Реферат: Методика составления тестовых заданий по курсу Механика
|
Название: Методика составления тестовых заданий по курсу Механика Раздел: Рефераты по информатике Тип: реферат | ||
| МИНИСТЕРСТВО ОБРАЗОВАНИЯ рОССИйСКОЙ фЕДЕРАЦИИ
Мордовский государственный университет имени Н. П. Огарева ИНСТИТУТ ФИЗИКИ И ХИМИИ КАФЕДРА ОБЩЕЙ ФИЗИКИ УТВЕРЖДАЮ:
Заведующий кафедрой
к. ф. - м. н., доцент __________ НИЩЕВ К.Н. КВАЛИФИКАЦИОННАЯ РАБОТА Методика составления тестовых заданий по курсу «Механика» Автор квалификационной работы: КОЗЛОВ А.А.
САРАНСК 2001г. СОДЕРЖАНИЕ
ВВЕДЕНИЕ 1. ЛИТЕРАТУРНЫЙ ОБЗОР 1.1. ПРЕДМЕТ И ФУНКЦИИ ПЕДАГОГИЧЕСКОГО КОНТРОЛЯ 1.2. ТЕСТЫ КАК СРЕДСТВО ОБЪЕКТИВНОЙ ДИАГНОСТИКИ КАЧЕСТВА ЗНАНИЙ 1.2.1. Организация тестирующих программ 1.2.2. Технология создания компьютерных тестов 1.3. КРИТЕРИИ КАЧЕСТВА ТЕСТОВ 1.3.1. Надежность тестов 1.3.2.Валидность тестов 2. РАЗРАБОТКА ПАКЕТА ТЕСТОВЫХ ЗАДАНИЙ ДЛЯ ОПЕРАТИВНОГО КОНТРОЛЯ УРОВНЯ ЗНАНИЙ СТУДЕНТОВ ПО КУРСУ «МЕХАНИКА ВЫВОДЫ СПИСОК ИСПОЛЬЗОВАННОЙ ЛИТЕРАТУРЫ
ВВЕДЕНИЕ Компьютерные технологии в последние годы прочно вошли в арсенал методов обучения. Сегодня уже совершено ясно, что решение проблемы улучшения качества, повышения активности и обеспечения индивидуализации обучения достижимо лишь на основе органичного применения компьютерной техники в учебном процессе наряду с традиционными методами педагогики. Информационные возможности и быстродействие современных ПЭВМ открывают неограниченный простор для педагогического творчества преподавателей, позволяя модернизировать старые и внедрять новые технологии и формы обучения. Анализ мировой педагогической практики позволяет выделить следующие классы педагогических программных продуктов: · компьютерные учебники; · обучающие программы; · имитирующие и моделирующие тренажеры; · электронные справочники, словари, энциклопедии; · системы самоподготовки и самоконтроля; · системы контроля знаний и тестирования. Основными преимуществами компьютерных систем контроля качества знаний является их оперативность и технологичность обработки данных тестирования. Целью настоящей работы является создание методического обеспечения для допускового лабораторного контроля и текущей академической деятельности студентов по курсу «Механика». 1. ЛИТЕРАТУРНЫЙ ОБЗОР 1.1. ПРЕДМЕТ И ФУНКЦИИ ПЕДАГОГИЧЕСКОГО КОНТРОЛЯ Педагогический контроль - это система научно-обоснованной проверки результатов образования и воспитания студентов. Являясь важной частью процесса подготовки специалистов, контроль сам по себе не отменяет и не заменяет каких-либо методов обучения и воспитания; он всего лишь помогает выявить достижения и недостатки. В более узком значении, применительно к процессу подготовки специалистов, контроль означает выявление, измерение, оценку знаний, умений и навыков; он представляет взаимосвязанную и взаимообусловленную деятельность преподавателя и обучаемого.[1] Предмет педагогического контроля в ВУЗе - это оценка результатов организованного в нем педагогического процесса, то есть это процесс измерения уровня знаний студентов. Этот процесс основан на принципах метрологии, что позволяет выделить в нем следующие этапы: · построение модели объекта измерения (состояния знаний обучаемого); · разработка методики измерения; · создание средств измерения (тестов, контрольных заданий); · построение измерительной шкалы и выбор плана контроля знаний. В зависимости от времени обучения педагогический контроль делится на текущий, тематический, рубежный, итоговый и заключительный. Текущий контроль мотивирует обучение в результате осуществления дифференцированного подхода к успевающим и неуспевающим студентам. Используются устный опрос, письменные контрольные работы, ознакомление с дневниковыми записями и документами, с текущими отчетами по учебной и производственной практике, с данными самоконтроля. Цель тематического контроля — оценка результатов изучения определенного раздела или темы программы. Осуществление этапного контроля, зачеты по разделам программы, степень готовности курсовых проектов, дипломных работ — задача рубежного контроля, в котором выявляются учебные достижения каждого студента перед тем, как преподаватель переходит к изучению следующей части учебного материала. В текущем, тематическом и рубежном контроле целесообразно как можно шире использовать стандартные тестовые программы и технические средства, позволяющие каждому студенту самому выявить имеющиеся у него пробелы в знаниях и принять меры по их устранению. Итоговый контроль осуществляется преподавателем после прохождения всего учебного курса. Данные итогового контроля позволяют оценить работу и педагогов, и студентов. Здесь подводится итог изучения учебной дисциплины, выявляются индивидуальные достижения, Способности отдельных студентов углубленно изучать данный предмет. На старших курсах оцениваются результаты научно-исследовательской практики, дипломной работы. Заключительный контроль проводится обычно в составе комиссии, которая призвана коллегиально принять окончательное решение о результатах подготовки. Это относится к экзаменам при переводе студентов