Реферат: Промышленная вентиляция и кондиционирование
|
Название: Промышленная вентиляция и кондиционирование Раздел: Рефераты по безопасности жизнедеятельности Тип: реферат | ||||||||||||||||||||||||||||||||||||||||||||||||||||||||||||||||||||||||||||||||||||||||||||||||||||||||||||||||||||||||||||||||||||||||||||||||||||||||||||||||||||||||
Раздел 5. Вентиляторы и вентиляционные сети. 5.1.Классификация вентиляторов Вентиляторомназывается устройство, предназначенное для создания избыточного давления воздуха или другого газа (до 15 кПа) при организации воздухообмена, транспортировании аэросмесей по трубопроводам и пр. В СКВ наибольшее применение находят осевые и центробежные вентиляторы. Осевым вентиляторомназывается вентилятор, в котором воздух (или газ) перемещается вдоль оси рабочего колеса, приводимого в движение электродвигателем. Вцентробежных вентиляторахперемещение воздуха происходит под воздействием центробежных сил, которые возникают при вращении рабочего колеса. Преобразование кинетической энергии воздуха в потенциальную, то есть повышение давления воздуха при уменьшении скорости, обеспечивается расширяющейся частью корпуса диффузором. Вентиляторы соединяются с электродвигателем непосредственно (жесткое соединение, эластичная муфта) или через передачу (клино-ременная, механическая регулируемая). 5.1.1 Центробежные вентиляторы Центробежный вентилятор состоит из спирального кожуха и рабочего колеса с лопатками. При вращении рабочего колеса воздух попадает в каналы между его лопатками и вытесняется ими к периферии колеса. Под действием центробежных сил воздух отбрасывается в спиральный кожух и далее направляется в нагнетательное отверстие. Изготавливаются вентиляторы одностороннего и двухстороннего всасывания, правого и левого вращения. Центробежные вентиляторы по создаваемой разности полных давлений (при плотности воздуха на входе низкого давления – разностью полных давлений до 100 Па; среднего давления – до 300 Па; высокого давления – до 1500 Па. Центробежные вентиляторы также могут быть: общего назначения; специального назначения. Вентиляторы общего назначенияпредназначены для перемещения воздуха и других газовых смесей, агрессивность которых по отношению к углеродистым сталям обычного качества не превышает агрессивность воздуха с температурой до 80оС. Кроме этого, переносимые воздух и газовые смеси не должны содержать пыль и другие твердые примеси в количестве, превышающем 100 мг/м3, а также липкие вещества и волокнистые материалы. Для вентиляторов двустороннего всасывания с расположением ременной передачи в перемещаемой среде температура перемещаемой среды не должна превышать 60оС. Радиальные вентиляторы имеют диаметр колес от 0,25 до 2,0 м. Колесу присваивается номер, выраженный в дециметрах (2,5-20), который численно равняется диаметру колеса. Вентиляторы специального назначенияприменяются для работы в агрессивных средах: для перемещения газа с высокой температурой, газопаровоздушных, взрывоопасных смесей и др. По назначению эти вентиляторы подразделяются на пылевые, коррозионностойкие, искрозащищенные, тягодутьевые, шахтные, мельничные и др. Вентиляторы, предназначенные для перемещения невзрывоопасных неабразивных пылегазовоздушных смесей с различными механическими примесями, называются пылевыми. В обозначении этих вентиляторов добавляется буква П. Пылевые вентиляторы применяются для удаления древесных стружек, металлической пыли от станков, пневмотранспорта для зерна и в других целях. Чтобы транспортируемые материалы не застревали в рабочем колесе и корпусе, число лопаток делается небольшим и увеличивается зазор между входным патрубком и колесом. Вследствие этого КПД пылевых вентиляторов низкий. В конструкциях коррозионно-стойкихвентиляторов, предназначенных для перемещения агрессивных смесей, применяются материалы, устойчивые к воздействию этих смесей (нержавеющая сталь, титановые сплавы, винипласт, полипропилен). Искрозащищенныевентиляторы подразделяются на вентиляторы с повышенной защитой от искрообразования и искробезопасные. В вентиляторах с повышенной защитой от искрообразованияпредусмотрены меры, обеспечивающие защиту от возникновения опасных искр только в режимах нормальной работы вентилятора. Такие вентиляторы изготавливаются из алюминиевых сплавов или разнородных металлов. Вискробезопасныхвентиляторах предусмотрены меры защиты от искрообразования как при нормальной работе, так и при возможном кратковременном трении рабочего колеса о корпус вентилятора. Эти вентиляторы выполнены на основе алюминиевых сплавов с антистатическим пластмассовым покрытием (графитонаполненный полиэтилен или графитонаполненный пентопласт). Электропривод имеет взрывозащищенное исполнение. Тягодутьевые вентиляторы различают двух видов: дымососы и дутьевые. Дымососыприменяют для отсасывания дымовых газов с температурой до 200 Дутьевыевентиляторы предназначены для подачи воздуха в топочные камеры котельных установок. Изготавливаются дутьевые вентиляторы номеров 8-36. Вентиляторы горячего дутья типа ВГД и ГД предназначены для подачи первичного воздуха с температурой до 400оС. Устанавливать дутьевые вентиляторы можно только после аппаратов очистки. До вентиляторов и после них необходимо устанавливать тепловые компенсаторы расширения проводящих и отводящих участков сети. Мельничныевентиляторы предназначены для пневматического транспортирования неагрессивной угольной пыли в системах пылеприготовления котлоагрегатов. Шахтныевентиляторы используют в вентиляционных системах рудников для обеспечения больших расходов и давлений воздуха. 5.1.2. Диаметральные вентиляторы. Диаметральный вентилятор имеет рабочее колесо барабанного типа и несимметричный коленообразный корпус. Несимметричное расположение рабочего колеса обеспечивает образование потока воздуха в сторону меньшего сечения. Диаметральные вентиляторы с широкими колесами могут подсоединяться непосредственно к воздуховодам, имеющим сечение в форме вытянутого прямоугольника. Диаметральные вентиляторы могут создавать значительные давления даже при невысоких окружных скоростях рабочих колес, поскольку поток воздуха дважды пересекает лопаточное колесо. Однако диаметральные вентиляторы имеют низкий КПД. По этой причине они применяются в установках, в которых требуется плоский равномерный поток воздуха одинаковой ширины, а именно в воздушных завесах, фанкойлах, внутренних блоках сплит-систем. 5.1.3. Осевые вентиляторы Осевые вентиляторы применяются в системах приточно-вытяжной вентиляции при суммарных потерях полного давления вентиляционной сети до 35 Па. Максимальная окружная скорость рабочего колеса – до 60 м/с. 5.2. Основные характеристики вентиляторов 5.2.1 Объемный расход воздуха Объемный расход воздуха вентилятора L – величина объема воздуха υ, подаваемого вентилятором через некоторую поверхность, S за единицу времени t. Массовый расход воздуха, создаваемый вентилятором, определяется по формуле: М = ρvS, кг/с, (5.2) где ρ – плотность воздуха, кг/м3; v – скорость потока воздуха, м/с. Это уравнение является следствием из закона сохранения массы. Из уравнения видно, что в течение некоторого промежутка времени возрастание массы, находящейся в данном объеме, должно быть равно массе среды, поступающей в этот объем, то есть ρvS = соnst. (5.3) При этом следует помнить, что если рассматривается поток в воздуховоде, то v является средней скоростью, так как вдоль стенок воздуховода скорость равна нулю (пограничный слой), затем она возрастает и достигает максимума на линии оси симметрии потока. Это утверждение не относится к сжимаемым средам, например, газам или парам в процессе сжатия или расширения. 5.2.2 Давление Давление (напор) – энергия, которую приобретает единица объема газа, проходящая через вентилятор. В соответствии с законом сохранения энергии, полная механическая энергия идеальной несжимаемой среды в стационарном течении сохраняется постоянной. На основании этого закона Бернулли (швейцарский математик, 1700 – 1782) выведено уравнение: где Рп– полное давление, Па; Рст – статическое давление, Па; ρ – плотность (газа), кг/м3; υ – средняя скорость газа, м/с; ρv2/2 – скоростной напор или динамическое давление, Па. На рис. 5.1 показано распределение давления в воздуховодах с избыточным давлением и разряжением. Измерение этих давлений производится трубками Пито или Прандля. Рассмотрим воздушный поток, двигающийся по воздуховоду со скоростью υ. Если один вход дифференциального манометра подключить к трубке отбора давления, ось которой находится на стенке воздуховода и перпендикулярна Рис 5.1. Распределение давлений в воздуховодах: а – с избыточным давлением; б– с разрежением вектору скорости воздушного потока, а второй вход сообщен с атмосферой, то дифференциальный манометр, измеряющий разность давлений, покажет величину статического давления Рст. Если трубку отбора давления поместить в центре потока, повернув отверстие трубки навстречу потоку, а второй сообщить с атмосферой, то дифференциальный манометр покажет полное давление Рп. Если отверстие трубки отбора давления поместить в центре потока, а второй вход подключить к стенке воздуховода, то на входном конце будет полное давление, а на выходном – статическое. Разность этих давлений есть скоростной напор или динамическое давление. Исходя из уравнения Бернулли, Для воздуха, приняв ρ = 2 кг/м3 получим Vср = 1,3 √ Рд; Рд = 0,6V2 5.2.3 Коэффициент полезного действия вентилятора Если каждой единице объема воздуха, прошедшей через вентилятор, сообщается давление Nп = ∆Р * L (5.6) Электродвигатель вентилятора потребляет электрическую мощность Nв = Nэ * ηэ (5.7) Часть мощности на валу передается потоку воздуха, проходящему через вентилятор, и является полезной мощностью. Полезная мощность вентилятора меньше чем мощность на валу на величину потерь мощности в вентиляторе. Потери мощности в вентиляторе включают потери при различных видах трения в рабочем органе вентилятора (механические потери), потери из-за утечек и перетоков воздуха из области высокого давления в область низкого давления (объемные потери), потери из-за аэродинамических сопротивлений в рабочем колесе, в деталях привода и подачи воздуха. Эти потери учитываются КПД нагнетателя Nп = Nв * ηн (5.8) Таким образом, полезная мощность вентилятора равна: Nп = ∆Р * L = Nэ ηэ ηн (5.9) Для однофазных электродвигателей: Nэ1 = I* U* соsΨ (5.10) Для трехфазных электродвигателей: Nэ3 = 3Iф* Uф* соsΨ, (5.11) где Iф, Uф – фазные ток и напряжение; соsΨ – косинус Ψ электродвигателя. Для уменьшения аэродинамических потерь при установке вентилятора необходимо предусматривать прямые участки стабилизации воздушного потока 5.2.4 Частота вращения вентилятора В документации и на заводской табличке электродвигателя указывается номинальная частота вращения. Однако в зависимости от сопротивления сети и расхода воздуха, подаваемого вентилятором, частота может несколько изменяться. 5.2.5. Уровень звукового давления Различают уровни звукового давления в воздуховоде со стороны всасывания, со стороны нагнетания и уровни звукового давления, передаваемые в окружающую среду. Звуковое давление (шум) является важной характеристикой вентилятора. У всех вентиляторов уровень шума увеличивается с возрастанием окружной скорости рабочего колеса. Поэтому при одном и том же числе оборотов шумы вентилятора больших размеров могут увеличиваться. С уменьшением КПД шум вентилятора также увеличивается. При установке вентиляторов в зонах, где работают люди, используют специальные вентиляторы шумозащищенного исполнения. Иногда все же приходится принимать дополнительные меры для подавления шумов, такие как выбор оптимального режима работы, повышение КПД, уменьшение частоты вращения, улучшение аэродинамических характеристик сети, установка шумоглушителей, облицовка корпуса звукоизолирующим материалом. 5.3. Графические характеристики вентиляторов Перечисленные выше характеристики вентиляторов могут быть представлены графически в виде полной, индивидуальной и общей характеристики. График полной характеристики строится только для одной частоты вращения рабочего колеса. Поэтому для подбора вентиляторов преимущественно приводятся универсальные характеристики, которые могут быть индивидуальными и общими. Индивидуальные характеристики приводятся для конкретного типа вентиляторов (рис. 5.3.1). Общая характеристика строится для всей серии вентиляторов, относящихся к данному типу. Общие характеристики бывают совмещенные и безразмерные (отвлеченные). Совмещенные характеристики (рис. 5.3.2) представляют собой график, на котором совмещены области эффективной работы всех вентиляторов данной серии. Безразмерные характеристики предназначены для сравнения аэродинамических качеств вентиляторов разных типов. На рис. 5.3.3 приведена безразмерная характеристика радиального вентилятора Ц4-70. Обычно при проектировании систем вентиляции и кондиционирования воздуха такими характеристиками не пользуются, так как выбор производится из серийных вентиляторов, на которые имеются разработанные индивидуальные характеристики. Однако в случае если возникает необходимость в применении несерийного вентилятора, индивидуальную характеристику можно получить с помощью безразмерной. Рис. 5.3.1 Индивидуальная характеристика радиального вентилятора (построена в линейном масштабе) Индивидуальные характеристики строят в следующих координатах:
Рис. 5.3.3. Безразмерная характеристика радиального вентилятора Рис. 5.3.4. Индивидуальная характеристика радиального вентилятора (построен в логарифмическом масштабе) Характеристика полного давления определяет В зависимости от величины потерь в вентиляторе форма характеристики полного давления может быть полого падающей, круто падающей или иметь впадину в области малых подач. Характеристика Учитывая, что затраты минимальны при нулевом расходе, запускать нагнетатели в работу рекомендуется при закрытых регулировочных элементах. В этом случае пусковой ток будет минимальным и не произойдет перегрузки двигателя. Характеристика Режим работы вентилятора, соответствующий максимальному значению КПД Индивидуальные характеристики строятся для различных скоростей вентилятора. Верхняя кривая Кривые, соединяющие точки равных КПД, представляют собой квадратичные параболы. Крайняя кривая линия КПД, совпадающая с характеристикой динамического давления Для определения режимов работы вентилятора по индивидуальной характеристике находят точку А, соответствующую заданным значениям Индивидуальные характеристики приведенные в каталогах, построены в логарифмической сетке. Особенностями этих характеристик является отсутствие нулевых значений давлений и подачи, линии КПД являются прямыми (рис. 5.3.4). Безразмерные характеристики осевых вентиляторов относятся к его внешнему диаметру или к окружной скорости на внешнем диаметре. Эти параметры меняются вдоль радиуса. В осевых вентиляторах характеристика В зависимости от величины угла выхода лопатки рабочего колеса различают (рис. 5.3.6): – загнутые назад лопатки
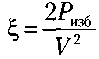
Рис. 5.3.5. Полная аэродинамическая характеристика осевого вентилятора Качество преобразования динамического давления вентилятора в статическое оценивается коэффициентом давления, который равен отношению полного давления к динамическому: Теоретически коэффициент давления лопаток, загнутых назад, может быть равен 4, радиально заканчивающихся – 2. Особенности вентиляторов с загнутыми вперед лопатками Преимущества: высокие значения давлений и подачи воздуха; с увеличением подачи увеличивается давление; меньшие окружные скорости. Недостатки: крутой подъем характеристики потребляемой мощности (возможен перегрев двигателя); низкий КПД; повышенный уровень шума. Особенности вентиляторов с загнутыми назад лопатками Преимущества: с увеличением подачи потребляемая мощность не изменяется; высокий КПД; низкий уровень шума. Недостаток: с увеличением подачи давление уменьшается. Особенности вентиляторов с радиально заканчивающимися лопатками Преимущества: давление не зависит от подачи; низкий уровень шума; высокий КПД. Недостаток: с увеличением подачи увеличивается потребляемая мощность и уровень шума. Рис. 4.3.6. Схема установки листовых лопаток радиального вентилятора: а– лопатки, загнутые назад лопатки 5.4. Вентиляционные сети 5.4.1. Работа вентилятора в сети Сетьюназывают систему воздуховодов и других элементов воздушного тракта, на которые подает воздух вентилятор. Сеть может состоять из элементов тракта, подсоединенных последовательно, параллельно или смешано. Каждая сеть характеризуется потерями давления, которые можно разделить на потери по длине всех элементов и местные потери. где
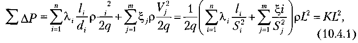
