Реферат: Гормоны 3
|
Название: Гормоны 3 Раздел: Рефераты по медицине Тип: реферат | |||
Организм человека существует как единое целое благодаря системе внутренних связей, которая обеспечивает передачу информации от одной клетки к другой в одной и той же ткани или между разными тканями. Без этой системы невозможно поддерживать гомеостаз. В передаче информации между клетками в многоклеточных живых организмах, принимают участие три системы: ЦЕНТРАЛЬНАЯ НЕРВНАЯ СИСТЕМА (ЦНС), ЭНДОКРИННАЯ СИСТЕМА (ЖЕЛЕЗЫ ВНУТРЕННЕЙ СЕКРЕЦИИ) и ИММУННАЯ СИСТЕМА. Способы передачи информации во всех названных системах - химические. Посредниками при передаче информации могут быть СИГНАЛЬНЫЕ молекулы. К таким сигнальным молекулам относятся четыре группы веществ: ЭНДОГЕННЫЕ БИОЛОГИЧЕСКИ АКТИВНЫЕ ВЕЩЕСТВА (медиаторы иммунного ответа, факторы роста и др.), НЕЙРОМЕДИАТОРЫ, АНТИТЕЛА (иммуноглобулины) и ГОРМОНЫ. Б И О Х И М И Я Г О Р М О Н О В ГОРМОНЫ - это биологически активные вещества, которые синтезируются в малых количествах в специализированнных клетках эндокринной системы и через циркулирующие жидкости (например, кровь) доставляются к клеткам-мишеням, где оказывают свое регулирующее действие. Гормоны, как и другие сигнальные молекулы, обладают некоторыми общими свойствами. ОБЩИЕ СВОЙСТВА ГОРМОНОВ. 1) выделяются из вырабатывающих их клеток во внеклеточное пространство; 2) не являются структурными компонентами клеток и не используются как источник энергии. 3) способны специфически взаимодействовать с клетками, имеющими рецепторы для данного гормона. 4) обладают очень высокой биологической активностью - эффективно действуют на клетки в очень низких концентрациях (около 10-6 - 10-11 моль/л). МЕХАНИЗМЫ ДЕЙСТВИЯ ГОРМОНОВ. Гормоны оказывают влияние на клетки-мишени. КЛЕТКИ-МИШЕНИ - это клетки, которые специфически взаимодействуют с гормонами с помощью специальных белков-рецепторов. Эти белки-рецепторы располагаются на наружной мембране клетки, или в цитоплазме, или на ядерной мембране и на других органеллах клетки. БИОХИМИЧЕСКИЕ МЕХАНИЗМЫ ПЕРЕДАЧИ СИГНАЛА ОТ ГОРМОНА В КЛЕТКУ-МИШЕНЬ. Любой белок-рецептор состоит, минимум из двух доменов (участков), которые обеспечивают выполнение двух функций: - "узнавание" гормона; - преобразование и передачу полученного сигнала в клетку. Каким образом белок-рецептор узнает ту молекулу гормона, с которой он может взаимодействовать? Один из доменов белка-рецептора имеет в своем составе участок, комплементарный какой-то части сигнальной молекулы. Процесс связывания рецептора с сигнальной молекулой похож на процесс образования фермент-субстратного комплекса и может определяется величиной константы сродства. Большинство рецепторов изучены недостаточно, потому что их выделение и очистка очень сложные, а содержание каждого вида рецепторов в клетках очень низкое. Но известно, что гормоны взаимодействуют со своими рецепторами физико-химическим путем. Между молекулой гормона и рецептором формируются электростатические и гидрофобные взаимодействия. При связывании рецептора с гормоном происходят конформационные изменения белка-рецептора и комплекс сигнальной молекулы с белком-рецептором активируется. В активном состоянии он может вызывать специфические внутриклеточные реакции в ответ на принятый сигнал. Если нарушен синтез или способность белков-рецепторов связываться с сигнальными молекулами, возникают заболевания - эндокринные нарушения. Есть три типа таких заболеваний: 1. Связанные с недостаточностью синтеза белков-рецепторов. 2. Связанные с изменением структуры рецептора - генетических дефекты. 3. Связанные с блокированием белков-рецепторов антителами. МЕХАНИЗМЫ ДЕЙСТВИЯ ГОРМОНОВ НА КЛЕТКИ-МИШЕНИ. В зависимости от строения гормона существуют два типа взаимодействия. Если молекула гормона липофильна, (например, стероидные гормоны), то она может проникать через липидный слой наружной мембраны клеток-мишеней. Если молекула имеет большие размеры или является полярной, то ее проникновение внутрь клетки невозможно. Поэтому для липофильных гормонов рецепторы находятся внутри клеток-мишеней, а для гидрофильных - рецепторы находятся в наружной мембране. Для получения клеточного ответа на гормональный сигнал в случае гидрофильных молекул действует внутриклеточный механизм передачи сигнала. Это происходит с участием веществ, которых называют "ВТОРЫМИ ПОСРЕДНИКАМИ". Молекулы гормонов очень разнообразны по форме, а "вторые посредники" - нет. Надёжность передачи сигнала обеспечивает очень высокое сродство гормона к своему белку-рецептору. Что такое посредники, которые участвуют во внутриклеточной передаче гуморальных сигналов? Это циклические нуклеотиды (цАМФ и цГМФ), инозитолтрифосфат, кальций-связывающий белок - кальмодулин, ионы кальция, ферменты, участвующие в синтезе циклических нуклеотидов, а также протеинкиназы - ферменты фосфорилирования белков. Все эти вещества участвуют в регуляции активности отдельных ферментных систем в клетках-мишенях. Разберем более подробно механизмы действия гормонов и внутриклеточных посредников. Существует два главных способа передачи сигнала в клетки-мишени от сигнальных молекул с мембранным механизмом действия: 1. АДЕНИЛАТЦИКЛАЗНАЯ (ИЛИ ГУАНИЛАТЦИКЛАЗНАЯ) СИСТЕМЫ 2. ФОСФОИНОЗИТИДНЫЙ МЕХАНИЗМ АДЕНИЛАТЦИКЛАЗНАЯ СИСТЕМА. Основные компоненты: мембранный белок-рецептор, G-белок, фермент аденилатциклаза, гуанозинтрифосфат, протеинкиназы. Кроме того, для нормального функционирования аденилатциклазной системы, требуется АТФ. Схема аденилатциклазной системы представлена на рисунке:
Как видно из рисунка, белок-рецептор, G-белок, рядом с которым располагаются ГТФ и фермент (аденилатциклаза) встроены в мембрану клетки. До момента действия гормона эти компоненты находятся в диссоциированнном состоянии, а после образования комплекса сигнальной молекулы с белком-рецептором происходят изменения конформации G-белка. В результате одна из субъединиц G-белка приобретает способность связываться с ГТФ. Комплекс “G-белок-ГТФ” активирует аденилатциклазу. Аденилатциклаза начинает активно превращать молекулы АТФ в ц-АМФ. ц-АМФ обладает способностью активировать особые ферменты - протеинкиназы, которые катализируют реакции фосфорилирования различных белков с участием АТФ. При этом в состав белковых молекул включаются остатки фосфорной кислоты. Главным результатом этого процесса фосфорилирования является изменение активности фосфорилированного белка. В различных типах клеток фосфорилированию в результате активации аденилат-циклазной системы подвергаются белки с разной функциональной активностью. Например, это могут быть ферменты, ядерные белки, мембранные белки. В результате реакции фосфорилирования белки могут становятся функционально активными или неактивными. Такие процессы будут приводить к изменениям скорости биохимических процессов в клетке-мишени. Активация аденилатциклазной систтемы длится очень короткое время, потому что G-белок после связывания с аденилатциклазой начинает проявлять ГТФ-азную активность. После гидролиза ГТФ G-белок восстанавливает свою конформацию и перестает активировать аденилатциклазу. В результате прекращается реакция образования цАМФ. Кроме участников аденилатциклазной системы в некоторых клетках-мишенях имеются белки-рецепторы, связанные с G-белками, которые приводят к торможению аденилатциклазы. При этом комплекс “GTP-G-белок” ингибирует аденилатциклазу. Когда останавливается образование цАМФ, реакции фосфорилирования в клетке прекращаются не сразу: пока продолжают существовать молекулы цАМФ - будет продолжаться и процесс активации протеинкиназ. Для того, чтобы прекратить действие цАМФ, в клетках существует специальный фермент - фосфодиэстераза, который катализирует реакцию гидролиза 3',5'-цикло-АМФ до АМФ. Некоторые вещества, обладающие ингибирующим действием на фосфодиэстеразу, (например, алкалоиды кофеин, теофиллин), способствуют сохранению и увеличению концентрации цикло-АМФ в клетке. Под действием этих веществ в организме продолжительность активации аденилатциклазной системы становится больше, то есть усиливается действие гормона. Кроме аденилат-циклазной или гуанилатциклазной систем существует также механизм передачи информации внутри клетки-мишени с участием ионов кальция и инозитолтрифосфата. Инозитолтрифосфат -это вещество, которое является производным сложного липида - инозитфосфатида. Оно образуется в результате действия специального фермента - фосфолипазы “С”, который активируется в результате конформационных изменений внутриклеточного домена мембранного белка-рецептора. Этот фермент гидролизует фосфоэфирную связь в молекуле фосфатидил-инозитол-4,5-бисфосфата и в результате образуются диацилглицерин и инозитолтрифосфат.
