Курсовая работа: Логистическая оптимизация деятельности предприятия на примере ООО Совлит
|
Название: Логистическая оптимизация деятельности предприятия на примере ООО Совлит Раздел: Рефераты по маркетингу Тип: курсовая работа | |||||||||||||||||||||||||||||||||||||||||||||||||||||||||||||||||||||||||||||||||||||||||||||||||||||||||||||||||||||||||||||||||||||||||||||||||||||||||||||||||||||||||||||||||||||||||||||||||||||||||||||||||||||||||||||||||||||||||||||||||||||||||||||||||||||||||||||||||||||||||||||||||||||||||||||||||||||||||||||||||||||||||||||||||||||||||||||||||||||||||||||||||||||||||||||||||||||||||||||||||||
Федеральное государственное образовательное учреждение высшего профессионального образования Калининградский государственный технический университет Кафедра управления производством Курсовая работа Логистическая оптимизация деятельности предприятия на примере ООО "Совлит" Работу выполнила студентка группы 06-МО Байоринайте Р.В. Руководитель к.э.н., доцент Паршина Л. П. Калининград, 2010 Содержание Введение 1. Технико-экономическая характеристика ООО «Совлит»» 1.1 Общие сведения (историческая справка) 1.2 Динамика основных показателей деятельности предприятия 1.3 Характеристика организационной структуры ООО «Совлит» 1.4 Оценка целесообразности реорганизации организационной структуры и возможности выделения единой логистической службы 1.5 Состав основных функций логистической службы 2. «Разработка логистической системы на базе ООО «Совлит» 2.1 Разработка логистической системы 2.2 Характеристика материальных, финансовых и информационных потоков 2.3 Характеристика логистических операций (активностей) 3. «Логистическая оптимизация деятельности ООО «Совлит» 3.1 Заготовительная (закупочная) логистика 3.2 Логистика запасов 3.3 Распределительная логистика 3.4 Транспортная логистика 3.5 Экономическая оценка эффективности предложенных мероприятий Заключение Список литературы Приложение 1 В период становления рыночных отношений в России появилось и стало активно развиваться новое научно-практическое направление - логистика. Интерес к ней обусловлен потребностями развития экономики и бизнеса, возросшими объёмами грузовых перевозок. Первоначально усилия фирм были направлены в основном на снижение производственной себестоимости продукции. В настоящее время, когда предложение повсеместно стало превышать спрос, предприниматели начали признавать также важность обеспечения сбыта за счет снижения транспортных и складских издержек. Новые принципы организации и управления, основанные на концептуальных подходах и методе мышления, объединяемых общим понятием "логистика", все в большей степени и с успехом применяются на практике наиболее эффективно функционирующими предприятиями, транспортными компаниями, фирмами и объединениями. В настоящее время насчитывается множество видов логистики. Вот некоторые из них: - транспортная логистика (и автотранспортная логистика в частности) - складская логистика (логистика складирования) - коммерческая логистика - информационная логистика - маркетинговая логистика - закупочная логистика - производственная логистика - промышленная логистика - логистика распределения (распределительная или сбытовая логистика). Повышенный интерес к этой науке как в мировой, так и в российской экономике обусловлен рядом факторов: быстрым ростом затрат на транспортировку, фундаментальными изменениями в философии запасов, созданием продуктовых каналов, бурным развитием компьютерных технологий, переходом от концепции рынка продавца к концепции рынка покупателя. Иностранный опыт показывает, что логистике принадлежит стратегически важная роль в современном бизнесе. С позиции бизнеса под логистикой понимают эффективное управление материальными и сопутствующими (информационными, финансовыми, сервисными) потоками для достижения корпоративных целей с оптимальными затратами всех ресурсов. Внедрение методов логистического менеджмента в практику бизнеса позволяет фирмам значительно сократить все виды запасов продукции в производстве, снабжении и конечно же сбыте, ускорить оборачиваемость оборотного капитала, снизить себестоимость производства и затраты в дистрибуции, обеспечить наиболее полное удовлетворение потребителей в качестве товаров и сервиса. Целью курсовой работы является анализ управления на предприятии с помощью современных логистических методов, логистическая оптимизация деятельности предприятия, вследствие чего разработка мероприятий по усовершенствованию работы компании.Актуальность данной темы заключается в том, что эффективное управление в современных условиях рынка - необходимое условие повышения эффективности бизнеса, создания, развития и реализации конкурентных преимуществ предприятия.Предмет исследования - организация управления на предприятии.Объект исследования – ООО «Совлит». Основным видом деятельности рассматриваемого предприятия является производство безалкогольных газированных напитков, сокосодержащих напитков, питьевой воды и минеральной газированной воды.1. «Технико-экономическая характеристика ООО «Совлит» 1.1Общие сведения (историческая справка)Общество с ограниченной ответственностью «Совлит» образовано в июне 1997г. Генеральный директор предприятия – Сапожников Андрей Вячеславович. Компания имеет отличную деловую репутацию и обширный список клиентов и осуществленных проектов. Успешному развитию сотрудничества ООО «Совлит» с постоянными клиентами способствуют гибкая ценовая политика и индивидуальный подход к каждому партнеру. Основными критериями при выборе поставляемой компанией продукции являются ее надежность. Такой подход в сочетании с высокой квалификацией специалистов позволяют решать задачи любой категории сложности. ООО «Совлит» использует профессиональный опыт, накопленный ведущими специалистами, а также опирается на проверенные и перспективные технологии. ООО «Совлит» – динамично развивающаяся компания, нацеленная на увеличение объемов реализации товаров, работ и услуг. Деятельность предприятия характеризуется не только постоянно растущими объемами реализации, увеличением рентабельности и чистой прибыли, пополнением и модернизацией основных фондов, но и грамотной целенаправленной кадровой политикой, ориентированной на подбор квалифицированного персонала. Практически все сотрудники административно-управленческого аппарата и более половины производственного персонала ООО «Совлит» работают с момента его создания, имеют соответствующие занимаемым должностям квалификации и практический опыт работы в сфере высоких технологий Основной вид деятельности - производство и реализация безалкогольных газированных напитков, сокосодержащих напитков, питьевой воды и минеральной газированной воды. Производственное оборудование размещено на собственных площадях. Имеются оборудованные склады для исходных материалов и для запаса готовой продукции. Местонахождение ООО «Совлит»: 238750, г.Советск, ул.Некрасова, д.4. ООО «Совлит» использует профессиональный опыт, накопленный ведущими специалистами, а также опирается на проверенные и перспективные технологии, разрабатывает новые нестандартные решения. ООО «Совлит» – динамично развивающаяся компания, нацеленная на увеличение объемов реализации товаров, работ и услуг. Предприятие самостоятельно планирует свою производственно-хозяйственную, финансовую и иную деятельность на основании договоров или других форм обязательств, и свободно в выборе их предмета, порядка хозяйственных взаимоотношений и определения ответственности договаривающихся сторон по взятым обязательствам. Предприятие действует, исходя из принципа полного хозрасчета, самофинансирования и самоокупаемости, осуществляет самостоятельный учет результатов работы, ведет оперативный бухгалтерский и статистический учет, контроль в порядке, установленном законодательством РФ. Деятельность предприятия характеризуется грамотной целенаправленной кадровой политикой, ориентированной на подбор квалифицированного персонала. Практически все сотрудники административно-управленческого аппарата и более половины производственного персонала ООО «Совлит» работают с момента его создания, имеют соответствующие занимаемым должностям квалификации и практический опыт работы. 1.2 Динамика основных показателей деятельности предприятия Таблица 1. - Основные экономические показатели ООО “Совлит” в 2008-2009 гг.