Рис. 5.4.1. Виды характеристик вентиляционной сети Уравнение (5.4.1) принято называть характеристикой сети. Из этого уравнения вытекает, что характеристика сети есть степенная функция. Однако встречаются и другие характеристики: Если сеть состоит из большого числа различно соединенных элементов, то при расчете применяется принцип суперпозиции. При последовательном соединении участков сети суммарные потери определяются как сумма потерь давления на каждом участке и характеристики их графически суммируются: При параллельном соединении: То есть при параллельном соединении расход воздуха на каждом участке обратно пропорционален корню квадратному из значения параметра К для каждого участка. При смешанном соединении для получения суммарной характеристики сети необходимо определить характеристику каждой группы участков, соединенных параллельно, а затем полученные характеристики сложить с остальными, как при последовательном соединении. Режим работы вентилятора в сети определяется совместным решением характеристик вентилятора и сети. Эта задача решается, как правило, графически методом наложения. Для этого строят в одинаковом масштабе графики зависимости давления вентилятора и сети от расхода. Точка пересечения этих кривых однозначно определяет режим работы вентилятора в этой сети Рис. 5.4.2. Характеристика вентилятора На рис. 4.4.2 приведены совмещенные характеристики вентилятора и сети для прямоугольного канального вентилятора Кривые 1 -5 являются зависимостью Точка пересечения одной из кривых 1-5 и кривой 6 определяет режим работы вентилятора в данной сети. Для нормальной работы вентилятора необходимо обеспечить равномерный подвод воздуха к входу вентилятора и минимальные потери давления вентилятора. Для этого необходимо, чтобы элементы сети были удалены от входа и выхода вентилятора на расстояние В качестве выходных элементов применяются отводы, переходы с одной формы сечения на другую, диффузоры и др. Отводы должны направлять поток воздуха так, чтобы направление отвода продолжало направление спирали кожуха (рис. 5.4.3, а). Обратное направление (рис. 5.4.3, б) недопустимо, так как значительно возрастают гидравлические потери. Особое внимание следует обращать на конструкцию диффузоров, устанавливаемых на выходе вентиляторов. Диффузоры предназначены для преобразования динамического давления в статическое с минимальными потерями. Угол раскрытия диффузора на каждую сторону определяют в пределах Потери давления во входных и выходных элементах Значения коэффициента для различных элементов приведены в таблице 5.4.1. Рис. 5.4.3. Выходные элементы вентиляционных решеток Таблица 5.4.1. Ориентировочные значения выходных элементов вентиляционных установок 5.4.2. Аэродинамический расчёт воздухораспределительных сетей Расчет воздуховодов достаточно подробно изложен в [29], поэтому мы приведем только упрощенную методику и пример расчета. Существует два метода расчета воздухораспределительных сетей: метод допустимых скоростей; метод постоянной потери давления. Оба метода позволяют проектировать вентиляционную сеть, которая обеспечит: требуемую производительность по воздуху; минимальные потери давления; минимальный уровень шума; скорость воздуха, допустимую санитарными нормами; минимальный объем, занимаемый воздуховодами. Приведем методику расчета воздухораспределительной сети методом допустимых скоростей. 1. Чертят схему сети воздуховодов с расчетными расходами воздуха по помещениям и находят самый удаленный от вентилятора и нагруженный участок сети. Таблица 5.4.2. Скорость воздуха из приточной решетки, исходя из допустимого перепада температур 2. Выбирают скорость воздуха в приточных, вытяжных решетках и воздуховодах, исходя из допустимого перепада температур (табл. 5.4.2), назначения помещения (табл. 5.4.3), допустимой скорости воздуха в вытяжных решетках (табл. 5.4.4), допустимого уровня шума (табл. 5.4.5). Таблица 5.4.3. Ориентировочные значения уровня шума, создаваемые потоком воздуха Таблица 5.4.4. Рекомендуемые скорости в вытяжных решетках Таблица 5.4.5. Скорость воздуха в воздуховоде, исходя из допустимого уровня шума Рис. 5.4.4, а. Номограмма для расчета круглых стальных воздуховодов при расходе воздуха до 100 м!/ч и скорости воздуха от 0,1 до 4 м/с
3. По известным расходам воздуха в каждом сечении воздуховода и скорости воздуха по номограммам (рис. 5.4.4) определяют диаметр воздуховода круглого сечения Для воздуховодов прямоугольного сечения за расчетную величину где А и В – размеры сторон прямоугольного воздуховода. 4. По номограммам (рис. 5.4.4, а, б, в) определяют удельные потери давления в воздуховодах ( По полученным данным определяют суммарные потери давления в сети воздуховодов по формуле: где 5. Определяют потери давления на местные сопротивления по формуле: где – коэффициент местных сопротивлений на Коэффициент местных сопротивлений определяют по справочной литературе [28]. Для комплектующих изделий (решетки, диффузоры, фильтры и др.) потери давления приводятся в паспортных данных. На рис. 4.4.7 приведены данные по потерям давления для диффузоров фирмы 6. Определяют полные потери давления в самом напряженном участке сети (полное располагаемое давление): 7. Располагаемое давление для последующих ответвлений сети воздуховодов определяют как сумму потерь давления на участках сети до заданного ответвления. 8. Сравнивают потери давления в ответвлениях с полным располагаемым давлением. Потери должны быть увязаны с точностью ±10 %. Если расхождения превышают ±10 %, устанавливают диафрагмы или регулирующие заслонки. Методика расчета диафрагм для круглых воздуховодов Зная полное располагаемое давление наиболее нагруженного участка сети и падение давления ветви, находим величину падения давления, которое необходимо внести путем введения диафрагмы: Определяем коэффициент местного сопротивления диафрагмы и по таблице 5.4.6 находим диаметр отверстия диафрагмы: Пример.Рассчитать параметры сети воздуховодов общего назначения для офисных помещений. Сеть состоит из 5 потребителей (комнат). Расход воздуха в каждой комнате, исходя из количества работников, составляет 120 м3/час. Схема сети представлена на рис. 5.4.5. Решение.Выбираем приточные диффузоры производства Таблица 4.4.6. Диаметр отверстий диафрагм для воздуховодов круглого сечения Рис. 5.4.5. Пример расчета воздухораспределительной сети Потери в стальных воздуховодах определяем по номограммам (рис. 5.4.4). Потери на местное сопротивление складываются из: Рис. 5.4.6. Потери давления в Рис. 5.4.7. Характеристика диффузора типа • потерь давления в диффузорах диаметром 160 мм и расходом воздуха 120 м3/час — 22 Па; • потерь в переходах с одного сечения на другое по формуле 5.4.11; • потерь давления во входной решетке, по паспорту - 50 Па. Для удобства расчета составляем таблицу потерь давления. Таблица к примеру расчета потерь давления Далее аналогичным образом производим расчет падения давлений по каждой ветви. Разность между полным располагаемым давлением и падением давления ветви не должна выходить за пределы ±10 %. В тех ветвях, где расхождение больше ±10%, необходимо установить диафрагмы, методика расчета которых изложена выше. Следовательно, в рассчитываемой сети необходим вентилятор, обеспечивающий расход воздуха 600 м3/ч и давление 115 Па. Выбираем вентилятор фирмы Данные в рабочей точке Шумовые характеристики Рис. 5.4.8. Характеристика вентилятора К200М фирмы Sestemair 5.4.3. Совместная работа вентиляторов В ряде случаев для обеспечения заданной подачи или давления в сети, повышения надежности системы или из-за архитектурно-планировочных проблем возникает необходимость совместной работы нескольких вентиляторов. Для повышения давления в сети вентиляторы включаются последовательно, для повышения подачи — параллельно. В некоторых случаях бывают смешанные соединения. Параллельное соединение вентиляторов Случай 1. Вентиляторы с одинаковой характеристикой Анализ режимов работы вентиляторов при параллельном соединении проведем графически. На рис. 5.4.9 показана характеристика двух одинаковых вентиляторов (кривая 1). При параллельном включении разность давлений на обоих вентиляторах одинакова, величины подачи складываются. Поэтому для построения суммарной характеристики необходимо при одном значении давлений складывать величины подач. В результате получаем кривую 2. При включении вентилятора в сеть с характеристикой 3 рабочий режим определяется точкой А. Суммарная подача воздуха определяется величиной работе вентиляторов, равно давлению одного вентилятора. Подача каждого вентилятора определяется как половина от суммарной и может быть определена графически по положению точки, При отключении одного вентилятора характеристика сети пойдет несколько круче (кривая 4) вследствие уменьшения проходного сечения воздуховода. Рабочая точка перейдет в положение . Случай 2. Вентиляторы с разными характеристиками Рассмотрим параллельную работу двух вентиляторов с разными характеристиками (рис. 4.4.10, кривые 1 и 2). Построение суммарной характеристики осуществляется аналогичным способом (кривая 3). При режимах работы вентилятора правее точки Б (участок А-Б) оба нагнетателя имеют положительную подачу, и суммарная подача превышает подачу одного вентилятора. Таким образом, параллельное включение в этих областях является эффективным. Суммарная подача двух вентиляторов в сети с характеристикой 5 (точка Б) равна подаче одного вентилятора 2. Поэтому работа двух вентиляторов в этой точке области является нецелесообразной. На участке, расположенном левее точки Б (участок Б-В), суммарная подача в сети с характеристикой 4 меньше подачи одного вентилятора, так как подача вентилятора 2 имеет положительное значение, а вентилятора 1 — отрицательное, то есть поток в нем направлен в обратную сторону (рис. 5.4.10). В этом случае работа вентилятора 1 вредно сказывается на всей системе и поэтому недопустима. Такая же ситуация может возникнуть при параллельной работе вентиляторов с седлообразными характеристиками. Наличие впадины на характеристиках может привести к неоднозначности в работе всей системы. Последовательное соединение вентиляторов Суммарная характеристика вентиляторов с одинаковыми характеристиками, полученная методом сложения, показана на рис. 5.4.11. При последовательном соединении двух одинаковых вентиляторов (рис. 5.4.11, а, кривая 1) суммарная характеристика определится кривой 2. Рабочая точка Л имеет следующие параметры: • давление равно сумме давлений подача соответствует подаче одного вентилятора; потребляемая мощность равна потребляемой мощности двух вентиляторов. Рис. 5.4.11. Последовательное включение двух вентиляторов: а — одинаковой производительности; 6 — различной производительности При отключении одного вентилятора характеристика сети пойдет круче (рис. 4.4.11, пунктирная линия). Рабочая точка переместится в положение. давление снизится — . подача уменьшится — потребляемая мощность снизится —. Последовательное соединение вентиляторов с различными характеристиками показано на рис. 5.4.11, б. Как видно из рисунка, последовательное включение вентиляторов целесообразно, когда рабочая точка расположена левее точки. 5.4.4. Правила теории подобия для вентиляторов Регулировка расхода воздуха в вентиляционной сети может осуществляться путем изменения сечения воздуховода или уменьшения скорости вращения вентилятора. Последний способ более предпочтителен, так как позволяет экономить потребляемую мощность и исключает возможный перегрев электродвигателя. Изменение скорости вращения вентилятора осуществляется за счет изменения передаточного числа привода или изменения напряжения (для электродвигателей с большим сопротивлением ротора). Для расчета параметров вентиляторов используют правила теории подобия, которые объединены в две группы законов. В первую группу входят законы взаимосвязи кинематических и динамических параметров, то есть законы, связанные с изменением параметров одного и того же вентилятора за счет изменения числа его оборотов. Согласно этим законам: объемный расход изменяется пропорционально отношению числа оборотов; давление изменяется пропорционально числу оборотов во второй степени; потребляемая мощность изменяется пропорционально числу оборотов в третьей степени. Ко второй группе относятся законы геометрического подобия, связывающие параметры геометрически подобных вентиляторов, работающих с одной и той же скоростью. Согласно этим законам: давление изменяется пропорционально значению радиуса колеса объемный расход изменяется пропорционально значению радиуса потребляемая мощность изменяется пропорционально значению 5.5. Конструкции вентиляторов Центробежные вентиляторы в зависимости от устройства привода электродвигателя могут иметь следующее исполнение: рабочее колесо непосредственно на валу электродвигателя (серия рабочее колесо и шкив на консольных участках собственного вала рабочее колесо между двумя подшипниками и шкив на консоли Вентиляторы серии Ц4-70 изготавливаются с номерами 2,5; 3; 4; 5; 6; 6,3; 8; 10; 12 и 16. Они имеют высокий КПД и развивают давление до 2200 Па. Рабочее колесо имеет 12 лопаток, загнутых назад. Максимальная окружная скорость колеса 60 м/с. Вентиляторы №10 и 12 выполняются из нержавеющей стали. Вентиляторы серии Ц4-76 изготавливаются с номерами 12, 16 и 20. Они отличаются высоким КПД и предназначены для систем вентиляции и кондиционирования воздуха, а также воздушного отопления. Вентиляторы выполняются со шкивами для клиноременной передачи и развивают давление до 2200 Па. Вентиляторы серии Ц4-100 (№ 16 и 20) двустороннего всасывания обладают высокой производительностью и имеют компактные размеры. Технические характеристики приведены в [28]. Содержание дисциплины “Промышленная вентиляция и кондиционирование воздуха” (2006–2007 учебный год) Введение Дисциплина “Промышленная вентиляция и кондиционирование воздуха”, ее структура и содержание. Цель и задачи дисциплины “ПВ и КВ”, связь с другими дисциплинами. Основные понятия, термины и определения. Раздел 1. Вентиляция на объектах промышленных предприятий 1.1 Санитарно-гигиеническое нормирование параметров атмосферного воздуха 1.2 Системы вентиляции и кондиционирования воздуха. 1.2.1 Классификация систем вентиляции. 1.2.2 Классификация систем кондиционирования воздуха. 1.3 Требования к системам вентиляции и кондиционирования воздуха 1.4 Естественная вентиляция 1.5 Механическая вентиляция 1.6 Основные требования к вентиляционным установкам Раздел 2. Тепловое взаимодействие человека с окружающей средой. 1. Значение вентиляции и кондиционирования воздуха. 2. Влияние микроклимата на повышение работоспособности и производительности труда. 3. Оценка эффективности комфортного кондиционирования воздуха в производственных помещениях и горных выработках. Раздел 3. Теоретические основы вентиляции и кондиционирования воздуха 1. Основные свойства влажного воздуха. 2. Расчет воздухообмена вентиляционных сетей. 3. І - в диаграмма влажного воздуха. 4. Процесс нагревания воздуха на І–d диаграмме. 5. Процесс охлаждения воздуха на І–d диаграмме. 6. Процесс осушки влажного воздуха на І–d диаграмме. 7. Адиабатическое увлажнение и охлаждение на І–d диаграмме. 8. Смешение воздуха с различными параметрами на І–d диаграмме. 9. Угловой коэффициент на І–d диаграмме. Раздел 4. Теоретические основы технологии получения холода. 1. Основные понятия, связанные с работой холодильной машины. 2. Принципы работы холодильной машины 3. Термодинамические циклы холодильных машин 4. P–V диаграмма холодильного цикла 5. Т-S диаграмма холодильного цикла 6. P-I диаграмма холодильного цикла 7. Т-S и P-I диаграммы холодильных циклов многокомпонентных хладагентов 8. Основные элементы холодильной машины 9. Работа холодильной машины в режиме теплового насоса 10. Холодильные агенты Раздел 5. Вентиляторы и вентиляционные сети. 1. Классификация вентиляторов. Центробежные вентиляторы. Диаметральные вентиляторы. Осевые вентиляторы. 2. Основные характеристики вентиляторов. 3. Графические характеристики вентиляторов. 4. Вентиляционные сети. 4.1 Работа вентилятора в сети. 4.2 Аэродинамический расчет воздухораспределительных сетей. 4.3 Совместная работа вентиляторов. 4.4 Правила теории подобия для вентиляторов. 5. Конструкции вентиляторов. Раздел 4. Теоретические основы технологии получения холода. 4.1. Принцип работы холодильной машины. 4.1.1. Основные понятия, связанные с работой холодильной машины. Охлаждение в кондиционерах производится за счет поглощения тепла при кипении жидкости. Когда мы говорим о кипящей жидкости, мы, естественно, думаем, что она горячая. Однако это не совсем верно. Во-первых, температура кипения жидкости зависит от давления окружающей среды. Чем выше давление, тем выше температура кипения и, наоборот, чем ниже давление, тем ниже температура кипения. При нормальном атмосферном давлении 760 мм рт.ст. (1 атм) вода кипит при 100 °С, но если давление пониженное, как например в горах на высоте 7000-8000 м, вода начнет кипеть уже при температуре 40-60 °С. Во-вторых, при одинаковых условиях разные жидкости имеют различные температуры кипения. Например, фреон R-22, широко используемый в холодильной технике, при нормальном атмосферном давлении имеет температуру кипения минус 40,8 °С. Если жидкий фреон находится в открытом сосуде, т.е. при атмосферном давлении и температуре окружающей среды, то он немедленно вскипает, поглощая при этом большое количество тепла из окружающей среды или любого материала, с которым находится в контакте. В холодильной машине фреон кипит не в открытом сосуде, а в специальном теплообменнике, называемом испарителем. При этом кипящий в трубках испарителя фреон активно поглощает тепло от воздушного потока, омывающего наружную, как правило, оребренную поверхность трубок. Теперь рассмотрим процесс конденсации паров жидкости на примере того же фреона R-22. Температура конденсации паров фреона, так же, как и температура кипения, за висит от давления окружающей среды. Чем выше давление, тем выше температура конденсации. Так, например, конденсация паров фреона R-22 при давлении 23 атм начинается уже при температуре 55 °С. Процесс конденсации фреоновых паров, как и любой другой жидкости, сопровождается выделением большого количества тепла в окружающую среду или применительно к холодильной машине передачей этого тепла потоку воздуха или жидкости в специальном теплообменнике, называемом конденсатором. Естественно, чтобы процесс кипения фреона в испарителе и соответствующего охлаждения воздуха, а также процесс конденсации и соответствующий отвод тепла в конденсаторе был непрерывным, необходимо постоянно «подливать» в испаритель жидкий фреон, а в конденсатор постоянно подавать пары фреона. Такой непрерывный процесс (цикл) осуществляется в холодильной машине. Наиболее обширный класс холодильных машин базируется на компрессионном цикле охлаждения, основными конструктивными элементами которого являются – компрессор, испаритель, конденсатор и регулятор потока (капиллярная трубка), соединенные трубопроводами и представляющие собой замкнутую систему, в которой циркуляцию хладагента (фреона) осуществляет компрессор. Кроме обеспечения циркуляции, компрессор поддерживает в конденсаторе (на линии нагнетания) и высокое давление, порядка 20-23 атм. Теперь,: когда рассмотрены основные понятия, связанные с работой холодильной машины, перейдем к более подробному рассмотрению схемы компрессионного цикла охлаждения, конструктивному исполнению и функциональному назначению отдельных узлов и элементов. 4.1.2. Схема компрессионного цикла охлаждения. В начале этого раздела следует сразу отметить, что кондиционер – это та же холодильная машина, но предназначенная для тепловлажностной обработки воздушного потока. Кроме того, кондиционер обладает существенно большими возможностями, более сложной конструкцией, многочисленными дополнительными опциями и т.п. Обработка воздуха предполагает придание ему определенных кондиций, таких как температура и влажность, а также направление движения и подвижность (скорость движения). Итак, теперь остановимся на принципе работы и физических процессах, происходящих в холодильной машине. Охлаждение в кондиционере или далее по тексту холодильной машине обеспечивается непрерывной циркуляцией, кипением и конденсацией хладагента в замкнутой системе. Кипение хладагента происходит при низком давлении и низкой температуре, а конденсация – при высоком давлении и температуре. Принципиальная схема компрессионного цикла охлаждения показана на рис. 4.1.
