Реферат: Трехфазный цепи
|
Название: Трехфазный цепи Раздел: Рефераты по физике Тип: реферат | ||||||||||||||||||||||||||||||||||||||||||||||||||||||||||||||||||
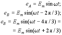
3.11 Трехфазные цепи. Трехфазные цепи являются частным случаем многофазных систем , под которыми понимают совокупность нескольких нагрузок и источников питания, имеющих одинаковую частоту и смещенных по фазе на некоторый угол друг относительно друга . Каждая пара источник-нагрузка может рассматриваться как отдельная цепь и называется фазой системы .
Соединение фаз системы между собой (рис. 1б)) придает ей особые качества, благодаря которым многофазные системы ( в особенности трехфазные) получили исключительное распространение в области передачи и преобразования электрической энергии. Одним из очевидных преимуществ связанной системы (рис. 1) является сокращение с шести до четырех числа проводников, соединяющих источники с нагрузкой. При благоприятных обстоятельствах это число может быть уменьшено до трех. В дальнейшем мы отметим целый ряд других преимуществ, которым обладают связанные системы. Любая многофазная система может быть симметричной и несимметричной. Симметрия системы определяется симметрией ЭДС, напряжений и токов. Под симметричной многофазной системой ЭДС, напряжений или токов понимают совокупность соответствующих величин, имеющих одинаковые амплитуды и смещенных по фазе на угол 2 p /m по отношению друг к другу, где m - число фаз системы . Если для обозначения фаз трехфазной системы использовать первые буквы латинского алфавита, то симметричную систему ЭДС можно записать в виде
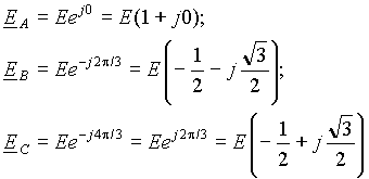
Аналогичные выражения можно написать и для токов и падений напряжения в симметричной трехфазной системе. Основное свойство симметричных многофазных систем заключается в том, что сумма мгновенных значений величин образующих систему в каждый момент времени равна нулю . Для изображений величин образующих систему это свойство означает равенство нулю суммы фазных векторов . В справедливости этого утверждения легко убедиться на примере трехфазной системы, если в области изображений сложить числа в скобках в правой части выражений (1). Многофазная система симметрична только тогда, когда в ней симметричны ЭДС, токи и напряжения. Если принять равными нулю внутренние сопротивления источников питания или включить их значения в сопротивления нагрузки, то условие симметрии системы сводится к симметрии ЭДС и равенству комплексных сопротивлений нагрузки. Это условие для трехфазной системы записывается в виде
В дальнейшем мы будем считать, что источники питания являются источниками ЭДС и использовать условия симметрии системы в виде выражений (1) и (2). В многофазные системы объединяют источники ЭДС и нагрузки. Для обеспечения правильного соотношения сдвига фаз при соединения или связывании системы в общем случае необходимо определить выводы элементов, по отношению к которым выполняются условия (1). Они называются начало и конец фазы источника или нагрузки. Для источников многофазной системы принято за положительное направление действия ЭДС от начала к концу. На электрических схемах, если это необходимо, начало и конец обозначают буквами латинского алфавита. На рис. 1 а) начала элементов соответствуют индексам XYZ , а концы - ABC . В дальнейшем мы будем использовать строчные буквы для нагрузки, а прописные для источников ЭДС.
Источники питания и нагрузки в многофазных системах в общем случае могут быть связаны разными способами. При анализе многофазных систем вводится ряд понятий, необходимых для описания процессов. Проводники, соединяющие между собой источники и нагрузку, называются линейными проводами , а проводник соединяющий нейтральные точки источников и нагрузки - нейтральным проводом . Электродвижущие силы источников многофазной системы (eA , E A , EA , eB , E B , EB , eC , E C , EC ), напряжения на их выводах (uA , U A , UA , uB , U B , UB , uC , U C , UC ) и протекающие по ним токи (iA , I A , IA , iB , I B , IB , iC , I C , IC ) называются фазными . Напряжения между линейными проводами (U AB , UAB , U BC , Uac , U CA , UCA ) называются линейными .
