Реферат: Исследование скважин в период освоения и опробования
|
Название: Исследование скважин в период освоения и опробования Раздел: Рефераты по геологии Тип: реферат |
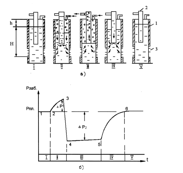
ИССЛЕДОВАНИЕ СКВАЖИН В ПЕРИОД ОСВОЕНИЯ И ОПРОБОВАНИЯ Общие положения В последние годы очень много говорится о запрещении ( по известным причинам) использования компрессора для вызова притока жидкости из скважины при освоении. Однако на сегодняшний день альтернативы данному способу нет, поскольку предлагаемое некоторыми организациями свабирование не может являться таковым по ряду причин, основными из которых являются: очень высокие требования к чистоте внутренней поверхности НКТ (со всеми вытекающими отсюда осложнениями освоения); невозможность оперативного геофизического сопровождения такого процесса освоения в общем и, при сильных динамических изменениях физических полей в пласте и скважине, в частности. В связи с этим в большинстве регионов компрессорный способ освоения и опробования скважин продолжает широко использоваться. Однако здесь проводится освоение и с помощью свабов и при этом осуществляются и геофизические исследования. Исходя из этого, в данном разделе рассматриваются особенности исследований и интерпретации данных геофизических измерений в скважинах при их освоении и опробовании с помощью компрессоров и свабов. Важным моментом здесь является то, что особенности формирования температурного поля после пуска скважины не зависят от способа вызова притока жидкости из пласта, т.е. проявляются как при свабировании, так и при компрессировании. Освоение и опробование нефтегазовых скважин - это комплекс работ, связанный с вызовом притока пластовой жидкости для оценки состава извлекаемой продукции, выполняемых в разведочных и эксплуатационных обсаженных скважинах после бурения и в капитальном ремонте. Геофизические исследования в процессе освоения осуществляют для диагностики нефтяных пластов и скважин. Основными задачами при этом являются: определение работающих перфорированных пластов и оценка их гидродинамических параметров, определение источников обводнения и контроль технического состояния скважины. КОМПРЕССОРНОЕ ОСВОЕНИЕ В скважину, в которой предполагают проводить исследования при компрессировании, опускают насосно-компрессорные трубы, оборудованные пусковыми клапанами и в нижней части воронкой. Соединяют компрессор с межтрубным пространством и, закачивая воздух, создают условия возникновения притока жидкости из пласта. После кратковременного отбора жидкости компрессор отключают. Геофизические исследования при этом проводят через насосно-компрессорные трубы. Переходные процессы в скважине Основным параметром, на которой непосредственно влияет условие работы компрессора при опробовании или освоении скважины, является забойное давление (Рзаб )- Характер изменения Рзаб определяет состояние скважины в целом. В частности, Рзаб определяет изменение забойной температуры (Тзаб ), следовательно, и общее распределение температуры в скважине. На рис.6.1а приведена схема компрессорного освоения и опробования скважины. Римскими цифрами обозначены соответствующие состояния скважины в процессе освоения. Рис.1 схематически характеризует ход изменения забойного давления в скважине при компрессорном освоении и опробовании. Для удобства понимания и описания термогидродинамических процессов, происходящих в скважине, кривая изменения Рзаб разделена на пять интервалов (периодов), характеризующих соответствующие гидродинамические состояния скважины.