Рис. 4.1. Схема компрессионного цикла охлаждения Начнем рассмотрение работы цикла с выхода испарителя (участок 1-1). Здесь хладагент находится в парообразном состоянии, с низким давлением и температурой. Парообразный хладагент всасывается компрессором, который повышает его давление до 15-25 атм и температуру до 70-90 °С (участок 2-2). Далее в конденсаторе горячий парообразный хладагент охлаждается и конденсируется, т.е. переходит в жидкую фазу. Конденсатор может быть либо с воздушным, либо с водяным охлаждением, в зависимости от типа холодильной системы. На выходе из конденсатора (точка 3) хладагент находится в жидком состоянии при высоком давлении. Размеры конденсатора выбираются таким образом, чтобы газ полностью сконденсировался внутри конденсатора. Поэтому температура жидкости на выходе из конденсатора оказывается несколько ниже температуры конденсации. Переохлаждение в конденсаторах с воздушным охлаждением обычно составляет примерно 4-7 °С. При этом температура конденсации примерно на 10-20 °С выше температуры атмосферного воздуха. Затем хладагент в жидкой фазе при высокой температуре и давлении поступает в регулятор потока, где давление смеси резко уменьшается, часть жидкости при этом может испариться, переходя в парообразную фазу. Таким образом, в испаритель попадает смесь пара и жидкости (точка 4). Жидкость кипит в испарителе, отбирая тепло от окружающего воздуха, и вновь переходит в парообразное состояние. Размеры испарителя выбираются таким образом, чтобы жидкость полностью испарилась внутри испарителя. Поэтому температура пара на выходе из испарителя оказывается выше температуры кипения, происходит так называемый перегрев хладагента в испарителе. В этом случае даже самые маленькие капельки хладагента испаряются и в компрессор не попадает жидкость. Следует отметить, что в случае попадания жидкого хладагента в компрессор, так называемого «гидравлического удара», возможны повреждения и поломки клапанов и других деталей компрессора. Для конденсаторов с воздушным охлаждением величина перегрева составляет 5-8 °С. Перегретый пар выходит из испарителя (точка 1), и цикл возобновляется. Таким образом, хладагент постоянно циркулирует по замкнутому контуру, меняя свое агрегатное состояние с жидкого на парообразное и наоборот. Все компрессионные циклы холодильных машин включают два определенных уровня давления. Граница между ними проходит через нагнетательный клапан на выходе компрессора с одной стороны и выход из регулятора потока (из капиллярной трубки) с другой стороны. Нагнетательный клапан компрессора и выходное отверстие регулятора потока являются разделительными точками между сторонами высокого и низкого давлений в холодильной машине. На стороне высокого давления находятся все элементы, работающие при давлении конденсации. На стороне низкого давления находятся все элементы, работающие при давлении испарения. Несмотря на то, что существует много типов компрессионных холодильных машин, принципиальная схема цикла в них практически одинакова. Теоретический и реальный цикл охлаждения Цикл охлаждения можно представить графически в виде диаграммы зависимости абсолютного давления и теплосодержания (энтальпии). На диаграмме (рис.4.2) представлена характерная кривая насыщения хладагента. Левая часть кривой соответствует состоянию насыщенной жидкости, правая часть – состоянию насыщенного пара. Две кривые соединяются в центре в так называемой «критической точке», где хладагент может находиться как в жидком, так и в парообразном состоянии. Зоны слева и справа от кривой соответствуют переохлажденной жидкости и перегретому пару. Внутри кривой линии помещается зона, соответствующая состоянию смеси жидкости и пара.
Рис. 4.2. Диаграмма давления и теплосодержания Левая часть кривой соответствует состоянию насыщенной жидкости, правая часть – состоянию насыщенного пара. Две кривые соединяются в центре в так называемой «критической точке», где хладагент может находиться как в жидком, так и в парообразном состоянии. Зоны слева и справа от кривой соответствуют переохлажденной жидкости и перегретому пару. Внутри кривой линии помещается зона, соответствующая состоянию смеси жидкости и пара. Рассмотрим схему теоретического (идеального) цикла охлаждения с тем, чтобы лучше понять действующие факторы (рис.4.З).
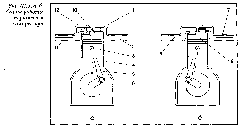
Рис. 4.3. Изображение теоретического цикла сжатия на диаграмме «Давление и теплосодержание»: CL: потеря давления при всасывании; MD: потеря давления при выходе; HDHC: теоретический термический эквивалент сжатия; HD'HC: реальный термический эквивалент сжатия; CD: теоретическое сжатие; LM: реальное сжатие Рассмотрим наиболее характерные процессы, происходящие в компрессионном цикле охлаждения. Сжатие пара в компрессоре Холодный парообразный насыщенный хладагент поступает в компрессор (точка С"). В процессе сжатия повышаются его давление и температура (точка D). Теплосодержание (энтальпия) также повышается на величину, определяемую отрезком HC-HD, то есть проекцией линии C-D на горизонтальную ось. Конденсация В конце цикла сжатия (точка D) горячий пар поступает в конденсатор, где начинается его конденсация и переход из состояния горячего пара в состояние горячей жидкости. Этот переход в новое состояние происходит при неизменных давлении и температуре. Следует отметить, что, хотя температура смеси остается практически неизменной, теплосодержание уменьшается за счет отвода тепла от конденсатора и превращения пара в жидкость, поэтому он отображается на диаграмме в виде прямой, параллельной горизонтальной оси. Процесс в конденсаторе происходит в три стадии: снятие перегрева (D-E), собственно конденсация (Е-А) и переохлаждение жидкости (А-А'). Рассмотрим кратко каждый этап. Снятие перегрева (D-E) Это первая фаза, происходящая в конденсаторе, и в течение ее температура охлаждаемого пара снижается до температуры насыщения или конденсации. На этом этапе происходит лишь отъем излишнего тепла и не происходит изменение агрегатного состояния хладагента. На этом участке снимается примерно 10-20% общего тепла в конденсаторе. Конденсация (Е-А) Температура конденсации охлаждаемого пара и образующейся жидкости сохраняется постоянной на всем протяжении всей этой фазы. Происходит изменение агрегатного состояния хладагента с переходом насыщенного пара в состояние насыщенной жидкости. На этом участке снимается 60-80% тепла. Переохлаждение жидкости (А-А) На этой фазе хладагент, находящийся в жидком состоянии, подвергается дальнейшему охлаждению, в результате чего его температура понижается. Получается переохлажденная жидкость (по отношению к состоянию насыщенной жидкости) без изменения агрегатного состояния. Переохлаждение хладагента дает значительные энергетические преимущества: при нормальном функционировании понижение температуры хладагента на один градус соответствует повышению мощности холодильной машины примерно на 1% при том же уровне энергопотребления. Количество тепла, выделяемого в конденсаторе Участок D-A' соответствует изменению теплосодержания хладагента в конденсаторе и характеризует количество тепла, выделяемого в конденсаторе. Регулятор потока [А'-В] Переохлажденная жидкость с параметрами в точке А' поступает на регулятор потока (капиллярную трубку или терморегулирующий расширительный клапан), где происходит резкое снижение давления. Если давление за регулятором потока становится достаточно низким, то кипение хладагента может происходить непосредственно за регулятором, достигая параметров точки В. Испарение жидкости в испарителе [В'-С] Смесь жидкости и пара (точка В') поступает в испаритель, где она поглощает тепло от окружающей среды (потока воздуха) и переходит полностью в парообразное состояние (точка С). Процесс идет при постоянной температуре, но с увеличением теплосодержания. Как уже говорилось выше, парообразный хладагент несколько перегревается на выходе испарителя. Главная задача фазы перегрева (С-С) – обеспечение полного испарения остающихся капель жидкости, чтобы в компрессор поступал только парообразный хладагент. Это требует повышения площади теплообменной поверхности испарителя на 2-3% на каждые 0,5 °С перегрева. Поскольку обычно перегрев соответствуют 5-8 °С, то увеличение площади поверхности испарителя может составлять около 20%, что безусловно оправдано, т.к. увеличивает эффективность охлаждения. Количество тепла, поглощаемого испарителем Участок НВ-НС соответствует изменению теплосодержания хладагента в испарителе и характеризует количество тепла, поглощаемого испарителем. Реальный цикл охлаждения В действительности в результате потерь давления, возникающих на линии всасывания и нагнетания, а также в клапанах компрессора, цикл охлаждения отображается на диаграмме несколько иным образом (см. рис. 4.3) Из-за потерь давления на входе (участок C-L) компрессор должен производить всасывание при давлении ниже давления испарения. С другой стороны, из-за потерь давления на выходе (участок M-D') компрессор должен сжимать парообразный хладагент до давлений выше давления конденсации. Необходимость компенсации потерь увеличивает работу сжатия и снижает эффективность цикла. Помимо потерь давления в трубопроводах и клапанах, на отклонение реального цикла от теоретического влияют также потери в процессе сжатия. Во-первых, процесс сжатия в компрессоре отличается от адиабатического. Поэтому реальная работа сжатия оказывается выше теоретической, что также ведет к энергетическим потерям. Во-вторых, в компрессоре имеются чисто механические потери, приводящие к увеличению потребной мощности электродвигателя компрессора и увеличению работы сжатия. В третьих, из-за того, что давление в цилиндре компрессора в конце цикла всасывания всегда ниже давления пара перед компрессором (давления испарения), также уменьшается производительность компрессора. Кроме того, в компрессоре всегда имеется объем, не участвующий в процессе сжатия, например, объем под головкой цилиндра. Оценка эффективности цикла охлаждения Эффективность цикла охлаждения обычно оценивается коэффициентом полезного действия или коэффициентом термической (термодинамической) эффективности. Коэффициент эффективности может быть вычислен как соотношение изменения теплосодержания хладагента в испарителе (НС-НВ) к изменению теплосодержания хладагента в процессе сжатия (HD-HC). Фактически он представляет собой соотношение холодильной мощности и электрической мощности, потребляемой компрессором. Причем он не является показателем производительности холодильной машины, а представляет собой сравнительный параметр при оценке эффективности процесса передачи энергии. Так, например, если холодильная машина имеет коэффициент термической эффективности, равный 2,5, то это означает, что на каждую единицу электроэнергии, потребляемой холодильной машиной, производится 2,5 единицы холода. 4.1.3. Основные элементы холодильной машины. 1. Компрессор. Компрессор всасывает парообразный хладагент, поступающий от испарителя при низкой температуре и низком давлении, производит его сжатие, повышая давление и температуру, и направляет затем к конденсатору. В зависимости от условий работы холодильной машины, давление паров хладагента на выходе компрессора может составлять 15-25 атм, а температура 70-90 °С. Важной характеристикой компрессора является степень сжатия и объем хладагента, который нагнетается компрессором. Степень сжатия определяется как отношение максимального давления на выходе компрессора к максимальному давлению на входе. По своему конструктивному исполнению компрессоры, используемые в холодильных машинах, могут быть разделены на две основные категории: поршневые; ротационные; спиральные; винтовые. Принципиальное отличие ротационных, спиральных и винтовых компрессоров от поршневых заключается в том, что всасывание и сжатие хладагента осуществляется не за счет возвратно-поступательного движения поршней в цилиндрах, а за счет вращательного движения рабочих органов, соответственно пластин, спиралей и винтов. Компрессоры поршневые Наибольшее распространение получили поршневые компрессоры. Схема работы такого компрессора показана на рис. 4.4.
Рис. 4.4, а,б. Схема работы поршневого компрессора: 1 – выпускной клапан; 2 – линия нагнетания к конденсатору; 3 – поршень; 4 – цилиндр; 5 – коленчатый вал; 7 – давление нагнетания; 8 – давление в цилиндре; 9 – давление всасывания; 10 – головка клапанов; 11 – линия всасывания от испарителя; 12 – выпускной клапан. Сжатие газа обеспечивается поршнем (3) при его движении вверх по цилиндру (4). Перемещение поршня обеспечивается электродвигателем через коленчатый вал (6) и шатун (5). Всасывающие и выпускные клапаны открываются и закрываются под действием давления газа. Фаза всасывания хладагента показана на рис. 4.4, а. Поршень (3) начинает опускаться в цилиндре (4) от верхней т.н. «мертвой точки». При движении поршня вниз, над поршнем создается разрежение и парообразный хладагент через открытый впускной клапан (10) всасывается в цилиндр. Фаза сжатия и выпуска разогретого пара высокого давления показана на рис. 4.4, 6. Поршень двигается в цилиндре вверх и сжимает пар. Выпускной клапан (1) открывается, и пар под давлением выходит из компрессора. Конструкция цилиндра такова, что поршень никогда не касается головки клапанов (10), всегда оставляя некоторое свободное пространство, называемое «мертвым объемом». Поршневые комрессоры производятся в различных модификациях. В зависимости от типа конструкции и от типа электродвигателя различают компрессоры: герметичные; полугерметичные; открытые. В герметичных комрессорах электродвигатель и компрессор расположены в единов герметичном корпусе. Мощность таких компрессоров может составлять 1,7-35 кВт. Они широко используются в холодильных машинах малой и средней мощности. Типовой герметичный компрессор показан на рис. 4.4, в. Рис. 4.4, в. Типовой герметичный компрессор В полугерметичных компрессорах электродвигатель и компрессор закрыты, соединены напрямую и расположены по горизонтали в едином разборном контейнере. Эти компрессора производятся в широкой гамме мощностей от 30 до 300 кВт. В случае повреждения можно вынимать электродвигатель, получая доступ к клапанам, поршню, шатунам и другим поврежденным частям. Они широко применяются в холодильных машинах средней и средне-большой мощности (рис. 4.4, г). Рис. 4.4, г. Полугерметичный компрессор В открытых компрессорах электродвигатель расположен снаружи (вал с соответствующими сальниками выведен за пределы корпуса). Соединение электродвигателя с компрессором может быть прямым (в линию) либо через трансмиссию. Охлаждение электродвигателя герметичных и полугерметичных компрессоров производится самим же всасываемым хладагентом. Регулирование мощности холодильной установки может выполняться как в режиме «пуск-остановка», так и с плавной регулировкой скорости вращения компрессора, с использованием специальных устройств, называемых инверторами. В полугерметичных компрессорах регулирование мощности может обеспечиваться также перепуском газа с выхода на вход либо закрытием всасывающего клапана одного или нескольких цилиндров. Для привода компрессора используются, в зависимости от мощности, однофазные с конденсаторным пуском или трехфазные электродвигатели. Основным недостатком поршневого компрессора является наличие пульсаций давления паров хладагента на выходе из компрессора, а также большие пусковые нагрузки. Поэтому электродвигатель должен иметь запас мощности для пуска компрессора и иметь акустическую защиту для снижения уровня шума. 2. Конденсатор. Конденсатор представляет собой теплообменный аппарат, который передает тепловую энергию от хладагента к окружающей среде, чаще всего воде или воздуху. Тепловая энергия, передаваемая хладагентом через конденсатор, складывается из: тепла, поглощенного испарителем холодильного контура, и тепла, вырабатываемого компрессором при сжатии хладагента. Тепло, выделяемое конденсатором, примерно равно холодопроизводительности холодильной машины, увеличенной на 30-35%. Так, для холодильной машины мощностью 10 кВт общий объем тепла, выделяемый конденсатором, составляет около 13-13,5 кВт. Выделяемое тепло отводится окружающим воздухом (конденсаторы с воздушным охлаждением) или жидкостью (конденсаторы с водяным охлаждением). Конденсаторы с воздушным охлаждением Наибольшее распространение получили конденсаторы с воздушным охлаждением. Они состоят из теплообменника и блока вентилятора с электродвигателем. Теплообменник обычно изготавливается из медных трубок диаметром 6 мм и 19 мм, как правило, с оребрением. Расстояние между ребрами обычно составляет 1,5-3 мм. Медь легко поддается обработке, не подвержена окислению и имеет высокие показатели теплопроводности. Выбор диаметра трубок зависит от большого количества факторов: легкости обработки, потерь давления в линии хладагента, потерь давления со стороны охлаждающей воздушной среды и т.д. В настоящее время наблюдается тенденция использования трубок малого диаметра. Оребрение трубок теплообменника чаще всего изготавливают из алюминия. Причем тип оребрения, его профиль и конфигурация могут быть весьма разнообразны и существенно влиять на тепловые и гидравлические характеристики теплообменника. Так, например, использование сложного профиля оребрения с просечками, выступами и т.п. позволяет создать большую турбулентность воздуха вблизи поверхности ребра. Тем самым повышается эффективность теплопередачи между хладагентом, проходящим по трубкам, и внешним воздухом. Хотя в этом случае несколько увеличивается гидравлическое сопротивление, что потребует установки вентилятора большей мощности, достигается существенное повышение производительности холодильной машины с лихвой оправдывает увеличенную энергоемкость установки. Соединение трубки с ребрами может быть выполнено двумя способами: ◘ либо в ребре просто делается отверстие для непосредственного контакта с трубкой; ◘ либо в месте подсоединения ребра к трубке делается воротничок (буртик), повышаю щий поверхность теплообмена Преимущество первого варианта состоит в простоте (экономичности) производства, однако, в связи с неплотным контактом ребра с трубкой, передача тепла внешней среде ограничена. Кроме того, при работе в загрязненной либо агрессивной атмосфере по контуру прилегания ребер к трубке может появиться коррозия. Это значительно снижает полезную поверхность теплообмена, приводит к снижению производительности и повышению температуры конденсации. Скорость воздушного потока, проходящего через теплообменник, обычно составляет от 1,0 до 3,5 м/с. Внутренняя поверхность трубок также может быть рифлённой, что позволяет обеспечить большую турбуленьность, а следовательно, теплоотдачу хладагента. Конденсаторы обычно имеют один или несколько рядов трубок (чаще всего до 4-х), расположенных в направлении прохождения потока охлаждающего воздуха. Трубки могут располагаться на одном уровне либо ступенями (в шахматном порядке) для повышения эффективности теплообмена (рис. 4.5).
Рис. 4.5. Схема конденсатора с воздушным охлаждением: 1 – медная трубка; 2 - оребрение Важным аспектом является схема движения рабочих средств в теплообменнике. Горячий хладагент поступает в конденсатор сверху и постепенно опускается вниз. В верхней части теплообменника происходит наиболее интенсивное охлаждение хладагента, для чего используется примерно 5% полезной площади теплообменника. На этом начальном участке теплообменника теплопередача весьма значительна, благодаря большому перепаду температур между хладагентом и холодным воздухом и высокому коэффициенту теплопередачи, обусловленному высокой скоростью движения хладагента. На следующем основном участке охлаждения, составляющем около 85% всей полезной поверхности теплообменника, процесс конденсации парообразного фреона проходит при почти неизменной температуре. Остающиеся 10% полезной поверхности теплообмена используются для «дополнительного охлаждения» хладагента. Количество отводимого в этой зоне тепла составляет примерно 5% общего показателя теплообмена, что связано с небольшим перепадом температур между хладагентом, перешедшим в жидкую фазу, и продувочным воздухом. Температура конденсации превышает температуру окружающего воздуха примерно на 10-20 °С, а температура выходящего из теплообменника воздуха на 3-5,5 °С ниже температуры конденсации. Абсолютные показатели температуры конденсации обычно составляют 42-55 °С. В табл. 4.11 представлена зависимость температуры конденсации парообразного фреона R-22 от температуры окружающего воздуха. Таблица 4.11. Зависимость температуры конденсации от температуры окружающего воздуха.
