Реферат: Разработка тарифов и обоснование оптимальных маршрутов доставки грузов
|
Название: Разработка тарифов и обоснование оптимальных маршрутов доставки грузов Раздел: Рефераты по транспорту Тип: реферат | ||||||||||||||||||||||||||||||||||||||||||||||||||||||||||||||||||||||||||||||||||||||||||||||||||||||||||||||||||||||||||||||||||||||||||||||||||||||||||||||||||||||||||||||||||||||||||||||||||||||||||||||||||||||||||||||||||||||||||||||||||||||||||||||||||||||||||||||||||||||||||||||||||||||||||||||||||||||||||||||||||||||||||||||||||||||||||||||||||||||||||||||||||||||||||||||||||||||||||||||||||||||||||||||||||||||||||||||||||||||||||||||||||||||||||||||||||||||||||||||||||||||||||||||||||||||||||||||||||||||||||||||||||||||||||||||||||||||||||||||||||||||||||||||||||||||||||||||||||||||||||||||||||||||||||||||||||||||||||||||||||||||||||||||||||||||||||||||||||||||||||||||||||||||||||||||||||||||||||||||||||||
| ФЕДЕРАЛЬНОЕ АГЕНТСТВО МОРСКОГО И РЕЧНОГО ТРАНСПОРТА РФ ФЕДЕРАЛЬНОЕ ГОСУДАРСТВЕННОЕ ОБРАЗОВАТЕЛЬНОЕ УЧРЕЖДЕНИЕ ВОДНЫХ КОММУНИКАЦИЙ КОТЛАССКИЙ ФИЛИАЛ
КУРСОВОЙ ПРОЕКТ Вариант работы № 38 По дисциплине "Коммерческая эксплуатация на водном транспорте" На тему : "Разработка тарифов и обоснование оптимальных маршрутов доставки грузов" Выполнил: С тудент гр. 41ЭУ 4 курс Специальности 080502.65 Проверила: Белых О.Г. 2011 г. Содержание.
ИСХОДНЫЕ ДАННЫЕ Вариант № 38 А. Корреспондирующие пункты и объемы перевозок груза – Картофель в мешках. Пункты и объемы отправления 1. Тверь Q=50 2. Бологое Q=20 3. Новгород Q=30 Пункты и объемы назначения 1. Санкт-Петербург V=40 2. Архангельск V=25 3. Череповец V=35 В. Для расчета тарифов на перевозку груза
Введение Транспортные грузовые тарифы представляют собой цены на перевозки грузов и поэтому играют значительную роль в общей системе ценообразования в стране, так как стоимость доставки является составной частью, и оказывает существенное влияние на уровень цен других видов продукции. Тарифы на перевозки грузов, с одной стороны, являются источником получения доходов транспортных организаций, а с другой - определяют расходы грузовладельцев на транспортировку. Поэтому необходимо стремиться, чтобы их уровень был минимальным, но достаточным для обеспечения рентабельной работы транспортных предприятий. Основой для формирования тарифов в любом случае является себестоимость перевозки. Система тарифов на транспорте включает плату за перевозку, дополнительные сборы и плату за различные услуги, штрафы и премии, а также правила их применения и исчисления. Транспортные тарифы оказывают непосредственное влияние на уровень цен продукции других производственных отраслей страны, так как они включают величину транспортного тарифа. Поэтому система тарифов должна: · Объективно отражать общественно необходимые затраты на транспортное обеспечение производства и потребления в стране; · Способствовать рациональному распределению перевозок между видами транспорта; · Стимулировать улучшение использования имеющихся и внедрения новых транспортных и перегрузочных средств, повышение качества доставки; · Способствовать привлечению грузов на транспорт; · Обеспечивать необходимый уровень рентабельности нормально работающим транспортным предприятиям. Разработка тарифов и оптимальных маршрутов доставки грузов является важным пунктом работы речного транспорта, так как позволяет снизить издержки производственной деятельности, выбрав наиболее оптимальный ее режим. В данном курсовом проекте предъявлен к перевозке груз ПГС. Пунктами отправления являются: Тверь, Бологое, Новгород и пунктами назначения – Санкт-Петербург, Архангельск, Череповец. Для перевозки груза используются следующие типы судов: ГТ-600 пр. 765, ГТ 350 пр.912А, ГТ 700 пр. 276. Для этих исходных данных устанавливаются возможные маршруты доставки груза, разрабатываются тарифы на перевозку груза, определяется оптимальная схема грузопотоков с помощью распределительного метода линейного программирования. Цель курсового проекта: Целью курсового проекта по дисциплине «Коммерческая эксплуатация на водном транспорте» является закрепление и углубление знаний о роли транспортных грузовых тарифов, принципах построения и методике проектирования тарифов речного транспорта, по расчетам провозных платежей и дополнительных сборов на различных видах транспорта и применению математических методов для обоснования оптимальных маршрутов доставки грузов. При выполнении курсового проекта приобретаются навыки самостоятельной работы с нормированием документами, правилами, руководствами, прейскурантами, типовыми методиками и другой справочной литературой. Установление возможных маршрутов доставки груза. Исходя из местоположения заданных пунктов отправления и назначения, устанавливаются возможные маршруты перевозки между этими пунктами в различных видах сообщения: - ВВ – внутреннем водном (это перевозки груза осуществляются по внутренним путям в пределах одного речного бассейна или пароходства); - ПВВ – прямом внутреннем водном (это перевозки груза осуществляются в пределах двух или нескольких речных пароходств по одному документу на всем протяжении пути); - ПВ – прямом водном (это перевозки, выполняемые совместно смежными речными и морскими пароходствами по одному транспортному документу); - ПЖД – прямом железнодорожном (это перевозки груза по внутренним железнодорожным путям без перевалок на смежные виды транспорта); - ПСЖДВС – прямом смешанном железнодорожно-водном (эти перевозки груза, совершаемые железнодорожным и водным транспортом по единому транспортному документу на всем пути следования). Согласно местоположению заданных пунктов отправления и назначения, устанавливаются возможные маршруты перевозок различными видами сообщений между ними. Расстояние между тарифными пунктами речных пароходств по водным путям находится по схемам водных путей и таблицам тарифных расстояний в разделах Тарифному руководству № 4-Р, а расстояние между транзитными пунктами железных дорог по таблицам тарифных расстояний между этими пунктами в Тарифном руководстве № 4. Расчетные расстояния, кмТаблица1
