Шпаргалка: Шпаргалка по Инвестиции
|
Название: Шпаргалка по Инвестиции Раздел: Рефераты по банковскому делу Тип: шпаргалка | ||||||||||||
|
1. Инвестиции - долгосрочное вложение капитала, ден.ср. в к.-л. пр-ия, орг-ии, долгосрочные проекты и т. д. с целью извлечения прибыли. К кап.вложениям относятся вложения в основной и оборотный кап, затраты на кап. ремонт, на приобретение земельных участков и объектов природопользования, а также вложения в нематериальные активы (патенты, лицензии). К фин. инвестициям относятся долгосрочные и краткосрочные займы и кредиты, фин вложения хоз-щих субъектов в приобретение ц.б.и т. д. 1.Ин. инвестиции - все виды имущественных и интеллектуальных ценностей, вкладываемые иностранными инвесторами в объекты пред-кой и других видов деятельности в целях получения прибыли. В Законе РФ «Об ин.ин.» (1999) ин.ин. определяется как «вложение ин-го капитала в объект пред-кой деятельности на территории РФ в виде объектов гражданских прав: вещи; иное имущество (в том числе имущественные права); результаты инт-ой деят-ти, в том числе исключительные права на них (инт-ая соб-ть); работы и услуги; нематериальные блага; инф-ия. Понятие инвестиций охватывает все виды имущественных ценностей, которые ин.инвестор может вкладывать в эк-ку принимающей страны. В перечень основных объектов ин.ин входят: недвижимое и движимое имущество (здания, сооружения, оборудование и другие мат. ценности) и соот-щие имущ-ные права, ден. ср. и вклады; ц.б. (акции, облигации, вклады, паи и др.); права на инт-ую соб-ть; права на осущ. хоз. деятельности. 2
. В настоящее время на международном финансовом рынке можно выделить три полюса мирохозяйственных связей: европейский, североамериканский и азиатско-тихоокеанский. 3. В современных условиях значение международных соглашений в регулировании иностранных инвестиций возросло, а в силу конституционных положений нормы этих соглашений и принципы международного права пользуются приоритетом. В условиях интернационализации хозяйственной жизни особое значение для создания благоприятного инвестиционного климата в странах переходной экономики приобрело соблюдение требований международных стандартов. Под стандартами понимаются международные правила, сформулированные в многосторонних и двусторонних соглашениях, в соответствии с которыми государство-участник берет на себя обязательство следовать предусмотренным в международном праве принципам правового регулирования иностранных инвестиций. Некоторые положения содержатся в Договоре к Энергетической хартии 1994 г., Соглашении о партнерстве и сотрудничестве 1994 г. и в ряде других соглашений. В Договоре к Энергетической хартии 1994 г. предусмотрено, что каждая договаривающаяся сторона в соответствии с положениями этого договора поощряет и создает стабильные, равноправные, благоприятные и гласные условия для инвесторов других договаривающихся сторон с целью осуществления капиталовложений на ее территории. Эти условия включают обязательство предоставлять в любое время в отношении капиталовложений инвесторов других договаривающихся сторон справедливый и равный режим. Сотрудничество России с ЕС направлено на создание благоприятного климата, как для отечественных, так и иностранных инвестиций в первую очередь путем улучшения условий защиты инвестиций, перевода капиталов и обмена информацией об инвестиционных возможностях (ст. 58 Соглашения о партнерстве и сотрудничестве 1994 г.). Принципы, имеющие самое непосредственное отношение к гарантиям в отношении инвестиций, закреплены в таких международно-правовых документах, как резолюции Генеральной Ассамблеи ООН, предусматривающие право государства на национализацию и условия ее проведения (в частности, выплату компенсации собственнику национализированного имущества). К таким договорам относятся международные соглашения, подписанные в результате завершения в 1995 г. уругвайского раунда переговоров, проводимых в рамках ГАТТ, приведших к созданию Всемирной торговой организации (ВТО). Это - Соглашение об инвестиционных мерах, связанных с торговлей (ТРИМС), Генеральное соглашение о торговле услугами (ГАТС) и Соглашение о торговых аспектах прав на интеллектуальную собственность (ТРИПС). В этих соглашениях содержатся обязательства государств - членов ВТО по регулированию инвестиций, осуществляемых в форме вложения капитала (вложений в основные фонды действующих или создаваемых предприятий), в форме оказания услуг, в форме новейших технологий и средств индивидуализации товаров и услуг. Для государств, заинтересованных в притоке иностранных инвестиций, имеет определенное значение участие в многосторонних международных соглашениях, призванных обеспечить защиту прав инвесторов и уменьшить возможные риски в связи с капиталовложениями в других странах. Ряд документов был принят международными организациями, чья деятельность связана с осуществлением инвестиций. Это Кодекс либерализации движения капиталов Организации по экономическому сотрудничеству и развитию (ОЭСР) 1992 г., Кодекс либерализации текущих невидимых операций ОЭСР 1992 г. и Руководство по регулированию прямых иностранных инвестиций Международного банка реконструкции и развития (МБРР) 1992 г. Основными многосторонними конвенциями в этой области являются Сеульская конвенция об учреждении Многостороннего агентства по гарантиям инвестиций 1985 г. и Вашингтонская конвенция 1995 г. Кроме двусторонних соглашений в отношениях стран СНГ действует также Соглашение о сотрудничестве в области инвестиционной деятельности 1993 г. и Конвенция о защите прав инвесторов 1997 г. Конвенция предусматривает предоставление инвесторам из