Реферат: Типовой расчет по ЭМММ
|
Название: Типовой расчет по ЭМММ Раздел: Рефераты по математике Тип: реферат | |||||||||||||||||||||||||||
| Типовой расчет Решение задач по дисциплине ЭМММ Вариант №23 Выполнил: Проверил: Екатеринбург 2009 Мат. модель ЗЛП называется стандартной, если система ограничений представлена в виде неравенств, а функция минимизируется или максимизируется
- система ограничений - целевая функция X=(x1,x2) – основное (оптимальное) решение
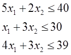
Целевая f(x) является линейной, поэтому частные производные отличны от нуля, т к является const, следовательно экстремальных значений внутри области ограничений нет. Если функция имеет оптимальное значение, то оно достигается на границах области. Задача: Предприятие выпускает 2 вида продукции А1 и А2, использую при этом 3 вида сырья S1, S2, S3. Известны запасы сырья- b1, b2, b3. Расход сырья вида Si на производство продукции Aj=aij.Доход от реализации одной единицы продукции Aj составляет Сj у.е. Требуется составить такой план производства продукции, при котором доход будет максимален. Решить задачу графическим методом; составить каноническую модель задачи и решить её симплекс методом; Найти двойственные оценки цен на сырье из решения симметричной двойственной задачи по теоремам двойственности.
Решение задачи графическим методом
L1: 5х + 2х = 40 | : 40 x / 8 + x / 20 = 1 L2 : x + 3x =30 | : 30 x / 30 + x / 10 = 1 L3 : 4х + 3х = 39
Взяла линейку и двигаю перпендикулярно к выходу из области.
Найдем координаты точки Е = L2 L3 x + 3x = 30 4x + 3x = 39 -3x = -9 x = 3 3 + 3x = 30 x = 9 X(3;9) f(X) = 2*3+3*9=33 y.e. Проверим: F= L1 L3 5x + 2x = 40 | *4 4x + 3x = 39 | * 5 20x + 8x = 160 20x + 15x = 195 -7x = -35 x = 5 5x + 2*5 = 40 5x = 30 x = 6 X(6;5) f(X) = 2*6 + 3*5 = 27 y.e. f(3;9) > f(6;5) Ответ: Xmax = (3;9) f(Xmax) = 33 y.e. |

