Курсовая работа: Проблемы банковского кредитования малого бизнеса на примере ОАО Газбанк
|
Название: Проблемы банковского кредитования малого бизнеса на примере ОАО Газбанк Раздел: Рефераты по банковскому делу Тип: курсовая работа | ||||||||||||||||||||||||||||||||||||||||||||||||||||||||||||||||||||||||||||||||||||||||||||||||||||||||||||||||||||||||||||||||||||||||||||||||||||||||||||||||||||||||||||||||||||||||||||||||||||||||||||||||||||||||||||||||||||||||||||||||||||||||||||||||||||||||||||||||||||||||||||||||||||||||||||||||||||||||||||||||||||||||||||||||||||||||||||||||||||||||||||||||||||||||||||||||||||||||||||||||||||||||||||||||||||||||||||||||||||||||||||||||||||||||||||||||||||||||||||||||||||||||||||||||||||||||||||||||||||||||||||||||||||||||||||||||||||||||||||||||||||||||||||||||||||||||||||||||||||||||||||||||||||||||||||||||||||||||||||||||||||||||||||||||||||||||||||||||||||||||||||||||||||||||||||||||||||||||||||||||||||||||||||||||||||||||||||||||||||||||||||||||||||||||||||||||||||||||||||||||||||||||||||||||||||||||||||||||||||||||||||||||||||||||||||||||||||||||||||||||||||||||||||||||||||||||||||||||||||||||||||||||||||||||||||||
Содержание 1. Теоретические основы банковского кредитования 1.1 Экономическая сущность, субъекты и объекты кредитования 1.2 Основные этапы процесса кредитования предприятий коммерческими банками 2. Анализ кредитования реального сектора 2.1 Анализ кредитного портфеля КБ "Газбанк" 2.2 Анализ выдаваемых кредитов малому бизнесу 3. Пути совершенствования банковского кредитования реального сектора Список использованной литературы ВведениеНаше государство наделено достаточным природным и человеческим потенциалом для того, чтобы обеспечивать себя всем необходимым. И совершенно очевидно, что наиболее перспективные, с точки зрения конкуренции на мировом рынке, направления экономической деятельности для столь обеспеченной ресурсами страны, как Россия, не должны считаться единственно необходимым, поскольку при должной поддержке здесь могут развиваться практически все отрасли современной экономики. Нельзя полностью отказываться от отраслей, являющихся малоприбыльными, но ключевыми для обеспечения национальной безопасности и экономической самостоятельности. Предприятия производственных отраслей являются работодателями для значительной части российского населения, особенно в городах и населенных пунктах, где немного крупных промышленных предприятий других отраслей. В ряде мест России предприятия легкой промышленности, например, вообще являются градообразующими или даже регионообразующими. Товары широкого потребления и продукты питания, производимые в этих отраслях, входят в состав потребительской корзины большей части российских граждан. Поэтому поддержка и развитие этих отраслей - важный элемент общего экономического развития страны. Взаимодействие банковского и реального секторов экономики является актуальной темой на сегодняшний день. Банковская система могла бы позволить снизить зависимость экономического роста от коньюнктуры "нефтяного рынка" с помощью кредитования производственных отраслей. Целью данной работы является выявление и анализ проблем банковского кредитования малого бизнеса, а так же разработка рекомендаций по улучшению взаимодействия банковского и реального секторов экономики. Исходя из поставленной цели предстоит решить следующие задачи: раскрыть теоретические основы банковского кредитования применительно к кредитованию реального сектора; выявить существующие проблемы, препятствующие реализации успешного кредитования реального сектора; проанализировать состояние реального сектора на современном этапе; проанализировать кредитование реального сектора экономики банками; разработать и обосновать пути совершенствования кредитования реального сектора экономики. 1. Теоретические основы банковского кредитования1.1 Экономическая сущность, субъекты и объекты кредитованияКредит - это разновидность экономической сделки, договор между юридическими и физическими лицами о займе или ссуде, где один из партнеров (кредитор) предоставляет другому (заемщику) денежные средства на определенный срок с условием возврата эквивалентной стоимости, с оплатой этой услуги в виде процента. Кредит во многом является условием и предпосылкой развития современной экономики, неотъемлемым элементом экономического роста. Благодаря кредиту сокращается время на удовлетворение хозяйственных и личных потребностей. Его используют как крупные организации, так и малые производственные, сельскохозяйственные и торговые предприятия. А также государства, правительства, и граждане. Конкретной экономической основой, на которой появляются и развиваются кредитные отношения, выступают кругооборот и оборот средств (капитала). На базе неравномерности кругооборота и оборота капитала естественным становится появление отношений, которые устраняют несоответствие между временем производства и временем обращения средств, разрешают относительное противоречие между временным оседанием средств и моментом возникновения необходимости их использования в народном хозяйстве. Таким образом, кредит становится неизбежным атрибутом товарного хозяйства. Кредит берут не потому, что заемщик беден, а потому, что у него в силу объективности кругооборота и оборота капитала в полной мере недостает собственных ресурсов. Для того, что бы возможность кредита стала реальностью, нужны определенные условия, по крайней мере, два: кредит становится необходимым в том случае, если происходит совпадение интересов кредитора и заемщика; участники кредитной сделки - кредитор и заемщик - должны выступать как самостоятельные субъекты, материально гарантирующие выполнение обязательств, вытекающих из экономических связей. Классификацию кредита традиционно принято осуществлять по нескольким базовым признакам, к важнейшим из которых следует отнести категории кредитора и заемщика, а также форму, в которой предоставляется конкретная ссуда. Исходя из этого, можно выделить следующие достаточно самостоятельные формы кредита: банковский; коммерческий; потребительский; ипотечный; государственный; международный; межбанковский. Одной из наиболее распространенных форм кредитных отношений в экономике является банковский кредит. Объектом таких кредитных отношений выступает процесс передачи в ссуду непосредственно денежных средств и предоставляются они исключительно специализированными кредитно-финансовыми организациями, имеющими лицензию на осуществление подобных операций от Центрального банка РФ. Инструментом кредитных отношений является кредитный договор или кредитное соглашение. Доход по этой форме кредита поступает в виде ссудного процента или банковского процента, ставка которого определяется по соглашению сторон с учетом ее средней нормы на данный период и конкретных условий кредитования. Предоставление банковского кредита базируется на определенных методологической основе, одним из элементов которой выступают принципы, строго соблюдаемые при практической организации любой операции на рынке ссудных капиталов: возвратность; срочность; платность; обеспеченность; целевой характер; дифференцированный характер кредита. Эти принципы стихийно складывались еще на первом этапе развития кредита, а в дальнейшем нашли прямое отражение в общегосударственном и международном кредитном законодательствах. На основе вышеуказанных