Реферат: Электрохимические свойства покрытий на основе системы Ti-Cr-N
|
Название: Электрохимические свойства покрытий на основе системы Ti-Cr-N Раздел: Рефераты по физике Тип: реферат | |||||||||||||||||||||||||||||||||||||||||||||||||||||||||||||||||||||||||||||||||||||||||||||||||||||||||||||||||||||||||||||||||||||||||||||||||||||||||||||||||||||||||||||||||||
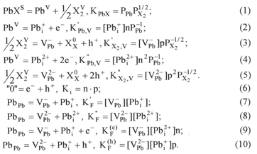
Электрохимические свойства покрытий на основе системы Ti-Cr-N ВведениеДетали и механизмы машин во многих случаях работают при высоких тепловых и механических нагрузках, а также в химически агрессивных средах. Однако, для увеличения срока эксплуатации и защиты изделий от коррозии достаточно улучшения поверхностных слоев материала. Перспективным для повышения стойкости металлических поверхностей к коррозионным процессам является метод конденсации вещества в вакууме с ионной бомбардировкой. Целью данной работы являлось изучение электрохимических свойств покрытий на основе системы Cr-Ti-N с различным содержанием металлических компонент, синтезированных методом конденсации вещества из плазмы в остаточной атмосфере азота при совмещении плазменных потоков металлов. Методика экспериментаПокрытия на основе системы Ti-Cr-N были сформированы на установке ВУ-2МБС методом конденсации вещества с ионной бомбардировкой при совмещении плазменных потоков титана и хрома в остаточной атмосфере азота. Покрытия наносились на стальную подложку из Ст3. Перед осаждением покрытий производилась предварительная очистка и нагрев подложки ионами металла при ускоряющем напряжении 1 кВ и остаточном давлении 1,0·10-3 Па в течение 1 мин для улучшения адгезии. Покрытия осаждались при давлении азота в камере 1,0·10-1 Па, токах дуг горения титанового и хромового катодов 100 А. Изменение отрицательного напряжения, подаваемого на подложку (опорное напряжение, Uоп ), от 0 до 230 В влияло на структурно-фазовое состояние покрытий. Время осаждения составляло 10 мин. Толщина покрытий в зависимости от режимов осаждения составляла 3,0 – 3,5 мкм. Элементный состав образцов исследовался методом Оже- электронной спектроскопии с помощью сканирующего оже- спектрометра PHI-660 (Perkin Elmer). Распределение элементов (Ti, Cr, N, Fe) по глубине изучалось при послойном распылении поверхности ионами аргона с энергией 3 кэВ. Рентгеноструктурный анализ проводился на установке ДРОН-3 с использованием Сu Ка излучения. Электрохимические свойства полученных образцов исследовались вольтампернометрически с линейной разверткой потенциала ( Соединения группы АIV BVI - важные полупроводники для изготовления лазеров и приемников излучения длинноволновой области инфракрасного спектра (4-14 мкм), а также как термоэлектрические материалы [1-3]. Важными факторами, которые определяют рабочие характеристики приборных структур является точечные дефекты. Среди многих известных методов, которые описывают дефектную подсистему полупроводников следует выделить термодинамический метод квазихимических реакций, который был предложен в работах Ф. Креггера и развитый в дальнейшем О.В. Новосёловой, В.