Дипломная работа: Изучение социально-психологических аспектов коммуникативных установок старшеклассников
|
Название: Изучение социально-психологических аспектов коммуникативных установок старшеклассников Раздел: Рефераты по психологии Тип: дипломная работа | ||||||||||||||||||||||||||||||||||||||||||||||||||||||||||||||||||||||||||||||||||||||||||||||||||||||||||||||||||||||||||||||||||||||||||||||||||||||||||||||||||||||||||||||||||||||||||||||||||||||||||||||||||||||||||||||||||||||||||||||||||||||||||||||||||||||||||||||||||||||||||||||||||||||||||||||||||||||||||||||||||||||||||||||||||||||||||||||||||||||||||||||||||||||||||||||||||||||||||||||||
Содержание Введение Глава I. Теоретический анализ социально-психологических установок и факторов формирования их в юношеском возрасте §1. Социально-психологическая установка · Определение, компоненты и функции социально-психологической установки · Теория когнитивного диссонанса · Теория возникновение социальной доминанты · Стереотипы и предрассудки · Диспозиционная концепция регуляции социального поведения личности §2. Юность как возрастной этап психического развития §3. Теоретические аспекты детско-родительских отношений · Детско-родительские отношения в психологии · Классификация стилей воспитания в психологии · Личностные особенности родителей в воспитании · Семья как фактор развития успешного ребенка Глава 2. Эмпирическое исследование социально-психологических аспектов коммуникативных установок старшеклассников (16-17 лет) § 1. Цель, задачи и методы исследования § 2. Описание методик § 3. Результаты исследования и их обсуждение · Методика диагностики коммуникативной установки В.В. Бойко · Методика диагностики социально-психологических установок · Методика выявления родительских установок Pari · Подростковый вариант теста Кеттелла 12-18 лет §4 Выводы Заключение Литература Введение Юность – время развития социальной зрелости личности, ее движение к сознательной и ответственной жизни. Эти процессы целиком и полностью зависят от социально – экономических условий общества, от воспитания, обучения в школе и вузе, от ценностных ориентаций семьи и от личностных особенностей самих старшеклассников. Проблеме самоопределения личности много внимания уделено в трудах по психологии и социологии. Вопросы, относящиеся к проблеме самоопределения личности в юношеском возрасте, рассматривались в трудах таких психологов, как С.Л. Рубинштейн, К.А. Абульханова-Славская, М.Р. Гинзбург, Г.П. Ников, В.Ф. Сафин (общий подход к самоопределению личности в обществе), Л.И. Божович и др. Социологами самоопределение понимается как результат вхождения в некоторую социальную структуру и его фиксация, а психологов интересует в первую очередь процесс, те психологические механизмы, которые обуславливают вхождение индивида в те или иные социальные структуры. Но все они сходятся во мнении, что будущее самоопределение личности зависит в большей степени от социально-психологических установок. Отсюда вытекает актуальность нашего исследования. Она обусловлена необходимостью анализа социально-психологических факторов, влияющих на формирование негативных коммуникативных установок старшеклассников. В начале работы была поставлена цель, которая конкретизировалась в отдельных задачах. Целью данной работы является: изучение социально-психологических аспектов коммуникативных установок старшеклассников. Задачи исследования: - изучение и анализ литературы по теме исследования; - изучение личностных особенностей старшеклассников; - изучение мотивационно-потребностной сферы старшеклассников и их родителей; - изучение родительских коммуникативных установок. Объект исследования – коммуникативные установки старшеклассников. Предмет исследования - взаимосвязь коммуникативных установок старшеклассников с личностными особенностями и с социально-психологическими установками их родителей. Гипотеза исследования : Коммуникативные установки старшеклассников взаимосвязаны с устойчивыми личностными свойствами, с характером социально-психологических установок их родителей и типом родительского отношения в семье. В работе мы использовали следующие методы: -метод анализа литературы по теме исследования; -методы психодиагностики (анкетирование, тестирование); -методы математико-статистического анализа полученных данных: t-критерий Стьюдента, метод ранговых корреляций Спирмена .мет В качестве психодиагностических методик использовали: - методика «Диагностика коммуникативной установки» В.В.Бойко; -методика «Диагностика социально-психологических установок личности в мотивационно-потребностной сфере» О.Ф.Потёмкина; - методика PARI (адаптирована Т.В.Нещерт); - подростковый вариант теста Кэтелла (12-18 лет) од ранговых корреляц Глава I . Теоретический анализ социально - психологических установок и факторов формирования их в юношеском возрасте 1. Социально-психологическая установка личности Определение, компоненты и функции социально-психологической установки При исследовании личности в социальной психологии важнейшее место занимает проблема социально-психологической установки. Установка — свойство деятельности, готовность, предрасположенность субъекта, возникающая при предвосхищении им появления определенного объекта и обеспечивающая устойчивый целенаправленный характер протекания деятельности по отношению к данному объекту, т.е. психологическая готовность в определенных условиях действовать определенным образом[36]. Социально-психологические установки есть состояния психологической готовности, складывающейся на основе опыта и оказывающей влияние на реакции человека относительно тех объектов и ситуаций, с которыми он связан и которые социально для него значимы[3]. Понятие «установка» следует рассматривать не как вообще отношение, позицию к какому-либо предмету, явлению, человеку, а как диспозицию – готовность к определенному поведению в конкретной ситуации. Это понятие выражает конкретную связь между внутренним и внешним[42]. Первоначально оно было введено в экспериментальной психологии немецкими психологами для обозначения обусловленного прошлым опытом фактора (готовности действовать тем или иным образом), определяющего скорость реагирования на воспринимаемую ситуацию (Л. Ланге) и некоторые иллюзии восприятия (Г. Мюллер, Т. Шуман), а также для описания возникающего при постановке задачи неосознаваемого состояния готовности, обусловливающего направленность различных психических процессов[44]. В 1901 г. в рамках Вюрцбургской школы Г. Майер и И. Орт, ученики К. Марбе, показали, что существуют психические процессы, которые нельзя описать феноменологически и которые не попадают в классы ощущений, образов или чувств. Они проявляются в ожиданиях, колебаниях, сомнениях или уверенности в том, что в решении задачи найден правильный путь. Эти процессы были названы состояниями сознания, а при переводе на английский язык получили название установок сознания[44]. Впсихологии термин «установка» имеет свое собственное значение, свою собственную традицию исследования, и необходимо соотнести понятие «социальная установка» с этой традицией[3]. Изучение установки имеет свою историю развития. В отечественной психологии изучение установки тесно связано с именами Узнадзе, Мясищева, Божович, Леонтьева[49]. Проблема установки была специальным предметом исследования в школе Д.Н. Узнадзе. Внешнее совпадение терминов «установка» и «социальная установка» приводит к тому, что иногда содержание этих понятий рассматривается как идентичное. Тем более, что набор определений, раскрывающих содержание этих двух понятий, действительно схож: «склонность», «направленность», «готовность». Вместе с тем необходимо точно развести сферу действия установок, как их понимал Д.Н. Узнадзе, и сферу действия «социальных установок»[3]. По Д.Н. Узнадзе, установка является целостным динамическим состоянием субъекта, состоянием готовности к определенной активности, состоянием, которое обусловливается двумя факторами: потребностью субъекта и соответствующей объективной ситуацией[3]. Установка в контексте концепции Д.Н. Узнадзе более всего касается вопроса о реализации простейших физиологических потребностей человека. Она трактуется как бессознательное, что исключает применение этого понятия к изучению наиболее сложных, высших форм человеческой деятельности. Это ни в коей мере не принижает значения разработки проблем на общепсихологическом уровне, так же как и возможности развития этих идей применительно к социальной психологии[3]. Мясищев известен своей концепцией отношений человека. Отношение — это система временных связей человека со всей действительностью или ее отдельными сторонами; предрасположенность к каким-то объектам, позволяющим ожидать раскрытия себя в реальных актах действия[49]. Согласно Божович, направленность личности складывается как внутренняя позиция личности оп отношению к социальному окружению, к отдельным объектам социальной среды. Направленность личности может быть рассмотрена как предрасположенность личности действовать определенным образом, охватывающей всю сферу ее жизнедеятельности, вплоть до самых сложных объектов и ситуаций[49]. С позиции Леонтьева, социальная установка определяется личностным смыслом, порождаемым отношением мотива к цели[49]. Социальная установка — одна из основных категорий социальной психологии. Социальная установка призвана объяснить все социальное поведение человека. В английском языке социальной установке соответствует понятие «аттитюд», и ввели его в научный обиход в 1918-1920 гг. У. Томас и Ф. Знанецкий. Они описали и четыре функции аттитюдов: 1) Приспособительная функция (иногда называемая утилитарной, адаптивной) — аттитюд направляет субъекта к тем объектам, которые служат достижению его целей. Она связана с необходимостью обеспечить максимально благоприятное положение человека в социальной среде. Положительные установки к благоприятным стимулам. Отрицательные – к источникам неприятных стимулов. 2) Функция знания или организации мировоззрения . Этот аттитюд дает упрощенные указания относительно способа поведения по отношению к конкретному объекту. Вырабатывается по отношению к знаниям о мире. Научные представления+обыденные. Система установок – это совокупность эмоционально окрашенных элементов знания о мире, о людях. 3) Ценностно-выразительная функция (иногда называемая функцией ценности, саморегуляции) — аттитюд выступает как средство освобождения субъекта от внутреннего напряжения, выражения себя как личности; Эта функция связана с потребностями в личностной устойчивости. Положительные установки вырабатываются, как правило, к представителям нашего личностного типа. 4) Энергозащитная функция — аттитюд способствует разрешению внутренних конфликтов личности. Связан с необходимостью поддерживать внутреннюю устойчивость личности[44]. Что касается развития исследований в области аттитюда в западной психологии, Шихирев выделил 4 этапа в данном направлении исследований. 1. С 1918 до Второй Мировой — введение термина, рост интереса к проблеме и числа исследований. 2. 40-50 — упадок исследований из-за тупика в теоретическом осмыслении проблемы. 3. 50-60 — признание тупиковых кризисного состояния, возрождение интереса и исследований по проблеме. 4. 70-е – застой, связанный с обилием несопоставимых фактов[50]. В 1942 г. М. Смит внес ясность в структуру социальной установки, выделив три известных компонента: 1. Когнитивный, содержащий знание, представление о социальном объекте; 2. Аффективный, отражающий эмоционально-оценочное отношение к объекту; 3. Поведенческий, выражающий потенциальную готовность личности реализовать определенное поведение по отношению к объекту. Будет или не будет реализовано поведение, соответствующее когнитивному и аффективному компонентам данной установки, зависит от ситуации, то есть взаимодействия с другими аттитюдами[51]. В процессе человеческого общения, социального взаимодействия установки преобразуются. В общении всегда есть элемент осознанного или неосознанного стремления изменить установки другого человека[43] Установки образуют систему. Установки, находящиеся в центре и образующие большое количество связей называются центральными, фокальными установками (установки к знаниям, связанные с мировоззрением и моральным кредо личности)[43]. Главная центральная установка – это установка к собственному «Я», так как в процессе социализации мы всегда соотносим все значимые для нас явления с мыслью о себе. Установка самооценки собственного «Я» оказывается в пересечении всех связей системы. Изменение фокальной установки не возможно без разрушения целостности личности. Концепция своего «Я» отрицательна только у крайне невротичных людей[43]. Периферийные установки имеют мало связей и поэтому легче и быстрее поддаются изменению[43]. При изменении установки возможны следующие ситуации: - соседние установки изменяются по направленности ( с + на -); - может измениться степень важности установки; - может измениться принцип связи между соседними установками[30]. Когнитивный диссонанс В основе системы установок лежат как когнитивные, так и эмоциональные связи. Более надежным и быстрым способом изменения установок является, отношения к проблеме. Логический способ изменения установки срабатывает не всегда, так как человек избегает сведений, которые могут доказать ошибочность его поведения[47]. Существует зависимость между вероятностью изменения