Доклад: Экономическая теория преступности (Р. Андерсон)
|
Название: Экономическая теория преступности (Р. Андерсон) Раздел: Рефераты по юридическим наукам Тип: доклад |
ЭКОНОМИЧЕСКАЯ ТЕОРИЯ ПРЕСТУПНОСТИ (Р. Андерсон) Брошюра английского экономиста-криминолога Р. Андерсона (Институт социальных и экономических исследований Йоркского университета) стала первым опытом обобщения исследований по экономике преступлений и наказаний и остается классическим трудом по данному направлению неоинституционализма. Представлены рефераты двух разделов этой книги (ч. 2, 5), в которой излагаются основы экономического анализа борьбы с преступностью(1). Социально-оптимальный уровень правонарушений Автор исследует проблему минимизации общественных потерь (social loss) от правонарушений. Для этого он сначала перечисляет выгоды и потери, возникающие вследствие деятельности преступников. 1. Правонарушители выигрывают [за счет] разницы между Wi и We (т. е. между нелегальной и легальной “зарплатой”. - Ю. Л.) и теряют, будучи присужденными к исправительному процессу F с вероятностью p . 2. Жертвы страдают: o прямо, теряя те блага, которые у них украли, или “приобретая” вред, нанесенный им; резонно полагать, что их потери, в общем, обратны выгодам нарушителей (особенно это касается воровства); o косвенно, подвергаясь альтернативным издержкам из-за [необходимости] принимать меры предосторожности для предотвращения преступлений против [своей] личности или собственности. 3. Общество коллективно расходует ресурсы на систему криминальной юстиции (criminal justice system), которая выявляет, задерживает, наказывает и исправляет правонарушителей…” (с. 22). Основными переменными, от которых зависят потери общества вследствие правонарушений правоохранительной системы, являются два элемента: p
- вероятность осуждения (probability of conviction) и Начиная с основополагающей статьи Г. Беккера, p и f принято рассматривать как контролируемые переменные (control variables), влияющие на уровень правонарушений, от которого и зависят потери общества. Эти потери включают три элемента. 1. Прямые (direct) потери D от правонарушений (offences), пропорциональные их количеству O: D=D(O) . Согласно подходу Г. Беккера, выгоды преступников при этом в расчет не принимаются. 2. Полицейские и судебные издержки (costs) C , возникшие при выявлении и задержании преступников, которые прямо зависят от O и p: C=C(p,O) . 3. Издержки общества (social costs) от наказания преступников, которые зависят от O , p и f : эти издержки составляют bpfO . Коэффициент b в этой формуле показывает, как чистые издержки общества зависят от формы наказания. Если, например, осужденного приговаривают к штрафу, то потери осужденного равны выигрышу других членов общества, и b=0 , поскольку отсутствуют чистые социальные потери общества как целого. Если же осужденный приговорен к тюремному заключению, то расходы на строительство тюрьмы, содержание штата охранников и т.д. не будут компенсироваться, следовательно, b=1 . Суммируя эти три элемента, получаем совокупные потери от преступности (total loss from crime), обозначенные как L: L=D(O) + C(p,O) + bpfO . Чтобы выяснить условия минимизации этих потерь, надо продифференцировать L относительно каждой из сдерживающих переменных p и f , приравняв затем полученные выражения к нулю:
Полученные выражения можно переписать, вставив в них показатели эластичности правонарушений относительно вероятности и строгости наказаний:
После соответствующих подстановок получаем следующие выражения:
Поскольку все слагаемые в знаменателе формулы Ef
положительны, то ее знаменатель больше числителя, следовательно, в условиях общественного оптимума Ef<1
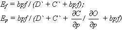
. Что касается формулы Ep
