Контрольная работа: Расчет короткого замыкания
|
Название: Расчет короткого замыкания Раздел: Рефераты по физике Тип: контрольная работа | ||||||||||||||||||||||||||||||||||||||||||||||||||||||||||||||||||||||||||||||||||||||||||||||||||||||||||||||||||||
| Содержание 1. Рассчитать трехфазное короткое замыкание в точке К-1 заданной схемы 1.1. Определить мгновенное значение апериодической составляющей тока КЗ при t=0,1 с. 2. Рассчитать однофазное короткое замыкание в точке К-2 заданной схемы. Список использованной литературы
|
| Элемент |
Обозначение |
Индуктивное сопротивление (о.е.м.) |
Активное сопротивление (о.е.м.) |
| Генератор Г-1 |
Г1 |
0,2 |
17 |
| Генератор Г-2 |
Г2 |
0,2 |
17 |
| Генератор Г-3 |
Г3 |
0,15 |
15 |
| Нагрузка Н-1 |
Н1 |
0,7 |
1,75 |
| Нагрузка Н-2 |
Н2 |
0,7 |
1,75 |
| Нагрузка Н-3 |
Н3 |
1 |
2,5 |
| Воздушная линия Л-1 |
Л1 |
0,2 |
0,8 |
| Воздушная линия Л-2 |
Л2 |
0,05 |
0,2 |
| Трансформатор Т-1 |
Т1 |
0,13 |
5,2 |
| Трансформатор Т-2 |
Т2 |
0,13 |
5,2 |
| Трансформатор Т-3 |
Т3В |
0,09 |
3,6 |
| Т3С |
0 |
0 |
|
| Т3Н |
0,19 |
7,6 |
|
| Трансформатор Т-4 |
Т4 |
0,26 |
4,42 |
| Резистор |
Р |
0,0002 |
0,012 |
| Система |
С |
0,032 |
3,2 |
Далее преобразуем схему 1.3.2 к двух лучевому виду. Для начала «треугольник»
,
и
преобразовываем в «звезду»:
![]()
![]()
![]()
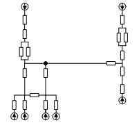
Схема после преобразования показана на рисунке 1.3.3.

Рис. 1.1.3
Продолжаем выполнять сворачивание схемы путем объединения параллельных и последовательных сопротивлений:

Схема приобретает вид, показанные на рис.1.3.4:

Рис. 1.1.4
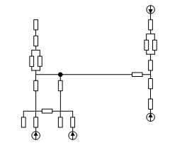
После этого «сворачиваются» сопротивления 1,4,5,6,7,8:

Схема приобретает вид, показанный на рис 1.3.5:

Рис. 1.1.5
Окончательно приводим схему к двух лучевому виду:
![]()

Определяем постоянные времени затухания апериодических составляющих тока КЗ:

Рассчитываем значение апериодической составляющей тока в точке КЗ для момента времени t=0,1 с
кА
2. Рассчитать однофазное короткое замыкание в точке К-2 заданной схемы.
2.1 Определить действующее значение периодической составляющей тока в точке К-2 для момента времени t=0,2 с. Построить векторные диаграммы токов и напряжений в месте несимметричного КЗ для заданного момента времени.
Схема замещения прямой последовательности.
Схема замещения прямой последовательности, включая схемы замещения генераторных и нагрузочных узлов, та же, что и при симметричном трехфазном коротком замыкании.
На рис 2.1.1 представлена развернутая схема замещения прямой последовательности.

Рис. 2.1.1
Проведя ее преобразование к простейшему виду (рис.2.1.2) получим:
![]()

