Доклад: Функционально-физический анализ фотоаппарата Зенит
|
Название: Функционально-физический анализ фотоаппарата Зенит Раздел: Промышленность, производство Тип: доклад | |||||||||||||||||||||||||||||||||||||||||||||||||||||||||||||||||||||||||||||||||||||||||||||||||||||||||||||||||||||||||||||||||||||||||||||||||||||||||||||||||||||||||||||||||||||||||||||||||||||||||||||||||||||||||||||||||||||||||||||||||||||||||||||||||||||||||||||||||||||||||||||||||||||||||||||||||||||||||||||||||||||||||||||||||||||||||||||||||||||||||||||||||||||||||||||||||||||||||||||||||||||||||||||||||||||||||||||||||||
Российская Экономическая Академия им. Г. В. Плеханова Расчетно-аналитическая работа по курсу методы поиска и принятия инновационно технических решений. КАФЕДРА МЕХАНИКИ Функционально-физический анализ фотоаппарата «Зенит»Выполнил студент гр.№723 Фролов Александр Александрович факультет ИЭИ. Научный руководитель Колоколов В. А. Москва 2001 Функционально-физический анализ фотоаппарата
F = {D,G,H } D - экспонирование ; G - светочувствительный материал ; H - с определенными условиями .
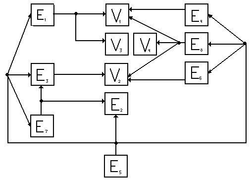
Q = {A, E, C} А - свет ; С - экспонированный светочувствительный материал ; Е - сбор и накопление. 3.Разбиваем фотоаппарат на функциональные элементы. Е1 – объектив; Е2 – затвор; Е3 – диафрагма; Е4 – лентоперематывающий механизм; Е5 – корпус; Е6 – система фокусировки; Е7 – система управления; Е8 – экспозиционное устройство.
4.Выделяем объекты окружающей среды. V1 – светочувствительный материал (фотопленка); V2 – свет; V3 – объект окружающей среды; V4 – человек. 5.Описываем функции выделенных элементов.
6.Строим конструктивную функциональную структуру, которая описывает функциональную взаимосвязь между элементами.
7.Выделяем основные и вспомогательные потоки.
Механическая энергия Информация
8.Проводим описание физических операций выделенных элементов. Физическая операция – это общее описание функционирования каждого элемента. Q = {A, E, C }
9.Строим потоковую функциональную структуру, которая описывает физическую взаимосвязь. 10.Проводим описание физического принципа действия. Описание физического принципа действия производится на основе ПФС и поэтому ПФС и физический принцип действия могут быть совмещены.
Принцип историзма. Принцип историзма в ФФА – это история возникновения потребности и различные способы реализации этой потребности раньше, сегодня, а также возможны способы реализации потребности в будущем. Использование принципа историзма сводится к иерархической матрице удовлетворения потребности. Иерархическая матрица удовлетворения потребности. Потребность: получение изображения объекта окружающей среды. Эту потребность определяют следующие физические операции: - Рисование. - Фотографирование. Технические решения: - уголь, карандаш, ручка, краски - камера обскура, механический фотоаппарат, электронный фотоаппарат, фотоаппарат с автоматической настройкой, цифровой фотоаппарат. Иерархическая матрица удовлетворения потребности.
Наличие закономерностей развития.Закономерность стадийного развитияВ процессе развития человек передает свои функции техническому объекту. Основные функции человека: - Технологическая (Т) - Энергетическая (Э) - Управленческая (У) - Планирующая (П)
Я считаю, что фотоаппарат «Зенит» находится на 1 стадии развития, потому что человек управляет фотоаппаратом, воздействует на него (механическая энергия) и планирует его действия. Аппроксимация значений разрешающей способности объективов.
Графический вид:
Метод ранжирования. Недостатки фотоаппарата: 1.Громоздкий 2.Нет автоматической системы перемотки 3.Нет автоматической настройки 4.Нет встроенной вспышки 5.Тяжелый.
Как видно из таблицы 1 ранг получил 3 недостаток – нет автоматической настройки. Метод гирлянд ассоциаций.