, то, поскольку Можно доказать при помощи эконометрических методов, что “условие Ep > Ef выполняется тогда и только тогда, если p и f таковы, что преступление не оплачивается (crime does not pay), т. е., используя условные обозначения А.Эрлиха, Wi-We < pf ” (с. 25). Полученный результат имеет высокую степень обобщенности: он не зависит ни от коэффициента b (формы назначаемых наказаний), ни от конкретной величины и структуры D (прямых потерь от преступлений). Оптимальность наказаний и правила распределения сил полиции Рассмотрим теперь правила субоптимизации (sub-optimisation), предполагая, что из двух контролируемых переменных, p и F , влиять можно лишь на одну, а другая является независимой. Именно такая ситуация и существует реально в системе юстиции: полиция слабо может повлиять на выносимый судом в отношении обвиняемых приговор, а суды не имеют прямого влияния на деятельность полиции. Выбор тяжести наказаний. Чтобы выяснить, каким должно быть наказание f за правонарушение, проанализируем условие равновесия: Ef = bpf / (D` + C` + bpf)
, где Это выражение можно переписать для понимания условий оптимизации наказаний в следующей форме:
Поскольку для оптимизации уровня преступности надо, как было указано ранее, чтобы Ef < 1 , то выражение (1/Ef - 1) станет в этих условиях положительным. Следовательно, f изменяется обратно вероятности пресечения правонарушения p и обратно общественным издержкам наказания b : одновременно f прямо зависит от величин D` и C` , которые можно интерпретировать как самый крупный предельный чистый ущерб от правонарушения и наибольшие издержки от пресечения правонарушения. Наконец, f прямо зависит от Ef - наиболее высокой эластичности правонарушений относительно наказаний. Следует заметить, что при определении Ef в расчет следует принимать сдерживание правонарушений не только тех, кто осужден и потому лишен возможности совершать новые преступления, но и всех потенциальных нарушителей. Выбор формы наказания. В предыдущем изложении предполагалось, что оптимизация наказания происходит в условиях, когда существует только единственная форма наказания. “Теперь мы проанализируем выбор между двумя [качественно различными] формами: тюремным заключением (imprisonment) и штрафом (fine). Обозначим единицу тюремного заключения как j , а единицу штрафа как m . Каковы правила выбора между штрафом и заключением (jail) за [одно и то же] правонарушение? Если [эти] две формы наказания альтернативны, правило заключается в осуществлении выбора [таким образом], чтобы L , совокупные общественные потери (total social loss), были в каждом случае наименьшими при оптимальном уровне правонарушений. В таком случае, штрафы предпочтительнее заключения, поскольку Lm < Lj ” (с. 50). Обозначим как
Обычно именно так и происходит. При равенстве прочих компонентов формулы bm -> 0 , поскольку штрафы являются трансфертом от одного лица к другим, и bj > 0 . Однако для серьезных правонарушений (где D` высок) оптимальный уровень [штрафа] m может быть так высок, что его невозможно собрать. Теперь bm -> беск. , или, в более общем виде, bm > bj , и тюремное заключение становится [более] соответствующим наказанием за подобное преступление” (с. 50). Но и для менее серьезных преступлений еще нельзя гарантировать преимущества штрафа, поскольку возможна ситуация, когда
По Г. Беккеру, левая часть этого уравнения - предельные издержки (MC - marginal cost) допущения роста уровня правонарушений вследствие сокращения тяжести наказаний, а правая часть - предельные выгоды (MB - marginal benefit) от этого. Сравним теперь две альтернативные формулы наказаний: o при штрафе - o при заключении - Левые части уравнений одинаковы, поскольку предельные издержки правонарушений одинаковы независимо от того, какова используемая форма наказания. Это можно изобразить в виде графика (рис. 1), где видно, что при переходе от заключения к штрафам общество получает чистую выгоду в размере заштрихованной зоны. Возможна и обратная ситуация, когда, наоборот, кривая MBm пройдет выше кривой MBj ; это будет наблюдаться, если Em < Ef . В этом случае заключение преступника предпочтительнее штрафа.
