Реферат: Информатика. Назначение, принципы построения и типовые структуры компьютерных сетей
|
Название: Информатика. Назначение, принципы построения и типовые структуры компьютерных сетей Раздел: Рефераты по информатике Тип: реферат |
Содержание Назначение, принципы построения и типовые структуры компьютерных сетей. Компьютерная сеть - представляет собой систему распределенной обработки информации, состоящую как минимум из двух компьютеров, взаимодействующих между собой с помощью специальных средств связи. Другими словами сеть представляет собой совокупность соединенных друг с другом ПК и других вычислительных устройств, таких как принтеры, факсимильные аппараты и модемы. Сеть дает возможность отдельным сотрудникам организации взаимодействовать друг с другом и обращаться к совместно используемым ресурсам; позволяет им получать доступ к данным, хранящимся на персональных компьютерах в удаленных офисах, и устанавливать связь с поставщиками. Компьютеры, входящие в сеть выполняют следующие функции: · Организация доступа к сети · Управление передачей информации · Предоставление вычислительных ресурсов и услуг абонентам сети. Локальные и территориально-распределенные сети. Территориально-распределенная сеть (WAN) соединяет несколько локальных сетей, географически удаленных друг от друга. Локальная сеть Локальная сеть (LAN) связывает ПК и принтеры, обычно находящиеся в одном здании (или комплексе зданий). Локальные сети (ЛС) представляющие собой самую элементарную форму сетей, соединяют вместе группу ПК или связывают их с более мощным компьютером, выполняющим роль сетевого сервера. Все ПК в локальной сети могут использовать специализированные приложения, хранящиеся на сетевом сервере, и работать с общими устройствами: принтерами, факсами и другой периферией. Каждый ПК в локальной сети называется рабочей станцией или сетевым узлом . Локальные сети позволяют отдельным пользователям легко и быстро взаимодействовать друг с другом. Вот лишь некоторые задачи, которые позволяет выполнять ЛС: · совместная работа с документами; · упрощение документооборота: вы получаете возможность просматривать, корректировать и комментировать документы не покидая своего рабочего места, не организовывая собраний и совещаний, отнимающих много времени; · сохранение и архивирование своей работы на сервере, чтобы не использовать ценное пространство на жестком диске ПК; · простой доступ к приложениям на сервере; · облегчение совместного использования в организациях дорогостоящих ресурсов, таких как принтеры, накопители CD-ROM, жесткие диски и приложения (например, текстовые процессоры или программное обеспечение баз данных). Территориально-распределенные сети Территориально-распределенные сети обеспечивают те же преимущества, что и локальные, но при этом позволяют охватить большую территорию. Обычно для этого используется коммутируемая телефонная сеть общего пользования (PSTN, Public Switched Telephone Network) с соединением через модем или линии высокоскоростной цифровой сети с предоставлением комплексных услуг (ISDN, Integrated Services Digital Network). Линии ISDN часто применяются для передачи больших файлов, например содержащих графические изображения или видео. Встраивая в базовые локальные сети функциональность территориально-распределенных сетей, реализуемую с помощью модема или сервера удаленного доступа, можно выгодно использовать технологии внешних коммуникаций, в том числе: · передачу и прием сообщений с помощью электронной почты (e-mail); · доступ к Internet. Internet Internet представляет собой огромную общедоступную глобальную сеть, соединяющую пользователей всего мира с хранилищами данных, изображений и звука. Стремительно расширяясь, Internet играет все более важную роль в бизнесе. На сегодня основными функциями Internet остаются электронная почта и обмен информацией между группами по интересам и исследователями. Сети становятся все более мощными, а к Internet подключается все большее число компаний и индивидуальных пользователей. Internet служит связующим звеном между компаниями, их потенциальными заказчиками и поставщиками. Сегодня Internet может поддерживать развивающиеся приложения передачи речи и видео, такие как системы дистанционного обучения и удаленной диагностики. Любая компьютерная сеть характеризуется: топологией, протоколами, интерфейсами, сетевыми техническими и программными средствами. Топология компьютерной сети отражает структуру связей между ее основными функциональными элементами. Сетевые технические средства – это различные устройства, обеспечивающие объединение компьютеров в единую компьютерную сеть. Сетевые программные средства – осуществляют управление работой компьютерной сети и обеспечивают соответствующий интерфейс с пользователями. Протоколы – представляют собой правила взаимодействия функциональных элементов сети. Интерфейсы – средства сопряжения функциональных элементов сети. Следует обратить внимание, что в качестве функциональных элементов могут выступать как отдельные устройства так и программные модули. Соответственно различают аппаратные и программные интерфейсы. При создании сети в зависимости от задач, которые она должна будет выполнять, может быть реализована одна из трех сетевых топологий. Шинная топология. Рабочие станции с помощью сетевых адаптеров подключаются к общей магистрали /шине/ (кабелю). Аналогичным образом к общей магистрали подключаются и другие сетевые устройства. В процессе работы сети информация от передающей станции поступает на адаптеры всех рабочих станций, однако, воспринимается только адаптером той рабочей станции, которой она адресована.