В некоторых случаях между определенными пунктами отправления и пунктами назначения может оказаться несколько маршрутов в прямом смешанном железнодорожно-водном сообщении, тогда из них выбираем один, наиболее подходящий из экономических соображений, как правило, имеющий максимальную протяженность водных путей и минимальную – железных дорог. Необходимо стремиться к тому, чтобы общий маршрут перевозки в смешанном сообщении был как можно короче. Именно по данным курсового проекта для смешанных маршрутов является пунктом перевалки груза – Череповец, Новгород, Тверь. Из таблицы «Расчетные расстояния» выбираем маршрут Новгород-Архангельск так как он имеет максимальную протяженность по водным путям – 2131 км . Именно по этому маршруту будет произведены расчеты тарифов на перевозку груза в следующей части курсового проекта, из пункта отправления Новгород в пункт назначения Архангельск. Для наглядности изобразим в произвольном масштабе карту – схему принятого маршрута Новгород-Архангельск для доставки груза – картофель в мешках. Схема маршрута Новгород-Архангельск Общетеоретические вопросы транспортных грузовых тарифов1. Понятие транспортных тарифов. Транспортными тарифами называется система провозных плат и дополнительных сборов за различные операции, выполняемые в процессе перевозки, а так же правила их применения и исчисления, утверждаемые в установленном порядке и обязательные для лиц и организаций, пользующихся транспортом и для транспортных операций. Тарифы заранее устанавливают плату за перевозку, объявляются для всеобщего сведения и применяются ко всем отправителям, получателям и перевозчикам грузов. 2. Роль транспортных тарифов и их задачи. Транспортные тарифы играют большую роль в общей тарифной системе страны. Определяя размер провозной платы, а следовательно и долю транспортных издержек в отпускных ценах на средства производства и предметы потребления, они непосредственно влияют на образование цен и распределение доходов между различными отраслями народного хозяйства. Тарифы должны: 1) способствовать росту производства в стране; 2) способствовать экономически целесообразному размещению по территории страны предприятий промышленности с учетом сокращения транспортных издержек; 3) способствовать рациональному распределению перевозок между различными видами транспорта и использованию каждого из них в сфере наибольшей экономической эффективности; 4) стимулировать наиболее эффективное использование транспортных средств, т.е. лучшее использование их грузоподъемности; 5) обеспечить привлечение грузов на транспорт. 3. Основные принципы построения транспортных тарифов. Принцип построения тарифов зависит от формы собственности, установленной в стране. Если установлена государственная собственность, то тарифы устанавливаются в плановом обоснованном порядке, и цель тарифов – способствовать максимальному объему перевозки. Если же действует частная собственность, то тариф устанавливается на законе стоимости, т.е. на законе «спрос – предложения». В этом случае тариф устанавливается стихийно, исходя из складывающейся обстановки. Цель в этом случае – получить максимальную прибыль. В России действует и государственная и частная форма собственности, а, следовательно, действует и тот, и другой принцип установления тарифа, но в любом случае основывается он на себестоимости. Т = S + K · S , руб/т где S – себестоимость перевозки, руб/т ; К – коэффициент, определяющий уровень рентабельности (на речном транспорте он равен 35%) Тариф может быть равен или меньше себестоимости, но это касается отдельных грузов и определенных направлений. Но в целом по пароходству или речному флоту тариф должен быть выше себестоимости. Транспортные тарифы играют большую роль при установлении цены на всю продукцию, так как: Общая себестоимость продукции = Стоимость продукции + Стоимость перевозки Стоимость перевозки составляет 40 ¸ 80 % от общей себестоимости продукции. Тарифы имеют двойственный характер: с одной стороны, они являются доходами транспорта, а с другой – расходы грузовладельца: ДОХОДЫ ТРАНСПОРТА ← Т → РАСХОДЫ ГРУЗОВЛАДЕЛЬЦА Из этого следует, что тарифы нужно обосновывать таким образом, чтобы транспорт получил необходимые доходы, но при этом не отпугивал грузовладельцев высокими тарифами. 4. Этапы развития тарифной системы речного транспорта. До революции 1917 года тарифной системой в России не существовало. Каждый перевозчик устанавливал тарифы, исходя из собственных соображений. После 1917 года, когда флот стал единым, появилась необходимость создать тарифную систему. В начале использовались дореволюционные тарифы, но вскоре из-за инфляции их перестали применять. Перевозки осуществлялись бесплатно по справкам государственных предприятий. Расходы покрывались дотациями государства. В 1921 году, когда страна перешла на НЭП, появилась необходимость применения тарифов вследствие появления частных предпринимателей. Они применялись, исходя из соображений каждого перевозчика. В 1922 году для того, чтобы упорядочить тарифную систему, был образован Межведомственный Тарифный Комитет, которому было поручено разработать тарифы для всех видов транспорта. Но так как Комитет был малочисленный и неопытный, он не справлялся с поставленной задачей. В 1923 году Тарифному Комитету было поручено разработать тарифы только на смешанные перевозки, а на внутренние перевозки тарифы разрабатывались каждым видом транспорта самостоятельно, но под контролем Тарифного Комитета. Но единой тарифной системы все же не было. В 1930 – 1931 года Советом Труда и Обороны была утверждена новая тарифная система. При этом была разработана тарифная номенклатура грузов, введена дифференция тарифов по определенным признакам, были установлены определенные правила расчета платежей и опубликованы прейскуранты. К 1940 году эта система окончательно сформировалась. В дальнейшем тарифы пересматривались через 5 – 10 лет. Это вызвало тем, что значительно изменялась стоимость материалов, которые использует транспорт (топливо, металл, дерево и др.). Кроме того, учитывалось изменение технологии перевозок, которые также влияли на себестоимость, а также на изменение условий труда. Произошло совмещение профессий, а, следовательно, и сокращение штата рабочих, что, в свою очередь, повлияло на снижение себестоимости перевозок. Последний раз тарифы пересматривались в 1990 году. На всех видах транспорта тарифы были повышены. На речном транспорте был введен двухставочный тариф, была упрощена система платежей при перевозке грузов в контейнерах. По ряду грузов тарифы были приближены к себестоимости. На всех видах транспорта была проведена демократизация тарифной системы, т.е. дана возможность разработать тарифы самостоятельно (применять договорные тарифы). Развитие тарифной системы показывает, что изменения, которые она претерпевала в различные периоды, были обусловлены ходом экономического развития страны и диктовались интересами народного хозяйства. Также следует отметить, что тарифы желательно пересматривать через 2 – 3 года, но это очень трудоемкий процесс, так как необходимо провести большой анализ и сопоставить себестоимость с уровнем тарифа. Для этого надо использовать статистическую отчетность, тарифную и др. Надо разрабатывать 2 – 3 варианта, после рассмотрения, которых, выбирается один. 5. Методики расчета тарифов. Для обоснования тарифов принимается средняя себестоимость, дифференцированная по пароходствам, по видам перевозок, по величине партии, по родам грузов и по видам путей. Кроме того, устанавливается себестоимость стояночных и движенческих операций. Это делается для того, чтобы правильно обосновать тарифы при перевозке на маршрутах различной протяженности. Себестоимость стояночных операций зависит от вида погрузочно-разгрузочных работ, от типа перегрузочных машин и т.д. А себестоимость движенческих операций в отличие от себестоимости стояночных операций зависит от расстояния перевозки, условий плавания. Sт = Σα + β L, руб/т Sт км
=
где Sт – себестоимость перевозки в расчете на тонну, руб/т ; S т км – себестоимость перевозки в расчете на тонно-километры, руб/ткм ; Σα – себестоимость всех стояночных операций, руб/ткм ; β – себестоимость движенческих операций, руб/ткм ; L – расстояние перевозки, км .