с курса на курс, к выпускным экзаменам, к защите диплома или дипломного проекта. Присвоение квалификации производится на основании решения государственной экзаменационной, комиссии. Выделяют четыре основные функции педагогического контроля в ВУЗе: диагностическую, обучающую, организующую, воспитывающую. Диагностическая функция вытекает из самой сущности контроля, нацеленного на выявление интересующего явления, его оценки и принятие по итогам контроля управленческого решения. Педагогическая диагностика – это важнейшая часть научной системы педагогического контроля, которая непосредственно связана c процессом выявления уровня знаний, умений, навыков, воспитанности. Обучающая функция. Появление программированного обучения, а вместе с этим и программированного контроля знаний повлекло за собой существенное расширение функций контроля; последний стал органичной частью учебного процесса, незаменимым средством обеспечения обратной связи между студентом и преподавателем. Обучение стало дифференцированным в полном смысле этого слова: каждый студент приступает к изучению нового материала независимо от других только после освоения предыдущего. В случае неправильного ответа на контрольные вопросы он возвращается к повторному изучению тех разделов курса, которые оказались им неосвоенными. Тем самым индивидуализируется темп обучения: более способные двигаются быстрее, менее способные вынуждены прилагать дополнительные усилия для преодоления возникающих затруднений. Организующая функция педагогического контроля проявляется в его влиянии на организацию всего учебно-воспитательного процесса. В зависимости от результатов контроля принимается решение о необходимости проведения дополнительных занятий и консультаций, об оказании помощи неуспевающим студентам, о поощрении хорошо потрудившихся студентов и педагогов. Центральным организующим моментом педагогического процесса является активизация, под которой понимается целеустремленная деятельность преподавателя, направленная на разработку и использование такого содержания, форм, методов, приемов и средств обучения, которые способствуют повышению интереса, активности, творческой самостоятельности студента в усвоении знаний, формировании умений и навыков, применении их на практике. Воспитывающая функция. Хорошо организованный педагогический контроль обладает хорошим воспитательным эффектом. Уже не раз отмечалось, что проверка помогает совершенствовать знания, делает их более ясными и систематизированными, содействует развитию памяти и мышления. В учебно-воспитательном процессе все четыре рассмотренные функции, как правило, тесно взаимосвязаны. Например, семинары выполняют диагностическую, обучающую и воспитывающую функции, метод программированного обучения – обучающую, организующую и диагностическую; вместе с тем, имеются формы контроля, в которых четче проявляется та или иная ведущая функция. Так, зачеты, экзамены, коллоквиумы и тестовые проверки выполняют преимущественно диагностическую функцию. Это нередко расценивалось как недостаток. На самом деле монофункциональность метода часто оборачивается преимуществами в достижении качества контроля, быстроты, экономичности, более эффективного выполнения той функции, для которой тот или иной метод специально разрабатывался.[2] 1.2. ТЕСТЫ КАК СРЕДСТВО ОБЪЕКТИВНОЙ ДИАГНОСТИКИ КАЧЕСТВА ЗНАНИЙ Тест — система заданий специфической формы, возрастающей трудности, позволяющая качественно оценить структуру знаний и эффективно измерить уровень подготовленности студентов. Тестирование является одной из форм массового контроля знаний студентов, который осуществляет преподаватель после изучения ими всей программы учебной дисциплины. Тесты представляют собой задания, сформулированные в форме утверждений, которые в зависимости от ответов испытуемых могут превращаться в истинные или ложные высказывания.[3] 1.2.1. Организация тестирующих программ.
Возможны две формы организации тестов: · организация теста по принципу «выбери ответ из предлагаемых вариантов» обеспечивает относительно простой диалог с тестируемым и, как следствие, быстроту прохождения теста, так как не требует особых навыков работы на компьютере. Для выдачи ответа достаточно нажать клавишу с номером правильного ответа, выбрав его среди предложенных. Следующее преимущество в простом критерии правильности ответа: совпадение номеров действительно правильного ответа на вопрос теста и ответа, данного тестируемым. Однако такая организация теста имеет и недостатки: наличие «скрытой» подсказки на вопрос – выбирать ответ гораздо легче, чем писать его полностью самостоятельно; · организация теста по принципу «напиши правильный ответ» предполагает хорошую начальную подготовку испытуемого как пользователя персонального компьютера. Решение этих технических проблем может отвлечь испытуемого от предметной сути работы с программой. Таким образом, скорость прохождения теста во многом зависит от развития навыков работы за компьютером. Помимо этого, ответ на каждый вопрос теста может иметь различную степень подробности.[4] 1.2.2. Технология создания компьютерных тестов.