Характеристики конденсаторов зависят как от типа хладагента и температуры окружающей среды, так и от атмосферного давления окружающего воздуха (высоты над уровнем моря). 3. Испаритель Испарители служат для охлаждения рабочей среды – воздуха или воды. Соответственно эти теплообменники подразделяются на испарители для охлаждения воды или жидкостей, содержащих антифриз, и для охлаждения воздуха. Пластинчатые испарители для охлаждения воды Пластинчатые испарители обладают теми же характеристиками, что и аналогичные конденсаторы, описание которых было приведено ранее. Они обладают большей устойчивостью к замораживанию в случае поломки или различных аномалий по сравнению с традиционными типами испарителей. Учитывая малый объем жидкости в пластинчатом испарителе, необходимо предусмотреть в системе наличие аккумулирующего бака, позволяющего избежать слишком частые включения и отключения омпрессора. Кожухотрубные испарители для охлаждения воды Эти испарители состоят из кожуха и собранных в пучок прямых трубок. Хладагент циркулирует в трубках испарителя, в то время как вода омывает трубки с внешней стороны. Разделительные пластины, установленные в корпусе, направляют поток воды и несколько раз меняют его направление. На рис.4.6показана внутренняя конструкция кожухотрубного испарителя. Как видно из рисунка, пластины крепления трубок имеют соответствующие головки с патрубками входа и выхода хладагента
Рис. 4.6. Схема кожухотрубного испарителя Испаритель может иметь один или два независимых контура. Вода, поступающая для охлаждения, входит и выходит через два боковых горизонтальных патрубка, расположенных с двух сторон кожуха. Конструкция и характеристики испарителя аналогичны конденсаторам с водяным охлаждением. Вода в испарителе циркулирует перпендикулярно трубкам и с довольно большой скоростью (от 0,6 до 3,0 м/с) благодаря разделительным перегородкам. Такое техническое решение, существенно повышает эффективность теплообмена. Кожухотрубные испарители предначены для работы с различными хладагентами и выполняются в очень широкой гамме мощностей от 7 до 200 кВт и более. Испарители для охлаждения воздуха Воздушные испарители представляют собой теплообменники с одним или несколькими рядами медных трубок с алюминиевым оребрением аналогично воздушным конденсаторам. Хладагент циркулирует внутри трубок, охлаждаемый воздух между пластинами (ребрами). Характеристики трубок и пластин аналогичны воздушным конденсаторам. Количество рядов трубок чаще всего колеблется в пределах от 4-х до 6-ти. Наиболее распространенные диаметры трубок: 5/16", 3/8" и 1/2"; расстояние между ребрами колеблется от 1,4 до 1,8 мм. Трубки могут располагаться по ходу воздуха в ряд или в шахматном порядке. Начиная с определенной мощности, воздушные испарители изготавливаются с двумя или более контурами охлаждения, имеющими независимый подвод хладагента с помощью распределителя. Это делается для того, чтобы более равномерно запитать теплообменник. Распределение на два и более независимых контура позволяет более гибко реагировать на изменения в режиме работы. Соединение распределителя с каждым из независимых контуров осуществляется через трубки малого диаметра. Каждый контур наполняется одинаковым количеством хладагента. Поток воздуха также распределяется по теплообменнику равномерно, что предотвращает сбои в работе и исключает обледенение отдельных участков теплообменника. Опыт показывает, что наилучшие показатели качества работы испарителя достигаются, когда его объем позволяет развивать мощность от 2,8 до 7,0 кВт на каждый контур при использовании хладагента R-22. Скорость воздушного потока на входе в испаритель обычно составляет 2-3 м/с; при более высоких скоростях возможен проскок капель конденсата на выход теплообменника. Размеры теплообменников современных холодильных машин определяются исходя из расхода охлаждаемого воздуха. Ориентировочно это составляет около 195 м3/ч на 1кВт. Общая холодопроизводительность испарителя зависит от температуры испарения хладагента, задаваемой при проектировании, и температуры поступающего в испаритель воздуха, определяемой условиями его эксплуатации. Потери давления воздуха, проходящего через испаритель, зависят от многих факторов: диаметра трубок, площади и конфигурации ребер, количества рядов трубок, скорости воздушного потока на входе и количества образующегося на оребрении трубок конденсата. Коэффициент просачивания (Bypass) Следует отметить, что не весь воздух, который подается в испаритель, участвует в процессе теплообмена. Часть воздуха может проходить мимо теплообменника по периферии. Коэффициент просачивания характеризует процентное количество воздуха, которое проходит минуя испаритель, не изменяя своих параметров. При низком коэффициенте просачивания увеличивается температура испарения и, следовательно, производительность холодильной машины. Возможно снижение габаритов компрессора; уменьшается потребный расход воздуха через испаритель. Возможно уменьшение размеров и мощности электровентиляторов; уменьшается потребная рабочая поверхность теплообменника. Возможно уменьшение количества трубок или количества рядов трубок теплообменника. При высоком коэффициенте просачивания уменьшается температура испарения и, следовательно, холодопроизводительность. Может понадобиться компрессор большего размера; увеличивается потребный расход воздуха через испаритель. Требуется электровентилятор большего размера и большей мощности; увеличивается потребная рабочая поверхность теплообмена, количество трубок или рядов теплообменника. 4. Вентилятор Вентиляторы обеспечивают обдув воздухом конденсаторов и испарителей. Обдув конденсаторов с воздушным охлаждением, устанавливаемых на открытом месте, выполняется, как правило, вентиляторами осевого типа, обеспечивающими необходимый расход охлаждающего воздуха при малом напоре. На 1 кВт поглощенного конденсатором тепла расходуется примерно 300-370 м3/ч наружного воздуха с перепадом температур 8-10 °С. Вентилятор обычно работает на всасывание, так как при этом воздух перед теплообменником не нагревается от вентилятора и электродвигателя. Кроме того, такое размещение позволяет создать более равномерный поток воздушной струи. Скорость вращения вентилятора составляет 750-1450 об./мин. В тех случаях, когда конденсатор устанавливается в помещении и воздух от конденсатора приходится выбрасывать на улицу через воздуховоды, используются центробежные вентиляторы, обеспечивающие более высокий напор 150-350 Па. В этих модификациях передача вращательного момента между двигателем и вентилятором производится с использованием клиноременной передачи. Подробная информация о типах и конструктивных особенностях вентиляторов представлена в [ ] 5. Регулятор потока Регулятор потока служит для дозированной подачи жидкого хладагента из области высокого давления (от конденсатора) в область низкого давления (к испарителю). Самым простым регулятором потока является свернутая в спираль тонкая длинная трубка, называемая капиллярной трубкой, диаметром 0,6-2,25 мм различной длины. Капиллярные трубки наиболее широко применяются в кондиционерах сплит-систем малой мощности. Это обусловлено их низкой стоимостью, простотой конструкции и надежностью в эксплуатации. Капиллярная трубка надежно функционирует как в условиях постоянной нагрузки (постоянных давлений нагнетания и всасывания), так и на переходных режимах. Однако в эксплуатации бывают случаи изменения нагрузки испарителя или колебания давления нагнетания компрессора, которые могут привести к недостаточному или избыточному питанию испарителя хладагентом. Это связано с тем, что расход хладагента через трубку зависит только от перепада давлений на трубке. Например: при понижении давления конденсации из-за снижения окружающей температуры заполнение испарителя будет недостаточно, вследствие чего упадет холодопроизводительность; при снижении тепловой нагрузки на испаритель весь жидкий хладагент не будет выкипать в испарителе и может попасть в компрессор и повредить его клапаны и подшипники. Это явление называют «гидравлическим ударом». В более мощных установках применяется терморегулирующий вентиль (ТРВ), регулирующий подачу хладагента в испаритель таким образом, чтобы поддерживать заданное давление испарения и перегрев в испарителе при изменении условий работы холодильной машины. На рис. 4.7 показана схема ТРВ с внутренним уравниванием для холодильных машин малой и средней мощности.
Рис. 4.7. Схемя ТРВ с внутренним уравниванием для холодильных машин малой и средней мощности: 1 – ТРВ; 2 – пружина; 3 – регулировочный винт; 4 – мембрана; 5 – испаритель; 6 – термобаллон. Расход хладагента через ТРВ определяется проходным сечением регулирующего клапана. На регулирующую мембрану (4) воздействует усилие пружины (2) и давление за клапаном (давление испарения), направленные на закрытие клапана. Над мембраной (4) термобаллоном (6) создается давление, направленное на открытие клапана. Термобаллон крепится к трубопроводу на выходе испарителя, поэтому давление в баллоне и, следовательно, над мембраной, определяется температурой на выходе испарителя (или перегревом в испарителе). При увеличении температуры наружного воздуха хладагент начинает кипеть более интенсивно. Перегрев хладагента увеличивается и соответственно растет температура термобаллона. Возросшее давление в баллоне воздействует на мембрану ТРВ и открывает клапан, увеличивая подачу хладагента в испаритель и восстанавливая состояние равновесия. При уменьшении температуры наружного воздуха процесс идет в обратную сторону. ТРВ прикрывается и уменьшает подачу хладагента в испаритель. Регулировкой настройки пружины (2) можно изменять настройку ТРВ, задавая давление испарения и величину перегрева. Однако при изменении гидравлического сопротивления испарителя вследствие варьирования условий работы холодильной машины ТРВ с внутренним уравниванием не позволяет точно поддерживать постоянное давление испарения на выходе. На рис. 4.8 показана схема ТРВ с внешним уравниванием.
Рис. 4.8. Схема терморегулирующего вентиля с внешним уравниванием: 1 – ТРВ; 2 – пружина; 3 – регулировочный винт; 4 – мембрана; 5 – испаритель; 6 – термобаллон; 7 – управляющая линия. В холодильных машинах средней и большой мощности при регулировании мощности применяют ТРВ с внешним уравниванием, в котором давление замеряется не за клапаном, а на выходе из испарителя с помощью дополнительной управляющей трубки (7). Благодаря такому подключению, ТРВ обеспечивает стабильное поддержание давления испарения и перегрева при переменном гидравлическом сопротивлении в испарителе. 4.1.4. Работа холодильной машины в режиме теплового насоса Как видно из схемы холодильного цикла, в кондиционере идет как бы перекачка тепла из помещения, в котором установлен испаритель, в окружающее пространство, как правило на улицу, где установлен конденсатор. Из испарителя всегда выходит более холодный воздух, а из конденсатора — более теплый. Если поменять местами конденсатор и испаритель, то мы будем греть помещение и охлаждать улицу, перекачивая тепло с улицы в комнату. Поскольку кондиционер не создает тепло (если, конечно, не учитывать нагрев от компрессора), а только перекачивает его, то затраты энергии получаются примерно в три раза меньше тепла, которое выделяется в помещении. Когда речь идет о замене конденсатора на испаритель, то под этим понимается так называемый реверсный (обратный) цикл или иначе цикл «теплового насоса», для чего в схему встраивается 4-х ходовой клапан, переключающий направление потоков хладагента. Схема холодильного контура, способного работать как в режиме охлаждения, так и в режиме «теплового насоса», показана на рис. 4.9. В режиме охлаждения (рис. 4.9, а) пары хладагента с выхода компрессора (1) четырехходовым клапаном (2) направляются в теплообменник наружного блока (8), где конденсируются. Через обратный клапан (3) и ресивер (4) жидкий фреон с высоким давлением попадает на терморегулирующий вентиль (6). Терморегулирующий вентиль (9) и обратный клапан (6) при этом закрыты. Из ТРВ (5) жидкий хладагент поступает к теплообменнику внутреннего блока (7), где испаряется и через четырехходовой клапан (2) поступает на вход компрессора (1). Рис. 4.9. Схема реверсивного холодильного цикла: 1 – компрессор; 2 – четырёхходовой клапан; 3,6 – обратный клапан; 4 – ресивер; 5,9 – терморегулирующий вентиль; 7,8 – теплообменник внутренненго блока
Рис. 4.10. Рис. 4.11. Реверсирование цикла производится четырехходовым клапаном (2). Схема работы четырехходового клапана в разных режимах показана на рис. 4.10 и 4.11. В режиме охлаждения (см. рис. 4.10) обмотка клапана обесточена и управляющий клапан соединяет левую полость поршня клапана с линией всасывания перед компрессором. Поршень перемещается влево и соединяет выход компрессора с теплообменником внешнего блока, а вход — с теплообменником внутреннего блока. В режиме обогрева (см. рис. 4.11) электропитание подается на обмотку клапана и управляющий клапан соединяет правую полость поршня с линией всасывания перед компрессором. Поршень перемещается вправо и соединяет выход компрессора с теплообменником внутреннего блока, а вход — с теплообменником внешнего блока. Таким образом, для обеспечения возможности работы кондиционера в режиме теплового насоса необходимо выполнить следующие мероприятия: Установить четырехходовой клапан реверсирования цикла. Изменить (усилить) конструкцию теплообменника внутреннего блока, так как в режиме обогрева он работает под высоким давлением. Установить отделитель жидкости перед компрессором, чтобы исключить попадание жидкого хладагента в компрессор при изменении режима работы кондиционера с охлаждения на обогрев и обратно. Установить еще один ТРВ и комплект обратных клапанов. Установить дополнительный ресивер для жидкого хладагента, так как усложняются условия работы кондиционера и увеличивается количество заправляемого хладагента. Эффективность работы кондиционера в режиме обогрева оценивается отношением изменения энтальпии хладагента (или количества тепла, выделяемого в конденсаторе (HD-HB) к изменению энтальпии хладагента в процессе сжатия (HD-HC) см. рис. 4.3. Аналогично режиму охлаждения, значение коэффициента эффективности кондиционера в режиме обогрева определяется как отношение тепловой мощности к электрической мощности компрессора, а также других вспомогательных элементов кондиционера. 4.1.5. Работа кондиционера при низкой температуре окружающего воздуха. Как правило воздушный конденсатор холодильной машины эксплуатируется в атмосферных условиях (на открытой площадке). Работа холодильной машины при низких температурах окружающего воздуха связана с рядом проблем, среди которых выделим пять основных: 1. Уменьшение холодопроизводительности в режиме охлаждения Из-за снижения температуры воздуха, обдувающего конденсатор наружного блока, уменьшаются температура и давление конденсации. Как следствие, уменьшается расход жидкого хладагента, поступающего в испаритель через регулятор расхода. В результате уменьшения расхода хладагента падает давление испарения и возможно отключение кондиционера при срабатывании устройств защиты по низкому давлению. Особенно заметно снижение расхода хладагента и уменьшение холодопроизводительности в кондиционерах с капиллярной трубкой, которой оснащаются практически все бытовые кондиционеры. В кондиционерах, оборудованных терморегулирующим вентилем, открытие ТРВ до какого-то момента компенсирует падение давления конденсации, но после того, как ТРВ откроется полностью, эффект будет таким же, как и в случае с капиллярной трубкой. Для увеличения давления конденсации при низкой температуре наружного воздуха принимаются следующие технические меры: уменьшается скорость вращения вентилятора обдува конденсатора (плавно или ступенчато) вплоть до полной его остановки; охлаждающий воздух перепускается мимо конденсатора или полностью перекрывается; перед конденсатором устанавливается специальный клапан регулирования давления конденсации, который отводит большую часть хладагента мимо конденсатора. Такое техническое решение позволило, например, в прецизионных кондиционерах фирмы UNIFLAIR (см. раздел 3.7) сохранить холодопроизводительность до температуры наружного воздуха минус 35 °С. Эффективной мерой сохранения холодопроизводительности блоков с центробежными вентиляторами, установленных в помещении (подвале, на чердаке и т.д.), является выброс выходящего из конденсатора воздуха не на улицу, а в это же помещение. Для этого в воздуховоде отвода воздуха от конденсатора устанавливаются дополнительные заслонки, которые перепускают часть или полный расход теплого воздуха, идущего от конденсатора. 2. Уменьшение теплопроизводительности в режиме обогрева В режиме обогрева происходит реверсирование цикла и теплообменник наружного блока выполняет роль испарителя. При низкой температуре наружного воздуха уменьшается перепад между температурой кипящего хладагента и температурой окружающего воздуха. Количество передаваемого тепла, необходимого для кипения хладагента, уменьшается и соответственно ухудшаются условия кипения хладагента. Как следствие, снижается давление всасывания, падает производительность компрессора. Одновременно снижаются давление и температура конденсации, что приводит к уменьшению теплопроизводительности кондиционера. В этих условиях необходимо максимально увеличить обдув испарителя. Обычно это достигается увеличением скорости вращения вентилятора наружного блока. По мере приближения температуры наружного воздуха к температуре кипения хладагента теплопроизводительность кондиционера снижается и при достижении минус 20-22 °С составляет 20-25%. 3. Обмерзание теплообменника наружного блока при длительной работе в режиме обогрева При работе кондиционера в режиме обогрева происходит охлаждение наружного воздуха, обдувающего теплообменник. При определенном соотношении температурных и влажностных параметров атмосферного воздуха возможно появление конденсата на пластинах теплообменника наружного блока, образование льда и обмерзание теплообменника. В ряде случаев возможно образование льда и обмерзание теплообменника. Образовавшийся лед не только ухудшает характеристики кондиционера, уменьшая теплопередачу, но и может физически повредить наружный блок, что может привести к довольно дорогостоящему ремонту. Поэтому предотвращению обмерзания и своевременной разморозке теплообменника наружного блока уделяется самое большое внимание. Для удаления льда и снеговой шубы с теплообменника наружного блока кондиционер кратковременно переводят в режим охлаждения. Теплообменник прогревается горячим конденсирующимся хладагентом, накопившийся лед растапливается, и наружный блок вновь готов к эксплуатации. На время оттайки теплообменника вентиляторы наружного и внутреннего блоков останавливаются. Алгоритм системы оттайки должен быть построен таким образом, чтобы, с одной стороны, — режим оттаивания включался как можно реже и на минимальное время, с другой стороны, чтобы не возникало накопление льда на теплообменнике. 4. Возможность повреждения компрессора при пуске. При низких температурах наружного воздуха жидкий хладагент может растворяться в масле компрессора. Поэтому во время остановки компрессора возможно попадание хладагента в масло, находящееся в картере компрессора. Во время пуска поршневого компрессора при движении поршня вверх в картере возникает разрежение и может происходить вскипание хладагента. Одновременно вспенивается масло и происходит его выброс в выходной трубопровод. Для исключения этого на компрессорах средней и большой мощности обязательно устанавливаются обогреватели картера, предотвращающие накопление жидкого хладагента в масле при выключенном компрессоре. В компрессорах роторного типа, не имеющего масляного картера, эта проблема менее остра, чем в поршневых компрессорах. Поэтому на компрессорах SCROLL малой мощности (примерно до 8-10 кВт) отсутствие обогревателя картера практически не влияет на работоспособность компрессора. 5. Опасность попадания жидкого хладагента в компрессор при работе в режиме обогрева. Ухудшение условий кипения хладагента в теплообменнике наружного блока при работе кондиционера в режиме охлаждения может привести к «проскоку» жидкого хладагента и попаданию его в компрессор. Возникающий при этом гидравлический удар может повредить компрессор. В связи с этим приходится устанавливать дополнительный ресивер (отделитель жидкости) перед компрессором на линии всасывания. 