Sт км Тт
Sт км Тт Sт Тт км Sт км
где Тт – тариф на перевозку в расчете на тонну; Т т км – тариф на перевозку в расчете тонно-километр. Т = S + K · S , руб/т где S – себестоимость перевозки, руб/т ; К – коэффициент, определяющий уровень рентабельности (на речном транспорте он равен 35%). В настоящее время на транспорте существует 5 вариантов построения тарифов: 1. Трехставочный тариф (состоит из 3-х ставок) Т = в ст.н + в дв. L + в ст.к , руб/т где в ст.н – ставка по стояночным операциям в начальном пункте, руб/т ; в дв – ставка по движенческим операциям, руб/т-км ; L – расстояние перевозок, км ; в ст.к – ставка по стояночным операциям в конечном пункте, руб/т в i = Si + K Si Такой вариант применяется на морском транспорте. 2. Двухставочный тариф Т = в ст.н.к(нко) + в дв. L, руб/т где в ст.н.к(нко) – ставка по стояночным операциям в начальном и конечном пунктах, руб/т ; в дв – ставка по движенческим операциям, руб/т-км ; L – расстояние перевозок, км . На речном транспорте в портах условия обработки почти одинаковые. Поэтому стояночные операции в начальном и конечном пунктах объединили. Этот вариант распространен на речном транспорте и частично на железнодорожном и автомобильном. 3. Одноставочный тариф, построенный на двухставочной основе Т = в' н к + в дв. (L - ℓ), руб/т где в' н.к – ставка по стояночным операциям в начальном и конечном пунктах и по движенческим операциям за минимальное расстояния, руб/т . в' н к = в ст + в дв · ℓ, руб/т ; в дв – ставка по движенческим операциям, руб/т-км ; L – расстояние перевозок, км . ℓ – минимальное расстояние перевозки (на речном и железнодорожном транспорте ℓ = 50 км ). Такой вариант распространен частично на речном, железнодорожном и автомобильном транспорте. 4. Одноставочный тариф на многоставочной основе Т = в ст + в дв 1 · ℓ1 +в дв2 · ℓ2 + в дв3 · ℓ3 + … + в дв n · ℓn , руб/т , где в ст. – ставка по стояночным операциям в начальном и конечном пунктах, руб/т ;
ℓi – протяженность на i -х участков, на которых действуют разные движенческие ставки, км . Этот вариант применяется на автомобильном транспорте. 5. Договорный тариф. Он формально не рассчитывается, а устанавливается исходя из спроса и предложения на перевозки, но базируется также на себестоимости. При этом учитывается общий уровень тарифов на в стране (с точки зрения конкурентности), исходя из уровня тарифов на смежных видах транспорта, исходя из скорости доставки груза, исходя из удобств и услуг, представленных к перевозке, а также исходя из ценности груза. Договорный тариф действует на всех видах транспорта. Он устанавливается по договору между перевозчиком и грузовладельцем, но не во всех случаях, а только в тех, которые отличаются от обычных условий перевозки. А именно: - если обеспечивается более скоростная доставка грузов; - если перевозка осуществляется в новых судах с высокой сохранностью груза; - если перевозки выполняются на малых реках, где нет судоходной обстановки; и при завозе грузов на боковые реки весной; при буксировке крупногабаритных плавучих объектов; при выполнении перевозок после прекращения срока обязательного приема груза к перевозке; - если на перегрузочные работы не установлены тарифы – прейскуранты. Договорный тариф разрабатывается и подписывается обеими сторонами по протоколу. Обычно протокол готовит перевозчик. В протоколе указывается, какую необходимо выполнить работу, уровень тарифа, условия перевозки, ответственность перевозчика за невыполнение договорных обязательств. В течение 20 дней грузовладелец должен рассмотреть и подписать договор. В том случае, у него возникают возражения, он может подписать договор с дополнением разногласий. Так как договорный тариф может существенно отличаться от обычных, в транспортных документах указывается «перевозка по договорному тарифу, протокол № …, от … числа». Договорные тарифы также базируются на себестоимости: Тд = S + K · S , руб/т Но в отличие от обычных тарифов, где коэффициент, оценивающий уровень рентабельности (К), равен 35 %, в договорном тарифе он может быть меньше (крайне редко) или больше. 6. Классификация тарифов на транспорте. Действующие в настоящее время тарифы на речном транспорте в зависимости от условий работы, а, следовательно, и от уровня себестоимости классифицируются по следующим признакам: I. По видам перевозок тарифы установлены: 1) на перевозку сухогрузов и наливных грузов в таре; 2) на перевозку наливных грузов в танкерах; 3) для буксировки плотов; 4) для буксировки плавучих объектов. II. По группам пароходств По пароходствам тарифы дифференцируются, учитывая различные условия работы в пароходствах: 1) для сухогрузов пароходства делятся на 20 групп; 2) для нефтегрузов – на 13 групп; 3) для буксировки – на 7 групп. В каждую группу включаются пароходства с едиными условиями. В первой группе, куда входит пароходства с лучшими условиями работы, самые низкие тарифы, а в последней с самыми сложными условиями судоходства – самые высокие тарифы. III.По видам сообщения : 1) для внутреннего водного сообщения; 2) для прямого водного сообщения; 3) для смешанного железнодорожно-водного сообщения; 4) для заграничного сообщения. При внутренних перевозках выделяют тарифы для перевозки по магистральным путям и по малым рекам. IV. По видам отправок : 1) для судовой отправки Судовая отправка – партия груза одного наименования, обеспечивающая полную загрузку судна, оформленная одной накладной и следующая в один пункт назначения. При перевозке однородных насыпных грузов может загружаться несколько партий груза по разным накладным, но если эти партии не требуется отправить друг от друга (сепарация), то такая перевозка тоже считается судовой отправкой. 2) для сборной отправки Сборной считается отправка массой более 20 т, но недостаточная для полной загрузки судна, а также партия, включающая различные наименования груза, оформление разными накладными, а также партия, следующая из одного пункта отправления в несколько пунктов назначения. 3) для мелкой отправки Мелкой считается отправка массой до 20 т. V. По сфере применения : 1) основные тарифы – наиболее распространены, применяются на основных магистральных путях; 2) местные тарифы – применяются при перевозках в пределах крупных водных узлов; 3) исключительные тарифы – устанавливают для некоторых грузов или отдельных участков пути и направлений перевозок, для отдельных периодов навигации, когда по эксплуатационным условиям применение основных тарифов экономически не целесообразно, а также в целях стимулирования загрузки порожних направлений или приведение основных тарифов в соответствии с тарифами других видов транспорта. Исключительные тарифы могут быть пониженными (льготными) и повышенными; 4) договорные тарифы – действует только между двумя сторонами, заключившими договор. VI. По периодам навигации : В этом случае тарифы дифференцируются только при буксировке плотов. В осенне-зимний период, когда условия буксировки усложняются (штормовые погоды, туманы и т.д.), тарифы повышаются в 1,5 – 2 раза. VII. 1) 2) С увеличением расстояния себестоимость перевозки снижается => ставку также надо снижать. Основные тарифы утверждаются правительственными органами и опубликовываются в прейскурантах. Местные тарифы утверждаются начальником пароходства и опубликовываются в приказах начальника пароходства. Исключительные тарифы могут утверждаться на уровне правительства (повышенные) и на уровне начальника пароходства (пониженные). Договорные тарифы утверждаются протоколом. 7. Тарифная номенклатура грузов. На всех видах транспорта перевозится около 5000 грузов различного наименования, и установить тарифы на каждый груз невозможно, но можно разбить на группы по их характеристикам. Учитывая свойства и характеристики грузов, а также трудоемкость их перевозки, все грузы разбили на XI разделов, 69 групп и 257 позиций (на речном транспорте). Тарифы устанавливаются для определенной группы груза, т.е. дифференциация тарифов производится по родам грузов. На речном, морском и железнодорожном транспорте действует единая тарифная номенклатура грузов, что упрощают систему расчетов при смешанных перевозках. На воздушном и автомобильном транспорте установлена другая номенклатура. В каждый раздел входят грузы отдельных отраслей народного хозяйства: I продукция сельского хозяйства II продукция лесной и деревообрабатывающей промышленности III руды металлические . . . XI прочие грузы В каждую группу включают грузы, которые имеют одинаковое назначение в производстве или потреблении: I продукция сельского хозяйства: - зерно; - семена; - хлопок; - овощи; - фрукты. В каждую позицию включаются грузы, которые имеют одинаковую трудоемкость перевозки: зерно – пшеница (тяжелое зерно) овес (легкое зерно) кукуруза в початках. Таким образом, тарифная номенклатура грузов позволяет установить тарифы для различных по свойству грузов.