П. Зломановым, а также нами [4-6]. В работе приведено обзор работ по вопросам кристаллохимического анализа доминирующих точечных дефектов в кристаллах и пленках халькогенидов свинца. Особое внимание обращено на технологические аспекты инженерии формирование и взаимодействие точечных дефектов, которые определяют тип проводимости и концентрацию носителей заряда материалов. Основой научного анализа равновесного состояния дефектной подсистемы полупроводникового материала является фазовые диаграммы равновесия. Халькогениды свинца PbS, PbSe, PbTe относятся к соединениям нестехиометрического состава. Область существования стабильной гомогенной фазы достаточно узкая и составляет ~ 0,01 ат. %. Она двусторонняя, и ей отвечает большой диапазон изменения концентраций носителей заряда. Так, для селенида свинца, она изменяется от 2,3 1019 см-3 при избытке металла до 2.1019 см-3 при избытке селена [1,2]. Для управления собственными точечными дефектами, то есть степенью отклонения от стехиометрии и, таким образом, типом проводимости, а также концентрацией носителей используют метод двотемпературного отжига в парах компонентов при заданной температуре (рис. 1.). Отметим, что этот процесс достаточно длительный и может составлять несколько десятков суток. Несколько другая ситуация у тонкопленочной технологии. Через незначительную диссоциацию соединений (~ 10%) и сравнимо низкие температуры испарения эффективным оказался квазиравновесный метод выращивания пленок из паровой фазы – так называемый метод горячей стенки [1,2]. Используя основной источник из соединением (PbSe) и дополнительный с компонентами (Pb, Se) или легирующими примесями (Ga, In, Ta), а также изменяя температуру осаждения Ts испарение Те и стенки камеры Tw можно управлять типом проводимости, концентрацией носителей (рис. 2). Выбирая тип подложек - аморфные или монокристаллы - кроме этого можно изменять и степень структурного совершенства. Метод горячей стенки обеспечивает многие технологические требования микроэлектроники при незначительной длительности (несколько минут) осаждения пленок. Кристаллохимичиский подход описания технологических зависимостей концентрации носителей заряда (рис. 1,2) требует знания типа дефектов и их зарядного состояния. Основными видами точечных дефектов в структуре типу NaCl, в которой кристаллизируются халькогениды свинца, является вакансии в катионных и анионных подрешетках, междоузельные атомы в тетраэдрических пустотах, которые не заняты собственными ионами, а также их комплексы. Зная тип дефектов и их зарядные состояния термодинамическое равновесие кристаллической решетки при двухтемпературном отжиге можно описать следующей системой квазихимических уравнений.
Здесь реакция (1) описывает разложение соединения в твердой фазе при температуре отжига Т; реакции (2) -(5) – переход металла и халькогена из газообразной фазы в твердую с образованием в ней соответствующих ионизированных дефектов; реакция (6) – собственную проводимость; реакции (7) -(10) – образование пар Френкеля. Система этих уравнений вместе с уравнениями полной электронейтральности (11) дают возможность найти зависимость концентрации дефектов и холловскую концентрацию носителей nH
от температуры отжига и парциального давления пара компонентов PPb
Несколько другая ситуация в термодинамическом равновесии дефектов кристаллической решетки при осаждении пленок. Здесь степень разложения соединения на компоненты определяет температура основного источника (Tе ), а равновесие в твердой фазе (конденсатой) температура осаждения (Ts ). Парциальное давление пара компонентов задается температурой дополнительного источника. Зависимости разных типов дефектов для пленок PbSe от парциального давления пара халькогена и температуры осаждения представлена на рис. 3.