Учебный процесс, как сложная система, включает в себя четыре составные части: учебный план, структуру и содержание курса, обучающую среду (педагог, средства и технологии обучения) и контроль образовательного процесса. Первые две части образуют педагогическую модель знаний предметной области. Контроль обучения осуществляется путем оценки соответствия между педагогической моделью знаний и личностной моделью знаний обучаемого с помощью промежуточных и итоговых измерений уровней знаний, умений и навыков личностной модели знаний. Педагогическая модель знаний является, как правило, линейной структурой которую можно представить в виде совокупности последовательно взаимосвязанных модулей знаний. Каждый модуль предполагает входящую информацию из других модулей и генерирует собственные новые понятия и свойства. Модуль может быть представлен в виде базы данных, базы знаний, информационной модели. Модульное представление знаний помогает: · организовать чёткую систему контроля с помощью компьютерного тестирования, поскольку допускает промежуточный контроль (тестирование) каждого модуля и итоговый по всем модулям и их взаимосвязям; · осуществлять наполнение каждого модуля педагогическим содержанием; · выявлять и учитывать семантические связи модулей и их отношения с другими предметными областями. Проектирование модели знаний играет важную роль для образовательного процесса. От этого, в конечном счете, зависит обучающая среда: преподаватель с его квалификацией и опытом, средства и технологии обучения, а главное – контроль обучения с помощью компьютерных тестов. Главная цель тестирования – обнаружение взаимного несоответствия этих моделей и оценка уровня их несоответствия. Сложной задачей эксперта по контролю является задача разработки тестовых заданий, которые позволяют максимально объективно оценить уровень соответствия или несоответствия педагогической модели знаний и личностной модели знаний. Построение компьютерных тестов можно осуществить по следующим последовательным шагам: 1. формализация экспертной целевой модели знаний; 2. нисходящее проектирование тестового пространства; 3. формирование и наполнение тестовых заданий; 4. формирование полного компьютерного теста; 5. тестовый эксперимент; 6. выбор эффективного теста; 7. анализ, корректировка и доводка теста до вида эксплуатации. На рис.1.1 приводится схема создания теста. Множество тестовых заданий (тестовое пространство), согласно принципу исчерпывающего тестирования, вообще говоря, может быть бесконечным. Однако очевидно, что существует конечное подмножество тестовых заданий, использование которых позволяет с большой вероятной точностью оценить соответствие личностной модели знаний экспертным моделям знаний (полный тест). Важнейшим элементом в подготовке тестов выступает класс эквивалентности тестовых заданий. Для создания тестов по предметной области существуют и разрабатываются специальные инструментальные программы-оболочки, позволяющие вырабатывать компьютерные тесты путём формирования базы данных из набора тестовых заданий. В большинстве случаев тестовые оболочки (ТО) построены на принципах однозначного распознавания ответов тестируемого: выбор, шаблонный ответ, конструирование ответа. Другим важным свойством ТО должно быть наличие возможности передачи результатов и протокола тестирования какому-либо статистическому пакету для дальнейшей обработки, что в некоторых существующих ТО представлено неполно.[5] Научно обоснованный тест – это метод, соответствующий установленным стандартам надежности и валидности. Традиционно выделяются два основных критерия качества тестов. Первый из них связан с понятием точности измерений и известен, главным, образом, в виде понятия надежности теста . Качество педагогического контроля в вузе зависит не только от надежности используемых методов, но и от их валидности. Валидность теста — его пригодность для достижения поставленной цели: пригодность по содержанию, пригодность к применению в конкретных обстоятельствах, пригодность по какому-либо критерию или, что то же самое, характеристика его способности изучать то, что он должен изучать по замыслу авторов.[1] 1.3.1. Надежность тестов.
Существует несколько практических способов определения надежности теста. Самый безупречный со статистической точки зрения метод определения надежности – это коррелирование двух параллельных тестов, созданных для измерения одного и того же свойства. Суть корреляции состоит в том, что из полученной каждым студентом суммы баллов вычитается ровно то число, которое может быть угадано в соответствии с теорией вероятностей. Корреляция осуществляется с помощью соотношения:
где Эта формула применяется к заданиям с одинаковым числом готовых ответов. Интуитивно наиболее понятный и простой способ определения надежности теста – это двукратное, по меньшей мере, использование одного и того же теста в той же самой группе студентов. Результаты обоих опросов анализируются с целью поиска корреляции между ними. Данный метод имеет свои достоинства и недостатки. Достоинства заключаются в сравнительной простоте его использования, ясности основных посылок, лежащих в определении надежности, простоте расчетов. К недостаткам можно отнести неопределенность в выборе временного интервала между первым и вторым опросами. Этот интервал может колебаться от нескольких минут до нескольких дней, месяцев и даже лет. Надежность тестов достаточно просто оценить в гомогенных тестах. Однако, оценка надежности заметно осложняется в гетерогенных тестах. Осложнение вызвано главным образом некоррелируемостью (или слабой коррелируемостью) гомогенных тестов между собой. Соответственно ответы студентов на задания одного гомогенного теста, как правило, редко коррелируют с ответами на задания другого. Отсутствие же корреляции мешает всякой надежде на мало-мальски заметную надежность теста в целом. Все методы оценки надежности теста основаны на разных теоретических положениях, но все они призваны ответить на один и тот же вопрос – насколько точны проведенные измерения? Само понятие "точность" в каждом случае оценки приобретает несколько отличающийся смысл. Имеются, по меньшей мере, два источника погрешностей, мешающие говорить об абсолютной надежности теста. Первый источник связан с выборкой испытуемых. Вряд ли можно найти две такие выборки, в которых тестовый опрос был бы одинаково надежным. Скорее всего, значения варьировали бы от выборки к выборке в некоторых пределах в соответствии с законом нормального распределения. Уже одно это призывает к осторожности в интерпретации коэффициента надежности. Вместо выражения «надежность теста» мы вынуждены использовать другое, более точное – "полученная в данной выборке оценка надежности теста". Второй источник погрешностей – в формулировании и отборе заданий. Если мы примем небезосновательное предположение о детерминации (в статистическом смысле) или, иначе, о зависимости конкретных результатов измерения от истинных, присущих данным испытуемым в идеальных условиях, то коэффициент надежности удобно интерпретировать как коэффициент детерминации.[1] 1.3.2. Валидность тестов.