Построим векторную диаграмму для симметричной трехфазной системы фазных и линейных напряжений (рис. 3). В теории трехфазных цепей принято направлять вещественную ось координатной системы вертикально вверх. Каждый из векторов линейных напряжений представляет собой сумму одинаковых по модулю векторов фазных напряжений (U
ф
= UA
= UB
=UC
), смещенных на угол 60° . Поэтому линейные напряжения также образуют симметричную систему и модули их векторов (U
л
= UAB
= UBC
=UCA
) можно определить как Выражения (3) справедливы как для симметричной системы, так и для несимметричной. Из них следует, что векторы линейных напряжений соединяют между собой концы фазных (вектор U CA рис. 3). Следовательно, при любых фазных напряжениях они образуют замкнутый треугольник и их сумма всегда равна нулю . Это легко подтвердить аналитически сложением выражений (3) - U AB + U BC + U CA = U A -U B + U B -U C + U C -U A = 0. Тот факт, что геометрически векторы линейных напряжений соединяют концы векторов фазных, позволяет сделать заключение о том, что любой произвольной системе линейных напряжений соответствует бесчисленное множество фазных . Это подтверждается тем, что для создания фазной системы векторов при заданной линейной, достаточно произвольно указать на комплексной плоскости нейтральную точку и из нее провести фазные векторы в точки соединения многоугольника линейных векторов. Из уравнений Кирхгофа для узлов a , b и c нагрузки соединенной треугольником (рис. 2 б)) можно представить комплексные линейные токи через фазные в виде
В случае симметрии токов IA
= IB
= IC
= I
л
и Iab
= Ibc
= Ica
= I
ф
, поэтому для них будет справедливо такое же соотношение, как для линейных и фазных напряжений в симметричной системе при соединении звездой, т.е Перейдем теперь к рассмотрению конкретных соединений трехфазных цепей.
Ток в нейтральном проводе можно определить по закону Кирхгофа для нейтральной точки нагрузки. Он равен
Выражения (5) и (6) справедливы всегда, но в симметричной системе Z a = Z b = Z c = Z , поэтомуI N =I a +I b +I c = U A /Z a +U B /Z b +U C /Z c = (U A +U B +U C )/Z = 0, т.к. по условию симметрии U A +U B +U C =0. Следовательно, в симметричной системе ток нейтрального провода равен нулю и сам провод может отсутствовать. В этом случае связанная трехфазная система будет передавать по трем проводам такую же мощность, как несвязанная по шести. На практике нейтральный провод в системах передачи электроэнергии сохраняют, т.к. его наличие позволяет получать у потребителя два значения напряжения - фазное и линейное (127/220 В, 220/380 В и т.д.). Однако сечение нейтрального провода обычно существенно меньше, чем у линейных проводов, т.к. по нему протекает только ток, создаваемый асимметрией системы. При симметричной нагрузке токи во всех фазах одинаковы и смещены по отношению друг к другу на 120° . Их модули или действующие значения можно определить как I = U ф /Z . Векторные диаграммы для симметричной и несимметричной нагрузки в системе с нейтральным проводом приведены на рис. 4 б) и в).
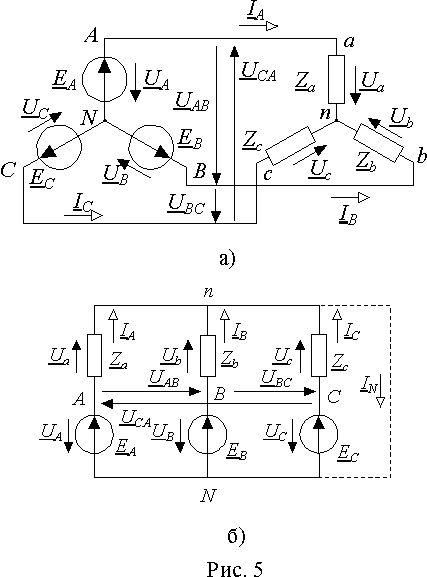
При несимметричной нагрузке между нейтральными точками источника и нагрузки возникает падение напряжения. Его можно определить по методу двух узлов, перестроив для наглядности схему рис. 5 а). В традиционном для теории электрических цепей начертании она будет иметь вид рис. 5 б). Отсюда
где Y a =1/Z a , Y b =1/Z b , Y c =1/Z c - комплексные проводимости фаз нагрузки.