стран СНГ национального режима «за исключением изъятий, которые могут устанавливаться законодательством страны-реципиента», Конвенция предусматривает ряд государственных гарантий. Специальное внутреннее законодательство об иностранных инвестициях имеется в немногих государствах. Прежде всего, такие законы принимались в государствах, особо заинтересованных в притоке иностранных инвестиций, например, в государствах Азии, Африки и Латинской Америки, в социалистических странах. В большинстве западных государств (США, ФРГ, Франция, Великобритания, Япония и др.) нет специальных законодательных актов об иностранных инвестициях; к ним применяется общее законодательство, регулирующее хозяйственную деятельность, антитрестовское законодательство, налоговое, валютное, банковское и др. Подробное регулирование правового режима иностранных инвестиций имеется в тех государствах (КНР, Польша, Венгрия, Литва, Латвия, Эстония и др.), которые проводят активную политику привлечения иностранного капитала и использования его для решения задач экономического развития своих стран. 4. Классификация иностранных инвестиций
Различаются также государственные и частные (иностранные) инвестиции . Государственные инвестиции — это займы и кредиты, которые одно государство или группа государств (например, Организация экономического сотрудничества и развития) предоставляет другим государствам. К ним относятся также государственное участие в капитале смешанных предприятий и инвестиции государственных предприятий. Под частными понимаются инвестиции, которые осуществляют частные экономические субъекты (частные предприятия, банки, отдельные граждане и т.д.) одной страны в экономику другой. Современные инвестиционные связи и потоки настолько сложны и многообразны, что нередко потоки государственных и частных инвестиций тесно переплетаются между собой. В зависимости от степени контроля над зарубежными компаниями инвестиции подразделяются на прямые и портфельные . Прямые инвестиции — это инвестиции, которые обеспечивают инвестору эффективный контроль над заграничной коммерческой организацией. Международный валютный фонд (МВФ) дает следующее определение: «Прямые инвестиции — инвестиции, осуществляемые для участия в прибылях предприятия, действующего на иностранной территории, причем целью инвестора является право непосредственного участия в управлении предприятием». Портфельные инвестиции представляют собой вложения иностранных инвесторов в приобретение акций или паев в уставном капитале компаний, не дающие права контролировать управление и влиять на коммерческую деятельность коммерческой организации, а также в другие ценные бумаги принимающих государств — облигации, государственные долговые обязательства 5
По цели инвестирования выделяют прямые и портфельные (непрямые) инвестиции. 6.
Для того, чтобы определять максимальную эффективность инвестиционного решения, введено понятие инвестиционной привлекательности предприятия. Понятие достаточно новое, в экономических публикациях появилось относительно недавно и используется преимущественно при характеристике и оценке объектов инвестирования, рейтинговых сопоставлениях, сравнительном анализе процессов. Исследование различных точек зрения на его трактовку позволило установить, что в современных представлениях нет единого подхода к сущности этой экономической категории. К одной из наиболее распространенных точек зрения относится сопоставление инвестиционной привлекательности с целесообразностью вложения средств в интересующее инвестора предприятие, которая зависит от ряда факторов, характеризующих деятельность субъекта. Определение хотя и корректное, но достаточно размытое, и не дает оснований рассуждать об оценке. Более точно экономическая сущность инвестиционной привлекательности дается в определении Л. Валинуровой и О. Казаковой. Они понимают под этим термином совокупность объективных признаков, свойств, средств и возможностей, обуславливающих потенциальный платежеспособный спрос на инвестиции. Такое определение шире и позволяет учесть интересы любого участника инвестиционного процесса. Существуют иные точки зрения (в том числе Л. Гиляровской, В. Власовой и Э. Крылова и других). Здесь под инвестиционной привлекательностью понимается оценка эффективности использования собственного и заемного капитала, анализ платежеспособности и ликвидности (аналогичное определение — структура собственного и заемного капитала и его размещение между различными видами имущества, а также эффективность их использования). Оценивая инвестиционную привлекательность с точки зрения дохода и риска, можно утверждать, что это — наличие дохода (экономического эффекта) от вложения средств при минимальном уровне риска. Роль данного понятия при характеристике инвестиционной среды и инвестиционной активности в целом можно проследить на следующей схеме:
Таким образом, становится очевидным, что вне зависимости от используемого экспертом или аналитиком подхода к определению чаще всего термин «инвестиционная привлекательность» используют для оценки целесообразности вложений в тот или иной объект, выбора альтернативных вариантов и определения эффективности размещения ресурсов. Надо отметить, что определение инвестиционной привлекательности направлено на формирование объективной целенаправленной информации для принятия инвестиционного решения. Поэтому при подходе к ее оценке следует различать термины «уровень экономического развития» и «инвестиционная привлекательность». Если первый определяет уровень развития объекта, набор экономических показателей, то инвестиционная привлекательность характеризуется состоянием объекта, его дальнейшего развития, перспектив доходности и роста. Методы оценки Формирование методологии оценки инвестиционной привлекательности предприятий в России находится на начальной стадии. Об этом можно судить не только по малому числу публикаций по данной проблеме, но и по практически полному отсутствию конкретных работающих методик. Одним из наиболее распространенных является анализ инвестиционной привлекательности на основании единого аналитического показателя уровня прибыльности собственных активов. Такой подход, видимо, может иметь место для выборки политики организации, определения наиболее эффективных путей использования капитала в процессе инвестирования, и формирования отдельных направлений инвестиционной деятельности. Поскольку он требует изучения минимального набора факторов, влияющих на принятие решения, его преимущество — относительная оперативность, особенно если есть большой объем информации по однородным объектам инвестирования. При этом оценить можно практически любой объект вложений. Но у этого подхода есть и заметные недостатки — прежде всего, высокая вероятность неточности оценки, невозможность сопоставить результаты анализа из-за отсутствия единой информационной базы, формирующей показатели. Сказывается и индивидуальный подход к оценке объектов инвестирования. По сути, процесс в этом случае сводится к субъективной оценке конкретного объекта тем или иным инвестором, что в свою очередь увеличивает как временные, так и стоимостные затраты на проведение анализа, а кроме того, значительно усложняет выявление искомых параметров, критериев и основных факторов, на нее влияющих. Известно также, что многие компании порой сознательно завышают значения текущих затрат, а значит реальные данные о прибыльности искажаются и, соответственно, снижается показатель эффективности. На практике оценка инвестиционной привлекательности часто сводится к анализу финансового состояния предполагаемых объектов инвестиций. Такой подход имеет не только теоретическое обоснование, но практический эффект. Степень сложности и комплексности анализа зависит от того, кто его проводит. Тем не менее, в качестве наглядного примера приведем критерии оценки инвестиционной привлекательности эмитента векселей, которые используются рядом аналитических служб. 7. Анализ показывает, что на инвестиционную привлекательность проекта совокупно влияют следующие группы факторов.
Эта группа факторов отражает законодательные гарантии равной зашиты прав, интересов и имущества субъектов инвестиционной деятельности независимо от формы собственности. Так, например, Федеральным законом от 25.02.1999 г. № 39-ФЗ «Об инвестиционной деятельности в Российской Федерации, осуществляемой в форме капитальных вложений» установлены равные права инвесторов:
В рамках этого закона государство предусматривает в первую очередь создание благоприятных условий для инвесторов, включая:
Предусматривается также прямое участие государства в инвестиционной деятельности. Степень перспективной стабильности функционирования предприятия. Она отражает прогнозируемые возможности сбыта продукции и обеспечения высокого уровня использования производственных мощностей предприятия, что является необходимым условргем высокой эффективности использования инвестиций. К этой группе факторов следует отнести:
Степень применения инновационных решений в технологии производства и в оборудовании, которая характеризует для инвестора потенциальные возможности предприятия обеспечить высокую конкурентоспособность продукции. К группе факторов, отражающих влияние научно-технического прогресса, относятся:
Ожидаемая эффективность инвестиций должна отражать действительную инвестиционную привлекательность проекта. Для этого определяются основные показатели эффективности проекта:
Для интегральной характеристики влияния всей приведенной выше совокупности факторов могут быть использовны как расчеты с примением простых или сложных методов (к примеру, экономико-математических методов), так и экспертные оценки значимости каждого фактора и суммирование баллов применительно к проекту предприятия. Значения баллов по каждому фактору применительно к отдельным предприятиям отраслей промышленности могут определялятся методом анкетирования репрезентативной группы экспертов, включающих ученых, специалистов отрасли и инстуциональных инвесторов (коммерческих банков, инвестиционных фондов, компаний и т.д.). Таким образом, инвестиционная привлекательность проекта может быть оценена различными методами, направленными на выявление положительных и отрицательных факторов влияния.
8. Существуют разные формы сотрудничества с иностранными партнерами и привлечения иностранных ресурсов. Среди них можно назвать: 1. Международную кооперацию производства , сопровождающая передачей технологии, а иногда и созданием совместной собственности. 2. Получение зарубежных кредитов. 3. Получение иностранного оборудования на основе лизинга. 4. Получение кредитов на компенсационной основе. 5. Привлечение иностранного капитала в предпринимательской форме путем создания совместных предприятий с различной долей иностранного участия, в том числе путем продажи иностранным инвестором акций. 6. Создание предприятий, полностью принадлежащих иностранному капиталу. 7. Сотрудничество с иностранными компаниями в развитии производства на базе договора (контракта) без создания юридического лица. 8. Привлечение иностранного капитала на основе концессий или договора о разделе продукции. 9. Создание свободных экономических зон, направленных на более активное привлечение иностранных капиталов на определенной территории.