в отличие от надежности, определение которой сводится к выбору одной из множества расчетных схем, обоснование валидности теста представляет собой задачу методологического характера. Как и обоснование любой деятельности, процесс валидизации начинается с уточнения цели и конкретных задач педагогического контроля. Если ставится цель проверить знания студентов по какой-либо дисциплине и при этом не важно, каким методом это надо будет сделать, то легко понять, что эта цель может быть достигнута посредством использования зачетов, экзаменов, курсовых и дипломных работ. Эти и другие методы неравноценны с точки зрения объективности и качества оценки, и потому вопрос о валидности легко переводится в прагматическую плоскость оценки сравнительной пригодности того или иного метода для достижения поставленной цели. Тест может быть валидным, если помимо прочих требований средние результаты соответствуют большей части студентов, а сами данные распределяются по нормальному закону. Если это условие не выполняется, то тест считается невалидным с точки зрения соответствия стандартам распределения. Именно отсюда возникает стремление разработчиков тестов добиваться нормальности распределения за счет варьирования числа легких и трудных заданий. Если в тесте нет достаточного числа легких и трудных заданий, то возникает вопрос о его сбалансированности по трудности, то есть обычно в тесте должно быть больше заданий средней трудности и несколько меньше откровенно легких или трудных заданий. В процессе создания теста мера трудности регулярно проверяется на случайной выборке из того контингента, для которого тест предназначается. В сбалансированном тесте легко добиваются нормальности распределения. Дальнейшее совершенствование идет по пути замены ряда заданий, ответы на которые нарушают нормальность распределения. Трудность заданий влияет на надежность и валидность. Если тест очень трудный, то студенты чаще вынуждены догадываться – какой ответ правильный. Но чем чаще они прибегают к догадке, тем больше распределение результатов теста приближается к случайному распределению. Поэтому пригодность теста для оценки всей массы студентов будет тем ниже, чем труднее тест. Такое же влияние на надежность, – но по другой причине – оказывает легкий тест, в котором студенты, наоборот, догадываются редко, их ответы устойчивы, но почти нет различий между испытуемыми. Валидность теста существенно зависит от его различающей способности. Если десять человек в группе получают «отлично», такая оценка не позволяет различать, кто из этих десяти лучше, а кто несколько хуже знает предмет. Различающая способность тем выше, чем меньше одинаковых оценок студенты по нему получают. Следовательно, тем больше вариация результатов и более чувствительна шкала к индивидуальным различиям. Поэтому повышению различающей способности теста (РСТ) в стадии его создания уделяется большое внимание. При этом применяются несколько методов: 1.Регулирование по времени тестирования; чем больше стандартное отклонение, тем больше различающая способность теста. 2. Оптимальный подбор заданий. В принципе РСТ, а вместе с ней и надежность теста, возрастают с увеличением доли заданий средней трудности в тесте. Однако в тесте обязательно должна быть некоторая часть легких и трудных вопросов, точное количество которых зависит от конкретных обстоятельств. 3. Точность измерений. Если, например, время реакции измерять у испытуемых с точностью до одной десятой, сотой, тысячной и так далее секунды, то получим различную различающую способность теста. Валидность теста связана, помимо прочего, с понятиями «гомогенный и гетерогенный тест». Если тест создан с целью проверки знаний по одной учебной дисциплине и все вопросы теста связаны именно с ней, то такой тест считается гомогенным, а значит и валидным для этой частной цели. Поэтому в более чистом виде гомогенный тест представляет собой тест для изучения знаний какому-то частному разделу программы. Для комплексной оценки знаний студентов может быть составлен тест, состоящий из вопросов по нескольким дисциплинам. Это – пример гетерогенного теста, который состоит из группы гомогенных тестов. Соответственно такой тест является валидным именно для комплексной оценки. Валидность теста зависит и от так называемой длины теста. Под длиной теста понимается количество заданий, входящих в тест. Существуют тесты очень короткие, состоящие из 7 – 15 заданий, и очень длинные, состоящие из более чем пятисот заданий. Если тест очень длинный, то ухудшается мотивация и внимание у испытуемых, а это снижает надежность и валидность. Практика показывает, что если тестирование занимает более полутора часов, то при этом возникают организационные проблемы, испытуемые с неохотой соглашаются отвечать на вопросы теста. С другой стороны, с точки зрения теории, чем длиннее тест, тем он надежнее. Возникающее противоречие между теорией и практикой решается компромиссом в ту или иную сторону, в зависимости от конкретного случая. Валидность теста зависит еще и от расположения заданий в тесте. Существует различная практика расположения заданий: 1. По степени возрастания трудности. Такое расположение характерно в основном для гомогенных тестов. Для гетерогенных тестов сохранение этого принципа выражается в так называемой «спиральной» форме расположения заданий. 