Рис. 1. К описанию гидродинамических условий в скважине а) - схема компрессорного опробования нефтяной скважины; Обозначения: 1 обсадная колонна; 2- насосно-компрессорные трубы; 3- интервал перфорации; б) - схематическая кривая изменения забойного давления. До начала работы компрессора скважина простаивает. Жидкость в трубах и в скважине находится на одном (статическом) уровне (состояние 1 на рис. 1а). Давление столба жидкости в скважине на забое в первый период равно пластовому. Движение жидкости отсутствует. Состав жидкости в стволе в этот период характеризуется градиентом давления
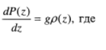
p(z) - плотность жидкости на глубине z; g - ускорение свободного падения. Распределение температуры по стволу скважины в таких условиях характеризует квазиустановившееся температурное поле в окружающих породах, сформировавшееся в процессе бурения, цементирования, перфорации и последующего ее простоя. При освоении эксплуатационных скважин непосредственно после извлечения насосного оборудования на термограммах до работы компрессора могут наблюдаться температурные аномалии, связанные с перфорацией, с работой перфорированных пластов и глубинных насосов. Заколонные и внутриколонные перетоки между пластами в этот период возможны. Эти явления также как тепловыделение в цементе, охлаждение пластов закачиваемыми водами могут проявляться на термограммах простаивающей скважины в виде температурных аномалий той или иной величины, которые, как правило, коррелируют с аномалиями на последующих температурных кривых. На рис.2 приведены некоторые характерные виды температурных кривых, которые могут быть зарегистрированы в простаивающей скважине до работы компрессора. Случай а. Температурные аномалии на кривой 1 связаны с тепловыделением в цементе. Скважина закончена бурением 28.07.81, а термограмма снята 14.08.81. На кривой 2, зарегистрированной 4.11.81, произошло полное расформирование аномалии от цемента. Случай б. Термограмма 1 зарегистрирована через 8 часов после промывки. Сравнивая с кривой, снятой через 12 часов после снижения температуры в скважине, можно говорить о том, что аномалия против проницаемых пластов связана с влиянием промывки скважины и различным характером восстановления температуры пород в исследуемом интервале. Влияние промывки сказывается и на температуре призабойной части скважины. Случай в. Аномалия на температурной кривой 1 связана с существованием заколонной циркуляции в простаивающей скважине (источник обводнения на рисунке не приведен). Термограмма 2, зарегистрированная после проведения изоляционных работ, существенно отличается от кривой 1 и представляет собой нормальный тип фоновой термограммы до работы компрессора. Наличие термограммы простаивающей скважине облегчает дальнейшую интерпретацию материалов. Полученных при работе компрессора, и поэтому проведение исследований в этот период обязательно. С включением компрессора в работу начинается нагнетание воздуха в межтрубное пространство скважины, что приводит к увеличению забойного давления в этот период (участок кривой 2-3 на рис.1б). Нагнетание воздуха приводит к снижению уровня жидкости в межтрубном пространстве, причем наряду с тем, что часть жидкости выталкивается в НКТ вследствие возникающей репрессии на пласт, часть жидкости из скважины может уходить и в перфорированный пласт (состояние II на рис. 1а).
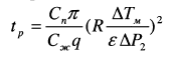
Рис.2. Термограммы зарегистрированные при исследованиях до работы компрессора А)- влияние цементажа скважины; 1-через 17 дней;; 2- через 3 месяца, б) - влияние промывки скважины; 1 - через 8 часов; 2- через 12 часов, в) - влияние заколонного перетока сверху. Термограмма 1 - до, 2 - после проведения изоляционных работ. Таким образом, второй период характеризует работу компрессора и скважины в режиме нагнетания. Режим работы скважины в интервале продуктивного пласта в этот период аналогичен режиму нагнетательной скважины Рпл <РзабВследствие того, что жидкость с более низкой температурой вверху, опускаясь вниз, на уровне воронки контактирует с более теплыми слоями жидкости в этом интервале обычно наблюдается значительная по величине отрицательная (снижение температуры при движении снизу вверх) температурная аномалия. По этой аномалии довольно точно определяется местоположение башмака НКТ. На рис. 3 приведены схематические кривые возможных температурных аномалий на приеме НКТ. Кривая а) соответствует случаю, когда в процессе повышения забойного давления часть жидкости поглощается пластами, а часть поднимается по НКТ. Кривая б) иллюстрирует случай, когда поглощение пластами практически отсутствует, а кривая в) - когда пласты поглощают интенсивно, а в НКТ жидкость практически не поступает.