Токи в фазах нагрузки можно определить по закону Ома
Векторные диаграммы для симметричной и несимметричной нагрузки приведены на рис. 6. Диаграммы симметричного режима (рис. 6 а)) ничем не отличаются от диаграмм в системе с нулевым проводом. Диаграммы несимметричного режима (рис. 6 б)) иллюстрируют возможность существования множества систем фазных напряжений для любой системы линейных. Здесь системе линейных напряжений U AB U BC U CA соответствуют две системы фазных. Фазные напряжения источника U A U B U C и фазные напряжения нагрузки U a U b U c. .
При этом фазы нагрузки оказываются подключенными на линейные напряжения U ab = U AB ; U bc =U BC ; U ca = U CA . Токи в фазах можно найти по закону Ома I ab = U ab /Z ab ; I bc = U bc /Z bc ; I ca = U ca /Z ca , а линейные токи из уравнений Кирхгофа для узлов треугольника нагрузки
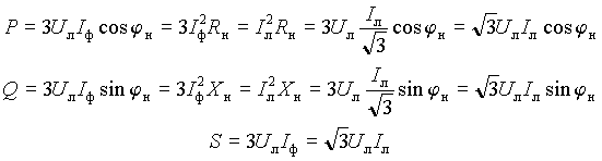
Векторы фазных токов нагрузки на диаграммах для большей наглядности принято строить относительно соответствующих фазных напряжений. На рис. 7 б) векторные диаграммы построены для случая симметричной нагрузки. Как и следовало ожидать, векторы фазных и линейных токов образуют симметричные трехфазные системы. На рис. 7 в) построена векторная диаграмма для случая разных типов нагрузки в фазах. В фазе ab нагрузка чисто резистивная, а в фазах bc и ca индуктивная и емкостная. В соответствии с характером нагрузки, вектор I ab совпадает по направлению с вектором U ab ; вектор I bc отстает, а вектор I ca опережает на 90° соответствующие векторы напряжений. После построения векторов фазных токов можно по выражениям (10) построить векторы линейных токов I A , I B и I C . Трехфазная цепь является совокупностью трех однофазных цепей, поэтому ее мощность может быть определена как сумма мощностей отдельных фаз. При соединении звездой активная мощность системы будет равна
а реактивная
Если нагрузка соединена треугольником, то активная и реактивная мощности будут равны
Полную мощность можно определить из треугольника мощностей как
Следует обратить внимание на то, что полная мощность трехфазной цепи не является суммой полных мощностей фаз . При симметричной нагрузке мощности всех фаз одинаковы, поэтому полная мощность и ее составляющие для соединения звездой будут равны
При соединении нагрузки треугольником
Из выражений (16) и (17) следует, что полная мощность трехфазной сети и ее составляющие при симметричной нагрузке могут быть определены по линейным токам и напряжениям независимо от схемы соединения . 3.5 Мощность цепи переменного тока.Понятие потенциала или разности потенциалов u позволяет определить работу, совершаемую электрическим полем при перемещении элементарного электрического заряда dq , как dA = udq . В то же время, электрический ток равен i = dq /dt . Отсюда dA = ui dt , следовательно, скорость совершения работы, т.е. мощность в данный момент времени или мгновенная мощность равна
где u и i - мгновенные значения напряжения и тока. Величины тока и напряжения, входящие в выражение (1), являются синусоидальными функциями времени, поэтому и мгновенная мощность является переменной величиной и для ее оценки используется понятие средней мощности за период. Ее можно получить, интегрируя за период T работу, совершаемую электрическим полем, а затем соотнося ее с величиной периода, т.е.