4.1.6. Основные сведения о хладагентах. Наиболее важными характеристиками хладагента являются следующие показатели: отсутствие негативных эффектов при воздействии на внешнюю среду, отсутствие токсичности и воспламеняемости; невысокое рабочее давление, приближенное к атмосферному, совместимость с материалами, используемыми в холодильных контурах, и со смазывающими маслами; высокие удельные показатели перехода в газообразную фазу (для перевода килограмма жидкости в газообразную фазу требуется большее количество тепла и, соответственно, меньшее количество хладагента при сохранении заданной производительности); невысокий удельный объем в газообразной фазе, что позволяет сократить объем и массу компрессора; умеренные температуры в конце сжатия в компрессоре с тем, чтобы избежать сгорания смазки; низкие показатели удельной теплоемкости в жидкой фазе с тем, чтобы сократить до минимума количество образуемого пара при прохождении через терморегулирующий расширительный клапан; низкая себестоимость и достаточный объем производства. В практике холодильной техники применяются две группы фреоновых хладагентов: хлорофтороуглероды (CFC) и гидрофтороут-лероды {HCFC). К первым относятся хладагенты типа R-11,R-12, R-500 и R-502. Ко вторым — R-22. В прошедшие годы выяснилось, что перечисленные хладагенты при утечке в атмосферу вредно влияют на озоновый слой, защищающий землю от ультрафиолетовых солнечных лучей. Кроме того, подтвердились данные о влиянии их на увеличение парникового эффекта в атмосфере Земли (так называемые «парниковые газы»). Свойство хладагентов разрушать озон оценивается так называемым потенциалом разрушения озона — ODP (Ozon Depletion Potential), который варьируется от 0 до 1. Для первой группы показатель ODP очень высок, для HCFC он значительно более ниже. Поэтому далее последовали важные решения, направленные на введение ограничений и остановку производства как CFC, так и HCFC. Эти решения впервые были приняты на международном уровне в Монреальском протоколе в 1990 г., вслед за которым последовало принятие в отдельных странах независимых решений о предупредительном запрете их использования. В ноябре 1992 г. на Конференции в Копенгагене была принята программа постепенного прекращения производства фреонов группы CFC и HCFC, так называемая «поправка» к Монреальскому протоколу. Программа вступила в силу с 14 июня 1994 г. только для тех государств, которые ратифицировали поправку. Было принято решение прекратить производство фреонов группы CFC: R-12 и R-11. В соответствии с поправкой предполагалось также на 90% сократить потребление фреонов группы HCFC: (R-22) к 2015 г., а полностью прекратить их производство к 2030 г. Российская Федерация пока не ратифицировала Копенгагенскую программу, ограничивающую производство и использование R-22, мотивируя это рядом экономических и технических трудностей. В настоящее время найден заменитель для R-12 — это новый фреон R-134a, относящийся к группе HFC и не содержащий хлора в своей молекуле, а только атомы фтора и водорода, абсолютно не наносящий вреда озоновому слою с показателем ODP равным 0. Однако он также относится к «парниковым газам». И, кроме того, его тепловые характеристики существенно ниже. Поиск заменителя для R-22 пока не завершен. Можно предвидеть, что и R-22 и R-502 будут заменены смесями из двух или трех компонентов. Смеси эти могут быть стабильными и нестабильными. Первые сохраняют постоянным газовый состав в случае утечек, для вторых же газовый состав изменяется в связи с испарением наиболее легких элементов. В этих условиях могут происходить изменения показателей функционирования установок. С тем, чтобы преодолеть это препятствие, ведется поиск «почти стабильных» смесей, использование которых, даже при больших утечках, мало меняет состав смеси. Физические свойства хладагентов R-22 и R-134aприведены в табл.4. ? Таблица 4. Физические свойства хладагентов R-22 и R-134a
Применение новых хладагентов категории HFC типа R-134a требует: употребления специальных «эфирных масел», несовместимых с известными маслами для R-22 и требующих большой аккуратности и осторожности при обращении; тщательности при герметизации стыков, так как молекулы HFC имеют гораздо меньшие размеры, чем молекулы традиционных хладагентов; установки фильтров-осушителей с гораздо более мелким фильтром; применения теплообменников (испарителей, конденсаторов) увеличенного размера, в связи с более низкими тепловыми характеристиками; более тщательного проведения операции вакуумирования, потому что при соприкосновении хладагента и воды может образовываться фторводород-ная кислота. Все вышеперечисленные проблемы, связанные с использованием новых хладагентов, и определяют широкое применение до настоящего времени и в ближайшем будущем, по крайне мере на период ближайших 10 лет, хладагента R-22 4.2. Термодинамические циклы холодильных машин 4.2.1 P–V диаграмма холодильного цикла 4.2.2 Т-S диаграмма холодильного цикла 4.2.3 P-I диаграмма холодильного цикла 4.2.4 Т-S и P-I диаграммы холодильных циклов многокомпонентных хладагентов Раздел 3. Теоретические основы вентиляции и кондиционирования воздуха. Основные свойства влажного воздуха Атмосферный воздух представляет собой смесь различных газов и водяного пара. С технической точки зрения смесь этих газов (без водяного пара) допустимо называть “сухой воздух”, а атмосферный воздух представлять как смесь сухого воздуха и водяного пара. Количество водяного пара, содержащегося в воздухе, может быть выражено различными способами. В частности, количество влаги можно выразить через: упругость, или парциальное давление паров воды; абсолютную влажность; относительную влажность, или гигрометрический показатель. Давление атмосферного воздуха (Рб) представляет собой сумму парциальных давлений сухого воздуха Рс и водяного пара Рп (закон Дальтона): Рб = Рс + Рп (3.1) Парциальное давление измеряется в Паскалях или миллибарах, 1 мбар = 100 Па. Если газы могут смешиваться в любых количествах, то воздух может вместить лишь определенное количество водяных паров, потому что парциальное давление паров воды Рп в смеси не может быть больше парциального давления насыщения Рн этих паров при данной температуре. Существование предельного парциального давления насыщения проявляется в том, что все избыточные пары воды сверх этого количества будут конденсироваться. При этом влага может выпадать в виде капель воды, кристаллов льда, тумана или изморози. Наименьшее содержание влаги в воздухе может быть доведено до нуля (при низких температурах), а наибольшее – примерно 3 % по массе или 4 % по объему. Абсолютная влажность – количество пара (кг), содержащееся в одном кубическом метре влажного воздуха: М пРп D= ------ = -----, (3.2) LRT где Мп – масса пара, кг; L – объем влажного воздуха, м3; Рп – парциальное давление паров воды, мбар; Т – абсолютная температура влажного воздуха, К; R– газовая постоянная пара, Дж/(кг* К) (газовая постоянная R равна разности значений удельной теплоемкости пара при постоянном давлении и удельной теплоемкости пара при постоянном объеме). Газовая постоянная любого газа равна R = 8314 / Мм где Мм – молекулярная масса газа. Так, молекулярная масса азота (N) равна 12; кислорода (О) – 16; водорода (Н) – 1; воды (Н2О) – 18; сухого воздуха 28,9; влажного воздуха – 18. Физический смысл газовой постоянной – работа расширения 1 кг идеального газа при повышении его температуры на 1 К и постоянном давлении. Газовая постоянная сухого воздуха равна 288 Дж/(кг*К), водяного пара – 462 Дж/(кг*К). При изменении температуры влажного воздуха и постоянном давлении изменяется его объем и величина абсолютной влажности и, наоборот, при одной и той же величине абсолютной влажности могут быть разные температура и относительная влажность. Так, абсолютная влажность 4,1 г/м3 может быть у влажного воздуха с температурой 11 оС и относительной влажностью 60 %, а также при температуре 22 оС и относительной влажности 30 %. Поэтому для практических расчетов за единицу измерения, характеризующую содержание пара во влажном воздухе, принимается влагосодержание. Влагосодержание влажного воздуха (d) – количество пара, содержащееся в объеме влажного воздуха, состоящего из 1 кг сухого воздуха и Мп (г) пара: Мп Рп в = ------ * 1000 или в = 622 ---------, (3.3) Мс Рб - Рп где Мс – масса сухой части влажного воздуха, кг. Относительной влажностью (φ), или степенью влажности, или гигрометрическим показателем, называют отношение парциального давления паров воды к парциальному давлению насыщенных паров, выраженное в процентах: Рп φ = ----- * 100 %. (3.4) Рн Для практических расчетов используют соотношение: d φ = ------ * 100%, но φ = φ. (3.5) в н Относительную влажность можно определить, измеряя интенсивность испарения воды. Естественно, чем ниже влажность, тем активнее будет идти испарение влаги. Если термометр обмотать влажной тканью, то показания термометра будут уменьшаться относительно сухого термометра. Разность показаний температур сухого и влажного термометра дают определенное значение степени влажности атмосферного воздуха. Расчет влажности производится по приближенной формуле Струнга (Strung): Рп = Р п * вл – К (tс - tвл ), (3.6) где Рп - парциальное давление паров воды, мбар; Р п * вл – парциальное давление паров воды для температуры по влажному термометру, мбар; К – константа для пара «воздух-вода», равная 0,66; tс – температура по сухому термометру, оС; tвл – температура по влажному термометру, о С. Значение относительной влажности может быть также определено по психрометрической номограмме или по психрометрической таблице. Измерение парциальных давлений на практике связано с техническими трудностями, поэтому пользуются соотношением (2.5). При этом следует помнить, что φ = φ, хотя их разность незначительна, Например, если температура воздуха в помещении 18 оС и влагосодержание в = 8 г/кг, парциальное давление Рп = 9,65 мм рт.ст., то относительная влажность равна: Рп 9,65 φ = ---- * 100 = -------- * 100 = 62,34 %, Рн 15,48 А по уравнению (2.5): в 8,0 φ = -----* 100 = -------- * 100 = 62 %. в н 12,9 Плотность(объемный вес) влажного воздуха – вес 1 м3 влажного воздуха – может быть определен по формуле: 273 Рб Рп γ = 1,293 * ----- ﴾------ – 0,378 ------﴿, кг/ м3. (3.7) Т 760 760 Объемный вес влажного воздуха меньше объемного веса сухого воздуха при тех же значениях температуры и давления. Однако их разность незначительна, и в практических расчетах объемный вес влажного воздуха принимается равным объемному весу сухого воздуха. Так, объемный вес насыщенного воздуха при t = 20 оС и Рб = 760 мм рт.ст. составляет 1,178 кг/м3, а сухого воздуха при тех же условиях – 1,205 кг/м3. Удельная теплоемкость воздуха(с) – это количество тепла, необходимое для нагревания 1 кг воздуха на 1 К. Удельная теплоемкость сухого воздуха при постоянном давлении зависит от температуры, однако для практических расчетов систем СКВ удельную теплоемкость как сухого, так и влажного воздуха считают равной: с = 1 кДж/(кг*К) = 0,24 ккал/(кг*К) = 0,335 Вт/(кг*К). (3.8) Удельную теплоемкость водяного пара принимают равной 0,44 ккал / (кг*К). Сухое или явное тепло – тепло, которое добавляется или отводится от воздуха без изменения агрегатного состояния пара (изменяется только температура). Скрытое тепло – тепло, идущее на изменение агрегатного состояния пара без изменения температуры (например, осушка). Энтальпия (теплосодержание) влажного воздуха (Ів) – это количество тепла, соторое содержится в объеме влажного воздуха, сухая часть которого весит 1 кг. Иначе, это количество теплоты, которое необходимо для нагревания от нуля до данной температуры такого количесва воздуха, сухая часть которого равна 1 кг. Ісв = сt = 0,24 t, ккал/кг, (3.9) где с – удельная теплоемкость воздуха, равная 0,24 ккал/кг*К). Энтальпия 1 кг водяного пара равна: Івп = 597,3 + 0,44 t, ккал/кг. (3.10) где 597,3 – скрытая теплота испарения 1 кг воды при температуре нуль градусов, ккал/кг; 0,44 – теплоемкость водяного пара, ккал/(кг*К). При температуре влажного воздуха t и влагосодержании в энтальпия равна: в І = 0,24 t + (597,3 + 0,44 t ) ------, ккал/кг, (3.11) 1000 φ где в = -----* dн, г/кг. 100 Пример. Определить энтальпию влажного воздуха при t = 20 оС, φ = 60%, и Рб = 745 мм рт.ст. Решение. Находим упругость насыщенных водяных паров при заданных условиях (табл. 2.1): Рн = 17,533 мм рт.ст. Парциальное давление водяных паров находим из соотношения: Рп φ = ---- * 100 %, Рн Рн *φ Рб 60 745 Рп = ------- * ----- = 17,533* ----- * ------ = 10,31 мм рт.ст. 100 760 100 760 Определяем влагосодержание влажного воздуха: Рп 10,31 в = 622 * ---------- = 622 * -------------- = 8,73 г/кг. Рб - Рп 745 – 10,31 Определяем энтальпию влажного воздуха: І = 0,24 t + 0,5973d + 0,00044 t *d = 4,8 + 5,21 + 0,076 = 10,08 ккал/кг. Из приведенного примера видно, что скрытая теплота испарения водяных паров (5,21 ккал/кг) составляет значительную часть тепла, а теплоемкостью водяного пара практически можно пренебречь. Поэтому при решении практических задач энтальпию влажного воздуха можно определять по приближенному выражению: І = 0,24 t + 0,6 d. (3.12) При нагревании или охлаждении влажного воздуха происходит изменение его температуры и энтальпии, но сохраняется влагосодержание. Относительная влажность при этом изменяется, так как изменяется его влагоемкость. Если влажный воздух охлаждать при неизменном влагосодержании, то будет снижаться энтальпия и температура, а относительная влажность будет увеличиваться. Наступит момент, когда воздух станет насыщенным и его относительная влажность будет равна 100 %. При дальнейшем охлаждении воздуха начнется испарение из воздуха влаги в виде росы – конденсация пара.Эта температура называется точкой росы. Точка росы для различных температур сухого воздуха и относительной влажности приведена в таблице 2.2. Таблица 2.2. – Таблица точки росы влажного воздуха (сделать!). Точка росы является пределом возможного охлаждения влажного воздуха при неизменном влагосодержании. Для определения точки росы необходимо найти такую температуру, при которой влагосодержание воздуха в будет равно его влагоемкости dн . Пример. Температура в помещении - +23 оС, относительная влажность – 60%. Определить, до какой температуры могут охлаждаться стены помещения в зимний период, чтобы на стенах не выделялась влага. Решение. Для решения задачи необходимо найти точку росы при заданных условиях. Находим влагосодержание воздуха в помещении: φ 60 в = ---- * dн = ----- * 17,9 = 10,8 г/кг. 100 Величину dн находим по таблице физических характеристик влажного воздуха (таблица 2.1). Условие конденсации (точка росы) в = dн. По этой же таблице находим температуру при которой dн = 10,8 г/кг. Эта температура tр = 15,2 оС. То есть при температуре в помещении ниже 15,2 оС на стенках будет выделяться влага. Раздел 1. Системы вентиляции и кондиционирования воздуха. 1.1. Общие положения. Основным условием нормальной жизнедеятельности человека является определенное состояние окружающей среды и, в первую очередь, воздуха. Атмосферный воздух представляет собой механическую смесь газов, состоящую в основном из азота, кислорода и водяных паров. Сухой воздух вблизи Земли содержит 78,09% азота (N2), 20,95% кислорода (O2), 0,95% аргона (Аr), 0,03 % углекислого газа (СО2). На долю остальных газов (водорода, гелия, неона, криптона, ксенона, метана и др.) приходится всего лишь 0,01 %. Без преувеличения можно сказать, что по степени важности состав воздуха является приоритетным даже относительно состава продуктов питания. В подтверждение этого можно отметить, что человек потребляет в сутки продуктов питания примерно 3 кг, а воздуха 15 кг, в том числе 15 литров кислорода в час. В то же время человек выделяет в час углекислого газа 18-36 л, влаги – 40-415 г, тепла – 300-1000 кДж. Накопление выделений различного вида и изменение температуры воздуха сильно сказывается на самочувствии людей. Так, при увеличении температуры окружающей среды с 20 до 36оС производительность работы человека снижается в 5 раз. Особенно это проявляется в промышленных городах, где воздух загрязнен отходами производств, выхлопными газами автомобилей, пылью и т.п. Частицы пыли поглощают водяной пар, вследствие чего уменьшается прозрачность воздуха, увеличивается число пасмурных дней, ушудшается прохождение солнечных лучей, необходимых для нормальной жизни на Земле. Технологические процессы во многих отраслях промышленности также не могут быть реализованы без создания строго определенной воздушной среды. Основными нормируемыми параметрами воздуха в помещении являются: температура, влажность, скорость движения, газовый состав, наличие механических частиц пыли. Создание оптимального состава воздушной среды в помещении может осуществляться путем удаления образовавшихся тепло-, газо- и влагоизбытков, пыли и добавления необходимого количества свежего воздуха с предварительной его подготовкой (охлаждение или нагрев, осушка или увлажнение, фильтрация и др.). Эти процессы обеспечиваются с помощью систем вентиляции (СВ) и систем кондиционирования воздуха (СКВ). Вентиляция – (от лат. ventilatio – проветривание) – это организованный воздухообмен, предназначенный для создания водушной среды, благоприятной (комфортной) для здоровья человека, а также отвечающей требованиям технологических процессов, сохранения оборудования, материалов, продуктов и др. Кондиционирование воздуха – это создание и автоматическое поддержание в закрытых помещениях температуры, влажности, чистоты, состава, скорости движения воздуха, которые являются наиболее благоприятными для самочувствия людей (комфортное кондиционирование) или ведения технологических процессов, работы оборудования и приборов (техническое кондиционирование). В соответствии с санитарно-гигиеническими требованиями наиболее благоприятная температура в общественных, административно-бытовых помещениях должна быть 20-22оС, а допустимые колебания в теплый период – от 20 до 28оС, в холодный и переходной периоды – от 18 до 22оС. Относительная влажность считается оптимальной в диапазоне от 30 до 60% в теплый период и 30-45% в холодный и переходной периоды. Верхняя допустимая граница относительной влажности – 65%. Чтобы разрушить создаваемую телом человека оболочку газовых выделений, необходимо организовать движение воздушной среды. Однако чрезмерно увеличивать скорость движения воздушной среды недопустимо из-за возникающего чувства дискомфорта и возможности простудных заболеваний. При температуре воздуха 20-25оС допустимой скоростью движения воздуха является 0,2-0,3 м/с – для легких работ, 0,4-0,5 м/с – для работ средней тяжести и 0,6 м/с – для тяжелых работ. В обычных условиях человек выделяет около 18 литров углекислого газа в час. Избыток, как и недостаток, углекислого газа вредно воздействует на состояние человека. Допустимые значения концентрации углекислого газа в помещении составляют: 0,03-0,07% – для пребывания детей и больных; 0,07-0,1% – для продолжительного пребывания людей.При проектировании систем вентиляции и кондиционирования воздуха предусматривают технические решения, обеспечивающие перечисленные выше нормируемые параметры воздушной среды. Конкретные требования к воздушной среде для объектов различного назначения излагаются в строительных нормах и правилах. Перечень основных стандартов в области вентиляции и кондиционирования воздуха, действующих в Украине, приведен в Приложении 1. 