Рис 3. Схематическое распределение температуры вблизи приема НКТ при работе компрессора в режиме нагнетания. - схема движения жидкости в скважине. Режим нагнетания не всегда может наблюдаться в скважине, т.е. глубиной положения статического (первоначального) уровня в скважине. Снижение столба жидкости в скважине приводит практически к параллельному, относительно первоначального распределения, смещения естественно не происходит. Поэтому поглощающий перфорированный пласт, а также все места ухода жидкости из скважины, включая и места нарушения герметичности обсадных колонн, будут отмечаться на термограмме отрицательными температурными аномалиями (аналогичными аномалиями в нагнетательной скважине в процессе закачки). По величине снижения температуры против перфорированного пласта ΔТН (относительно первоначального значения) можно оценить и объем поглощенной пластами жидкости. Из-за различия подвижности (вязкости) воды и нефти водоносный пласт, при прочих равных условиях, первым принимать жидкость по сравнению с нефтяными после включения компрессора, следовательно, величина аномалии против обводненного (водоносного) пласта в начальный период нагнетания будет больше, чем против нефтеносного. Увеличение забойного давления приводит к разогреву (относительно
Рис. 4. Схематические температурные кривые при выделении работающих пластов: а - в режиме нагнетания; б - в режиме отбора первоначальной температуры) столба жидкости в скважине вследствие проявления эффекта адиабатического сжатия (параллельное смещение кривой по шкале температур вправо). Наиболее заметно влияние этого эффекта на распределение температуры в зумпфе скважины, где, как правило, движение жидкости отсутствует. Максимальное значение разогрева при этом может достигнуть величины ΔТН =ήΔΡ На рис.4а приведена температурная кривая, зарегистрированная в режиме нагнетания. Участок кривой 3-4 на рис. 1б является переходным между IIи IIIпериодами и соответствует явлению прорыва закачиваемого воздуха через насосно-компрессорные трубы, когда снижающийся уровень жидкости в межтрубном пространстве достигает воронки НКТ (устанавливается динамический уровень). Прорыв воздуха осуществляет газирование жидкости в насосно-компрессорных трубах и уменьшение ее средней плотности, что в свою очередь приводит к резкому (скачкообразному) изменению забойного давления в скважине и возникновению депрессии на пласт. С этого момента времени (точка 4) начинается приток жидкости из пласта в скважину и далее через НКТ на поверхность. Следовательно, третий период характеризует работу компрессора и скважины в режиме отбора. Гидродинамические условия в скважине в этот период аналогичны режимом отбора при постоянном забойном давлении (состояние IIIна 1а). Приток жидкости из пласта против перфорированного пласта отмечается ростом температурной аномалии (разогревом), вследствие дросселирования жидкости. Для переходных режимов в пласте после пуска процесс дросселирования отличается от случая скважин, работающих в режиме длительного отбора. Изменение температуры на забое скважины для малых времен после пуска много меньше максимально возможного дроссельного разогрева εΔР. Приток газа из пласта отмечается снижением температуры в скважине относительно первоначальной температуры. Величина разогрева жидкости при фильтрации существенным образом определяется значением коэффициента подвижности К/μ. При постоянном К (однородный пласт) разогрев растет с уменьшением вязкости жидкости. Вначале разогрев воды при одной и той же депрессии может быть больше, чем нефти. С увеличением времени разогрев нефти становится больше, в этом смысле можно говорить, что температурная аномалия в интервале калориметрического смешивания при притоке по отдельным пропласткам (пластам) воды и нефти носит инверсионный характер (см. рис. 5.а). При постоянном μс ростом проницаемости температура растет, т.е. термограмма в интервале притока в переходном режиме после пуска скважины зависит от проницаемости пласта. Причем эта зависимость однозначна для всех t, т.е. аномалии калориметрического смешивания, обусловленные различием коллекторских свойств пласта по его толщине сохраняют во времени свой знак. Использование современных высокочувствительных термометров позволяет практически сразу после появления жидкости из пласта регистрировать аномалию дросселирования. Время, по истечении которого температурная аномалия после пуска становится регистрируемой, определяется как
Например, для q = 1 м3 /сут.м, R = 5 м, εΔР2 = 1 °С, ΔТМ = 0,01 °С соответствующее время tp = 1 мин. Из-за различия подвижностей нефти и воды первым обычно вступает в работу водоносный пласт. При этом абсолютная величина изменения температуры при отборе (так же, как и при нагнетании) в водоносном пласте будет больше, чем в нефтеносном. Для выделения обводненных пластов поэтому можно использовать сочетание режимов нагнетания и отбора жидкости (см. схематические кривые на рис. 5б).