2. В случайном порядке. Этот способ расположения заданий широко применяется в психологических тестах и в процессе компьютерного тестирования. 3. В специальном порядке, в соответствии с какой-либо теорией, соображениями переноса навыков, концентрации внимания и других. 4. В порядке, сочетающем специальный и случайный подбор. Обычно это делается в гетерогенных тестах. Существуют несколько подходов к валидизации тестов, различающихся в зависимости от используемых критериев. В педагогической практике наибольшее распространение в последние годы получили такие тесты, валидность которых не требуется доказывать эмпирически: в таких тестах критерием их пригодности является само содержание теста, одобренное опытными преподавателями-экспертами. При этом у преподавателя должна быть уверенность в том, что: · задания теста находятся в соответствии с программой; · задания теста охватывают не один какой-либо раздел, а всю программу курса; · высока вероятность того, что студент, успешно ответивший на задания теста, знает предмет в соответствии с полученной оценкой. Перечисленные три пункта объединяются общей идеей – содержит ли тест задания, пригодные для оценки знаний по конкретной дисциплине? Если в результате статистической проверки выявляется, что ответы на вопросы теста вполне позволяют обоснованно судить о знаниях студентов, то считается, что тест содержит валидные вопросы; он валиден по содержанию. Требование валидности по содержанию предъявляется к каждому вопросу теста, мерой валидности является коэффициент корреляции ответов по заданию с критерием. При создании теста в качестве критерия обычно берутся оценки, выставляемые студентам группой преподавателей-экспертов без тестов. Результаты студентов по вопросам теста и по оценкам экспертов коррелируются. Высокая согласованность оценок по тесту и у экспертов указывает и на высокую валидность. Надо подчеркнуть, что нет показателей раз и навсегда установленных надежности и валидности теста. В каждом отдельном исследовании рекомендуется проверять качество теста и лишь на этой основе делать выводы о достоверности данных.
2. РАЗРАБОТКА ПАКЕТА ТЕСТОВЫХ ЗАДАНИЙ ДЛЯ ОПЕРАТИВНОГО КОНТРОЛЯ УРОВНЯ ЗНАНИЙ СТУДЕНТОВ ПО КУРСУ «МЕХАНИКА» Одним из эффективных инструментов при проведении педагогического эксперимента является компьютерная технология оценки качества знаний, умений и навыков. Систематическое использование компьютерной технологии тестирования в учебном процессе вуза дает возможность проводить оценку качество подготовки и дифференциацию знаний студентов на всех этапах обучения в динамике его изменения. При проведении тестирования решаются следующие основные задачи: · формирование структуры испытательного (тестового) модуля в диалоговом режиме; · подготовка необходимого количества различных вариантов испытательного педагогического модуля заданной структуры как с одинаковыми, так и различными характеристиками (сложность, трудоемкость, число операций и тому подобное); · организация и проведение контрольных мероприятий; · первичная обработка информации, её представление в форме, удобной для анализа и принятия решений на различных уровнях управления учебным процессом (преподаватель, кафедра, факультет, ректорат, аттестационная служба). Главное преимущество компьютерной технологии - "автоматическая" процедура контрольного мероприятия, когда обучаемый выполняет задание в непосредственном диалоге с ЭВМ, результаты сразу переносятся в блок обработки, что позволяет за довольно короткий срок провести процесс дифференциации знаний большого количества испытуемых.[6]
№4. Определение момента инерции методом крутильных колебаний.
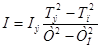
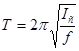
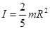
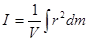
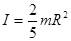
Цель работы: определение методом крутильных колебаний момента инерции тела и проверка справедливости теоремы Гюйгенса-Штейнера. 1. Какую физическую величину называют моментом инерции материальной точки? · Физическая величина, равная произведению массы материальной точки на расстояние до оси · Физическая величина, равная произведению массы материальной точки на квадрат расстояния до оси · Физическая величина, характеризующая инертность материальной точки · Физическая величина, зависящая только от массы материальной точки 2. По какой формуле вычисляется момент инерции однородного шара? · · · · 3. Найти размерность момента инерции. · ML2 · ML-2 · ML · M-1L2 4. Как вычислить момент инерции твердого тела? · · · · 5. Какой из приведенных ниже законов сохранения используется в данной работе? · Закон сохранения импульса · Закон сохранения энергии · Закон сохранения масс · Закон сохранения момента импульса 6. Как определяется момент инерции тела в данной работе? · · · · 7. От чего зависит момент инерции тела? · От размеров тела · От массы тела · От ориентации тела в пространстве · Момент инерции является постоянной величиной для всех тел 8. Какое выражение соответствует теореме Гюйгенса-Штейнера? · · · · 9. Какое выражение имеет период крутильных колебаний в данной работе? · · · · 10. Как вычислить момент инерции однородного стержня, относительно оси, проходящей через один из его концов? · · · ·