1.2. Классификация систем вентиляции. Нормативной классификации СКВ не существует, но на практике и в технической литературе сложились определенные терминология и классификация, которой мы будем придерживаться. В зависимости от способа, вызывающего движение воздуха, системы вентиляции подразделяются на естественные (гравитационные) и исксственные (с механическим побуждением). По назначению – на приточные, вытяжные и смешанные. По зоне обслуживания – на общеобменные и местные. По конструктивному исполнению – на канальные и бесканальные. Воздухообмен при естественной вентиляции (аэрация) происходит за счет разности плотностей внутреннего и наружного воздуха или разности температур атмосферного воздуха и воздуха в помещении. В помещениях с большими тепловыделениями воздух всегда теплее наружного. Более тяжелый наружный воздух, поступая в помещение, вытесняет из него менее плотный воздух, Вледствие этого в помещении возникает циркуляция воздуха, аналогичная той, которую искусствено создают вентилятором. В системах с естественной вентиляцией, в которых перемещение воздуха создается за счет разности давлений воздушного столба, минимальный перепад по высоте между уровнем забора воздуха из помещения и его выбросом через дефлектор должен быть не менее 3 м. При этом рекомендуемая длина горизонтальных участков не должна превышать 3 м, а скорость воздуха в воздуховодах – 1 м/с. Аэрацию применяют в цехах, если концентрация пыли и вредных газов в приточном воздухе не превышает 30 % от предельно допустимой в рабочей зоне. Если требуется предварительная обработка приточного воздуха, аэрацию не используют. Иногда для организации потока воздуха в помещении используется явление ветрового давления, которое заключается в том, что на стороне здания, обращенной к ветру, образуется повышенное давление, а на противоположной – разрежение. Системы с естественной вентиляцией просты, не требуют сложного дорогостоящего оборудования и эксплуатационных затрат. Однако зависимость эффективности этих систем от внешних факторов (температуры наружного воздуха, направления и скорости ветра), а также небольшое давление не позволяют решать с их помощью все сложные и многообразные задачи в области вентиляции. Поэтому применяют системы с механическим побуждением. В системах с механическим побуждением используется оборудование (вентиляторы), позволяющие перемещать воздух на нужные расстояния. При необходимости воздух подвергают различным видам обработки: очистке, нагреванию, охлаждению, увлажнению, осушке. Вентиляцию с механическим побуждением можно разделить на местную и общеобменную. Местной вентиляцией называется такая, которая обеспечивает подачу воздуха на определенные места (местная приточная вентиляция) и загрязненный воздух удаляют только от мест образования вредных выделений (местная вытяжная вентиляция). Местная вентиляция обеспечивает воздухообмен только в рабочей зоне, а общеобменная – во всем помещении. К местной вентиляции относятся воздушные души (сосредоточенный приток воздуха с повышенной скоростью). Они должны подавать чистый воздух к постоянным рабочим местам, снижать в их зоне температуру воздуха и обдувать рабочих, подвергающихся тепловому облучению. К местной приточной вентиляции относятся воздушные оазисы – участки помещений, отгороженные от остального помещения перегородками высотой 2-2,5 м, в которые нагнетается воздух с пониженной температурой. Местную приточную вентиляцию применяют также в виде воздушных завес (у ворот, входов, печей и пр.), которые создают как бы воздушные перегородки или изменяют направление потоков воздуха. Местная вентиляция требует меньших затрат, чем общеобменная. В производственных помещениях при наличии вредных выделений (газов, влаги, тепла и пр.) обычно применяют смешанную систему вентиляции: общую – для устранения вредных выделений во всем объеме помещения и местную (местные отсосы и приток) – для обслуживания рабочих мест. Местную вытяжную вентиляцию применяют, когда места вредных выделений в помещении локализованы и нельзя допускать их распространения по всему помещению. Местная вытяжная вентиляция в производственных помещениях обеспечивает улавливание и отвод вредных выделений: газов, дыма, пыли и тепла. Для удаления вредных выделений применяют местные отсосы (укрытия в виде шкафов, зонты, ботовые отсосы и пр.). Вредные выделения необходимо удалять от места образования в направлении их естественного движения: горячие газы и пары следует удалять вверх, а холодные тяжелые газы и пыль – вниз. При устройстве местной вытяжной вентиляции для улавливания пылевыделений удаляемый из помещения воздух перед выбросом в атмосферу должен быть очищен с помощью фильтров. Если местной вентиляцией не удается обеспечить санитарно-гигиенические или технологические требования, применяют общеобменные системы вентиляции. Общеобменные вытяжные системы равномерно удаляют воздух из всего помещения, а общеобменныеприточные – подают воздух и распределяют по всему объему вентилируемого помещения. При одновременной работе приточной и вытяжной вентиляции они должны быть сбалансированы по расходу воздуха. Если воздух, подаваемый в помещение, образуется путем смешивания наружного воздуха и воздуха, забираемого из помещения, то такая система называется приточно-рециркуляционной. Системы вентиляции, подающие и удаляющие воздух по каналам или воздуховодам, называют канальными, а не имеющие каналов – бесканальными. Система, предназначенная для удаления пыли, которая образуется при технологических процессах, называется аспирационной. Аспирационные системы подразделяются на: индивидуальные, когда каждое рабочее место имеет отдельную вытяжную установку; центральные, когда одна установка обслуживает группу рабочих мест. Для перемещения легковесных материалов (древесная стружка, отходы текстильных материалов, хлопок и др.) создают вентиляционные системы, называемые пневмотранспортом. 1.2.1. Естественная вентиляция Воздухообмен в производственных помещениях осуществляется с помощью естественной вентиляции или механических вентиляционных установок. Организованный воздухообмен при естественной вентиляции (аэрации) обеспечивается вследствие разности температур (плотности) воздуха, а также в результате действия ветрового напора. Под действием тепла, выделяемого машинами и механизмами, нагретым углем (при сушке), людьми, а также нагретыми поверхностями повышается температура воздуха в производственных помкщениях и становится выше температуры наружного воздуха. Нагретый воздух в производственных помещениях поднимается кверху и через отверстия в перекрытиях (крыше) выходит наружу. Холодный наружный воздух поступает в помещение через открытые проемы в нижней или средних зонах. В результате создается естественный воздухообмен, называемый тепловым напором. Значение теплового напора определяется по формуле Н m = h (ρн – ρв ) g , Н/м2 , (1) где h – высота между центрами вытяжных и приточных отверстий, м; ρн и ρв – плотность наружного и внутреннего водуха, кг/м3; g – ускорение свободного падения, равное 9,81 м/с2. Естественная вентиляция может быть неорганизованной и организованной. При неорганизованной вентиляции неизвестные объемы воздуха поступают и удаляются из помещения, а сам воздухообмен зависит от случайных факторов (направления и силы ветра, температуры внешнего и внутреннего воздуха). Неорганизованная естественная вентиляция включает инфильтрацию – просачивание воздуха через неплотности в окнах, дверях, перекрытиях и проветривание, которое осуществляется при открывании окон и форточек. Организованная естественная вентиляция называется аэрацией. Для аэрации в стенах здания делают отверстия для поступления внешнего воздуха, а на крыше или в верхней части здания устанавливают специальные устройства (фонари) для удаления отработанного воздуха. Для регулирования поступления и удаления воздуха предусмотрены перекрытия на необходимую величину аэрационных отверстий и фонарей. Это особенно важно в холодное время года. 1.2.2. Искусственная вентиляция. Искусственная (механическая) вентиляция, в отличие от естественной, дает возможность очищать воздух перед его выбросом в атмосферу, улавливать вредные вещества непосредственно возле мест их образования, обрабатывать притекаемый воздух (очищать, подогревать, увлажнять), более целенаправленно подавать воздух в рабочую зону. Кроме того, механическая вентиляция дает возможность организовать забор воздуха в наиболее чистой зоне территории предприятия и даже за ее пределами. Обще-обменная искусственная вентиляция. Обще-обменная вентиляция обеспечивает создание необходимого микроклимата и чистоты воздушной среды во всем объеме рабочего помещения. Она применяется для удаления избыточного тепла при отсутствии токсичных выделений, а также в случаях, если характер технологического процесса и особенности производственного оборудования исключают возможность использования местной вытяжной вентиляции. Различают четыре основных схемы организации воздухообмена при обще-обменной вентиляции: сверху вниз, сверху вверх, снизу вверх, снизу вниз (рис. 1). Рис. 1 – Схема организации воздухообмена при общеобменной вентиляции Схемы сверху вниз (рис.1а) и сверху вверх (рис.16) целесообразно применять в случае, если приточный воздух в холодный период года имеет температуру ниже температуры в помещении. Приточный воздух, прежде чем достичь рабочей зоны, нагревается за счет воздуха в помещении. Другие две схемы (рис.1в и 1г) рекомендуется использовать в тех случаях, когда приточный воздух в холодный период года нагревается, и его температура выше температуры внутреннего воздуха в помещении. Если в производственных помещениях выделяются газы и пары с плотностью, которая превышает плотность воздуха (например, пары кислот, бензина, керосина), то обще-обменная вентиляция должна обеспечить до 60% воздуха из нижней зоны помещения и 40% – из верхней. Если плотность газов меньше плотности воздуха, то удаление загрязненного воздуха осуществляется в верхней зоне. Приточная вентиляция. Схема приточной механической вентиляции, (рис.2.) включает: воздухосборник 1; фильтр для очищения воздуха 2; воздухонагреватель (калорифер) 3; вентилятор 5; сеть воздуховодов 4 и приточные патрубки с насадками 6. Если нет, необходимости подогревать приточный воздух, то его пропускают непосредственно в производственные помещения через обводный канал 7. Рис. 2 – Схема приточной вентиляции Воздухозаборные устройства необходимо располагать в местах, где воздух не загрязняется пылью и газами. Они должны находиться не ниже 2 м от уровня земли, а от выбросных каналов вытяжной вентиляции по вертикали –ниже 6 м и по горизонтали – не более 25 м. Приточный воздух подается в помещения, как правило, рассеянным потоком для чего используются специальные насадки. Вытяжная и приточно-вытяжная вентиляция. Вытяжная вентиляция (рис.3) состоит из очистительного устройства 1, вентилятора 2, центрального 3 и отсасывающих воздуховодов 4. Рис. 3 – Схема вытяжной вентиляции Воздух после очищения необходимо выбрасывать на высоте не менее чем 1 м над гребнем крыши. Запрещается делать выкидные отверстия непосредственно в окнах. В условиях промышленного производства наиболее распространена приточно-вытяжная система вентиляции с общим притоком воздуха в рабочую зону и местной вытяжкой вредных веществ непосредственно из мест образования. В производственных помещениях, где выделяется значительное количество вредных газов, паров и пыли вытяжка должна быть на 10% больше чем притока, чтобы вредные вещества не вытеснялись в смежные помещения с меньшей вредностью. В системе приточно-вытяжной вентиляции возможно использование не только внешнего воздуха, но и воздух самих помещений после его очищения. Такое повторное использование воздуха помещений называется рециркуляцией и осуществляется в холодный период года для экономии тепла, израсходованного на подогревание приточного воздуха. Однако возможность рециркуляции обуславливается целым рядом санитарно-гигиенических и противопожарных требований. Местная вентиляция. Местная вентиляция может быть приточной и вытяжной. Местная приточная вентиляция, при которой осуществляется концентрированное представление приточного воздуха заданных параметров (температуры, влажности, скорости движения), выполняется в виде воздушных душей, воздушных и воздушно-тепловых завес. Воздушные души используются, для предотвращения перегревания рабочих в горячих цехах, а также для образования так называемых воздушных оазисов (участков производственной зоны, которые резко отличаются своими физико-химическими характеристиками от остальных помещений). Воздушные и воздухо-тепловые завесы предназначены для предотвращения поступления в помещения значительных масс холодного наружного воздуха и необходимости частого открывания дверей или ворот. Воздушная завеса генерируется струей воздуха, которая подается из узкой длинной щели, Д под некоторым углом навстречу потоку холодного воздуха. Канал со щелью размещают сбоку или сверху ворот (двери). Местная вытяжная вентиляция осуществляется с помощью местных вытяжных зонтов, всасывающих панелей, вытяжных шкафов, бортовых насосов (рис.4). а б в г Рис. 2.5 - Примеры местной вытяжной вентиляции: а – вытяжной зонт, б – всасывающая панель, в – вытяжной шкаф с комбинированной вытяжкой, г – бортовой насос с обдувом. Конструкция местной вытяжной вентиляции должна обеспечивать максимальное улавливание вредных веществ при минимальном количестве удаляемого воздуха. Кроме того, она не должна быть громоздкой и мешать обслуживающему персоналу работать и присматривать за технологическим процессом. Основными факторами при выборе типа местной вытяжной вентиляции являются характеристики вредных факторов (температура, плотность газов и паров, токсичность), положение рабочего при выполнении работы, особенности технологического процесса и оборудования. В случаях, если источник производственных помещений можно поместить внутри просторного, ограниченного стенками, местную вытяжную вентиляцию устраивают в виде вытяжных шкафов, кожухов, ветровых насосов. Если по условиям технологии или обслуживания источник происшествий нельзя изолировать, тогда устанавливают вытяжной зонт или всасывательную панель. При этом поток воздуха, который удаляется, не должен проходить через зону дыхания рабочего Частным случаем местной вытяжной вентиляции являются бортовые насосы, которыми оборудуют ванны (гальванические, травильные) или другие емкости с токсичными жидкостями, поскольку необходимость использовать при их загрузке подъемно-транспортного оборудования делает невозможное использование вытяжных зонтов и всасывательных панелей. При ширине ванны 1 м и более необходимо устанавливать бортовой насос с обдувом (рис. 2.6г), у которого с одной стороны ванны воздух отсасывается, а с другой – нагнетается. При этом подвижный воздух будто бы экранирует поверхность испарения токсичных жидких веществ. 2.3. Основные требования к системам вентиляции. Естественная и искусственная вентиляции должны отвечать следующим санитарно-гигиеническим требованиям: – создавать в рабочей зоне помещений нормальные климатические условия труда (температуру, влажность и скорость движения воздуха); – полностью устранять из помещений вредные газы, пары, пыль и аэрозоли или разжижать их до предельно-допустимых концентраций; – не допускать поступления в помещения загрязненного воздуха извне или путем притока загрязненного воздуха из смежных помещений; – не создавать на рабочих местах сквозняков или резкого охлаждения воздуха; – быть доступными для управления и ремонта во время эксплуатации; – не создавать во время эксплуатации дополнительных неудобств (например, шума, вибраций, попадание дождя, снега). Наиболее полно, выше перечисленным требованиям, отвечает система кондиционирования воздуха, которая также широко применяется на предприятиях. С помощью кондиционеров создаются и автоматически поддерживаются в производственном помещении заданные параметры воздушной среды. При решении вопроса о целесообразности применения кондиционирования воздуха следует учитывать и экономические факторы. Необходимо отметить, что к вентиляционным системам, установленным в пожаро-и взрывоопасных помещениях, выдвигается целый ряд дополнительных требований, которые в этом разделе не рассматриваются. 1.3. Классификация систем кондиционирования воздуха.Системы кондиционирования могут быть классифицированы следующим образом: 1. По степени обеспечения метеорологических условий в обслуживаемом помещении системы кондиционирования подразделяются на три класса: первого, второго и третьего. 2. По давлению, развиваемому вентиляторами, – низкого (до 1000 Па), среднего (до 3000 Па) и высокого (свыше 3000 Па) давления. 3. По назначению объекта применения – комфортные и технологические. 4. По наличию источников тепла и холода – автономные и неавтономные. 5. По принципу расположения системы кондиционирования относительно обсслуживаемого объекта – центральные и местные. 6. По количеству обслуживаемых помещений – однозональные и многозональные. 7. По типу обслуживаемых объектов – бытовые, полупромышленные и промышленные. Системы кондиционирования первого класса обеспечивают требуемые для технологического процесса параметры в соответствии с нормативными документами. Системы второго класса обеспечивают санитарно-гигиенические нормы или требуемые технологические нормы. Системы третьего класса обеспечивают допустимые нормы, если они не могут быть обеспечены вентиляцией в теплый период года без применения искусственного охлаждения воздуха. Оптимальные параметры воздуха представляют собой совокупность условий, наиболее благоприятных для самочувствия людей (область комфортного кондиционирования воздуха), или условий для правильного протекания технологического процесса (область технологического кондиционирования). Оптимальные параметры внутреннего воздуха на промышленных предприятиях устанавливают, исходя из положения, что если количество и качество продукции зависит от соблюдения точного режима технологического процесса, а не от интенсивности труда, то определяющим фактором являются требования технологического процесса, Если же на выпуск продукции в основном влияет интенсивность труда, устанавливаются комфортные условия для работающих в цехе людей. Допустимые параметры воздуха устанавливаются в случае, когда по технологическим требованиям или техническим и экономическим причинам не обеспечиваются оптимальные нормы (СНиП 2.04.05-91). Автономные СКВ в своем составе имеют весь комплекс оборудования, позволяющий провести необходимую обработку воздуха в соответствии с нормативными требованиями по очистке, нагреванию, охлаждению, осушке, увлажнению, перемещению и распределению воздуха, а также средства автоматического и дистанционного управления и контроля. Для работы автономной СКВ необходимо подать только электрическую энергию. К автономным СКВ относятся моноблочные оконные, шкафные кондиционеры, сплит-системы. Неавтономные СКВ не имеют встроенных агрегатов, являющихся источниками тепла и холода. К этим СКВ от других источников тепло- и холодоснабжения подаются холодные или горячие хладагенты(вода, фреоны). Центральные СКВ представляют собой неавтономные кондиционеры, располагаемые вне обслуживаемых помещений, в которых производится подготовка воздуха с последующим его распределением по помещениям с помощью воздуховодов. Современные центральные кондиционеры выпускаются в секционном исполнении из унифицированных типовых моделей. Местные СКВ выпускаются на базе автономных и неавтономных кондиционеров и устанавливаются в обслуживаемом помещении. Однозональныые СКВ применяются для обслуживания одного помещения с равномерным распределением тепло- и влаговыделений, например, выставочные залы, кинотеатры и пр. Многозональные СКВ применяются для обслуживания нескольких помещений или помещения с неравномерным распределением тепло- и влаговыделений. Бытовые кондиционеры предназначены для установки в жилых домах, офисах и аналогичных объектах. Особенностью бытовых кондиционеров является питание от однофазной сети и потребляемая мощность не более 3 кВт. Это та мощность, которую допускают потреблять стандартные электрические розетки, устанавливаемые в жилых и административных помещениях. Как следствие этого. Холодо- и теплопроизводительность бытовых кондиционеров не превышает 7 кВт. Полупромышленные кондиционеры имеют холодопроизводительность от 5 до 150 кВт. Напряжение питания трехфазное. Для моделей с холодопроизводительность до 7 кВт. Напряжение питания может быть однофазным. Промышленные кондиционеры имеют производительность более 30 кВт и предназначены для установвки в производственных и аналогичных помещениях. Раздел 2. Теоретические основы вентиляции и кондиционирования воздуха. Основные свойства влажного воздуха Атмосферный воздух представляет собой смесь различных газов и водяного пара. С технической точки зрения смесь этих газов (без водяного пара) допустимо называть “сухой воздух”, а атмосферный воздух представлять как смесь сухого воздуха и водяного пара. Количество водяного пара, содержащегося в воздухе, может быть выражено различными способами. В частности, количество влаги можно выразить через: упругость, или парциальное давление паров воды; абсолютную влажность; относительную влажность, или гигрометрический показатель. Давление атмосферного воздуха (Рб) представляет собой сумму парциальных давлений сухого воздуха Рс и водяного пара Рп (закон Дальтона): Рб = Рс + Рп (2.1) Парциальное давление измеряется в Паскалях или миллибарах, 1 мбар = 100 Па. Если газы могут смешиваться в любых количествах, то воздух может вместить лишь определенное количество водяных паров, потому что парциальное давление паров