Таким образом, из данной таблицы можно сделать вывод, что состояние фирмы улучшилось и об этом говорит динамика следующих показателей: · выручка увеличилась на 856 тыс. руб.; · фондоотдача увеличилась на 199%; · значительно возросла рентабельность реализации на 16,6%; 1.3 Характеристика организационной структуры ООО «Совлит»На предприятии существует линейно-функциональная структура управления, когда руководство фирмой осуществляется не только из центра, но и непосредственно на рабочих местах: в каждом хозяйственном подразделении предприятия действует тщательно подобранный персонал, координирующий работу конкретного субъекта в соответствии с генеральной стратегией фирмы.
Рис.1. Организационная структура управления ООО «Совлит».Основной производственный процесс осуществляется под руководством главного технолога, в подчинении которого находятся специалисты, непосредственно осуществляющие производство товарной продукции на двух производственных участках – участок по производству безалкогольных газированных напитков, сокосодержащих напитков и минеральной газированной воды, участок по производству питьевой воды. Главный технолог обеспечивает контроль за работой, также осуществляет контроль за качеством готовой продукции, организует контроль за качеством поступающего на предприятие сырья, материалов, полуфабрикатов. Реализацией продукции фирмы руководит коммерческий директор, в подчинении у которого находятся отдел реализации и отдел рекламы. В обязанности сотрудников отдела реализации входит заключение договоров на поставку продукции, формирование портфеля заказов на определенные виды продукции для конкретных заказчиков, контроль за осуществлением поставок и оплатой поставленной потребителям продукции. Обязанности сотрудников отдела рекламы состоят в проведении маркетинговых исследований, разработки форм, методов и средств стимулирования сбыта, разработки и осуществление рекламной компании. Под руководством главного бухгалтера предприятия осуществляется учетный процесс. Главный бухгалтер несет ответственность за формирование учетной политики, ведение бухгалтерского учета, своевременное представление полной и достоверной бухгалтерской отчетности. В подчинении главного бухгалтера находится бухгалтерия. Бухгалтерия осуществляет ведение всего синтетического и аналитического учета на основе первичных и сводных документов, поступающих из отдельных подразделений организации, осуществляет учет средств предприятия и хозяйственных операций с материальными и денежными ресурсами, устанавливает результаты финансово-хозяйственной деятельности предприятия. В самих подразделениях осуществляют лишь первичную регистрацию хозяйственных операций. Под руководством главного экономиста предприятия осуществляется плановая, аналитическая и финансовая деятельность фирмы. Главный экономист руководит работой по планированию и экономическому стимулированию на предприятии, повышению производительности труда, выявлению и использованию производственных резервов улучшению организации производства, труда и заработной платы, организации внутризаводского хозрасчета. Ему подчиняется планово-экономический отдел. Планово-экономический отдел под руководством главного экономиста разрабатывает экономическую политику предприятия, рассчитывает рентабельность продаж и определяет стоимость ремонтных работ, разрабатывает годовые, квартальные планы предприятия и отдельных цехов, контролирует их выполнение, определяет пути устранения недостатков, организует и совершенствует внутризаводское и внутрицеховое планирование, разрабатывает нормативы для образования фондов экономического стимулирования, ведет оперативный статистический учет и представляет на утверждение проекты, цены на новую продукцию, изучает и внедряет передовой опыт в организации планово-экономической работы. В обязанности заместителя директора по общим вопросам входит обеспечение предприятия квалифицированными работниками, организация снабжения производства материалами, оборудованием, обеспечение общего функционирования предприятия. Линейно-функциональная структура лучше всего отвечает потребностям производства небольшого ассортимента продуктов, при условии их тесной технологической взаимозависимости. Именно такое производство осуществляется в ООО «Совлит». Поэтому наличие эффективной организационной структуры положительно сказывается на деятельности предприятия. 1.4 Оценка целесообразности реорганизации организационной структуры и возможности выделения единой логистической службыВ современных условиях в ряде крупных промышленных организаций произошел процесс дезинтеграции, результатом которого явилась раздробленность функций управления единым технологическим процессом. Деятельность многочисленных участников снабжения не координируется единым органом управления, и ответственности за конечные результаты совместной работы каждое из этих подразделений не несет. В связи с этим сложившиеся условия организации материально-технического снабжения тесно связаны с усилением интеграционных процессов в цепи поставок, которые обусловливают изменение функций управления экономическими потоками на основе формирования логистического центра. Создание логистического центра в ООО «Совлит» осуществляется путем формирования организационно - функциональной структуры на основе делегирования части функций планирования, организации и контроля информационно – логистическому отделу логистического центра, осуществляющего формирование и координацию цепей поставок строительных материалов путем информационного обмена между всеми участниками процесса снабжения и сосредоточения регулирующих функций в рамках единого логистического подразделения. Основу внутреннего организационно-функционального взаимодействия между подразделениями логистического центра составляет обеспечение информационного обмена между линейными, производственными службами, аппаратом управления и информационно - логистическим отделом, что позволяет осуществлять координацию и контроль за движением материальных и иных потоков в процессе снабжения (рис. 2).
Рис. 2. Внутреннее организационно – функциональное взаимодействие участников логистического центра. Внешний логистический контурпо организации взаимодействия между информационно – логистическим отделом и другими участниками цепей поставок представлен на рис. 3. Информационное взаимодействие между логистическим отделом и производственными подразделениями логистического центра, аппаратом управления, а также другими участниками цепей поставок носит двусторонний характер, определяющий наличие обратной связи, позволяющей осуществлять информационно – логистическим подразделением контроль и координацию каждой логистической операции.
Рис. 3. Механизм внешнего информационного взаимодействия логистического центра и участников цепи поставок. Следовательно, из всего вышесказанного можно представить новую организационную структуру ООО «Совлит»
Рис. 4. Организационная структура ООО «Совлит» после введения логистической службы Из организационной структуры были ликвидированы такие участки как отдел реализации и отдел снабжения. Теперь они реорганизованы в единый отдел - логистическую службу. 1.5 Состав основных функций логистической службыКак уже было сказано, в логистическую службу теперь входят такие отделы как отдел снабжения и отдел реализации товарной продукции. Реализацией продукции фирмы руководит коммерческий директор, в подчинении у которого находятся логистическая служба (отдел реализации и отдел снабжения) и отдел рекламы. В обязанности отдела реализации продукции входит: 1. Осуществление рациональной организации реализации продукции предприятия, ее поставку потребителям в сроки и объеме в соответствии с заказами и заключенными договорами. 2. Обеспечение отдела в подготовке прогнозов, проектов перспективных и текущих планов производства и реализации продукции, проведении маркетинговых исследований по изучению спроса на продукцию предприятия, перспектив развития рынков реализации. 3. Организация подготовки и заключение договоров на поставку продукции потребителям, согласование условий поставок. 4. Возглавляет работу по составлению планов поставок и их увязку с планами производства с целью обеспечения сдачи готовой продукции производственными подразделениями в сроки, по номенклатуре, комплектности и качеству в соответствии с заказами и заключенными договорами. 5. Принимает меры по выполнению плана реализации продукции, своевременному получению нарядов, спецификаций и других документов на поставку. 6. Обеспечивает контроль выполнения подразделениями предприятия заказов, договорных обязательств, состояние запасов готовой продукции на складах. 7. Организует приемку готовой продукции от производственных подразделений на склады, рациональное хранение и подготовку к отправке потребителям, определение потребности в транспортных средствах, механизированных погрузочных средствах, таре и рабочей силе для отгрузки готовой продукции. 