Матричный метод принятия решений. Х – альтернативные решения; К – критерии; В – вес критерия А – оценки 1<Aij <10
Как видно из таблицы, максимальное значение следовательно, фотоаппарат с программным управлением можно считать самым лучшим. Морфологический метод. 1.Стадия анализа . Разбиваем объект на морфологические признаки. Объект – фотоаппарат. Фотоаппарат состоит из: - корпуса; - объектива; - затвора; - диафрагмы; - системы управления. 2.Рассматриваем различные варианты реализации морфологических признаков. Корпус (материал): пластмасса, металл. Объектив: пластик, съемный, несъемный. Затвор: в виде шторок, секционный. Диафрагма: пластик. Система управления: автоматическая, неавтоматическая. Матрица
3.Стадия синтеза. Здесь мы комбинируем решения из различных вариантов реализации. Рассматриваем все возможные комбинации. Техническое решение 1 (ТР 1): Фотоаппарат с пластмассовым корпусом,пластиковым объективом, затвором в виде шторок, пластиковой диафрагмой, и с неавтоматической системой управления. ТР 2: Фотоаппарат с металлическим корпусом, съемным объективом, секционным затвором, пластиковой диафрагмой, и автоматической системой управления. ТР 3: Фотоаппарат с пластиковым корпусом, несъемным объективом, секционным затвором, пластиковой диафрагмой, и автоматической системой управления. Метод расстановки приоритетов. Альтернативные решения: Х1 – Фотоаппарат с программным управлением; Х2 _ Пластиковый облегченный фотоаппарат; Х3 – Электронный фотоаппарат. Критерии: К1 – удобство управления; К2 – Масса; К3 – Дизайн. 1.Для каждого критерия поочередно проводим сравнение альтернативных решений. К1X1 > X2 K2X1 < X2 X1 > X3 X1 = X3 X2 > X3 X2 > X3 K3 X1 < X2 X1 < X3 X2 = X3 2. Строим квадратичную матрицу.
Р11= 1*4+1,5*2+1.5*3 = 11,5 Р21= 0,5*4+1*2+0,5*3 = 5,5 Р31= 0,5*4+1,5*2+1*3 = 8
Р12= 1*2,5+0,5*4+1*2,5 = 7 Р22= 1,5*2,.5+1*4+1,5*2,5 = 11,5 Р32= 1*2,5+0,5*4+1*2,5 = 7
Р13= 1*2+0,5*3,5+0,5*3,5 = 5,5 Р23= 1,5*2+1*3,5+1*3,5 = 10 Р33= 1,5*2+1*3,5+1*3,5 = 10 3.Определяем значимость критериев. К1 > K2 K1 > K3 K2 > K3
В1 = 1*4+1,5*3+1,5*2 = 11,5 В2 = 0,5*4+1*3+1,5*2 = 8 В3 = 0,5*4+0,5*3+1*2 = 5,5 4. Для каждого альтернативного решения вычисляем комплексный приоритет. Рi комп = P1 комп = 0,46*0,46+0,274*0,32+0,216*0,22 = 0,3468 P2 комп = 0,22*0,46+0,452*0,32+0,392*0,22 = 0,33208 P3 комп = 0,32*0,46+0,274*0,32+0,392*0,22 = 0,32112 5. Проводим сравнение комплексных приоритетов. Максимальное значение = 0,3468 имеет P1 комп . Следовательно альтернативное решение Х1 – Фотоаппарат с программнымуправлением – это самое лучшее решение. |
|||||||||||||||||||||||||||||||||||||||||||||||||||||||||||||||||||||||||||||||||||||||||||||||||||||||||||||||||||||||||||||||||||||||||||||||||||||||||||||||||||||||||||||||||||||||||||||||||||||||||||||||||||||||||||||||||||||||||||||||||||||||||||||||||||||||||||||||||||||||||||||||||||||||||||||||||||||||||||||||||||||||||||||||||||||||||||||||||||||||||||||||||||||||||||||||||||||||||||||||||||||||||||||||||||||||||||||||||||





