Реферат: Особенности структуры простых и сложных белков
|
Название: Особенности структуры простых и сложных белков Раздел: Рефераты по биологии Тип: реферат | ||||||||||||||||||||||||||||||||||||||||||||||||||||||||||||||||||||||||||||||||||||
|
Содержание
1. Особенности структуры простых и сложных белков
По составу белки делят на простые , состоящие только из аминокислотных остатков (протеины), и сложные (протеиды). Сложные могут включать ионы металла (металлопротеиды) или пигмент (хромопротеиды), образовывать прочные комплексы с липидами (липопротеины), нуклеиновыми кислотами (нуклеопротеиды), а также ковалентно связывать остаток фосфорной кислоты (фосфопротеиды), углевода (гликопротеины) или нуклеиновой кислоты (геномы некоторых вирусов). 1.1 Простые белки (протеины) По ряду характерных свойств протеины разделяют на несколько групп. Альбумины . Они растворимы в воде, свёртываются при нагревании, нейтральны, сравнительно трудно осаждаются растворами солей. Примерами их могут служить: альбумин белка куриного яйца, альбумин кровяной сыворотки, альбумин мускульной ткани, молочный альбумин. Глобулины. Они нерастворимы в воде, но растворяются в очень слабых растворах солей. Примерами глобулинов могут служить: фибриноген, глобулин кровяной сыворотки, глобулин мускульной ткани, глобулин белка куриного яйца. Гистоны. Белки основного характера. Находятся в виде нуклеопротеидов в лейкоцитах и красных кровяных шариках. Протамины. Не содержат серы, обладают сравнительно сильными основными свойствами, дают кристаллические соли; содержатся (в виде нуклеопротеинов) в сперматозоидах рыб. Проламины. Находятся в зернах различных хлебных злаков. Замечательной их особенностью является растворимость в 80% -ном спирте. Представителем этих бел- ов может служить глиадин, составляющий главную часть клейковины. Склеропротеины. Нерастворимые белки, которые составляют наружный покров тела животного и находятся в скелете и в соединительной ткани. К ним относятся кератин, коллагены, эластин, фиброин. Кератин является главной составной частью волос, рогов, копыт, ногтей, перьев и верхнего слоя кожи. По химическому составу кератин богат серой Коллагены. Чрезвычайно распространены в живых организмах. Из коллагенов состоит соединительная ткань; они находятся в хрящах. Кости позвоночных животных состоят из неорганических веществ (фосфорнокислого и углекислого кальция), жира и коллагенов. Эластин входит в состав жил и других эластичных веществ соединительной ткани. 1.2 Сложные белки (протеиды) Протеиды являются сложными белками, состоящими из белковой и небелковой частей. Название протеида определяется названием его простетической группы). Так, нуклеиновые кислоты являются небелковой частью нуклеопротеидов, фосфорная к-та входит в состав фосфопротеидов, углеводы – гликопротеидов, а липиды – липопротеидов. Протеиды также можно подразделить на несколько групп. Нуклеопротеиды. Имеют важное значение, т.к. их небелковая часть представлена ДНК и РНК. Простетическая группа представлена в основном гистонами и протаминами. Такие комплексы ДНК с гистонами обнаружены в сперматозоидах, а с гистонами – в соматических клетках, где молекула ДНК “намотана” вокруг молекул гистонов. Нуклепротеидами по своей природе являются вне клетки вирусы – это комплексы вирусной нуклеиновой к-ты и белковой оболочки – капсида. Хромопротеиды. Являются сложными белками, простетическая группа которых представлена окрашенными соединениями. К хромопротеидам относятся гемоглобин, миоглобин (бело мышц), ряд ферментов (каталаза, пероксидаза, цитохромы), а также хлорофилл. Гемоглобин (Hb) состоит из белка глобина и небелковой части гема, включающего атом Fe(II), соединенный с протопорфирином. Молекула гемоглобина состоит из 4-х субъединиц: двух a и двух b и соответственно содержит четыре полипептидные цепочки двух сортов. Каждая a-цепочка содержит 141, а b-цепочка – 146 аминокислотных остатков. Атом железа может образовать шесть координационных связей. Четыре связи направлены к атомам азота пиррольных колец, оставшееся две связи – перпендикулярно к плоскости порфиринового кольца по обе его стороны. Гемы расположены вблизи поверхности белковой глобулы в специальных карманах, образованных складками полипептидных цепочек глобина. Гемоглобин при нормальном функционировании может находиться в одной из трех форм: феррогемоглобин (обычно называемый дезоксигемоглобином или просто гемоглобином), оксигемоглобин и ферригемоглобин (метгемоглобин). В ферригемоглобине железо находится в закисной форме Fe(II), одна из двух связей, перпендикулярных к плоскости порфиринового кольца, направлена к атому азота гистидинового остатка, называемого проксимальным (соседним), по другую сторону порфиринового кольца и на большем расстоянии от него находится другой гистидиновый остаток – дистальный гистидин, не связанный непосредственно с атомом железа. Взаимодействие молекулярного кислорода со свободным гемом приводит к необратимому окислению атома железа гема [Fe(II) Þ Fe(III); гем Þ гемин]. Поэтому в дезоксигемоглобине глобин предохраняет железо от окисления.