№6. ИЗУЧЕНИЕ МАЯТНИКА МАКСВЕЛЛА Цель работы: ознакомление с плоским движением твердого тела на примере движения маятника Максвелла и определение с его помощью моментов инерции твердых тел. 1. Принцип работы маятника Максвелла основан на одном из законов сохранения · Закон сохранения механической энергии · Закон сохранения момента импульса · Закон сохранения импульса · Закон сохранения электрического заряда 2. Какое из выражений справедливо для закона сохранения в данной работе? · · · · 3. Как связаны линейная и угловая скорости маятника? · · · · 4. От чего зависит линейное ускорение, с которым опускается маятник? · От первоначальной высоты h · От момента инерции · От массы маятника · Ускорение является постоянной величиной 5. Как вычислить момент инерции однородного стержня, относительно оси, проходящей через один из его концов? · · · · 6. От чего зависит момент инерции тела? · От размеров тела · От массы тела · От ориентации тела в пространстве · Момент инерции является постоянной величиной для всех тел 7. Найти размерность момента инерции · ML2 · ML-2 · ML · M-1L2 8. По какой формуле вычисляется момент инерции однородного шара? · · · · 9. Какое выражение соответствует теореме Гюйгенса-Штейнера? · · · · 10. Как вычислить момент инерции твердого тела? · · · ·
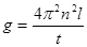
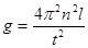
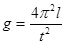
№7. ОПРЕДЕЛЕНИЕ УСКОРЕНИЯ СВОБОДНОГО ПАДЕНИЯ ПРИ ПОМОЩИ УНИВЕРСАЛЬНОГО МАЯТНИКА Цель работы: определение ускорения свободного падения с помощью математического и оборотнго маятников. 1. Что называется физическим маятником? · Твердое тело, подвешенное на неподвижной горизонтальной оси в поле тяготения · Материальная точка, подвешенная на невесомой нерастяжимой нити в поле тяготения · Твердое тело, подвешенное на невесомой нерастяжимой нити в поле тяготения · Любое твердое тело, совершающее колебания около положения равновесия 2. Какой вид имеет дифференциальное уравнение гармонических колебаний? · · · · 3. Что называется приведенной длиной физического маятника? · Длина всего маятника · Длина математического маятника, период колебаний которого равен периоду колебаний физического маятника · Длина математического маятника · 1/2 длины математического маятника 4. Какая точка физического маятника называется центром качаний? · Точка, расположенная на расстоянии 1/2Lпр от точки подвеса на прямой, проходящей через центр масс · Точка, расположенная на прямой, проходящей через центр масс физического маятника · Точка, расположенная на расстоянии Lпр от точки подвеса на прямой, проходящей через центр масс · Точка, совпадающая с центом масс физического маятника 5. Как определяется период колебаний физического маятника? · · · · 6. Для чего во время выполнения работы меняют точки подвеса физического маятника? · Для нахождения сопряженных точек, период колебаний которых одинаков · Для нахождения центра масс системы · Для определения периода колебаний · Для определения частоты колебаний 7. По какой формуле рассчитывается ускорение свободного падения при помощи математического маятника в данной работе? · · · · 8. Что называется периодом колебаний? · Время, в течение которого колебания полностью затухают · Время одного полного колебания · Величина, равная обратному числу колебаний · Логарифм отношения следующих друг за другом амплитуд 9. Зависит ли период колебаний физического маятника от его массы? · Не зависит · Зависит · Не всегда · Зависимость не значительная 10. В каких случаях можно пользоваться формулой · Во всех · Когда амплитуда колебания маятника мала · При постоянной частоте колебаний · Когда фаза колебаний не изменяется
№8. ОПРЕДЕЛЕНИЕ КОЭФФИЦИЕНТА ТРЕНИЯ СКОЛЬЖЕНИЯ Цель работы: измерение коэффициента трения скольжения различных материалов по алюминию. 1. От чего зависят силы трения? · От конфигурации тел и от их относительных скоростей · Только от конфигурации тел · Только от относительных скоростей тел · От соприкасающихся поверхностей 2. Как зависит коэффициент трения от угла наклона плоскости? · · · · 3. В каком случае сила трения покоя равна силе трения скольжения? · При малых относительных скоростях · При больших относительных скоростях · При малых углах наклона плоскости · При больших углах наклона плоскости 4. Является ли сила трения покоя постоянной величиной для данной пары тел? · Является · Не является · Является при малых относительных скоростях · Является при больших относительных скоростях 5. Нужна ли сила трения в природе? · Нужна · Не нужна · Нужна в определенных случаях · Не нужна в определенных случаях 6. Сила трения покоя обусловлена одним из видов взаимодействия · Электромагнитное взаимодействие · Ядерное взаимодействие · Контактное взаимодействие · Молекулярное взаимодействие 7. От чего зависит величина коэффициента трения скольжения? · От соприкасающихся поверхностей · От силы нормального давления · От силы реакции опоры · Является постоянной величиной 8. По какой формуле в данной работе вычисляется коэффициент трения скольжения? · · · · Среди ответов не правильного 9. Коэффициент трения скольжения имеет размерность: · Является безразмерной величиной · L2 · M2 · LM-1 №10. ИЗУЧЕНИЕ ЗАКОНОВ СТОЛКНОВЕНИЯ ТЕЛ И ОПРЕДЕЛЕНИЕ МОДУЛЯ ЮНГА Цель работы: изучение законов столкновения тел при абсолютно упругом ударе и определение модуля Юнга материала шаров. 