сроки поставки, каналы сбыта). Помимо этого, важной составной частью конкурентоспособности товара является уровень затрат потребителя за период его эксплуатации. Широкое распространение конкуренции под воздей­ствием международного разделения труда и научно-техни­ческого прогресса подталкивает производителей к усилен­ному поиску новых конкурентоспособных товаров и новых рынков их сбыта.

Целью курсовой работы является оценка управления конкурентоспособностью товара на примере ЗАО «Гранит-Сервис». При выполнении курсовой работы были поставлены следующие задачи: изучить содержание управления конкурентоспособностью товара; провести оценку конкурентоспособности товара на примере ЗАО «Гранит-Сервис»; предложить мероприятия по повышению (поддержанию) конкурентоспособности товара ЗАО «Гранит-Сервис». Объект исследования – конкурентоспособность товара.

Предмет исследования – параметры и методы оценки конкурентоспособности товара. Курсовая работа состоит из введения, трех глав основной части, заключения, списка литературы и приложения. Содержание работы изложено на 40 листах. Список литературы включает 13 наименований.

В первой главе курсовой работы изучается сущность и параметры оценки конкурентоспособности товара; рассматриваются методологические основы оценки конкурентоспособности товара. Во второй главе курсовой работы приводится общая характеристика рынка и предприятия ЗАО «Гранит-Сервис»; проводится оценка качества товара ЗАО «Гранит-Сервис»; осуществляется комплексная оценка конкурентоспособности товара ЗАО «Гранит-Сервис». В третьей главе курсовой работы разрабатываются предложения по повышению (поддержанию) конкурентоспособности товара ЗАО «Гранит-Сервис».

Теоретической базой при выполнении курсовой работы послужили учебники и учебные пособия по маркетингу Багиева, Соловьева, Титова, а также статьи журнала «Маркетинг в России и за рубежом Голубкова, Родионовой.

1 СОДЕРЖАНИЕ УПРАВЛЕНИЯ КОНКУРЕНТОСПОСОБНОСТЬЮ ТОВАРА

1.1 СУЩНОСТЬ И ПАРАМЕТРЫ ОЦЕНКИ КОНКУРЕНТОСПОСОБНОСТИ ТОВАРА

Отечественные и зарубежные ученые внесли существенный вклад в разработку теории конкуренции и конкурентоспособности. Теория конкуренции, впервые обобщенная А. Смитом, была впоследствии развита Д. Риккардо, Ф. Эджоуртом, Э. Чемберлином, Г. Л. Азоевым, А. Ю. Юдановым и другими. М. Портер, И. Ансофф, А. Стрикленд, Р. Уотерман, В. Д. Андрианов, П. С. Завьялов, Р. А. Фатхутдинов исследовали не только сущность конкуренции и конкурентоспособности, но и проблемы обеспечения конкурентоспособности.

Понятие конкурентоспособности, в первую очередь, связывается с качеством товара. Одной из первых работ в данном направлении является монография М. Г. Долинской и И. А. Соловьева, где авторы дают следующее определение конкурентоспособности товара: это «характеристика продукции, которая отражает ее отличие от товара-конкурента как по степени соответствия конкретной общественной потребности, так и по затратам на ее удовлетворение». В своей работе исследователи выделяются следующие признаки конкурентоспособности:

- тождество свойств качества и конкурентоспособности товара, т. е. последняя определяется сопоставлением его параметров с показателями товаров-аналогов и требованиями потребителей;

- различие свойств качества и конкурентоспособности товара, выражающееся в том, что при определении конкурентоспособности следует учитывать только те факторы, которые представляют интерес для потребителя и удовлетворяют его конкретную потребность;

- развитие категории качества, позволяющее производить оценку конкурентоспособности неоднородных товаров.

И. А. Спиридонов подчеркивает, что понятие конкурентоспособности товара шире понятия качества и соответствия техническим параметрам, которые лишь только являются одними из главных составляющих конкурентоспособности.

Другие авторы, напротив, не считают качество подчиненной категорией по отношению к конкурентоспособности и рассматривают ее как комплексный показатель качества любого экономического объекта в рыночной среде, характеризующий потенциал данного объекта. Однако, по мнению автора, такая точка зрения довольно спорная, так как в экономической науке качество рассматривается как набор характеристик, обуславливающих способность товара удовлетворять потребности.

При анализе понятия «конкурентоспособность товара» рассматриваются, помимо качества, такие характеристики, как цена товара и условия ее реализации. Отечественными авторами широко используется подход к определению конкурентоспособности, который основан на сравнении качественных и стоимостных характеристик. В работе В. Д. Андрианова под конкурентоспособностью товара понимается «комплекс потребительских, ценовых и качественных характеристик, определяющих его успех на внутреннем и внешнем рынке»1 .

Таким образом, конкурентоспособность товара определяется совокупностью его характеристик, которые учитываются потребителем, и проявляется в результате сравнения с товарами-аналогами. Следовательно, конкурентоспособность — это более высокое по сравнению с товарами-заменителями соотношение совокупности качественных характеристик товара и затрат на его приобретение и потребление при их соответствии требованиям рынка или его определенного сегмента. Другими словами, конкурентоспособным считается товар, совокупный полезный эффект которого на единицу затрат выше, чем у остальных, и при этом величина ни одного из критериев не является неприемлемой для потребителя.

Товар с низким качеством может быть конкурентоспособен при соответствующей цене, но при отсутствии какого-либо свойства он потеряет свою привлекательность для потребителя вообще.

1 Прахова Т. С. Понятие и сущность конкурентоспособности // Сборник научных трудов СевКавГТУ. Серия «Экономика», 2005, №2.

Параметрами оценки конкурентоспособности товара являются:

- качество продукции, соответствие нормам и стандартам;

- цена;

- соответствие потребительскому спросу. Помимо требований к товару, выдвигаемых каждым отдельным потребителем, существуют и требования, общие для всех товаров, которые являются обязательные к выполнению. Это нормативные параметры, которые устанавливаются: действующими международными (ИСО, МЭК и др.) и региональными стандартами; национальными зарубежными и отечественными стандартами; действующими законодательствами, нормативными актами, техническими регламентами страны-экспортера и страны-импортера, устанавливающими требования к ввозимой в страну продукции; стандартами фирм—изготовителей продукции; патентной документацией.

Таким образом, конкурентоспособность — это более высокое по сравнению с товарами-заменителями соотношение совокупности качественных характеристик товара и затрат на его приобретение и потребление при их соответствии требованиям рынка или его определенного сегмента. Конкурентоспособность является величиной относительной, где базой для сравнения выступают аналогичные показатели конкурентов. Параметрами оценки конкурентоспособности товара являются: качество продукции, соответствие нормам и стандартам; цена; соответствие потребительскому спросу.