8. Осуществляет разработку и внедрение стандартов предприятия по организации хранения, реализации и транспортировки готовой продукции, а также мероприятий по совершенствованию сбытовой сети, форм доставки продукции потребителям, сокращению транспортных затрат, снижению сверхнормативных остатков готовой продукции и ускорению сбытовых операций. 9. Принимает участие в организации выставок, ярмарок, выставок-продаж и других мероприятиях по рекламе продукции. 10. Организует оптовую торговлю выпускаемой предприятием продукции. 11. Принимает меры по обеспечению своевременного поступления средств за реализованную продукцию. 12. Участвует в рассмотрении поступающих на предприятие претензий потребителей и подготовке ответов на предъявленные иски, а также претензий потребителям и нарушении ими условий договоров. 13. Обеспечивает учет выполнения заказов и договоров, отгрузки и остатков нереализованной готовой продукции, своевременное оформление сбытовой документации, составление предусмотренной отчетности по сбыту (поставкам), о выполнении плана реализации. 14. Координирует деятельность складов готовой продукции, руководит работниками отдела. Основные функции (обязанности) подотдела снабжения, входящего в отдел логистики: 1. Разрабатывает политику предприятия по вопросам материально-технического обеспечения. 2. Руководит разработкой проектов перспективных, текущих планов и балансов материально-технического обеспечения производственной программы. 3. Принимает участие в расчетах нормативов производственных запасов на основе определения потребностей в материальных ресурсах (сырье, материалах, полуфабрикатах, оборудовании, комплектующих изделиях и т.д.). 4. Руководит разработкой и внедрением программ по непрерывному обеспечению предприятия материально-техническими ресурсами, необходимыми для производства. 5. Осуществляет поиск поставщиков, ориентируясь на качество предлагаемых материально-технических ресурсов, цену, сроки поставок, благоприятные условия поставок. 6. Развивает отношения с поставщиками, анализирует их производственные и финансовые возможности, изучает возможность и целесообразность установления прямых долгосрочных хозяйственных связей по поставкам материально-технических ресурсов. 7. Подготавливает и корректирует преддоговорную документацию. 8. Проводит переговоры с поставщиками с целью размещения заказов и согласования условий и сроков поставок. 9. Заключает договоры с поставщиками. 10. Организует изучение оперативной маркетинговой информации и рекламных материалов о предложениях мелкооптовых продавцов и оптовых ярмарок с целью выявления возможности приобретения материально-технических ресурсов в порядке оптовой торговли, а также закупки материально-технических ресурсов, реализуемых в порядке свободной продажи. 11. Обеспечивает доставку материальных ресурсов от поставщиков и продавцов в соответствии с предусмотренными в договорах условиями и сроками. 12. Организует обработку поставок материально-технических ресурсов (приемку по количеству и комплектности, идентификацию качества, составление необходимой приемочной документации, внутреннее перемещение в места хранения или производственные подразделения предприятия). 13. Подготавливает претензии к поставщикам при нарушении ими договорных обязательств, контролирует составление расчетов по этим претензиям, согласовывает с поставщиками изменения условий заключенных договоров. 14. Периодически оценивает условия действующих договоров на предмет качества исполнения обязательств поставщиками для принятия решений о поиске новых поставщиков, изменению схем работы с поставщиками. 15. Организует контроль за состоянием запасов материально-технических ресурсов, оперативным регулированием производственных запасов на предприятии, соблюдением лимитов на отпуск материальных ресурсов и их расходованием в подразделениях предприятия по прямому назначению. 16. Руководит разработкой и внедрением мероприятий по: — повышению эффективности использования материально-технических ресурсов; — снижению затрат, связанных с транспортировкой и хранением материально-технических ресурсов; — совершенствованию системы контроля за расходованием материально-технических ресурсов; — выявлению и реализации излишков материально-технических ресурсов. 17. Разрабатывает предложения по замене дорогостоящих материально-технических ресурсов более доступными по цене и возможностям приобретения, но в то же время точно отвечающими требованиям по качеству. 18. Координирует работы по разработке и поддержанию баз данных по закупкам, содержащим оперативную информацию, необходимую для определения потребностей в материально-технических ресурсах, источниках их закупок, расходов на закупки, пр. 19. Организует составление: — заявок на материально-технические ресурсы (сводных годовых, годовых, квартальных, месячных); — актов, заключений о качестве поступающих материально-технических ресурсов. 2. Разработка логистической системы на базе ООО «Совлит» 2.1 Разработка логистической системыСхема логистической системы Логистическая система ООО «Совлит» является эшелонированной (многоуровневой). Это система, при которой материальный поток доводится до потребителя с участием как минимум одного посредника. ООО «Совлит» производит свой товар, затем происходит процесс сбыта продукции постоянным клиентам (они-то и являются посредниками в данной логистической системе), далее фирмы-посредники доводят товар ООО «Совлит» до конечного потребителя
Рис. 5. Схема логистической системы Схема логистической сети Логистическая сеть ООО «Совлит» состоит из множества звеньев: 1. Поставщики. 2. Производство. 3. Склад готовой продукции (распределительный центр). 4. Фирмы-посредники: “Klaipeda”, “ФАРТ”, “Вестер”, “Виктория”, “Седьмой континент” и другие. Они так же имеют свой транспорт, который доставляет продукцию ООО «Совлит» до конечного потребителя. Схема логистической сети представлена на рис.6. Рис. 6. Схема логистической сети
Схема логистической цепи представлена на рисунке 6а.
Рис. 6а Схема логистической цепи Свойства логистической системы Любой логистической системе характерны определенные общие особенности, которые необходимо учитывать. Очень важно контролировать целостность (членимость) логистической системы. Все подразделения «Совлит» представлены как совокупность элементов, взаимодействующих друг с другом. Элементы существуют лишь в системе, дополняя друг друга. Они выполняют различные функции, но преследуют единую цель, продвигая товар к потребителю. Вне системы – это лишь объекты, обладающие потенциальной способностью образования системы. Только скоординированная деятельность и четко распределенные обязанности помогут достичь ожидаемого результата. Между элементами логистической системы имеются существенные связи, которые обуславливают интегративные качества системы. Внутрипроизводственные отношения компании должны быть более мощны, чем связи подразделений с внешней средой. Связи всех подразделений определенным образом упорядочены, вся деятельность организованна. Существует четкая иерархичность, все внутрипроизводственные отношения формируются из подчиненности элементов более низкого уровня более – высокому (это можно заметить исходя из организационной структуры предприятия). И, наконец, вся система обладает интегративными качествами, не свойственными ни одному из подразделений в отдельности - эмерджентность. Благодаря этому свойству системы, компания может поставить нужный товар в нужное время, в нужное место, необходимого качества, с минимальными затратами, а также адаптироваться к изменяющимся условиям внешней среды (изменение спроса и предложения). Интегративные качества логистической системы «Совлит» позволяют ей закупать материалы, пропускать их через свои производственные мощности и выдавать во внешнюю среду, достигая при этом заранее намеченных целей. Главной целью логистики является обеспечение конкурентоспособных позиций организации бизнеса на рынке. Это логистика добивается посредством управления потоковыми процессами на основе правил: Доставка с минимальными издержками необходимой конкретному покупателю продукции соответствующего качества и соответствующего количества в нужное время и в нужное место (7 правил логистики). 2.2 Характеристика материальных, финансовых и информационных потоков Объединение логистических операций в логистические функции, прежде всего, зависит от вида логистической системы, т.е. набора функциональных подсистем в конкретной логистической системе. ООО «Совлит»
Рис. 7. Схема движения материальных, информационных и финансовых потоков По отношению к логистической системе материальный поток может быть: 1. внешним, 2. внутренним, 3. входным, 4. выходным. Внутренний материальный поток образуется в результате логистической операции внутри предприятия, то есть между подразделениями компании.