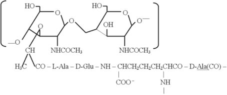
При взаимодействии молекулярного кислорода с гемоглобином существует небольшая, но конечная вероятность окисления последнего: молекула O2 не присоединяется, но окислит железо: Fe2+ + O2 Þ Fe3+ + O2 – . Поэтому при дыхании в эритроцитах непрерывно образуется метгемоглобин. Для его восстановления в эритроците существует специальная ферментативная система, восстанавливающая метгемоглобин и превращающая его в нормальный дезоксигемоглобин. При нарушении этой системы возникает тяжелое заболевание – метгемоглобинемия, при которой гемоглобин перестает быть переносчиком кислорода. Присоединение кислорода меняет кислотно-основные свойства гемоглобина. Оксигемоглоин является более сильной кислотой, чем дезоксигемоглобин. Поэтому в тканях, где значительная часть гемоглобина теряет кислород и становится более сильным основанием, гемоглобин связывает образующуюся в ходе метаболических внутриклеточных процессов углекислоту. В альвеолах легких дезоксигемоглобин снова превращается в оксигемоглобин, становится более сильной кислотой и способствует отщеплению CO2 . Углекислота, освобождаемая тканями, недостаточно хорошо растворима для эффективного переноса. С помощью фермента карбоангидразы, ускоряющего прямую и обратную реакцию: CO2 + H2 O Û HCO3 – + H+ , Двуокись углерода превращается в хорошо растворимый бикарбонат-анион. В капиллярах тканей отщепление кислорода повышает содержание дезоксигемоглобина, связывающего протоны и смещающего равновесие реакции вправо. Легко растворимый ион бикарбоната переносится кровью. В альвеолах легких гемоглобин оксигенируется, протоны освобождаются и равновесие смещается влево. Образуется плохо растворимая двуокись углерода CO2 , которая удаляется из водной фазы и выдыхается. Таким образом, гемоглобин работает как буфер с переменным значением pH. Функция гемоглобина как переносчика углекислоты не менее важна, чем его функция переноса кислорода. Миоглобин. Хромопротеид, содержащийся в мышцах. Он состоит только из одной цепи, аналогичной субъединице гемоглобина. Миоглобин является дыхательным пигментом мышечной ткани. Он значительно легче гемоглобина связывается с кислородом, но труднее отдает его. Миоглобин создает запасы кислорода в мышцах, где его количество может достичь 14% всего кислорода организма. Это имеет важное значение, особенно для работы мышц сердца. Высокое содержание миоглобина обнаружено у морских млекопитающих (тюленя, моржа), что позволяет им длительное время находиться под водой. Гликопротеиды. Представляют собой сложные белки простетическая группа которых образована производными углеводов (аминосахарами, гексуроновыми кислотами). Гликопротеиды входят в состав клеточных мембран. Так, легочные стенки бактерий построены из пептидогликанов, являющихся производными линейных полисахаридов, несущих ковалентно связанные с ними пептидные фрагменты. Эти фрагменты осуществляют сшивание полисахаридных цепей с образованием механически прочной сетчатой структуры. Например, клеточная стенка E . coli построена из полисахаридных цепей, образованных остатками N-ацетилглюкозамина, связанными b-(1®4)связями, причем каждый второй остаток несет присоединенный к нему по атому С3 фрагмент, образованный связанными амидными связями остатками молочной кислоты, L-аланина, D-глутамата (через g-карбоксил), мезодиаминонимелината и D-аланина:
Каждая С-концевая группа этого пептида, принадлежащая остатку D-аланина, образует амидную связь с аминогруппой остатка диаминонимиелиновой кислоты, принадлежащей соседней полисахаридной цепи. Кроме вышеприведенной функции гликопротеиды участвуют в транспорте различных веществ, в процессах свертывания крови, иммунитета, являются составными частями слизи и секретов желудочно-кишечного тракта. У арктических рыб гликопротеиды играют роль антифризов – веществ, препятствующих образованию кристаллов льда внутри их организма. Фосфопротеиды. Имеют в качестве небелкового компонента фосфорную к-ту. Представителями данных белков являются казеиноген молока, вителлин (белок желтков яиц), ихтулин (белок икры рыб). Такая локализация фосфопротеидов свидетельствует о важном их значении для развивающегося организма. У взрослых форм эти белки присутствуют в костной и нервной тканях. Липопротеиды. Сложные белки, простетическая группа которых образована липидами. По строению это небольшого размера (150-200 нм) сферические частицы, наружная оболочка которых образована белками (что позволяет им передвигаться по крови), а внутренняя часть – липидами и их производными. Основная функция липопротеидов – транспорт по крови липидов. В зависимости от количества белка и липидов, липопротеиды подразделяются на хиломикроны, липопротеиды низкой плотности (ЛПНП) и высокой плотности (ЛПВП), которые иногда обозначаются как a- и b-липопротеиды. Хиломикроны являются наиболее крупными из липопротеидов и содержат до 98-99% липидов и только 1-2% белка. Они образуются в слизистой оболочки кишечника и обеспечивают транспорт липидов из кишечника в лимфу, а затем в кровь. В ЛПНП количество белка составляет 9-20% , а среди липидов преобладают холестерин и триацилглицерины (до 40%). Белковая часть ЛПВП колеблется в пределах 35-50%, а белковая представлена фосфолипидами и холестерином. Таким образом, холестерин транспортируется по крови в составе липопротеидов, особенно ЛПНП. 2. Химические основы домашнего приготовления пищи Белки . При температуре 700 С происходит коагуляция (свертывание) белков. Они теряют способность удерживать воду (набухать), т.е. из гидрофильных становятся гидрофобными, при этом уменьшается масса мяса, рыбы и птицы. Частично разрушается третичная и вторичная структура белковых молекул, часть белков превращается в полипептидные цепочки, что способствует лучшему их расщеплению протеазами желудочно-кишечного тракта. Белки, находящиеся в продуктах в виде раствора, при варке свертываются хлопьями и образуют пену на поверхности бульона. Коллаген и эластин соединительной ткани превращаются в глютин (желатин). Общие потери белка при тепловой обработке составляют от 2 до 7%. Превышение температуры и времени обработки способствует уплотнению мышечных волокон и ухудшению консистенции изделий, особенно приготовленных из печени, сердца и морепродуктов. При сильном нагреве на поверхности продукта происходит деструкция крахмала, и идут реакции между сахарами и аминокислотами с образованием меланоидов, которые придают корочке темный цвет, специфический аромат и вкус. Мясопродукты при варке и жаренье в результате уплотнения белков, плавления жира и перехода в окружающую среду влаги и растворимых веществ теряют до 30-40% массы. Наименьшие потери свойственны панированным изделиям из котлетной массы, так как выпрессованная белками влага удерживается наполнителем (хлебом), а слой панировки препятствует ее испарению с обжариваемой поверхности. Жиры . При нагреве жир из продуктов вытапливается. Пищевая ценность его снижается из-за распада жирных кислот. Так, потери линолевой и арахидоновой кислот составляют 20-40%. При варке до 40% жира переходит в бульон, часть его эмульгирует и окисляется. Под действием содержащихся в бульоне кислот и солей эмульгированный жир легко разлагается на глицерин и жирные кислоты, которые делают бульон мутным, придают ему неприятный вкус и запах. В связи с этим варить бульон следует при умеренном кипении, а скапливающийся на поверхности жир надо периодически