Рис. 1. Сетевая топология «шина» Звездообразная топология. Характеризуется наличием центрального узла коммутации – сетевого сервера, которому или через который посылаются все сообщения.
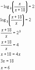
Рис. 2. Сетевая топология «звезда» Кольцевая топология. Характеризуется наличием замкнутого канала передачи данных в виде кольца или петли. В этом случае информация передается последовательно между рабочими станциями до тех пор, пока не будет принята получателем и затем удалена из сети. Недостатком подобной топологии является ее чувствительность к повреждению канала. Рис. 3. Сетевая топология «кольцо» Сетевые технические средства. Базовые компоненты и технологии, связанные с архитектурой локальных или территориально-распределенных сетей, могут включать в себя: Аппаратное обеспечение · Кабели · Серверы · Сетевые интерфейсные платы (NIC, Network Interface Card) · Концентраторы · Коммутаторы · Маршрутизаторы (территориально-распределенные сети) · Серверы удаленного доступа (территориально-распределенные сети) · Модемы (территориально-распределенные сети) Базовые компоненты и технологии, связанные с архитектурой локальных или территориально-распределенных сетей. Программное обеспечение включает: · Сетевую операционную систему; · Сетевое ПО управления. Перевести число X = 24593,575 , заданное в десятичной позиционной системе счисления, в двоичную, восьмеричную и шестнадцатеричную позиционные системы счисления с точностью до 3 знака после запятой. Х=24593,57510 =110000000010001,1002 =60021,4468 =6011,93316 В корзине лежат белые и черные шары. Среди них 18 черных шаров. Сообщение о том, что из корзины достали белый шар, несет 2 бита информации. Сколько всего в корзине шаров? Решение: Пусть в корзине - х белых шаров Тогда всего шаров – (х + 18). Вероятность того, что достали белый шар равна – Количество информации сообщения о том, что достали белый шар, равно I= - log2
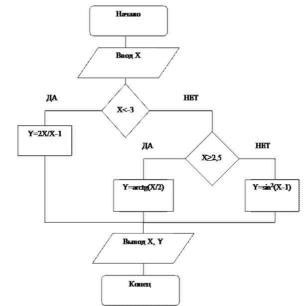
В корзине было 6 белых шаров. Следовательно, всего в корзине – (6+18)=24 шара Ответ: 24 шара. Вычислить значение функции y=y(x) и проверить правильность работы программы на примере трех контрольных значений Кодпрограммы: Private Sub Command1_Click() If x < -3 Then y = 2 * x / x - 1 ElseIf x >= 1 Then y = Atn(x / 2) Else y = Sin(x - 1) ^ 2 End If End Sub
Блок-схема алгоритма
– Пуск – остановка (начало и конец вычислений) – Ввод-вывод (ввод данных с клавиатуры и вывод на монитор) – Решение (проверка условия) – Процесс (вычислительные действия) |