Известно, что образование диацилглицерина и инозитолтрифосфата приводит к увеличению концентрации ионизированного кальция внутри клетки. Это приводит к активации многих кальций-зависимых белков внутри клетки, в том числе активируются различные протеинкиназы. И здесь, как и при активации аденилатциклазной системы, одной из стадий передачи сигнала внутри клетки является фосфорилирование белков, которое в приводит к физиологическому ответу клетки на действие гормона. В работе фосфоинозитидного механизма передачи сигналов в клетке-мишени принимает участие специальный кальций-связывающий белок - кальмодулин. Это низкомолекулярный белок (17 кДа), на 30% состоящий из отрицательно заряженных аминокислот (Глу, Асп) и поэтому способный активно связывать Са+2 . Одна молекула кальмодулина имеет 4 кальций-связывающих участка. После взаимодействия с Са+2 происходят конформационные изменения молекулы кальмодулина и комплекс “Са+2 -кальмодулин” становится способным регулировать активность (аллостерически угнетать или активировать) многие ферменты - аденилатциклазу, фосфодиэстеразу, Са+2 ,Мg+2 -АТФазу и различные протеинкиназы. В разных клетках при воздействии комплекса “Са+2 -кальмодулин” на изоферменты одного и того же фермента (например, на аденилатциклазу разного типа) в одних случаях наблюдается активация, а в других - ингибирование реакции образования цАМФ. Такие различные эффекты происходят потому, что аллостерические центры изоферментов могут включать в себя различные радикалы аминокислот и их реакция на действие комплекса Са+2 -кальмодулин будет отличаться. Таким образом, в роли "вторых посредников" для передачи сигналов от гормонов в клетках-мишенях могут быть: - Циклические нуклеотиды (ц-АМФ и ц-ГМФ); - Ионы Са; - Комплекс “Са-кальмодулин”; - Диацилглицерин; - Инозитолтрифосфат Механизмы передачи информации от гормонов внутри клеток-мишеней с помощью перечисленных посредников имеют общие черты: 1. одним из этапов передачи сигнала является фосфорилирование белков 2. прекращение активации происходит в результате специальных механизмов, инициируемых самими участниками процессов, - существуют механизмы отрицательной обратной связи. Гормоны являются основными гуморальными регуляторами физиологических функций организма, и в настоящее время хорошо известны их свойства, процессы биосинтеза и механизмы действия. Признаки, по которым гормоны отличаются от других сигнальных молекул: 1. Синтез гормонов происходит в особых клетках эндокринной системы. При этом синтез гормонов является основной функцией эндокринных клеток. 2. Гормоны секретируются в кровь, чаще в венозную, иногда в лимфу. Другие сигнальные молекулы могут достигать клеток-мишеней без секреции в циркулирующие жидкости. 3. Телекринный эффект (или дистантное действие) - гормоны действуют на клетки-мишени на больщом расстоянии от места синтеза. Гормоны являются высокоспецифичными веществами по отношению к клеткам-мишеням и обладают очень высокой биологической активностью. ХИМИЧЕСКАЯ СТРУКТУРА ГОРМОНОВ. Строение гормонов бывает разным. В настоящее время описано и выделено около 160 различных гормонов из разных многоклеточных организмов. По химическому строению гормоны можно классифицировать по трем классам: 1. Белково-пептидные гормоны; 2. Производные аминокислот; 3. Стероидные гормоны. К первому классу относятся гормоны гипоталамуса и гипофиза (в этих железах синтезируются пептиды и некоторые белки), а также гормоны поджелудочной и паращитовидной желез и один из гормонов щитовидной железы. Ко второму классу относятся амины, которые синтезируются в мозговом слое надпочечников и в эпифизе, а также иод-содержащие гормоны щитовидной железы. Третий класс - это стероидные гормоны, которые синтезируются в коре надпочечников и в половых железах. По количеству углеродных атомов стероиды отличаются друг от друга: С21 - гормоны коры надпочечников и прогестерон; С19 - мужские половые гормоны - андрогены и тестостерон; С18 - женские половые гормоны - эстрогены. Общим для всех стероидов является наличие стеранового ядра, которое представлено на рисунке.