установки и объемом информации об установке (с увеличением количества информации вероятность изменения повышается, но существует предел насыщения). Вероятность изменения установки зависит от ее сбалансированности. Человек стремится избегать информации, которая способна вызвать когнитивный диссонанс – несоответствие между установками или установками и реальным поведение человека[30]. Когнитивный диссонанс — состояние, характеризующееся столкновением в сознании индивида противоречивых знаний, убеждений, поведенческих установок относительно некоторого объекта или явления[13]. Теория когнитивного диссонанса — одна из «теорий соответствия», основывающихся на приписывании личности стремления к связному и упорядоченному восприятию своего отношения к миру[13]. Понятие «когнитивный диссонанс» впервые введено учеником Курта Левина Леоном Фестингером в 1956 году для объяснения изменений мнений, убеждений как способа устранения смысловых конфликтных ситуаций[36]. В теории когнитивного диссонанса логически противоречивым знаниям об одном и том же предмете приписывается статус мотивации, призванной обеспечить устранение возникающего при столкновении с противоречиями чувства дискомфорта за счёт изменения существовавших знаний или социальных установок. Считается, что существует комплекс знаний об объектах и людях, названный когнитивной системой, который может быть разной степени сложности, согласованности и взаимосвязанности. При этом сложность когнитивной системы зависит от количества и разнообразия включенных в неё знаний[36]. По классическому определению Л. Фестингера, когнитивный диссонанс — это несоответствие между двумя когнитивными элементами (когнициями) — мыслями, опытом, информацией и т. д. — при котором отрицание одного элемента вытекает из существования другого, и связанное с этим несоответствием ощущение дискомфорта, иначе говоря, чувство дискомфорта возникает при столкновении в сознании логически противоречивых знаний об одном и том же явлении, событии, объекте. Теория когнитивного диссонанса характеризует способы устранения или сглаживания этих противоречий и описывает то, как это делает человек в типичных случаях[13]. В случае сбалансированной системы установок речевое воздействие другого человека или группы действует по принципу ассимиляционного контрастного действия (Если мнение человека близко к мнению оратора, происходит объединение мнений (ассимиляция), если противоположно – человек еще больше убеждается в своей правоте (контраст)). Человек обладает системой селекции информации: на уровне внимания (внимание направляется туда, что интересует человека); на уровне восприятия; на уровне памяти[30]. Методы воздействия Совокупность приемов реализующих воздействие на: -потребности, интересы, склонности, мотивацию; -на установки, групповые нормы, самооценки людей; -на состояние, в котором человек находится и которое изменяет его поведение[30]. Чтобы изменить мотивацию человека вовлекают в новую деятельность. Для изменения поведения надо изменить иерархию его мотивов, актуализация мотивов более низкой сферы (метод регрессии)[30]. Метод создания неопределенных ситуаций. Позволяет ввести человека в состояние «разрушенных установок», потери себя, и если после этого показать ему путь выхода из неопределенности, он будет готов воспринять эту установку и реагировать требуемым образом. Особенно если при этом произвести внушающие маневры: апелляция к мнению большинства, вовлечение в общую деятельность[30]. Требуемая социальная установка формируется у человека: - если он периодически включается в соответствующую деятельность; - многократно получает соответствующую информацию; - если он включается в престижную, значимую для него группу, в которой эта установка поддерживается (кооптация). Для формирования установки на требуемое отношение или оценку события, используется метод ассоциативного или эмоционального переноса (включить объект в один контекст с тем, что уже имеет оценку, или вызвать эмоцию по поводу этого контекста)[28] Для усиления (актуализации установки) способной вызвать эмоциональный или моральный протест человека используется прием «совмещения стереотипных фраз», с тем, что хотят внедрить (стереотипные фразы снижают внимание, эмоциональное отношение человека на какой-то момент, достаточный для срабатывания установки). Для изменения эмоционального отношения и состояния человека к текущим событиям эффективен прием «воспоминания горького прошлого» (увидев прошлую жизнь в черном свете происходит снижение недовольства сегодняшним днем). Для разрядки отрицательного эмоционального состояния людей в требуемом направлении и с требуемым эффектом используют прием «канализации настроения» (провоцирование, изливание гнева толпы на «стрелочника»). Если мотивация, установки и эмоциональное состояние людей учтены, воздействие наиболее эффективно. Чтобы изменить поведение группы необходимо изменить групповые нормы (групповые нормы определяют, регулируют поведение людей и группы в целом). Активное воздействие на групповые нормы может осуществить лидер либо включение в другую деятельность[28]. Теория возникновение социальной доминанты Считается, что любое воздействие на человека можно рассматривать с точки зрения теории установки. Когда оно имеет социальную природу, то говорят о социально-психологической природе установки. Понимание механизма действия установок облегчается пониманием действия принципа так называемой доминанты[3]. Психофизиологам хорошо известно, что деятельность человека во многом определяется доминантой – устойчивым очагом повышенной возбудимости в коре и подкорке головного мозга. Это есть то самое таинственное «что-то», что мешает или, напротив, заставляет человека предпринимать какие-либо действия в определенных ситуациях[49]. Наиболее полно и последовательно исследовал механизм доминанты академик Алексей Алексеевич Ухтомский (1875-1942). Как возникает доминанта? Считается, что доминанта в своем развитии проходит три стадии. Первая стадия. Доминанта возникает под влиянием внутренней секреции (например, полового созревания) и внешних раздражителей. В качестве поводов для подпитки доминанта привлекает самые разнообразные раздражители. Вторая стадия. Это стадия образования условного рефлекса по И.П. Павлову, когда из прежнего множества действующих возбуждений доминанта выбирает группу, которая для нее особенно «интересна», – выборка раздражителя для данной доминанты, в результате чего образуется условный рефлекс. Третья стадия. Между доминантой и внешним раздражителем устанавливается прочная связь так, что раздражитель будет вызывать и подкреплять ее. Внешняя среда целиком поделилась на отдельные предметы, лишь части из которых отвечает определенная доминанта. Доминантный очаг обладает рядом специфических свойств, некоторые из них используются в рекламной деятельности[49]. Эти свойства следующие: 1. Устойчивость во времени; 2. Способность, с одной стороны, как бы притягивать к себе различные внешние раздражители, а с другой – подпитываться ими; В конкретный интервал времени (минуты, часы, а в некоторых особых случаях – месяцы и годы) господствует одна доминанта, Доминанта резко ослабляется в связи с ее естественным разрешением. Доминанта – объективно существующий механизм человеческого мышления и поведения. Но, в отличие от животных человек способен осознавать, корректировать прежние и создавать новые доминанты[49]. Можно ли целенаправленно формировать новые доминанты? На этот вопрос современная психофизиология точного ответа не дает. Одно несомненно: доминанта не фатальна и прежде чем, например, проводить серьезную рекламную кампанию, необходимо «расчистить место» – как минимум, попытаться скорректировать прежние доминанты (полностью их затормозить не удается). Известно четыре основных психофизиологических механизма коррекции старых доминант: - Воздействие доминанты существенно ослаблялся рационально сублимированной деятельностью, отражающей сущность очага возбуждения (то есть естественное разрешение доминанты) ; - Запрет, торможение «в лоб», выраженное обычно самоприказами типа «нельзя», «не делай!». Правда, их эффективность считается относительно невысокой; - Переведение необходимых действий в автоматический режима («автоматизм»); Торможение прежней доминанты новой – наиболее эффективная техника. Новые доминанты могут быть выработаны посредством информационного, эмоционального, физиологического воздействия. Считается, что информационное воздействие, как правило, самое слабое. Не случайно предупреждение Минздрава «Курение опасно для вашего здоровья» не срабатывает даже в среде медицинских работников – людей, самых информированных о последствиях курения. Формирование новой доминанты в ряде случаев удобно вводить через физиологический механизм, в частности через мышечные действия (совет физиолога И.П. Павлова – «страсть вогнать в мышцы» – окатиться холодной водой, поколоть дрова, сделать пробежку)[49]. Таким образом, принятие решений, интуиция, озарения, с одной стороны, и шаблонность мышления, неприятие нового – с другой, реализуются с помощью единого психофизиологического механизма – принципа доминанты. По истечении некоторого времени доминанта убывает, оставляя после себя стереотипы восприятия, мышления и, следовательно, поведения[49]. Стереотипы и предрассудки Четкая структура социальной установки позволяет выделить две ее важные разновидности - стереотип и предрассудок. От обычной социальной установки они отличаются, прежде всего, содержанием своего когнитивного компонента[28]. Стереотип — это социальная установка с застывшим, нередко обедненным содержанием когнитивного компонента. Стереотипы бывают, полезны и необходимы как форма экономии мышления и действий в отношении достаточно простых и стабильных объектов и ситуаций, адекватное взаимодействие с которыми возможно на основе привычных и подтверждаемых опытом представлений[28]. Там же, где объект требует творческого осмысления или изменился, а представления о нем остались прежними, стереотип становится тормозом в процессах взаимодействия личности с действительностью. Основные свойства стереотипов: Способность влиять на принятие решения, нередко вопреки логике. Так, по данным американских исследователей, до 40% людей, отвергавших копченую рыбу, никогда ее не пробовали[28] В зависимости от характера установки (позитивной или негативной) стереотипы едва ли не автоматически «подсказывают» одни доводы и вытесняют из сознания другие, противоположные первым; Стереотип, в отличие от «потребности вообще», обладает выраженной конкретностью. Стереотипы бывают: положительными, отрицательными, нейтральными (их еще называют стереотипами «известности, но безразличия»)[28]. Предрассудок - это социальная установка с искаженным содержанием ее когнитивного компонента, вследствие чего индивид воспринимает некоторые социальные объекты в неадекватном, искаженном виде. Нередко с таким когнитивным компонентом бывает, связан сильный, то есть эмоционально насыщенный аффективный компонент[28]. В результате предрассудок обусловливает не только некритичное восприятие отдельных элементов действительности, но и неадекватные при определенных условиях действия по отношению к ним. Наиболее распространенным видом таких извращенных социальных установок являются расовые и национальные предрассудки[28]. Основная причина формирования предрассудков кроется в неразвитости когнитивной сферы личности, благодаря чему индивид некритично воспринимает влияния соответствующей среды. Поэтому чаще всего предрассудки возникают в детстве, когда у ребенка еще нет или почти нет адекватных знаний о том или ином социальном объекте, но под воздействием родителей и ближайшего окружения уже формируется определенное эмоционально-оценочное отношение к нему. В дальнейшем это отношение оказывает соответствующее влияние на содержание развивающегося когнитивного компонента, выступая в роли фильтра, допускающего к восприятию лишь ту информацию об объекте, которая соответствует уже сложившейся аффективной его оценке[28]. Повлиять на формирование или закрепление предрассудка может и соответствующий жизненный опыт индивида, эмоционально пережитый, но недостаточно критично интерпретированный[28] Диспозиционная концепция регуляции социального поведения личности Академиком Ядовым разработана диспозиционная концепция регуляции социального поведения личности. Ее основная идея заключается в том, что человек обладает сложной системой различных диспозиционных образований, которые регулируют его поведение и деятельность[54]. Эти диспозиции организованы иерархически, т. е. можно обозначить более низкие и более высокие их уровни. Ядов выделяет 4 уровня диспозиций 1. Первый уровень составляют элементарные фиксированные установки, они формируются на основе витальных потребностей и в простейших ситуациях (по схеме Ядова, в условиях семейного окружения и в «предметных ситуациях»). Этот уровень диспозиций можно обозначить как «установка». Аффективный компонент играет значительную роль при формировании диспозиций[54]. 