воды Рп в смеси не может быть больше парциального давления насыщения Рн этих паров при данной температуре. Существование предельного парциального давления насыщения проявляется в том, что все избыточные пары воды сверх этого количества будут конденсироваться. При этом влага может выпадать в виде капель воды, кристаллов льда, тумана или изморози. Наименьшее содержание влаги в воздухе может быть доведено до нуля (при низких температурах), а наибольшее – примерно 3 % по массе или 4 % по объему. Абсолютная влажность – количество пара (кг), содержащееся в одном кубическом метре влажного воздуха: М пРп D= ------ = -----, (2.2) LRT где Мп – масса пара, кг; L – объем влажного воздуха, м3; Рп – парциальное давление паров воды, мбар; Т – абсолютная температура влажного воздуха, К; R– газовая постоянная пара, Дж/(кг* К) (газовая постоянная R равна разности значений удельной теплоемкости пара при постоянном давлении и удельной теплоемкости пара при постоянном объеме). Газовая постоянная любого газа равна R = 8314 / Мм где Мм – молекулярная масса газа. Так, молекулярная масса азота (N) равна 12; кислорода (О) – 16; водорода (Н) – 1; воды (Н2О) – 18; сухого воздуха 28,9; влажного воздуха – 18. Физический смысл газовой постоянной – работа расширения 1 кг идеального газа при повышении его температуры на 1 К и постоянном давлении. Газовая постоянная сухого воздуха равна 288 Дж/(кг*К), водяного пара – 462 Дж/(кг*К). При изменении температуры влажного воздуха и постоянном давлении изменяется его объем и величина абсолютной влажности и, наоборот, при одной и той же величине абсолютной влажности могут быть разные температура и относительная влажность. Так, абсолютная влажность 4,1 г/м3 может быть у влажного воздуха с температурой 11 оС и относительной влажностью 60 %, а также при температуре 22 оС и относительной влажности 30 %. Поэтому для практических расчетов за единицу измерения, характеризующую содержание пара во влажном воздухе, принимается влагосодержание. Влагосодержание влажного воздуха (d) – количество пара, содержащееся в объеме влажного воздуха, состоящего из 1 кг сухого воздуха и Мп (г) пара: Мп Рп в = ------ * 1000 или в = 622 ---------, (2.3) Мс Рб - Рп где Мс – масса сухой части влажного воздуха, кг. Относительной влажностью (φ), или степенью влажности, или гигрометрическим показателем, называют отношение парциального давления паров воды к парциальному давлению насыщенных паров, выраженное в процентах: Рп φ = ----- * 100 %. (2.4) Рн Для практических расчетов используют соотношение: d φ = ------ * 100%, но φ = φ. (2.5) в н Относительную влажность можно определить, измеряя интенсивность испарения воды. Естественно, чем ниже влажность, тем активнее будет идти испарение влаги. Если термометр обмотать влажной тканью, то показания термометра будут уменьшаться относительно сухого термометра. Разность показаний температур сухого и влажного термометра дают определенное значение степени влажности атмосферного воздуха. Расчет влажности производится по приближенной формуле Струнга (Strung): Рп = Р п * вл – К (tс - tвл ), (2.6) где Рп - парциальное давление паров воды, мбар; Р п * вл – парциальное давление паров воды для температуры по влажному термометру, мбар; К – константа для пара «воздух-вода», равная 0,66; tс – температура по сухому термометру, оС; tвл – температура по влажному термометру, о С. Значение относительной влажности может быть также определено по психрометрической номограмме или по психрометрической таблице. Измерение парциальных давлений на практике связано с техническими трудностями, поэтому пользуются соотношением (2.5). При этом следует помнить, что φ = φ, хотя их разность незначительна, Например, если температура воздуха в помещении 18 оС и влагосодержание в = 8 г/кг, парциальное давление Рп = 9,65 мм рт.ст., то относительная влажность равна: Рп 9,65 φ = ---- * 100 = -------- * 100 = 62,34 %, Рн 15,48 А по уравнению (2.5): в 8,0 φ = -----* 100 = -------- * 100 = 62 %. в н 12,9 Плотность(объемный вес) влажного воздуха – вес 1 м3 влажного воздуха – может быть определен по формуле: 273 Рб Рп γ = 1,293 * ----- ﴾------ – 0,378 ------﴿, кг/ м3. (2.7) Т 760 760 Объемный вес влажного воздуха меньше объемного веса сухого воздуха при тех же значениях температуры и давления. Однако их разность незначительна, и в практических расчетах объемный вес влажного воздуха принимается равным объемному весу сухого воздуха. Так, объемный вес насыщенного воздуха при t = 20 оС и Рб = 760 мм рт.ст. составляет 1,178 кг/м3, а сухого воздуха при тех же условиях – 1,205 кг/м3. Удельная теплоемкость воздуха(с) – это количество тепла, необходимое для нагревания 1 кг воздуха на 1 К. Удельная теплоемкость сухого воздуха при постоянном давлении зависит от температуры, однако для практических расчетов систем СКВ удельную теплоемкость как сухого, так и влажного воздуха считают равной: с = 1 кДж/(кг*К) = 0,24 ккал/(кг*К) = 0,335 Вт/(кг*К). (2.8) Удельную теплоемкость водяного пара принимают равной 0,44 ккал / (кг*К). Сухое или явное тепло – тепло, которое добавляется или отводится от воздуха без изменения агрегатного состояния пара (изменяется только температура). Скрытое тепло – тепло, идущее на изменение агрегатного состояния пара без изменения температуры (например, осушка). Энтальпия (теплосодержание) влажного воздуха (Ів) – это количество тепла, соторое содержится в объеме влажного воздуха, сухая часть которого весит 1 кг. Иначе, это количество теплоты, которое необходимо для нагревания от нуля до данной температуры такого количесва воздуха, сухая часть которого равна 1 кг. Ісв = сt = 0,24 t, ккал/кг, (2.9) где с – удельная теплоемкость воздуха, равная 0,24 ккал/кг*К). Энтальпия 1 кг водяного пара равна: Івп = 597,3 + 0,44 t, ккал/кг. (2.10) где 597,3 – скрытая теплота испарения 1 кг воды при температуре нуль градусов, ккал/кг; 0,44 – теплоемкость водяного пара, ккал/(кг*К). При температуре влажного воздуха t и влагосодержании в энтальпия равна: в І = 0,24 t + (597,3 + 0,44 t ) ------, ккал/кг, (2.11) 1000 φ где в = -----* dн, г/кг. 100 Пример. Определить энтальпию влажного воздуха при t = 20 оС, φ = 60%, и Рб = 745 мм рт.ст. Решение. Находим упругость насыщенных водяных паров при заданных условиях (табл. 2.1.1): Рн = 17,533 мм рт.ст. Парциальное давление водяных паров находим из соотношения: Рп φ = ---- * 100 %, Рн Рн *φ Рб 60 745 Рп = ------- * ----- = 17,533* ----- * ------ = 10,31 мм рт.ст. 100 760 100 760 Определяем влагосодержание влажного воздуха: Рп 10,31 в = 622 * ---------- = 622 * -------------- = 8,73 г/кг. Рб - Рп 745 – 10,31 Определяем энтальпию влажного воздуха: І = 0,24 t + 0,5973d + 0,00044 t *d = 4,8 + 5,21 + 0,076 = 10,08 ккал/кг. Из приведенного примера видно, что скрытая теплота испарения водяных паров (5,21 ккал/кг) составляет значительную часть тепла, а теплоемкостью водяного пара практически можно пренебречь. Поэтому при решении практических задач энтальпию влажного воздуха можно определять по приближенному выражению: І = 0,24 t + 0,6 d. (2.12) При нагревании или охлаждении влажного воздуха происходит изменение его температуры и энтальпии, но сохраняется влагосодержание. Относительная влажность при этом изменяется, так как изменяется его влагоемкость. Если влажный воздух охлаждать при неизменном влагосодержании, то будет снижаться энтальпия и температура, а относительная влажность будет увеличиваться. Наступит момент, когда воздух станет насыщенным и его относительная влажность будет равна 100 %. При дальнейшем охлаждении воздуха начнется испарение из воздуха влаги в виде росы – конденсация пара.Эта температура называется точкой росы. Точка росы для различных температур сухого воздуха и относительной влажности приведена в таблице 2.2. Таблица 2.2. – Таблица точки росы влажного воздуха (сделать!). Точка росы является пределом возможного охлаждения влажного воздуха при неизменном влагосодержании. Для определения точки росы необходимо найти такую температуру, при которой влагосодержание воздуха в будет равно его влагоемкости dн . Пример. Температура в помещении - +23 оС, относительная влажность – 60%. Определить, до какой температуры могут охлаждаться стены помещения в зимний период, чтобы на стенах не выделялась влага. Решение. Для решения задачи необходимо найти точку росы при заданных условиях. Находим влагосодержание воздуха в помещении: φ 60 в = ---- * dн = ----- * 17,9 = 10,8 г/кг. 100 Величину dн находим по таблице физических характеристик влажного воздуха (таблица 2.1). Условие конденсации (точка росы) в = dн. По этой же таблице находим температуру при которой dн = 10,8 г/кг. Эта температура tр = 15,2 оС. То есть при температуре в помещении ниже 15,2 оС на стенках будет выделяться влага. 2.2. І - d Диаграмма влажного воздуха. Для облегчения расчетов уравнение теплосодержания влажного воздуха (2.11) представляют в виде графика, получившего название І-d диаграмма. При помощи І-d диаграммы графическим методом просто решаются задачи, решение которых аналитическим путем требует хотя бы простых, но кропотливых вычислений. Приложение 1 Перечень основной нормативной документации по системам вентиляции и кондиционирования воздуха, действующих в Украине 1. СНиП 2.04.05-91* “Отопление, вентиляция и кондиционирование”. 2. Изменение №1 СНиП 2.04.05-91 “Отопление, вентиляция и кондиционирование”. 3. Изменение №2 СНиП 2.04.05-91 “Отопление, вентиляция и кондиционирование”. 4. ДНБ А.2.2-2-96 “Технічний захист інформації. Загальні вимоги до організації проектування і проектної документації для будівництва”. 5. ДНБ А.2.2-3-97 “Склад, порядок розроблення, погодження та затведження проектної документації для будивництва”. 6. ДНБ В.2.5-13-98 “Пожежна автоматика будинків і споруд”. 7. ДНБ А.1.1.-2-93 “Порядок розробки, вимоги до побудови, викладу та оформлення нормативних документів”. 8 ДСТУ Б А.2.4-9-95 (ГОСТ 21.408-93) “СПДБ. Правила виконання робочої документації технологічних процесів”. 9. ДСТУ Б А.2.4-9-95 (ГОСТ 21.405-93) “Правила виконання робочої документації теплової ізоляції обладнання і трубопроводів”. 10. ДСТУ Б А.2.4-11-95 (ГОСТ 21.114-95) “СПДБ. Правила виконання ескізних креслень загальних видів нетипових виробів”. 11. ДСТУ Б В.2.7-56-96 (ГОСТ 10499-95) “Вироби теплоізоляційні зі скляного штапельного волокна. Технічні умови”. 12. ДСТУ Б А.2.4-4-99 (ГОСТ 21.101-97) “Основні вимоги до проектної та робочої документації”. 13. ДСТУ Б В.2.7-38-95 (ГОСТ 17177-94) “Матеріали і вироби будівельні теплоізоляційні. Методи випробувань”. 13. СНиП 2.04.14-88* “Тепловая изоляция оборудования и трубопроводов”. 14. ДСН 3.3.6.042-99 “Санітарні норми мікроклімату виробничих приміщень”. 15. ГСТУ 101.00174088.001-2003. Системи кондиціонування рудникового повітря. Вимоги безпеки. К.: Мінпаливенерго України, 2003. – 28 с. 16. Правила безпеки у вугільних шахтах (ДНАОП 1.1.30-1.01.-00) Київ, 2000. – 484 с. 17. Збірник інструкцій до Правил безпеки у вугільних шахтах. Т.1. Київ, 2003. – 478 с. 18. ДСП 3.3.1.095-2002. Державні санітарні правила та норми “Підприємства вугільної промисловості”. Раздел 2. Тепловое взаимодействие человека с окружающей средой 1. Значение вентиляции и кондиционирования воздуха 1. Тепловые комфортные условия 2. Тепловой баланс человека и пути выделения тепла с организма 3. Параметры воздушной среды, влияющие на комфортное состояние человека 1. Тепловые комфортные условия На теплоощущения человека оказывают влияние, в основном, следующие четыре фактора: температура, влажность, скорость движения воздуха и температура ограждающих поверхностей. При различных комбинациях этих параметров тепловые ощущения человека могут оказаться одинаковыми. Необходимо иметь в виду, что, хотя, теплоощущение и определяется перечисленными параметрами, не любое их сочетание обеспечивает комфортные условия. Каждый из этих параметров может быть изменен не произвольно, а только в некоторых определенных условиях комфортных теплоощущений. Знание допустимых пределов колебаний температуры, влажности и скорости движения воздуха позволяет регламентировать применение тех или иных видов систем кондиционирования воздуха (СКВ). Если человек не ощущает ни тепла (перегрева), ни холода (переохлаждения), ни движения воздуха около тела, метеорологические кондиции окружающей его воздушной среды (с учетом температуры поверхности ограждений) считаются в тепловом отношении комфортными. Иными словами, он чувствует себя комфортно в том случае, когда от него нормально (без форсирования теплоотдачи) отводится столько тепла, сколько вырабатывает его организм, т.е. комфортное теплоощущение человека зависят от баланса между теплогенерацией и теплопотерями в окружающую среду. В результате теплогенерации и теплопотерь внутренняя температура человеческого тела поддерживается на уровне 36,6–36,8 0С и управляется довольно сложным механизмом автоматической терморегуляции организма: уменьшением или увеличением потока крови через кожный покров, а также усиленным или заторможенным обменом веществ (расходом энергии). Температура кожного покрова человека зависит от параметров окружающего воздуха и, в среднем, равна 33 0С. На рис.1. показаны кривые изменения температуры кожного покрова различных участков тела человека, откуда видно что между различными зонами существуют некоторые отличия температурных условий. Рис.1. Изменение температуры кожного покрова различных участков тела в условиях покоя в зависимости от изменения температуры окружающей среды Традиционно средней температурой считается температура лба, составляющая примерно 32 оС при температуре окружающей среды 20-21оС. Благодаря естественной терморегуляции организма человек приспособляется к изменению параметров окружающего воздуха. Однако эта терморегуляция эффективна лишь при медленных и малых отклонениях параметров от нормальных, необходимых для хорошего самочувствия. При больших и быстрых отклонениях параметров воздушной среды нарушаются физиологические функции организма: терморегуляция, обмен веществ, работа сердечно-сосудистой и нервной системы и т.п. При этом могут наблюдаться и серьезные отклонения в организме человека. Например, у людей, попавших в условия “перегрева”, повышается температура тела, резко снижается работоспособность, появляется повышенная раздражительность и т.п. На диаграмме (рис.2) показана зависимость производительности (работоспособности) труда от изменения температуры окружающей среды. Как видим из графика, наблюдается резкое падение показателей производительности при превышении температуры более 26 0С. Рис.2. Зависимость производительности труда от изменения температуры окружающей среды. Задача кондиционирования воздуха состоит в поддержании таких параметров воздушной среды, при которых каждый человек благодаря своей индивидуальной системе автоматической терморегуляции организма чувствовал бы себя комфортно, т.е. не замечал влияния этой среды. С гигиенической точки зрения наиболее благоприятный уровень температуры, поддерживаемой в производственном помещении, составляет 22 0С, а допустимые колебания от 21 до 23 0С. Более низкая температура воздуха, например 18 0С, рекомендуемая в нормативных документах при проектировании отопительных систем, оценивается как “прохладно” и “холодно”. При этом следует отметить, что в микроклиматических условиях, которые принято считать «нормальными», обычно до 10% людей ощущают различную степень дискомфорта. Это объясняется разными социальными условиями жизни: привычным климатом, одеждой, питанием и пр. 2. Тепловой баланс человека и пути выделения тепла с организма Известным исследователем параметров комфорта и качества воздушной среды Оле Фангером предложена формула теплового баланса между человеческим телом и окружающей средой. В этой формуле принимается за основу теплообмен человека, находящегося в покое, в состоянии температурного баланса с внешней средой. При этом безразлично, какова точно его температура. В этих условиях вырабатываемое количество тепла равно теплу, отводимому во внешнюю среду, из чего следует: М = W + Qд +Qк, (1) где М – количество тепла, вырабатываемого организмом, Вт/м2; W – объем производимой механической работы, Вт/м2; Qд – общее количество тепла, выделяемого при дыхании, Вт/м2, Qк – общее количество тепла, отводимого через кожу, Вт/м2. Количество отводимого от человеческого тела тепла зависит от нескольких переменных параметров и, главным образом, от следующих: – разницы температур (положительной или отрицательной) между телом и окружающей воздушной средой; потерь (или получения) тепла от окружающих стен; кожных испарений (охлаждения при испарении); явных и скрытых потерь тепла при дыхании, соответственно за счет теплопроводности и испарения. Теплота, выделяемая организмом человека, передается в окружающую среду через кожный покров радиационным теплообменом, конвекцией, теплопрводностью (явная теплота) и испарением (скрытая теплота), а также путем выдыхания теплого воздуха. Радиационный теплообмен происходит между человеком и поверхностями ограждений, его величина и направление зависят от температуры этих поверхностей. Теплота, передаваемая конвекцией и теплопроводностью, зависит от температуры, влажности и скорости воздуха, вида и теплопроводности одежды. Испарение влаги с поверхности тела человека (скрытый теплоотвод) осуществляется за счет разности парциальных давлений водяных паров в насыщенном слое у поверхности тела и в воздухе помещения (горной выработки). При этом расходуется теплота (энергия) организма, идущая на испарение влаги. Теплоотдача испарением бедет всегда тем больше, чем ниже значение относительной влажности при данной температуре воздуха в помещении (выработке). Уменьшение относительной влажности приводит к увеличению разности парциальных давлений пара у поверхности тела человека и в окружающуем воздухе и тем самым к увеличению испарения. Комфортные кондиции воздушной среды могут иметь различные значения и зависят главным образом от интенсивности труда, совершаемого человеком, и его одежды. В зависимости от состояния организма (сон, отдых, умственная работа, мускульная работа различной интенсивности) и параметров окружающей воздушной среды каждый человек в течение часа выделяет 330-1050 теплоты, 40-415 г влаги и 18-36 л углекислого газа. При постоянной температуре воздуха и поверхностей ограждений с ростом физической нагрузки на организм человека увеличиваются общие тепловыделения и доля теплоты, отводимой испарением влаги. При неизменной нагрузке и повышении температуры окружающей среды уменьшается доля явного теплоотвода, а теплоотвод испарением возрастает при практически неизменных общих тепловыделениях. Пример анализа теплового комфорта В качестве примера рассмотрим, как в практике зарубежного проектирования систем кондиционирования воздуха дается анализ теплового комфорта. Для тог, чтобы определить количество тепла, выделяемого организмом человека при различных видах деятельности, вводится специальный показатель, получивший название “Меt” (от “метаболизм” - выделение тепла внутри организма. При спокойном (нейтральном) состоянии человека он равняется величине 58 Вт/м2. В табл. 1 приведены показатели “Меt” при различных видах деятельности. Таблица 1. Типичные показатели производимого тепла, выделяемого внутри организма человека (метаболизм) при различных видах деятельности
Они обычно используются при оценке количества тепла и при оценке условий комфортного состояния. Например, для человека, работающего в спокойном режиме в офисе, этот показатель в среднем равняется 1 Меt. Одежда имеет теплоизоляционный эффект в отношении передачи тепла во внешнюю среду. Чтобы иметь возможность это учитывать, надо ввести специальный показатель, получивший название “Сlо” (сокращение от англ. сlothing – одежда). 1 Сlо равен 0,155 м2 К/Вт. В табл. 2 прведены показатели значения Сlо и степени изоляции основных видов одежды. Летний костюм имеет показатель 0,5 Сlо, тогда как зимняя одежда может иметь от 0,8 до 1,0 Сlо и более – в зависимости от типа материала. Таблица 2. Показатели термоизоляции различных видов одежды
Показатели являются условными и могут видоизменяться в зависимости от типа материала и комплекта носимой одежды. Для анализа соотношения вышеуказанных параметров были разработаны сложные математические формулы, с помощью которых можно прогнозировать показатели температуры и влажности, в большей степени удовлетворяющие “условиям комфорта”. Диаграмма, представленная на рис.3., позволяет прогнозировать условия комфорта, которые могут удовлетворить большинство людей с процентом недовольных ниже 10%.
