Реферат: Уравнения и способы их решения
|
Название: Уравнения и способы их решения Раздел: Рефераты по математике Тип: реферат |
| Министерство общего и профессионального образования РФ
Муниципальное образовательное учреждение Гимназия № 12 сочинение на тему: Уравнения и способы их решения
Выполнил: ученик 10 "А" класса Крутько Евгений Проверила: учитель математики Исхакова Гульсум Акрамовна
Тюмень 2001 Содержание План ................................................................................................................................... 1 Введение ........................................................................................................................... 2 Основная часть ................................................................................................................. 3 Заключение ..................................................................................................................... 25 Приложение ................................................................................................................... 26 Список использованной литературы .......................................................................... 29 План.
Введение. Историческая справка. Уравнения. Алгебраически уравнения. а) Основные определения. б) Линейное уравненение и способ его решения. в) Квадратные уравнения и способы его решения. г) Двучленные уравнения способ их решения. д) Кубические уравнения и способы его решения. е) Биквадратное уравнение и способ его решения. ё) Уравнения четвертой степени и способы его решения. ж) Уравнения высоких степеней и способы из решения. з) Рациональноное алгебраическое уравнение и способ его решения. и) Иррациональные уравнения и способы его решения. к) Уравнения, содержащие неизвестное под знаком. абсолютной величины и способ его решения. Трансцендентные уравнения. а) Показательные уравнения и способ их решения. б) Логарифмические уравнения и способ их решения. Введение Математическое образование, получаемое в общеобразовательной школе, является важнейшим компонентом общего образования и общей культуры современного человека. Практически все, что окружает современного человека – это все так или иначе связано с математикой. А последние достижения в физике, технике и информационных технологиях не оставляют никакого сомнения, что и в будущем положение вещей останется прежним. Поэтому решение многих практических задач сводится к решению различных видов уравнений, которые необходимо научиться решать. Данная работа является попыткой обобщить и систематизировать изученный материал по выше указанной теме. Я расположил материал по степени его сложности, начиная с самого простого. В него вошли как известные нам виды уравнений из школьного курс алгебры, так и дополнительный материал. При этом я попытался показать виды уравнений, которые не изучаются в школьном курсе, но знание которых может понадобиться при поступлении в высшее учебное заведение. В своей работе при решении уравнений я не стал ограничиваться только действительным решением, но и указал комплексное, так как считаю, что иначе уравнение просто недорешено. Ведь если в уравнении нет действительных корней, то это еще не значит, что оно не имеет решений. К сожалению, из-за нехватки времени я не смог изложить весь имеющийся у меня материал, но даже по тому материалу, который здесь изложен, может возникнуть множество вопросов. Я надеюсь, что моих знаний хватит для того, чтобы дать ответ на большинство вопросов. Итак, я приступаю к изложению материала. Математика... выявляет порядок, симметрию и определенность, а это – важнейшие виды прекрасного. Аристотель.