принципах устанавливаются порядок выдачи и погашения банковских ссуд, их документальное оформление. Эти положения и правила определяются природой, ролью, функциями кредита и теми конкретными общественными условиями, в которых она проявляются. Совместное соблюдение этих принципов позволяет обеспечивать возвратное движение средств. В кредитной сделке субъекты отношений всегда выступают как кредитор и заемщик. Кредитор -сторона кредитных отношений, предоставляющая ссуду заемщику на определенный срок. Как правило, кредиторами становятся добровольно. Случаи, когда ссудополучатель не возвращает кредит в установленные сроки, лишь нарушают добровольность кредитной сделки и приводят к особой системе более жестких отношений с заемщиком. Для того чтобы выдать ссуду, кредитору необходимо располагать определенными средствами. Их источниками являются как собственные накопления, так и ресурсы, позаимствованные у других субъектов воспроизводственного процесса, например, за счет привлеченных средств, хранящихся на его счетах, а также мобилизованных посредством размещения акций и облигаций. Заемщик - сторона кредитных отношений, получающая кредит и обязанная возвратить полученную ссуду. В современных условиях заемщиками выступают предприятия, население и государство, а так же сами банки. Традиционно банки при этом становятся коллективными заемщиками, поскольку занимают не для себя, а для других. Особое место заёмщика в кредитной сделке отличает его от кредитора. Во-первых, заемщик не является собственником ссужаемых средств, он выступает лишь их временным владельцем; т.к. пользуется чужими ресурсами, ему не принадлежащими. Во-вторых, заемщик применяет ссужаемые средства, как в сфере обращения, так и в сфере производства. Кредитор же предоставляет ссуду в фазе обмена, не входя непосредственно в производство. В-третьих, заемщик возвращает ссужаемые ресурсы, завершившие кругооборот в его хозяйстве. Для обеспечения такого возврата заемщик так должен организовать свою деятельность, чтобы обеспечить высвобождение средств, достаточных для расчетов с кредитором. В-четвертых, заемщик не только возвращает стоимость, полученную во временное пользование, но и уплачивает при этом больше, чем получает от кредитора, т.е. является плательщиком ссудного процента. В-пятых, экономическая зависимость от кредитора заставляет заемщика рационально использовать ссуженные средства, выполнять свои обязательства как ссудополучателя. Даже возвратив ссуженные средства, а также уплатив ссудный процент, заемщик не утрачивает своей зависимости от заимодавца: потенциально в своем прежнем кредиторе он видит нового кредитора, а поэтому должен полностью выполнить все обязательства, вытекающие из договора о ссуде, создав основание для очередного получения кредита. Помимо кредиторов и заемщиков, третьей стороной кредитных отношений является объект передачи - то, что передается от кредитора к заемщику и что совершает свой обратный путь от заемщика к кредитору. Объект кредитования может иметь материально-вещественную форму и не иметь ее. Заемщик берет ссуду необязательно для накопления необходимых ему товарно-материальных ценностей. Кредиту поэтому необязательно будут противостоять конкретные виды материалов. Объектами кредитования могут быть затраты, связанные с хозяйственной деятельностью заёмщика. За счет кредитных средств может финансироваться оплата контрактов, заключённых с поставщиками, относительно: приобретения необходимого сырья, энергоносителей, комплектующих, полуфабрикатов, запасных частей, оснастки, других товарно-материальных ценностей, оплаты работ, услуг и т.п.; приобретения необходимых технологий, оснащения, оборудования, осуществления других закупок, которые имеют инвестиционный характер, строительных и монтажных работ и пр. 1.2 Основные этапы процесса кредитования предприятий коммерческими банкамиПроцесс принятия решения по вопросу кредитования предприятий банками состоит из нескольких основных этапов, на каждом из которых уточняются характеристики ссуды, способы ее выдачи, использования и погашения: Предварительное рассмотрение кредитной заявки и собеседование с заемщиком с целью предварительного ознакомления с предложенным проектом и последующего уточнения условий предоставления кредитных ресурсов. Основной целью и задачей данного этапа является разработка оптимальных условий кредитования, достижение взаимного понимания условий осуществления проекта, предложенного к кредитованию. Проводится "экспресс-анализ" клиентского запроса и принимается решение о принципиальной возможности предоставления кредита. При этом должна быть получена комплексная информация о потенциальном заемщике и предложенном им проекте кредитования. Выясняются серьезность, надежность и кредитоспособность заемщика, его репутация как возможного партнера по бизнесу, обоснованность испрашиваемого кредита и степень обеспеченности его возврата. В случае необходимости банки могут выработать свои требования к кредитному предложению и ознакомить с ними заемщика. Выясняется соответствие кредитного предложения кредитной политике банков и структуре формирования их ссудного портфеля. Приведет ли предоставление нового кредита к дальнейшей диверсификации кредитного портфеля и снижению кредитного риска или к обратным результатам. Для этого, прежде всего, определяется характер потенциального заемщика. Обязательно уточняется информация о взаимоотношениях клиента с другими банками: в каких банках он в настоящее время обслуживается; обращался ли он к другим банкам за ссудой, какова его кредитная история; имеются ли непогашенные кредиты, их сумма, сроки погашения и способ обеспечения; динамика оборотов по счетам клиента, объем конверсионных операций и др. Проведение предварительных переговоров с клиентом позволяет составить общее представление о параметрах кредитной сделки: об объеме заимствования, целевом назначении, основных условиях кредитования (форма, срок, процентная ставка, периодичность выплат), этапы реализации проекта, предложенного к финансированию, источники погашения заемных средств, доля участия в реализации проекта собственных средств заемщика. Кроме того, выясняется, какое обеспечение может быть представлено в качестве гарантии возврата предоставляемых денежных средств. Для этого уточняется: вид обеспечения, который может быть предоставлен клиентом; его качественные и количественные характеристики. Как правило, уже первые контакты с предполагаемым заемщиком позволяют сделать предварительные выводы о целесообразности дальнейшей проработки проекта. По мере дальнейшей работы с кредитной заявкой может возникнуть необходимость в проведении дополнительных переговоров, которые позволят составить наиболее полное представление о предложении клиента. Получение от потенциального заемщика необходимых документов, отражающих его финансовое состояние и характеризующих предложенный к кредитованию проект. Для документального подтверждения изложенных заемщиком фактов запрашиваются следующие документы: 1. Официальное ходатайство о предоставлении кредита. 2. Официальное ходатайство, составленное в виде заявления, которое должно содержать краткую информацию об испрашиваемом. 3. Заполненная и подписанная анкета, содержащая краткую информацию о предприятии и кредитном проекте. 