2. Второй уровень это более сложные диспозиции, которые формируются на основе потребности человека в общении, осуществляемом в малой группе, и соответственно в тех ситуациях, которые заданы деятельностью в этой группе[54]. Здесь регулятивная роль диспозиции заключается в том, что личность уже вырабатывает какие-то определенные отношения к тем социальным объектам, которые включены в деятельность на данном ее уровне. Диспозиция такого уровня соответствует социальной фиксированной установке, или аттитюду, который по сравнению с элементарной фиксированной установкой имеет сложную трехкомпонентную структуру и содержит когнитивный, аффективный и поведенческий компоненты[54]. 3. Третий уровень фиксирует общую направленность интересов личности относительно конкретной сферы социальной активности, или базовые социальные установки. Диспозиции такого рода формируются в тех сферах деятельности, где личность удовлетворяет свою потребность в активности, проявляемой как конкретная «работа», конкретная область досуга и пр.[54]. Так же как и аттитюды, базовые социальные установки имеют трехкомпонентную структуру, т. е. это не столько выражение отношения к отдельному социальному объекту, сколько к каким-то более значимым социальным областям[54]. 4. Четвертый, высший уровень диспозиций образует система ценностных ориентаций личности, которая регулируют поведение и деятельность личности в наиболее значимых ситуациях ее социальной активности. В системе ценностных ориентаций выражается отношение личности к целям жизнедеятельности, к средствам удовлетворения этих целей, т. е. к таким «обстоятельствам» жизни личности, которые могут быть детерминированы только общими социальными условиями, типом общества, системой его экономических, политических, идеологических принципов[54]. Преобладающее выражение получает когнитивный компонент диспозиций. Предложенная иерархия диспозиционных образований выступает как регулятивная система по отношению к поведению личности. Более или менее точно можно соотнести каждый из уровней диспозиций с регуляцией конкретных типов проявления деятельности. Разработка предложенной концепции позволяет подойти ко всей проблеме аттитюдов с принципиально новых позиций[54]. Коммуникативная установка партнера – это своеобразная программа поведения личности в процессе общения. Уровень установки может прогнозироваться в ходе выявления: предметно-тематических интересов партнера, эмоционально-оценочных отношений к различным событиям, отношение к форме общения, включенности партнеров в систему коммуникативного взаимодействия. Это определяется в ходе изучения частоты коммуникативных контактов, типа темперамента партнера, его предметно-практических предпочтений, эмоциональных оценок форм общения[13]. 2 . Юность как возрастной этап психического развития Юношеский возраст - период жизни человека между подростковым возрастом и взрослостью. Психологи расходятся в определении возрастных границ юности. В западной психологии преобладает традиция объединения отрочества и юности в возрастной период, называемый периодом взросления, содержанием которого и является переход от детства к взрослости, и границы которого могут простираться от 12/14 до 25 лет[24]. В отечественной науке юность определяется в границах 14 - 18 лет и рассматривается как самостоятельный период развития человека, его личности и индивидуальности. Возраст 15 - 17 лет называют ранним юношеским или возрастом ранней юности. Особенности психического развития в раннем юношеском возрасте, во многом, связаны со спецификой социальной ситуации развития, суть которой сегодня состоит в том, что общество ставит перед молодым человеком настоятельную, жизненно важную задачу осуществить именно в этот период профессиональное самоопределение, причем не только во внутреннем плане в виде мечты, намерения кем-то стать в будущем, а в плане реального выбора. Если раньше эта задача решалась преимущественно семьей и школой, то сегодня, родители зачастую оказываются дезориентированными в вопросе выбора профессии и неавторитетными в глазах ребенка[12]. Принципиально важную характеристику современной ситуации отмечает Б.Д. Эльконин, отстаивая положение о том, что переживаемый нами исторический период в развитии детства может быть охарактеризован как кризисный, он видит суть этого кризиса в разрыве, расхождении образовательной системы и системы взросления. Нигде этот разрыв не виден столь отчетливо, как в период ранней юности. Взросление проходит вне образовательной системы, а образование - вне системы взросления. Возможно существование двух ведущих деятельностей. Вопрос о ведущей деятельности в период ранней юности, который и всегда был дискуссионным, на сегодняшний день остается открытым[26]. Задача выбора будущей профессии, профессионального самоопределения принципиально не может быть успешно решена без и вне решения более широкой задачи личностного самоопределения, включающей построение целостного замысла жизни, самопроектирование себя в будущее. Обращенность в будущее, построение жизненных планов и перспектив Л. И. Божович считала аффективным центром жизни старшего школьника. Сам переход от подросткового к раннему юношескому возрасту она связывала с изменением отношения к будущему. Она утверждает, что подросток смотрит на будущее с позиции настоящего, а юноша или девушка смотрят на настоящее с позиции будущего[12]. Решение этих центральных для данного возраста задач сказывается на всем процессе психического развития, включая развитие не только мотивационной сферы, но и развитие познавательных процессов. К пятнадцати-шестнадцати годам общие умственные способности уже сформированы, однако на протяжении раннего юношеского возраста они продолжают совершенствоваться. Юноши и девушки овладевают сложными интеллектуальными операциями, обогащают свой понятийный аппарат, их умственная деятельность становится более устойчивой и эффективной, приближаясь в этом отношении к деятельности взрослых[12]. Спецификой возраста является быстрое развитие специальных способностей, нередко напрямую связанных с выбираемой профессиональной областью. Дифференциация направленности интересов делает структуру умственной деятельности юноши или девушки гораздо более сложной и индивидуальной, чем в более младших возрастах. У юношей этот процесс начинается раньше и выражен ярче, чем у девушек. Специализация способностей и интересов делает более заметными и многие другие индивидуальные различия[24]. В раннем юношеском возрасте продолжается процесс развития самосознания. В юности открытие себя как неповторимой индивидуальности неразрывно связано с открытием социального мира, в котором предстоит жить. Обращенные к себе в процессе самоанализа, рефлексии вопросы у юноши в отличие от подростка чаще носят мировоззренческий характер, становясь элементом социально-нравственного или личностного самоопределения. Многие психологи именно самоопределение рассматривают как основное новообразование, итожащее раннюю юность. И.В. Дубровина: «Поскольку мы не разделяем бытующего мнения о том, что в ранней юности завершается процесс личностного развития, и поскольку, с нашей точки зрения, процессы личностного и жизненного самоопределения осуществляются и в последующих возрастах, мы полагаем, что главным новообразованием ранней юности является готовность (способность) к личностному и жизненному самоопределению»[24]. Такое представление о центральном новообразовании раннего юношеского возраста по сути близко представлению об идентичности - понятию, наиболее часто встречающемуся при описании этого возраста зарубежными исследователями. Известнейший американский психолог Э.Эриксон, который ввел в обиход это понятие, понимает идентичность как тождественность человека самому себе и целостность. Идентичность - это чувство обретения, адекватности и владения личностью собственным «Я», независимо от изменения ситуации. Юность Э.Эриксон связывает с кризисом идентичности, который «происходит в тот период жизненного цикла, когда каждый молодой человек должен выработать из действенных элементов детства и надежд, связанных с предвидимым совершеннолетием, свои главные перспективы и путь, т. е. определенную работающую цельность; он должен определить значимое сходство между тем, каким он предполагает видеть себя сам, и тем, что по свидетельству его обостренного чувства ожидают от него другие» Р. Бернс. Развитие «Я-концепции» и воспитание[53]. Если молодой человек успешно справляется с задачей обретения идентичности, то у него появляется ощущение того, кто он есть, где находится и куда идет. В противном случае возникает «путаница ролей», или «спутанная идентичность». Часто «спутанная идентичность» бывает результатом трудного детства или тяжелого быта. Исследования показали, например, что девушки, проявляющие в этом возрасте сексуальную распущенность, очень часто обладают фрагментарным представлением о своей личности и свои беспорядочные половые связи не соотносят ни со своим интеллектуальным уровнем, ни с системой ценностей. В некоторых случаях юноши и девушки стремятся к «негативной идентичности», т. е. отождествляют себя с образом, противоположным тому, который хотели бы видеть родители, друзья. По мнению Э. Эриксона, в поиске собственной идентичности лучше даже идентифицировать себя с хиппи, с малолетним преступником, даже с наркоманом, чем вообще не обрести своего Я, своей идентичности.[53]. Особенностью юности можно назвать близость ее к истории страны, особенную созвучность эпохе. И.В. Дубровина отмечает, «что люди, как правило, на всю жизнь сохраняют любовь к той музыке, которую открыли для себя и полюбили в юности, к тому стилю в одежде, который тогда доминировал, к тому типу женской и мужской красоты, который был в цене и который олицетворялся в любимых актрисах и актерах, наконец, к тем ценностям и идеалам, которым были привержены, входя во взрослую жизнь»[37]. Т. Томэ предлагает различать два принципиально разных типа развития в юношеском возрасте: прагматический и творческий. Для первого характерна ориентация на целесообразность и на уход от источников беспокойства, чему субъективно придается первостепенное значение. Такое развитие нельзя назвать действительно индивидуальным развитием, потому что личность такого молодого человека стремится к гомеостатическому равновесию[37]. Второй путь можно назвать путем сознательного саморазвития. Ю.Б. Гиппенрейтер, описывая идеи А.Н. Леонтьева говорит о сознательном самоопределении как об основном содержании «второго рождения» личности в юности. Самоопределение юноши отличается тем, что он уже начинает действовать, реализуя эти планы, утверждая тот или иной образ жизни, начиная осваивать выбранную профессию[23]. В юности почти каждого человека случаются первая любовь и первая дружба - события и связанные с ними переживания, которые не только остаются в памяти человека, но и влияют на всю его жизнь. Юность - уникальный период вхождения человека в мир культуры, когда он имеет не только интеллектуальную, но и физическую возможность много читать, путешествовать, ходить в музеи, на концерты, как бы заряжаясь энергией культуры на всю последующую жизнь. Если этот шанс упускается в юности, часто в дальнейшем бывает невозможным такое свежее, интенсивное и свободное, не связанное профессиональными, родительскими или какими-либо иными нуждами приобщение к культуре[24]. Юность ценят все - это возраст, с которым горько расставаться, в который многие хотели бы вернуться, который в этом смысле даже опасно переоценивается в ущерб другим возрастам. Но эта субъективная и объективная ценность и значимость юности делают особенно важным успешное решение задач развития, которые ставятся перед человеком в ранней юности. Исследователями называются различные задачи, что зависит от общей концепции возрастного развития, разделяемой тем или иным автором, и от конкретно-исторических условий развития личности на данном возрастном этапе. Выделим следующие основные задачи развития в ранней юности: 1. Обретение чувства личностной тождественности и целостности (идентичности); 2. Обретение психосексуальной идентичности - осознание и самоощущение себя как достойного представителя определенного пола, а также выбор будущего брачного партнера; 3. Профессиональное самоопределение - самостоятельное и независимое определение жизненных целей и выбор будущей профессии. Развитие готовности к жизненному самоопределению, что предполагает достаточный уровень развития ценностных представлений, волевой сферы, самостоятельности и ответственности. Все это позволяет «включиться» в мир взрослых[23]. Юношеский возраст - это период завершения физического созревания человека, бурного роста его самосознания, формирования мировоззрения, выбора жизненного пути и начала вступления во взрослую жизнь. Этот возраст характеризуется жадным стремлениемк познанию, кипучей энергией, бурной активностью, инициативности, жаждой деятельности[12]. Заметное развитие в этот период приобретают волевые черты характера - настойчивость, упорство в достижении цели, умение преодолевать препятствия и трудности. Внимание характеризуется не только большим объемом и устойчивостью, но и специфической избирательностью. Избирательным, целенаправленным, анализирующим становится и восприятие. Значительно увеличивается объем памяти, причем не только за счет лучшего запоминания материала, но и его логического осмысления. Память и внимание, приобретают характер организованных, регулируемых и управляемых процессов[12]. Юношеский возраст характеризуется большей дифференцированностью эмоциональных реакций и способов выражения эмоциональных состояний, а так же повышением самоконтроля и саморегуляции. К ним относятся особая подростковая сензитивность - чувствительность к оценке другими своей внешности, способностей, умений и, наряду с этим, излишняя самоуверенность и чрезмерная критичность в отношении окружающих[24]. Юношеский возраст связан с потребностью в общении и владении способами его построения; с развитием теоретического мышления и умением ориентироваться в различных формах теоретического сознания, с развитием рефлексии, с помощью которой обеспечивается осознанное и критическое отношение к себе; потребностью в труде и способностью трудиться. Все эти качества образуют психологическую базу для самоопределения - центрального новообразования раннего юношеского возраста[31]. Один из характерных моментов развития современных старшеклассников состоит в крайней неравномерности, не одновременности, которые проявляются как на межиндивидуальном уровне, так и на внутрииндивидуальном (разные системы организмов созревают в разные сроки; не совпадает время наступления физиологической, интеллектуальной и социальной зрелости) уровне. Такого рода ситуация оказывает влияние на его поведение и психику, нередко играя патогенную роль в возникновении эмоциональных нарушений и трудностей развития[26]. §3. Теоретические аспекты детско-родительских отношений Детско-родительские отношения в психологии Родительские установки, или позиции, — один из наиболее изученных аспектов детско-родительских отношений. При этом под родительскими установками А.