Курсовая работа: Программирование цифрового фильтра
|
Название: Программирование цифрового фильтра Раздел: Рефераты по информатике Тип: курсовая работа | ||||||||||||||||||||||||||||||||
Задание: Выполнить программную реализацию цифрового фильтра, задаваемого импульсной хар-кой вида
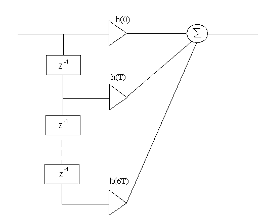
Фильтр - нерекурсивный. Число отсчетов – 7. Структурная схема фильтра:
МОСКОВСКИЙ ГОСУДАРСТВЕННЫЙ ИНСТИТУТ РАДИОТЕХНИКИ, ЭЛЕКТРОНИКИ И АВТОМАТИКИ. (ТЕХНИЧЕСКИЙ УНИВЕРСИТЕТ) Курсовая работа По предмету: Цифровые устройства и МП. По теме: «Программирование цифровых фильтров» Выполнил студент группы …… ……….. 1999г. Промежуточные вычисления. Значение А0 выберем таким образом, чтобы коэффициенты были меньше единицы,но не были меньше 1/256. Это связано с тем, что коэффициенты представлены в виде дробных чисел длинны 8 бит. A0=0.9 Произведя вычисления, получим импульсную хар-ку вида:
|