Рис.3. Диаграмма для определения температуры комфортного состояния в зависимости от одежды и интенсивности труда, производимого людьми На диаграмме учитывается вид выполняемой деятельности (верхние шкалы) и изоляционные свойства одежды (горизонтальные шкалы). В поле диаграммы изображены несколько кривых “оптимальной температуры”, которая соответствует средним показателям температуры между температурой внешней среды и средней температурой стен при условии малой скорости движения воздуха. В зависимости от производимой деятельности и от характера одежды определяется соответствующая оптимальная температура и вычисляются допустимые пределы колебания температуры (в большую или меньшую сторону) относительно установленного показателя. Например, если люди производят работу со степенью интенсивности 1,4 Меt в зимнее время, имея одежду типа 1 Сlо, то оптимальная температура должна составлять 210С с допустимыми пределами колебания плюс-минус 2 0С. 3. Параметры воздушной среды, влияющие на комфортное состояние человека 1. Влажность. Если человек занимается физическим трудом, то он выделяет пот. Тот, кто не выделяет видимого пота, также выделяет влагу (водяной пар), причем среднее количество этой влаги составляет около 900 грамм в сутки. Около трети этого количества выдыхается через легкие, остальная часть выделяется кожей. С другой стороны, человеческий организм требует, чтобы выделяемая влага возмкщалась не только впитыванием ее из жидкостей и пищи, поступающих в желудок, но и при дыхании через легкие. Поэтому очень важно, чтобы состояние воздуха в помещении допускало дальнейшее насыщение воздуха водяными парами, выделяемыми находящимися в помещении людьми, которые только при этом условии могут чувствовать себя хорошо. Окружающий нас воздух будет поглощать водяной пар до тех пор, пока не будет достигнуто такое насыщение, после которого любое дополнительное количество водяного пара начнет выпадать в виде конденсата: воздух с очень высоким содержанием водяного пара не может поглотить излишнее количество водяного пара выделяемого человеком. Это вызывает обильное потение и утомление, так как дыхание становится все более тяжелым, и организм, пытаясь компенсировать потерю влаги, выделяемой при чрезмерном потении, поглощает все больше и больше жидкости. Такое состояние воздуха преобладает в жаркие летние месяцы. Влияние влажности воздуха на теплообмен человека зависит от основных параметров микроклимата: температуры воздуха и теплового излучения. Высокая влажность в сочетании с высокой температурой ухудшает теплообмен человека с окружающей средой, что приводит к перегреву организма. 2. Скорость движения воздуха (подвижность). Температура и относительная влажность не определяют полностью теплофизическое состояние среды. Немаловажное значение играет подвижность воздуха. Отсутствие движения воздуха в помещении или чрезмерно низкие его значения ассоциируются с плохой вентиляцией. Причина неприятного самочувствия в плохо вентилируемом помещении объясняется тем, что при отсутствии движения воздуха вокруг тела человека образуется тонкая неподвижная воздушная оболочка, которая быстро насыщается парами воды, принимает его температуру и уменьшает теплоотдачу. Легкое движени воздуха сдувает обволакивающий человека насыщенный водяными парами и перегретый слой воздуха. Если температура окружающей среды ниже температуры тела человека, то с повышением подвижности воздуха потеря тепла человеком возрастает. Для сохранения комфортных условий необходимо либо увеличить относительную влажность воздуха, уменьшив тем самым испарение, либо увеличить его температуру. В тоже время чрезмерная подвижность воздуха, особенно в условиях охлаждения, вызывает увеличение теплопотерь конвекцией и испарением и способствует быстрому охлаждению организма. Значение подвижности воздуха выбирается в зависимости от характера деятельности человека. Подвижность воздуха, кроме того, оказывает существенное влияние на состояние внутренней среды помещения: распределение температур и влажности по объему помещения, наличие застойных зон и т.п. Подвижность воздуха зависит от способа организации воздухообмена, типа воздухораспределительного устройства, скорости выпуска воздуха и его расхода. Влияние подвижности воздуха на комфортное состояние человека необходимо рассматривать в совокупности с температурой и влажностью воздушной среды помещения. Рекомендации наиболее известных авторов в отношении минимально необходимой, максимально допустимой и оптимальной подвижности воздуха в помещении представлены в табл.3. Таблица 3 – Рекомендуемые скорости движения воздуха в помещении по данным некоторых авторов
Рекомендации по скорости движени воздуха даны в зависимости от температуры воздуха в помещении. В кондиционируемых помещениях при высокой температуре воздуха летом существенное повышение его подвижности недопустимо, тка как вызывает ощущение дискомфорта (табл.4). Табл. 4 – Распределение оценок теплоощущений в исследованиях KOLLMAR при изменении подвижности воздуха и температуре в помещении 23-24 оС
При температуре 23-24 оС следует считать допустимой скорость движения воздуха до 0,15 м/с. Еще одним важным компонентом комфортного состояния является динамика изменения скорости движения воздуха. Установлено, что люди более чувствительны к изменениям воздушных потоков, чем к силе самих потоков. Существуют нормативные ограничения изменений скорости воздушных потоков, при этом вводится термин “интенсивность турбулентности”. Эта задача представляется весьма сложной и не до конца еще проясненной. Описанные комфортные условия среды должны поддерживаться в рамках так называемой “занятой зоны”. Эта зона обычно располагается на расстоянии 0,6 м от всех стен, дверей и окон в помещении до высоты 1,8 м от пола. 3. Газовый состав Воздушный комфорт человека в закрытом помещении определяется качественной характеристикой воздуха, которая во многом зависит от количества поступающего свежего атмосферного воздуха. Жалобы на духоту и “нехватку кислорода” отмечаются нередко как в помещениях с недостаточным естественным воздухообменом, так и в помещениях, уже оснащенных различными системами вентиляции и кондиционирования воздуха. При анализе причин ощущения несвежести воздуха в закрытых помещениях, как правило, решается вопрос: каким должен быть воздухообмен, чтобы был обеспечен оптимальный газовый состав воздуха в помещении. Рекомендуемый в работах большинства исследователей объем свежего воздуха, который необходимо подавать в помещения, установлен на основании количества углекислоты, выделяемой человеком при дыхании в единицу времени. Эта величина зависит от нескольких переменных: температуры воздуха в помещении, возраста человека, его деятельности. В условиях комфортного кондиционирования, когда газовый состав изменяется главным образом в результате жизнедеятельности людей, критерием санитарного состояния воздуха служит содержание в нем углекислого газа (СО2). Допустимые концентрации СО2 в помещении приведены в табл.5. Таблица 5 – Допустимые значения концентрации углекислого газа (СО2) в воздухе помещения
В обычных условиях в состоянии покоя человек поглощает в час около 19 л кислорода и выделяет около 16 л углекислого газа. Действие углекислого газа на организм человека хорошо известно. Он участвует в регуляции дыхания, кровообращения, газообмена и т.д. Избыток и недостаток СО2 во вдыхаемом воздухе одинаково вредно отражается на состоянии здоровья. При недостатке СО2, когда его допустимая концентрация КСО2 <0,03%, нарушается работа многих органов, а при избытке, когда КСО2 >1,5%, ощущается наркотическое действие, головные боли и т.п. Установлено, что работоспособность и основные физиологические функции организма значительно не изменяются, если во вдыхаемом воздухе КСО2 = 0,5ч1,5%. Комфортной же зоне соответствует КСО2 = 0,04ч0,5%. Процесс освежения внутреннего воздуха целесообразно осуществлять за счет организации регулируемого притока наружного воздуха. Действующими санитарными нормами регламентируется подача в помещение на одного человека 20-60 м3/ч свежего (приточного) воздуха. Необходимость повышенной кратности воздухообмена (количества смен воздуха в помещении) отмкчается многими исследователями гигиенических аспектов комфортного кондиционирования. Так, например, отмечается, что в помещении административных зданий с кондиционированием воздуха комфорт обеспечивается при температуре воздуха в помещении 24оС и кратности воздухообмена до 12 смен воздуха в час. При повышении температуры воздуха до 26оС оптимальные условия сохраняются лишь при кратности воздухообмена, возрастающей до 15 смен в час. При снижении температуры воздуха до 22оС величина воздухообмена соответственно уменьшается. В жилых помещениях при увеличении объемов подаваемого воздуха с 20 до 60 м3/ч на человека отмечается улучшение функционального состояния организма, повышается работоспособность. Следовательно, с увеличением количества поступающего в помещение воздуха на человека и кратности воздухообмена прослеживается достаточно четкое улучшение качества воздушной среды. МИНИСТЕРСТВО ОБРАЗОВАНИЯ И НАУКИ УКРАИНЫ НАЦИОНАЛЬНЫЙ ГОРНЫЙ УНИВЕРСИТЕТ Кафедра аэрологии и охраны труда КОНСПЕКТ ЛЕКЦИЙ по дисциплине “Промышленная вентиляция и кондиционирование воздуха ” (для студентов заочно-дистанционной и очной форм обучения по специальности 7.090301 “Подземная разработка месторождений полезных ископаемых” специализации: 7.090301.05 “Охрана труда в горном производстве”). Днепропетровск 2006 Список рекомендуемой литературы 1. Ананьев В.А., Балуева Л.Н., Гальперин А.Д. и др. Системы вентиляции и кондиционирования воздуха. Теория и практика. 2003. – 416 с. 2. Богданов С.Н. Холодильная техника. Кондиционирование воздуха. Свойства веществ: Справочник. – СПб.: СПбГУНПТ, 1999. – 320 с. 3. Богословский В.Н. и др. Кондиционирование воздуха и холодоснабжение: Учебник для вузов / В.Н. Богословский, О.Я. Кокорин, Л.В. Петров; Под ред. В.Н. Богословского. – М.: Стройиздат, 1985. – 367 с. 4. Дроздов В.Ф. Отопление и вентиляция: Учеб. Пособие для строит. Вузов и фак. По спец. “Теплогазоснабжение и вентиляция”. Ч.2. Вентиляция. – М.: Высш. шк., 1984. – 263 с. 5. Дядькин Ю.Д., Шувалов Ю.В., Тимофиевский Л.С. Горная теплофизика. Регулирование теплового режима шахт и рудников. – Л.: ЛГИ, 1976. – 160 с. 6. Калмыков А.В. Промышленная вентиляционная на обогатительных и брикетных фабриках. – М.: Недра, 1980. – 200 с. 7.Кокорин О.Я.Современные системы кондиционирования воздуха. – М.: Издательство физико-математической литературы. 2003. – 272 с. 8. Липа А.И. Кондиционирование воздуха. Основы теории. Современные технологии обработки воздуха. – Одесса, ОГЦНТЭИ, 2002. – 225 с 9. Німич Г.В. Современные системы вентиляции и кондиционирования воздуха: [Учеб. пособие] / Г.В. Нимич, В.А. Михайлов, Е.С. Бондарь. - К.: ТОВ «Видавничий будинок «Аванпост – Прим», 2003. – 630 с.: ил. – Библиогр.: с. 625-627 10. Скрыпников В.Б. Энергосберегающая технология системы микроклимата промышленного объекта – Днепропетровск: РИО ПГАСА, 2004. – 205 с. 11. Сухан Л. Кондиционирование воздуха в глубоких шахтах. М.: Недра, 1969. - с. 12. Тепловой режим подземных сооружений Севера / А.Ф. Галкин. – Новосибирск: Наука. Сибирская издательская фирма РАН, 2000. – 304 с. 13. Термодинамика влажного воздуха: Учеб. пособие /В. И. Муравейник и др.– К.: КИСИ, 1978.– 88 с. 14.Цейтлин Ю.А. Установки для кондиционирования воздуха в шахтах. – М: Недра, 1974. – 166 с. 15.Щербань А.Н., Кремнев О.А. Научные основы расчета и регулирования теплового режима глубоких шахт. – К.: Изд. АН Украины, 1959. – С 430 (т.1), С 347 (т.2). 16. Щербань А.Н., Кремнев О.А., Журавленко В.Я. Справочное руководство по тепловым расчетам шахт и проектированию установок для охлаждения рудничного воздуха. Изд. 2. перераб. и доп. М.: Недра, 1964. – 508 с. Нормативно-правовые акты 1. ГОСТ 12.1.005-88 ССБТ “Общие санитарно-гигиенические требования к воздуху рабочей зоны”. 2. ГСТУ 101.00174088.001-2003. Системи кондиціонування рудникового повытря. Вимоги безпеки. К.: Мінпаливенерго України, 2003. – 28 с. 3. ДСН 3.3.6. 042 – 99. Санітарні норми мікроклімату виробничих приміщень. Державні санітарні норми. К., 1999 – 15 с. 4. ДСП 3.3.1.095-02. Державні санітарні правила і норми (підприємства вугільної промисловості). 5. Збірник інструкційдо Правил безпеки у вугільних шахтах. Т.1. Київ, 2003. – 478 с. 6. Санитарные нормы проектирования промышленных предприятий СН -245–71. М., Стройиздат, 1972.7. Строительные нормы и правила СНиП 11-33–75. Ч. ІІ. Нормы проектирования. 8. Единая методика прогнозирования температурных условий в угольных шахтах. МакНИИ, Макеевка-Донбасс, 1979. - 196 с. 9. Руководство по выбору горнотехнических способов нормализации климатических условий на выемочных участках глубоких шахт. МакНИИ, Макеевка-Донбасс, 1995. - 44 с. 10. Экспресс-методика прогнозирования температуры воздуха в выработках глубоких шахт Донбасса. МакНИИ, Макеевка-Донбасс, 1985 - 59 с. |
||||||||||||||||||||||||||||||||||||||||||||||||||||||||||||||||||||||||||||||||||||||||||||||||||||||||||||||||||||||||||||||||||||||||||||||||||||||||||||||||||||||||



















(5.4.7)











(5.4.12)
(5.4.13)
