С. Спиваковская[55] понимает систему или совокупность родительского эмоционального отношения к ребенку, восприятие ребенка родителем и способов поведения с ним. Еще в 30-х гг. были выделены четыре родительские установки и соответствующие им типы поведения: «принятие и любовь», «явное отвержение», «излишняя требовательность», «чрезмерная опека», а также была прослежена определенная зависимость между поведением родителей и поведением детей. Так, например, «принятие и любовь» порождают в ребенке чувство безопасности и способствуют нормальному развитию личности, в то время как «явное отвержение» ведет к агрессивности и эмоциональному недоразвитию[55]. Вопросы, посвященные проблеме детско-родительских отношений, рассматривались учеными на протяжении всего развития психологической науки и практики. В отечественной психологии исследованиями в этой области занимались ученые Божович Л.И., Выготский Л.С.,Дубровина И.В., Лисина М.И., Леонтьев А.Н., В.С.Мухина, Хоментаускас Г.Т., Эльконин Д.Б и многие другие. Божович Л.И. в работе Этапы формирования личности в онтогенезе установила, что в процессе онтогенетического развития в психике ребенка возникают качественно новые образования. Эти психологические образования как некий целостный механизм, определяют поведение и деятельность человека, его взаимоотношения с людьми, его отношение к окружающему и к самому себе[12]. Выготский Л.С., Лисина М.И., Эльконин Д.Б разрабатывая проблему периодизации психического развития показали, что с возрастом изменяется мировоззрение ребенка, тип его ведущей деятельности, отношения со взрослыми и сверстниками, и это влечет за собой и изменения в отношение родителей к нему[35]. Дубровина И.В. в работе Семья и социализация ребенка рассматривает семью как главный источник социализации. В семье социализация происходит наиболее естественно и безболезненно, основным механизмом ее является воспитание. Воспитание это процесс социальный в самом широком смысле. Итак, для полноценного развития личности ребенка в семье должны складываться благоприятные условия, которые напрямую зависят от сложившихся в семье детско-родительских отношений. С одной стороны, главной характеристикой родительского отношения является любовь, которая определяет доверие к ребенку, радость и удовольствие от общения с ним, стремление к его защите и безопасности. С другой родительское отношение характеризуется требовательностью и контролем. В этом конфликте заключается одно из самых сильных противоречий детско-родительских отношений в семье. Первым научным направлением, поставившим детско-родительские отношения в центр развития личности ребенка, был классический психоанализ. Психоанализ, стал определяющим направлением развития основных концепций детского развития, в которых ключевая роль отводится проблеме отношений между детьми и родителями (Э.Эриксон, К.Хорни, др.). Наибольшую популярность завоевала теория привязанности (Д.Боулби, М.Эйнсворт)[52]. Центральным понятием в теории привязанности является «внутренняя рабочая модель», которая представляет собой неразрывное и взаимообусловленное единство себя и другого. Ребенок познает себя через отношение к нему матери, а мать воспринимает как источник отношения к себе. Эта сложная взаимосвязь в первоначальном варианте, понималась как отношение к себе и к близкому взрослому, которое дает чувство защищенности и безопасности[56]. В современных исследованиях, данного вопроса, происходит переориентация с изучения самосознания ребенка к исследованию его поведения, которое чаще всего описывается в терминах социальной адаптации и компетенции. Привязанность рассматривается уже не как отношение, а как стратегия поведения с родителями. E.Moss и др., (1998), отмечают положительную корреляцию между «надежным» типом привязанности и школьной адаптацией, гармоничной коммуникацией в детско-родительской диаде. В исследовании P.Crittenden (1996) показана прямая зависимость стратегии поведения школьников и подростков от качества привязанности к матери[57]. Помимо теории привязанности, весьма популярным в западной психологии являются теоретические модели, разработанные D.Baumrind (1967), а также E.S.Schaefer, R.A.Bell (1969). D.Baumrind предложил классификацию родительских стилей поведения, включающую 3 типа: 1) авторитетный; 2) авторитарный; 3) попустительский стиль; E.S.Schaefer, R.A.Bell разработали динамическую двухфакторную модель родительского отношения, где один из факторов отражает эмоциональное отношение к ребенку: «принятие-отвержение», а другой - стиль поведения родителей: «автономия-контроль». Каждая позиция взаимосвязью различных факторов, их взаимосвязанностью. Хотя данные теоретические модели были предложены более 30 лет назад, они остаются практически единственными, на сегодняшний день, дающими содержательное описание родительского отношения[57]. В последнее время одним из наиболее распространенных направлений исследования ДРО становятся кросскультурные и гендерные исследования. Проведенные исследования в этой области, показали, что каждому типу темперамента ребенка соответствует определенный родительский стиль поведения. Интересное исследование половых различий родительских стилей проведено A.Russel (1998, показали, что матерям в большей степени свойственен авторитетный стиль, отцам - авторитарный или попустительский. Авторитарный стиль более свойственен родителям мальчика, авторитетный - родителям девочки[55]. Согласно гипотезе, специфика родительского отношения заключается в двойственности и противоречивости позиции родителя по отношению к ребенку. С одной стороны, это безусловная любовь и глубинная связь, с другой - это объективное оценочное отношение, направленное на формирование общественных способов поведения. Наличие этих двух противоположных начал характерно не только для родительского отношения, но и для межличностных отношений вообще. Своеобразие и внутренняя конфликтность родительского отношения заключается в максимальной выраженности и напряженности обоих моментов. Ответственное отношение, беспокойство за будущее ребенка, порождает оценочную позицию родителей, обостряя контроль над его действиями, превращая ребенка в объект воспитания[55]. Классификация стилей воспитания в психологии В каждой семье объективно складывается определенная, далеко не всегда осознанная ее членами система воспитания. Здесь имеется в виду и понимание целей воспитания, и формулировка его задач, и более или менее целенаправленное применение методов и приемов воспитания, учет того, что можно и чего нельзя допустить в отношении ребенка. Могут быть выделены четыре наиболее общие тактики воспитания в семье и отвечающие им четыре типа семейных взаимоотношений, являющиеся и предпосылкой и результатом их возникновения: диктат, опека, «невмешательство» и сотрудничество. Диктат в семье проявляется в систематическом поведении одними членами семейства (преимущественно взрослыми) инициативы и чувства собственного достоинства у других его членов. Родители, разумеется, могут и должны предъявлять требования к своему ребенку, исходя из целей воспитания, норм морали, конкретных ситуаций, в которых необходимо принимать педагогически и нравственно оправданные решения. Однако те из них, которые предпочитают всем видам воздействия приказ и насилие, желают утвердить собственное превосходство на ощущении зависимости другого, более слабого существа, сталкиваются с сопротивлением ребенка, который отвечает на нажим, принуждение, угрозы своими контрмерами: лицемерием, обманом, вспышками грубости, а иногда откровенной ненавистью. Но даже если сопротивление оказывается сломленным, вместе с ним оказываются сломленными и многие ценные качества личности: самостоятельность, чувство собственного достоинства, инициативность, вера в себя и в свои возможности. Безоглядная авторитарность родителей, игнорирование интересов и мнений ребенка, подавление, принуждение, а, в случае сопротивления ребенка порой еще и эмоциональное или физическое насилие над ним, издевательство, систематическое лишение его права голоса при решении вопросов, к нему относящихся, - все это гарантия серьезных неудач формирование его личности. Опека в семье - это система отношений, при которых родители, обеспечивая своим трудом, удовлетворение всех потребностей ребенка, ограждают его от каких-либо забот, усилий и трудностей, принимая их на себя. Вопрос об активном формировании личности отходит на второй план. В центре воспитательных воздействий оказывается другая проблема - удовлетворение потребностей ребенка и ограждение его от трудностей. Родители, по сути, блокируют процесс серьезной подготовки их детей к столкновению с реальностью за порогом родного дома. Именно эти дети оказываются более неприспособленными к жизни в коллективе. По данным психологических наблюдений именно эта категория подростков дает наибольшее число срывов в переходном возрасте. Как раз эти дети, которым казалось бы не на что жаловаться, начинают восставать против чрезмерной родительской опеки. Если диктат предполагает насилие, приказ, жесткий авторитаризм, то опека - заботу, ограждение от трудностей. Однако результат во многом совпадает: у детей отсутствует самостоятельность, инициатива, они так или иначе отстранены от решения вопросов, лично их касающихся, а тем более общих проблем семьи. Система межличностных отношений в семье, строящаяся на признании возможности и даже целесообразности независимого существования взрослых от детей, может порождаться тактикой "невмешательства". При этом предполагается, что могут сосуществовать два мира: взрослые и дети, и ни тем, ни другим не следует переходить намеченную таким образом линию. Чаще всего в основе этого типа взаимоотношений лежит пассивность родителей как воспитателей, а порой и их эмоциональная холодность, безразличие, неумение и нежелание учиться быть родителями, учиться родительству. Причем такой вариант может встречаться как в бедных, неустроенных семьях (скажем, семья алкоголиков, где родители заинтересованы только в том, как в очередной раз раздобыть себе выпивки и им совершенно наплевать на детей), так и относительно устроенных, богатых и благополучных семьях (богатые родители достигли высоких результатов в своей профессиональной сфере, в карьере, и, желая прежде всего обеспечить будущее материальное благополучие своих детей, в раннего возраста приучают их к своей будущей (иногда выбранной самими родителями) профессиональной ориентации, которая сама по себе может включать долгие периоды разлуки с родителями, в течение которых ребенок оказывается, предоставлен самому себе; после же того, как ребенок "встанет на ноги", практически всякая забота о нем прекращается). Сотрудничество как тип взаимоотношений в семье предполагает опосредованность межличностных отношений в семье общими целями и задачами совместной деятельности, ее организацией и высокими нравственными ценностями. Именно в этой ситуации преодолевается эгоистический индивидуализм ребенка. Семья, где ведущим типом взаимоотношений является сотрудничество, где родители общаются в детьми на равных, где каждый может обратиться к другому с вопросом или просьбой и получить помощь обретает особое качество, становится группой высокого уровня развития - коллективом. Личностные особенности родителей в воспитании Во многих описаниях отношения и поведения родителей, скрыто или явно присутствует указание на особенности личности родителя как на источник основного информационно-воспитательного элемента для ребенка. Отдельно исследователями выделяется гиперопекающее поведение, связанное с чувством вины у родителей (гиперопека), порожденная виной. Шизофреногенная мать - это, прежде всего набор личностных характерных особенностей, а затем уже специфическое родительское поведение и отношение[26]. Разнообразие родительского поведения диктуется множеством потребностей и конфликтов личности. В большинстве своем, при общении с ребенком, родитель подсознательно воспроизводит свой опыт переживаний раннего детства, проигрывают свои собственные конфликты. То, что за определенным родительским отношением стоит определенная черта личности родителя утверждает и И.