Историческая справка В те далекие времена, когда мудрецы впервые стали задумываться о равенствах содержащих неизвестные величины, наверное, еще не было ни монет, ни кошельков. Но зато были кучи, а также горшки, корзины, которые прекрасно подходили на роль тайников-хранилищ, вмещающих неизвестное количество предметов. "Ищется куча, которая вместе с двумя третями ее, половиной и одной седьмой составляет 37...", - поучал во II тысячелетии до новой эры египетский писец Ахмес. В древних математических задачах Междуречья, Индии, Китая, Греции неизвестные величины выражали число павлинов в саду, количество быков в стаде, совокупность вещей, учитываемых при разделе имущества. Хорошо обученные науке счета писцы, чиновники и посвященные в тайные знания жрецы довольно успешно справлялись с такими задачами. Дошедшие до нас источники свидетельствуют, что древние ученые владели какими-то общими приемами решения задач с неизвестными величинами. Однако ни в одном папирусе, ни в одной глиняной табличке не дано описания этих приемов. Авторы лишь изредка снабжали свои числовые выкладки скупыми комментариями типа: "Смотри!", "Делай так!", "Ты правильно нашел". В этом смысле исключением является "Арифметика" греческого математика Диофанта Александрийского (III в.) – собрание задач на составление уравнений с систематическим изложением их решений. Однако первым руководством по решению задач, получившим широкую известность, стал труд багдадского ученого IX в. Мухаммеда бен Мусы аль-Хорезми. Слово "аль-джебр" из арабского названия этого трактата – "Китаб аль-джебер валь-мукабала" ("Книга о восстановлении и противопоставлении") – со временем превратилось в хорошо знакомое всем слово "алгебра", а само сочинение аль-Хорезми послужило отправной точкой в становлении науки о решении уравнений. уравнения. Алгебраические уравнения Основные определения В алгебре рассматриваются два вида равенств – тождества и уравнения. Тождество
– это равенство, которое выполняется при всех (допустимых) значениях входящих в него букв [1]
). Для записи тождества наряду со знаком Уравнение
– это равенство, которое выполняется лишь при некоторых значениях входящих в него букв. Буквы, входящие в уравнение, по условию задачи могут быть неравноправны: одни могут принимать все свои допустимые значения (их называют параметрами
или коэффициентами
уравнения и обычно обозначают первыми буквами латинского алфавита: В общем виде уравнение может быть записано так:
В зависимости от числа неизвестных уравнение называют уравнением с одним, двумя и т. д. неизвестными. Значение неизвестных, обращающие уравнение в тождество, называют решениями уравнения. Решить уравнение – это значит найти множество его решений или доказать, что решений нет. В зависимости от вида уравнения множество решений уравнения может быть бесконечным, конечным и пустым. Если все решения уравнения
Два уравнения
называют эквивалентными , если каждое из них является следствие другого, и пишут
Таким образом, два уравнения считаются эквивалентными, если множество решений этих уравнений совпадают. Уравнение Н е к о т о р ы е э к в и в а л е н т н ы е у р а в н е н и я: Уравнение Уравнение
Уравнение Уравнение Алгебраическим уравнением называется уравнение вида
где Алгебраическим уравнением с одним неизвестным называется уравнение, сводящееся к уравнению вида
где n – неотрицательное целое число; коэффициенты многочлена Значения неизвестного х, обращающие алгебраическое уравнение в тождество, называются корнями (реже решениями ) алгебраического уравнения. Есть несколько видов уравнений, которые решаются по готовым формулам. Это линейное и квадратное уравнения, а также уравнения вида F(х) Так вот, главная задача при решении любого уравнения – свести его к простейшим. Все ниже перечисленные уравнения имеют так же и свое графическое решение, которое заключается в том, чтобы представить левую и правую части уравнения как две одинаковые функции от неизвестного. Затем строится график сначала одной функции, а затем другой и точка(и) пересечения двух графиков даст решение(я) исходного уравнения. Примеры графического решения всех уравнений даны в приложении.