На основе (1) – (17) получены пространственные P-T-nН – диаграммы, которые определяют технологические условия отжига, которые обеспечивают получение кристаллов и пленок с заранее заданными свойствами: тип проводимости, концентрация носителей. Современный уровень развития радиоэлектронной промышленности, приборостроения, машиностроения и др. требует получения новых покрытий, обладающих комплексом полезных свойств: высокой коррозионной стойкостью и низким переходным сопротивлением, высокой пластичностью и низкими внутренними напряжениями, хорошей способностью к пайке и ультразвуковой сварке, а также высокой микротвердостью и износостойкостью. Такими свойствами могут обладать покрытия системы «металл-неметалл», где в качестве металлической матрицы могут быть использованы никель, кобальт, железо, а в качестве неметалла – бор или фосфор. Наиболее изученными и нашедшими практическое применение являются покрытия никель-бор и никель-фосфор, полученные методами химического или электрохимического осаждения из водных растворов [1-3]. Покрытия никель-кобальт-бор изучены гораздо в меньшей степени, имеющаяся информация касается, в основном, исследований структуры и структурно-фазовых превращений, протекающих в них при термообработке [4]. Сведения о влиянии бора на физико-механические свойства покрытий Ni-Co-B отсутствуют. Цель настоящего исследования – изучение влияния содержания бора, а также температуры прогрева на химический и фазовый составы, микроструктуру и физико-механические свойства покрытий Ni-Co-B; установление взаимосвязи между составом, структурой и проявляемыми свойствами. Поликристаллические и аморфные покрытия никель-кобальт-бор были получены методом электрохимического осаждения из водного раствора. Оптимальными условиями являлись: температура – 30 о С, катодная плотность тока – 2 А/дм2 ,рНраствора – 4,0, при которых были получены покрытия с содержанием бора 3-27 ат.% и кобальта 15-30 ат.%. Скорость осаждения покрытия составляла 24-28 мкм/час, выход сплава по току – 93-97 %. В качестве поставщика бора были использованы декагидрокловодекаборат натрия (Na2 B10 H10 ) и морфолин-боран (С4 Н8 ONH∙BH3 ).Химический анализ полученных покрытий показал, что при введении декагидрокловодекабората натрияи морфолин-борана в раствор электролита никель и кобальт соосаждаются с бором. С увеличением концентрации борсодержащих соединений в электролите содержание бора в покрытии возрастает и достигает максимума: 27 ат.% в случае декагидрокловодекабората натрия, 10 ат.% в случае морфолин-борана. При соосаждении бора и увеличении его концентрации в сплаве содержание кобальта в покрытии уменьшается от 23 до 15 ат.% (табл.1). Покрытия Ni-Co-B с содержанием бора от 3 до 6 ат.% являются поликристаллическими. Увеличение количества неметаллического компонента до 8 ат.% приводит к появлению аморфной составляющей и получению покрытий, представляющих собой смесь кристаллической и аморфной фаз. Аморфные покрытия никель-кобальт-бор гомогенного состава получают при содержании бора в сплаве ≥10 ат.%. Методом рентгенофазового анализа установлено, что легирование никеля кобальтом (до 30 ат.%) ведет к образованию твердого раствора кобальта в никеле с гранецентрированной кубической решеткой (ГЦК). Параметр решетки сплава возрастает до 3,526 Å по сравнению с параметром решетки никеля (а =3,524 Å), что обусловлено большим размером атомов кобальта (rСо = 1.25 Å, rNi = 1.24 Å). Включение 3 ат.% бора приводит к уменьшению параметра решетки до 3,519 Å. Уменьшение периода кристаллической решетки может быть связано с замещением атомов металла в центрах граней решетки, имеющих больший атомный радиус на атомы бора с меньшим атомным радиусом (rВ = 0,97 Å), а также с межатомным взаимодействием бора и никеля (или кобальта) в сплаве. Увеличение количества бора в покрытии до 8 ат.% приводит к дальнейшему уменьшению параметра кристаллической решетки (до а =3,511 Å) и размеров областей когерентного рассеяния (ОКР) (табл.1). Расчет параметра кристаллической решетки сплава Ni-Co-B (8 ат.