4. Юридические документы: нотариально заверенные учредительные документы предприятия, карточка образцов подписей и оттиска печати; документы, подтверждающие полномочия лица, имеющего право выступать от имени организации при ведении переговоров и подписывать кредитный договор, и другие документы; согласие учредителей (участников, акционеров) на получение кредита и/или на предоставление обеспечения (оригинал протокола собрания учредителей (участников, акционеров)). 5. Документы, характеризующие финансовое состояние предприятия: баланс предприятия с формами №2,3,4,5; расшифровка дебиторской и кредиторской задолженностей с указанием наименований контрагентов, суммы долга, даты возникновения и срока его погашения (за прошедший отчетный период), а также состояние кредиторской и дебиторской задолженности на дату обращения за кредитными ресурсами; справка о полученных кредитах и займах с приложением копий кредитных договоров (договоров займа) и договоров залога (поручительства, гарантии) по состоянию на дату запроса о кредите; справка о выданных поручительствах с приложением копий договоров поручительств по состоянию на дату запроса; перечень расчетных, текущих и иных счетов, открытых в других банках; копии заверенных выписок из расчетных, текущих и иных счетов заемщика за последний год с указанием ежемесячных оборотов и среднемесячного сальдо. 6. Пакет документов, содержащий информацию о целевом назначении использования запрашиваемых денежных средств. Как правило, она содержится в технико-экономическом обосновании, бизнес-плане подтверждающем экономическую эффективность сделки и окупаемость затрат в течение всего периода кредитования. Здесь содержится подробная информация о предлагаемом к кредитованию проекте, получателе заемных средств; описание в развернутой форме характеристик мероприятий, связанных с реализацией проекта; сведения о продукте (услуге) в разрезе условий, которые складываются на данном сегменте рынка - о спросе и перспективе развития рынка, конкурентной среде и позиции фирмы и ее продукции/услуги; производственный план с изложением основных этапов производственного цикла; раздел, характеризующий осуществление управления проектом; финансовый план; основные риски при реализации проекта. 7. Документы, содержащие информацию о предлагаемом способе обеспечения кредита. Их состав определяется способом и формой гарантии возвратности кредита, которые потенциальный заемщик готов предложить кредитору и которые последний считает оптимальными, исходя из проводимой кредитной политики. Залогодателем может являться как сам заемщик, так и третье лицо, выступающее перед кредитором гарантом по обязательствам заемщика. Поэтому, в пакет документов, характеризующих предмет залога, могут быть включены юридические документы, подтверждающие правоспособность залогодателя. Проведение анализа кредитной заявки - анализ кредитоспособности и платежеспособности заемщика, оценка обеспечения, предложенного клиентом. Основной задачей проведения анализа является минимизация кредитных рисков и обеспечение возможности получения кредитором максимального дохода. Это подразумевает проведение анализа заемщика, особенностей его бизнеса, непосредственно проекта, предложенного к кредитованию, а также предложенного обеспечения. Анализ охватывает широкий круг вопросов, которые характеризуют заемщика и кредитный проект. Подлежат анализу следующие факторы внешней и внутренней среды, оказывающие или могущие оказывать влияние на конечный результат кредитного проекта: общее состояние занимаемого клиентом сегмента рынка, отрасли и региона; позиция клиента на рынке, конкурентоспособность;; финансовое положение клиента и перспективы развития; характер кредитуемой сделки; ликвидность предоставляемого обеспечения; история отношений с Банком и другими кредитными учреждениями. Большое внимание уделяется оценке предложенного заемщикомобеспечения кредита. Исполнение заемщиком своих обязательств по кредитному договору может обеспечиваться залогом, поручительством, банковской гарантией и другими способами, предусмотренными гл.23 Гражданского кодекса Российской Федерации,действующим законодательством и договором. Подготовка заключения о целесообразности предоставления запрашиваемых кредитных ресурсов. После получения всех необходимых данных о предполагаемом заемщике и его проекте составляется заключение о целесообразности предоставления кредита, содержащее полную информацию о клиенте, необходимое для вынесения решения о предоставлении кредита. Принятие окончательного решения о предоставлении кредита заемщику. Оформление документов, регулирующих взаимоотношения сторон. Выдача кредита. Выдача кредитаосуществляется после выполнения заемщиком определенных условий, оговоренных в кредитном договоре, путем открытия клиенту ссудного счета и перечисления денежных средств на его расчетный счет при предоставлении платежных поручений в соответствии с суммой и целями кредита. В зависимости от условий кредитного договора ссуды могут выдаваться: единовременно в начале действия договора; по графику; по мере предоставления заемщиком платежных документов. Кредитный мониторинг После рассмотрения кредитной заявки, ее анализа, принятие решения и выдачи кредита проводится контроль над выполнением хода кредитуемого проекта, который включает: Периодическую проверку всех видов кредитов. Проверку всех важнейших условий по каждому кредитному договору, в том числе: соответствия фактических платежей по кредиту рассчитанным данным, а также целям кредита; своевременности расчетов по ссудной задолженности; качества и состояния обеспечения по кредиту; полноты соответствующей документации и возможности получить в свое распоряжение любое предоставленное обеспечение и юридическое право предпринимать при необходимости судебные действия в отношении заемщика; оценки изменений финансового положения и прогнозов относительно увеличения или сокращения потребностей заемщика в банковском кредите. Наиболее частую проверку крупных кредитов, поскольку невыполнение заемщиками обязательств по ним может серьезно сказаться на финансовом положении банков. Более частые проверки кредитов при появлении значительных проблем в тех отраслях, в которые банки вложили значительную часть своих ресурсов. Увеличение частоты проверок по мере роста проблем, связанных с конкретным кредитом. 2. Анализ кредитования реального сектора2.1 Анализ кредитного портфеля КБ "Газбанк"Анализ любого вида деятельности банка, в т. ч. и кредитной деятельности, необходимо начинать с оценки положения банка на соответствующем рынке, его конкурентоспособности, а также с изучения изменений, приходящих на самом рынке. Для исследования динамики кредитного портфеля следует рассчитать объемы кредитного портфеля за анализируемые периоды, а также ряд необходимых показателей, и занести данные в табл.3. Таблица 3 - Анализ динамики кредитного портфеля КБ "Газбанк"
Растущая динамика объемов кредитного портфеля на 01.01.07 - 5595159 тыс. руб.; на 01.01.08 - 11677363 тыс. руб. свидетельствует о расширении сферы кредитного рынка, на котором оперирует данный банк в результате влияния каких-либо факторов. К ним можно отнести снижение банком ставки кредитования, увеличение сроков кредитования, увеличение лимитов кредитования, снижение требований к оформлению пакета документации, снижение требований к обеспечению возвратности кредита. Более наглядно показан объем кредитного портфеля на графике.