группа позиция В Алфавитном перечне приводятся наименования по имени существительному. Расчет тарифов на перевозку груза . Расчет тарифов выполняется в соответствии с индивидуальным заданием. Он начинается с определения продолжительности стояночных операций (t ст. ) и движенческой (t дв. ) операции для судов каждого типа, исходя из принятого максимального маршрута перевозки Новгород-Архангельск , – 2131 км, между речными пунктами и заданного рода груза азотные удобрения. Группу и позицию груза определяем в приложении 10 Прейскуранта 14 - 01 (алфавитный указатель) – группа 04, позиция 3. Время стоянки судна определяется по формуле: t ст = 1,1( t п + t р ) + t шл. где t п , t р - время погрузки и разгрузки судна, сут: t шл . - время одностороннего пропуска судна через все шлюзы на выбранном маршруте, сут. 1,1 - коэффициент, учитывающий дополнительное время на технические и технологические операции. Время погрузки и разгрузки судна устанавливается по формуле:
где Q э - эксплуатационная загрузка судна, определяемая из тарифной нормы загрузки судна и регистровой грузоподъемности, т. Вп(р) - судо-часовая норма погрузки (разгрузки) судна, т/ч. Единые судо-часовые нормы погрузки – разгрузки судов речного флота и правила их применения приведены в Правилах перевозок грузов (ч. 1). Судовые нормы погрузки – выгрузки судов определяются исходя из типа судна, его грузоподъемности, наименования груза, рода груза и массы одного места. Груз перевозится следующими проектами судов: 1) ГТ 600 пр. 765 2) ГТ 350 пр. 912А 3) ГТ 700 пр. 276 Тарифная норма загрузки судна определяется по роду груза в приложении 3 Прейскуранта 14 – 01. ПГС – тарифная норма загрузки судов 100%. 1. ГТ 600 пр. 765, Qэ = 600 т 2. ГТ 350 пр. 912А Qэ = 350 т 3. ГТ 700 пр. 276 Qэ = 700 т Далее определим суточные нормы погрузки-разгрузки судов: Таблица 7
Теперь можем определить время погрузки и разгрузки судов: - время погрузки 1) ГТ 600 пр. 765, tп
= 2) ГТ 350 пр. 912А tп
= 3) ГТ 700пр. 276 tп
= - время разгрузки 1) ГТ 600 пр. 765, tр
= 2) ГТ 350 пр. 912А tр
= 3) ГТ 700 пр. 276 tр
= Гидроузлы на маршруте Новгород-Архангельск (Приложение 4 методических указаний к курсовому проекту). Гидроузлы на пути: Время шлюзования, сут: 1) Новгород-Новая Ладога (река Волхов) 2) Новая Ладога-Вытегра (Волго-Балтийский канал) 11 гидроузла 0,07 сут. 3) Вытегра-Топорня (6 шлюзов 1 гидроузел) 0,07 сут. 4) Топорня-Нюксиница (река Сухона) 3 шлюза 0,07 сут. 5) Нюксиница-Архангельск (река Северная Двина) t шл = (21*0,07)= 1,47 сут. Расчет времени на стояночные операции для судов каждого типа: 1) ГТ 600 пр. 765, tст = 1,1 · (1,39 + 1,00) +1,47 =4,01сут 2) ГТ 350 пр. 912А tст = 1,1 · (0,81 + 0,58) + 1,47= 3,00сут 3) ГТ 700 пр. 276 tст = 1,1 · (1,62 + 1,17) +1,47 = 4,54сут Время хода по отдельным участкам пути, принятого маршрута, определяется:
Li - протяженность отдельных участков пути, км. ; V с - расчетная скорость хода судна с грузом в спокойной глубокой воде, км./ч.; w i - потери приращения скорости в зависимости от направления перевозки (вверх, вниз), км./сут. 0,9 - коэффициент приведения расчетной скорости судна к путевой. Маршрут Новгород-Архангельск Таблица 8
Расчетная скорость хода судна с грузом в спокойной глубокой воде, км/ч (Приложение 6 методических указаний к курсовому проекту): 1) ГТ 600 пр. 765, Vс = 15,5 км/ч 2) ГТ 350 пр. 912А Vс = 18,5 км/ч 3) ГТ 700 пр. 276 Vс = 18,5 км/ч Тогда время хода по отдельным участкам пути отдельных типов судов: 1) ГТ 600 пр. 765, tх =((383:(0,9*24*15,5)-60))+((706:(0,9*24*15,5))+((519:(0,9*24*15,5)-60)) +((523:(0,9*24*15,5)-60))=7,29 суток 2) ГТ 350 пр. 912А tх =((383:(0,9*24*18,5)-60))+((706:(0,9*24*18,5))+((519:(0,9*24*18,5)-60)) +((523:(0,9*24*18,5)-60))=5,97 суток 3) ГТ 700 пр. 276 tх =((383:(0,9*24*18,5)-60))+((706:(0,9*24*18,5))+((519:(0,9*24*18,5)-60)) +((523:(0,9*24*18,5)-60))=5,97 суток Себестоимость перевозки груза в судах отдельных типов рассчитывается по формуле: S
= α
где α – ставка себестоимости всех стояночных операций судна за время грузового рейса, руб/т b – ставка себестоимости движенческой операции, руб/т-км L – общее расстояние перевозки на маршруте, км. Элементная ставка себестоимости стояночных операций устанавливается по формуле:
где Sст - себестоимость суточного содержания судна на стоянке, руб/судо-сут (Приложение 6). 1) ГТ 600 пр. 765, 2) ГТ 350 пр. 912А 3) ГТ 700 пр. 276 Ставка себестоимости движенческой операции определяется по формуле:
где Sх - себестоимость суточного содержания судна на ходу, руб./судо-сут (Приложение 6). 1) ГТ 600 пр. 765, 2) ГТ 350 пр. 912А 3) ГТ 700 пр. 276 Себестоимость перевозки груза в судах отдельного типа: 1) ГТ 600 пр. 765, S =140,35+ 0,18 ·2131 = 523,93 руб/т 2) ГТ 350 пр. 912А S =154,29 + 0,22 ·2131 = 623,11 руб/т 3) ГТ 700 пр. 276 S =168,63+ 0,16 · 2131 = 509,59 руб/т Значение средней себестоимости перевозки грузов для всех типов судов рассчитывается по формуле:
где
где αi – ставки себестоимости стояночных операций судна i-го типа вi – доля груза, перевозимого в судне i-го типа 1) ГТ 600 пр. 765, в = 0,3 2) ГТ 350 пр. 912А в = 0,2 3) ГТ 700 пр. 276 в = 0,5 n – количество типов судов
где βi – ставки себестоимости движенческой операции судна i-го типа
Таблица 9 Средняя себестоимость перевозок груза, руб./т.