1.2 МЕТОДОЛОГИЧЕСКИЕ ОСНОВЫ ОЦЕНКИ КОНКУРЕНТОСПОСОБНОСТИ ТОВАРА

Существует несколько методов расчета показателя конкурентоспособности. Прежде чем рассчитывать количественное значение показателя конкурентоспособности, следует провести ряд дополнительных исследований. На первой стадии проводится экспериментальное определение или расчет всех характеристик собственного товара, включая также те, которые можно выявить только в процессе его эксплуатации (энергоемкость, требуемая периодичность смазывания или замены деталей). На второй стадии определяются цели оценки конкурентоспособности, которые зависят от стадии жизненного цикла товара, от стратегии и планов развития фирмы и т.д. Перед тем как вывести новый товар на рынок, следует удостовериться, что он по своим показателям не уступает конкурентам и может привлечь внимание покупателей. Со временем конкурентоспособность товара может либо повышаться, либо снижаться в связи с изменением предпочтений потребителей, появлением новых или уходом с рынка старых конкурентов и т.д. На третьей стадии проводятся сегментация рынка и обоснование целевого сегмента. Если методов маркетинга окажется несколько, то оценку конкурентоспособности товара необходимо проводить для каждого сегмента отдельно. 1) Определение конкурентоспособности продукции методом расчета единичных и групповых показателей. В основе данного традиционного метода лежит расчет единичных и групповых показателей, на базе которых определяется интегральный показатель конкурентоспособности. На первом этапе выбирается база сравнения. В качестве базы для сравнения может служить лучший из уже существующих на целевом рынке товаров-конкурентов, или более совершенный образец, появление которого ожидается в ближайшем будущем, или некоторый абстрактный эталон. Если разделить товары на три группы (имеющие аналоги и уже выведенные на рынок; имеющие аналоги и находящиеся на стадии разработки; не имеющие аналогов), то получаем, что первый вариант базы сравнения лучше использовать для первой группы, второй — для группы 2, третий — для группы 3. На втором этапе определяются наиболее значимые для потребителя критерии. Они делятся на две группы: потребительские и экономические. Первые включают в себя качественные характеристики товара (производительность, надежность, габариты, экологическая безопасность, и т.д.), вторые — цену товара, затраты на транспортировку, монтаж и эксплуатацию, что в целом составляет цену потребления. Значение критерия у базисной модели обозначим РБ, а у сравниваемого образца — Р. На третьем этапе по каждому критерию рассчитывается единичный показатель конкурентоспособности (qi). Если увеличение значения критерия влечет за собой повышение качества, то

Qi = Pi/PБi, (1)

а если снижение, то

qi = PБi/Pi, (2)

На четвертом этапе в каждой группе критериев производят ранжирование показателей по степени их значимости для потребителя и в соответствии с этим присваивают им вес: апi — для потребительских и аэi — для экономических показателей. Причем

, (3)

где n и m — количество потребительских и экономических параметров соответственно.

На пятом этапе проводится расчет группового показателя как сводного параметрического индекса конкурентоспособности:

, (4)

, (5)

где Qп и Qэ — сводные параметрические индексы конкурентоспособности по потребительским и экономическим свойствам соответственно. Соблюдение равенства (3) обеспечивает сопоставимость Qп и Qэ вне зависимости от количества рассматриваемых критериев. На шестом этапе рассчитывается интегральный показатель конкуренто-способности (К):

К = Qп/Qэ. (8)

Экономический смысл интегрального показателя конкурентоспособности состоит в том, что на единицу затрат потребитель получает К единиц полезного эффекта. Если К > 1, то уровень качества выше уровня затрат и товар является конкурентоспособным, если К < 1 — неконкурентоспособным на данном рынке.

Метод определения конкурентоспособности продукции путем расчета единичных и групповых показателей имеет ряд недостатков:

- во всех случаях предполагается линейная зависимость конкурентоспособности от значения критерия, то есть по всем параметрам эластичность спроса равна 1;

- не учитывается то, что для некоторых критериев существуют ограничения, объективные или субъективные, при нарушении которых конкурентоспособность товара стремится к нулю;

- при сравнении нескольких товаров необходимо проведение расчетов для каждой пары в отдельности;

- сложно устанавливать весовые значения aij, особенно для большого количества критериев;

- невозможно оценить степень влияния на конкурентоспособность товара факторов, не поддающихся количественной оценке;

- данным методом рассчитывается конкурентоспособность одного объекта относительно другого, а не уровень конкурентоспособности объекта вообще;

- существует определенная сложность выбора базы сравнения, особенно в случаях, когда в качестве таковой необходимо принять лучший из существующих образцов. Таким образом, указанные недостатки являются и ограничениями применения традиционного метода конкурентоспособности товара.

2) Определение конкурентоспособности с использованием функции желательности. Функция желательности определяется следующим образом:

, (9)

где е — основание натурального логарифма; х — приведенное значение исследуемого параметра объекта.

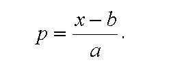
Функция определена в интервале 0...1 и используется в качестве безразмерной шкалы, названной шкалой желательности, для оценки уровней параметров сравниваемых объектов (изделий). При помощи шкалы желательности оцениваются параметры объектов или изделий с точки зрения их пригодности к использованию, или желательности, по отношению к какому-либо практическому применению. Каждому фактическому значению функции желательности придается конкретный экономический смысл, связанный с уровнем конкурентоспособности исследуемого объекта или изделия. Причем значение функции желательности, равное 0, соответствует неприемлемому уровню параметра, при значении которого изделие непригодно для выполнения стоящих перед ним задач; значение функции желательности, равное 1,00, соответствует полностью приемлемому уровню параметра, или такому значению параметра, при котором дальнейшее улучшение нецелесообразно или невозможно. Промежуточные значения функции желательности, а также их экономическая характеристика приведены в таблице 1. В целях выполнения дальнейших расчетов и графических построений необходимо получить значения приведенного параметра изделия, соответствующие узловым точкам шкалы желательности (табл. 1). Для обеспечения возможности использования функции желательности для оценки параметров различной размерности и порядка производится приведение параметров изделия р к значениям приведенного параметра x функции желательности f. Для этого по известным значениям x и р на границах интервалов функции желательности строится аппроксимирующая функция и определяются ее параметры (коэффициенты). Наиболее простая — это линейная функция вида

х = a х р + b, (10)

где a, b — коэффициенты аппроксимации.

Таблица 1 - Параметры функции желательности

Значение функции желательности Характеристика качества объекта или изделия

1,00

1,00…0,80

0,80…0,63

0,63…0,37

0,37

0,37…0,20

Соответствует лучшему уровню качества, улучшение которого не имеет смысла

Отличное качество, соответствующее лучшему мировому образцу

Хорошее качество, уровень которого выше, чем среднемировой

Удовлетворительное качество изделий, превышающее минимально допустимый уровень, но нуждающееся в улучшении

Минимально допустимый уровень качества (соответствует предельному уровню рентабельности изделия)

Плохое качество продукции, не соответствует поставленным целям (убыточное производство)

0,00

Абсолютное неприемлемое качество

Процедура получения оценки уровня параметра изделия по шкале (функции) желательности f включает следующие этапы:

а) определение значений приведенного параметра х, соответствующих узловым точкам шкалы желательности f;

б) определение значений параметра p, соответствующих границам интервалов шкалы желательности f (согласно условиям (критериям), приведенным в табл. 1);

в) определение коэффициентов аппроксимации по данным х и р;

г) вычисление значения x для конкретного значения оцениваемого параметра p;

д) определение значения функции желательности f для оцениваемого параметра.