Рис.8. Внутренние материальные потоки Материальный поток, протекающий во внешней для компании среде, то есть материальный поток от поставщика на предприятие и от предприятия к потребителю – это внешний материальны поток. Входной материальный поток поступает в логистическую систему из внешней среды, от поставщика. Выходной материальный поток поступает из логистической системы во внешнюю среду, к потребителю. При сохранении на предприятие запасов на одном уровне входной материальный поток будет равен выходному. По натурально – вещественному составу и количественному признаку, материальный поток на предприятии «Совлит» представлен средними, а порой и крупными оптовыми поставками, многоассортиментной группы товаров. По консистенции встречаются все, материальные потоки представлены в тарно – штучном виде. Материальный поток, находящийся без движения становится запасом. То есть такой материальный поток не является непрерывным во времени, дискретный материальный поток. Все действия, прикладываемые к материальным потокам, называются логистической операцией или функцией, логистической активностью. К элементарной логистической активности относятся такие действия как погрузка и разгрузка товара на промежуточном складе, перегрузка с одного вида транспорта на другой при необходимости, сортировка, маркировка товара непосредственно на предприятие и т.д. Что касается информационных и финансовых потоков, то элементарная логистическая активность представлена сбором, хранением и передачей информации о материальном потоке, расчеты с поставщиком и копателями т.д. Центральная система управления не вмешивается в обмен материальными потоками между различными участками предприятия, не устанавливает для них текущих производственных заданий. Производственная программа отдельного технологического звена определяется размером заказа последующего звена. Центральная система управления ставит задачу лишь перед конечным звеном производственной технологической цепи. Таким образом, материальный поток «вытягивается» каждым последующим звеном. Причем персонал отдельного подразделения в состоянии учесть гораздо больше специфических факторов, чем смогла бы это сделать центральная система управления. 2.3 Характеристика логистических операций (активностей)Все действия, прикладываемые к материальным потокам называются логистической операцией или функцией (логистической активностью). К элементарной логистической активности относятся такие действия как погрузка и разгрузка товара на промежуточном складе, перегрузка с одного вида транспорта на другой при необходимости, сортировка, маркировка товара непосредственно на предприятие и т.д. Разгрузка и приемка (снабжение сырьем и материалами) При осуществлении этих операций ООО «Совлит» ориентируется на условия поставки заключенного договора. Соответственно подготавливаются места разгрузки под указанное транспортное средство (трейлер, фура) и необходимое погрузочно-разгрузочное оборудование. Разгрузка осуществляется на разгрузочных автомобильных рампах и контейнерных площадках. Специальное оснащение мест разгрузки на территории ООО «Совлит» и правильный выбор погрузочно-разгрузочного оборудования позволяют эффективно проводить разгрузку (в кратчайшие сроки и с минимальными потерями груза). Проводимые на данном этапе операции включают: · разгрузку транспортных средств, · контроль документального и физического соответствия заказов поставки, · документальное оформление прибывшего груза через информационную систему, · формирование складской грузовой единицы. Защитная упаковка Перемещение продукта от производителя к потребителю является неминуемой предпосылкой реализации его потребительной стоимости. При этом важно обеспечить полную сохранность количества, качества и товарного вида продукции на всем пути ее следования. В процессах дистрибьюции готовой продукции производителей важная роль принадлежит защитной упаковке. С целью защиты продукции от механических, климатических, биологических и других воздействий и обеспечения ее качественной сохранности при транспортировании и хранении ООО «Совлит» применяют упаковку. Наряду с основной своей функцией – обеспечивать сохранность упакованного товара – тара выполняет и другие. Она способствует ускорению передачи товарно-материальных ценностей от производителей потребителям: облегчает перемещение продукции при погрузочно-разгрузочных работах и внутрискладских операциях: улучшает учет и организацию сбыта продукции; повышает эффективность использования транспортных средств и складских помещений. Складирование и хранение Процесс складирования и хранения включает: а) закладку груза на хранение, б) хранение груза и обеспечение соответствующих для этого условий, в) контроль за наличностью запасов на складе, осуществляемый через информационную систему. Складирование запасов ООО «Совлит» происходит в распределительном центре (на складе). За него отвечает одно ответственное лицо, которое ведет учет запасов.Следует также отметить, что склад рационально размещен на территории ООО «Совлит» и обеспечивает тем самым наибольшую его функциональную эффективность.Комплектация заказов и отгрузкаПроцесс комплектации сводится к подготовке товара в соответствии с заказами потребителей. Комплектация и отгрузка заказов включают: а) получение заказа клиента (отборочный лист), б) отбор товара каждого наименования по заказу клиента, в) комплектацию отобранного товара для конкретного клиента в соответствии с его заказом, г) подготовку товара к отправке (укладывание в тару, на товароноситель), д) документальное оформление подготовленного заказа и контроль за подготовкой заказа, е) объединение заказов клиентов в партию отправки и оформление транспортных накладных, ж) отгрузку грузов в транспортное средство. Комиссионирование заказов клиентов проводится в зоне комплектации. Подготовка и оформление документации осуществляется через информационную систему. Адресная система хранения позволяет указывать в отборочном листе место отбираемого товара, что значительно сокращает время отборки и помогает отслеживать отпуск товара со склада. При комплектации отправки благодаря информационной системе облегчается выполнение функции объединения грузов в экономичную партию отгрузки, позволяющую максимально использовать транспортное средство. При этом выбирается оптимальный маршрут доставки заказов. Отгрузка ведется на погрузочной рампе (требование к проведению эффективной отгрузки аналогичны требованиям к разгрузке). Сбыт В основе сбытовой стратегии компании лежит индивидуальная работа с каждым клиентом, осуществление полного комплекса работ, начиная со стадии «проект» и заканчивая подписанием акта выполненных работ. Компания ведет постоянную работу по привлечению корпоративных клиентов, используя различные методы стимулирования продаж: сезонные скидки, рассылка сертификатов для VIP-клиентов, дающих право на 5%-ную скидку, проведение лотерей, розыгрышей с вручением призов. В случае возникновения ценовой конкуренции предпринимаются шаги по снижению цен на поставляемую продукцию. В своей деятельности компания ориентируется не только на корпоративных клиентов, среди которых давно и прочно завоевала имидж надежного партнера, но и на сегмент мелких и средних клиентов, а также частных лиц. Оптовая продажа занимает 80% от общего объема реализации. К настоящему моменту за компанией закреплены постоянные покупатели, которые осуществляют регулярные оптовые закупки продукции, производимой ООО “Совлит”. При условии стабильности закупок гарантирован сбыт продукции в размере 3600 шт ежедневно (около 900 тыс. шт в год). Таким образом, предприятие имеет гарантированный рынок сбыта своей продукции. Транспортировка и экспедиция заказов Транспортировка и экспедиция заказов могут осуществляться как складом, так и самим заказчиком (в нашем случае клиенты ООО «Совлит» сами занимаются транспортировкой товара). Последний вариант оправдывает себя, т.к. заказы осуществляются партиями, равными вместимости транспортного средства, и при этом запасы потребителя не увеличиваются. При таком варианте транспортировки для ООО «Совлит» достигается значительное сокращение транспортных расходов. Информационно – компьютерное обслуживание складаСовременные логистические системы не могут функционировать без информационно-компьютерной поддержки, в том числе и ООО “Совлит”. Информационно-компьютерное обслуживание склада предполагает управление информационными потоками и является связующим стержнем функционирования всех служб склада.