а) Рис. 6.5. Определение нефте-водопритоков а - по инверсии калориметрического смешивания после пуска скважины; б - по особенностям образования температурных аномалий при кратковременном нагнетании и отборе жидкости. Пуск скважины в эксплуатацию вызывает приток жидкости из пласта, что в свою очередь приводит к возникновению в стволе восходящего потока. Характерной особенностью в распределении температуры в этот период является то, что при наблюдающемся росте температуры против перфорированного пласта на термограммах отмечается температурная аномалия («излом» кривой), которая перемещается во времени со скоростью потока. Существенные изменения градиента температуры на кривых объясняются продвижением объема жидкости, вышедшей из пласта в первые моменты времени при переходе к режиму отбора. Следует заметить, что определенное влияние на характер регистрируемой термограммы после пуска, в том числе и на «излом» кривой, оказывает не мгновенность регистрации температурной кривой по стволу скважины (или временной эффект записи) см.4б. Начало изменения температурного градиента (при движении сверху) соответствует границе контактирования жидкости, находившейся в скважине против перфорированного пласта с жидкостью, вытекающей из пласта. Относительная стабилизация температуры в интервале пласта приводит в последующие моменты времени к выравниванию температурной аномалии по стволу скважины. При соответствующих условиях «излом» температурной кривой можно использовать для оценки дебита восходящего потока жидкости. При наличии в разрезе скважины нескольких перфорированных (отдающих) пластов, как и в длительно работающих скважинах в пределах вышележащих горизонтов проявляется эффект калориметрического смешивания. Величина калориметрического эффекта, как известно, зависит от дебитов и температур смешивающихся потоков. В случае совпадения температур потоков-восходящего снизу и поступающего из пласта - интервал поступления жидкости в скважину на термограмме может не отмечаться. Кроме того, если расход жидкости поднимающейся снизу значителен по сравнению с притоком из верхнего пласта, то выделение последнего по термограммам также затруднительно. Однако, учитывая наличие в стволе скважины после пуска движущегося «фронта» жидкости, можно «регулировать» величину аномалии в верхних пластах, увеличивая (или уменьшая) ее выбором соответствующего времени регистрации термограммы после начала притока жидкости из пласта, т.е. подбирая так начало регистрации, чтобы «фронт» жидкости из нижнего пласта не дошел до верхнего. Установление температуры в интервале перфорации и выше, в основном, происходит за счет конвективного переноса тепла. Ниже интервала перфорации установление теплового поля в скважине осуществляется путем кондуктивного переноса (теплопроводности), и этот процесс очень медленный. Вследствие изменения температуры перфорированного горизонта в среде, подстилающей пласт, возникает одномерный нестационарный поток тепла. Зона нарушения первоначального (геотермического) распределения температуры в зумпфе (расстояние от нижних перфорированных дыр до точки zr - точки выхода температурной кривой на геотерму) за счет теплоотдачи от работающего пласта не превышает 1 м вследствие кратковременности работы скважины. В случае промывки скважины пресной водой перед ее освоением при поступлении из пласта минерализованной воды может возникнуть гравитационная конвекция в зумпфе. Последняя может привести к значительным затяжкам температурной аномалии в зумпфе. Причем характер аномалии в этом интервале будет аналогичен случаю заколонного движения жидкости (см. результаты лабораторного эксперимента на рис.6). Здесь необходимо проведение исследований методами состава (Рез или ГГП) до и после вызова притока жидкости из пласта. Резкое снижение забойного давления вследствие прорыва воздуха через НКТ приводит к проявлению в скважине эффекта адиабатического расширения. Особенно четко этот эффект отмечается в зумпфе скважины. На термограмме, зарегистрированной в этот период, наблюдается скачок (смещение) температурной кривой влево по шкале температур. Абсолютные значения температуры в этом интервале уменьшаются. В дальнейшем, в зависимости от длительности III периода, наблюдается медленное смещение температурной кривой в зумпфе к первоначальному ее положению вследствие теплообмена с окружающими скважину горными породами. На рис.6.4б представлены схематические распределения температур при работе скважины в режиме отбора. Прекращение подачи воздуха, вследствие отключения компрессора, вызывает увеличение забойного давления в скважине. 1V период, таким образом, характеризует процесс восстановления забойного давления до пластового (участок кривой 5-6 на рис.1б). При этом происходит уменьшение депрессии при продолжающемся притоке жидкости из пласта. Жидкость из пласта, также как и из НКТ, поступает в межтрубное пространство скважины и приводит к повышению уровня (состояние IV на рис.1а). В скважине и в пласте в этот период наблюдается процесс восстановления температурного поля, нарушенного опробованием. Здесь можно выделить два основных процесса, определяющих характер изменения температуры в скважине:
Рис. 6. Распределение температуры в зумпфе модельной скважины. Кривые 1,2,3,4 через 15,35,65 и 120 мин. после начала снижения температуры в пласте (режим нагнетания). Кривые 5,6,7,8 через 5,35,120,240 мин. после увеличения температуры в пласте (режим отбора). конвективный перенос тепла жидкостью, притекающей из пласта после прекращения работы компрессора, и процесс теплообмена жидкости с окружающей средой за счет теплопроводности. При этом основное снижение температуры в пласте после остановки скважины обусловлено продолжающимся притоком жидкости из пласта. Анализ экспериментального материала показывает, что после прекращения работы компрессора против отдающих пластов, как правило, наблюдается уменьшение величины температурной аномалии. Причем в первые моменты времени темп восстановления температуры высокий вследствие преобладания при этом процесса конвективного восстановления. Полного восстановления первоначальной температуры в пласте к моменту прекращения притока обычно не происходит и дальнейшее расформирование остаточного температурного профиля осуществляется за счет теплопроводности. Выше отдающих пластов затухающий конвективный поток, наоборот, замедляет процесс восстановления температуры в скважине. Кратковременность теплового возмущения, вызванного опробованием, позволяет говорить о практическом отсутствии зоны нарушения в окружающих породах, радиус которой можно приближенно оценить из выражения
Снижение скорости потока в стволе скважины уменьшает, в свою очередь, и экранизирующее влияние его (потока)на процессы, происходящие за колонной, что создает, например, благоприятные условия для выявления заколонных перетоков сверху. Если в скважине имеется несколько отдающих интервалов, то при увеличении забойного давления в этот период изменяется и гидродинамическое состояние всех отдающих пластов. Поэтому именно в этот период могут возникать различного рода межпластовые перетоки. Происходит изменение соотношения дебитов жидкости по пластам. Все это, в свою очередь, влияет на форму температурных кривых против отдающих пластов и в скважине в целом. Зумпф скважины, как правило, прямым влиянием потока жидкости из пласта не охвачен. Но даже при уменьшении тепловой аномалии против перфорированного горизонта одномерный тепловой поток в подстилающих породах продолжает существовать. Поэтому иногда в этот период можно наблюдать дальнейшее смещение точки zr . В связи с тем, что в скважине могут быть жидкости с различающимся адиабатическим коэффициентом (например, вода и нефть), в этот период может быть зарегистрирована аномалия типа «ступеньки», приуроченная к уровню раздела жидкостей. Существенным моментом при исследовании скважины в этот период является то, что в конечном итоге все температурные аномалии (распределения температуры) по характеру и форме стремятся к соответствующим первоначальным, имеющим место в первый период состояния скважины. В этом заключается другая отличительная особенность, характеризующая переходный характер процессов в скважинах, осваиваемых компрессором: осуществление в скважине условий перехода от режима отбора к режиму первоначального состояния покоя. Примечание. Рассмотренные выше особенности формирования температурных полей независимо от конкретного нефтяного района всегда проявляются при опробовании скважины компрессором. При этом следует учитывать лишь такие особенности месторождений, как различие естественных градиентов температуры, коллекторских свойств пластов, теплофизических свойств пластовых жидкостей и горных пород, различий в величинах давлений насыщения нефти газом, газового фактора. Наличие всякого рода осложнений: заколонных перетоков, негерметичности обсадной колонны, внутрипластовых перетоков и т.