Тарифы за перевозку груза определяются по формуле: T
= в
нко
+ в
дво
·
где Внко – тарифная ставка за стояночные операции, руб/т Вдво – тарифная ставка движенческой операции, руб/т-км Эта формула используется для расчета ставок тарифа за перевозку груза во всех поясах дальности, кроме первого. В первом поясе дальности тариф рассчитывается по формуле: T ' = в нко + в дво · 50 Тарифная ставка стояночных операций рассчитывается по формуле: в
нко
=
0,35 - коэффициент, учитывающий долю прибыли от себестоимости, необходимую для нормального функционирования транспортных предприятий.
в нко =157,27 + 0,35 · 157,27= 212,31 руб/т Тарифная ставка движенческой операции рассчитывается по формуле: в
дво
=
в дво = 0,178+ 0,35 · 0,178=0,24 руб/т-км Тарифы за перевозку 1т груза определяются для поясов расстояния, принятых в Прейскуранте № 14 – 01 (расчетная таблица 2) До 50 км - 1 пояс От 50 до 100 км 5 поясов по 10 км (51-60, … , 91-100) От 101 до 300 км 10 поясов по 20 км (101-120, …, 281-300) От 301 до 600 км 10 поясов по 30 км (301-330, …, 571-600) От 601 до 1000 км 10 поясов по 40 км (601-640, …, 961-1000) От 1001 до 1500 км 10 поясов по 50 км (1001-1050,…, 1451-1500) От 1501 до 5000 км 35 поясов по 100 км (1501-1600,…, 4901-5000) При расчетах округление производится до целых рублей, при этом 0,5 руб. и более принимаются за 1 рубль, а менее 0,5 руб. отбрасываются. Максимальное расстояние, для которого рассчитываются тарифы по поясам, соответствует наибольшему маршруту между речными пунктами. Разработанные тарифы необходимо сравнить с действующими, которые устанавливаются по Прейскуранту 14 –01 в следующем порядке: 1. по "Алфавитному указателю к номенклатуре грузов" Прейскурант 14-01 определяется, к какой группе и позиции относятся груз: Груз – Картофель в мешках Группа – 04, позиция – 3; 2. по группе и позиции устанавливаются номера ставки НКО и схемы ДВО для судовой отправки, (груз отправляется из Новгород => номер ставки НКО и номер схемы ДВО смотрим по СЗП пароходству): Номер ставки НКО 22 и схемы ДВО 19. 3. В расчетной таблице №1 и №2 для соответствующих номер ставки и схемы определяются тарифы для всех поясов дальности по сумме ставок за НКО и за ДВО. Учитывая, что в Прейскуранте 14-01 ставки НКО и ДВО приведены на уровне цен 1989 года, их необходимо увеличить: НКО в 160 раз, ДВО в 100 раз, чтобы обеспечить сопоставимость со ставками проектируемого тарифа. НКО 22 => 2,62 руб/т · 160 = 419,20 руб/т ДВО 19 => 0,667 коп/т-км · 100 = 66,70 коп/т-км = 0,67 руб/т-км Расчет проектируемых тарифов для всех поясов расстояний и сравнение их с действующими производятся в таблице 10: Таблица 10
Вывод:
При разработке тарифов на перевозку груза и перегрузочные работы учитывается показатель себестоимость, снижение этого показателя приводит к снижению тарифов. Рассматривая таблицу № 10 можно сделать следующие выводы: - ставка по стояночным операциям в начальном и конечном пунктах не зависит от расстояния, при ее расчете учитывается время стоянки судна и суточное содержание судна на стоянке (ставка проектная ниже действующей на 206,89 руб/т) Отклонение можно объяснить тем, что помимо дифференциацией ставок за начально-конечные операции и родам грузов, в расчетах также приняты во внимание типы судов для перевозки навалочного груза и доля груза перевозимого в судах каждого типа. Элементная ставка себестоимости стояночных операций содержания судна ГТ 700 пр.276 проекта грузоподъемностью 700 т на стоянке низкая и составляет 509,59 руб/т: - суда ГТ 600 пр. 765– 523,93 руб/т - суда ГТ 350пр. 912- 623,11 руб/т Ставка по движенческим операциям (проектная) на 0,43 копейки ниже действительной. Ставка на движенческую операцию для судов ГТ 600 пр.765 и ГТ 700 пр.276 проектов составляют 0,18 руб/т и 0,16 руб/т, для судна ГТ 350 пр. 912 проекта 0,22 руб/т Действующие тарифы не учитывают долю груза, перевозимого в судах определенного типа, и, следовательно, действующие тарифы отличаются от проектируемых. Следует отметить, что отклонение может быть вызвано изменением уровня цен с 1989 г. «Поведение» графиков показано на графике. С увеличением расстояния разрыв между в нко проект и в нко дейст возрастает пропорционально расстоянию. Вследствие этого возрастает и разрыв между проектируемым тарифом и действительным (T = в нко + в дво ) Определение рациональной схемы доставки груза с помощью распределительного метода линейного программирования. Важной задачей работников речного транспорта является осуществление мер по увеличению объемов перевозок грузов и улучшению использования водных путей, так как большое значение для страны имеют преимущества речного транспорта. Чем меньше издержки транспорта, тем меньше цена товара. На речном транспорте проводят изыскания в целях установления рациональных направлений грузопотоков. Это сокращает транспортные затраты в народном хозяйстве, способствует дальнейшему увеличению объемов грузовых перевозок по водным путям, увеличению загрузки флота в порожних и малозагруженных направлениях, улучшает качественные показатели работы речного транспорта. Непрерывное развитие речного транспорта, увеличение объема перевозок грузов и пассажиров, расширение связей со смежными видами транспорта в значительной степени усложняют управление перевозочным процессом и требуют совершенствование методов управления. Обычно при определении рациональной схемы доставки грузов между пунктами