Информационное обслуживание на ООО «Совлит» охватывает: · обработку входящей документации, · предложения по заказам поставщиков, · оформление заказов поставщиков, · управление приемом и отправкой, · контролирование наличности на складе, · прием заказов потребителей, · оформление документации отправки, · диспетчерскую помощь, включая оптимальный выбор партий отгрузки и маршруты доставки, · обработку счетов клиентов, · обмен информацией с оперативным персоналом и верхним иерархическим уровнем, · различную статистическую информацию. Управление запасами Управление запасами материальных ресурсов и готовой продукции представляет собой процесс создания контроля и регулирования уровня запасов в снабжении, производстве и сбыте продукции. Если при транспортировке решающее значение имеет фактор места, то при управлении запасами – фактор времени. Обычно всегда имеется определенная потребность в запасах материальных ресурсов и производством с одной стороны и между производством и потребителем готовой продукции – с другой. Снижая риски возникновения дефицита материальных ресурсов в процессе производства продукции или неудовлетворенного спроса потребителей на готовую продукцию, запасы в то же время играют негативную роль в экономике, замораживая финансовые ресурсы организаций в больших объемах товарно-материальных ценностей. Поэтому важнейшей задачей логистического менеджмента в ООО «Совлит» является оптимизация уровня запасов в логистических цепях и системах при обеспечении требуемого уровня обслуживания потребителей. Высокие затраты на создание и поддержание уровня запасов от 20% до 60% общих логистических издержек, еще более подчеркивает значение этой ключевой логистической функции. Функция управления процедурами заказов определяет получения и обработки запасов, моменты времени получения готовой продукции или оказания услуг потребителю, а также инициирует работу фирменной распределительной сети или логистических посредников по доставке и продаже готовой продукции потребителям. Хотя затраты на эту ключевую логистическую функцию не столь велики, как на транспортировку или управление запасами, однако значение ее в современном бизнесе весьма велико, так как напрямую определяет качество обслуживания потребителей. Обеспечение сервиса Работа по оказанию услуг, т.е. по удовлетворению чьих-либо нужд, называется сервисом. На обеспечение координации деятельности службы продаж в первую очередь направлены операции контроля за выполнением заказов и оказание услуг клиентам, от выполнения которых зависит уровень обслуживания. Успешно осуществляемое логистическое обслуживание покупателей может легко стать важнейшим, к тому же стратегическим признаком, выгодно отличающим данную фирму от конкурентов. 3. «Логистическая оптимизация деятельности ООО «Совлит» 3.1 Заготовительная (закупочная) логистикаЗакупочная логистика решает все вопросы, относящиеся к сфере материально-технического обеспечения предприятия и подготовки продукции к производственному потреблению. ООО “Совлит”, как и любое предприятие, имеет в своем составе службу, осуществляющую закупку, доставку и временное хранение сырья и полуфабрикатов. Служба снабжения устанавливает хозяйственные связи с поставщиками, согласовывая технико-технологические, экономические и методологические вопросы, связанные с поставкой товара. Работа в контакте со службами сбыта поставщика, служба снабжения обеспечивает работу предприятия на макрологистической системе. Выбор поставщика – одна из важнейших задач фирмы. На выбор поставщика существенное влияние оказывают результаты работы по уже заключенным договорам, на основании выполнения которых осуществляется расчет рейтинга поставщика. Перед расчетом рейтинга следует определить, на основании каких критериев будет приниматься решение о предпочтительности того или иного поставщика. Как правило, в качестве таких критериев используется цена, качество и надежность поставок. Следующим этапом решения задачи выбора поставщик является оценка поставщиков по намеченным критериям. При этом вес того или иного критерия в общей их совокупности определяется экспертным путем. У ООО “Совлит” есть два альтернативных поставщика преформы, один из которых находится в Литве “KLAIPEDA” (поставщик № 1), другой в городе Калининграде "ФАРТ" (поставщик № 2). В таблице 2 приведен расчет выбор поставщика по фактическим результатам работы. Таблица 2 Выбор поставщика по фактическим результатам работы
Таблица 2а - Динамика поставки товаров ненадлежащего качества
Таблица 2б - Динамика нарушений установленных сроков поставки
1. Расчёт средневременного темпа роста цен: n Т ц = ∑ Т ц i x d i , где i=1 Т ц i - темп роста цены на i-тый товар d i - доля i-того товара в общем объёме поставок текущего периода n – количество разновидностей товара Т ц i = ( P i 1 / P i 0 ) * 100, где P i 1 -цена i-того товара в текущем периоде P i 0 - цена i-того товара в предшествующем периоде d i = ( S i / ∑ S i ), где S i – сумма i-того товара в текущем периоде (руб.) ∑ S i – общий объём поставок Рассчитаем среднегодовой темп роста цен: Поставщик №1: Товар А : Т ц i = 16 / 15 * 100 = 106,7 d i = 16 * 1500 / (16*1500+10*1400+8*10000+10*9000) = 0,12 Товар Б : Т ц i = 10 / 9 *100 = 111,1 d i = 10 * 1400 / (16*1500+10*1400+8*10000+10*9000) = 0,07 Товар В : Т ц i = 8 / 10 *100 = 80 d i =8 * 10 000 / (16*1500+10*1400+8*10000+10*9000) = 0,38 Товар Г : Т ц i = 10 / 12 * 100 = 83,3 d i = 10 * 9000 / (16*1500+10*1400+8*10000+10*9000) = 0,12 Т ц = (106,7 * 0,12) + (111,1 * 0,07) + (80 * 0,38) + (83,3 * 0,12) = 60,9 Поставщик №2: Товар А : Т ц i = 13 / 12 * 100 = 108,3 d i = 13 * 9000 / (13*9000+10*12000+11*10000+12*11000) = 0,24 Товар Б : Т ц i = 10 / *100 = 125 d i = 10 * 12000 / (13*9000+10*12000+11*10000+12*11000) = 0,25 Товар В : Т ц i = 11 / 7 *100 = 157,1 d i =11 * 10 000 / (13*9000+10*12000+11*10000+12*11000) = 0,23 Товар Г : Т ц i = 12 / 9 * 100 = 113,3 d i = 12 * 11000 / (13*9000+10*12000+11*10000+12*11000) = 0,28 Т ц = (108,3 * 0,24) + (125 * 0,25) + (157,1 * 0,23) + (113,3 * 0,28) = 125,3 1. Расчёт темпа роста поставки бракованных товаров: Т б р = ( d б р 1 / d б р 0 ) * 100 , где d б р 1 – доля бракованного товара в общем объёме поставок текущего периода d б р 0 –доля бракованного товара в общем объёме поставок предшествующего периода Поставщик №1: Январь: 120 / 9000 * 100 = 1,333 Февраль: 220 / 21900 * 100 = 1,005 Т б р = 1,005/1,333 *100 = 75,39 Поставщик №2: Январь: 390 / 31000 * 100 = 1,258 Февраль: 530 / 42000 * 100 = 1,262 Т б р = 1,262 / 1,258 * 100 = 100,32 2. Расчёт темпа роста среднего опоздания: Т о п = ( О ср 1 / О ср 0 ) * 100 , где О ср 1 = среднее опоздание на одну поставку в текущем периоде (дней) О ср 0 = среднее опоздание на одну поставку в предшествующем периоде (дней) Поставщик №1: Январь: 28 / 10 = 2,8 Февраль: 31 / 9 = 3,4 Т о п = 3,4 / 2,8 * 100 = 121,43 Поставщик №2: Январь: 43 / 12 = 3,6 Февраль: 34 / 15 = 2,3 Т о п = 3,6 / 2,3 * 100 = 156,52 Таблица 2в - Расчёт рейтинга поставщика
Вывод : у второго поставщика наблюдается высокий рейтинг по плохим показателям. Отсюда следует, что Поставщик №1 (фирма “KLAIPEDA”) является более надёжным, т.к. суммарный рейтинг у него меньше. Именно с этим поставщиком следует перезаключить договор. 3.2 Логистика запасовУправление запасами на предприятии Основными задачами логистики запасов является: определение оптимального объема заказываемой партии, выбор метода управления материальными запасами. Рост потребности предприятия в материальных ресурсах может быть удовлетворен экстенсивным путём (приобретением или изготовлением большего количества материалов и энергии) или интенсивным (более экономным использованием имеющихся запасов в процессе производства продукции). На предприятии ООО «Совлит» отсутствует целевой подход к формированию и хранению запасов. Также имеет место дифицит сырья в сезонность процесса потребления, т.е. необходимо налаживать отношения с постоянными поставщиками материальных ресурсов. Необходимость в дополнительном персонале отдела материально-технического снабжения. Основной проблемой можно назвать нехватку или наоборот излишек запасов, таким образом, весьма актуальной становится задача оптимизации материальных запасов, т.