9. совместное предприятие , которое представляет собой союз двух или более компаний, объединяющихся ради достижения взаимовыгодных целей. Классический пример совместного предприятия — фирма по производству ламп накаливания, учрежденная в 1879 г. компанией «Дженерал электрик» и ее президентом Томасом Эдисоном и «Корнинг гласе уоркс». Типы совместных предприятий предприятием понимать самостоятельную экономическую единицу с участием двух или более активных партнеров, таких типов можно выделить три: 1) совместные предприятия с равноправным контролем, 2) совместные предприятия с преимущественным контролем одного из партнеров и 3) самостоятельные совместные предприятия. Предприятия первого типа — совместные предприятия с равноправным контролем — обладают известной автономией и хозяйственной самостоятельностью. В качестве примеров назовем фирму «Сателайт бизнес системе» — совместное предприятие, учрежденное ИБМ и страховой компанией «Аетна лайф энд кэжуэлти», а также «Три стар пикчерз» — совместное предприятие телевизионной компании Си-би-эс, киностудии «Коламбиа пикчерз» и телестудии «Хоум бокс офис». И в том, и в другом случае предприятия-учредители не играют активной роли в управлении новым предприятием. Второй тип — совместные предприятия, где один из партнеров занимает доминирующее положение. Сильная родительская компания нередко создает целую сеть таких совместных предприятий, по отношению к которым она выступает в качестве центрального координатора. В качестве примера сошлемся на недавние шаги, предпринятые компанией «Истман кодак». В порядке осуществления широкомасштабного плана диверсификации фирма «Кодак», действуя через созданные при ее участии совместные предприятия, вышла на целый ряд новых рынков. Так, желая проникнуть на обширный и быстрорастущий рынок медицинских товаров, фирма «Кодак» недавно основала совместное предприятие с фирмой «Ай-си-эн фармасютикалз, инк.», чтобы разрабатывать через это предприятие новые лекарства — в частности, противовирусные и для лечения старческих болезней. Кроме того, «Кодак» поставляет на склады этого предприятия около 500 тыс. наименований синтезированных химических препаратов и финансирует исследования «Ай-си-эн фармасютикалз», направленные на поиск возможного фармацевтического применения этих препаратов.
10. Под свободными экономическими зонами (СЭЗ) в международной практике понимаются обособленные территории государств, на которых для решения конкретных экономических и иных задач созданы особые благоприятные условия для деятельности иностранных предприятий. Наибольшее распространение получили свободные таможенные зоны, промышленные зоны и технологические парки и технополисы. Любая экономическая зона, независимо от места ее расположения и цели ее создания, остается неотъемлемой частью государственной территории со всеми вытекающими отсюда последствиями. Зоны такого рода в различных вариантах были созданы в Китае, Вьетнаме, Болгарии, Венгрии, Южной Корее, США и ряде других стран. Создание особых экономических зон служит и привлечению иностранных капиталовложений. В КНР был принят ряд нормативных актов, определяющих статус таких зон, целью образования которых было обеспечение более благоприятных условий для привлечения и использования иностранных капиталовложений, создание режима инвестиций, отличающегося от режима, установленного в остальной части КНР. Первой такой зоной, правовой статус которой был определен парламентом России, стала зона в Находке. Специальное постановление о ней было принято Верховным Советом РСФСР 24 октября 1990 г. Позднее принимались документы о других зонах, в частности, о создании свободной экономической зоны «Сахалин» Для облегчения создания предприятий с иностранными инвестициями в СЭЗ должны предусматриваться возможности для оперативного решения всех возникающих вопросов (регистрации предприятий, оформления кредитов, осуществления таможенных процедур и т.п.). Такие возможности создаются путем делегирования правомочий центральных органов. Во многих странах, где образованы специальные зоны, широкое распространение получили системы обслуживания инвесторов «в одном месте» или «за 24 часа», когда все вопросы выдачи необходимых разрешений и лицензий, связанных с осуществлением капиталовложений, решаются в оперативном порядке на месте. Иностранным инвесторам и предприятиям с иностранными инвестициями, осуществляющим хозяйственную деятельность в СЭЗ, помимо прав и гарантий, предусмотренных действующим на территории рф законодательством, могут предоставляться дополнительные льготы: • упрощенный порядок регистрации предприятий с иностранными инвестициями: предприятия с определенным объемом иностранных инвестиций подлежат регистрации в уполномоченных на то органах непосредственно в СЭЗ; • льготный налоговый режим: иностранные инвесторы и предприятия с иностранными инвестициями облагаются налогами по пониженным ставкам, включая налог на переводимую за границу прибыль; • пониженные ставки платы за пользование землей и иными природными ресурсами; • особый таможенный режим, включающий пониженные таможенные пошлины на ввоз и вывоз товаров, упрощенный порядок пересечения границы; • упрощенный порядок въезда и выезда иностранных граждан, в том числе и безвизовый. 