МЕХАНИЗМЫ ДЕЙСТВИЯ ЭНДОКРИННОЙ СИСТЕМЫ. Эндокринная система - совокупность желез внутренней секреции и некоторых специализированных эндокринных клеток в составе тканей, для которых эндокринная функция не является единственной (например, поджелудочная железа обладает не только эндокринной, но и экзокринной функциями). Любой гормон является одним из ее участников и управляет определенными метаболическими реакциями. При этом внутри эндокринной системы существуют уровни регуляции - одни железы обладают способностью управлять другими. ОБЩАЯ СХЕМА РЕАЛИЗАЦИИ ЭНДОКРИННЫХ ФУНКЦИЙ В ОРГАНИЗМЕ.
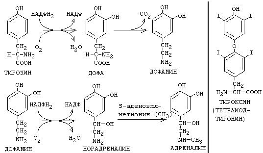
Данная схема включает в себя высшие уровни регуляции в эндокринной системе - гипоталамус и гипофиз, вырабатывающие гормоны, которые сами влияют на процессы синтеза и секреции гормонов других эндокринных клеток. Из этой же схемы видно, что скорость синтеза и секреции гормонов может изменяться также под действием гормонов из других желез или в результате стимуляции негормональными метаболитами. Мы видим также наличие отрицательных обратных связей (-) - торможение синтеза и(или) секреции после устранения первичного фактора, вызвавшего ускорение продукции гормона. В результате содержание гормона в крови поддерживается на определенном уровне, который зависит от функционального состояния организма. Кроме того, организм обычно создает небольшой резерв отдельных гормонов в крови (на представленной схеме этого не видно). Существование такого резерва возможно потому, что в крови многие гормоны находятся в связанном со специальными транспортными белками состоянии. Например, тироксин связан с тироксин-связывающим глобулином, а глюкокортикостероиды - с белком транскортином. Две формы таких гормонов - связанная с транспортными белками и свободная - находятся в крови в состоянии динамического равновесия. Это значит, что при разрушении свободных форм таких гормонов будет происходить диссоциация связанной формы и концентрация гормона в крови будет поддерживаться на относительно постоянном уровне. Таким образом, комплекс какого-либо гормона с транспортным белком может рассматриваться как резерв этого гормона в организме. Один из самых важных вопросов - это вопрос о том, какие изменения метаболических процессов наблюдаются под действием гормонов. Назовем этот раздел: ЭФФЕКТЫ, КОТОРЫЕ НАБЛЮДАЮТСЯ В КЛЕТКАХ-МИШЕНЯХ ПОД ВЛИЯНИЕМ ГОРМОНОВ. Очень важно, что гормоны не вызывают никаких новых метаболических реакций в клетке-мишени. Они лишь образуют комплекс с белком-рецептором. В результате передачи гормонального сигнала в клетке-мишени происходит включение или выключение клеточных реакций, обеспечивающих клеточный ответ. При этом в клетке-мишени могут наблюдаются следующие основные эффекты: 1) Изменение скорости биосинтеза отдельных белков (в том числе белков-ферментов); 2) Изменение активности уже существующих ферментов (например, в результате фосфорилирования - как уже было показано на примере аденилатциклазной системы; 3) Изменение проницаемости мембран в клетках-мишенях для отдельных веществ или ионов (например, для Са+2 ). Уже было сказано о механизмах узнавания гормонов - гормон взаимодействует с клеткой-мишенью только при наличии специального белка-рецептора, (строение рецепторов и их локализация в клетке уже разбирались). Добавим, что связывание гормона с рецептором зависит от физико-химических параметров среды - от рН и концентрации различных ионов. Особое значение имеет количество молекул белка-рецептора на наружной мембране или внутри клетки-мишени. Оно изменяется в зависимости от физиологического состояния организма, при заболеваниях или под влиянием лекарственных средств. А это означает, что при разных условиях и реакция клетки-мишени на действие гормона будет различной. Разные гормоны обладают различными физико-химическими свойствами и от этого зависит местонахождение рецепторов для определенных гормонов. Принято различать два механизма взаимодействия гормонов с клетками-мишенями: - мембранный механизм - когда гормон связывается с рецептором на поверхности наружной мембраны клетки-мишени; - внутриклеточный механизм - когда рецептор для гормона находится внутри клетки, т.