Реферат: Моделирование состава машинно-тракторного парка
|
Название: Моделирование состава машинно-тракторного парка Раздел: Рефераты по математике Тип: реферат | ||||||||||||||||||||||||||||||||||||||||||||||||||||||||||||||||||||||||||||||||||||||||||||||||||||||||||||||||||||||||||||||||||||||||||||||||||||||||||||||||||||||||||||||||||||||||||||||||||||||||||||||||||||||||||||||||||||||||||||||||||||||||||||||||||||||||||||||||||||||||||||||||||||||||||||||||||||||||||||||||||||||||||||||||||||||||||||||||||||||||||||||||||||||||||||||||||||||||||||||||||||||||||||||||||||||||||||||||||||||||||||||||||||||||||||||||||||||||||||||||||||||||||||||||||||||||||||||||||||||||||||||||||||||||||||||||||||||||||||||||||||||||||||||||||||||||||||||||||||||||||||||||||||||||||||||||||||||||||||||||||||||||||||||||||||||||||||||||||||||||||||||||||||||||||||||||||||||||||||||||||||||||||||||||||||||||||||||||||||||||||||||
Министерство сельского хозяйства и продовольствия Российской Федерации ТЮМЕНСКАЯ ГОСУДАРСТВЕННАЯ СЕЛЬСКОХОЗЯЙСТВЕННАЯ АКАДЕМИЯ КАФЕДРА ИНФОРМАТИКИ Курсовой проект по моделированию: МОДЕЛИРОВАНИЕ СОСТАВА МАШИННО-ТРАКТОРНОГО ПАРКА Выполнила: Студентка IV курса заочного экономического факультета В.М.Лаптева, Шифр: Э-990348 Проверила: Е.Г.ПУТИЛОВА Тюмень – 1999 г. Содержание проекта
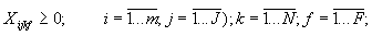
ВВЕДЕНИЕ За последние годы произошло значительное сокращение количества сельскохозяйственной техники в стране. Тяжелое финансовое положение предприятий, нарушенный паритет цен на машины, горюче-смазочные материалы, запасные части и выращиваемую продукцию, и, в особенности, топливный кризис, охвативший государство в апреле-июле текущего года, не позволяют приобретать новую технику и эффективно эксплуатировать имеющуюся. В этих условиях государство должно выступить гарантом перед банками для предоставления фермерам и коллективным сельскохозяйственным предприятиям долгосрочных кредитов на льготных условиях, организации продажи сельскохозяйственной техники на условиях лизинга. Ситуация с сельхозтехникой в южных районах области. В настоящее время в южных районах Тюменской области создано 1600 фермерских хозяйств и сельскохозяйственных предприятий, за которыми закреплено 18 тыс. га пахотных земель, кроме этого, многие фермеры арендуют в коллективных хозяйствах незанятую землю и тем самым вовлекают в производство дополнительные площади. Фермы, специализирующиеся на выращивании зерновых культур, в среднем имеют наделы земли 50-70 га. Минимальный набор сельскохозяйственной техники, выпускаемой на российских заводах, для такого хозяйства может состоять из: колесного трактора ЮМЗ-6Л или ЧТЗ-60м, плуга, дискового лущильщика, культиватора, комплекта зубовых борон, сеялки, опрыскивателя, тракторного прицепа, косилки. Стоимость такого комплекта - около 300000 рублей, что эквивалентно приблизительно 200 т пшеницы III класса. Приобретать зерноуборочный комбайн СК-5М "Нива", стоимостью около 1000000 рублей для одной фермы нецелесообразно. Выгоднее привлекать на уборку комбайны коллективных предприятий или машинно-тракторных станций, отдавая за услуги 15-20% собранного зерна. Если набор техники будет приобретен по лизинговой форме с выплатой их стоимости в течение 5 лет, то хозяйству придется ежегодно отдавать в погашение долга 50000-70000 рублей или 35-45 т пшеницы III класса. Для выполнения сельскохозяйственных операций на площади 50га потребуется израсходовать 2,5 т дизельного топлива и моторного масла стоимостью в текущих ценах болеее 12000 рублей. Расходы на текущий ремонт и техническое обслуживание техники составит в год около 30000 рублей. Таким образом, ориентировочно общие расходы на выращивание зерновых на площади 50 га за год составят (без учета амортизации техники и расходов на уборку зерна) 85000-95000 рублей. При средней урожайности 3,0 т/га, фермер со своего участка получит 150 т зерна, из которых 32 т отдаст за работу зерноуборочного комбайна, 10 т - за семена, из оставшегося зерна (108 т) стоимостью 120000 рублей оплатит расходы на текущий ремонт и техническое обслуживание и получит прибыль в размере 30000-40000 рублей. На 6-й год после выплаты полной стоимости техники доход несколько увеличится, но возрастут затраты на