удалять. Глубокие изменения жира происходят при жаренье. Если температура сковороды превышает 1800 С, то жир распадается с образованием дыма, при этом резко ухудшаются вкусовые качества продуктов. Жарить продукты следует при температуре на 5-100 С ниже температуры дымообразования. При жаренье основным способом жир теряется за счет его разбрызгивания. Это связано с бурным испарением воды при нагревании жира более 1000 С. Потери жира при разбрызгивании называются угаром, и они значительные у жиров, в состав которых входит много воды (маргарин), а также при жаренье увлажненных продуктов (сырой картофель, мясо и др.). Общие потери жира меньше у панировочных изделий. Самые значительные химические изменения жиров наблюдаются при жаренье во фритюре. В результате гидролиза, окисления и полимеризации накапливаются вредные соединения, придающие жиру неприятный запах и прогорклый вкус. Токсические продукты термического окисления жиров (альдегиды и кетоны) адсорбируются на поверхности обжариваемых изделий. Кроме того, жир загрязняется частицами попадающего в него продукта. Для предупреждения нежелательных изменений жира используют фритюрницы, в нижней части которых имеется так называемая холодная зона, где температура жира значительно ниже, и попадающие туда частицы продукта не сгорают. Для предохранения фритюра от порчи используют ряд технологических приемов: фритюр периодически процеживают, руки и инвентарь смазывают растительным маслом, предназначенные для жаренья во фритюре изделия не панируют в сухарях. Углеводы . При нагревании крахмала с небольшим количеством воды происходит его клейстеризация, которая начинается при температуре 55-600 С и ускоряется с повышением температуры до 1000 С. При тепловой обработке картофеля клейстеризация крахмала происходит за счет влаги, содержащейся в самом картофеле. При выпечке изделий из теста крахмал клейстеризуется за счет влаги, выделяемой свернувшимися белками клейковины. Аналогичный процесс происходит при варке предварительно набухших в воде бобовых. Крахмал, содержащийся в сухих продуктах (крупах, макаронных изделиях), клейстеризуется при варке за счет поглощения влаги окружающей среды, при этом масса продуктов увеличивается. Сырой крахмал не усваивается в организме человека, поэтому все крахмалосодержащие продукты употребляют в пищу после тепловой обработке. При нагревании крахмала свыше 1100 С без воды крахмал расщепляется до декстринов, которые растворимы в воде. Декстринизация происходит на поверхности выпекаемых изделий при образовании корочки, при пассеровании муки, поджаривании крупы, запекании макаронных изделий. Сахароза, содержащаяся в плодах и ягодах, при варке под действием кислот расщепляется с образованием глюкозы и фруктозы. При нагревании сахарозы выше 140-1600 С она распадается с образованием темноокрашенных веществ. Этот процесс называется карамелизацией, а смесь продуктов карамелизации – жженка – используется для подкраски супов, соусов и кондитерских изделий. Тепловая обработка способствует переходу протопектина, скрепляющего растительные клетки между собой, в пектин. При этом продукты приобретают нежную консистенцию и лучше усваиваются. На скорость превращения протопектина в пектин влияют следующие факторы: · свойства продуктов: у одних протопектин менее устойчив (картофель, фрукты), у других более устойчив (бобовые, свекла, крупы); · температура варки: чем она выше, тем быстрее идет превращение протопектина в пектин; · реакция среды: кислая среда замедляет этот процесс, поэтому при варке супов картофель нельзя закладывать после квашеной капусты или других кислых продуктов, а при замачивании бобовых нельзя допускать их закисания. Клетчатка – основной