Линейное уравнение Линейным уравнением называется уравнение первой степени. где a и b – некоторые действительные числа. Линейное уравнение всегда имеет единственный корень Прибавляя к обеим частям уравнения (1) число эквивалентное уравнению (1). Разделив обе части уравнения (2) на величину
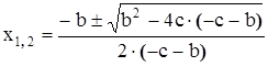
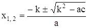
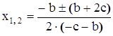
Квадратное уравнение Алгебраическое уравнение второй степени. где Корни квадратного уравнения вычисляются по формуле
Выражение При этом: если если если
Частными видами квадратного уравнения (3) являются: 1) Приведенное квадратное уравнение (в случае, если
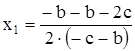
Корни приведенного квадратного уравнения вычисляются по формуле Эту формулу называют формулой Виета – по имени французского математика конца XVI в., внесшего значительный вклад в становление алгебраической символики. 2) Квадратное уравнение с четным вторым коэффициентом, которое обычно записывается в виде
Корни этого квадратного уравнения удобно вычислять по формуле Формулы (4) и (5) являются частными видами формулы для вычисления корней полного квадратного уравнения. Корни приведенного квадратного уравнения
связаны с его коэффициентами Формулами Виета
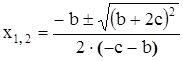
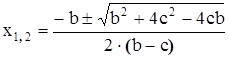
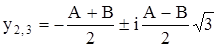
В случае, если приведенное квадратное уравнение имеет действительные корни, формулы Виета позволяют судить как о знаках, так и об относительной величине корней квадратного уравнения, а именно: если если если если Перепишем еще раз квадратное уравнение и покажем еще один способ как можно вывести корни квадратного уравнения (6) через его коэффициенты и свободный член. Если то корни квадратного уравнения вычисляются по формуле
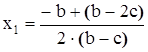
откуда
которая может быть получена в результате следующих преобразований исходного уравнения, а так же с учетом формулы (7).
Заметим, что
откуда
но
Если положить, что
Заметим, что
откуда
но
и
Двучленные уравнения Уравнения n-й степени вида называется двучленным уравнением
. При
где
которое и будет далее рассматриваться. Двучленное уравнение
Двучленное уравнение Двучленное уравнение
Двучленное уравнение Приведем краткую сводку множеств корней двучленного уравнения для некоторых конкретных значений n. 1) Уравнение имеет два действительных корня 2) Уравнение имеет один дествительный корень
3) Уравнение имеет два действительных корния 4) Уравнение действительных корней не имеет. Комплексные корни: 5) Уравнение имеет один дествительный корень
6) Уравнение действительных корней не имеет. Комплексные корни:
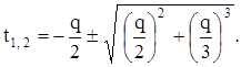
Кубические уравнения Если квадратные уравнения умели решать еще математики Вавилонии и Древней Индии, то кубические, т.е. уравнения вида
оказались "крепким орешком". В конце XV в. профессор математики в университетах Рима и Милана Лука Пачоли в своем знаменитом учебнике "Сумма знаний по арифметике, геометрии, отношениям и пропорциональности" задачу о нахождении общего метода для решения кубических уравнений ставил в один ряд с задачей о квадратуре круга. И все же усилиями итальянских алгебраистов такой метод вскоре был найден. Начнем с упрощения Если кубическое уравнение общего вида
разделить на Так же как в основе решения квадратного уравнения лежит формула квадрата суммы, решение кубического уравнения опирается на формулу куба суммы:
Чтобы не путаться в коэффициентах, заменим здесь Мы видим, что надлежащим выбором
Если здесь сделать замену
Итак, мы показали, что в кубическом уравнении (11) с помощью подходящей подстановки можно избавиться от члена, содержащего квадрат неизвестного. Поэтому теперь будем решать уравнение вида Формула Кардано Давайте еще раз обратимся к формуле куба суммы, но запишем ее иначе:
Сравните эту запись с уравнением (13) и попробуйте установить связь между ними. Даже с подсказкой это непросто. Надо отдать должное математикам эпохи Возрождения, решившим кубическое уравнение, не владея буквенной символикой. Подставим в нашу формулу
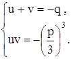
Теперь уже ясно: для того, чтобы найти корень уравнения (13), достаточно решить систему уравнений
и взять в качестве
Дальше можно действовать по-разному, но все "дороги" приведут к одному и тому же квадратному уравнению. Например, согласно теореме Виета, сумма корней приведенного квадратного уравнения равна коэффициенту при
Выпишем эти корни:
Переменные
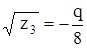
Эта формула известная как формула Кардано . Тригонометрическое решение
подстановкой Корни
где
Пусть "неполное" кубичное уравнение (14) действительно. а) Если
где
(b) Если
где
(с) Если
где
Во всех случаях берется действительное значение кубичного корня. Биквадратное уравнение Алгебраическое уравнение четвертой степени.