ремонт и амортизацию машин. Значимость машинно-тракторного парка В связи с тем, что в настоящее время государство не в состоянии выделить средства на приобретение техники для всех фермерских хозяйств, а в коллективных сельскохозяйственных предприятиях и совхозах парк машин значительно сократился, и также отсутствуют средства на приобретение новой техники, государство должно выступать гарантом для предоставления банками фермерам и коллективным хозяйствам долгосрочных кредитов на льготных условиях, организации продажи сельскохозяйственной техники на условиях лизинга. Следует также создать специальные предприятия - машинно-тракторные станции (МТС) для оказания помощи и услуг хозяйствам в производстве сельскохозяйственной продукции. МТС могут иметь форму акционерных обществ (компаний) открытого или закрытого типа с привлечением средств частного капитала, коммерческих структур, предприятий с государственной и смешанной формами собственности. Очень активно машинно-тракторные станции создавались в конце 20-х - начале 30-х годов. Однако, в начале 50-х годов, в ходе реформирования сельскохозяйственного производства, большая часть машинно-тракторных станций была реорганизована в различного рода мастерские, заводы и другие производства, а, зачастую, просто расформированы. В настоящее время внось возникли экономические предпосылки, обоснованные нами выше, для создания машинно-тракторных станций. Машинно-тракторные станции (МТС), по нашему мнению, целесообразно создавать в отдельных административных районах области на базе ремонтно- транспортных предприятий, райснабов, предприятий агросервиса и райсельхозхимии. Основные задачи парка машинно-тракторных станций Основными задачами МТС являются: •помощь в выполнении сложных механизированных процессов в фермерских и арендных хозяйствах, коллективных сельскохозяйственных предприятиях, совхозах; •ремонт и техническое обслуживание сельскохозяйственной техники; •обучение фермеров и арендаторов передовым технологиям и методам работы; •консультативная помощь в освоении новой сельскохозяйственной техники, новых технологий, средств химизации. Рекомендуемый состав парка машинно-тракторных станций В составе МТС следует иметь мобильные отряды: • по основной обработке почвы, оснащенные энергонасыщенными тракторами со шлейфом почвообрабатывающих машин; • по внесению минеральных и органических удобрений; • по борьбе с сорными растениями, вредителями и болезнями сельскохозяйственных культур, оснащенные колесными тракторами, опрыскивателями, опыливателями, агрегатами для приготовления рабочих жидкостей; • по заготовке сена, сенажа, силоса, укомплектованные самоходными прицепными и навесными косилками-плющилками, косилками- измельчителями и пресс-подборщиками; • по уборке зерновых и технологических культур, оснащенные высокопроизводительной техникой. Состав и структура машинно-тракторного парка станции (МТС) должны определяться в зависимости от возможных объемов работ и сроков их выполнения. При этом следует учитывать, что дорогостоящие сельскохозяйственные тракторы и машины должны эксплуатироваться в пределах оптимальных агротехнических сроков выполнения технологических операций не в одном, а в разных хозяйствах. Учитывая особенности Тюменской области - как территории с резко континентальными климатическими условиями, при комплектовании парка обязательно должны учитываться возможные отрицательные климато-географически факторы воздействия. Принимая во внимане то, что технологические отряды будут перемещаться как в пределах административного района, так и в соседних районах, при выборе техники должны быть учтены расходы на переезды из одного хозяйства в другое. Для оптимизации состава и структуры парка тракторов, комбайнов, орудий машинно-тракторной станции (МТС) следует использовать методы экономико-математического моделирования . Экономико-математическое моделирование состава машинно-тракторного парка Отправным пунктом при расчетах должна служить производственная программа обслуживаемых хозяйств, технологическая карта на возделывание основных культур, при выращивании и уборке которых будет применяться техника МТС. Математическая модель оптимальной структуры МТП в общем виде может быть сформулирована следующим образом: Найти число агрегатов Хijkf, удовлетворяющее следующими ограничениям: •требование выполнения технологических, транспортных и вспомогательных операций в наиболее целесообразные агротехнические сроки: •ограничение непрерывного выполнения технологических операций в пределах агросрока: •ограничение согласования операций: Требования к выполнению объемов работ и количеству машин в составе МТП:
Ограничение экологического воздействия (разового и суммарного) на природную сферу:
Ограничения неотрицательных переменных:
где: Хj - количество агрегатов j-типа в составе МТП; Хijk - количество агрегатов j-типа, используемых на i-операции, в k-период; Wijk - производительность агрегата j-типа, i-операции, k- период; bikf - объем работ на i-операции, k-период при возделывании f-культуры; a - коэффициент согласования технологических и взаимосвязанных работ; lijr - количество машин r-типа, входящих в состав j- агрегата при выполнении i-операции; I -количество рассматриваемых типов агрегата; K - количество рассматриваемых периодов годового цикла работ; J - количество рассматриваемых операций; N - количество типовых вариантов погодных условий. Критерий оптимальности - минимум интегральных затрат, включаяющий: 1) затраты на приобретение и содержание парка машин:
где Сj - затраты, связанные с приобретением и содержанием техники j- типа (включая нормативную эффективность капитальных затрат), в расчете на N годовых циклов выполнения работ; 2) прямые (эксплуатационные) затраты на выполнение операций по возделыванию сельскохозяйственных культур:
где Сir - прямые затраты на выполнение единицы объема работ по i-той операции, j-того типа за один час работы; Pirkn - объем работ. 3) экономическая оценка невосполнимых экологических нарушений при использовании отдельных машин:
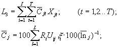
где Uij - снижение урожая культуры при использовании на ее возделывании машин j-того типа в течение t лет; Ri - стоимость единицы продукции урожая l - культуры; nj - количество машин j-го типа в определении состава МТП в расчете на 1000 г земли в обработке; xl - коэффициенты объема l-ой культуры в структуре площадей хозяйства. Коэффициент 4) Потери части урожая культуры из-за использования агрегатов определенными экологическими отклонениями
где
Pi - стоимость единицы продукции l-й культуры. Функционал рассматриваемой оптимизационной задачи:
Сбор исходной информации для решения задачи должен проводиться с учетом использования зарубежной техники, которая поступает на рынок Тюменской области. Планируется провести решение задачи на компьютере, для чего следует подготовить каталог, в который должны войти технико-экономические показатели сельскохозяйственной техники, стоимостные показатели горюче-смазочных материалов, стоимость тракторов, комбайнов, и сельхозмашин с учетом процентных ставок на кредиты для приобретения техники. Для сокращения расходов материальных и финансовых средств на перемещение отряда из одного хозяйства (района) в другой следует оптимизировать и решить транспортную задачу, составить на основе ее решения маршруты и графики переездов с учетом транспортных возможностей агрегатов. Характеристика изучаемого хозяйства Изучаемое хозяйство расположено в центральной части Тюменского района, находящегося на западе Тюменской области. Тюменский район относится географически к лесной (таежной) зоне, к подзоне осиново-березовых лесов, располагаясь в Затобольской провинции этой подзоны. На отдельных площадях хозяйства сохранились березовые рощи с травянистой растительностью, угнетенной систематическим выпасом скота. На других участках травянистая растительность представлена злаками и лесным разнотравьем с примесью клевера. По агроклиматическому районированию – это район теплой, умеренно-увлажненной зоны. Континентальный климат (по отдельным источникам – резко континентальный) формируется под влиянием воздушных масс азиатского материка. Беспрепятственное проникновение арктических масс воздуха с севера и сухих воздушных потоков из Казахстана обуславливает резкие колебания погодных условий, что приводит, в результате, к общей неустойчивости климата. Это особенно выраженно суровой холодной зимой, неплым. Но непродолжительным летом, короткой весной. Средняя температура января: -16,7о