11. ЛИЗИНГ МЕЖДУНАРОДНЫЙ — при осуществлении международного лизинга лизингодатель или лизингополучатель является нерезидентом Российской Федерации, причем, если: — лизингодателем является резидент Российской Федерации, то есть предмет лизинга находится в собственности резидента Российской Федерации, то договор международного лизинга регулируется названным выше Федеральным законом и законодательством Российской Федерации; — лизингодателем является нерезидент Российской Федерации, то есть предмет лизинга находится в собственности нерезидента Российской Федерации, то договор международного лизинга регулируется федеральными законами в области внешнеэкономической деятельности. Международный лизинг можно подразделить на экспортный и импортный . Согласно договору экспортного лизинга лизинговая компания приобретает имущества у национальной фирмы, а затем передает его в пользование на договорных началах иностранному лизингополучателю. Импортный лизинг предполагает обратную ситуацию, когда оборудование лизингодатель закупает у иностранного субъекта хозяйственной деятельности, а затем предоставляет его на правах лизинга отечественному лизингополучателю. В международной практике различаются виды аренды оборудования по срокам: - краткосрочная (рейтинг ), - среднесрочная (хайринг ) до 3 лет для стандартного оборудования, автомобилей, тракторов, железнодорожных вагонов и т.д.; - долгосрочная (лизинг ) для промышленного оборудования, в том числе комплектного. 1. Прямой лизинг имеет место в случае, когда изготовитель или владелец имущества сам выступает лизингодателем, а косвенный - когда сдача в аренду ведется через третье лицо. 2. Стандартный лизинг . При этой форме лизинга изготовитель оборудования продает его лизинговой компании, которая сдает это оборудование в аренду потребителю. Между изготовителем и лизингополучателем нет правовых отношений по договору о лизинге. Однако если встает вопрос о техническом обслуживании оборудования, то его осуществляет по отдельной договоренности изготовитель, а лизинговая компания в вопросы технического обслуживания не вмешивается. 3. Операционный лизинг , если лизингополучатель не намерен приобретать арендованный объект. При финансовом лизинге лизингополучатель сочетает аренду с последующим выкупом его объекта по остаточной стоимости. 4. Возвратный лизинг («лиз-бэк»). С коммерческой точки зрения эта форма лизинга используется в тех случаях, когда фирма испытывает нужду в средствах и стремится улучшить свое финансовое состояние. Сущность операции состоит в том, что собственник оборудования продает лизинговой компании оборудование, а затем берет его в аренду, т.е. продавец оборудования становится лизингополучателем. 5. «Мокрый» лизинг . Особенность этой разновидности лизинга заключается в том, что он предусматривает дополнительные услуги лизингодателя лизингополучателю. Данный вид лизинга является дорогостоящим, так как лизингодатель осуществляет содержание оборудования, ремонт, страхование, иногда управление производством или поставку горючего. Обычно такой лизинг используется в отношении высокоточного, новейшего оборудования, такого как компьютеры, самолеты и другие сложные машины и механизмы. 6. «Чистый» лизинг . В этом случае расходы, связанные с эксплуатацией оборудования, оплачивает лизингополучатель. Он обязан содержать оборудование в рабочем состоянии, обслуживать его и после окончания срока аренды возвратить лизингодателю в хорошем состоянии с учетом нормального износа. Лизингодатель не отвечает за действия, связанные с использованием лизингополучателем имущества. Но он несет ответственность, связанную с возможными действиями властей или иных организаций страны, где используется оборудование. 12. Франчайзинг - это такая организация бизнеса, в которой компания (франчайзер) передает независимому человеку или компании (франчайзи) право на продажу продукта и услуг этой компании. Франчайзи обязуется продавать этот продукт или услуги по заранее определенным законам и правилам ведения бизнеса, которые устанавливает франчайзер. В обмен на осуществление всех этих правил франчайзи получает разрешение использовать имя компании, ее репутацию, продукт и услуги, маркетинговые технологии, экспертизу, и механизмы поддержки. Договор франчайзинга очень часто путают с другими видами договоров, так как он содержит элементы различных договоров: лицензионного, договора о совместной деятельности, договора комиссии, агентского договора и т. д. Новизна отношений франчайзинга и их недостаточное правовое и нормативное регулирование может привести к смешению отношений по другим договорам. Договор франчайзинга представляет собой предпринимательскую сделку, поэтому его сторонами могут быть лишь субъекты предпринимательской деятельности. Он является двусторонним, возмездным, консенсуальным и представляет собой срочную сделку. Франчайзинг можно рассматривать как комплексный договор, совмещающий в себе элементы пользования правами на интеллектуальную собственность, оказания услуг, купли-продажи, отношений простого товарищества. Он регламентирован как самостоятельный тип договора. Поскольку франчайзинг является разновидностью лицензионных договоров, к нему субсидиарно должны применяться правила специальных законов об охране исключительных прав. Договором франчайзинга может быть предусмотрено право пользователя разрешать другим лицам использовать предоставленный ему комплекс исключительных прав полностью или частично (комплексная предпринимательская сублицензия). Подобные договоры между пользователем и другими лицами могут заключаться лишь в случаях и пределах, установленных договором франчайзинга.