Рис. 1. Условия выбора между штрафом и заключением при непересекающихся кривых предельных выгод Наконец, возможен вариант, когда ни одна из этих кривых не будет идти выше другой на протяжении всего графика (рис. 2). В этом случае необходимо ориентироваться на изменения уровня предельных издержек: если их динамика соответствует линии MC1 , целесообразно применять штрафы; при сдвиге от MC1 к MC2 (это возможно при росте D` ) штрафы следует заменять тюремным заключением.
Рис. 2. Условия выбора между штрафом и заключением при пересекающихся кривых предельных выгод Если графики MB для штрафов и тюремного заключения совпадают, то возможен выбор любого из этих наказаний. Однако такое совпадение вряд ли будет типичным, поскольку трудно представить достаточно малое тюремное заключение за легкие правонарушения, типа dropping litter, и достаточно крупный штраф за тяжелые преступления, типа убийства. Кроме того, величины Ej и Em различны для разных категорий правонарушителей, совершающих одинаковые нарушения, поэтому может быть целесообразным штрафовать впервые совершившего правонарушение и заключать в тюрьму рецидивиста. Правила распределения сил полиции. “Независимо от [проблемы выбора] оптимального наказания уровень, структура и динамика деятельности полиции (police inputs) должны определяться исходя из того, что величина наказания не является контролируемой переменной: полиция имеет обычно мало возможностей контролировать вынесение приговора, поскольку это является функцией судебной системы как независимого [от полиции] института. Однако выгоды от деятельности полиции (их мы отождествляем с предупреждением правонарушений) совместно производятся системой криминальной юстиции как единым целым” (с. 53 - 54). Отсюда можно прийти к заключению, что оптимизация деятельности полиции непосредственно зависит от производительности работы других правоохранительных органов. Следовательно, “правило управления полицией [заключается] в выборе такого уровня действий, чтобы предельные социальные издержки всей системы криминальной юстиции сравнялись с предельной социальной ценностью (marginal social value) от предотвращенных правонарушений” (с. 54). Р. Андерсен особо подчеркивает, что было бы неверным, если бы полиция стремилась выравнивать предельные выгоды общества от предотвращенных правонарушений только с ее собственными предельными издержками, не обращая внимания на издержки других органов правопорядка. Важность этого принципа автор конкретизирует на примере выбора оптимальной структуры деятельности сил полиции. Полиция может усиливать предупреждение преступлений двумя путями: o либо она будет поддерживать правопорядок в наиболее криминогенных районах; o либо она будет обнаруживать и задерживать преступников, уже совершивших правонарушения. Расходы на превентивное патрулирование станут чисто полицейскими издержками; тактика (1) не приведет к возникновению издержек в других органах системы правосудия. Напротив, тактика (2) - обнаружение и задержание нарушителей - обязательно вызовет рост последующих издержек (downstream costs). Следовательно, при планировании соотношения видов деятельности типа (1) и типа (2) управление полиции обязательно должно учитывать эти последующие издержки. Такой подход ведет к созданию системы уравнений, каждое из которых описывает средние затраты в различных органах правопорядка, вызванные раскрытием конкретного правонарушения. Список литературы Составлено по: Buchanan J.M . A Defence of Organized Crime? // The Economics of Crime. Cambr., Mass., 1980. P. 395 - 410. Интересно отметить, что первоначально (в 1973 г. в сборнике “The Economics of Crime and Punishment”) эта статья была опубликована под более выразительным названием “В защиту организованной преступности” (“In Defence of Organized Crime”). (2)См., например: Нобелевские лауреаты по экономике: Биобиблиографический словарь. 1969 - 1992. М., 1994. С. 156 - 162; Мильчакова Н. Игра по правилам: “общественный договор” Джеймса Бьюкенена // Вопр. экономики. 1994. № 6. С. 114 - 121; Кокорев В. Концепции конституционного выбора: между мечтаниями Платона и анархо-синдикализмом // Вопр. экономики. 1997. № 7. |