где a, b, c – некоторые действительные числа, называется биквадратным уравнением
. Заменой Если
Если
Если
Уравнения четвертой степени Метод решения уравнений четвертой степени нашел в XVI в. Лудовико Феррари, ученик Джероламо Кардано. Он так и называется – метод Феррари . Как и при решении кубического и квадратного уравнений, в уравнении четвертой степени
можно избавиться от члена
Идея Феррари состояла в том, чтобы представить уравнение в виде Правая часть этого уравнения – квадратный трехчлен от
Это уравнение называется резольвентным
(т.е. "разрешающим"). Относительно
а само уравнение сводится к двум квадратным:
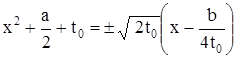
Их корни и дают все решения исходного уравнения. Решим для примера уравнение
Здесь удобнее будет воспользоваться не готовыми формулами, а самой идеей решения. Перепишем уравнение в виде
и добавим к обеим частям выражение
Теперь приравняем к нулю дискриминант правой части уравнения:
или, после упрощения,
Один из корней полученного уравнения можно угадать, перебрав делители свободного члена:
откуда Решение Декарта-Эйлера
подстановкой Корни
в которых сочетания знаков выбираются так, чтобы удовлетворялось условие
причем
Уравнения высоких степеней Разрешимость в радикалах Формула корней квадратного уравнения известна с незапамятных времен, а в XVI в. итальянские алгебраисты решили в радикалах уравнения третьей и четвертой степеней. Таким образом, было установлено, что корни любого уравнения не выше четвертой степени выражаются через коэффициенты уравнения формулой, в которой используются только четыре арифметические операции (сложение, вычитание, умножение, деление) и извлечение корней степени, не превышающей степень уравнения. Более того, все уравнения данной степени После этого естественно возник вопрос: а есть ли похожие общие формулы для решения уравнений пятой степени и выше? Ответ на него смог найти норвежский математик Нильс Хенрик Абель в начале XIX в. Чуть раньше этот результат был указан, но недостаточно обоснован итальянцем Паоло Руффини. Теорема Абеля-Руффини звучит так:
Общее уравнение степени
Таким образом, общей формулы, применимой ко всем уравнениям данной степени
с целыми коэффициентами, можно выразить в радикалах через рациональные числа. На самом деле такое выражение существует далеко не всегда. Это следует из теоремы разрешимости алгебраических уравнений, построенной выдающимся французским математиком Эваристом Галуа в его "Мемуаре об условиях разрешимости уравнений в радикалах" (1832 г.; опубликован в 1846 г.). Подчеркнем, что в прикладных задачах нас интересует только приближенные значения корней уравнения. Поэтому его разрешимость в радикалах здесь обычно роли не играет. Имеются специальные вычислительные методы, позволяющие найти корни любого уравнения с любой наперед заданной точностью, ничуть не меньшей, чем дают вычисления по готовым формулам. Уравнения, которые решаются Хотят уравнения высоких степеней в общем случае неразрешимы в радикалах, да и формулы Кардано и Феррари для уравнений третьей и четвертой степеней в школе не проходят, в учебниках по алгебре, на вступительных экзаменах в институты иногда встречаются задачи, где требуется решить уравнения выше второй степени. Обычно их специально подбирают так, чтобы корни уравнений можно было найти с помощью некоторых элементарных приемов. В основе одного из таких приемов лежит теорема о рациональных корнях многочлена: Если несократимая дробь Для доказательства достаточно подставить в уравнение
Все слагаемые в левой части, кроме последнего, делятся на С помощью этой теоремы можно найти все рациональные корни уравнения с целыми коэффициентами испытанием конечного числа "кандидатов". Например, для уравнения
старший коэффициент которого равен 1, "кандидатами" будут делители числа –2. Их всего четыре: 1, -1, 2 и –2. Проверка показывает, что корнем является только одно из этих чисел: Если один корень найден, можно понизить степень уравнения. Согласно теореме Безу,
остаток от деления многочлена Из теоремы непосредственно следует, что