производства потребления возникает огромное количество маршрутов следования грузов и решение задач обычным методом становится не возможным. Чтобы механизировать коммерческие операции и создать условия для развития АСУ грузовой и коммерческой работой, на речном транспорте интенсивно внедряются вычислительные машины. При решении транспортных задач необходимо применять математические методы и ЭВМ, это укорит процесс обработки информации и даст наиболее точные результаты. Наиболее простыми из математических методов являются методы линейного программирования, в частности распределительный или метод транспортной задачи. При оптимизации грузопотоков, в зависимости от поставленной цели можно применять критерии оптимальности: минимум эксплуатационных расходов, приведенных затрат, пробега и т. д. В курсовом проекте при решении транспортной задачи за критерий оптимальности принимается минимум транспортных издержек. Таким образом, грузопотоки необходимо распределить между пунктами отправления и назначения так, чтобы суммарная плата за доставку всех грузов, включая за погрузо-разгрузочные работы и за перевалку, была минимальной. Подготовка исходных данных . Задача решается для однородного груза – Картофель в мешках Исходными данными для решения задачи являются: m – пункты отправления груза, i = 1, 2, …, m i = 1 Тверь i = 2 Бологое i = 3 Новгород n – пункты назначения груза j = 1, 2, …, n j = 1 Санкт-Петербург j = 2 Архангельск j = 3 Череповец Qi – количество отправляемого груза из каждого пункта отправления, тыс.т Q1 = 50 Q2 = 20 Q3 = 30 Vj – количество прибывающего груза в каждый пункт назначения, тыс. т. V1 =40 V2 =25 V3 = 35 dij – плата за доставку одной тонны груза от каждого пункта отправления до каждого пункта назначения, руб. Необходимо найти плату за перевозку 1 тонны груза между корреспондирующими пунктами в зависимости от вида сообщения по соответствующим тарифным руководствам. Так как в имеющихся прейскурантах тарифы (ставки) на перевозку грузов устарели, их необходимо увеличить: на речном транспорте НКО – в 160 раз, ДВО – в 100 раз, а на железнодорожном – в 1000 раз. Сборы за перегрузочные работы увеличиваются на речном транспорте в 160 раз. С целью сопоставления значений уровень ставок за перегрузочные работы на железнодорожном транспорте условно устанавливается такой же, как и на речном транспорте (т.е. установленный по Прейскуранту № 14 – 01 с увеличением в 160 раз). Для определения провозной платы находятся тарифные расстояния по каждому маршруту или по отдельным его участкам. Расстояния по водным путям определяются по тарифному руководству № 4 – Р, железнодорожного пути по Тарифному руководству № 4, атласам и схемам. Значения принятых расстояний перевозок заносятся в таблицу 11. Расчетные расстояния, кмТаблица 11
Далее устанавливается плата за доставку груза по всем принятым вариантам (маршрутам). Результаты сводятся в таблицу 6 «Плата за доставку 1 т груза по маршрутам». В столбец «Тариф» (Т) вносится тариф за перевозку 1 т груза в соответствующем виде сообщения. При перевозке груза ПСЖДВС в числители приводится тариф за перевозку по речному транспорту (Т'), а в знаменателе – по железнодорожному участку (Т"). Условиями задания предусмотрено, что перевозки грузов осуществляются судовыми и повагонными партиями. I. Определение тарифа за перевозку 1 т груза и сборов за погрузо-разгрузочные работы (за 1 т груза) для прямого внутреннего водного сообщения: 1) Тверь-Санкт-Петербург Московское-СЗП (1334 км) НКО 23 => 2,88*160 =460,80 руб./т ДВО 19=> 8,84*100 =884,0руб./т-км Сборы за погрузку 4,00*160 =640,00руб./т 4,00*160 =640,00руб./т Т = 460,8 +884 = 1344,80 руб./т С =640,00 +640,00 =1280 руб./т d = 1344,80 +1280= 2624,80руб./т 2) Тверь-Архангельск Московское-Северное (1655 км) НКО 23 => 2,88*160 =460,80 руб./т ДВО 19=> 11,01*100 =1101,0руб./т-км Сборы за погрузку 4,00*160 =640,00руб./т 4,00*160 =640,00руб./т Т = 460,8 +1101 = 1561,80 руб./т С =640,00 +640,00 =1280 руб./т d = 1561,80 +1280= 2841,80руб./т 3) Тверь-Череповец Московское-СЗП (479 км) НКО 23 => 2,88*160 =460,80 руб./т ДВО 19=> 3,10*100 = 310,0руб./т-км Сборы за погрузку 4,00*160 =640,00руб./т 4,00*160 =640,00руб./т Т = 460,8 + 310 = 770,80 руб./т С =640,00 +640,00 =1280 руб./т d = 770,80 +1280= 2050,80руб./т 4) Новгород-Санкт-Петрбург СЗП (404 км) НКО 22 => 2,62*160 =419,20 руб./т ДВО 19=> 2,70*100 = 270,0руб./т-км Сборы за погрузку 5,00*160 =800,00руб./т 5,00*160 =800,00руб./т Т = 419,2 + 270 = 689,20 руб./т С =800,00 +800,00 =1600 руб./т d = 689,20 +1600= 2289,20руб./т 5) Новгород-Архангельск СЗП-Северное (2131 км) НКО 22 => 2,62*160 =419,20 руб./т ДВО 19=> 14,34*100 =1434,0руб./т-км Сборы за погрузку 5,00*160 =800,00руб./т 5,00*160 =800,00руб./т Т = 419,2 + 1434 = 1853,20 руб./т С =800,00 +800,00 =1600 руб./т d = 1853,20 +1600= 3453,20руб./т 6) Новгород-Череповец СЗП (894 км) НКО 22 => 2,62*160 =419,20 руб./т ДВО 19=> 6,00*100 = 600,0руб./т-км Сборы за погрузку 5,00*160 =800,00руб./т 5,00*160 =800,00руб./т Т = 419,2 + 600 = 1019,20 руб./т С =800,00 +800,00 =1600 руб./т d = 1019,20 +1600= 2619,20руб./т II. Определение тарифа за перевозку 1 т груза и сборов за погрузо-разгрузочные работы (за 1 т груза) для прямого железнодорожного сообщения : 1. Тверь-Санкт-Петербург (483 км) T = 429* 1000 / 60 = 7150 руб./т c = 640+ 640=1280,0 руб./т d = 7150,00 +1280,0 = 8430,00 руб./т 2. Тверь-Архангельск (1280 