Рисунок 1 - динамика кредитного портфеля Анализируя динамику объемов кредитного портфеля за периоды, следует выявить причины его снижения, для этого необходимо структурировать кредитный портфель по виду заемщика и исследовать изменения каждой из статей (табл.4). Таблица 4 - Структура кредитного портфеля по типу заемщика
В структуре кредитного портфеля превалирует статья кредиты, выданные юридическим лицам, следовательно, позволяет расценить банк как оптовый (крупные кредиты крупным клиентам), однако наблюдается рост кредитов в абсолютном выражении, но снижение их доли, то можно предположить, что банк активизирует свою деятельность на рынке розничного кредитования. В процессе более глубокого анализа структуры портфеля юридическим лицам необходимо обращать внимание на те статьи, которые занимают более 20%, а также на те статьи, чьи темпы прироста являются наибольшими. следует провести анализ выданных банком кредитов в зависимости от степени их срочности. Анализ кредитного портфеля по степени срочности следует проводить с использованием табл. Таблица 5 - Структура кредитного портфеля КБ "Газбанк" по степени срочности на 01.01.07
Таблица 6 - Структура кредитного портфеля КБ "Газбанк" по степени срочности на 01.01.08
Как видно из таблиц максимальное значение имеют среднесрочные кредиты, являются основными доходоприносящими ресурсами, поэтому их рост влияет на объем банковской прибыли. В процессе исследования заключительным этапом является определение уровня доходности различных видов кредитов и их уровень риска. Доходность является качественным аспектом кредитного портфеля. Доходность показывает, какая доля получаемого банком дохода приходится на 1 руб. кредитного портфеля. Д кр. п. = Процентный доход по кредитам / сумма кредитного портфеля Таблица 7 - Коэффициент доходности кредитного портфеля
По данным таблицы видно, что коэффициент доходности кредитного портфеля падает, это является отрицательной тенденцией. Более наглядно это выглядит на графике. Рисунок 2.
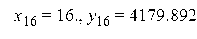
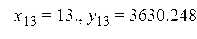
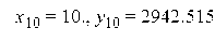
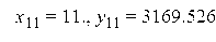
Рисунок 2- Динамика движения доходности Для оценки доходности необходимо составить таблицу 8. Таблица 8 - Анализ доходности кредитных вложений КБ "Газбанк"
Наименее доходными являются кредиты, выданные негосударственным финансовым организациям на 01.01.07 - 9,77; на 01.01.08 - 6,45, а наиболее доходными являются кредиты, выданные юридическим лицам. В целом на доходность повлияла статья кредиты, выданные юридическим лицам. Одним из основных качественных показателей кроме доходности является риск. Рискованность кредитного портфеля можно оценить с использованием следующих коэффициентов: Коэффициент покрытия рассчитывается, как отношение резерва под возможные потери к кредитному портфелю. Показывает, какая доля резерва приходится на 1 руб. кредитного портфеля. Коэффициент просроченных платежей, который рассчитывается как отношение суммы просроченного основного долга к общему объему кредитного портфеля. Показывает, какой объем просроченных кредитов приходится на 1 руб. кредитного портфеля Коэффициент обеспечения рассчитывается, как отношение суммы обеспечения, принятой банком при выдаче кредита, к общей сумме кредитного портфеля. Объем обеспечения отражается на счетах внебалансового учета формы №101. Коэффициент показывает, какая доля обеспечения возвратности кредитов приходится на 1 руб. кредитного портфеля. Коэффициент невозврата основной суммы долга, который рассчитывается как отношение величины задолженности по сумме основного долга, списанная из-за невозможности взыскания к совокупному кредитному портфелю. 2.2 Анализ выдаваемых кредитов малому бизнесуВ последние годы на рынке кредитования малого бизнеса происходят достаточно значимые изменения. Банки, и государство стали уделять этому сегменту больше внимания. Например, уже реализуется ряд программ - и на уровне областей, и на уровне Минэкономразвития - связанных с разделением в том или ином виде рисков по кредитованию банками малого бизнеса. Это и система компенсации стоимости поручительства, и инструментарий поручительства со стороны государственных фондов. Начата реализация программы по поддержке экспортно-ориентированных предприятий. В целом, все эти позитивные изменения позволяют говорить о том, что начинает появляться реально работающий механизм по государственному содействию развитию малого бизнеса. Газбанк сотрудничает с объектами региональной инфраструктуры в области кредитования малого бизнеса. В частности, активно используется механизм взаимодействия с уполномоченными организациями, выступающими поручителями по кредитам для малого бизнеса - в этом направлении банк работает с Фондом содействия кредитованию малого бизнеса Самарской области и более чем с 20 региональными организациями. В рассматриваемые годы (2007-2008), в целом изменилось представление менеджмента Газбанка о кредитовании малого бизнеса как о высокорискованном направлении, которое присутствовало еще, например, в 2005-2006 годах. С учетом диверсификации портфеля, которая возникает при кредитовании малого бизнеса, и применения определенных технологий оценки заемщика, выдача кредитов малому бизнесу является не более рискованной, чем любой другой вид кредитования. Наработанная на сегодняшний день статистика это подтверждает: квоты дефолтов, списание и просроченная задолженность по портфелю - они минимальны у многих банков, которые работают в этом сегменте рынка. Рынок кредитования малого бизнеса будет расти, и этот вывод вытекает из анализа очевидных фактов. На сегодня в российской