Результаты сравнительной оценки конкурентоспособности различных изделий-аналогов будут в значительной степени зависеть от того, какие конкретные значения на шкале параметров будут поставлены в соответствие границам интервалов шкалы желательности f. Если заранее неизвестны требования конкретных потребителей, то этот метод рекомендует придерживаться следующих правил:

а) за f = 1,00 принимается уровень параметра, превышающий лучший мировой, или максимально возможный уровень, или уровень, улучшать который не имеет смысла;

б) за f = 0,80 принимается лучший мировой уровень, то есть наилучшее значение параметра среди всех рассматриваемых изделий;

в) за f = 0,20 принимается самый низкий уровень среди всех рассматриваемых изделий;

г) за f = 0,00 принимается наиболее низкий уровень значения исследуемого параметра изделия, который можно себе представить;

д) интервал на шкале параметров, соответствующий значениям функции желательности f = 0,20...0,80, следует разбить равномерно. При этом значения параметра p в точках, соответствующих значениям функции желательности 0,37 и 0,63, определяются из уравнения:

(11)

В качестве критериев оценки могут быть приняты как количественные, так и качественные измерители. В последнем случае оценки качественного параметра (например, имидж изделия или фирмы, производящей данное изделие) могут быть также сделаны в соответствии с рекомендациями, приведенными в таблице 1. Получив оценки уровней отдельных параметров изделия, рассчитывается уровень конкурентоспособности всего изделия с помощью обобщенной функции желательности F:

, (12)

где f — значение функции желательности для i-го параметра изделия; n — количество анализируемых параметров изделия. При сравнении значений F различных изделий, определяется изделие, обладающее в данное время наилучшей совокупностью потребительских свойств. Данному изделию будет соответствовать наибольшее значение обобщенной функции желательности. Метод определения конкурентоспособности с использованием функции желательности также имеет ряд недостатков:

- при расчете конкурентоспособности не учитывается различное влияние разных параметров на конкурентоспособность продукции;

- для каждого из параметров предлагается определять только одну аппроксимирующую функцию. Это не всегда может обеспечить необходимую достоверность расчетов, особенно при использовании в качестве аппроксимирующей линейной функции.

3) Определение конкурентоспособности продукции методом многокритериальной оптимизации. Желательным является выбор такого объекта, у которого значение любого признака является лучшим по сравнению с другими рассматриваемыми объектами. Очевидно, что такой объект не всегда существуют и у каждого есть свои преимущества и недостатки, особенно если S >> 1. Поэтому выбор такого объекта не всегда возможен. В этом случае одним из наиболее распространенных методов решения является метод, основанный на выделении множества Парето из множества всех объектов1 . Следовательно, существуют следующие методы оценки конкурентоспособности товара: определение конкурентоспособности продукции методом расчета единичных и групповых показателей, в основе которого лежит расчет единичных и групповых показателей, на базе которых определяется интегральный показатель конкурентоспособности; определение конкурентоспособности с использованием функции желательности; определение конкурентоспособности продукции методом многокритериальной оптимизации.


1 Родионова Л.Н., Кантор О.Г., Хакимова Ю.Р. Оценка конкурентоспособности продукции // Маркетинг в России и за рубежом. - 2000. - №1.

2 ОЦЕНКА КОНКУРЕНТОСПОСОБНОСТИ ТОВАРА НА ПРИМЕРЕ ЗАО «ГРАНИТ-СЕРВИС»

2.1 ОБЩАЯ ХАРАКТЕРИСТИКА РЫНКА И ПРЕДПРИЯТИЯ

ЗАО «ГРАНИТ-СЕРВИС»

ЗАО «Гранит-Сервис» было создано 28 января 1998г. Офис компании расположен в Екатеринбурге. За годы своего существования предприятие зарекомендовало себя на рынках Екатеринбурга, Урала, Сибири, а также многих регионов России и дальнего зарубежья, как надежный и честный деловой партнер. На сегодняшний день, являясь соучредителем ассоциации предприятий камнедобывающей отрасли «Центр Камня», ЗАО «Гранит-Сервис» представляет собой стабильную, динамично развивающуюся компанию, занимающуюся разработкой собственного карьера розовых гранитов, находящегося в поселке Малышево, в 85 км от Екатеринбурга, а также производством брусчатки, бордюров, облицовочных плит из добытого на Малышевском месторождении камня. На протяжении вот уже девяти лет компания успешно поставляет природный камень с богатейших месторождений Италии, Греции, Бразилии, Китая, Украины, России; занимается поставками камнеобрабатывающего оборудования известных фирм Италии, Германии, Китая, импортом строительной техники и оборудования, а также алмазного и абразивного инструмента по обработке природного камня. Из числа зарубежных партнеров, наиболее долгие и прочные деловые отношения завязаны с компаниями-производителями из Италии. Также достаточно долгим и плодотворным является сотрудничество с фирмами-партнерами из Китая. В настоящее время компания предлагает своему потребителю широкий ассортимент товаров и услуг. Стабильная сырьевая база, появившаяся в результате долгих, честных и надежных контактов с поставщиками, позволяет в кратчайшие сроки, без какой-либо доли риска, поставлять заказчику гранит и мрамор, как отечественного, так и импортного производства в плитах и слэбах. С 2008 г. компания «Гранит-Сервис» произвела запуск линии по производству гранитного, кубовидного щебня обладающего идеальными характеристиками для применения в как в дорожном строительстве, так и в бетонах.