Рис. 2.1.2
Схема замещения обратной последовательности
Пути протекания токов обратной последовательности аналогичны путям протекания прямой последовательности, поэтому структурно схема замещения обратной последовательности. Исключение составляют генераторные и нагрузочные узлы, сопротивления которых считаются постоянными по величине. ЭДС. Началом обоих схем замещения считается точка нулевого потенциала, где объединены свободные концы генераторных и нагрузочных ветвей. Конец схемы – точка не симметрии, причем при продольной не симметрии имеется две точки конца. Поскольку в точке не симметрии в переходном режиме имеется остаточное напряжение, которое можно разложить на симметричные составляющие, то в точках конца подключаются напряжения U1
или U2
для поперечной не симметрии и
или
для продольной.
Для обратной последовательности предположим, что ![]()
Схема замещения нулевой последовательности
В силу особенности протекания токов нулевой последовательности схема замещения нулевой последовательности существенно отличается от схемы замещения прямой последовательности. Различие, в первую очередь определяется схемами замещения линий электропередач и трансформаторов. Параметры всех элементов считаются постоянными, ЭДС нулевой последовательности принимается равной нулю.
Принимаем:
![]()
После проведения расчетов, получим:
![]()
С помощью таблицы 6.2 [1, c.48] определяем дополнительное сопротивление и значение коэффициента:
![]()
Рассчитываем ток прямой последовательности особой фазы
![]()
Определяем ток поврежденной фазы:
кА
Рассчитываем ток обратной последовательности:
кА
Рассчитываем ток нулевой последовательности:
кА
Находим напряжение прямой последовательности:
В
Находим напряжение обратной последовательности:
В
Находим напряжение нулевой последовательности:
![]()
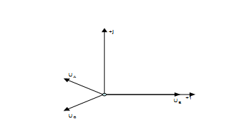
Строим векторные диаграммы токов и напряжений [2,с.215], которые показаны на рис. 2.1.3 и 2.1.4.

Рис. 2.1.3 Векторная диаграмма токов

Рис. 2.1.4 Векторная диаграмма напряжений
2.2 Определить действующее значение периодической составляющей тока КЗ в указанном сечении F-F и напряжения в указанной точке М для момента времени t=0,2 с и построить соответствующие векторные диаграммы.
Расчет проводим методом спрямленных характеристик.
Поскольку t=0,2c<0,5c, то считаем, что все генераторы работают в режиме подьема возбуждения и вводим в схему замещения ЭДС
и сопротивлением ![]()
Эти параметры определяем по испрямленным характеристикам [1, c.56, рис.6.5].
Результаты заносим в таблицу 2.2.1
Таблица 2.2.1
Параметры генераторов
| Элемент |
ЭДС |
Сопротивление |
Приведенное сопротивление |
| Генератор Г-1 |
1,12 |
1,42 |
1,893 |
| Генератор Г-2 |
1,12 |
1,42 |
1,893 |
| Генератор Г-3 |
1,24 |
0,35 |
0,2979 |
| Нагрузка Н-1 |
0 |
0,35 |
0,7 |
| Нагрузка Н-2 |
0 |
0,35 |
0,7 |
| Нагрузка Н-3 |
0 |
0,35 |
1 |
Развернутая схема замещения представлена на рис. 2.2.1

Рис.2.2.1 Схема замещения для определения
Сворачиваем схему замещения к простейшему виду и определяем эквивалентную ЭДС и результирующее сопротивление прямой последовательности аналогично пункту 2.2.1.
![]()
Далее принимаем сопротивление обратной последовательности равным сопротивлению прямой последовательности и повторяем расчет для нулевой последовательности.
В итоге получаем:
![]()
Определяем ток прямой последовательности в точке КЗ:
![]()
Далее находим критическое сопротивление и критический ток для каждого генератора в данный момент времени. Результаты расчетов сводим в таблицу 2.2.2
Таблица 2.2.2
Критические параметры генераторов
| Генератор |
Критическое сопротивление |
Критический ток |
| Г1 |
11,8333 |
0,0845 |
| Г2 |
11,8333 |
0,0845 |
| Г3 |
1,4583 |
0,6857 |
Далее находим распределение тока прямой последовательности по ветвям схемы и определяем ток от каждого генератора.
| Генератор |
Ток |
| Г1 |
0,074225 |
| Г2 |
0,074225 |
| Г3 |
0,200006 |
Поскольку полученные значения токов меньше критических значений, необходимо делать перерасчет для режима нормального напряжения.
После перерасчета получим:
![]()
![]()
![]()
Рассчитываем ток прямой последовательности особой фазы
![]()
Определяем ток поврежденной фазы:
кА
Рассчитываем ток обратной последовательности:
кА
Рассчитываем ток нулевой последовательности:
кА
Ток поврежденной фазы А в точке КЗ:
кА
Действующее напряжение в точке М будет равно:
![]()
Действующее значение периодической составляющей тока КЗ в сечении F-F будет равно:
кА
Строим векторные диаграммы для токов и напряжений [2, c.246]

Рис.2.2.2

Рис. 2.2.3
Список использованной литературы
1. «Методические указания к выполнению курсовой работы «Расчет токов короткого замыкания»», Г.К. Воронковский и др., Харьков, НТУ «ХПИ», 2004 г, 68 с.
2. «Переходные процессы в системах электроснабжения», учебник для втузов, Г.Г. Ивняк и др.,Днепропетровск, Национальный горный университет, 2003 г, 548с., ил.