С; июля: +16,6 о С. Устойчивый снежный покров образуется в первой декаде ноября, причем его высота достигает 35 см. Период с температурой воздуха выше +10 о С продолжается 125-130 дней, выше +15 о С – 70-85 дней, безморозный период всего 115-125 дней. Годовое количество осадков – 412 мм. Гидротермический коэффициент ~1,1-1,2. При общей удовлетворительной обеспеченности влагой возможен период ее недостатка для растений (атмосферные засухи составляют, в среднем, 24-27 дней ежегодно). Преобладающее направление ветра – юго-западное. Весна – сухая и ветренная, снеготаяние - интенсивное. Начало полевых работ, в среднем, происходит 29 апреля. Хозяйство расположено на Западно-Сибирской плите (плато), в районе лесо-степной равнинной части низменности. Территория хозяйства представлена слабо расчлененной равниной с едва заметными уклонами. В северной части землепользования протекает река. Долина реки пойменная, шириной до 2500 м, местами заболочена. Почвенный покров - однотипный. Преобладают черноземные выщелоченные и темносерые лесостепные почвы. Эти виды занимают основныую часть пахотных угодий. По механическому составу – почвы среднесуглинистые, реже – легкосуглинистые разновидности. В долине реки – супесчанные. Пахотные земли хозяйства по плодородию и свойствам благоприятны для возделывания всех видов культур данной климатической зоны. Производственное направление хозяйства – элитно-семеноводческое с развитым молочным скотоводством. Динамика производственной деятельности
Наряду с растениеводством в хозяйстве уделяется существенное внимание развитию кормовой базы животноводства. Имеется 2427 га естественных сенокосов и пастбищ. Под сенокосами занято 1437 га, из них пойменных – 350 га, суходольных – 386 га, заболоченных – 611 га. При низкой урожайности сена (8-10 ц/га), его себестоимость. По данным 1998 г., довольно высокая – 5,73 руб. Пастбища занимают 1080 га. Вследствие бессистемности выпаса скота урожайность пастбищ низкая – 25-30 ц/га зеленой массы. Основные показатели по отрасли растениеводства
Удельный вес продуктов растениеводства составил 32%, а животноводства – 68%. Продукция животноводства распределяется следующим образом: скотоводство – 83,3%; свиноводство – 13,6%, прочее производство – 3,1%. Скотоводство развивается в цельно-молочном направлении. Тем не менее, хотя этот вид продукции и занимает большую долю в общей ее реализации, это направление является дотационным. Основные показатели по отрасли животноводства
На отрасль животноводства приходится большой удельный вес в затратах труда. На норму рентабельности производства всех видов сельскохозяйственной продукции оказывает влияние себестоимость производства , которая состоит из двух основных элементов – затрат материальных средств и затрат на оплату труда. Приведенная нами ниже разработка по моделированию состава МТП имеет своей направленностью как раз снижение себестоимости производства за счет рационального подхода к структуре МТП. Себестоимость продукции в хозяйстве
Моделирование структуры МТП изучаемого хозяйства Для создания гипотетической модели структуры машинно-тракторного парка нами применялась статистическая программа «Мастер функций» из стандартного пакета программ MSOffice98. В качестве вводных данных при расчетах, проходивших с применением вышеприведенных формул и электронных таблиц MSExel, нами использовались материалы, полученные в изучаемом хозяйстве и представленные в предыдущих разделах и нижеприведенном каталоге. Каталог, составленный по данным 1-го полугодия 1999 г.
Объем работ для МТП
Затраты на приобретение и содержание некоторых составляющих МТП (по данным за 1-е полугодие 1999 г. до удорожания ГСМ)
Стоимость ГСМ на момент моделирования принята за 4,2 руб/литр дизельного топлива. Транспортная схема перемещения по хозяйству предусматривает радиусы холостых пробегов техники не более 12,6 км за машино-смену. Результаты моделирования График 1. Зависимость состава МТП от стоимости ГСМ
График 2. Зависимость состава МТП от транспортной схемы
График 3. Зависимость структуры МТП
График 4. Зависимость структуры МТП от комплексных факторов