1. Какое из определений справедливо для абсолютно упругого удара? · При соударении тела испытывают только упругую деформацию · При соударении тела испытывают только пластическую деформацию · При соударении центр масс, сталкивающихся тел лежит на одной прямой · Удар происходит по одной прямой 2. Какое из определений справедливо для абсолютно неупругого удара. · При соударении тела испытывают только упругую деформацию · При соударении тела испытывают только пластическую деформацию. · При соударении центр масс, сталкивающихся тел лежит на одной прямой · Удар происходит по одной прямой 3. Какой закон выполняется при абсолютно упругом ударе? · Закон сохранения импульса и механической энергии · Закон сохранения импульса · Закон сохранения момента импульса · Закон сохранения масс 4. Какой закон выполняется при абсолютно неупругом ударе? · Закон сохранения импульса и механической энергии · Закон сохранения импульса · Закон сохранения момента импульса · Закон сохранения масс 5. Найти размерность энергии · ML2T-2 · L-2M2T2 · L2M-2T2 · LM2T-2 6. Какие величины неизменны в любой замкнутой системе тел? · Момент импульса · Кинетическая энергия · Механическая энергия · Потенциальная энергия 7. Какая величина может изменяться в замкнутой системе тел? · Момент импульса · Механическая энергия · Импульс · Электрический заряд · Среди ответов нет правильного 8. Условие постоянства кинетической энергии системы тел? · Работа внешних сил равна нулю · Работа всех сил равна нулю · Сумма работ внешних сил и внутренних консервативных равна нулю · Работа неконсервативных сил равна нулю 9. Условия, достаточные для сохранения механической энергии системы тел. · Сумма работ внутренних неконсервативных и внешних сил равна нулю · Нет внешних сил · Мощность внешних сил равна нулю · Сумма работ внешних сил равна нулю 10. Замкнута или не замкнута система взаимодействующих шаров в данной работе? · Замкнута · Не замкнута · Систему можно считать замкнутой · Систему можно считать не замкнутой
№11. Опрделение модуля Юнга на приборе Лермантова Ц ель работы: изучение упругих деформаций твердых тел и определение модуля Юнга исследуемой проволоки. 1. Какая деформация твердого тела называется упругой? · Деформация, исчезающая после снятия нагрузки · Наблюдается остаточная пластическая деформация · Размеры твердого тела не изменяются · Объем твердого тела не изменяется 2. Какая деформация твердого тела называется пластической? · Деформация, при которой форма и размеры тела изменяются необратимо · Деформация, исчезающая после снятия нагрузки · Размеры твердого тела не изменяются · Объем твердого тела не изменяется 3. Что называется механическим напряжением? · Это есть сила, приложенная к образцу площадью поперечного сечения S · Сила, возникающая внутри образца после снятия нагрузки · Сила, возникающая на поверхности образца · Это есть способность тела оказывать сопротивление приложенным нагрузкам 4. Что называется пределом упругости? · Когда связь между напряжением и относительным удлинением становится нелинейной · Связь между напряжением и относительным удлинением всегда постоянна · Предельное значение силы, при котором происходит его разрушение · Область, где заканчиваются упругие деформации 5. Границы применимости закона Гука · При упругих деформациях · При пластических деформациях · Применим во всех случаях · Применим только для частных случаев 6. Как определяется модуль Юнга в данной работе? · · · · 7. Зависит ли модуль Юнга от материала образца? · Не зависит · Зависит · Зависимость не значительная · Среди ответов нет правильного 8. Как связаны коэффициент упругости и модуль Юнга? · · · · 9. В каких единицах измеряется модуль Юнга? · Является безразмерной величиной · L2M-2 · LM2 · L-2M 10. Что называется относительным удлинением? · Изменение размеров тела на единицу длины · Изменение размеров тела · Изменение объема тела · Среди ответов нет правильного
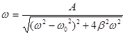
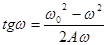
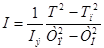
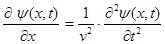
№14. ИССЛЕДОВАНИЕ ВЫНУЖДЕННЫХ КОЛЕБАНИЙ Цель работы: изучение вынужденных колебаний упругой пластины под действием гармонически изменяющейся внешней силы. 1. Какие колебания называются вынужденными? · Если на систему действует внешняя, периодически зависящая от времени сила. · Система, совершающая колебания под действием внешней, но не периодической силы. · Система, выведенная из положения равновесия и предоставленная самой себе. · Система, совершающая колебания в поле тяготения. 2. Как записывается уравнение вынужденных колебаний с учетом сил сопротивления в системе? · · · · 3. Что называется временем релаксации колебаний? · Это промежуток времени, за который колебания полностью затухают. · Это время, в течение которого частота колебаний остается постоянной. · Это промежуток времени, за который амплитуда колебаний убывает в е раз. · Это время установления неизменной амплитуды колебаний.