Компания уделяет большое внимание подбору и обучению персонала. Здесь трудятся опытные квалифицированные люди – мастера своего дела, способные выполнить отделочные работы любой степени сложности с применением природного камня, керамогранита и композитного материала. Качество выполненных ими работ полностью удовлетворяет запросы самых взыскательных заказчиков. Специалистами ЗАО «Гранит Сервис» были произведены облицовочные работы на таких значимых объектах, как: Площадь «Октябрьская» г. Екатеринбург; Дворец Правосудия г. Екатеринбург; Тюменский областной суд г. Тюмень; Гостиница «Эрмитаж» г. Екатеринбург; Банк «ГАЗИНВЕСТ» г. Екатеринбург; ЗАПСИБГАЗПРОМ г. Тюмень; Деловой центр «Атриум-Палас-Отель» г. Екатеринбург; Клубный дом «Тихвин» г.Екатеринбург; ФГУП ПО «УОМЗ» г.Екатеринбург; Христианский Храм в Пензенской области; Здание «Запсибкомбанк» г. Тюмень; Центр культуры в п. Болчары Тюменской области; Святотроицкий собор г. Екатеринбург. В составе предприятия эксплуатируются две импортных линии по распиловке и полировке гранитных плит и плиты средних пород (мрамор, доломит, известняк и т.д.).
Гранитная линия состоит из 3-х распиловочных ортогональных станков ( 2 станка фирмы Терцаго и 1 станок фирмы Бомбиери-Вентурри), полировального комбайна и сопутствующих станков фирмы Терцаго проектной мощностью 48,0 тыс.м2 \год.
Линия по переработке средних пород состоит из 2-х распиловочных ортогональных станков и полировального комбайна фирмы Терцаго проектной мощностью 72,0 тыс.м2/год . Кроме вышеперечисленных станков, имеется канатный распиловочный станок для пассировки блоков и ряд станков для нанесения фасонов и фасок, изготовления тел вращения, моек, столешниц и т.д.
Всe вышеуказанное оборудование смонтировано в главном корпусе площадью 8064 м2 (4 пролета высотой 12м, размерами 84 м на 24 м), оснащенного грузоподъемными механизмами. Распиловочное отделение оснащено двумя кранами, грузоподъемностью 10 т, отделение фактурной обработки одним краном грузоподъемностью 5 т, а так же в двух других пролетах смонтированы три кран-балки грузоподъемностью 5 т. Переходная галерея соединяет главный корпус с отдельно стоящим 4-х этажным административно- бытовым корпусом площадью 2984м2 . Кроме этого, на территории предприятия имеется склад сырья общей площадью 3520 м2 , оборудованный козловым краном грузоподъемностью 32 т и пролетом 32,06 м. Имеется гараж из 8 боксов и автозаправочная станция. Водоснабжение осуществляется 2-мя заводскими артскважинами. Канализация бытовых стоков производится через заводскую КНС в городские сети.
Обеспечение теплом и электроэнергией осуществляется централизовано по тепловым и электрическим сетям местных энергоснабжающих предприятий.
Отсутствие собственных карьеров ограничивает развитие мощностей и влияет на себестоимость продукции. Компания «Гранит-Сервис» предлагает своим заказчикам широчайший спектр квалифицированных услуг по разным направлениям деятельности, среди которых, лидирующее место занимают услуги по работе с натуральным камнем. Специалисты компании производят качественную нарезку камня, его укладку, а также облицовку камнем общественных помещений, жилых домов, коттеджей и квартир. В последнее время данное направление приобретает все большую популярность, а в связи с этим становится и все более востребованным. Одним из интереснейших направлений в работе компании является работа с габионами, применяемыми для возведения подпорных стенок, укрепления насыпей автомобильных и железных дорог, речного и морского берегоукрепления, для стабилизации почвенной эрозии и консервации грунта и осуществления ландшафтных работ. Материал, с которым работают специалисты компании, обладает высочайшим качеством. Качество и цена товаров и услуг соизмеримы, а это является немаловажным фактором, дающим потребителю возможность сопоставить свои запросы в соответствии с затратами, выбором желаемого материала, а также архитектурными тенденциями времени.

Современные технологии, применяемые в производстве, и значительные производственные мощности предприятия позволяют выпускать широкий ассортимент продукции природного камня:

- слэбы из мрамора и гранита;

- плиты для облицовки стен, полов, фасадов любой толщины и различной фактуры обработки (полированные, пиленые, шлифованные, лощеные, термообработанные, «скала»), стандартные размеры плит: 300*300мм;

- архитектурно-строительные изделия из мрамора и гранита: ступени, подоконники, колонны, балясины, карнизы, плинтусы;

- камины, фонтаны, столы и столешницы различных форм;

- мемориальные изделия;

- брусчатка, бортовой камень;

- декоративный мраморный и гранитный щебень фракции 5-20мм, отсев фракции 0-5мм.

Рассмотрим потребность рынка в изделиях из природного камня. Основными потребителями облицовочных изделий Свердловской области являются: Екатеринбург, Каменск-Уральский, Нижний Тагил, Первоуральск, Полевской. Основным потребителем экспорта является Россия: Центральный, Южный регионы, Поволжье. Так же имеется спрос на продукцию из камня природного странами бывшего СНГ и дальним зарубежьем – США, страны Евросоюза. Эти традиционные зоны крупного потребления являются перспективными рынками реализации облицовочных изделий из гранита и камня природного. Результаты финансово-хозяйственной деятельности предприятий за 2009 г. свидетельствуют о том, что в настоящее время ситуация на региональных рынках России не стабильна. В ряде областей (Челябинской, Тюменской, Курганской) хотя и наблюдается оживление спроса на каменную продукцию, однако бюджетное финансирование строительных проектов делает их менее привлекательными. Крупнейшим потребителем облицовочных изделий является г. Екатеринбург (около 80% потребления в Свердловской области).

Можно выделить три основные сферы применения облицовочных изделий из природного камня на региональных рынках: строительство, ландшафтная архитектура и изготовление надгробных памятников. Наиболее емким рынком является строительство. Здесь потребляется около 80% облицовочных плит (различного формата). На изготовление надгробных памятников идет 10% облицовочных плит и 10% используется в ландшафтной архитектуре. В строительстве большая часть изделий используется:

- при строительстве объектов соцкультбыта и административных зданий и сооружений (до 60-70%);

- при строительстве дорог, тротуаров, площадей, надземных и подземных переходов (до 30-40%). Изделия из природного камня широко используются при отделке метро, офисных зданий, восстановлении и строительстве соборов, церквей. Основными областями применения облицовочных плит в строительстве зданий и сооружений являются изготовление полов (около 35% изделий), облицовка фасадов (22%). Около 29% изделий используются для внутренней облицовки стен, изготовления лестничных маршей, подоконных и других плит при отделке интерьеров. Кроме упомянутых ранее направлений применения облицовочных изделий, в 2002-2009 гг. появятся новые перспективные рынки. Один из таких рынков – индивидуальное жилищное строительство. Его объем и предъявляемый им спрос на каменную продукцию неуклонно растет с каждым годом. Перспективным рынком сбыта каменной продукции является рынок слэбов – не окантованных плит из природного камня - заготовок для производства крупноформатных и нестандартных изделий. Архитектурные изделия: большим спросом пользуются и применяются в строительстве плиты облицовочные колотые типа «скала», а так же сложно-архитектурные изделия: цилиндрические, эллиптические и многогранные колонны; плинтусы, карнизы и капители; арки, балясины; столешницы, крышки барных стоек, мойки и др. Основными потребителями изделий из камня являются: строительно-отделочные управления крупных строительных организаций; управления капитального строительства; дирекции строящихся зданий и сооружений министерств и ведомств; крупные камнеобрабатывающие и добывающие предприятия, которые объединяют свои возможности, для выполнения объемных заказов. В настоящее время ими потребляется около 85% изделий из природного камня. В последнее время на смену крупным заказчикам изделий из природного камня (величина разовых заказов до 5 тыс.кв.м) пришли мелкие заказчики: банки, страховые компании, крупные ОАО, ООО (разовые заказы до 500 кв.м). Доля потребления ими изделий из природного камня в 2009 г. достигла 15% и неуклонно растет. Основополагающими факторами формирования спроса на каменную продукцию у хозяйствующих субъектов являются цена и декоративность. Отечественные потребители, как правило, не дифференцируют спрос по типоразмерам плит. Наибольшим спросом пользуются недорогие изделия. Значительное влияние на формирование спроса на те или иные виды каменной продукции оказывают архитектурно – строительные мастерские, дизайнерские фирмы. Продажа изделий осуществляется чаще всего в ходе прямых контактов между покупателем и продавцом. Данный способ удобен для покупателя, который может непосредственно ознакомится с возможностями завода, качеством предлагаемого товара, а так же скорректировать заказ исходя из соотношений качества и непосредственно отпускной цены, которая может гибко меняться в зависимости от объема и ассортимента заказа. Все большее распространение получает торговля через агентов-реализаторов имеющих представительства в областных и районных центрах. Основное влияние на формирование конъюнктуры на региональном рынке слэбов и облицовочных изделий из природного камня в настоящее время оказывают три основных фактора: динамика промышленного производства; инвестиционный кризис, следствием которого является падение объемов государственного строительства; динамика развития негосударственного сектора, который предъявляет быстро растущий спрос на облицовочные изделия. Камнеобрабатывающая сфера России представлена, ориентировочно, десятью крупными заводами, стабильно работающими на данный момент:

- ОАО «Мрамор» г. Балаково Саратовской области, рынок сбыта – Саратовская область, Россия;

- ЗАО «Коелгамромор» г. Екатеринбург, рынок сбыта – Екатеринбург, свердловская область;

- ООО «Мраморпромресурс» г. Чебаркуль Челябинской области, рынок сбыта – Челябинская область, Россия;

- Компания «Мраморгаз» г. Екатеринбург, рынок сбыта – Екатеринбург, Свердловская область, Россия. Таким образом, ЗАО «Гранит-Сервис» предлагает своему потребителю широкий ассортимент товаров и услуг. Стабильная сырьевая база, появившаяся в результате долгих, честных и надежных контактов с поставщиками, позволяет в кратчайшие сроки, без какой-либо доли риска, поставлять заказчику гранит и мрамор, как отечественного, так и импортного производства в плитах и слэбах. Перспективным рынком сбыта каменной продукции является рынок слэбов – не окантованных плит из природного камня - заготовок для производства крупноформатных и нестандартных изделий.

2.2 ОЦЕНКА КАЧЕСТВА ТОВАРА ЗАО «ГРАНИТ-СЕРВИС»

Существует два основных метода оценки качества продукции.

1. Экспресс-оценка качества продукции. Данный вид оценки эффективен для продукции, которая должна удовлетворять требованиям норм, стандартов и других обязательных документов, призванных гарантировать необходимый уровень ее качества. Оценка производится по ограниченному кругу показателей, причем результатом оценки по каждому показателю является ответ «да» или «нет». Наличие хотя бы одного ответа «нет» говорит о недопустимо низком качестве оцениваемой продукции.

Положительная оценка продукции по данному тесту говорит о принципиальной возможности представления ее на рынок, но не гарантирует успеха, поскольку не учитывает уровня качества конкурирующей продукции.

Перечень показателей экспресс-оценки продукции ЗАО «Гранит-Сервис» приведен в таблице 2.

Таблица 2 – Показатели экспресс-оценки продукции ЗАО «Гранит-Сервис»

Показатели оценки Оценка
Да Нет
1 Соответствие всем пунктам Технического задания заказчика V
2 Соответствие требованиям действующих норм, стандартов V
3 Наличие эксплуатационной документации V
4 Комплект отправки полон V
5 Имеется возможность монтажа оборудования поставщиком V
6

Имеется возможность сервисного обслуживания, проведение

текущего и капитального ремонта по первому требованию

заказчика и т.д.

V

Товаропроизводитель составляет подобный перечень показателей экспресс-оценки своей продукции, руководствуясь возможной реакцией потребителей, спецификой продукции, уровнем качества конкурирующей продукции и т.д. Необходимо периодически ревизировать этот перечень, повышения уровень «жесткости» критериев оценки и, способствуя, тем самым, повышению качества работы предприятия и выработке высокой корпоративной культуры.

2. Сравнительная оценка качества товаров. Данный метод (процедура) оценки призван выявить конкурентоспособность предлагаемой продукции по сравнению с известными лучшим аналогом, принятым за эталон, предполагает прохождение ряда этапов:

а) составление группы экспертов;

б) выбор продукта-аналога;

в) выбор показателей для сопоставления;

г) проведение оценки обоих продуктов по каждому показателю;

д) обработка результатов оценки.

Приведем краткую характеристику каждого этапа:

а) Число экспертов может быть произвольным. Наиболее оптимальное число 10-15. При числе экспертов, более 1, возникают различия в оценках различными экспертами сравниваемых продуктов по одному и тому же показателю.

б) и в) Подготовительные процедуры выполняет (в соответствии с п. а)) выбранный эксперт или группа экспертов (на предприятии или практических занятиях). В результате формируется таблица 3.

г) Фактическая оценка обоих продуктов по каждому показателю по десятибалльной, например, шкале. Оценка производится тем же экспертом (группой экспертов).

Существуют различные методы оценки:

- все показатели эталона (аналога) принимаются за 10, а значения показателей нового (анализируемого) товара могут быть и больше, и меньше 10;

- значения показателей обоих товаров могут отличаться от 10. При этом несколько различаются и методики обработки результатов.

В обоих случаях могут применяться и присваиваться коэффициенты значимости (весовые коэффициенты) параметрам (показателям).

Таблица 3 – Сравнительная оценка качества двух товаров (эталон для сравнения – гранитная плита компании «Мраморгаз»)

№ п/п Показатель Оценки товаров
Эталон Гранитнаяплита ЗАО «Гранит-Сервис»
1. Соответствие цен уровню потребительских свойств 9 10
2. Степень соответствия запросам потребителей по набору технических функций (параметров) 10 8
3.

Специальные требования к среде функционирования:

- по ударопрочности;

- по долговечности.

9

9

10

10

4. Возможность монтажа силами потребителя 9 9
5. Наличие и качество эксплуатационной документации 9 10
6. Наличие и качество послепродажного сервиса 8 10
7. Наличие, срок и условия предоставления гарантийных услуг 9 10

Проанализировав результаты таблиц 2 и 3, можно сделать вывод, что продукция ЗАО «Гранит-Сервис» соответствует требованиям действующих норм, стандартов; соответствует уровню потребительских цен; обладает свойствами ударопрочности и долговечности; соответствует запросам потребителей по набору технических параметров.

2.3 КОМПЛЕКСНАЯ ОЦЕНКА КОНКУРЕНТОСПОСОБНОСТИ ТОВАРА ЗАО «ГРАНИТ-СЕРВИС»

Данная методика оценки конкурентоспособности товара предприятия разработана на основе опросных листов или анкет. Опрошенные респонденты (эксперты) отбирались по следующим принципам: по принадлежности к данной отрасли (специалисты предприятия ЗАО «Гранит-Сервис») и по принадлежности к данной дисциплине (студенты – будущие специалисты экономики предприятия). Анкетные данные были сведены в таблицу 4 (в которой были отобраны наиболее важные и весомые показатели относительно данного вида продукции).