к. заниженные запасы материальных ресурсов могут привести к убыткам, связанным с простоями, неудовлетворенным спросом и, следовательно, к потере прибыли, а также потере потенциальных покупателей продукции; а с другой стороны, накопление излишних материальных запасов связывает оборотный капитал предприятия, уменьшая возможность его выгодного альтернативного использования и замедляя его оборот, что отражается на величине общих издержек производства и финансовых результатах деятельности предприятия. Экономический ущерб наносит как значительное наличие запасов, так и их недостаточное количество. Актуальность проблемы оптимизации материальных запасов предприятия и эффективного управления ими обусловлена тем, что состояние запасов оказывает определяющее влияние на конкурентоспособность предприятия, его финансовое состояние и финансовые результаты. Обеспечить высокий уровень качества продукции и надежность ее поставок потребителям невозможно без создания оптимальной величины запаса готовой продукции, а также запасов сырья, материалов, необходимых для непрерывного и ритмичного функционирования производственного процесса. Решение проблемы повышения эффективности управления материальными запасами в современной экономической среде требует перехода от традиционных методов управления к логистическим, позволяющим включить управление запасами в состав основных направлений активно осуществляемой предприятием стратегии своего рыночного поведения. В связи с этим особую актуальность приобретает создание методического инструментария, позволяющего количественно оценивать, анализировать и прогнозировать различные варианты формирования стратегии управления запасами. Дифференциация ассортимента по методу АВС (диаграмма Парето)Идея метода АВС состоит в том, чтобы из всего множества однотипных объектов выделить наиболее значимые с точки зрения обозначенной цели. Таких объектов, как правило, немного, и именно не них необходимо сосредоточить основное внимание и силы. Метод АВС (диаграмма Парето) позволяет в соответствии с заданными критериями выбрать в общей номенклатуре 3 группы товаров АВС с целью избирательного управления запасами этих товаров. В группу «А» относят элементы высшей значимости по выбранному критерию: 20% товара дают 80% результата. В группу «В» относят элементы средней степени важности: 30% товара дают 15% результата. В группу «С» относят остальные товары: 50% товара дают 5% результата. Алгоритм проведения анализа АВС: 1. Берется потребление товара за определенный период. 2. Товары распределяются в порядке убывания их потребления. 3. Подсчитывается потребление нарастающим итогом. 4. Определяется процент суммы потребления каждого товара относительно общего накопленного потребления. 5. Строится график. Применим данный вид анализа к предприятию ООО «Совлит». Анализ АВС представлен в таблице 3.
Построим кривую АВС в системе координат. График приведен на рисунке 9.
товара А В С Рис. 9. Распределение товаров по методу АВС Товары группы А – важнейшие товары, на которые приходится большая часть денежных средств, вложенных в запасы. Размеры запасов по позиции А постоянно контролируются, точно определяют издержки, связанные с закупкой, доставкой и хранением, а также размер и момент заказа. Из графика видно, что в группу «А» попали, т.е. дают 80% результата следующие товары: 1. Питьевая вода (5л) 2. Питьевая вода (3л) 3. Буратино (1,5л) 4. Лимонад (1,5л) 5. Дюшес (1,5л) 6. Квас Замоскворецкий (1,5л) В группу «В» попали, т.е. дают 15% результата следующие товары: 1. Апельсин (1,5л) 2. Минеральная вода (0,5л) В группу «С» попали, т.е. дают 5% результата следующие товары: 1. ССН “Ананас” (2л) 2. ССН “Вишня” (2л) Дифференциация ассортимента по методу XYZ Дифференциация ассортимента товаров методом XYZ осуществляется в зависимости от степени равномерности спроса и точности прогнозирования. Признаком, на основе которого товары делятся на группы X, Y, Z, является коэффициент вариации спроса, определяемый для каждой позиции ассортимента. Коэффициент вариации спроса по отдельным позициям ассортимента (υ ) рассчитывается по формуле. где, хi – i-е значение спроса по оцениваемой позиции; х– среднеквартальное значение спроса по оцениваемой позиции; n– число кварталов, за которое произведена оценка. Порядок проведения анализа XYZ: 1.Определение коэффициентов вариации по отдельным позициям ассортимента. 2.Группировка объектов управления в порядке возрастания коэффициента вариации. 3.Построение кривой XYZ-анализа. 4.Разделение совокупности объектов управления на три группы: группа X, группа Y, группа Z.. Расчет коэффициента вариации спроса приведен в таблице 4. График кривой XYZ приведен на рисунке 10. В группе Х включены товары, спрос на которые равномерен, либо подвержен незначительным колебаниям. Объем реализации по товарам, включенным в данную группу, хорошо предсказуем. В группу «Х» попали, т.е. находящиеся в интервале 0 ≤ υ < 10%: 1. Питьевая вода (3л) 2. Питьевая вода (5л). В группы Y включены товары, которые потребляются в колеблющихся объемах. В частности, в эту группу могут быть включены товары с сезонным характером спроса. Возможности прогнозирования спроса по товарам группы Y – средние. В группу «Y» попали, т.е. находящиеся в интервале 10 ≤ υ < 25%: 1. Минеральная вода. В группу «Z» включены товары, спрос на которые возникает лишь эпизодически. Прогнозировать объем реализации товаров группы Z сложно. В группу «Z» попали, т.е находящиеся в интервале 25% ≤ υ < ∞: 1. Буратино 2. Лимонад 3. Дюшес 4. Апельсин 5. Квас Замоскворецкий 6. ССН “Ананас” 7. ССН “Вишня” Построим матрицу ABC– XYZ Таблица 4а - Матрица ABC– XYZ
Таблица 4б Значение матрицы ABC– XYZ
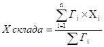
Выводы: для товарных позиций, входящихв группы AX, AY, AZвыбирается индивидуальная технология управления запасами. Например, для товаров группы AXследует рассчитать оптимальный размер заказа и контролировать ежедневно. Для группы AYпериод между проверками следует увеличить. Управление запасами товаров, входящих в группы BX, BY, BZможет осуществляться как индивидуально, так и одинаково по группам, меняются только сроки планирования и способы доставки. Управление запасами товаров, входящих в группы СX, СY, СZможет осуществляться с применением более длительных периодов. Таким образом , к таким товарам, как Питьевая вода 3л. (№9) и Питьевая вода 5л. (№10) следует применить как стратегию управления, включающую расчёт оптимального размера заказа и ежедневный контроль, так и управление запасами с применением более длительных периодов. К товарам: Буратино 1,5л. (№1), Лимонад 1,5л. (№2), Дюшес 1,5л. (№3), Квас Замоскворецкий 1,5л. (№5) следует применить стратегию управления, включающую индивидуальную технологию управления запасами. К товарам: Минеральная вода 0,5л. (№8), ССН «Вишня» 2л. (№7) следует применить стратегию управления, включающую управление запасами товаров как индивидуально, так и одинаково по группам, меняются только сроки планирования и способы доставки. 3.3. Распределительная логистика Анализ системы распределения продукции предприятияИспользуемая предприятием система сбыта имеет всего один распределительный центр – склад готовой продукции.3. Зависимость затрат, связанных с эксплуатацией складского хозяйства от количества складов в системе распределения При увеличении количества складов в системе распределения затраты, связанные с эксплуатацией одного склада, снижаются. Однако совокупные затраты распределительной системы на содержание всего складского хозяйства, возрастают. Происходит это в связи с так называемым эффектом масштаба: при уменьшении площади склада эксплуатационные затраты, приходящиеся на один квадратный метр. увеличиваются.4. Зависимость затрат, связанных с управлением распределительной системой от количества входящих в нее складов Здесь также действует эффект масштаба, в связи с чем при увеличении количества складов кривая расходов на системы управления делается более пологой.Обязательным условием возможности эффективного функционирования распределительной системы, имеющей несколько складов, является компьютеризация управления (в нашем случае это еще один дополнительный пункт для затрат).Из всего вышеперечисленного можно сделать вывод, что для создания новых складов требуются огромные капиталовложения. В данный момент ООО «Совлит» не может себе этого позволить, да и существующее положение дел абсолютно устраивает руководство организации. ООО «Совлит» уже многие годы работает в таком режиме (при одном распределительном центре) и получает стабильный доход.Оптимизация расположения распределительных центров на обслуживаемой территории Величина транспортных расходов может существенно меняться не только в зависимости от количества складов, но также и в зависимости от места расположения этих складов на обслуживаемой территории.Распределительный центр (склад готовой продукции) ООО «Совлит» расположен в неудобном месте, на окраине города, поэтому транспортные издержки посредников в этом случае достаточно высоки.Даже если в системе распределения находится один склад, то его рациональнее разместить в центре обслуживаемой территории, а не на ее окраине.Задача размещения распределительных центров может формулироваться как поиск оптимального решения, или же, как поиск субоптимального (близкого к оптимальному) решения.В данном случае при расширении распределительной сети предприятию наиболее целесообразно не строить новые склады, т.к. для этого требуются большие финансовые вливания, а воспользоваться уже существующими складами с налаженной инфраструктурой, оборудованными подъездными путями и т.д. Т.е., рациональнее будет либо приобрести склады желательно в центре города, либо снять их в аренду.Для более точного расчета определения места месторасположения распределительного склада на обслуживаемой территории существует метод центротяжести Основная цель – минимизация транспортных расходов. Требуется определить координаты Xи Yсклада.