Если Продолжая наш пример, вынесем из многочлена
множитель 0 Но есть и более простой способ. Он станет понятен из примера:
Метод неопределенных коэффициентов Если у многочлена с целыми коэффициентами рациональных корней не оказалось, можно попробовать разложить его на множители меньшей степени с целыми коэффициентами. Рассмотрим, например, уравнение
Представим левую часть в виде произведения двух квадратных трехчленов с неизвестными (неопределенными) коэффициентами:
Раскроем скобки в правой части и приведем подобные:
Теперь, приравнивая коэффициенты при одинаковых степенях
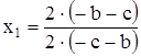
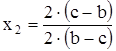
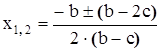
Попытка решить эту систему в общем виде вернула бы нас назад, к решению исходного уравнения. Но целые корни, если они существуют, нетрудно найти и подбором. Не ограничивая общности, можно считать, что Если уравнение имеет вид Возвратные уравнения Возвратным алгебраическим уравнением называется уравнение четной степени вида
в которых коэффициенты, одинаково отстоят от концов, равны: Рассмотрим, например, уравнение
Поделив его на
Заметим, что
Поэтому величина
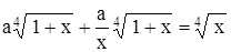
решив которое можно найти При решении возвратных уравнений более высоких степеней обычно используют тот факт, что выражение
Рациональные алгебраические уравнения Рациональным алгебраическим уравнением называется уравнение вида где Множество допустимых значений рационального алгебраического уравнения (17) задается условием Метод решения уравнения (17) заключается в следующем. Решаем уравнение
корни которого обозначим через
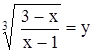
Сравниваем множества корней многочленов П р и м е р. Найдем действительные корни уравнения
где Многочлен
Многочлен Решая то же самое уравнение в множестве комплексных чисел, получим, что уравнение
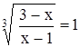
Иррациональные уравнения Уравнение, содержащее неизвестное (либо рациональное алгебраическое выражение от неизвестного) под знаком радикала, называют иррациональным уравнением . В элементарной математике решения иррациональных уравнений отыскивается в множестве действительных чисел. Всякое иррациональное уравнение с помощью элементарных алгебраических операций (умножение, деление, возведение в целую степень обеих частей уравнения) может быть сведено к рациональному алгебраическому уравнению. При этом следует иметь в виду, что полученное рациональное алгебраическое уравнение может оказаться неэквивалентным исходному иррациональному уравнению, а именно может содержать "лишние" корни, которые не будут корнями исходного иррационального уравнения. Поэтому, найдя корни полученного рационального алгебраического уравнения, необходимо проверить, а будут ли все корни рационального уравнения корнями иррационального уравнения. В общем случае трудно указать какой-либо универсальный метод решения любого иррационального уравнения, так как желательно, чтобы в результате преобразований исходного иррационального уравнения получилось не просто какое-то рациональное алгебраическое уравнение, среди корней которого будут и корни данного иррационального уравнения, а рациональное алгебраическое уравнение образованное из многочленов как можно меньшей степени. Желание получить то рациональное алгебраическое уравнение, образованное из многочленов как можно меньшей степени, вполне естественно, так как нахождение всех корней рационального алгебраического уравнения само по себе может оказаться довольно трудной задачей, решить которую полностью мы можем лишь в весьма ограниченном числе случаев. Приведем некоторые стандартные, наиболее часто применяемые методы решения иррациональных алгебраических уравнений. 1) Одним из самых простых приемов решения иррациональных уравнений является метод освобождения от радикалов путем последовательного возведения обеих частей уравнения в соответствующую натуральную степень. При этом следует иметь в виду, что при возведении обеих частей уравнения в нечетную степень полученное уравнение, эквивалентное исходному, а при возведении обеих частей уравнения в четную степень полученное уравнение будет, вообще говоря, неэквивалентным исходному уравнению. В этом легко убедиться, возведя обе части уравнения