С.Шефер (1959). Так, он включил в свою модель родительского отношения данные о личности, полученные с помощью MMPI. Обнаружилась корреляционная связь между факторами, на которые распадаются шкалы MMPI - интроверсия, экстраверсия и сила «Я», и факторами родительского отношения «любовь – ненависть», «автономия – контроль». Так, фактор «экстраверсия-интроверсия» представляет собой структурную единицу личности человека, а фактор «любовь – ненависть» - это образующая родительского отношения. Эти структурные пары представляют собой варианты социального поведения человека, и обозначают точки на круговой модели социального поведения[31]. Ловинджер Л. (1960) считает, основой того или иного родительского отношения показатель API (авторитарная семейная идеология). Этот показатель отражает когнитивный аспект «Я» - осознание своей внутренней жизни и внутренней жизни ребенка; он как бы определяет уровень когнитивного развития «Я». API отражает тревогу по поводу проявления инстинктивных импульсов и защиту личности от этой тревоги. Аспекты этого процесса - подавление и отрицание. Подавление собственной внутренней жизни родителя, приводит прежде всего к подавлению внутренней жизни и ребенка. В данном случае, клинико-психологические особенности родителя так же влияют и на специфику родительского отношения. Например, специфичность депрессивных матерей описывает Орвашел Г. (1980). С большим трудом депрессивной матери по сравнению с нормальной, удастся установить интерактивные взаимодействия с ребенком. Она попросту сможет отделить свои потребности от его потребностей[16]. Деструктивный стиль отношения к ребенку зачастую приводит к его невротизации[20]. Он зависит, по мнению того же автора, от таких черт личности родителя как сензитивность (подразумевается повышенная эмоциональная чувствительность: впечатлительность, ранимость, обидчивость, выраженная склонность все принимать «близко к сердцу») и гиперсоциализация (заостренное чувство долга, обязательность, трудность компромиссов)[20]. Помимо этого, деструктивность в отношении к ребенку обусловлена также, отсутствием у родителя открытости, непосредственности и непринужденности в общении, что чаще всего имеет в своей основе имевшийся ранее психотравмирующий опыт межличностных отношений. Также было выявлено, что «деструктивные» матери обладают следующими чертами личности: они сензитивны, склонны к подозрительности, недоверчивости. У них обнаружены проблемы самоконтроля, трудности во взаимоотношениях с окружающ4ими; наличие хронических межличностных конфликтов, понижение биотонуса, неустойчивые соматические жалобы, склонность к раздражительности и конфликтной переработке переживаний[20]. На конструктивный стиль отношения родителей к ребенку оказывают влияние такие черты личности, как: стремление наиболее полно проявить свои задатки и способности; созидательность; умеренная тревожность; способность брать на себя ответственность; склонность к самоанализу, рефлексии[20] Большинство исследователей проблемы неврозов считают, что деструктивный стиль отношения родителей к ребенку ведет к возникновению аномалий формирования личности в детском возрасте[26]. Так, один из основоположников отечественной психиатрии И.М.Балинский (1859) считал, что строгое, несправедливое отношение к детям в семье является немаловажной причиной развития у них душевного болезненного состояния; чрезмерно снисходительное отношение - причиной переходящей через край эмоциональности у детей; предъявление чрезмерных требований - причиной душевной слабости ребенка[58]. Жестокое воспитание (по мнению Сикорского И.А.) способствует возникновению у ребенка чувства страха; изнеживающее (расслабляющее) воспитание формирует субъективизм и непостоянство характера; пренебрежение воспитанием ведет к трудностям в воспитательном отношении вообще. Многие источники, также, указывают на то, что воспитание в условиях строгих, но противоречивых требований и запретов является предрасполагающим фактором для невроза навязчивых состояний и психастении; воспитание по типу чрезмерного внимания и удовлетворения всех желаний ребенка ведет к развитию истерических черт характера с эгоцентризмом, повышенной эмотивностью и отсутствием самоконтроля; предъявление непосильных требований к детям признан этиологическим фактором неврастении[26]. В работах зарубежных авторов можно найти подтверждение того, какую огромную роль играют детско-родительские отношения в возникновении нарушений и отклонений психического-физического развития ребенка. А.Адлер (1928, 1930) отмечает, что изнеживающее воспитание способствует развитию чувства неполноценности и тенденции к доминированию, вплоть до тирании. С. Блюменфельд, И.Александреско, Т. Георгиу (1970) считают, что, прежде всего, к неустойчивости психики, и агрессивности детей, приводит родительская гиперпротекция или радикальное пренебрежение. Б.Берельсон, Г. Стейнер, обобщая результаты многих исследователей, считают установленным тот факт, что чем меньше ласки, заботы и тепла получает ребенок, тем медленнее он созревает как личность, тем больше он склонен к пассивности и апатичности и тем более вероятно, что в дальнейшем у него сформируется слабый характер[20]. Личностные особенности родителей оказывают существенное влияние на характер их отношения к ребенку. Ярким примером, подтверждающим это положение, является концепция шизофреногенной матери (Фромм - Райхманн, 1948). Шизофреногенная мать - деспотичная, властная женщина, которая эмоционально отвергает своего ребенка и одновременно вызывает у него сильную тревожность, мешает нормальному развитию своего ребенка из-за сильной потребности контролировать чужие жизни. Она стремиться быть безупречной в своих поступках и требует того же от других. Поэтому он пассивно изолируется от семьи и позволяет своей жене окружить ребенка всеобъемлющей опекой. В результате ребенок уступает позиции и отказывается от внешнего мира ради безопасности, которую обещает всемогущая, противоборствующая мать, прячущая собственную ненависть и обиду за демонстрируемую заботу (Б. Суран, Дж. Риццо, 1979)[20]. Таким образом, существует связь между личностью родителя и его отношением к ребенку. Однако эмпирических данных о соотношении личностных черт родителей и стилей воспитания ребенка явно не достаточно. Семья как фактор развития ребенка успешного ребенка Многочисленные психологические исследования показывают, что на восприятие ребенка и отношение к нему влияют множество факторов, среди которых только некоторые непосредственно связаны с чертами самого ребенка. Итак, на отношение родителя к ребенку влияют:[31]. 1) Детский опыт самих родителей. Люди, став взрослыми, зачастую в своей собственной семье неосознанно формируют отношения, которые сложились в семье родителей, а также воспроизводят те проблемы, которые они не смогли решить в детстве. Например, если человек в детстве имел младшего брата или сестру, «забравшего» всю любовь и внимание родителей, то весь период взросления может оцениваться им как «несчастливый» период жизни, при этом радость и безмятежность младшего возраста могут, напротив, идеализироваться. Вероятнее всего, такой человек будет неосознанно тормозить взросление своего ребенка, считать его «еще слишком маленьким», игнорируя растущую потребность в самостоятельности[31]. 2) Нереализованные потребности родителей. Для некоторых родителей (особенно матерей) воспитание может становиться основной деятельностью и даже основным смыслом жизни. Тогда сам ребенок становится единственным объектом удовлетворения этой потребности. В результате, с возрастом дети естественно несколько отдаляются от родителей, в их жизни начинают играть большую роль другие люди. Подобные следствия взросления воспринимаются такими родителями как угроза собственному благополучию, вследствие чего, они могут неосознанно препятствовать установлению ребенком тесных контактов вне семьи, стремиться принимать участие во всех сферах жизни сына (дочери), сильно огорчаться при наличии у него (нее) мыслей или чувств, которыми тот не хочет делиться, то есть фактически не признавать права ребенка на свой внутренний мир. Другая потребность, влияющая на отношение к ребенку, это потребность родителя в достижениях . Здесь, возможны два сценария. Первый, это когда Родитель хочет, чтобы ребенок добился многого, особенно того, чего по каким-то причинам не смог достичь сам. Отрицательным результатом реализации такой потребности иногда становится выбор сферы достижения, которая не соответствует реальным возможностям и склонностям ребенка. Так папы и мамы могут выбирать, например, тип школы или виды развивающих кружков и секций, исходя не из желаний, способностей и потребностей своего ребенка, а движимые на самом деле желанием, чтобы он достиг того, что они считают важным, но что им самим не удалось. Ребенок лишается необходимой независимости, искажается восприятие присущих ему задатков, сформированных личностных качеств. Обычно не принимаются во внимание возможности, интересы, способности ребенка, которые отличны от тех, что связанны с запрограммированными целями. Ребенок становится перед выбором. Он может втиснуть себя в рамки чуждых ему родительских идеалов только ради того, чтобы обеспечить любовь и чувство удовлетворенности родителей. В этом случае он пойдет ложным путем, не соответствующим его личности и способностям, который часто заканчивается полным фиаско. Но ребенок может и восстать против чуждых ему требований, вызывая тем самым разочарование родителей из-за несбывшихся надежд, и в результате возникают глубокие конфликты в отношениях между ребенком и родителями[31]. Такая ситуация обнаруживается довольно часто в процессе консультирования родителей, хотя их истинные мотивы могут скрываться под самыми разными рассуждениями о перспективности и полезности этой деятельности для ребенка. Второй вариант потребности в достижениях тоже нередок в современном мире, где социальная успешность и конкурентоспособность являются зачастую едва ли не мерилом человеческой ценности. Подобные отношения нередко выстраиваются в семьях успешных, много работающих и привыкших достигать своих целей людей. Такие родители будут требовать от ребенка достижения целей, доведения дел до конца, раздражаться на проявления лени и непоследовательность своего сына или дочери. Цель их воспитания - привить организованность и целеустремленность - безусловно, благая. Однако та настойчивость, с которой они ее добиваются, а также игнорирование возрастных особенностей ребенка и предъявление к нему завышенных требований могут отрицательно сказываться на отношениях в семье и сеять вечное недовольство своим сыном (дочерью)[31]. Одна из базовых человеческих потребностей в привязанности , особым образом может проявляться в отношениях родителей с детьми. Если взрослый испытывает слишком сильную потребность в эмоциональной привязанности к нему ребенка, то за этим может стоять или страх одиночества (особенно при отсутствии других тесных отношений, например с супругом), или собственная детская недостаточно удовлетворенная потребность в привязанности, в какой-то степени "слиянии" с матерью. Результатами такой потребности в отношениях с ребенком могут стать повышенная опека со стороны родителя, потребность делиться всеми своими переживаниями с ребенком и ожиданием того же от него. Соответственно, поведение сына (дочери) будет восприниматься как положительное или отрицательное в зависимости от того, обеспечивает ли оно родителю ощущение крепкой эмоциональной связи[31]. 3) Личностные особенности родителей. Наверное, действие этого фактора отследить наиболее сложно, для многих родителей, однако при некотором навыке или с помощью специалиста вполне возможно осознать наличие у себя тех или иных черт и их влияние на восприятие ребенка. Так, например, можно проследить связь между тревожностью родителя, ее проявлением (в виде опекающего и оберегающего поведения) и ее следствием - подавлением развития активности и самостоятельности ребенка. Нередко приходится сталкиваться и с такой ситуацией: родитель считает своими недостатками какие-то черты характера или привычки, отрицательно к ним относится. Поэтому, если он встречает их проявления у своего ребенка, то реагирует на них очень эмоционально и начинает вести борьбу с этими недостатками с удвоенной силой. Однако описанный случай не самый сложный. Хуже, если родитель не осознает или не признает существование каких-то отрицательных черт в себе, а приписывает их ребенку (иногда совершенно неоправданно) и ведет «военные действия» на чужой территории. Крайним следствием этой борьбы может стать даже эмоциональное отвержение ребенка (родитель не способен смириться с наличием недостатков, а потому никогда не принимает ребенка таким, какой он есть, пытаясь его постоянно «улучшать»)[58]. Негибкость поведения и мышления родителя, привычка действовать в разных ситуациях по одной схеме, может приводить к конфликтам в детско-родительских отношениях. Это вызывает необходимость "подстраиваться" под новый этап возрастного развития ребенка по мере его роста. Таким родителям может казаться, что их дети стали хуже, упрямее, своевольнее, эгоистичнее, просто потому, что прежние методы в обращении с ними уже не годятся, а новые выработать сложно, это и вызывает у родителей напряжение, раздражение от необходимости перемен[58]. 