Таблица 4 - Бальная оценка товара относительно показателей ЗАО «Гранит-Сервис»

Наименование показателя Показатель Плита облицовочная Плита модульная Архитектурные изделия Гипотетический товар Все важности
1 2 3 4 5 6 7 8 9 10
1. Цена Эконом. 4 0,112 4 0,112 5 0,14 5 0,14
2. объем выпуска продукции Эконом. 5 0,15 4 0,12 5 0,15 5 0,15
3. Количество приобретаемого товара Эконом. 4 0,14 4 0,14 4 0,14 4 0,14
4.Упаковка Технич. 5 0,13 3 0,078 5 0,13 5 0,13
5. Качество Технич. 4 0,096 5 0,12 3 0,072 5 0,12
6. Сервисное обслуживание Технич. 5 0,16 5 0,16 5 0,16 5 0,16
7. Форма расчета Эконом. 3 0,12 4 0,16 4 0,16 4 0,16
Итого:

Таблица 5 - Экспертная оценка (сделанная на основе анкетирования по показателям, приведенным в таблице 4)

Показатели

Эксперты

I II III IV V VI VII
1 10 9 9 7 8 7 9
2 9 7 6 7 9 10 7
3 5 6 7 9 4 10 8
4 6 10 9 6 5 9 10
5 8 8 8 6 6 9 9
Итого 7,6 8 7,8 7 6,4 9 8,6
Суммарная оценка экспертов 54,4

где I – первый показатель (цена);

II – второй показатель (объем выпуска продукции);

III – третий показатель (количество приобретаемого товара)

IV – четвертый показатель (упаковка);

V – пятый показатель (качество);

VI – шестой показатель (сервисное обслуживание);

VII – седьмой показатель (форма расчета);

1,2,3,4,5 – эксперты;

1-10 – балльные оценки экспертов (1-наименьшая оценка, 10-наибольшая).

В целях дальнейшего расчета конкурентоспособности гранитной плитки просуммируем все веса важности каждого изделия соответственно экономических и технических показатели и найдем их коэффициенты по следующим формулам:

Кэ= Кэ1 + Кэ2 +…+Кэп

Кт = Кт1 + Кт2 +…+Ктп

Плита облицовочная:

Кэ = 0,112 + 0,15 + 0,14 + 0,12 = 0,522

Кт = 0,13 + 0,096 + 0,16 = 0,386

Плита модульная:

Кэ = 0,112 + 0,12 + 0,14 + 0,12 = 0,372

Кт = 0,078 + 0,12 + 0,16 = 0,358

Архитектурные изделия:

Кэ = 0,14 + 0,15 + 0,14 + 0,16 = 0,59

Кт = 0,13 + 0,072 + 0,16 = 0,362

Далее рассчитаем интегральный показатель по следующей формуле:

Ки = Кэ*Кт

Плита облицовочная: Ки = 0,522*0,386 = 0,201

Плита модульная: Ки = 0,372*0,358 = 0,133

Архитектурные изделия: Ки = 0,59*0,362 = 0,213

Из вышеприведенных расчетов можно сделать вывод, что наибольшей конкурентоспособностью среди изделий из гранита ЗАО «Гранит-Сервис» обладают архитектурные изделия, т. к. их интегральный показатель равен 0,213 и соответственно наименьшей конкурентоспособностью обладает плита модульная: Ки = 0,133.

3 ПРЕДЛОЖЕНИЯ ПО ПОВЫШЕНИЮ (ПОДДЕРЖАНИЮ) КОНКУРЕНТОСПОСОБНОСТИ ТОВАРА ЗАО «ГРАНИТ-СЕРВИС»

В сфере производства важнейшими путями повышения конкурентоспособности выпускаемых товаров являются: обеспечение заданного уровня их качества, разработка новых видов продукции, упаковывание в привлекательную по внешнему виду и размерам упаковку, уменьшение издержек производства. Ограничение активного воздействия на повышение кон­курентоспособности товаров требует обоснованного отбора и применения методов обеспе­чения конкурентоспособности, которые необходимо рассмат­ривать как наиболее эффективные пути повышения конку­рентоспособности. Одним из путей повышения конкурентоспособности то­варов является обеспечение их организационного и информационного подкрепления в форме предоставления дополнительных сервисных услуг, а также доведение до потребителей необходимой и достовер­ной информации. С целью повышения конкурентоспособности товара ЗАО «Гранит-Сервис» можно предложить бесплатную мойку изготовленных и установленных компанией мраморных лестниц, полировку мраморных фасадов. Также следует оформить рекламные буклеты с фотографиями продукции ЗАО «Гранит-Сервис», организовывать выставки продукции, на которые следует высылать приглашения потенциальным потребителям. Помимо этого, повысить конкурентоспособ­ность товаров можно путем разработки и внедрения систем обеспечения конкурентоспособности. Система обеспечения конкурентоспособности состоит из внешней среды (вход, выход, связь с внешней средой, обратная связь) и внутренней струк­туры (подсистемы научного сопровождения, целевая, обес­печивающая, управляемая и управляющая). Компонентами «входа» системы обеспечения конкурентоспособности товаров и услуг являются материальные и нематериальные ресурсы (сырье, материа­лы, полуфабрикаты, комплектующие изделия, оборудова­ние, информация), которые необходимы для производства и получения на выходе готовой продукции или результата услуги. В целях обеспечения конкурентоспособности таких това­ров или услуг необходимо, чтобы на «входе» были конкурен­тоспособные ресурсы (по качеству и цене). Вероятность по­лучения таких ресурсов находится в прямой зависимости от уровня конкуренции среди поставщиков, т.е. тем больше, чем выше конкурен­ция среди поставщиков. На уровень конкурентоспособности и качества продукции влияет множество различных показателей. Достичь необходимого уровня качества и конкурентоспособности товара можно разными способами, скоординированными во времени и пространстве. По содержанию и направлению такие способы можно объединить в четыре взаимосвязанные группы: технические, организационные, экономические и социальные. Технические: использование достижений науки и техники в процессе проектирования изделий; внедрение новейших технологий производства и строгое выполнение технологической дисциплины; обеспечение необходимой технической оснащенности производства; усовершенствование использованных стандартов и технических условий. Организационные: внедрение современных форм и методов организации производства и управления; усовершенствование методов контроля и развитие массового самоконтроля на всех стадиях изготовления продукции; расширений прямых хозяйственных связей между продуцентами и покупателями (потребителя); обобщение и использование передового отечественного и зарубежного опыта в сфере повышения конкурентоспособности продукции. Экономические и социальные: использование согласованной системы прогнозирования и планирования необходимого уровня качества изделий; установление принятых для продуцентов и потребителей цен на отдельные виды товаров; использование эффективной мотивации труда всех категорий персонала предприятия; всесторонняя активизация человеческого показателя и проведение кадровой политики, адаптированной к рыночным условиям управления.