13. Одной из форм экономической политики государства является инвестиционная политика , которая включает регулирование всех сторон инвестиционного процесса, а именно: размеры, структуру, источники, эффективность инвестиций Условия усиления роли государства в инвестиционной сфере При анализе возможностей усиления роли государства в инвестиционной сфере следует учитывать, что степень расширения государственного участия имеет объективные пределы. Эти пределы, с одной стороны, обусловлены реальными финансовыми возможностями, а с другой стороны, тем, что рост присутствия государства в экономике должен способствовать притоку частных инвестиций, а не их вытеснению. Оно предполагает повышение эффективности государственной долгосрочной политики и конкретных действий при сохранении рыночных свобод и стимулировании частных инвестиций Определение стратегических приоритетов инвестирования. При определении стратегических приоритетов необходимо исходить из имеющихся конкурентных преимуществ на мировом рынке, выражающийся в первую очередь в наличии разработок высоких технологий. В настоящее время к отраслям, где существуют серьезные технологические заделы и сохраняются потенциальные преимущества, можно отнести авиацию, металлургию, энергетику, машиностроение, станкостроение, биотехнологию и ряд других. Инвестиции в производство инновационной продукции будут способствовать формированию новых направлений перетока капитала, повышению его производительности и стимулированию экономического роста. Точечный характер этих инвестиций позволит добиться экономического оживления при ограниченности инвестиционных источников. Такой подход признан мировой практикой испытанным способом преодоления ограничителей экономического роста, обусловленных недостаточностью рыночных механизмов.
14.
Привлечение иностранных инвестиций может осуществляться российскими предприятиями (предприятия, принимающие инвестиции, называют реципиентами) различными способами. Основными из них являются: кредиты иностранных банков, коммерческие кредиты под государственные гарантии, связанные кредиты (экспортное финансирование), эмиссия и размещение акций через программы АДР, использование концессионной системы. 15. инвестиционный климат региона представляет собой «систему отношений, формирующихся под воздействием широкого круга взаимосвязанных процессов и совокупности условий инвестиционной деятельности политического, социально-психологического, финансово-экономического, законодательного, нормативно-правового, экологического, криминального, ресурсно-сырьевого, производственного, инновационного, трудового, инфраструктурного, потребительского и институционального характера Инвестиционная активность
– реальное развитие инвестиционной деятельности в регионе в виде капиталовложений в основной капитал. Под инвестиционной привлекательностью принято понимать интегральную характеристику отдельных предприятий, отраслей, регионов, стран в целом с позиций перспективности развития, доходности инвестиций и уровня инвестиционных рисков. Она определяется одновременно воздействием двух групп факторов, одна из которых формирует инвестиционный потенциал, а вторая – инвестиционные риски. Совокупность некоммерческих региональных инвестиционных рисков формируется из восьми важнейших частных показателей, к которым относятся: Инвестиционный климат = Инвестиционный потенциал – Инвестиционные риски Таким образом, базовой характеристикой инвестиционной привлекательности территории является инвестиционный потенциал. А инвестиционный климат в свою очередь – условие реализации инвестиционного потенциала с известной степенью инвестиционного риска – ограничителя принятия инвестиционных решений. рганизация управления и финансирование», выделяют три основных подхода: 16. 1. Технологический анализ — исследование того, насколько предлагаемый план сооружения проекта и условия его функционирования разумны, и могут ли они быть реализованы. Это может показаться странным, но экономисты и кредитные аналитики департаментов проектного финансирования банков занимаются далеко не только финансовыми расчетами. Им приходится становиться специалистами в строительстве, промышленном производстве, разведении крупного рогатого скота и т. д. Любая тема проекта требует в первую очередь понимания сути бизнеса, и только потом — экономических расчетов. Поэтому в банках, где объем проектного финансирования достаточно велик, сотрудники распределяются по отраслям, чтобы накапливать навыки и знания, характерные для каждой отрасли. Такое внимание к технологическим вопросам не случайно — проекты чаще всего оказываются провальными не потому, что спонсоры неверно оценили рыночный спрос, а потому, что проектная компания не смогла запустить его в срок и в соответствии с планами. 2. Правовой анализ — вторая по частоте провалов область. Строительство, нефть и другие полезные ископаемые, фармакология — во всех этих отраслях юридические аспекты новых инвестиционных проектов могут оказаться даже более сложными, чем основная инвестиционная часть. Естественно, и внимание со стороны аналитиков здесь должно быть повышенным. 3. Анализ финансовой состоятельности строится на бюджете проекта и создании достаточного запаса финансовой прочности на всех его этапах. Вопросы финансовой состоятельности решаются в фоновом режиме при построении финансовой модели проекта, центрального аналитического документа, который становится одновременно и инструментом исследования перспектив проекта, и средством для достижения взаимопонимания всех его участников. 