% бора), проведенный в предположении замещения атомов сплава Ni-Co атомами бора дает существенно более низкие значения а , чем регистрируемые в эксперименте (а расч = 3,466 Å). Поскольку известно, что атомы бора из-за небольших размеров могут занимать октаэдрические пустоты в ГЦК решетке Ni, то можно полагать, что поликристаллические покрытия Ni-Со-B представляют собой твердый раствор бора в ГЦК решетке Ni смешанного замещенно-внедренного типа. Прогрев покрытий Ni-Co и Ni-Co-В на воздухе при Т=8500 С в течении 2 часов приводит к рекристаллизации никеля, увеличению размеров ОКР, изменению химического и фазового составов сплавов. После термопрогрева поверхностные слои покрытий, согласно данным оже-спектроскопии, обогащаются кобальтом, возможно, из-за менее устойчивого положения атомов кобальта в кристаллической решетке никеля, и бором. После прогрева сплава Ni-Coосновной фазой остается никель кристаллический с размерами ОКР 60-70 нм, и появляются фазы оксидов NiO, NiCoO2 и Co3 O4 , общая доля которых достигает ~30 % (табл.1). С увеличением содержания бора доля окисленных состояний никеля и кобальта в термообработанных покрытиях уменьшается до 2-3 % (6-8 ат.% бора), и появляется новая фаза бората кобальта Co3 (BO3 )2 (табл. 1). В рентгеноаморфных покрытиях (20 ат.% бора) фазы оксидов никеля и кобальта отсутствуют, а доля бората кобальта увеличивается до 25 %. На поверхности покрытий формируется стеклоподобная равномерная пленка бората кобальта. Размеры ОКР покрытий Ni-Co-B, независимо от количества соосажденного бора, после термообработки остаются меньшими по сравнению с размерами ОКР покрытий сплава без бора (табл. 1). Таблица 1. Структура, химический и фазовый состав покрытий никель-кобальт и никель-кобальт-бор до и после прогрева
Данные по твердости и весовому износу поликристаллических и аморфных покрытий Ni-Co и Ni-Co-B приведены в таблице 2, из которой следует, что при увеличении содержания бора твердость покрытий гомогенного состава увеличивается. Наблюдаемое уменьшение твердости при содержании бора 8 ат.% в покрытиях Ni-Co-B обусловлено появлением аморфной составляющей и образованием покрытий гетерогенного состава. Наиболее высокими значениями твердости характеризуются рентгеноаморфные покрытия. Прогрев покрытий Ni-Co и Ni-Co-B при 300 о С в течение часа приводит к росту твердости до 6000 МПа в отсутствие бора и до 7500-12000 МПа в его присутствии. Таким образом, твердость прогретых покрытий соответствует значениям твердости хромового покрытия (8500-11000 МПа) [5]. Рост твердости покрытий при прогреве обусловлен образованием фазы борида никеля (Ni3 B) [1], а также упорядочением структуры сплава. Результаты триботехнических испытаний показали, что введение бора и увеличение его концентрации приводит к существенному повышению износостойкости покрытий. Стабильные низкие значения весового износа регистрируются при содержании бора, предшествующем началу аморфизации покрытия. Рентгеноаморфные покрытия характеризуются нестабильным поведением при трении и сравнительно большим разбросом данных (табл. 2). Таблица 2. Влияние бора на твердость и износостойкость покрытий Ni-Co-B
Результаты и их обсуждениеМетодом Оже- электронной спектроскопии обнаружено равномерное распределение основных элементов в покрытиях при всех режимах осаждения. Опорное напряжение оказывает сильное влияние на состав формируемых покрытий. При низких опорных напряжениях (менее 120 В) концентрация хрома превышает значение для титана. С ростом опорного напряжения концентрация титана увеличивается (табл. 1). При этом концентрация азота во всех случаях остается постоянной и составляет ~ 50 ат.%. Проведенный качественный фазовый анализ покрытий показал, что в покрытиях образуется квазибинарный твердый раствор TiN –СrN со ГЦК-структурой типа NaCl. Увеличение концентрации титана в покрытиях приводит к смещению дифракционных линий твердого раствора в сторону нитрида титана. Характерной особенностью сформированных покрытий является преимущественная ориентация (200). Однако, при увеличении опорного напряжения (свыше 120 B) формируется разупорядоченная структура покрытий, что связано с появлением дополнительной дифракционной линии твердого раствора (220). Таблица 3Концентрация элементов в покрытиях на основе системы Ti-Сr-N, сформированных при различных опорных напряжениях