км) T = 866* 1000 / 60 = 14433,33 руб./т c = 640+ 640=1280,0 руб./т d = 14433,33 +1280,0 = 15713,33 руб./т 3. Тверь-Череповец (722 км) T = 567* 1000 / 60 = 9450 руб./т c = 640+ 640=1280,0 руб./т d = 9450,00 +1280,0 = 10730,00 руб./т 4. Бологое-Санкт-Петербург (319 км) T = 329* 1000 / 60 = 5483,33 руб./т c = 640+ 640=1280,0 руб./т d = 5483,33 +1280,0 = 6763,33 руб./т 5. Бологое-Архангельск (1225км) T = 838* 1000 / 60 = 13966,67 руб./т c = 640+ 640=1280,0 руб./т d = 13966,67 +1280,0 =15246,67 руб./т 6. Бологое-Череповец (558 км) T = 463* 1000 / 60 = 7716,67 руб./т c = 640+ 640=1280,0 руб./т d = 7716,67 +1280,0 = 8996,67 руб./т 7. Новгород-Санкт-Петербург (181 км) T = 259* 1000 / 60 = 4316,67 руб./т c = 800+ 800=1600,0 руб./т d = 4316,67 +1600,0 = 5916,67 руб./т 8. Новгород-Архангельск (1295 км) T = 866* 1000 / 60 = 14433,33 руб./т c = 800+ 800=1600,0 руб./т d = 14433,33 +1600,0 = 16033,33 руб./т 9. Новгород-Череповец (537 км) T = 446* 1000 / 60 = 7433,33 руб./т c = 800+ 800=1600,0 руб./т d = 7433,33 +1600,0 = 9033,33 руб./т III. Определение тарифа за перевозку 1 т груза и сборов за погрузо-разгрузочные работы (за 1 т груза) для прямого смешанного железнодорожного и водного сообщения : 1) Тверь-Санкт-Петербург (перевалка в Череповец) Водный путь: Тверь-Череповец (479 км) НКО 23 => 2,88 * 160 = 460,80 руб./т ДВО 19 => 3,10 * 100 = 310руб./т T1 = 770,8 руб./т Ж/Д путь: Череповец-Санкт-Петербург (475 км) T2 = 413 *1000 / 60 =6883,33 руб./т с = 640+ 640+1024=2304,00 руб./т d =9958,13 руб./т 2) Тверь-Архангельск (перевалка в Череповец) Ж/Д путь: Тверь-Череповец (722 км) T1 = 567 *1000 / 60 =9450,00 руб./т Водный путь: Череповец-Архангельск (1176 км) НКО 22 => 2,62 * 160 = 419,20 руб./т ДВО 19 => 7,84 * 100 = 784руб./т T2 =1203,2 руб./т с = 800+ 800+1280=2880,00 руб./т d = 13533,20 руб./т 3) Бологое-Санкт-Петербург (перевалка в Новгород) Ж/Д путь: Бологое-Новгород (275 км) T1 = 304 *1000 / 60 =5066,67 руб./т Водный путь: Новгород-Санкт-Петербург (404 км) НКО 22 => 2,62 * 160 = 419,20 руб./т ДВО 19 => 2,70 * 100 = 270руб./т T2 = 689,2 руб./т с = 800+ 800+1280=2880,00 руб./т d = 8635,87 руб./т 4) Бологое-Архангельск (перевалка в Череповец) Ж/Д путь: Бологое-Череповец (558 км) T1 = 463 *1000 / 60 =7716,67 руб./т Водный путь: Череповец-Архангельск (1176км) НКО 22 => 2,62 * 160 = 419,20 руб./т ДВО 19 => 7,17 * 100 = 717руб./т T2 =1136,2 руб./т с = 800+ 800+1280=2880,00 руб./т d =11732,87 руб./т 5) Бологое-Череповец (перевалка в Тверь) Ж/Д путь: Бологое-Тверь (164 км) T1 = 248 *1000 / 60 =4133,33 руб./т Водный путь: Тверь-Череповец (479 км) НКО 22 => 2,62 * 160 = 419,20 руб./т ДВО 19 => 3,10 * 100 = 310руб./т T2 = 729,2 руб./т с = 800+ 800+1280=2880,00 руб./т d = 7742,53 руб./т 6) Новгород-Архангельск (перевалка в Череповец) Ж/Д путь: Новгород-Череповец (537 км) T1 = 446 *1000 / 60 =7433,33 руб./т Водный путь: Череповец-Архангельск (1176км) НКО 22 => 2,62 * 160 = 419,20 руб./т ДВО 19 => 7,84 * 100 = 784руб./т T2 =1203,2 руб./т с = 800+ 800+1280=2880,00 руб./т d =11516,53 руб./т 7) Новгород-Череповец (перевалка в Тверь) Ж/Д путь: Новгород-Тверь(439 км) T1 = 396 *1000 / 60 =6600,00 руб./т Водный путь: Тверь-Череповец (479 км) НКО 23 => 2,88 * 160 = 460,80 руб./т ДВО 19 => 3,10 * 100 = 310руб./т T2 = 770,8 руб./т с = 800+ 800+1280=2880,00 руб./т d =10250,80 руб./т Таблица 12 Плата за доставки 1 тонны груза по маршрутам. Проанализировав найденные платы за доставку 1 тонны груза можно сделать следующие выводы: Экономически нецелесообразно использовать прямое железнодорожное сообщение между пунктами, где существует прямое водное сообщение, хотя расстояние по железной дороге гораздо меньше расстояния по водным путям. Перевозки в ПСЖДВС выгоднее, так как большую часть пути осуществляется ПВВ сообщением и плата за доставку 1 тонны груза в прямом водном сообщении гораздо меньше, чем в прямом железнодорожном сообщении, а расстояния в ПВВ сообщении больше, чем в ПЖД сообщении. Отсюда следует, что водный транспорт самый выгодный транспорт, где есть прямые водные пути, т. к. можно перевезти большее количество груза за меньшую плату. Далее выбираются минимальные значения платы за доставку 1 т груза между каждыми двумя корреспондирующими пунктами. Выбранные минимальные значения di сводятся в таблицу 13. Таблица 13 Минимальные значения плат за доставку 1 тонны груза
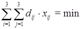
Общая постановка и решение транспортной задачи. Общая постановка задачи выглядит следующим образом: Цель задачи:
т.е. необходимо найти такую схему доставки грузов, которая обеспечит минимальные транспортные издержки, где i – индекс пунктов отправления груза j – индекс пунктов назначения груза Х ij – количество груза, перевозимого от пункта отправления до пункта назначения, т . При решении задачи должны соблюдаться следующие условия допустимости (ограничения) : 1) т.е. из всех пунктов отправления в каждый пункт назначения должно быть завезено столько груза, сколько предусмотрено планом. V1 = 40 V2 = 25 V3 = 35 2) т.е. во все пункты назначения из каждого пункта отправления необходимо вывезти весь запланированный к перевозке груз. Q1 = 50 Q2 = 20 Q3 = 30 3) Хij ≥ 0 , i = 1, 2, 3; j = 1, 2, 3. т.е. объем перевозок между любыми пунктами не должен быть величиной отрицательной. Кроме того, необходимо, чтобы количество заполненных клеток равнялось m + n – 1 = 5, т.