4. Анализ эффективности включает расчет традиционных показателей эффективности проекта с позиции спонсора и кредитора. Анализ рисков — оценка чувствительности проекта к отклонениям прогнозных данных, изучение различных сценариев его осуществления и анализ возможных убытков спонсора и кредитора. Источники дополнительных гарантий для кредитораВ условиях высокой неопределенности развития проекта кредитор неизбежно будет выходить за рамки простого изучения бизнес-планов и искать дополнительные подтверждения надежности или признаки повышенного риска. Хотя поиск этот и основывается в большой степени на личном опыте и способности к анализу каждого кредитного аналитика, можно все же выделить ряд характерных признаков, на которые скорее всего отреагирует кредитор. Итак, признаки «правильного» проекта, повышающие шансы на финансирование:
Не менее важно и то, кто является спонсором проекта и создателем проектной компании. Кредиторы обычно заинтересованы иметь спонсоров с:
Все это не является обязательной частью требований кредитора, но тщательно изучается на этапе проверки должной добросовестности (due diligence) заемщика и в конечном итоге влияет на принятие решения не меньше, чем стандартные показатели. 18 . Чистая текущая стоимость (чистый приведенный эффект, чистый дисконтированный доход , Net Present Value, NPV) - сумма текущих стоимостей всех спрогнозированных, с учетом ставки дисконтирования, денежных потоков. Метод чистой текущей стоимости (NPV) состоит в следующем. Результаты расчетов показывают, сколько средств нужно было бы вложить сейчас для получения запланированных доходов, если бы ставка доходов была равна барьерной ставке (для инвестора ставке процента в банке, в ПИФе и т.д., для предприятия цене совокупного капитала или через риски). Подытожив текущую стоимость доходов за все годы, получим общую текущую стоимость доходов от проекта (PV):
3. Текущая стоимость инвестиционных затрат (Io) сравнивается с текущей стоимостью доходов (PV). Разность между ними составляет чистую текущую стоимость доходов (NPV): NPV = PV - Io; NPV показывает чистые доходы или чистые убытки инвестора от помещения денег в проект по сравнению с хранением денег в банке. Если NPV > 0, то можно считать, что инвестиция приумножит богатство предприятия и инвестицию следует осуществлять. При NPV < 0, то значит доходы от предложенной инвестиции недостаточно высоки, чтобы компенсировать риск, присущий данному проекту (или с точки зрения цены капитала не хватит денег на выплату дивидендов и процентов по кредитам) и инвестиционное предложение должно быть отклонено. Чистая текущая стоимость (NPV) это один из основных показателей используемых при инвестиционном анализе, но он имеет несколько недостатков и не может быть единственным средством оценки инвестиции. NPV определяет абсолютную величину отдачи от инвестиции, и, скорее всего, чем больше инвестиция, тем больше чистая текущая стоимость. Отсюда, сравнение нескольких инвестиций разного размера с помощью этого показателя невозможно. Кроме этого, NPV не определяет период, через который инвестиция окупится. Если капитальные вложения, связанные с предстоящей реализацией проекта, осуществляют в несколько этапов (интервалов), то расчет показателя NPV производят по следующей формуле:
CFt - приток денежных средств в период t; Обычно для CFt значение t располагоется в пределах от 1 до n; в случае когда CFо > 0 относят к затратным инвестициям (пример: средства выделенные на экологическую программу).
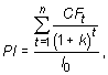
19 Метод расчета рентабельности инвестиций Рентабельность инвестиций
Аналогично рассмотренной выше ситуации с показателем NPV для случая «длительные затраты — длительная отдача» эта формула будет иметь несколько иной вид:
В такой модификации показатель рентабельности инвестиций иногда называют коэффициентом «доход — издержки»
Очевидно, что если NPV положительна, то и PI будет больше единицы, и наоборот. Таким образом, если расчет дает нам PI больше единицы, то такая инвестиция приемлема. Необходимо обратить внимание на то, что PI, выступая как показатель абсолютной приемлемости инвестиций, в то же время предоставляет аналитику возможность для исследования инвестиционного проекта еще в двух аспектах. Во-первых, с его помощью можно нащупать что-то вроде «меры устойчивости» такого проекта. Действительно, если мы рассчитали, что PI равен, допустим, 2, то нетрудно сообразить, что рассматриваемый проект перестанет быть привлекательным для инвестора лишь в том случае, если его выгоды (будущие денежные поступления) окажутся меньшими более чем в 2 раза (это и будет «запас прочности» проекта, обеспечивающий справедливость выводов аналитиков даже при некотором излишнем оптимизме оценки ими выгод проекта). Во-вторых, PI дает аналитикам инвестиций надежный инструмент для ранжирования различных инвестиций с точки зрения их привлекательности. Метод расчета внутренней нормы прибыли Внутренняя норма прибыли, или внутренний коэффициент доходности инвестиций