д. существенным образом может изменять описанные выше закономерности в образовании тепловых полей в том или ином участке ствола скважины. Как только уровень жидкости достигает статического - забойное давление вновь становится равным пластовому (V период на рис.1б). Приток жидкости из пласта прекращается, и скважина «возвращается» в первоначальное гидродинамическое состояние покоя (состояние V на рис.1а). Таким образом, при компрессорном освоении и опробовании в скважине наблюдается сочетание кратковременного пуска и последующей остановки, что приводит к возникновению сложных переходных процессов - происходит практически постоянное изменение забойного давления с изменением скорости и направления потоков жидкости. Особенности методики исследований Общие положения 1. Технология (методика) исследований скважин определяется тем арсеналом измерительных средств (методов), имеющихся на вооружении геофизических партий, конкретными задачами, которые необходимо решать в той или иной ситуации, а так же положением утверждающим получение максимума информации при минимуме средств и времени. 2. Обычно исследованию подлежат все скважины, давшие при освоении нефть с водой или воду при нефтенасыщенности пласта по электрокаротажу. Так же испытываются пласты для проверки геофизических характеристик при насыщенности пласта нефтью с водой и водонасыщенные. 3. При опробовании разведочных скважин исследованию подлежат и скважины, давшие при этом безводную нефть. Опыт показывает, что для эффективного решения задач нефтепромысловой / геологии, возникающих при освоении и опробовании, необходим комплекс методов: гамма каротаж; локация муфт; термометрия; расходометрия (варианты СТД и МД); методы состава (влагометрия – ВГД, резистивимитрия – РИС и гамма-плотнометрия-ГГП); барометрия. 4. Для уменьшения дополнительных затрат средств и времени на исследования разработанные методики решения задач хорошо вписываются в существующую технологию компрессорного освоения скважины. Выбор интервала исследований 1. Исследования скважин при их освоении или опробовании компрессором сводятся к спуску скважинной аппаратуры через насосно-компрессорные трубы, оборудованные на устье сальниковым устройством, а внизу воронкой, и регистрации интересующих устройством при спуске или подъеме прибора. Интервал исследований обычно выбирается их характера и назначения. При этом различают общие или поисковые и детальные исследования. 2. Общие исследования проводят, как правило, по стволу скважины от динамического (статического) уровня до продуктивных горизонтов. Регистрацию осуществляют в масштабе глубин 1:500. Детальные исследования осуществляются в интервалах продуктивных горизонтов до забоя и возможных заколонных перетоков, а также в интервалах температурных аномалий отмеченных при поисковых исследованиях. Производят детальные исследования в масштабе глубин 1:200. 3. Интервал детальных исследований, включая и неперфорированных 4. В общем случае глубина спуска НКТ рассчитывается и определяется типом компрессора и должна обеспечивать условие прорыва воздуха через НКТ и излив жидкости из скважины на поверхность. Регламентирование геофизических исследований в скважине 1. Сложность переходных процессов происходящих в скважине и пласте при освоении предопределяет сложность решения задач геофизическими методами. Выполнение регламента измерений позволит наиболее полно использовать особенности переходных режимов работы для обеспечения информативности того или иного метода. При комплексном подходе основной упор в вопросах исследований и интерпретации в настоящем руководстве сдан на термометрию поскольку толкование информации получаемой расходометрией, методами состава и т.п. существенно не зависят от режима работы скважины (в смысле стационарного или нестационарного режима) и достаточно полно эти методы освещены в книге «Руководство по применению промыслово-геофизических методов для контроля за разработкой нефтяных месторождений», М., Недра, 1978. Ниже мы лишь упорядочим число и порядок проведения измерений в процессе освоения. 2. Термические исследования. При использовании комплекса геофизических методов для исследований во избежание нарушений температурного поля не следует непосредственно перед регистрацией термограмм спускать в интервал исследований другие приборы. В особенности это касается исследований проводимых в простаивающей до включения компрессора скважине. Регистрацию термограмм обычно производят на спуске скважинного прибора. Рекомендуется при этом проведение по крайней мере одного замера при работе компрессора при подъеме прибора. При затруднениях регистрации температурных кривых на спуске (большая кривизна скважины, неравномерное по скорости движение прибора, остановка прибора) допускается проведение исследований при подъеме термометра. По каждой кривой при этом на диаграмме дается информация о направлении движения зонда при регистрации. Масштаб регистрации температуры при детальных исследованиях выбирается 0,02 °С/см или 0,05 °С/см, при поисковых исследованиях масштаб выбирается 0,1°С/см и регистрация осуществляется с дублированием вторым каналом гальванометра 1:5. Первый замер термометром производится в скважине простаивающей в покое не менее 10-18 