экономике доля малых предприятий в валовом продукте составляет порядка 12%. Такова же примерно и доля занятости. А в большинстве стран этот показатель гораздо выше - от 50% до 70%. Можно предположить, что при наблюдаемой сегодня в стране макроэкономической динамике, малого предпринимательства будут постепенно подтягиваться к мировым. Соответственно, и рынок кредитования будет расти существенными темпами. Одна из проблем малого предпринимателя - залоги. В Газбанке достаточно гибкий подход к залогам. У многих малых предприятий часто нет необходимого фиксированного залога в виде основных средств или недвижимости. Поэтому берутся во внимание оборотные средства, торговое оборудование, а по совсем небольшим кредитам размером до 850 тыс. руб. на сегодняшний день банк кредитует вообще без залога. Банк кредитует исключительно под бизнес. Бизнес должен существовать, работать, подтверждая свою способность погасить кредит. У банка есть определенные технологии, по которым кредитные эксперты оценивают бизнес заемщика, его реальные денежные потоки. . Спрос со стороны малых предприятий огромен. По оценкам экспертов, в целом его объемы оцениваются в $25-30 млрд. Удовлетворенный спрос, то есть сегодняшний кредитный рынок малого бизнеса в стране - $6-8 млрд. То есть совершенно очевидно, что спрос значительно опережает предложение. При этом спрос достаточно разный, и Газбанк разрабатывает разные кредитные продукты. Некоторые достаточно новые и необычные для российского банковского рынка. Среди "новинок" продуктового ряда хотелось бы отметить специальные кредиты для микрофинансовых организаций. На сегодняшний день на рынке работают различные потребительские кооперативы, фонды и другие компании, которые занимаются микрокредитованием - средний объем размер кредита, как правило, не превышает $1 тыс.). И здесь весьма перспективной оказывается совместная работа с такими организациями, когда банк их кредитует. Ведь для банков давать кредит в 10-20 тысяч рублей, анализируя бизнес и проводя все необходимые банковские процедуры - нерентабельно. Именно поэтому банку интересно финансирование таких микрофинансовых организаций на базе анализа качества их кредитного портфеля. Выдаются кредиты по $100-200 тыс., а они в свою очередь превращают эти деньги в кредиты. Если говорить о финансировании "под идею", финансировании стартового бизнеса, то не секрет, что с точки зрения банка это - очень рискованно. Проектное финансирование в области малого бизнеса непросто даже представить. Здесь, скорее, место для венчурных фондов, участвующих в капитале стартующих предприятий. Однако сейчас Газбанк прорабатывает пилотный проект по финансированию стартового бизнеса в составе своеобразного тройственного союза. Основные составляющие этого союза - стратегический партнер, заинтересованный в развитии бизнеса в определенной отрасли, местная администрация и Газбанк. При таких условиях банк готов входить в эти проекты. Кроме того, у Газбанка подписаны соглашения о сотрудничестве в области поддержки малого и среднего предпринимательства с уполномоченными структурами средневолжских регионов. В соответствии с условиями соглашений, Газбанк предоставляет кредиты субъектам малого предпринимательства под поручительство уполномоченных региональных организаций, которые возмещают до 90% от стоимости покупки поручительства. Такое поручительство является платным, но сумма его покупки предпринимателю возмещается за счет средств федерального бюджета, полученных субъектом Федерации на государственную поддержку предпринимательства. По такой схеме также может кредитоваться и стартап. Подобные соглашения уже подписаны с Ульяновской и Самарской областями. Основные сложности, с которыми сталкиваются малые предприятия, - это нехватка оборотных средств, недостаточность ресурсов на приобретение нового оборудования или помещения. В основном такие вопросы можно решить с помощью специализированного банковского кредита. В 2007 году Газбанк разработал и внедрил специальную программу кредитования малого бизнеса. На сегодняшний день Газбанк является одним из лидеров в кредитовании малого бизнеса в Поволжье, во многом благодаря тому, что предлагаемые им условия значительно упрощают жизнь предпринимателям. Создавая специальные кредитные продукты для малого бизнеса, Газбанк учел основные проблемы потенциальных заемщиков и разработал два специализированных вида кредитов - микрокредиты и кредиты на развитие бизнеса. Воспользовавшись любым из данных предложений банка, малые предприятия - заемщики получают средства в необходимом объеме, не теряя много времени, так как заявка на получение кредита рассматривается очень оперативно. Требования Газбанка к потенциальным заемщикам можно назвать максимально мягкими - у заемщика должен быть действующий доходный бизнес, представленный на рынке от полугода, а также наличие обеспечения в виде залога. Подход к залогу тоже достаточно гибок - в этом качестве могут выступать автотранспортные средства, объекты недвижимости, оборудование и даже товар в обороте. Годовая выручка малого предприятия-заемщика не должна превышать 83 миллиона рублей. Кредитные технологии банка постоянно совершенствуются, формальные процедуры упрощаются, расширяется и список возможного залогового имущества. Все это ведет к тому, что количество обращений малых предпринимателей с каждым месяцем стремительно увеличивается. Газбанк предлагает два вида кредитов - это так называемые - микрокредиты - суммы до 1 миллиона рублей и кредиты на развитие бизнеса - это, по сути дела, верхняя планка не ограничена но, как правило, это кредиты порядка 100 тысяч долларов, которые выдаются в зависимости от финансового