4) Отношения со вторым родителем ребенка . Если что-то в ребенке напоминает того, кого хотелось бы стереть из памяти, кто нанес душевную рану, то естественно, что в этом случае, родитель совершенно иначе будет воспринимать те характеристики ребенка, которые он унаследовал от второго биологического родителя. К сожалению, описанное явление довольно часто лежит в основе недовольства ребенком разведенным родителем, однако взрослыми с трудом осознается истинная причина этого неприятия. В подобных ситуациях очень важно осознавать, что «перевоспитывая» ребенка, «борясь» с его недостатками, вы главным образом ведете незримую войну в отношениях с бывшим супругом(гой), но делаете это на территории ребенка, который ничуть не виноват в том, что вы выбрали ему такого отца (или мать)[58]. 5) Обстоятельства рождения ребенка. Если родители воспринимают своего ребенка как «болезненного», «хрупкого» или «беззащитного», то полезно вспомнить при каких обстоятельствах появился на свет их малыш. Нередко страх потерять ребенка, приводящий к описанному искажению восприятия, появляется у родителей при наличии таких проблем, как долгое лечение бесплодия, тяжелые роды и их последствия, перенесение ребенком серьезного заболевания в раннем детстве, или же, напротив, нежеланность появления ребенка, несоответствие его пола ожидаемому или желаемому, осложнения в личной жизни с появлением малыша и т.п., могут приводить к эмоциональному отвержению ребенка[58]. Конечно, перечисленные аспекты отнюдь не исчерпывают все разнообразие факторов, влияющих на отношение родителей к ребенку. Однако их достаточно для того, чтобы понять, как сложны эти отношения и из каких разных компонентов они складываются. Итак, исходя из выше сказанного, можно сделать вывод, что юность – это пора становления личности. От успешного прохождения этого периода зависит дальнейшее самоопределение личности и ее будущая жизнь. Социально-психологические установки, появившиеся в этом возрасте, скорее всего, будут влиять на построение жизненных планов и на жизненные позиции в будущем. На формирование личности влияет прежде всего среда обитания. Больше всего времени ребенок проводит в семье. В семье закладываются основные черты личности, ее отношения к жизни в целом. Глава 2. Эмпирическое исследование социально-психологических аспектов коммуникативных установок старшеклассников (16-17 лет) § 1. Цель, задачи и методы исследования Цель работы: Исследование социально-психологических установок старшеклассников. Задачи исследования: - Изучение коммуникативных установок личности · Исследование уровня коммуникативной толерантности · Исследование негативных установок - Изучение личности старшеклассников - Изучение мотивационно-потребностной сферы старшеклассников и их родителей - Изучение родительских установок Гипотеза исследования В качестве гипотезы мы выдвигаем предположение, что негативные установки старшеклассников зависят прямо пропорционально от их личностных особенностей, от родительских установок на воспитание и от коммуникативных установок в родительских семьях. В работе мы использовали следующие методы: - метод анализа литературы по теме исследования; - методы психодиагностики (анкетирование, тестирование, структурированное интервью на исследование образов жизни) - методы математико-статистического анализа полученных данных: t-критерий Стьюдента и метод ранговой корреляции Спирмена. В качестве психодиагностических методик использовали: - методика «Диагностика коммуникативной установки» В.В.Бойко; -методика «Диагностика социально-психологических установок личности в мотивационно-потребностной сфере» О.Ф.Потёмкина; - методика PARI (адаптирована Т.В.Нещерт); - подростковый вариант теста Кэтелла (12-18 лет) Выборку испытуемых составили 54 старшеклассника, 10-х и 11-х классов МОУ «СОШ №73»г. Саратова и их родители – 54 человека. На первом этапе исследования мы провели обследование старшеклассников методикой «Диагностика коммуникативной установки В.В.Бойко». По результатам обследования испытуемые старшеклассники были разделены на две группы. В первую группу вошли юноши и девушки, с наличием выраженной негативной коммуникативной установкой (общий балл был ≥ 33), во вторую-с отсутствием таковой (общий балл < 33). Для удобства описания первая группа была названа нами «НегУ», а вторая группа «ОНегУ». Первая группа составила 29 человек, а вторая – 25 человек. § 2 Описание методикВ работе использовались следующие методы и методики: 1. Методика диагностики коммуникативной установки В.В.Бойко Методика В.В.Бойко состоит из 2-х частей. В первой части, отвечая на вопросы, мы выясняем признаки негативной установки: 1. Завуалированная жестокость в отношениях к людям 2. Открытая жестокость в отношениях к людям 3. Обоснованный негативизм в суждениях о людях 4. Брюзжание, то есть склонность делать необоснованные обобщения негативных фактов в области взаимоотношений с партнерами и в наблюдении за социальной действительностью. 5. Негативный личный опыт общения с окружающими. Далее баллы начисляют по ключу. Если количество баллов выше общего среднего - 33, это свидетельствует о наличии выраженной негативной коммуникативной установки. Во второй, части теста выясняется коммуникативная толерантность. Компоненты установки 1. Неприятие или непонимание индивидуальности человека 2. Использование себя в качестве эталона при оценке других. 3. Категоричность или консерватизм в оценках людей. 4. Неумение скрывать или сглаживать неприятные чувства при столкновении с некоммуникабельными качествами партнеров. 5. Стремление переделать, перевоспитать партнеров 6. Стремление подогнать партнера под себя, сделать его удобным. 7. Неумение прощать другому ошибки, неловкость, непреднамеренно причиненные вам неприятности 8. Нетерпимость к физическому или психическому дискомфорту партнера. 9. Неумение приспосабливаться к партнерам. Полный текст опросника см. в приложении. 2. Методика диагностики социально-психологических установок личности в мотивационно-потребностной сфере О.Ф.Потемкиной Методика выявляет социально-психологические установки, направленные на «альтруизм-эгоизм», «процесс-результат». Испытуемых был предложен опросник, состоящий из 40 вопросов, на которые надо было ответить «да» или «нет». Далее по ключу выставлялись баллы и выявлялись установки «альтруизм-эгоизм» и «процесс-результат». Опросник см.в приложении. 3. Методика выявления родительских установок Pari Методика PARI (parentalattituderesearchinstrument) предназначена для изучения отношения родителей (прежде всего, матерей) к разным сторонам семейной жизни (семейной роли). Авторы — американские психологи Е.С. Шефер и Р.К. Белл. Эта методика широко использовалась в Польше (Рембовски) и Чехословакии (Котаскова). В нашей стране адаптирована Т.В. Нещерет. В методике выделены 23 аспекта-признака, касающиеся разных сторон отношения родителей к ребенку и жизни в семье. Из них 8 признаков описывают отношение к семейной роли и 15 касаются родительско-детских отношений. Эти 15 признаков делятся на следующие 3 группы: 1 — оптимальный эмоциональный контакт, 2 — излишняя эмоциональная дистанция с ребенком, 3 — излишняя концентрация на ребенке. Отношение родителей к ребенку 1. Оптимальный эмоциональный контакт (состоит из 4 признаков, их номера по опросному листу 1, 14, 15, 21); - побуждение словесных проявлений, вербализаций (1); - партнерские отношения (14); - развитие активности ребенка (15); - уравнительные отношения между родителями и ребенком (21). 2. Излишняя эмоциональная дистанция с ребенком (состоит из 3 признаков, их номера по опросному листу 8, 9, 16): - раздражительность, вспыльчивость (8); - суровость, излишняя строгость (9); - уклонение от контакта с ребенком (16). 3. Излишняя концентрация на ребенке (описывается 8 признаками, их номера по опросному листу 2, 4, 6, 10, 12, 18, 20,22): - чрезмерная забота, установление отношений зависимости (2); - преодоление сопротивления, подавление воли (4); - создание безопасности, опасение обидеть (6); - исключение внесемейных влияний (10); - подавление агрессивности (12); - подавление сексуальности (18); - чрезмерное вмешательство в мир ребенка (20); - стремление ускорить развитие ребенка (20). Каждый признак измеряется с помощью 5 суждений, уравновешенных с точки зрения измеряющей способности и смыслового содержания. Вся методика состоит из 115 суждений. Суждения расположены в определенной последовательности, и отвечающий должен выразить к ним отношение в виде активного или частичного согласия или несогласия. Схема пересчета ответов в баллы содержится в «ключе» методики. Сумма цифровой значимости определяет выраженность признака 20, минимальная 5. 18, 19, 20 — высокие оценки, соответственно 8, 7, 6, 5 — низкие. А — 4 балла; а — 3 балла; 6 — 2 балла; Б — 1 балл. 4. t-критерия Стьюдента t-критерий был разработан Уильямом Госсетом (1876-1937) для оценки качества пива на пивоваренных заводах Гиннесса в Дублине (Ирландия). В связи с обязательствами перед компанией по неразглашению коммерческой тайны (руководство Гиннесса считало таковой использование статистического аппарата в своей работе), статья Госсета вышла в 1908 году в журнале «Биометрика» под псевдонимом «Student» (Студент). Критерий Стьюдента направлен на оценку различий величин средний значений двух выборок, которые распределены по нормальному закону. Одним из главных достоинств критерия является широта его применения. Он может быть использован для сопоставления средних у связных и несвязных выборок, причем выборки могут быть не равны по величине. § 3. Результаты исследования и их обсуждение Методика диагностики коммуникативной установки В.В. Бойко . Результаты представлены в таблицах №1, №2 и сводных таблицах №3, №4 Среднеарифметические баллы по показателям негативной коммуникативной установки
Примечание: Примечание: знаком * отмечены показатели, достоверно значимо различающиеся, уровень статистической значимости ρ≤0,05; знаком ** отмечены показатели, различающиеся с уровнем достоверности ρ≤0,01. Теперь проверим достоверность различий между исследуемыми группами по разным показателям. Достоверность различий будем проверять по методу Стьюдента (t-тест) для независимых выборок. Метод Стьюдента (t-тест) – э то параметрический метод, используемый для проверки гипотез о достоверности разницы средних при анализе количественных данных о популяциях с нормальным распределением и с одинаковой вариантой. В случае независимых выборок для анализа разницы средних применяют формулу t = где S1- стандартное отклонение для первой выборки; S2 –стандартное отклонение для второй выборки; n1 и n2 –число элементов в первой и второй выборках. В нашем исследовании n1 =29 (НегУ), n2 =25 (ОНегУ). Проверим достоверность различия по показателю №1«Завуалированная жестокость» T = t = 6,2, р< 0,05; достоверно. Вывод: очевидно, что «Завуалированная жесткость» выше в группе старшеклассников с негативной установкой. Проверим достоверность результатов по показателю №2 «Открытая жестокость». T = t = 12,6, р< 0,05; достоверно. Итак, в группе старшеклассников с негативной установкой показатель «Открытая жестокость» гораздо выше, чем в группе старшеклассников с отсутствием негативной установки. Проверим достоверность результатов по показателю №3 «Обоснованный негативизм в суждении о людях». T = t = 5,1, р< 0,05; достоверно. Вывод: Показатель обоснованного негативизма в суждении о людях выше в группе старшеклассников с негативной коммуникативной установкой. Проверим достоверность результатов по показателю «Склонность делать необоснованные обобщения негативных фактов». T = t =9,6, р< 0,05; достоверно. Вывод: Склонность делать необоснованные обобщения негативных фактов в области взаимоотношений с партнерами и в наблюдении за социальной действительностью в группе старшеклассников с негативной коммуникативной установкой больше. Проверим достоверность показателю «Негативный опыт общения». T = t =8,5, р< 0,05; достоверно. Вывод: В группе старшеклассников с негативной коммуникативной установкой чаще встречается негативный опыт общения. Диаграмма №1 Показатели негативной коммуникативной установки в среднеарифметических баллах
Таблица№2 Сводная таблица среднеарифметических баллов показателей негативной коммуникативной установки старшеклассников и их родителей
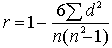
Примечание: знаком * отмечены показатели, имеющие слабой тесноты связь; знаком ** отмечены показатели, умеренной тесноты связи и знаком *** отмечены показатели высокой тесноты связи Коэффициент ранговой корреляции Спирмена - это непараметрический метод, который используется с целью статистического изучения связи между явлениями. В этом случае определяется фактическая степень параллелизма между двумя количественными рядами изучаемых признаков и дается оценка тесноты установленной связи с помощью количественно выраженного коэффициента. Практический расчет коэффициента ранговой корреляции Спирмена включает следующие этапы: 1) Сопоставить каждому из признаков их порядковый номер (ранг) по возрастанию (или убыванию). 2) Определить разности рангов каждой пары сопоставляемых значений. 3) Возвести в квадрат каждую разность и суммировать полученные результаты. 4) Вычислить коэффициент корреляции рангов по формуле:.