Заключение и выводы Анализ материалов, полученных в хозяйстве, по структуре машинно-тракторного парка и механизмам его эксплуатации, позволяет нам, с достаточной долей достоверности определить, что в изучаемом хозяйстве структура машинно-тракторного парка является нерациональной. Так, из представленных материалов, очевидно, что некоторые агрегаты используются крайне не эффективно, большой частью – простаивают. Прицепные агрегаты не имеют свойств подвижных модулей. Себестоимость использования большинства механизмов чрезвычайно высока, и, в связи с удорожанием ГСМ, продолжает нарастать. Наши вычисления показали, что эффективность использования МТП в изученном хозяйстве достигает лишь 47,3%, что ведет к неоправданным затратам и повышению себестоимости (на ~ 16,8%) продукции хозяйства. При существующих площадях, способах их использования и объемах производства сельскохозяйственной продукции, оптимальных для изучаемого хозяйства, в сочетании с прогрессирующим ростом цен на ГСМ, наша модель МТП, в соответствии с представленными выше графическими фантомами, предусматривает наличие в данном хозяйстве: · Гусеничной техники – 19 единиц, · Колесной техники – 24 единицы, · Навесных агрегатов различного типа – 44 единицы. Нам представляется возможным дать следующие рекомендации изучаемому хозяйству: · Довести в течение текущего года структуру МТП до рассчетной модели с реализацией, либо раскомплектацией «лишней» техники. · Разработать и внедрить схему сменяемости навесных агрегатов в зависимости от функциональной необходимости. · Усовершенствовать транспортную схему перемещения техники по хозяйству. · Сократить простои техники с достижением максимальной насыщенности каждой машино-смены производственными заданиями. Список использованной литературы 1. Абалкин Л.И. Курс переходной экономики. 640 с., изд-во «Финстатинформ», 1997 г. 2. Ведута Е.Н. Государственные экономические стратегии. 440 с., изд-во Росс. Экономической академии, 1998 г. 3. Горфинкель В.Я. Экономика предприятия. Учебник. 432 с., изд-во «Экономика», 1996 г. 4. Гребенников П.И. Микроэкономика. 352 с., изд-во «СПбУЭФ», 1996 г. 5. Гребенников П.И., Леусский А.И. Микроэкономика. Учебник. 447 с., изд-во «СПбГУЭФ», 1998 г. 6. Доугерти К. Введение в экономику. 402 с., изд-во «Инфра-М», 1999 г. 7. Зайцев В.И. Экономика предприятия. 234 с., изд-во «АКДИ», 1998 г. 8. Захарченко А.Н., Калинников В.В. и др. Методика и некоторые результаты эксплуатационных исследований влияния различных ходовых систем тракторов класса 3,0 на уплотнение почвы и урожайность сельскохозяйственных культур // Тр. МСХА/ Оптимизация машинотракторного парка - М, 1990, - с. 86-96. 9. Лаптева В.М. Моделирование состава машинно-тракторного парка. 1999 г. 10.Леонтьев В.В. Межотраслевая экономика (сельское хозяйство). 479 с., изд-во «Экономика», 1997 г. 11.Меньшиков С.М. Новая экономика. 400 с., изд-во «Международные отношения», 1999 г. 12.Пахунова Р.Н. Определение оптимального состава машинно-тракторного парка сельскохозяйственных предприятий с учетом экологических факторов //Тр. ЧИМЭСХ/. Интенсификация сельскохозяйственного производства в колхозах и совхозах. - Челябинск, 1990. 13.Савицкая Г.В. Анализ хозяйственной деятельности в АПК. 494 с., изд-во «Экоперспектива», 1999 г. 14.Стражев В.И. Анализ хозяйственной деятельности в промышленности. 398 с., изд-во «Высшая школа», 1998 г. 15.Томас Р. Количественные методы анализа хозяйственной деятельности. 432 с., изд-во «ДИС», 1999 г. 16.Хазанова Л.Э. Математическое моделирование в экономике. 141 с., изд-во «БеК», 1998 г. 17.«Экономика и жизнь», журнал. №№22,23,24, 1998 г. |
||||||||||||||||||||||||||||||||||||||||||||||||||||||||||||||||||||||||||||||||||||||||||||||||||||||||||||||||||||||||||||||||||||||||||||||||||||||||||||||||||||||||||||||||||||||||||||||||||||||||||||||||||||||||||||||||||||||||||||||||||||||||||||||||||||||||||||||||||||||||||||||||||||||||||||||||||||||||||||||||||||||||||||||||||||||||||||||||||||||||||||||||||||||||||||||||||||||||||||||||||||||||||||||||||||||||||||||||||||||||||||||||||||||||||||||||||||||||||||||||||||||||||||||||||||||||||||||||||||||||||||||||||||||||||||||||||||||||||||||||||||||||||||||||||||||||||||||||||||||||||||||||||||||||||||||||||||||||||||||||||||||||||||||||||||||||||||||||||||||||||||||||||||||||||||||||||||||||||||||||||||||||||||||||||||||||||||||||||||||||||||||