положения заемщика. Те банки, которые работают с клиентами малого бизнеса на сегодняшний день в России, используют технологию, рожденную в середине 1990-х годов, которая появилась здесь с приходом Европейского банка реконструкции и развития (ЕБРР). Технология действует до сих пор, немного модернизировалась, улучшилась и приноровилась к российскому рынку. Программа кредитования малого и среднего бизнеса Газбанка также использует опыт западных банков и дополнительно практику кредитования на территории Российской Федерации. Банки, которые работают по данному направлению, технологией сильно не отличаются. Самое основное - это выезд на место бизнеса, определение залога не по бумагам, а воочию. Должна быть облегченная форма заявки, потому что клиенты не хотят заполнять достаточно большой объем бумаг, а также нужен лояльный подход к обеспечению. Каким образом банк далее развивает уже каждый из этих пунктов - это уже вопрос самого банка, насколько он готов брать на себя риски. У Газбанка есть определенные технологии оценки клиентов по их финансовому состоянию, банк берет на себя риски обеспечения необеспеченных кредитов. Банк также выдает довольно высокорискованные кредиты с собственным капиталом до 25% и выдает кредиты на развитие бизнеса - это кредиты свыше 850 тысяч рублей и до 143 млн. рублей на срок до 5 лет с возможностью выдачи части. Под проценты кредит может быть не обеспечен. Рассмотрим подробнее основные продукты Газбанка в сфере кредитования малого бизнеса. Их в целом немного: "Микрокредит" - если необходимо финансирование до 850000 рублей (эквивалент в долларах США или евро) на срок до 2 лет; "Кредит на развитие бизнеса" - если необходима сумма до 5000000 долларов США (эквивалент в рублях или евро) на срок до 5 лет. Рассмотрим каждый из них. Продукт "Микрокредит" разработан для компаний, которым необходимо финансирование до 850 000 рублей (эквивалент в долларах США или евро) на срок до 2 лет. В основу технологии кредитования малого бизнеса положена международная практика предоставления финансовых услуг в этой сфере. Один из ключевых аспектов данной технологии - финансовый анализ кредитоспособности заемщика, проводимый на основе данных о реальном состоянии бизнеса клиента. При проведении анализа сотрудник банка Газбанка дает необходимые консультации, помогает составить справедливую оценку и адекватные формы управленческой отчетности. Кредитные технологии Газбанка позволяют проводить оценку кредитоспособности и принимать решение о предоставлении кредита в сжатые сроки. Условия предоставления Сумма - до 850 000 рублей (или эквивалент в долларах США или евро); Срок кредита - до 24 месяцев; Срок рассмотрения заявки - 1-3 дня; Процентная ставка - фиксированная (определяется банком индивидуально для каждого клиента); Погашение - равными взносами или по индивидуальному графику; Обеспечение - без залога. Основные формы предоставления микрокредита: разовый кредит. Клиент приобретает право на получение суммы кредита одной суммой единовременно. овердрафт. Форма кредита, которая позволяет оперативно провести необходимые платежи в случае временного отсутствия или недостаточности денежных средств на расчетном или текущем счете компании в Газбанке. Газбанк предоставляет клиентам различные виды банковских гарантий: тендерные гарантии, гарантии исполнения обязательств по договору, гарантии возврата платежа и гарантии таможенных платежей. Гарантии предоставляются на различные цели и их условия зависят от особенностей конкретной сделки. В целом получить кредит можно для реализации различных задач пополнение оборотных средств предприятия; приобретение имущества (автотранспорт, оборудование, недвижимость и т.д.); покупка, ремонт или реконструкция помещений; покупка векселей. Прейдем к продукту "Кредит на развитие бизнеса" который разработан для компаний, которым необходима сумма до 5.000.000 долларов США (эквивалент в рублях или евро) на срок до 5 лет. Условия предоставления: Сумма - до 5.000.000 долларов США (эквивалент в рублях РФ или евро); Срок кредита - до 60 месяцев; Срок рассмотрения заявки - 5-7 дней; Процентная ставка - фиксированная (определяется банком индивидуально для каждого клиента); Погашение - равными взносами или по индивидуальному графику; Обеспечение - возможно частичное обеспечение залогом. Основные формы предоставления - разовый кредит, овердрафт. В случае более сложной формы необходимого клиенту финансирования Газбанк предлагает рамочную кредитную линию, при которой возможно получение нескольких кредитов в рамках открытого лимита кредитной линии. Газбанк предлагает возобновляемую кредитную линию, в рамках которой клиент самостоятельно может получать финансирование в необходимых ему объемах и на необходимые сроки. Гибкие условия возобновляемой кредитной линии дают клиенту практически неограниченные возможности использования схемы кредитования. Выкуп кредитов малому бизнесу . Газбанк предлагает своим партнерам разнообразные формы сотрудничества в этой области. Одним из новых направлений деятельности банка в данном сегменте рынка является покупка у третьих лиц кредитов, выданных субъектам малого бизнеса. К субъектам малого бизнеса относятся юридические лица или индивидуальные предприниматели с объемом годовой выручки, не превышающим 90 миллионов рублей. Организации могут быть заинтересованы в продаже портфеля кредитных продуктов, предоставленных предприятиям малого бизнеса, с уступкой прав требования в пользу Газбанка. По источникам КБ Газбанка определим значение кредитования малого бизнеса в КБ Газбанке. Таблица 9 - Значение объемов кредитования малого бизнеса (млн. руб)
Построим уравнение тренда и осуществим прогноз.