где ∑ При использовании коэффициента ранговой корреляции условно оценивают тесноту связи между признаками, считая значения коэффициента равные 0,3 и менее, показателями слабой тесноты связи; значения более 0,4, но менее 0,7 - показателями умеренной тесноты связи, а значения 0,7 и более - показателями высокой тесноты связи. Мощность коэффициента ранговой корреляции Спирмена несколько уступает мощности параметрического коэффициента корреляции. Коэффициент ранговой корреляции целесообразно применять при наличии небольшого количества наблюдений. Вычислим коэффициент ранговой корреляции Спирмена для показателя «Завуалированная жестокость». r=1- 0,4<0,5<0,7 –это значит, что показатели имеют умеренной тесноты связь. Вывод: показатель «Завуалированная жестокость» встречается и у старшеклассников в группе с негативной коммуникативной установкой и у их родителей Вычислим коэффициент ранговой корреляции Спирмена для показателя «Открытая жестокость» r=1- 0,74>0,7–это значит, что эти показатели имеют высокой тесноты связь. Вывод: очевидно, что показатель открытой жестокости у старшеклассников прямо пропорционален этому же показателю у их родителей Вычислим коэффициент ранговой корреляции Спирмена для показателя «Обоснованный негативизм» r=1- 0,4<0,5<0,7–это значит, что показатели имеют умеренной тесноты связь. Вывод: Обоснованный негативизм у старшеклассников с негативной коммуникативной установкой связан с обоснованным негативизмом их родителей Вычислим коэффициент ранговой корреляции Спирмена для показателя «Склонность делать необоснованные обобщения негативных фактов (Брюзжание)» r=1- 0,36<0,4-это говорит о том, что слабая теснота связи. Этот показатель у старшеклассников не связан родительскими установками. Вычислим коэффициент ранговой корреляции Спирмена для показателя «Негативный опыт общения» r=1- 0,4<0,57<0,7 –это значит, что показатели имеют умеренной тесноты связь. Показатель негативного опыта общения в группе старшеклассников с негативной установкой связан с этим показателем у их родителей График№1 Показатели среднеарифметических баллов группы старшеклассников и их родителей с негативной коммуникативной установкой
Линии графика почти совпадают, это говорит о тесной связи между показателями. Вычислим коэффициент ранговой корреляции Спирмена для группы старшеклассников с отсутствием негативной коммуникативной установки Показатель «Завуалированная жестокость r=1- 0,4<0,53<0,7 –это значит, что показатели имеют умеренной тесноты связь. Показатель «Открытая жестокость» r=1- 0,31<0,4-это говорит о том, что слабая теснота связи. Этот показатель у подростков не связан с установками их родителей Показатель «Обоснованный негативизм» r=1- 0,4<0,53<0,7–это значит, что показатели имеют умеренной тесноты связь. Показатель ««Склонность делать необоснованные обобщения негативных фактов (Брюзжание)» r=1- 0,31<0,4- слабая теснота связи. Этот показатель у детей не связан с родителями Вычислим коэффициент ранговой корреляции Спирмена для показателя «Негативный опыт общения» r=1- 0,31<0,4- слабая теснота связи. Показатель «Негативный опыт общения» у старшеклассников не зависит от коммуникативных установок родителей График №2 Показатели среднеарифметических баллов группы старшеклассников и их родителей с отсутствием негативных коммуникативных установок
Таблица №3 Среднеарифметические баллы по показателям коммуникативной толерантности
Примечание: Примечание: знаком * отмечены показатели, достоверно значимо различающиеся, уровень статистической значимости ρ≤0,05; знаком ** отмечены показатели, различающиеся с уровнем достоверности ρ≤0,01 Проверим достоверность различия по показателю «Непринятие или не понимание индивидуальности человека T = t = 3,56, р< 0,05; достоверно. Вывод: в группе старшеклассников с негативными коммуникативными установками испытуемые не принимают или не понимают индивидуальность другого человека. Проверим достоверность различия по показателю «Использование себя в качестве эталона при оценке людей» T = t = 9,3, р< 0,05; достоверно. Вывод: использование себя в качестве эталона при оценке других людей больше присуще испытуемым с негативной коммуникативной установкой. Диаграмма№2 Показатели коммуникативной толерантности
Таблица №4
Сводная таблица среднеарифметических баллов по показателям коммуникативной толерантности старшеклассников и их родителей Примечание: знаком * отмечены показатели, имеющие слабой тесноты связь; знаком ** отмечены показатели, умеренной тесноты связи и знаком *** отмечены показатели высокой тесноты связи Вычислим коэффициент ранговой корреляции Спирмена по показателям коммуникативной толерантности среди родителей и старшеклассников в группе с негативной установкой 1. «Неумение скрывать или сглаживать неприятные чувства при столкновении с некоммуникабельными качествами партнеров» r=1- 0,4<0,41<0,7 –это значит, что показатели имеют умеренной тесноты связь. Неумение скрывать или сглаживать неприятные чувства при столкновении с некоммуникабельными качествами партнеров свойственно старшеклассникам также как и их родителям в группе с негативными коммуникативными установками. 2. Стремление переделать или перевоспитать партнера r=1- 0,4<0,41<0,7 –это значит, что показатели имеют умеренной тесноты связь. Стремление переделать или перевоспитать партнера свойственно подросткам также как и их родителям в группе с негативными коммуникативными установками. График№3 Показатели среднеарифметических баллов группы старшеклассников и их родителей с негативными коммуникативными установками
Вычислим коэффициент ранговой корреляции Спирмена по показателям коммуникативной толерантности среди родителей и подростков в группе с отсутствием негативной коммуникативной установкой. 1. «Неумение скрывать или сглаживать неприятные чувства при столкновении с некоммуникабельными качествами партнеров» r=1- 0,4<0,53<0,7 –это значит, что показатели имеют умеренной тесноты связь. Неумение скрывать или сглаживать неприятные чувства при столкновении с некоммуникабельными качествами партнеров свойственна подросткам также как и их родителям в группе с отсутствием негативных коммуникативных установок. 1. Нетерпимость к психическому или физическому дискомфорту партнера r=1- 0,4<0,63<0,7 –это значит, что показатели имеют умеренной тесноты связь. Нетерпимость к психическому или физическому дискомфорту партнера присуще подросткам группы с отсутствием негативных коммуникативных установок также, как и их родителям. График№4 Показатели среднеарифметических баллов группы старшеклассников и их родителей с отсутствием негативных коммуникативных установок
Методика диагностики социально-психологических установок Результаты представлены в таблицах 5 и 6. Таблица№5 Среднеарифметические баллы по показателям выявления социально-психологических установок, направленных на «альтруизм-эгоизм», «процесс-результат»
Примечание: знаком * отмечены показатели, достоверно значимо различающиеся, уровень статистической значимости ρ≤0,05; знаком ** отмечены показатели, различающиеся с уровнем достоверности ρ≤0,01 Проверим достоверность различия по показателю социально-психологической установки, направленной на «Процесс-результат» T = t = 2,7, р< 0,05; достоверно. Итак, испытуемые входящие в группу старшеклассников с отсутствием негативных коммуникативных установок ориентированы на процесс Проверим достоверность различия по показателю «Ориентация на эгоизм» T = t = 3,45, р< 0,05; достоверно. Испытуемым группы старшеклассников с негативными коммуникативными установками присуще «Ориентация на эгоизм» Диаграмма№3 Показатели выявления социально-психологических установок, направленных на «альтруизм-эгоизм», «процесс-результат»
Смотря на диаграмму №3 можно сделать вывод о том, что группа старшеклассников с негативной коммуникативной установкой в большей степени ориентирована на эгоизм и достижение результата, когда группа старшеклассников с отсутствием негативной коммуникативной установки ориентирована на альтруизм и на процесс. Таблица №6 Сводная таблица среднеарифметических баллов по показателям выявления социально-психологических установок, направленных на «альтруизм-эгоизм», «процесс-результат» старшеклассников и их родителей
Примечание: знаком * отмечены показатели, имеющие слабой тесноты связь; знаком ** отмечены показатели, умеренной тесноты связи и знаком *** отмечены показатели высокой тесноты связи Вычислим коэффициент ранговой корреляции Спирмена по показателям выявления социально-психологических установок среди родителей и подростков в группе с негативной коммуникативной установкой. 1.«Ориентация на результат» r=1- 0,4<0,45<0,7 –это значит, что показатели имеют умеренной тесноты связь. Испытуемые в группе с негативной коммуникативной установкой ориентированы на результат также как и их родители. График№5 Показатели среднеарифметических баллов социально-психологических установок «альтруизм-эгоизм», «процесс-результат» старшеклассников и их родителей с негативными коммуникативными установками
График№6 Показатели среднеарифметических баллов социально-психологических установок «альтруизм-эгоизм», «процесс-результат» старшеклассников и их родителей с отсутствием негативной коммуникативной установки
По графику №6 видно, что старшеклассники группы с отсутствием негативной коммуникативной установки также как и их родители ориентированы на процесс и альтруизм. Таблица№7 Среднеарифметические баллы по показателям выявления социально-психологических установок, направленных на «свобода-власть», «труд-деньги»
Примечание: знаком * отмечены показатели, достоверно значимо различающиеся, уровень статистической значимости ρ≤0,05; знаком ** отмечены показатели, различающиеся с уровнем достоверности ρ≤0,01 Проверим достоверность различия по показателю «Ориентация на власть» T = t = 4,23, р< 0,05; достоверно. Испытуемым группы с негативной коммуникативной установкой ориентированы в большей степени на власть. Диаграмма №4 Показатели выявления социально-психологических установок, направленных на «свобода-власть», «труд-деньги»
На диаграмме №4 видно, испытуемые группы с отсутствием негативной коммуникативной установки направлены на труд, а испытуемые группы с негативной коммуникативной установкой направлены власть и деньги. Таблица№8 Сводная таблица среднеарифметических баллов по показателям социально-психологических установок, направленных на «свобода-власть», «труд-деньги»
* Примечание: знаком * отмечены показатели, имеющие слабой тесноты связь; знаком ** отмечены показатели, умеренной тесноты связи и знаком *** отмечены показатели высокой тесноты связи Вычислим коэффициент ранговой корреляции Спирмена по показателям выявления социально-психологических установок среди родителей и старшеклассников в группе с негативной коммуникативной установкой. 1. «Ориентация на власть» r=1- 0,4<0,63<0,7 –это значит, что показатели имеют умеренной тесноты связь. Вывод: социально-психологическая установка, направленная на власть у родителей и старшеклассников в группе с негативной коммуникативной установкой имеет умеренную тесноту связи. График№7 Показатели среднеарифметических баллов социально-психологических установок «альтруизм-эгоизм», «процесс-результат» старшеклассников и их родителей с негативными коммуникативными установками
Старшеклассники группы с негативными установками в большей степени ориентированы на власть также как и их родители График№8 Показатели среднеарифметических баллов социально-психологических установок «альтруизм-эгоизм», «процесс-результат» старшеклассников и их родителей с отсутствием негативной коммуникативной установки
Старшеклассники группы с отсутствием негативной установки в большей степени ориентированы на труд и на свободу также как и их родители Качественный анализ Методика выявления родительских установок Pari Результаты исследования представлены в таблице №9,10,11 Таблица№9 Среднеарифметические баллы по методике Par i . Фактор 1. Гиперопека – отсутствие опеки
Примечание: знаком * отмечены показатели, которые отличаются от нормы Исходя из данных, которые можно увидеть в таблице №9 сделаем вывод по фактору №1 «Гиперопека - отсутствие опеки». Показатели ниже нормы говорят об отсутствии опеки и соответственно показатели выше нормы говорят о наличии гиперопеки. Теперь сделаем анализ по каждой шкале. Родители старшеклассников группы с негативными коммуникативными установками не оберегают своих детей от трудностей, поощряют агрессивное поведение ребенка, поощряют зависимость ребенка от себя и не интересуются делами и чувствами своих детей. Родители старшеклассников группы с отсутствием негативных коммуникативных установок навязывают «себя» своим детям. Таблица№10 Фактор 2. Отсутствие демократичности в отношениях с ребенком – демократичность
Примечание: знаком * отмечены показатели, которые отличаются от нормы Родители старшеклассников группы с негативными коммуникативными установками в отличие от родителей группы с отсутствием негативных коммуникативных установок не предоставляют возможность своему ребенку высказаться и не приемлют товарищеские отношения между родителями и детьми. А родители старшеклассников группы с отсутствием негативных коммуникативных установок поощряют активность своего ребенка. Таблица№11 Фактор 3. Диктат в воспитании – отказ от авторитарности
Примечание: знаком * отмечены показатели, которые отличаются от нормы В семьях подростков группы с негативными коммуникативными установками семейные конфликты встречаются чаще, чем в семьях группы с отсутствием негативных коммуникативных установок. Подростки с негативными коммуникативными установками чаще, чем подростки с отсутствием негативных коммуникативных установок раздражают своих родителей. Подростковый вариант теста Кеттелла 12-18 лет Результаты исследования представлены в таблице №12 Таблица№12 Среднеарифметические баллы по тесту Кеттелла (подростковый вариант 12-18 лет ).