е. в цитоплазме или на внутриклеточных мембранах. Гормоны обладающие мембранным механизмом действия: - все белковые и пептидные гормоны, а также амины (адреналин, норадреналин); Внутриклеточным механизмом действия обладают: - стероидные гормоны и производные аминокислот - тироксин и трийодтиронин. Передача гормонального сигнала на клеточные структуры происходит по одному из механизмов. Например, через аденилатциклазную систему или с участием Са+2 и фосфоинозитидов. Это справедливо для всех гормонов с мембранным механизмом действия. Но стероидные гормоны с внутриклеточным механизмом действия, которые обычно регулируют скорость биосинтеза белков и имеют рецептор на поверхности ядра клетки-мишени, не нуждаются в дополнительных посредниках в клетке. Особенности строения белков-рецепторов для стероидов. Наиболее изученным является рецептор для гормонов коры надпочечников - глюкокортикостероидов(ГКС). В этом белке имеется три функциональных участка: 1 - для связывания с гормоном (С-концевой) 2 - для связывания с ДНК (центральный) 3 - антигенный участок, одновременно способный модулировать функцию промотора в процессе транскрипции (N-концевой). Функции каждого участка такого рецептора ясны из их названий. Очевидно, что такое строение рецептора для стероидов позволяет им влиять на скорость транскрипции в клетке. Это подтверждается тем, что под действием стероидных гормонов избирательно стимулируется (или тормозится) биосинтез некоторых белков в клетке. В этом случае наблюдается ускорение (или замедление) образования мРНК. В результате изменяется количество синтезируемых молекул определенных белков (часто - ферментов) и меняется скорость метаболических процессов. БИОСИНТЕЗ и СЕКРЕЦИЯ ГОРМОНОВ РАЗЛИЧНОГО СТРОЕНИЯ Белково-пептидные гормоны. В процессе образования белковых и пептидных гормонов в клетках эндокринных желез происходит образование полипептида, не обладающего гормональной активностью. Но такая молекула в своем составе имеет фрагмент(ы), содержащий(е) аминокислотную последовательность данного гормона. Такая белковая молекула называется пре-про-гормоном и имеет в своем составе (обычно на N-конце) структуру, которая называется лидерной или сигнальной последовательностью (пре-). Эта структура представлена гидрофобными радикалами и нужна для прохождения этой молекулы от рибосом через липидные слои мембран внутрь цистерн эндоплазматического ретикулума (ЭПР). При этом, во время перехода молекулы через мембрану в результате ограниченного протеолиза лидерная (пре-) последовательность отщепляется и внутри ЭПР оказывается прогормон. Затем через систему ЭПР прогормон транспортируется в комплекс Гольджи и здесь заканчивается созревание гормона. Вновь в результате гидролиза под действием специфических протеиназ отщепляется оставшийся (N-концевой) фрагмент (про-участок). Образованная молекула гормона, обладающая специфической биологической активностью поступает в секреторные пузырьки и накапливается до момента секреции. При синтезе гормонов из числа сложных белков гликопротеинов (например, фолликулостимулирующего (ФСГ) или тиреотропного (ТТГ) гормонов гипофиза) в процессе созревания происходит включение углеводного компонента в структуру гормона. Может происходить и внерибосомальный синтез. Так синтезируется трипептид тиролиберин (гормон гипоталамуса). Гормоны - производные аминокислот Из тирозина синтезируются гормоны мозгового слоя надпочечников АДРЕНАЛИН и НОРАДРЕНАЛИН, а также ЙОДСОДЕРЖАЩИЕ ГОРМОНЫ ЩИТОВИДНОЙ ЖЕЛЕЗЫ. В ходе синтеза адреналина и норадреналина тирозин подвергается гидроксилированию, декарбоксилированию и метилированию с участием активной формы аминокислоты метионина.