Для регрессии вида
Вычислим
Тогда
Тогда линейная регрессия будет иметь вид
Таким образом, объемы кредитования малого и среднего бизнеса растут на 167 млн. руб. ежеквартально. Ожидается, таким образом, что в 2009 году объем кредитов составит 20608 млн. руб. 3. Пути совершенствования банковского кредитования реального сектораБанки последовательно и целенаправленно становятся полноценными финансовыми посредниками, перераспределяющими средства в реальный сектор экономики. Но как уже говорилось ранее, это становление происходит на фоне ряда нерешенных проблем, к которым относятся: во-первых, недостаточная капитализация; во-вторых, преобладание "коротких" и неустойчивых пассивов (пассивы срочностью свыше 1 года составляют примерно 15% валюты баланса коммерческих банков, тогда как удельный вес активов с аналогичными сроками приближается к 35%. Такая несоразмерность усиливает риски кредитования и потери ликвидности); в-третьих, высокий уровень кредитного риска. Решение проблем недостаточности уровня капитализации и преобладания "коротких" и неустойчивых пассивов во многом зависит от законодательной и исполнительной власти. Введение в Гражданский кодекс РФ положения, которое бы предусматривало невозможность досрочного изъятия срочного банковского вклада, - одно из направлений решения проблемы дефицита долгосрочных ресурсов. Требуются законодательные решения о внеочередности платежей в счет погашения кредита заемщиком, испытывающим финансовые затруднения. Погашение банковских ссуд практически в последнюю очередь замедляет оборачиваемость ресурсов банков, требует поиска различных форм обхода очередности платежей. Очевидно, что своевременное погашение ссуд позволит предприятиям привлекать больше заемных средств и тем самым оздоровить свое финансовое положение в целом. Нужна поправка в Налоговый кодекс, освобождающая банки и акционеров от налога на прибыль, если она направляется на увеличение уставного капитала банка. Заслуживает изучения вопрос о введении льготных ставок налогообложения прибыли банков в части доходов, полученных от кредитования реального сектора экономики. Повысить уровень капитализации российских коммерческих банков возможно за счет привлечения ряда дополнительных источников. Прежде всего, это использование средств институциональных инвесторов. Целесообразно внести изменения в действующее законодательство, которые бы позволили банкам осуществлять управление активами инвестиционных фондов, паевых инвестиционных фондов и негосударственных пенсионных фондов. Повысить уровень капитализации можно путем расширения возможностей выпуска банками среднесрочных ценных бумаг и их размещения как на внутреннем, так и на внешнем рынках. Представляется, что на региональном уровне указанные задачи могут и должны решаться в рамках эффективного взаимодействия Казначейства и коммерческих банков. Для осуществления этого в масштабах бюджета отдельного региона объективно существуют не только экономические предпосылки, но и правовые возможности. Обслуживание банками региональных бюджетов недотационных регионов соответствует принципу разграничения полномочий между федеральным центром и субъектами РФ. Для расширения объемов кредитования предприятий реального сектора экономики необходимо решить проблему существенных кредитных рисков. Недостаточная платежеспособность предприятий - фактор, определяющий высокий уровень рисков при кредитовании. Кроме того, зачастую предприятия ведут "двойную" бухгалтерию, что не позволяет банку правильно оценить их финансовое положение и рассчитать уровень кредитного риска. Плюс техническое оснащение значительной части промышленных предприятий тормозит производство конкурентоспособной продукции, реализация которой позволит вернуть выданную ссуду. Ужесточение конкуренции на кредитном рынке приводит к снижению некоторыми банками своих требований к заемщику, что негативно сказывается на качестве кредитного портфеля. По оценкам специалистов, от 20 до 60% кредитов могут стать "плохими". Если не предусмотреть возможность неблагоприятного развития событий и не заложить это в стратегию банка и продолжать кредитную политику, исходя из ожидания отличной конъюнктуры, качество портфеля может долгое время снижаться, не искажая формальные показатели надежности. Большую роль играет методическая и нормативная база организации кредитного процесса. Ситуация такова, что каждый коммерческий банк, исходя из своего опыта, вырабатывает подходы и систему кредитования. И это несмотря на то, что хотя есть непреложные общие организационные основы, отражающие международный и отечественный опыт, которые помогли бы банкам существенно упорядочить кредитные отношения с клиентом и улучшить возвратность ссуд. В зарубежных банках основным фактором создания эффективной системы управления кредитным риском стало развитие единой культуры кредитования путем внедрения стандартных инструкций для инициирования, анализа, принятия решения и мониторинга отдельных кредитов. В настоящее время большинство коммерческих банков ограничиваются наличием кредитного отдела, деятельность которого сводится к заключению и исполнению кредитных договоров. Нужно, что бы кредитный отел решал задачи стратегического планирования, методического и инструктивного обеспечения, анализа и контроля за выполнением условий кредитной сделки. Это повысит уровень организации кредитной работы во многих банках. Необходимо наладить качественное информационно-аналитическое обеспечение. Самая совершенная методика анализа заемщика или оценка риска не даст надежных результатов, если исходная информация недостаточно полная или ненадежная. Для этого в нашей стране уже с этого года начнут работу кредитные бюро. А пока этого не произошло, то весьма перспективно было бы сотрудничество в области накопления базы данных по неплатежеспособным или не выполняющим своих обязательств клиентам. В частности, Сбербанк мог бы предоставить обширную информацию, так как его филиальная сеть охватывает все регионы страны. ЗаключениеОдной из распространенных форм кредитных отношений является банковский кредит. Объектом такого рода кредитования является процесс передачи в ссуду денежных средств, который базируется на определенных строго соблюдаемых принципах: возвратности, срочности, платности, обеспеченности, целевого и дифференцированного характера кредита. На этих принципах основывается порядок выдачи и погашения банковских ссуд, а так же их документальное оформление. На современном этапе развития предприятий реального сектора экономики такая форма финансовых отношений достаточно актуальна. Из-за недостаточности собственных средств кредит является одним из источников удовлетворения огромного спроса на денежные ресурсы. Экономические субъекты очень часто испытывают нехватку денежных средств для осуществления вложений в развитие и модернизацию