Примечание: знаком * отмечены показатели, которые отличаются от нормы Исходя из таблицы №12 дадим личностную характеристику старшеклассников группы с негативными установками. Они по отношению к другим выступает как руководители. Но это не коррелирует с истинным лидерством и реальными способностями. Могут быть временными лидерами в экстремальных ситуациях или в неформальных группах. Демократичны. Высокое упорство в борьбе против норм, установок в группе. Склонны к самоутверждению. Придерживаются своих взглядов, установок. Властны, авторитарны, ожидают самостоятельности от других. Импульсивны, живые, веселые, полны энтузиазма, активны, разговорчивы. Часто бывают душой общества. Легко переключаются с одной деятельности на другую. Склонны к частой перемене мест. Оперативны, свойственна высокая производительность труда. Им присущи хорошие организаторские способности. Неустойчивы в достижении цели. Избегают правил, мало чувствуют обязанности. Не прилагают усилий при решении групповых задач, выполнении социально-культурных требований. Эгоисты, работают для себя и на себя. Обычно высокое честолюбие. Свободны от влияния группы. Отказ от подчинения правилам группы может коррелировать с низким уровнем соматических заболеваний (меньше болеют). Большая устойчивость при стрессах. Независимы, склонны идти своим путем, принимать собственные решения, действовать самостоятельно. Не считаются с общественным мнением. Нельзя сказать, что у них негативное отношение к другим людям, им просто не нужно их одобрение, поддержка. Предпочитают собственное мнение и решение. Плохо работают в группе, говоря, что при работе в группе теряют много времени. Сверхактивны, возбудимы, беспокойны, нетерпеливы. При групповой работе не очень приятны. Обычно недовольны порядком, руководством. Тип фрустрированный. В эмоциональном плане - взрывчаты. Очень высоко мотивированы. Низкий порог фрустации, который связан с высокой возбудимостью. Фактор хорошо коррелирует с высокой успеваемостью. §4 Выводы 1. Основная гипотеза нашего исследования подтвердилась: коммуникативные установки старшеклассников взаимосвязаны с устойчивыми личностными свойствами, с характером социально-психологических установок их родителей и типом родительского отношения в семье. 2. В группе с высоким уровнем негативной коммуникативной установки фиксируется более высокие показатели: завуалированная жесткость; открытая жестокость; показатель обоснованного негативизма в суждении о людях; склонность делать необоснованные обобщения негативных фактов в области взаимоотношений с партнерами и в наблюдении за социальной действительностью; негативный опыт в общении. 3. Коммуникативные установки в межличностном общении у старшеклассников взаимосвязаны с их общими социально-психологическими установками. 3.1. Старшеклассники группы с негативными коммуникативными установками не принимают или не понимают индивидуальность другого человека, используют себя в качестве эталона при оценке других людей, стремятся переделать или перевоспитать партнера по общению; 3.2. Старшеклассники группы с негативными коммуникативными установками социально ориентированы на «эгоизм» и «власть»; 3.3. Старшеклассники группы с отсутствием негативных коммуникативных установок не умеют скрывать или сглаживать неприятные чувства при столкновении с некоммуникабельными качествами партнеров, нетерпимы к психическому или физическому дискомфорту партнера; 3.4 Старшеклассники группы с отсутствием негативных коммуникативных установок социально ориентированы на «процесс» и «альтруизм». 4. Коммуникативные установки старшеклассников взаимосвязаны с их устойчивыми личностными свойствами 4.1. Склонны к самоутверждению. Придерживаются своих взглядов, установок. Властны, авторитарны, ожидают самостоятельности от других. 4.2. Неустойчивы в достижении цели. Избегают правил, мало чувствуют обязанности. Не прилагают усилий при решении групповых задач, выполнении социально-культурных требований. 4.3. Не считаются с общественным мнением. Нельзя сказать, что у них негативное отношение к другим людям, им просто не нужно их одобрение, поддержка. Предпочитают собственное мнение и решение. Плохо работают в группе, говоря, что при работе в группе теряют много времени. 5 Обнаружена взаимосвязь негативной коммуникативной установки старшеклассников с выраженностью этих установок у родителей по показателям: Завуалированная жестокость; Открытой жестокости; Обоснованный негативизм в суждении о людях; Негативный опыт общения; Неумение скрывать или сглаживать неприятные чувства при столкновении с некоммуникабельными качествами партнеров; Стремление переделать или перевоспитать партнера. 6. Социально-психологическая направленность на власть, эгоизм у старшеклассников взаимосвязана с социально-психологическим отношением к власти и эгоизму у родителей. 7. Выявлена взаимосвязь между родительскими установками на воспитание и формированием негативной коммуникативной установки у их детей. Родители с негативными социально-психологическими установками более склонны прибегать к деструктивным способам взаимодействия со своими детьми. Заключение Юность – время развития социальной зрелости личности, ее движение к сознательной и ответственной жизни. Эти процессы целиком и полностью зависят от социально – экономических условий общества, от воспитания, обучения в школе и вузе, от ценностных ориентаций семьи и от личностных особенностей самих старшеклассников. Общество ставит перед молодым человеком настоятельную, жизненно важную задачу осуществить именно в этот период профессиональное самоопределение, причем не только во внутреннем плане в виде мечты, намерения кем-то стать в будущем, а в плане реального выбора. Сегодня можно заметить, чтомолодое поколение в основном ориентировано на индивидуалистические, эгоистические ценности, власть, деньги. Нами было предположено, что коммуникативные установки старшеклассников взаимосвязаны с устойчивыми личностными свойствами, с характером социально-психологических установок их родителей и типом родительского отношения в семье. Наша гипотеза полностью подтвердилась. Действительно, наличие у старшеклассников тех или иных коммуникативных установок связано с их общими социально-психологическими установками, личностными свойствами и с выраженностью этих установок у родителей. Социально-психологическая направленность на власть, эгоизм у старшеклассников взаимосвязана с социально-психологическим отношением к власти и эгоизму у родителей. Также выявлена взаимосвязь между родительскими установками на воспитание и формированием негативной коммуникативной установки у их детей. Последнее можно объяснить теорией социального научения (Бандура, Мид, Роттер). Наша работа может быть применена в консультациях детско-родительских отношений по вопросу воспитания, в вопросах социально-психологического консультирования, при рассмотрении межличностных конфликтов в группе. Литература 1) Абакирова Т.П. Влияние фактора родительских отношений на формирование коммуникативных свойств личности // Становление личности на современном этапе. Бийск, 2000.-345 с. 2) Аккерман Н. Роль семьи в появлении расстройств у детей // Семейная психотерапия. - СПб.: Издательство «Питер», 2000. – 244с. 3) Андреева Г.М. Социальная психология. - М: МГУ,1988. – 348с. 4) Андреенкова Н.В. Проблема социализации личности. В кн.Социальные исследования. Вып.3. - М: Наука, 1970. – 215с. 5) Андриенко Е.В. Социальная психология: Учебное пособие для вузов /Под ред. В.А.Сластенина. – М.: Академия, 2001. – 264 с. 6) Асмолов А.Г. Ковальчук М.А. О соотношении понятия установки в общей и психологии // Теоретические и методологические проблемы психологии. М., 1977.- 268с. 7) Асмолов А.Г. Деятельность и установка. М., 1979.- 344с. 8) Баринова И.Г. Экология взаимодействия взрослого и ребенка // Мир психологии. -1997. -№ 1. – 182с. 9) Бернс Р. Развитие Я-концепции и воспитание. М,1986.- 312с. 10) Бодалев А.А. Восприятие и понимание человека человеком. – М., 1982. – 529с. 11) Божович Л.И. Личность и ее формирование в детском возрасте. М., 1969.- 357с. 12) Божович Л.И. Этапы формирования личности в онтогенезе. Психология подростка. Хрестоматия / сост. Ю.И. Фролов, - М., 1997. – 278с. 13) Большой психологический словарь/сост. Мещеряков Б.Г, Зинченко В.П., - М., 2003-874с. 14) Бурлачук Л.Ф., Морозов С.М. Словарь-справочник по психодиагностике. - СПб: Питер, 2006. – 528с. 15) Выготский Л.С. Избранные психологические исследования. М., 1956. 16) Гозман Л.Я., Шлягина Е.И. Психологические проблемы семьи // Вопросы психологии.- 1985.-№2.-187с. 17) Гребенников И. В. Основы семейной жизни. - М.: Просвещение, 1991.- 353с. 18) Дружинин В.Н. Психология семьи. - М.: КСП, 1996.- 561с. 19) Дэвис Дж. Социальная установка // Американская психология. Перспективы. Проблемы. Методы. Пер. с англ. М., 1972.- 331с. 20) Захаров А. И. Как предупредить отклонения в поведении ребенка. - М.: Просвещение, 1986.- 214с. 21) Ковалев С.В. Психология семейных отношений. - М.: Педагогика, 1987.- 128с. 22) Кон И.С Психология старшеклассника: Пособие для учителей. -М.: Просвещение ,1980.-192с. 23) Кон И.С. Психология ранней юности. - М., 1989 – 254с. 24) Кулагина И.Ю. Возрастная психология.– М., 1996 – 321с. 25) Леонтьев А.Н. Деятельность. Сознание. Личность. — М., 1975.-176с. 26) Личко Е. А. Подростковая психиатрия. - Л.: Наука, 1979.-296с. 27) Магун B.C. Потребности и психология социальной деятельности личности. Л., 1983.-153с. 28) Майерс Д. Социальная психология. - СПб.,1998.-648с. 28 а) Методики и тесты.Учебное пособие-Самара: Изд.дом / под ред. Д.Я.Райгородского, 2003.-126с. 29) Мясищев В.Н. Личность и неврозы. Л., 1960.-423с. 30) Надираишвили Л.А. Понятие установки в общей и психологии. Тбилиси, 1974.- 193с. 30а) Нехорошева И.В., Зубов В.Н. Диагностика предрасположенности молодежи к девиантному поведению //Вопросы психологии. – 2009. - №5. – 182с. 31) Обухова Л.Ф. Детская психология: теории, факты, проблемы. - М.: Тривола, 1998.-187с. 32) Обуховский К. Психология влечений человека. Пер. с польск. М., 1972.- 295с. 33) Пиаже Ж. Избранные психологические труды. -М., 1994.-432с. 34) Практическая психология образования / под ред. И.В. Дубровиной - М., 1997.-374с. 35) Психология подростка. Хрестоматия / сост. Ю.И. Фролов. - М., 1997.- 177с. 36) Психологический словарь/под общ. ред. Неймера Ю.Л.- Ростов-на-Дону: Феникс, 2003.- 385с. 37) Ремшидт Х. Подростковый и юношеский возраст. Проблемы становления личности. М., 1994.-203с. 37 а) Рогов Е.И. Настольная книга практического психолога: Учеб. пособие:в 2кн.-3-е изд.-М.:Гуманит.изд.центр ВЛАДОС, 2001.-384с. 37 б) Рогова Е. Е. : Переживание одиночества подростками с разной социальной направленностью 38) Рубинштейн С.Л Основы общей психологии.- СПб.: Питер,2004-713с. 39) Сидоренко Е.В.Методы математической обработки в психологии.-СПб.: ООО «Речь»,1995.-350с. 40) Смелзер Н.Дж. Социология. Социализация. //Социологические исследования. – 1991. - №3. – 109с. 41) Солсо Р.Л. Когнитивная психология. М., Тривола, 1996.-539с. 42) Социальная психология / Под ред. А.Н.Сухова, А.А.Деркача М., 2001.-256с. 43) Социальная психология: Учебное пособие для вузов / Сост.: Р.И.Мокашенцев, А.В.Мокашенцева. – Новосибирск: Сибирское соглашение; М.: ИНФРА-М, 2001. – 408с. 44) Социальная психология: Хрестоматия: Учебное пособие для студентов вузов/Сост. Е. П. Белинская, О. А. Тихомандрицкая. — М: Аспект Пресс, 2003.— 475 с. 45) Столин В.В. Самосознание личности. - М: МГУ,1983.-249с. 46) Титаренко В.Я. Семья и формирование личности. - М.: Мысль, 1987.-156с. 47) Узнадзе Д.Н. Теория установки. Москва-Воронеж, 1997.-356с. 48) Холл К.С., Линдсей Г. Теории личности. М., КСП+, 1997.-246с. 49) Хрестоматия по социальной психологии. Учебное пособие для студентов: Сост. и вступ. очерки Т. Кутасовой. - М.: Международная педагогическая академия, 1994.-230с. 50) Шихирев П.Н. Социальная установка как предмет социально-психологического исследования / Психологические проблемы социальной регуляции поведения. М.. 1976.-140с. 51) Шихирев П.Н. Современная социальная психология США. М., 1979.-254с. 52) Эриксон Э. Идентичность: юность и кризис/ под. ред. Толстых А.В. М., 1996.-205с. 53) Эриксон Э. Детство и общество. СПб., 1996. -257с. 54) Ядов В.А. О диспозиционной регуляции социального поведения личности /Методологические проблемы социальной психологии. М., 1975.-369с. 55) http://psichology.vuzlib.net/book_o498_page_7.html 56) http://www.syntone-кazan.ru/library/books/?item_id=2308¤t_book_page=11 57) http://www.mirf.ru/Articles/art3690.htm 58) http://www.dissers.info/disser_193800.html |
||||||||||||||||||||||||||||||||||||||||||||||||||||||||||||||||||||||||||||||||||||||||||||||||||||||||||||||||||||||||||||||||||||||||||||||||||||||||||||||||||||||||||||||||||||||||||||||||||||||||||||||||||||||||||||||||||||||||||||||||||||||||||||||||||||||||||||||||||||||||||||||||||||||||||||||||||||||||||||||||||||||||||||||||||||||||||||||||||||||||||||||||||||||||||||||||||||||||||||||||
,