Среди технических способов (показателей) повышения качества товара ЗАО «Гранит-Сервис» определяющее место принадлежит постоянному усовершенствованию проектирования, технико-технологической базы предприятия. Это обусловливается тем, что необходимые основы технического уровня и качества изделий формируются в процессе их проектирования. Именно в этом цикле происходит комплекс лабораторно-исследовательских и конструкторских работ, направленных на обеспечение необходимых (желаемых) технико-экономических параметров образцов продукции. Про решающее значение стадии проектирования для достижения уровня качества согласно с требованиями рынка, свидетельствует тот факт, что более 50% отказов технических устройств создают дефекты, допущенные при проектировании изделия. Достижение запроектированного уровня качества продукции возможен только при помощи условии высокой технической оснащенности производства, внедрения новой технологии, строгого выполнения технологической дисциплины. К эффективным способам целенаправленного повышения качества продукции ЗАО «Гранит-Сервис», ее конкурентоспособности на рынке в целом можно отнести улучшение стандартизации как главного инструмента фиксации и обеспечения определенного уровня качества. Однако именно стандарты и технические условия отражают современные требования потребителей к техническому уровню и других качественных характеристик изделий, отражают тенденции развития науки и техники. Рыночные условия управления конкурентоспособностью товара ЗАО «Гранит-Сервис» предполагают активное и широкое использование организационных показателей повышения качества продукции. Приоритетными для компании являются относятся: внедрение современных форм и методов организации производства и управления ими, которые делают возможным эффективное использование высокоточной техники прогрессивной (бездефектной) технологии; усовершенствование методов технического контроля и развитие массового самоконтроля на всех стадиях изготовления продукции. Основной потребностью ЗАО «Гранит-Сервис» в настоящее время является разработка и использование разнообразных форм и методов действующего социально-экономического влияния на всю цепочку процессов формирования и обеспечения производства высококачественной и конкурентоспособной продукцией. Формами и методами экономического влияния на эти процессы являются: согласованная система прогнозирования и планирования качества продукции; установление принятых для потребителей цен на отдельные виды товаров; достаточно мощная мотивация труда всех категорий работников предприятия; Формами социального влияния являются: всесторонняя активизация человеческого показателя, проведение эффективной кадровой политики, создание необходимых условий труда и жизнедеятельности. Создание та­кой потребительской ценности товара, которая включала бы в себя всю совокупность свойства собственного товара, а также сопутствующих ему, является важнейшим услови­ем выживания на рынке для ЗАО «Гранит-Сервис». ЗАО «Гранит-Сервис» при создании конкурентоспособного товара, может применить следующие стратегии:

- добиться отличия товаров предприятия в глазах покупателей от товаров конкурентов;

- выбрать из намеченных к производству товаров один, являющийся наиболее привлекательным для всех по­купателей, и осуществить на этой основе прорыв на рынке;

- отыскать новое применение выпускаемым товарам;

- своевременно изъять экономически неэффективный товар из сбытовой программы предприятия:

- осуществлять модификацию выпускаемых товаров в соответствии с новыми вкусами и потребностями по­купателей;

- найти выход на новые рынки, как со старыми, так и с новыми товарами;

- регулярно развивать и совершенствовать систему сер­висного обслуживания реализуемых товаров и сис­тему стимулирования сбыта в целом.

Исходя из оценки существующей и перспективной кон­курентоспособности товара, руководству ЗАО «Гранит-Сервис» следует принять решение о даль­нейшей производственно-сбытовой политике:

- продолжать ли производство данного товара и его сбыт;

- провести ли модернизацию для превращения товара в товар рыночной новизны;

- снять ли его с производства и приступить к выпуску нового товара;

- стоит ли приступить к поиску нового рынка сбыта с учетом достаточности финансовых и материальных ресурсов, наличия товаропроводящей и сбытовой сети, возможностей обеспечения сервиса проданного то­вара.

Руководством ЗАО «Гранит-Сервис», несомненно, должен изучаться вопрос о собственных возможностях обеспече­ния такого объема производства товара, который позволил бы овладеть запланированными долями намеченного рын­ка в целях обеспечения рентабельности производства и сбы­та. Очень важен вопрос ресурсного обеспечения предпри­ятия о возможности приобрести необходимые материалы, комплектующие изделия, полуфабрикаты, привлечь тре­буемые финансовые ресурсы и необходимые с соответству­ющим уровнем квалификации кадры. Ключевым моментом в завоевании позиций на рынке относительно многочисленных конкурентов является своев­ременное обновление производимых товаров, подготовка и организация производства новых видов продукции. В основе концепции создания нового товара ЗАО «Гранит-Сервис» должно быть положено не столько соблюдение традиционных стремлений к достижению новых технических и технико-экономических параметров, сколько стремление создать «товар рыночной новизны» с высоким уровнем конкурентоспособности отно­сительно других аналогичных товаров.

При проведении предварительной оценки идеи о создании ново­го товара руководству ЗАО «Гранит-Сервис» следует провести: тщательный анализ преимущества потребителя при переходе на покупку новой продукции; изучить емкость рынка и трудности проникновения на него; рассмотреть харак­тер и острота конкуренции по аналогичной продукции; определить возможности конкурентов выхода на этот же рынок с аналогич­ной продукцией. Далее руководством предприятия дается оценка экономической эффективности выпуска нового изде­лия. Для оценки экономической эффективности выпуска нового изде­лия необходимо составить калькуляцию себестоимости изготовления и сбыта и определить возможные поступления средств от продаж. Сопоставление расходов с доходами позволяет ре­шить вопрос о целесообразности запуска нового производства. Далее следует разработать детальный бизнес-план выпуска нового изделия, исследовать источники снабжения, и разра­ботать комплекс мер по обеспечению реализации товара от рекламы до технического обслуживания. На принятие решения о выпуске нового товара реша­ющее влияние оказывают два фактора: производственный (следует определить и оценить уро­вень наличия ресурсов и составить калькуляцию совокупных издержек); рыночный (необходимо изучить и оценить возможности создания конкурентоспособного товара). При выработке рыночной стратегии ЗАО «Гранит-Сервис» необходимо научиться своевременно изымать экономически неэффектив­ный товар из производственной программы фирмы. Также ЗАО «Гранит-Сервис» с целью повышения конкурентоспособности товара может реализовать своевремен­ное оказание комплекса услуг, связанных со сбытом и ис­пользованием продукции предприятия, т.е. сервисное обслу­живание. Для ЗАО «Гранит-Сервис» очень важными являются аналитико-поисковые усилия в этой нахождения новых рынков сбыта и выхода на них. Новые рын­ки сбыта решающим образом могут изменить конкурентос­пособность товара и рентабельность сбытовой деятельнос­ти. Таким образом, для дальнейшего развития конкурентоспособности товара (прежде чем перейти к новому, его модификации, снятию с производства) очень важно попытаться выйти с ним на новый рынок сбыта, если на внутреннем его конкурентоспо­собность резко упала. Как выяснилось в ходе проведенного анализа ранее, наиболее конкурентоспособным товаром ЗАО «Гранит-Сервис» являются архитектурные изделия, т. к. вес важности данных изделий равен 0,133 и это выше чем у всех остальных изделий на данном предприятии. Продукция завода ЗАО «Гранит-Сервис» выигрывает, по сравнению с аналогичными изделиями других предприятий, качеством, ценой (до 25%), а также широкой географией рынков сбыта. Среди технических способов (показателей) повышения качества товара ЗАО «Гранит-Сервис» определяющее место принадлежит постоянному усовершенствованию проектирования, технико-технологической базы предприятия. К эффективным способам целенаправленного повышения качества продукции ЗАО «Гранит-Сервис», ее конкурентоспособности на рынке в целом можно отнести улучшение стандартизации как главного инструмента фиксации и обеспечения определенного уровня качества. Основной потребностью ЗАО «Гранит-Сервис» в настоящее время является разработка и использование разнообразных форм и методов действующего социально-экономического влияния на всю цепочку процессов формирования и обеспечения производства высококачественной и конкурентоспособной продукцией. Создание та­кой потребительской ценности товара, которая включала бы в себя всю совокупность свойства собственного товара, а также сопутствующих ему, является важнейшим услови­ем выживания на рынке для ЗАО «Гранит-Сервис». Следовательно, можно сделать вывод, что в целях повышения (поддержания) конкурентоспособности товара ЗАО «Гранит-Сервис» в курсовой работе предложено проработать обеспечение организационного и информационного подкрепления товара в форме предоставления дополнительных сервисных услуг, а также доведение до потребителей необходимой и достовер­ной информации. Исходя из оценки существующей и перспективной кон­курентоспособности товара, руководству ЗАО «Гранит-Сервис» следует принять решение о даль­нейшей производственно-сбытовой политике. Также руководством ЗАО «Гранит-Сервис» должен изучаться вопрос о собственных возможностях обеспече­ния такого объема производства товара, который позволил бы овладеть запланированными долями намеченного рын­ка в целях обеспечения рентабельности производства и сбы­та. Очень важен вопрос ресурсного обеспечения предпри­ятия о возможности приобрести необходимые материалы, комплектующие изделия, полуфабрикаты, привлечь тре­буемые финансовые ресурсы и необходимые с соответству­ющим уровнем квалификации кадры. В основе концепции создания нового товара ЗАО «Гранит-Сервис» должно быть положено не столько соблюдение традиционных стремлений к достижению новых технических и технико-экономических параметров, сколько стремление создать «товар рыночной новизны» с высоким уровнем конкурентоспособности отно­сительно других аналогичных товаров.