5. Как изменится резонансная амплитуда колебаний при уменьшении коэффициента затухания? · Увеличится · Не изменится · Уменьшится · Уменьшится в два раза 6. Как экспериментально определить коэффициент затухания колебательной системы по резонансной кривой? · Δω=β/2 · Δω=β · Δω=2β · Δω=4β 7. Сколько степеней свободы имеет колебательная система в данной работе? · 3 · 1 · Бесконечное множество · Столько же, сколько гармонический осциллятор 8. Какое из приведенных ниже выражений характеризует добротность системы? · · · · 9. Добротность колебательной системы пропорциональна: · Числу колебаний, совершаемых системой за время, в течение которого амплитуда колебаний убывает в е раз · Частоте колебаний · Коэффициенту затухания системы, при увеличении которого увеличивается добротность · Периоду колебаний 10. Какая из формул представляет зависимость частоты колебаний от амплитуды? · Частота колебаний не зависит от амплитуды · · · №15. ИЗУЧЕНИЕ СОБСТВЕННЫХ КОЛЕБАНИЙ СТРУНЫ МЕТОДОМ РЕЗОНАНСА Цель работы: изучение собственных колебаний закрепленной струны и определение линейной плотности ее материала. 1. Какая волна называется стоячей? · Волна, возникающая в результате наложения двух волн, распространяющихся во взаимно противоположных направлениях · Волна, локализованная в пространстве · Волна, с неизменным во времени волновым фронтом · Волна, возникающая в результате наложения двух волн, распространяющихся во взаимно противоположных направлениях и удовлетворяющих условиям: частоты волн одинаковы, амплитуды являются одинаковыми функциями координат 2. Волной называется… · Периодический процесс, распространяющийся во времени и пространстве · Периодический процесс, распространяющийся во времени · Периодический процесс, распространяющийся в пространстве · Периодическое возмущение волнового фронта 3. Как записывается уравнение бегущей волны? · · · · 4. Волны называются поперечными, если… · Смещение частиц, колеблющейся среды, происходит в направлении движения волн · Волновой фронт перпендикулярен волновой поверхности · Волновой фронт перпендикулярен нормали к волновой поверхности · Смещение частиц, колеблющейся среды, происходит в направлении, перпендикулярном направлению движения волны 5. Чем определяется фазовая скорость бегущих волн в струне? · Натяжением струны Т и её линейной плотностью ρ0. · Натяжением струны Т и её длиной L. · Длиной струны L и её массой m. · Только длиной струны L. 6. Что называется пучностями волны? · Точки струны, в которых происходит максимальное интерференционное фазовое усиление колебаний · Пучности представляют собой неоднородность струны · Колебания с большой амплитудой · Точки струны, в которых происходит максимальное интерференционное амплитудное усиление колебаний 7. В каких диапазонах в данной работе может изменяться частота колебаний струны? · От 100 до 400 Гц · От 400 до 800 Гц · От 1 до 10МГц · От 1 до 10Гц
8. Найти длину стоячей волны. · λ=L · λ=2L · λ=L/2 · λ=L/4 9. Резонансом называется… · Явление резкого возрастания амплитуды вынужденных колебаний системы при совпадении частоты вынуждающей силы и собственной частоты колебаний · Изменение амплитуды колебаний до определенного значения · Изменение фазы колебаний · Уменьшение амплитуды колебаний до минимального значения 10. Каким общим свойством обладают волны? · Перенос вещества без переноса энергии · Перенос энергии без переноса вещества · Переносят вещество и энергию · Среди ответов нет правильного ВЫВОДЫ 1. Анализ использованной литературы позволяет сделать вывод о целесообразности и актуальности использования новых информационных технологий в учебном процессе. Применение компьютерного тестирования для оперативного контроля уровня знаний и, в частности, для допускового лабораторного контроля, обладает некоторыми преимуществами перед традиционными методами контроля. Основным преимуществом компьютерных систем контроля качества знаний является их оперативность и технологичность обработки данных тестирования. 2. В данной работе разработан пакет тестовых заданий для допускового лабораторного контроля знаний студентов по курсу «Механика». Для восьми лабораторных работ составлено по десять тестовых заданий. Тестовые задания рассчитаны на средний уровень знаний студентов специальности «Физика». Для успешного прохождения теста необходимо знание материала в объеме данной темы. 3. Дальнейшие работы исследователей в этой области могут быть посвящены методики составления пакета тестовых заданий для студентов тех специальностей, где предмет «физика» не является профилирующим предметом, для студентов педагогических специальностей ВУЗов, а также усовершенствованию данного пакета заданий. В заключении хочется выразить благодарность руководителю работы к. ф. - м. н., доценту Дудоладову В.В.; к. ф. - м. н., доценту Новопольцеву М.И. за консультации и помощь при написании данной работы. СПИСОК ИСПОЛЬЗОВАННОЙ ЛИТЕРАТУРЫ
1. Аллахвердиева Д.Т. Опыт применения тестов для дидактической экспертизы обучения.//Высшее образование в России. - 1993. №2. 2. Аванесов В.С. Основы научной организации педагогического контроля в высшей школе. М.:1989. 3. Глейзер Л.Д. Изучение физики в школах и классах с углубленным изучением предмета. Методические рекомендации. Часть1 - М.:1991. 4. Ермакова М.Г., Андреева Л.Е. Вопросы разработки тестирующих программ. //Информатика и образование. – 1997. №3. 5. Пак Н.И., Филиппов В.В. О технологии создания компьютерных тестов. //информатика и образование. – 1997. №5. 6. Куклин В.Ж., Мешалкин В.И., Наводнов В.Г., Савельев Б.А. О компьютерной технологии оценки качества знаний.// Высшее образование в России. - 1993. - №3. 7. Чернигин А.Н. Инструментальная система контроля знаний.// Информатика и образование. – 1999. №10. 8. Родионов Б.У., Татур А.О. Стандарты и тесты в образовании. М., 1995. |







?