В щитовидной железе происходит синтез йодсодержащих гормонов трийодтиронина и тироксина (тетрайодтиронина). В ходе синтеза происходит йодирование фенольной группы тирозина. Особый интерес представляет метаболизм иода в щитовидной железе. Молекула гликопротеина тиреоглобулина (ТГ) имеет молекулярную массу более 650 кДа. При этом в составе молекулы ТГ около 10% массы - углеводы и до 1% - йод. Это зависит от количества иода в пище. В полипептиде ТГ - 115 остатков тирозина, которые иодируются окисленным с помощью специального фермента - тиреопероксидазы - йодом. Эта реакция называется органификацией йода и происходит в фолликулах щитовидной железы. В результате из остатков тирозина образуются моно- и ди-иодтирозин. Из них примерно 30% остатков в результате конденсации могутпревратитьться в три- и тетра- иодтиронины. Конденсация и иодирование идут с участием одного и того же фермента - тиреопероксидазы. Дальнейшее созревание гормонов щитовидной железы происходит в железистых клетках - ТГ поглощается клетками путем эндоцитоза и образуется вторичная лизосома в результате слияния лизосомы с поглощенным белком ТГ. Протеолитические ферменты лизосом обеспечивают гидролиз ТГ и образование Т3 и Т4 , которые выделяются во внеклеточное пространство. А моно- и дииодтирозин деиодируются с помощью специального фермента деиодиназы и иод повторно может подвергаться органификации. Для синтеза тиреоидных гормонов характерным является механизм торможения секреции по типу отрицательной обратной связи (Т3 и Т4 угнетают выделение ТТГ). Стероидные гормоны. Стероидные гормоны синтезируются из холестерина (27 углеродных атомов), а холестерин синтезируется из ацетил-КоА.
Холестерин превращается в стероидные гормоны в результате следующих реакций: - отщепление бокового радикала - образование дополнительных боковых радикалов в результате реакции гидроксилирования с помощью специальных ферментов монооксигеназ (гидроксилаз) - чаще всего в 11-м, 17-м, и 21-м положениях (иногда в 18-м). На первом этапе синтеза стероидных гормонов сначала образуются предшественники (прегненолон и прогестерон), а затем другие гормоны (кортизол, альдостерон, половые гормоны). Из кортикостероидов могут образоваться альдостерон, минералокортикоиды. СЕКРЕЦИЯ ГОРМОНОВ. Регулируется со стороны ЦНС. Синтезированные гормоны накапливаются в секреторных гранулах. Под действием нервных импульсов или под влиянием сигналов из других эндокринных желез (тропные гормоны) в результате экзоцитоза происходит дегрануляция и выход гормона в кровь. Механизмы регуляции в целом были представлены в схеме механизма реализации эндокринной функции. ТРАНСПОРТ ГОРМОНОВ. Транспорт гормонов определяется их растворимостью. Гормоны, имеющие гидрофильную природу (например, белково-пептидные гормоны) обычно транспортируются кровью в свободном виде. Стероидные гормоны, йодсодержащие гормоны щитовидной железы транспортируются в виде комплексов с белками плазмы крови. Это могут быть специфические транспортные белки (транспортные низкомолекулярные глобулины, тироксинсвязывающий белок; транспортирующий кортикостероиды белок транскортин) и неспецифический транспорт (альбумины). Уже говорилось о том, что концентрация гормонов в кровяном русле очень низка. И может меняться в соответствии с физиологическим состоянием организма. При снижении содержания отдельных гормонов развивается состояние, характеризуемое как гипофункция соответствующей железы. И, наоборот, повышение содержания гормона - это гиперфункция. Постоянство концентрации гормонов в крови обеспечивается также процессами катаболизма гормонов. КАТАБОЛИЗМ ГОРМОНОВ. Белково-пептидные гормоны подвергаются протеолизу, распадаются до отдельных аминокислот. Эти аминокислоты вступают дальше в реакции дезаминирования, декарбоксилирования, трансаминирования и распадаются до до конечных продуктов: NH3 , CO2 и Н2 О. Гормоны - производные аминокислот подвергаются окислительному дезаминированию и дальнейшему окислению до СО2 и Н2 О. Стероидные гормоны распадаются иначе. В организме нет ферментных систем, которые обеспечивали бы их распад. Что же происходит при их катаболизме ? В основном происходит модификация боковых радикалов. Вводятся дополнительные гидроксильные группы. Гормоны становятся более гидрофильными. Образуются молекулы, представляющие собой структуру стерана, у которого в 17-м положении находится кетогруппа. В таком виде продукты катаболизма стероидных половых гормонов выводятся с мочой и называются 17-КЕТОСТЕРОИДЫ. Определение их количества в моче и крови показывает содержание в организме половых гормонов. |






