Курсовая работа: Некоторые приложения определенного интеграла в математике
|
Название: Некоторые приложения определенного интеграла в математике Раздел: Рефераты по математике Тип: курсовая работа | |||
| Некоторые приложения определенного интеграла в математике Курсовая работа студента гр. МТ-21 Нургалиев А.З. Павлодарский университет Павлодар 2005 год. 1. Введение. В курсовой работе рассмотрены вопросы некоторого приложения определенного интеграла. Цель: изучить актуальность применения определенного интеграла и широту его использования в математике, оценить ее практическую и теоретическую значимость. При разработки данного вопроса, был также рассмотрен несобственный интеграл, как частный случай определенного интеграла, его определение и виды. 2. Определенный интеграл. Пусть функция f(x) задана в некотором промежутке [a,b]. Разобьем этот промежуток произвольным образом на части, вставив между a и b точки деления:
Возьмем в каждом из частных промежутков
и составим сумму
Говорят, что сумма σ при λ→0 имеет (конечный) предел I, если для каждого числа ε>0 найдется такое число δ>0, что, лишь только λ<δ (т.е. основной промежуток разбит на части, с длинами
выполняется при любом выборе чисел Записывают это так:
Этому определению «на языке ε-δ», как обычно, противопоставляется определение «на языке последовательностей». Представим себе, что промежуток [α,b] последовательно разбивается на части, сначала одним способом, затем – вторым, третьим и т.д. Такую последовательность разбиений промежутка на части мы будем называть основной, если соответствующая последовательность значений Равенство (1) можно понимать теперь и в том смысле, что последовательность значений суммы σ, отвечающая любой основной последовательности разбиений промежутка, всегда стремится к пределу I, как бы ни выбирать при этом Второе определение позволяет перенести основные понятия и предложения теории пределов и на этот новый предел. Конечный предел I суммы σ при λ→0 называется определенным интегралом функции f(x) в промежутке от α до b и обозначается символом
в случае существования такого предела функции f(x) называется интегрируемой в промежутке [α,b]. Числа α и b носят название, соответственно, нижнего и верхнего пределов интеграла. При постоянных пределах определенный интеграл представляет собой постоянное число. 3. Несобственные интегралы. Пусть f непрерывна на луче на луче
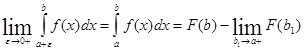
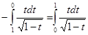
то этот предел обозначается Несобственные интеграл вида Здесь существенно, что особой точкой функции t является именно конец (левый или правый) отрезка [a,b]. Если особой точкой t(x) (как в разобранном выше примере) является внутренняя точка с интервала (a,b), то Пример. Вычислим Пусть
Другим видом несобственного интеграла является интеграл Этот интеграл существует (сходится), если существует:
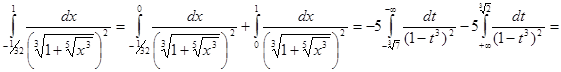
Пример.
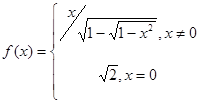
f(x) непрерывна на [0,1]. После замены
Несобственный интеграл может появится и при интегрировании по частям.
т.е.
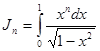
где 4.1.Формула Валлиса. Для вывода формулы Валлиса необходимо вычислить следующий интеграл:
Интегрируя по частям, найдём
Двойная подстановка обращает в нуль. Заменяя
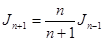
откуда рекуррентная формула:
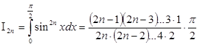
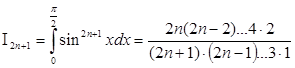
по которой интеграл
если же m=2n+1, то
Такие же точно результаты получаются и для Для более короткой записи найденных выражений воспользуемся символом m!!(произведение натуральных чисел, не превосходящих m и одной с ним чётности). Тогда можно будет написать
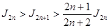
(1) Из формулы (1) можно вывести знаменитую формулу Валлиса (J. Wallis). Предполагая 0<x<
Проинтегрируем эти неравенства в промежутке от 0 до
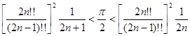
Отсюда, в силу (1), находим
или
Так как разность между двумя крайними выражениями
очевидно, стремится к 0 при
или
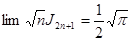
Отсюда в свою очередь вытекает
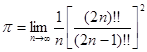
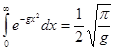
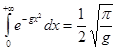
Эта формула носит название формулы Валлиса. Она дает довольно простое выражение числа p через натуральные числа. Теоретически этот результат интересен. Что касается ценности этой формулы как средства фактического вычисления p, то она невелика. Именно, чтобы получить удовлетворительную точность, надо взять n довольно большим, а тогда выражение 4.2. Применение формулы Валлиса для интеграла Эйлера-Пуассона. Интеграл Эйлера-Пуассона имеет вид:
Приведём метод его нахождения. Мы знаем что положив:
имеем соотношение:
отсюда заключаем:
что дает:
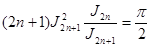
Установив это, замечаем, что предел отношения
или:
Мы видим, следовательно, что Установив это, получаем равенство:
которое нам дает, если заставим n бесконечно возрастать:
и, следовательно:
Полагая теперь
заменив затем z на
и, следовательно, при бесконечном n
Достаточно затем положить
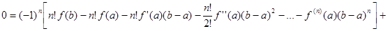
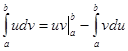
4.3. Вывод формулы Тейлора с остаточным членом в интегральной форме. Формула интегрирования по частям: а обобщенная формула примет вид:
Положим, что в формуле (1)
Отсюда получается формула Тейлора с дополнительным членом в виде определенного интеграла
Заменим здесь b через x, а
Новое выражение для дополнительного члена, не содержит никаких неизвестных чисел. Если угодно, из этого выражения можно было бы вывести и уже знакомые нам формы дополнительного члена. Например, воспользовавшись тем, что множитель
где с содержится в промежутке 5. Заключение. В курсовой работе даны определения определенного и несобственного интеграла и его виды, рассмотрены вопросы некоторого приложения определенного интеграла. В частности, формула Валлиса, имеющая историческое значение, как первое представление числа p в виде предела легко вычисляемой рациональной варианты, а также вычисление интеграла Эйлера-Пуассона с помощью этой формулы. Рассмотрен способ получения формулы Тейлора с дополнительным членом в интегральной форме. Формулой Валлиса в теоретических исследованиях пользуются и сейчас (например, при выведении формулы Стирлинга). Что касается фактического приближенного вычисления p, то существуют методы, гораздо более быстро ведущие к цели. Интеграл Эйлера-Пуассона применяется при вычислении более сложных несобственных интегралов, встречается в теории вероятности. Новое выражение для дополнительного члена в формуле Тейлора интересно тем, что оно не содержит никаких неизвестных чисел. Данную курсовую работу можно использовать в качестве лекционного и справочного материала. Список литературы Фихтенгольц Г. М. «Курс дифференциального и интегрального исчисления»(II том) – Москва, 1970г. Пискунов Н.С. «Дифференциальное и интегральное исчисления»(I том) - Москва, 1970г. Эрмит Ш. «Курс анализа» - Москва, 1936г. |
;
,
и называется сходящимся несобственным интегралом.
и аналогичный интеграл
разбивается на
и
, и переход к аргументу t делается раздельно в каждом из слагаемых.
. 




, если 
.
.
,
(при натуральном m).
.
,
.
(1) 
.
,

;
(т.к.
),
;
.
.
,
. (1)
.
.
.
,