Контрольная работа: Универсальная тригонометрическая подстановка
|
Название: Универсальная тригонометрическая подстановка Раздел: Рефераты по математике Тип: контрольная работа |
Контрольная работа Дисциплина: «Высшая математика» Тема: «Универсальная тригонометрическая подстановка» 1. Универсальная тригонометрическая подстановка Рассмотрим интегрирование выражений полностью зависящих от тригонометрических функций, над которыми выполняются лишь арифметические операции. Такие выражения называются рациональными функциями от тригонометрических функций и в данном случае обозначаются
В то же время функция Теорема
. Интеграл вида Для доказательства выразим
В результате проведенных преобразований
В данном выражении рациональные дроби подставлены в рациональную функцию. Так как над ними выполняются лишь арифметические операции, то в результате получается также рациональная дробь. Итак, рациональную функцию от тригонометрических функций можно проинтегрировать, превратив ее в рациональную дробь. Подстановка
называется универсальной тригонометрической подстановкой. 2. Частные случаи интегрирования выражений, содержащих тригонометрические функции Рассмотренная в п. 11 универсальная тригонометрическая подстановка позволяет вычислить любой интеграл от функции вида 1. Интегралы типа 2. Интегралы типа 3. Если подынтегральная функция зависит только от 4. Если подынтегральная функция является рациональной относительно четных степеней
Данная подстановка в этом случае дает более простую рациональную дробь, чем с использованием универсальной тригонометрической подстановки. Пусть дан интеграл
Далее делается замена 6. Пусть дан интеграл
Данная замена позволяет в два раза понизить степень тригонометрических функций. Раскрывая скобки в интеграле 7. Пусть дан 8. В случае
и интеграл превращается в два табличных интеграла. 9. В случае
10. В случае
3. Тригонометрические подстановки для интегралов вида
Рассмотрим тригонометрические подстановки для вычисления таких интегралов, которые сводят подынтегральную функцию к функции, рационально зависящей от
Следующий шаг: 1) 2) 3)
поэтому
или
3. Интегрирование некоторых алгебраических иррациональностей Рассмотрим теперь интегрирование функций, содержащих радикалы. Не от всякой иррациональной функции интеграл выражается через элементарные функции. Однако в наиболее простых случаях, когда над радикалами выполняются рациональные действия, это удается сделать. Необходимо отметить, что все такие иррациональные функции интегрируются посредством их рационализации, то есть избавления от корней. 1. Пусть дан интеграл
где 2. Рассмотрим общий случай подобных интегралов:
где Чтобы получить рациональную функцию, находят общий знаменатель дробей
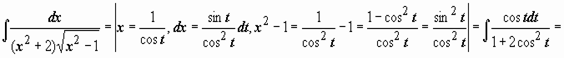
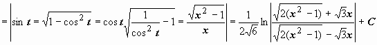
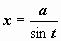
Очевидно, если 4. Интегрирование некоторых иррациональных функций с помощью тригонометрических подстановок Рассмотри снова интегралы, содержащие квадратный трехчлен:
Выделив полный квадрат под корнем, получим один из трех интегралов: 1.
2.
3.
Во всех трех случаях после проведенных подстановок интегралы пришли к виду, рассмотренному в п. 2. 5. Интегралы, не выражающиеся через элементарные функции В п. 1 была сформулирована теорема о том, что любая непрерывная функция имеет первообразную. Однако необходимо иметь в виду, что не всегда первообразная выражается в конечном виде через элементарные функции. К таким интегралам следует отнести
Во всех подобных случаях первообразная представляет собой некоторую новую функцию, которая не сводится к комбинации конечного числа элементарных функций. Например, та из первообразных Литература 1. Александров В.В., Потапов М.К., Пасиченко П.И., Потапов М.К. Александров В.В., Потапов М.К и др. Алгебра, тригонометрия и элементарные функции. Учебник. М: Высшая школа, 2001. – 736 с. 2. Крищенко Александр, Канатников Анатолий Аналитическая геометрия: Учебное пособие для студентов высших учебных заведений. Изд-во «Академия», 2009. – 208c. 3. Макарычев Юрий Тригонометрия. Издательство: ПРОСВЕЩЕНИЕ, 2004. – 360 с. 4. Потапов Михаил Задачи по алгебре, тригонометрии и элементарными функциями. Издательство: ЭКЗАМЕН XXI, 2008. – 160 с. 5. Тоом А., Гельфанд И., Львовский С. Тригонометрия. МЦМНО, 2003. – 200 с. 6. Шахмейстер А.Х. ТРИГОНОМЕТРИЯ 1-е изд. МГУ, 2006. – 672 с. |
;
;
.
,
;
;
;
.
, получаем снова случаи 5 или 6.
.


,
, 
.

.
.