Пусть u =U m sinwt и I m sin(wt -j ), тогда средняя мощность будет равна
т.к. интеграл второго слагаемого равен нулю. Величина cos jназывается коэффициентом мощности . Из этого выражения следует, что средняя мощность в цепи переменного тока зависит не только от действующих значений тока I и напряжения U , но и от разности фаз j между ними. Максимальная мощность соответствует нулевому сдвигу фаз и равна произведению UI . При сдвиге фаз между током и напряжением в ± 90° средняя мощность равна нулю. Максимальные значения напряжения и тока любой электрической машины определяются ее конструкцией, а максимальная мощность, которую они могут развивать - произведением этих величин. Если электрическая цепь построена нерационально, т.е. сдвиг фаз j имеет значительную величину, то источник электрической энергии и нагрузка не могут работать на полную мощность. Поэтому в любой системе источник-нагрузка существует т.н. "проблема cos j ", которая заключается в требовании возможного приближения cosj к единице. Выражение (3) можно представить также с помощью понятий активных составляющих тока I а и напряжения U а в виде
Учитывая, что активные составляющие тока и напряжения можно выразить через резистивную состаляющую комплексного сопротивления цепи как I а =U /R или U а =IR , выражение (4) можно записать также в форме
Среднюю мощность P называют также активной мощностью и измеряют в ваттах [Вт]. Выделим подинтегральную функцию выражения (3)
Отсюда следует, что мгновенная мощность изменяется с двойной частотой сети относительно постоянной составляющей UI cosj равной средней или активной мощности. При cosj = 1 (j = 0) , т.е. для цепи, обладающей чисто резистивным сопротивлением
Временные диаграммы, соответствующие этому случаю приведены на рис. 1 а).
Положительные значения мгновенной мощности соответствуют поступлению энергии от источника в электрическую цепь . Следовательно, при резистивной нагрузке вся энергия поступающая от источника преобразуется в ней в тепло . При cosj = 0 (j = ±p /2) , т.е. для чисто реактивной цепи
Временные диаграммы, соответствующие чисто индуктивной и чисто емкостной нагрузке приведены на рис. 1 б) и г). Из выражений (8) и временных диаграмм следует, что мощность колеблется относительно оси абсцисс с двойной частотой, изменяя свой знак каждые четверть периода. Это означает, что в течение четверти периода (p > 0) энергия поступает в электрическую цепь от источника и запасается в магнитном или электрическом поле, а в течение следующей четверти (p < 0) она целиком возвращается из цепи в источник. Так как площади, ограниченные участками с положительной мощностью и с отрицательной одинаковы, то средняя мощность отдаваемая источником нагрузке равна нулю и в цепи не происходит преобразования энергии. В общем случае произвольной нагрузки 1 > cosj > 0 ( 1< |j | < p /2) и
Как следует из временных диаграмм рис. 1 в), большую часть периода мощность потребляется нагрузкой (p > 0), но существуют также интервалы времени, когда энергия запасенная в магнитных и электрических полях нагрузки возвращается в источник. Участки с положительным значением p независимо от характера реактивной составляющей нагрузки всегда больше участков с отрицательным значением, поэтому средняя мощность P положительна. Это означает, что в электрической цепи преобладает процесс преобразования электрической энергии в тепло или механическую работу . Рассмотрим энергетические процессы в последовательном соединении rLC (рис. 2). Падение напряжения на входе цепи уравновешивается суммой падений напряжения на элементах u =ur +uL +uC . Мгновенная мощность в цепи равна
Пусть напряжение и ток на входе равны u =U m sinwt и I m sin(wt -j ). Тогда падения напряжения на элементах будут ur = rI m sin(wt -j ), uL = wLI m sin(wt -j +p /2) = xL I m sin(wt -j +p /2), uC = I m sin(wt -j -p /2)/(w C) = xC I m sin(wt -j -p /2). Подставляя эти выражения в (9), получим
Уравнение (10) в левой и правой частях имеет постоянную и переменную составляющие. Постоянная составляющая представляет собой активную или среднюю мощность. Второе слагаемое в правой части это переменная составляющая активной мощности с амплитудой равной P = UI cosj . Третье слагаемое правой части также является переменной составляющей мгновенной мощности, но эта составляющая находится в квадратуре с переменной составляющей активной мощности и имеет амплитуду Q = UI sinj . Эту величину называют реактивной мощностью . Она равна среднему за четверть периода значению энергии, которой источник обменивается с магнитным и электрическим полями нагрузки. Реактивная мощность не преобразуется в тепло или другие виды энергии , т.к. ее среднее значение за период равно нулю. Реактивную мощность также можно представить через реактивные составляющие тока или напряжения