где, Г – грузооборот Xi, Yi – координаты i потребителя Таблица 5 - Координаты торговых точек предприятия ООО «Совлит»
X км = 90 000*15 +93 000*17 + 86 000*18 + 50 000*18 +40 000*22 + 45 000*23 +49 000*28 + + 65 000*40 + 78 000*35 + 80 000*14/90 000 + 93 000 + 86 000 + 50 000 + 40 000 +45 000 + + 49 000 +65 000 +78 000 + 80 000 = 1 350 000 + 1 581 000 + 1 548 000 + 900 000 + 880 000 +1 035 000 + 1 372 000 +2 600 000 +2 730 000 +1 120 000/ 676 000 = 22 Y км = 90 000*11 + 93 000*16 + 86 000*13 + 50 000*15 + 40 000*16 +45 000*35 + 49 000*34 +65 000*23 + 78 000*25 + 80 000*15/ 676 000 = 990 000 + 1 488 000 +1 118 000 + 750 000 +640 000 +1 575 000 +1 666 000 + 1 495 000 +1 950 000 +1 200 000/676 000 = 19 Xсклада = 22 - Склад Yсклада = 19 Рис. 12. Определение координат склада При выборе участка под распределительный центр уже после того, как решение о географическом месторасположении центра принято, также влияют следующие факторы:1. Размер и конфигурация участка. Большое количество транспортных средств, обслуживающих входные и выходные материальные потоки, требует достаточной площади для парковки, маневрирования и проезда. Отсутствие таких площадей приведет к заторам, потере времени клиентов (возможно, и самих клиентов). Необходимо принять во внимание требования, предъявляемые службами пожарной охраны: к складам, на случай пожара, должен быть обеспечен свободный проезд пожарной техники.2. Транспортная доступность местности. Значимой составляющей издержек функционирования любого распределительного центра являются транспортные расходы. Поэтому при выборе участка необходимо оценить ведущие к нему дороги, ознакомиться с планами местной администрации по расширению сети дорог. Предпочтение необходимо отдавать участкам, расположенным на главных (магистральных) трассах. Кроме того, требует изучения оснащенность территории другими видами транспорта, в том числе и общественного, от которого существенно зависит доступность распределительного центра как для собственного персонала, так и для клиентов.3. Планы местных властей. Выбирая участок, необходимо ознакомиться с планами местной администрации по использованию прилегающих территорий и убедиться в отсутствии факторов, которые впоследствии могли бы оказать сдерживающее влияние на развития распределительного центра.Кроме перечисленных факторов при выборе конкретного участка под распределительный центр необходимо ознакомиться с особенностями местного законодательства, проанализировать расходы по облагораживанию территории, оценить уже имеющиеся на участке строения (если они есть), учесть возможность привлечения местных инвестиций, ознакомиться с ситуацией на местном рынке рабочей силы.Выводы и предложения по оптимизации системы распределения Исходя из результатов анализа системы распределения, проведенного в предыдущих пунктах, можно сделать общий вывод о том, что существующая система распределения продукции ООО «Совлит» не отвечает многим требованиям логистики, не обеспечивает максимизации прибыли предприятия, приводит к увеличению транспортных расходов при доставке готовой продукции со склада предприятия до конечного потребителя и т.д.Тем не менее, данная структура применяется предприятием вот уже более семи лет, и пока руководство предприятия не намерено вносить в нее столь значимые изменения. Это обусловлено тем, что для изменения сложившейся системы требуются значительные капиталовложения (создание парка транспортных средств, аренда или покупка складских помещений в черте города), а кроме того, требуется качественно иной подход к организации управления материальными и информационными потоками. Предприятию необходимо также установить прямые связи с непосредственными потребителями его продукции.Принципы, которыми руководствуется руководство предприятия, ясны. Ведь данная структура сбыта является наиболее «безболезненной» для предприятия в краткосрочном периоде, т.к. все транспортные и складские расходы в этом случае минимальны, а предприятие избавлено от необходимости самостоятельно заниматься розничной продажей своей продукции.Но если рассмотреть долгосрочную перспективу, учитывая влияние положительных и отрицательных факторов внешней среды, то очевидным становится то, что существующую систему необходимо изменять, оптимизировать в соответствии с основными логистическими принципами.Оптимизация существующей распределительной системы может быть проведена по нескольким направлениям:1. Необходимо увеличить количество распределительных центров (оптовых складов);2. Оптимально разместить эти склады на обслуживаемой территории;3. Создать достаточный парк транспортных средств требуемой грузоподъемности и рационально организовать его работу по доставке продукции предприятия от места производства до места потребления;4. Необходимо наладить прямые связи с потребителями продукции предприятия (как с физическими, так и с юридическими лицами). Т.е. максимально диверсифицировать структуру сбыта, что обеспечит предприятию устойчивый и равномерный спрос на его продукцию и снизит торговый риск до минимума;5. В то же время, никоим образом нельзя терять уже наработанных связей с оптовыми покупателями, а предложить им и в дальнейшем работать на взаимовыгодных условиях, причем в новых условиях у них будет возможность выбора наиболее удобного для них центра распределения, чтоб снизит их транспортные издержки. Конечно, покупая товар непосредственно вблизи своих центров распределения, посредники уже будут рассчитывать на более высокую цену, в которую предприятие заложит свои издержки по доставке продукции к месту потребления.Следует отметить, что после оптимизации системы распределения эти издержки будут сведены к минимуму, что при существующем уровне розничной цены на продукцию предприятия увеличит его прибыль. 3.4 Транспортная логистикаТранспортная логистика – занимается вопросами транспортировки, решает задачи выбора транспортных средств, выбора способа транспортировки, разработки оптимальных маршрутов графиков движения транспорта. Значительная часть логистических операций на пути движения материального потока от первичного источника сырья до конечного потребления осуществляется с применением различных транспортных средств. Затраты на выполнение этих операций составляют до 50% от суммы общих затрат на логистику. На рисунке 13 приведена внешняя транспортная система предприятия.