е. 3 + 3 – 1 = 5. Если у нас количество заполненных клеток окажется меньше, чем m + n – 1 < 5, тогда количество недостающих заполненных клеток необходимо заполнить так называемым значащим «0». Если же количество клеток окажется больше, чем m + n – 1 > 5, тогда в каких-то пунктах будут получаться двойное значения оценочных чисел и задачу решить не возможно, необходимо перераспределить план таким образом, чтобы количество заполненных клеток равнялось m + n – 1 = 5. Условия оптимальности: Схема доставки груза будет оптимальной, если оценочные числа пунктов отправления (а1 , а2 , а3 ) и оценочные числа пунктов назначения груза (в1 , в2 , в3 ) будут удовлетворять следующим условиям: 1) в j – а i = dij для Xij > 0 , т.е. для пунктов, между которыми осуществляются перевозки; 2) в j – а i ≤ dij для Xij = 0 , т.е. для пунктов, между которыми перевозок нет. С помощью первого уравнения условий оптимальности определяются оценочные числа, а с помощью второго – проверяется оптимальность плана доставки грузов
Исходные данные: 1. 3 пункта отправления груза i = 1, 2, 3 2. 3 пункта назначения груза j = 1, 2, 3 3. Количество груза в пунктах отправления (Qi ), тыс. т . Q1 = 50 Q2 = 20 Q3 = 30 4. Количество груза в пунктах назначения (Vj ), тыс. т . V1 =40 V2 = 25 V3 =35 5. Стоимость доставки 1 т груза (руб/т ) dij Алгоритм решения задачи 1. Заполняется матрица (таблица 14) с исходными данными. Таблица 14 Матрица решения задачи.
Количество заполненных клеток соответствует допустимым условиям и равно m + n – 1 = 5 2. Пользуясь первым условием оптимальности плана вj – аi = dij , через заполненные клетки определяем оценочные числа аi и вj . Следует учесть, что устанавливать оценочные числа можно только через заполненные клетки, где Хij > 0. При этом произвольно принимаем значение a 1 =1000, тогда 1) b2 – а1 = 2841,8=> b2 =3841,8 2) b3 – а1 = 2050,8=> b3 =3050,8 3) b1 – а2 = 6783,3=> а2 =-3062,5 4) b3 – а3 =1619,2 => а3 =1431,6 5) b1 – а3 = 2289,2=> b1 = 3720,8 Таким образом найденные оценочные числа равны: b1 =3720,8 b2 =3841,8 b3 =3050,8 а1 =1000 а2 =-3062,5 а3 =1431,6 1. Проверим оптимальность первоначального плана по второму условию оптимальности: вj – аi ≤ dij для Xij = 0 (для пустых клеток). b1 - а1 ≤ 2720,8 = 2720,8 нарушений нет b2 – а2 ≤ 11732,8 < 6904,3 нарушений нет b2 – а3 ≤ 7742,5 < 6113,3 нарушений нет b2 – а3 ≤ 3453,2 < 2410,2 нарушений нет Данный план является оптимальным. Вывод: Для найденной конечной схемы грузопотоков подсчитываем сумму транспортных издержек: Do = 25*2841,8 +25*2050,8+20*6783,3 +20*2289,2 +10*2619,2= =329957 тыс.руб. В соответствии с оптимальной схемой грузопотоков следует, что: 1. из Твери в Архангельск должно быть доставлено 20 тыс. тонн груза в ПВВ; 2. из Твери в Череповец должно быть доставлено 20 тыс. т. груза по ПВВ; 3. из Бологое в Санкт-Петербург должно быть доставлено 20 тыс. т. груза во ПЖД; 4. из Новгород в Санкт-Петербург должно быть доставлено 20 тыс. т. груза по ПВВ; 5. из Новгород в Череповец должно быть доставлено 10 тыс. т. груза по ПВВ. Заключение В ходе выполнения курсового проекта были закреплены и углубленны знания о роли транспортных тарифов, принципах построения и методике проектирования тарифов речного транспорта, по расчетам провозных платежей и дополнительных сборов на различных видах транспорта и применению математических методов для обоснования оптимальных маршрутов доставки грузов При выполнении курсового проекта приобрелись навыки самостоятельной работы с нормированием документами, правилами, руководствами, прейскурантами, типовыми методиками и другой справочной литературой. Список используемой литературы: 1. Мацвейко А.Н., Рукавишникова Н.П. Система тарифов на доставку грузов смежными видами транспорта. Часть 1 (Морской транспорт). Текст лекций/ СПГУВК. СПб., 1998. 64 с. 2. Бачурин В.А. Управление грузовыми перевозками на водном транспорте. / Учебное пособие. - СПб.: СПбГУВК, 1997-268с. 3. Прейскурант №10-01. Тарифы на грузовые железнодорожные перевозки. М.: Прейскурантиздат, 1989. Ч.1.-299с., ч.2.-319с. 4. Прейскурант №14-01. Тарифы на перевозку грузов и буксировку плотов речным транспортом. М.: Прейскурантиздат, 1989.-477с. 5. Тарифное руководство №4-Р. Расстояние между тарифными пунктами речных пароходств Центрального бассейна. Л.: Транспорт, 1987.-200с. Тарифное руководство №4. Алфавитный список и расстояния между железнодорожными станциями. М.: Транспорт, 1965.Кн.: 1-3.-560с. |
||||||||||||||||||||||||||||||||||||||||||||||||||||||||||||||||||||||||||||||||||||||||||||||||||||||||||||||||||||||||||||||||||||||||||||||||||||||||||||||||||||||||||||||||||||||||||||||||||||||||||||||||||||||||||||||||||||||||||||||||||||||||||||||||||||||||||||||||||||||||||||||||||||||||||||||||||||||||||||||||||||||||||||||||||||||||||||||||||||||||||||||||||||||||||||||||||||||||||||||||||||||||||||||||||||||||||||||||||||||||||||||||||||||||||||||||||||||||||||||||||||||||||||||||||||||||||||||||||||||||||||||||||||||||||||||||||||||||||||||||||||||||||||||||||||||||||||||||||||||||||||||||||||||||||||||||||||||||||||||||||||||||||||||||||||||||||||||||||||||||||||||||||||||||||||||||||||||||||||||||||||



Тт км
Sт
в
дв i
– ставка по движенческим операциям на i
-ом участке, руб/ткм
;
однообразные тарифы – тарифы, в которых ставка постоянна с увеличением расстояния.
дифференцированные тарифы – с увеличением расстояния ставка на один километр уменьшается.



,