На рис. 1 представлены потенциодинамические iE - кривые для образцов с покрытиями на основе системы Ti−Cr−N в 3% NaCl и 1 М NaON растворах. Электрохимическое поведение исследуемых образцов в растворе 3% NaCl имеет подобный характер в 1М Н2 SO4 , но для циклических вольтамперометрических iE - кривых в растворе 3% NaCl наблюдается гистерезис, который обусловлен накоплением продуктов анодного растворения в порах покрытия. В катодной области при потенциалах отрицательнее -0,4 В возможно восстановление ионов железа на предельном токе. Электрохимическое поведение образцов с покрытием на основе системы Тi-Cr-N в 1 М NaON (рис. 1,б) существенно отличается от поведения в растворе 3% NaCl. Электрокаталитическая активность в кислородной области близка для стали и образцов с покрытиями. Однако для стали Ст3 при обратном ходе развертки в области потенциалов от 0,3 до 0,6 В наблюдается ярко выраженный пик, соответствующий десорбции кислорода и восстановления окисленной поверхности. В водородной области наибольшую электрокаталитическую активность проявляет сталь, наименьшую – образец с покрытием, полученным при опорном напряжении 230 В. На анодной ветви iE – кривой в области потенциалов от -0,85 до +0,1 В для стали Ст3 и образца с покрытием, полученным в отсутствии опорного напряжения, большие анодные токи обусловлены десорбцией адсорбированного и поглощенного водорода. Сопротивление сформированных покрытий коррозионному процессу определялось на основе iE – кривых. Установлено, что скорость анодного растворения основы уменьшается, и сопротивление коррозионному процессу увеличивается для покрытий, сформированных при повышенных опорных напряжениях, по сравнению со сталью (табл. 2).
Таблица 4Плотность тока растворения и сопротивления коррозии стали Ст3 и покрытий на основе системы Ti-Cr-N в растворах 1М H2 SO4 и 3% NaCl
Увеличение коррозионной стойкости покрытий связано со снижением пористости покрытий, которая является центрами коррозионных процессов. Обнаружено понижение в 50 раз пористости покрытий, полученных при опорном напряжении 230 В, по сравнению с покрытиями, сформированными в его отсутствии. ЗаключениеТаким образом, на электрохимические свойства покрытий на основе системы Ti-Cr-N, сформированных методом конденсации вещества из плазменной фазы в вакууме при совмещении плазменных потоков титана и хрома, оказывает влияние опорное напряжение. Увеличение опорного напряжения позволяет понижать пористость покрытий, обеспечивая тем самым их высокую коррозионную стойкость в щелочных и кислых средах. Литература 1. Д.М. Фрек, Л.Й. Межиловська, О.В. Ткачик, Б.С. Дзундза Кристалохімія точкових дефектів і технологічні аспекти кристалів і плівок сполук AIV BVI (огляд) // Физика и химия твердого тела, 2006, Т. 7, №4, сс. 617-628. 2. Ю.И. Равич, В.А. Ефимова, В.А. Смирнова. Методы исследования полупроводников в применении к халькогенидам свинца PbTe, PbSe, PbS. Наука, 1968, M. 384 с. 3. Н.Х. Абрикосов, Л.Е. Шелимова. Полупроводниковые материалы на основе соединений АIV BVI. 1975, Наука, М. 196 с. 4. Р.Р. Сизов. Твердые растворы халькогенидов свинца и олова и фотоприемники на их основе // Зарубежная электронная техника, 1977, 2 , cc. 31-38. 5. В.П. Зломанов, А.В. Новоселова. Р-Т-х-диаграммы состояния системы металл-халькогены.- 1987, Наука, М. 208 с. 6. Д.М. Фреїк, В.В. Прокопів, М.О. Галущак, М.В. Пиц, Г.Д. Матеїк. Кристалохімія і термодинаміка дефектів у сполуках AIV BVI . 1999, Плай, Івано‑Франківськ 164 с. |
|||||||||||||||||||||||||||||||||||||||||||||||||||||||||||||||||||||||||||||||||||||||||||||||||||||||||||||||||||||||||||||||||||||||||||||||||||||||||||||||||||||||||||||||||||


TSe
, K