структурный компонент стенок растительных клеток – при тепловой обработке она набухает и становится пористее. Витамины . Жирорастворимые витамины (А, D, E, K) при тепловой обработке сохраняются хорошо. Так, пассерование моркови не снижает ее витаминной ценности, наоборот, растворенный в жирах каротин легче превращается в витамин А. Такая устойчивость каротина позволяет длительное время хранить пассерованные овощи в жирах, хотя при длительном хранении витамины частично разрушаются за счет воздействия на них кислорода воздуха. Водорастворимые витамины группы В устойчивы при нагревании в кислой среде, а в щелочной и нейтральной среде разрушаются на 20-30%, частично они переходят в отвар. Самые большие потери тиамина и пиридоксина имеют место при комбинированном нагреве (тушении и др.). Высокая сохранность с кратковременной тепловой обработкой и незначительным количеством вытекающего сока. Наиболее устойчив к нагреванию витамин РР. Сильнее всего при тепловой обработке разрушается витамин С за счет окисления его кислородом воздуха, этому способствуют следующие факторы: · варка продуктов при открытой крышке; · закладка продуктов в холодную воду; · увеличение сроков тепловой обработки и длительное хранение пищи в горячем состоянии на мармите; · увеличение поверхности контакта продукта с кислородом (измельчение, протирание). Кислая среда способствует сохранению витамина С. При варке он частично переходит в отвар. При жаренье картофеля во фритюре витамин С разрушается меньше, чем при жаренье основным способом. Минеральные вещества . Максимальные потери (25-60%) минеральных веществ (калия, натрия, фосфора, железа, меди, цинка и др.) происходят при варке в большом количестве воды за счет перехода их в отвар. Вот почему отвары из экологически чистых овощей используют для приготовления первых блюд и соусов. Обобщенные величины потерь пищевых веществ при тепловой кулинарной обработке продуктов, %
Красящие вещества . Хлорофилл зеленых овощей при варке под действием кислот разрушается с образованием буроокрашенных веществ. Антоцианы сливы, вишни, черной смородины, а также каротин моркови и томатов устойчивы к тепловой обработке. Пигменты свеклы приобретают бурый цвет, поэтому для сохранения ее яркого цвета создают, кислую среду и повышенную концентрацию отвара. Мясо меняет окраску с ярко-розовой на серую вследствие изменения гемоглобина. Максимальные потери пищевых веществ наблюдается при варке основным способом по сравнению с другими видами тепловой обработки продуктов. Усложнение технологии (измельчение, протирание сырых и отварных продуктов, тушение) также способствует потери питательных веществ. Наиболее рациональными с точки зрения сохранения ценных пищевых веществ тепловыми обработками являются: для растительных продуктов — варка без слива отвара и варка в кожуре; для животных — тушение, запекание, использование мяса в виде котлет, особенно паровых. Список использованных источников и литературы
1. Гуськова, Е.В. Биохимия в товароведении [Текст]: учеб. метод. комплекс / Е.В. Гуськова; Челяб. ин-т (фил) ГОУ ВПО «РГТЭУ».- Челябинск: [б.и.], 2008. – 52 с. 2. Марри, Р., Греннер, Д., Мейес, П., Родуэлл, В. Биохимия человека. В 2-х томах. Том 1. Перевод с англ.: - М.: Мир, 1993. – 384 с. 3. Митякина, Ю.А. Биохимия [Текст]: учеб. пособие / Ю.А. Митякина – М.: РИОР, 2005. – 113 с. 4. Нечаев, А.П. Пищевая химия [Текст] / А.П. Нечаев, С.Е. Траубенберг и др. – СПб.: ГИОРД, 2003. – 640 с. 5. Филиппович, Ю.Б. Основы биохимии [Текст] / Ю.Б. Филиппович – М.: Высш. шк., 1993. – 496 с. 6. http://www.med-tutorial.ru 14.05.2010 г. ___________ Е.С. Кокшарова |
||||||||||||||||||||||||||||||||||||||||||||||||||||||||||||||||||||||||||||||||||||