производства. Поэтому банки призваны помогать в решении подобных проблем финансирования, путем предоставления кредитных средств. Задача укрепления взаимодействия банковской системы и реального сектора экономики должна решаться в тесном взаимодействии всех заинтересованных сторон - банков, предприятий, органов власти. Только совместные усилия позволят обеспечить устойчивый рост экономики и стабильность банковской системы. Сегодня привлечение инвестиций в реальный сектор экономики - вопрос ее выживания. Будут инвестиции - будет развитие реального сектора, а следовательно, будет и экономический подъем. Так же проанализировав кредитный портфель и обязательства коммерческого банка "Газбанк" можно сделать следующие выводы: У Банка стабильная ресурсная база, которую обеспечивает долгосрочные обязательства. Коэффициент влияния краткосрочных банковских кредитов, показывает зависимость ресурсной базы банка от рынка краткосрочных банковских кредитов. Составляет на 01.01.07 - 0,997; на 01.01.08 - 0,993; на 01.01.09 - 0,995 это говорит о том, что банк стремиться к 1 а значит, зависимость банка от ликвидных краткосрочных ресурсов снижается. Коэффициент масштаба клиентской базы, показывает долю депозитных привлечений в обязательства банка. Чем ближе значение к 1, тем больше потребность банка в ликвидных долгосрочных ресурсах. Данный банк не особо нуждается в ликвидных долгосрочных ресурсах т.к показатель составляет на 01.01.07 - 0,38; на 01.01.08 - 0,40; на 01.01.09 - 0,42. Коэффициент структуры обязательств характеризует долю "летучих" обязательств в совокупных обязательствах банка. Банк снижает данный коэффициент это говорит о том, что потребность банка в высоколиквидных средствах снижается. Это положительный момент в деятельности банка. Коэффициент использования межбанковских заимствований характеризует степень зависимости ресурсной базы банка от МБК привлеченных. Оптимальное значение 0, 20-0,30. в данном банке составляет на 01.01.07 - 0,003; на 01.01.08 - 0,005; на 01.01.09 - 0,042. Свидетельствует о слабости и низкой ликвидности банка. Коэффициент использования привлеченных средств по доходам характеризует количество денежных доходов, приходящихся на 1 руб. привлеченных средств. Данный показатель не имеет резких колебаний, что означает о низком процентном риске. Рентабельность привлеченных средств характеризует эффективность привлеченных средств. Составляет на 01.0.1.07 - 0,064; на 01.01.08 - 0,046; на 01.01.09 - 0,060. Данный показатель низкий, означает что банк работает неэффективно. Коэффициент автономии характеризует объем собственного капитала на 1 руб. привлеченных, т.е. степень зависимости от привлечений. Показатель растет, означает, что финансовая устойчивость растет. Список использованной литературы1. Афанасьева О.Н. Проблемы банковского кредитования реального сектора экономики // Банковское дело. - 2004г. 2. Баландин Б.М. Информационно-аналитическое обеспечение управления активами и пассивами банка // Деньги и кредит. - 2003г. 3. Березинская О. Кредитование промышленного производства: предварительные итоги минувшего года // Экономическое развитие России. - 2005г. 4. Дяченко О. Особенности национального кредита // Банковское обозрение. - 2004г. 5. Банковское дело: учеб. для вузов/ под ред.Г. Г. Коробовой. - М.: Финансы и статистика, 2005г. 6. Финансы и кредит: учеб. пособие для вузов/ Под ред.А.М. Ковалевой. - М.: Финансы и статистика, 2005г. 7. Комов А. Анализ системы кредитования реального сектора экономики России в 1 полугодии 2004г // Русское Экономическое Общество. - 2004г 8. Лаврушин О.И. Банковское дело: современная система кредитования. - М. - Кнорус - 2005г. 9. Лаврушин О.И. Деньги, кредит, банки. - М. - Кнорус-2005г. 10. Лаврушин О.И. Управление деятельностью коммерческого банка (Банковский менеджмент). - М. - Юристъ - 2006г. 11. Банковское дело: учебник/ И.О. Лаврушин, И.Д. Мамонова, Н.И. Валенцева; под ред. И.О. Лаврушина. - 3-е изд., перераб. и доп. - М.: КНОРУС, 2005г. 12. Максютов А.А. Основы банковского дела. - М. - Бератор-Пресс - 2004г. 13. Морсман Э.М. Кредитный департамент банка: организация эффективной работы. - М. - Альпина - 2004г. 14. Морсман Э.М. Управление кредитным портфелем. - М. - Альпина - 2004г. 15. Пещанская И.В. Кредитный и оборотный капитал // Финансы. - 2005г. 16. Финансы, денежное обращение и кредит: Учебник/ М.В. Романовский и др.; Под ред. М.В. Романовского, О.В. Врублевской. - М.: Юрайт - Издат, 2004г. 17. Сенчагов В.К., Архипов А.И. Финансы, денежное обращение, кредит. - М. - ТК Велби, Издательство Проспект-2005г. 18. Семенов С.К. Деньги, кредит, банки: учеб. пособие/ С.К. Семенов. - М.: Экзамен, 2005г. 19. Основы банковского дела в Российской Федерации: учеб. пособие для вузов/ Под ред.О.Г. Семенюты. - Ростов -на - Дону: Феникс, 2003г. 20. Сорокина И.О. Анализ деятельности коммерческих банков: Учебно-методический комплекс/ Под ред.Л.И. Левиной. - Тольятти: Волжский ун-т им.В.Н. Татищева, 2006г. 21. Основы банковской деятельности (Банковское дело): учеб. пособие / Под ред. К.Р. Тагиберкова. - М.: Инфра - М, 2002г. 22. Тедеев А.А. Банковское право: Учебник. - М.: Изд-во Эксмо, 2005г. 23. Титова Н.Е. Деньги, кредит, банки: учеб. пособие для вузов/ Н.Е. Титова, Ю.П. Кожаев. - М.: Владос, 2003г. 24. Фетисов Г.Г. Укрепление устойчивости банковского сектора // Финансовый бизнес. - 2004г. 25. Кредитование реального сектора экономики коммерческими банками // Банковское дело. - 2004г. 26. Информационный портал "Экономика и финансы", "Кредиты. Виды кредитов" http://money. rin.ru 27. www.cbr.ru 28. http://www.gazbank.ru/ ПриложенияПриложение 1. Отчет о прибылях и убытках ЗАО АКБ "Газбанк" за 2007 год
Приложение 2. Отчет о прибылях и убытках ЗАО АКБ "Газбанк" за 2008 год
Приложение 3. Бухгалтерский баланс ЗАО АКБ "Газбанк" на 01.01.2007
Приложение 4. Бухгалтерский баланс ЗАО АКБ "Газбанк" на 01.01.2008
|
||||||||||||||||||||||||||||||||||||||||||||||||||||||||||||||||||||||||||||||||||||||||||||||||||||||||||||||||||||||||||||||||||||||||||||||||||||||||||||||||||||||||||||||||||||||||||||||||||||||||||||||||||||||||||||||||||||||||||||||||||||||||||||||||||||||||||||||||||||||||||||||||||||||||||||||||||||||||||||||||||||||||||||||||||||||||||||||||||||||||||||||||||||||||||||||||||||||||||||||||||||||||||||||||||||||||||||||||||||||||||||||||||||||||||||||||||||||||||||||||||||||||||||||||||||||||||||||||||||||||||||||||||||||||||||||||||||||||||||||||||||||||||||||||||||||||||||||||||||||||||||||||||||||||||||||||||||||||||||||||||||||||||||||||||||||||||||||||||||||||||||||||||||||||||||||||||||||||||||||||||||||||||||||||||||||||||||||||||||||||||||||||||||||||||||||||||||||||||||||||||||||||||||||||||||||||||||||||||||||||||||||||||||||||||||||||||||||||||||||||||||||||||||||||||||||||||||||||||||||||||||||||||||||||||||||




Откуда