ЗАКЛЮЧЕНИЕ

Проведенные исследования позволили сде­лать следующие выводы:

Конкурентоспособность — это более высокое по сравнению с товарами-заменителями соотношение совокупности качественных характеристик товара и затрат на его приобретение и потребление при их соответствии требованиям рынка или его определенного сегмента. Конкурентоспособность является величиной относительной, где базой для сравнения выступают аналогичные показатели конкурентов. Параметрами оценки конкурентоспособности товара являются: качество продукции, соответствие нормам и стандартам; цена; соответствие потребительскому спросу. Существуют следующие методы оценки конкурентоспособности товара: определение конкурентоспособности продукции методом расчета единичных и групповых показателей, в основе которого лежит расчет единичных и групповых показателей, на базе которых определяется интегральный показатель конкурентоспособности; определение конкурентоспособности с использованием функции желательности; определение конкурентоспособности продукции методом многокритериальной оптимизации. ЗАО «Гранит-Сервис» предлагает своему потребителю широкий ассортимент товаров и услуг. Стабильная сырьевая база, появившаяся в результате долгих, честных и надежных контактов с поставщиками, позволяет в кратчайшие сроки, без какой-либо доли риска, поставлять заказчику гранит и мрамор, как отечественного, так и импортного производства в плитах и слэбах. Перспективным рынком сбыта каменной продукции является рынок слэбов – не окантованных плит из природного камня - заготовок для производства крупноформатных и нестандартных изделий. Проведя оценку качество продукции ЗАО «Гранит-Сервис», можно прийти к выводу, что продукция предприятия соответствует требованиям действующих норм, стандартов; соответствует уровню потребительских цен; обладает свойствами ударопрочности и долговечности; соответствует запросам потребителей по набору технических параметров. По результатам комплексной оценки конкурентоспособности продукции ЗАО «Гранит-Сервис» можно сделать вывод, что наибольшей конкурентоспособностью среди изделий из гранита ЗАО «Гранит-Сервис» обладают архитектурные изделия. В целях повышения (поддержания) конкурентоспособности товара ЗАО «Гранит-Сервис» в курсовой работе предложено проработать обеспечение организационного и информационного подкрепления товара в форме предоставления дополнительных сервисных услуг, а также доведение до потребителей необходимой и достовер­ной информации. Исходя из оценки существующей и перспективной кон­курентоспособности товара, руководству ЗАО «Гранит-Сервис» следует принять решение о даль­нейшей производственно-сбытовой политике. Также руководством ЗАО «Гранит-Сервис» должен изучаться вопрос о собственных возможностях обеспече­ния такого объема производства товара, который позволил бы овладеть запланированными долями намеченного рын­ка в целях обеспечения рентабельности производства и сбы­та. Очень важен вопрос ресурсного обеспечения предпри­ятия о возможности приобрести необходимые материалы, комплектующие изделия, полуфабрикаты, привлечь тре­буемые финансовые ресурсы и необходимые с соответству­ющим уровнем квалификации кадры. В основе концепции создания нового товара ЗАО «Гранит-Сервис» должно быть положено не столько соблюдение традиционных стремлений к достижению новых технических и технико-экономических параметров, сколько стремление создать «товар рыночной новизны» с высоким уровнем конкурентоспособности отно­сительно других аналогичных товаров.

СПИСОК ЛИТЕРАТУРЫ

1. Багиев Г.Л., Тарасевич В.М., Анн Х. Маркетинг: Учебник. – 3-е изд. / Под общ. ред. Г.Л. Багиева. – СПб.: Питер, 2006. – 736 с.

2. Беляев В.И. Маркетинг: основы теории и практики: Учебник. – М.: КНОРУС, 2005. – 672 с.

3. Голубков Е.П. Организация и контроль маркетинга // Маркетинг в России и за рубежом. - №6. -2002.

4. Дурович А.П. Основы маркетинга: учеб.пособие / А.П. Дурович. – 2-е изд., стереотип. – М.: Новое знание, 2006. – 512 с.

5. Лифиц И. М. Теория оценки конкурентоспособности товаров и услуг. - М.: Юрайт-М, 2001.

6. Маркетинг в отраслях и сферах деятельности: Учебник / Под ред. Проф. В.А. Алексунина. – 4-е изд., перераб. и доп. – М.: Издательско-торговая корпорация «Дашков и Ко», 2006. – 716 с.

7. Маркетинг: Учебник и учебно-методический комплекс по маркетингу / Р.Б. Ноздрева, Г.Д. Крылова, М.И. Соколова, В.Ю. Гречков. - М.: Юристъ, 2003.

8. Прахова Т. С. Понятие и сущность конкурентоспособности // Сборник научных трудов СевКавГТУ. Серия «Экономика», 2005, №2.

9. Родионова Л.Н., Кантор О.Г., Хакимова Ю.Р. Оценка конкурентоспособности продукции // Маркетинг в России и за рубежом. - 2000. - №1.

10. Семенова Е. И. Конкурентоспособность как фактор маркетинговой среды: Диссертация на соискание ученой степени доктора экономических наук. - М., 2001.

11. Соловьев Б.А. Маркетинг: Учебник. – М.: ИНФРА-М.: 2008. – 389 с.

12. Терещенко В.М. Маркетинг: новые технологии в России. - СПб.: Питер, 2001.

13. Титова Н.Е., Кожаев Ю.П. Маркетинг: Учебное пособие. – М.: Гуманитарный издательский центр ВЛАДОС, 2003. – 352 с.