часов (в зависимости от диаметра скважины) после всякого рода работ связанных с ее промывкой. На практике это реализуется обычно так, если сегодня к производится промывка скважины, то на завтра заказываются геофизики. Контрольный (фоновый) замер температуры является первым из всех геофизических методов проводимых непосредственно перед освоением и опробованием и строго обязателен. Его рекомендуется по всему стволу скважины для получения общего представления о ее состоянии. Часто термограмма этого периода дает информацию для выбора интервалов детальных исследований как термометрии, так и других с методов. Второй замер температуры производится при снижении уровня жидкости в межтрубное пространство, т.е. при работе компрессора в режиме нагнетания. Знание факта ухода жидкости из скважины в пласт необходимо для интерпретации последующих кривых, полученных в режиме отбора. Кроме того это явление, помимо выявления мест поглощения жидкости (нарушенные колонны, перфорированные пласты) имеет и самостоятельное значение: оно учитывается при определении оптимального времени дренирования скважины, необходимого для полного извлечения из пласта поглощенной в этот период жидкости. В режиме отбора (притока) жидкости из пласта регистрируют по крайней мере три термограммы. Причем первый замер производят сразу после начала притока, второй - через 1-1,5 часа после первого и следующий через 2-3 часа. При комплексном исследовании [время между замерами может быть время) измерений привело в ряде случаев к массовому завышению скорости записи в ущерб качеству термограммы. 2. При термических исследованиях скважин мгновенная температурная картина в стволе скважины зарегистрирована быть не может: на разных глубинах она измеряется в различное время. Поэтому нестационарность распределения температуры в скважине приводит к искажению термограмм (эффект немгновенности регистрации или временной эффект записи). Исходя из этого, для исключения ложных аномалий на термограммах, скорость записи должна быть постоянной в процессе исследований и намного больше скорости потока (рис.7).
Рис. 7. Влияние скорости движения термометра на регистрируемую термограмму в начальной стадии нагнетания жидкости. 1 - в простаивающей скважине; 2 - в процессе нагнетания жидкости при различных скоростях движения термометра. 3. Завышение скорости движения термометра в случае осваеваемой скважины может приводить к чрезмерной затянутости аномалии дроссельного эффекта в зумпфе скважины из-за тепловой инерции аппаратуры (рис.8).
Рис. 8. К искажению профиля температуры тепловой инерцией аппаратуры. 4. В случае детальных исследований в качестве критерия для выбора скорости записи целесообразно принять величину затянутости ΔZr температурной аномалии в зумпфе. И принимая ΔZr < 0,3 м (по методическим соображениям) получаем для детальных исследований:
Учитывая, что в зумпфе, как правило, находится вода, поправку на увеличение постоянной времени термометра можно не вводить. 5. При исследовании простаивающих скважин в первый период (поисковые исследования), когда распределение температуры в скважине можно характеризовать средним температурным градиентом Гср исходя из чувствительности термометра Δт , допустимую скорость перемещения термометра в скважине можно определить как:
6. Скорость движения термометра не должна превышать указанных значений. При этом должно быть определено действительное значение постоянной времени термометра в скважине, т.к. паспортное значение т0 часто не соответствует действительному. Примечание 1. Измерения другими методами ГИС, используемыми в комплексе с термометрией осуществляются так же в процессе освоения скважины. При этом: ГК и ЛМ можно регистрировать в простаивающей скважине; термокондуктивный расходомер и методы состава проводят до включения компрессора и при работе скважины в режиме отбора между температурными измерениями; для механического дебитомера возможна (при необходимости) повторная отработка скважины компрессором: барометрия проводится в простаивающей скважине (по стволу) и во всем цикле работы компрессора и скважины между другими геофизическими исследованиями на фиксированной глубине как функция Рзаб (t). Кроме того методы состава (ГГП или ВГД) проводят после отключения компрессора и разрядки (серия замеров) для прослеживания динамического уровня и НВР в стволе скважины. Примечание 2. Технология и выбор методов исследований могут изменяться на скважине в зависимости от конкретных условий и от результатов предварительной интерпретации первых получаемых материалов ГИС. Принимать такого рода решения на скважине имеет право только начальник геофизической партии непосредственно осуществляющий решение поставленной задачи. |