Рис.13. Транспортная система предприятия. Готовую продукцию фирмы – посредники доставляют на собственном транспорте. Основной вид транспорта предприятия – автомобили. Автомобильный транспорт традиционно используется для перевозок на короткие расстояния. Одно из основных преимуществ — высокая маневренность. С помощью автомобильного транспорта груз может доставляться "от дверей до дверей" с необходимой степенью срочности. Этот вид транспорта обеспечивает регулярность поставки, а также возможность поставки малыми партиями. Здесь, по сравнению с другими видами, предъявляются менее жесткие требования к упаковке товара На рисунке 14 приведена организация перевозки с участием нескольких транспортных средств.
Рис. 14. Организация перевозки с участием нескольких видов транспорта 3.5 Экономическая оценка эффективности предложенных мероприятийДанные мероприятия позволят улучшить следующие показатели функционирования предприятия: товарооборот, себестоимость управления запасами, оборот склада, транспортные издержки. По подсчётам товарооборот должен увеличиться примерно на 16%. Это связано с выбором более надёжного поставщика, который будет поставлять товар с наименьшим количеством опозданий и долей брака, а значит с минимальными издержками. Товарооборот предприятия:Т = То/Сcр, где То - товарооборот за период, руб.; Сср - средняя стоимость 1 партии товара, руб./п. Товарооборот до улучшения: Т= 2844000/32000= 89 партий. Товарооборот после улучшения: Т= 3299040/32000=103 партии. Себестоимость управления запасами уменьшится примерно на 20%, в следствие применения более лучшей стратегии управления запасами, включающей расчёт оптимального размера заказа и контроль. Себестоимость управления запасами (руб. на 1 партию товара):С = Рэ / Т, где Рэ - сумма эксплуатационных расходов за год, руб.; Т - товарооборот, п. Себестоимость до улучшения: С= 620000/89=697 руб. Себестоимость после улучшения: С=49600/103= 481 руб. Время оборота склада уменьшится на 17% из-за уменьшения времени, затраченного на доставку товаров до склада (благодаря новому, более выгодному расположению склада). Оборот склада:ПО = Т / txpср, где txpср - среднее время хранения товаров на складе(дни); Т - период времени (дни).Оборот склада до улучшения: ПО= 365/27,7=13,2 дн. Оборот склада после улучшения: ПО= 365/32,5= 11,2 дн. Транспортные издержки предприятия предполагается снизить примерно на 35% благодаря предложенной схеме организации перевозки, включающей участие нескольких видов транспорта, а именно транспорта предприятия и транспорта экспедиторской компании (или транспорта поставщика). Транспортные издержки до улучшения (рублей в год): 750000 Транспортные издержки после улучшения (рублей в год): 487500 В данной курсовой работе был проведен анализ логистической системы деятельности ООО «Совлит». И были сделаны следующие выводы.Применение логистики позволяет существенно повысить эффективность торговли. Основные слагаемые эффекта следующие:1. Сокращение запасов в целях товародвижения. 2. Максимальное использование площадей и объемов предприятия торговли. 3. Ускорение оборачиваемости капитала за счет контроля времени сквозных процессов размещения и выполнения заказов. 4. Сокращение транспортных расходов, которое удается достичь за счет высокой согласованности участников в вопросах использования транспорта. Совокупный эффект от использования логистики превышает сумму эффектов от улучшения перечисленных показателей. Это объясняется возникновением у логистическии организованных систем ценной для рынка способности обеспечивать поставку нужного груза, необходимого качества, в нужном количестве, в нужное время и нужное место с минимальными затратами. Оптимизация логистических операций способна дать компании конкурентное преимущество и обеспечить успешную, эффективную работу. Разумно применяя инструменты анализа и управления логистическими процессами, руководители компании способны значительно повысить эффективность работы предприятия. Список литературы 1. Волгин В.В. Склад: Практическое пособие – 2-е изд. – М.: Издательский Дом «Дашков и Ко», 2001. – 315с. 2. Гаджинский А.М. Логистика/ А.М.Гаджинский. – М., 2003. – 407с. 3. Гордон М.П., Логистика товародвижения. - М.: Центр экономики и маркетинга. 2002. - 168с. 4. Дегтяренко В.Н. Основы логистики и маркетинга: Учебное пособие / ГАС. - Ростов, 1992.5. Дашков Л.П., Памбухчиянц В.К. Коммерция и технология торговли: Учебник для студентов высших учебных заведений. – 4-е изд., перераб. и доп. – М.: Издательско-торговая корпорация «Дашков и Ко», 2002. - 596с.6. Кретов И.И. Логистика Во внешнеторговой деятельности/ И.И.Кретов, К.В.Садченко. – М., 2003. – 190с.7. Плоткин Б.К. Основы логистики: Учебное пособие / ЛФЭИ. - Л., 1991.8. Родников А. Н. Логистика: Терминологический словарь.— М.: Экономика, 1995.Приложение 1 Метод «Северо-западного угла» Целью транспортных методов является определение наилучших путей перевозки грузов из нескольких пунктов снабжения в несколько пунктов потребления, обеспечивающих наименьшие суммарные затраты, связанные с производством и транспортированием товаров. Обычно рассматриваются мощности каждого из источников товаров и потребности в этих товарах каждого из пунктов назначения (потребления). Процесс решения транспортной задачи начинается с определения допустимого начального решения, затем решение улучшается до его оптимума. Исходной информацией для решения является: А) мощности каждого производственного предприятия; Б) потребности каждого потребителя товаров; В) транспортные затраты на доставку товара из каждого источника в каждый пункт назначения. (Е) Потребность 400шт (A) мощность 300 шт (F) Потребность 400 шт (В) Мощность 500 шт (С) Мощность 500 шт (D) Потребность 500 шт
Рис.15 Транспортная схема Исходные данные заносятся в матрицу, имеющую следующий вид: Таблица 6 - Транспортные затраты на доставку одного кондиционера для предприятия:
Таблица 7 - Транспортная матрица задачи
Таблица 8 - 1) Допустимое решение задачи
Где A, B, C– мощности производственных предприятий; D, E, F– потребности потребителей 1) Затраты = 300*6+200*4+300*5+100*8+400*8= 7300 $ Таблица 9 - 2) Метод последовательного улучшения решения
а) A–E: +8$-6$+4$-5$= 1$ Это означает, что для каждого кондиционера перевозимого из А в Е суммарные затраты будут возрастать на 1 доллар от достигнутого уровня. б) А–F: +2$ -6$ +4$ -5$ +8$ -8$= -5$ Отрицательный индекс показывает, что экономия затрат может быть получена, если в маршруты перевозок включить маршрут А–F. в) B-F: +2$ -5$ +8$ -8$=-3$ Отрицательный индекс показывает, что экономия затрат также может быть получена, если в маршруты перевозок включить маршрут B-F. г) C-D: +5$ -4$ +7$ -8$= -2$ Отрицательный индекс показывает, что экономия затрат также может быть получена, если в маршруты перевозок включить маршрут C-D. |
|||||||||||||||||||||||||||||||||||||||||||||||||||||||||||||||||||||||||||||||||||||||||||||||||||||||||||||||||||||||||||||||||||||||||||||||||||||||||||||||||||||||||||||||||||||||||||||||||||||||||||||||||||||||||||||||||||||||||||||||||||||||||||||||||||||||||||||||||||||||||||||||||||||||||||||||||||||||||||||||||||||||||||||||||||||||||||||||||||||||||||||||||||||||||||||||||||||||||||||||||||
Общее руководство деятельностью фирмы осуществляет генеральный директор. В его непосредственном подчинении находятся главный технолог, коммерческий директор, главный бухгалтер, главный экономист, заместитель директора по общим вопросам. Организационная структура управления ООО «Совлит» представлена в схеме на рис. 1.