Если вернуться к описанным выше уравнениям (10.1) и (10.2), то IRR — это то значение k в этих уравнениях, при котором NVP будет равно нулю. Смысл расчета данного коэффициента при анализе эффективности планируемых инвестиций заключается в следующем: IRR показывает максимально допустимый относительный уровень расходов, которые могут быть связаны с данным проектом. Например, если проект полностью финансируется за счет ссуды коммерческого банка, то значение IRR показывает верхнюю границу допустимого уровня банковской процентной ставки, превышение которого делает проект убыточным. На практике любое предприятие финансирует свою деятельность, в том числе и инвестиционную, из различных источников. В качестве платы за пользование авансированными в деятельность предприятия финансовыми ресурсами оно уплачивает проценты, дивиденды, вознаграждения и т.п., то есть несет некоторые обоснованные расходы на поддержание своего экономического потенциала. Показатель, характеризующий относительный уровень этих расходов, можно назвать ценой авансированного капитала
Экономический смысл этого показателя заключается в следующем: предприятие может принимать любые решения инвестиционного характера, уровень рентабельности которых не ниже текущего значения показателя СС (или цены источника средств для данного проекта, если он имеет целевой источник). Именно с ним сравнивается показатель IRR, рассчитанный для конкретного проекта, при этом связь между ними такова: если: IRR > СС, то проект следует принять; IRR < СС, то проект следует отвергнуть; IRR = СС, то проект ни прибыльный, ни убыточный. Так как показатель IRR является корнем уравнения NPV = 0, а функция NPV = f(k) представляет собой алгебраическое уравнение k-ой степени, где k — число лет реализации проекта, для расчета IRR на практике используются либо специализированные финансовые калькуляторы, либо финансовые функции электронных таблиц Excel, Lotus, SUPERCALC. Недостатком критерия IRR является то, что он не может использоваться при анализе инвестиционных проектов с неординарными потоками платежей. В ординарном инвестиционном проекте один или несколько оттоков сменяются серией поступлений денежных средств. Если же в проекте предполагается отток денежных средств в ходе его реализации или по окончании, этот поток называется неординарным. Наиболее распространенная проблема при анализе неординарного проекта — множественность IRR, так как уравнение NPV = 0 — это многочлен n-ой степени, который может иметь n различных корней. Поэтому в качестве критерия эффективности неординарных потоков используется показатель MIRR (англ, modified IRR). MIRR определяется из уравнения: Если все инвестиции имеют место при t = 0, а первый приток происходит при t = 1, это уравнение принимает следующий вид:
20
Внутренняя норма прибыли, или внутренний коэффициент доходности инвестиций Если вернуться к описанным выше уравнениям (10.1) и (10.2), то IRR — это то значение k в этих уравнениях, при котором NVP будет равно нулю. Смысл расчета данного коэффициента при анализе эффективности планируемых инвестиций заключается в следующем: IRR показывает максимально допустимый относительный уровень расходов, которые могут быть связаны с данным проектом. Например, если проект полностью финансируется за счет ссуды коммерческого банка, то значение IRR показывает верхнюю границу допустимого уровня банковской процентной ставки, превышение которого делает проект убыточным. На практике любое предприятие финансирует свою деятельность, в том числе и инвестиционную, из различных источников. В качестве платы за пользование авансированными в деятельность предприятия финансовыми ресурсами оно уплачивает проценты, дивиденды, вознаграждения и т.п., то есть несет некоторые обоснованные расходы на поддержание своего экономического потенциала. Показатель, характеризующий относительный уровень этих расходов, можно назвать ценой авансированного капитала Экономический смысл этого показателя заключается в следующем: предприятие может принимать любые решения инвестиционного характера, уровень рентабельности которых не ниже текущего значения показателя СС (или цены источника средств для данного проекта, если он имеет целевой источник). Именно с ним сравнивается показатель IRR, рассчитанный для конкретного проекта, при этом связь между ними такова: если: IRR > СС, то проект следует принять; IRR < СС, то проект следует отвергнуть; IRR = СС, то проект ни прибыльный, ни убыточный. Так как показатель IRR является корнем уравнения NPV = 0, а функция NPV = f(k) представляет собой алгебраическое уравнение k-ой степени, где k — число лет реализации проекта, для расчета IRR на практике используются либо специализированные финансовые калькуляторы, либо финансовые функции электронных таблиц Excel, Lotus, SUPERCALC. Недостатком критерия IRR является то, что он не может использоваться при анализе инвестиционных проектов с неординарными потоками платежей. В ординарном инвестиционном проекте один или несколько оттоков сменяются серией поступлений денежных средств. Если же в проекте предполагается отток денежных средств в ходе его реализации или по окончании, этот поток называется неординарным. Наиболее распространенная проблема при анализе неординарного проекта — множественность IRR, так как уравнение NPV = 0 — это многочлен n-ой степени, который может иметь n различных корней. Поэтому в качестве критерия эффективности неординарных потоков используется показатель MIRR (англ, modified IRR). MIRR определяется из уравнения:
Если все инвестиции имеют место при t = 0, а первый приток происходит при t = 1, это уравнение принимает следующий вид:
21 |

(10.3) где I0
— первоначальные инвестиции, a CF — денежные поступления в году t, которые будут получены благодаря этим инвестициям.
(10.4) где It
— инвестиции в году t.