В отличие от всегда положительной активной мощности, реактивная мощность положительна при j > 0 и отрицательна при j < 0 . Из условия равенства переменных составляющих левой и правой частей уравнения (10) можно найти связь между P , Q и S = UI в виде
Величина S называется полной или кажущейся мощностью . Из выражения (12) следует, что полную мощность можно представить гипотенузой прямоугольного треугольника с углом j , катетами которого являются активная и реактивная мощности. Таким образом, полная мощность это максимально возможная активная мощность, т.е. мощность, выделяющаяся в чисто резистивной нагрузке (cosj = 0). Именно эта мощность указывается в паспортных данных электрических машин и аппаратов. Реактивные составляющие токов и напряжений можно представить через активные и реактивные составляющие комплексного сопротивления, тогда для составляющих мощности
Треугольник мощностей можно описать также с помощью комплексных чисел и изобразить векторами на комплексной плоскости в виде
где S
- комплексная полная мощность,
Очевидно, что все виды мощности имеют одинаковую размерность, поэтому для их отличия от активной мощности, измеряемой в ваттах [Вт], для полной мощности введена единица, называемая вольт-амперы [ВА], а для реактивной мощности - вольт-амперы реактивные [ВАр]
Для этого на вход цепи включают приборы по схеме рис. 4 и по их показаниям определяют коэффициент мощности в виде
где W, V и A - показания соответственно ваттметра, вольтметра и амперметра действующих значений. Из этого выражения можно также определить угол сдвига фаз j между током и напряжением на входе двухполюсника. ·Обзорные статьи ·Промо-статьи ·Презентации ·Качество электроэнергии ·Учебные пособия по электротехники для самостоятельного изучения ·Рефераты по электротехнике и радиоэлектронике Учебное пособие по курсу электротехники |
Если отдельные фазы системы не соединены между собой электрически (рис. 1 а)), то такую систему называют несвязанной
. Несвязанная система не обладает никакими особыми свойствами, и если между фазами отсутствует и магнитная связь, то такая совокупность цепей вообще не может рассматриваться как многофазная.


Связь линейных напряжений с фазными можно установить через разность потенциалов линейных проводов рис. 1 б) как uAB
= uAN
+ uNB
= uAN
-uBN
= uA
-uB
или в символической форме
Пусть фазы источника и нагрузки соединены звездой с нейтральным проводом (рис. 4а)). При таком соединении нагрузка подключена к фазам источника и U
A
= U
a
, U
B
= U
b
и U
C
= U
c.
, а I
A
= I
a
, I
B
= I
b
и I
C
= I
c
. Отсюда по закону Ома токи в фазах нагрузки равны
При отсутствии нейтрального провода сумма токов в фазах нагрузки равна нулю I
a
+I
b
+I
c
=0. В случае симметричной нагрузки режим работы системы не отличается от режима в системе с нейтральным проводом.
,
Напряжение U
nN
представляет собой разность потенциалов между нейтральными точками источника и нагрузки. По схеме рис. 5 б) его можно представить также через разности фазных напряжений источника и нагрузки U
nN
= U
A
-U
a
= U
B
-U
b
= U
C
-U
c
. Отсюда фазные напряжения нагрузки
В трехфазных цепях нагрузка и источник могут быть соединены по-разному. В частности нагрузка, соединенная треугольником, может быть подключена к сети, в которой источник питания соединен звездой (рис. 7 а)).

,
.



ui
=ur
i
+uL
i
+uC
i


,
Пользуясь представлением активной и реактивной составляющих мощности через активные и реактивные составляющие токов и напряжений (выражения (4) и (11)), треугольник мощностей можно построить в двух вариантах (рис. 3 а) и б)). В первом случае активная и реактивная составляющие полной мощности выражаются через активную и реактивную составляющие напряжения U
и треугольник мощностей получается изменением масштаба треугольника напряжений (рис. 3 а)). Во втором случае (рис. 3 б)), построение выполнено с помощью активной и реактивной составляющих тока I
.
Выражение для активной мощности P
= UI
cosj позволяет определить коэффициент мощности с помощью ваттметра, вольтметра и амперметра.
,