в любую четную степень. В результате этой операции получается уравнение
множество решений которого представляет собой объединение множеств решений:
Однако, несмотря на этот недостаток, именно процедура возведения обеих частей уравнения в некоторую (часто четную) степень является самой распространенной процедурой сведения иррационального уравнения к рациональному уравнению. П р и м е р 1. Решить уравнение где В силу определения операции извлечения корня в множестве действительных чисел допустимые значения неизвестного
Возведя обе части уравнения (18) в квадрат, получим уравнение
После повторного возведения в квадрат уравнение превращается в алгебраическое уравнение Так как обе части уравнения (18) возводились в квадрат, может оказаться, что не все корни уравнения (19) будет являться решениями исходного уравнения, необходима проверка корней. 2) Другим примером решения иррациональных уравнений является способ введения новых неизвестных, относительно которых получается либо более простое иррациональное уравнение, либо рациональное уравнение. П р и м е р 2. Решить иррациональное уравнение
Множество допустимых значений этого уравнения:
Положив
или эквивалентное ему уравнение
которое можно рассматривать как квадратное уравнение относительно
Следовательно, множество решений исходного иррационального уравнения представляет собой объединение множеств решений следующих двух уравнений:
Возведя обе части каждого из этих уравнений в куб, получим два рациональных алгебраических уравнения:
Решая эти уравнения, находим, что данное иррациональное уравнение имеет единственный корень В заключение заметим, что при решении иррациональных уравнений не следует начинать решение уравнение с возведения обеих частей уравнений в натуральную степень, пытаясь свести решение иррационального уравнения к решению рационального алгебраического уравнения. Сначала необходимо посмотреть, нельзя ли сделать какое-нибудь тождественное преобразование уравнения, которое может существенно упростить его решение. П р и м е р 3. Решить уравнение Множество допустимых значений данного уравнения:
Далее, записывая уравнение в виде
получим: при при
При При
Принимая во внимание, что множество допустимых решений уравнения определяется условием При
При всех остальных значениях Уравнения, содержащие неизвестное под знаком абсолютной величины Уравнения, содержащие неизвестное под знаком абсолютной величины, можно свести к уравнениям, не содержащим знака абсолютной величины, используя определение модуля. Так, например, решение уравнения сводится к решению двух уравнений с дополнительными условиями. 1) Если Решения этого уравнения: 2) Если
Корнями этого уравнения будут числа Таким образом, решениями уравнения (21) будут числа 3 и Заметим, что коэффициенты уравнения, содержащего неизвестное под знаком абсолютной величины, можно подобрать таким образом, что решениями уравнения будут все значения неизвестного, принадлежащие некоторому промежутку числовой оси. Например, решим уравнение Рассмотрим числовую ось Ох и отметим на ней точки 0 и 3 (ноли функций, стоящих под знаком абсолютной величины). Эти точки разобьют числовую ось на три промежутка (рис. 1):
0 3 x рис. 1. 1) При
В промежутке Аналогично, при
и в промежутке 2) При
т. е. обращается в тождество. Следовательно, любое значение Трансцендентные уравнения Уравнение, не сводящееся к алгебраическому уравнению с помощью алгебраических преобразований, называется трансцендентным уравнением [4] ). Простешими трансцендентными уравнениями являются показательные, логарифмические и тригонометрические уравнения.
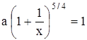
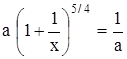
Показательные уравнения Показательным уравнением называется уравнение, в котором неизвестное входит только в показатели степеней при некоторых постоянных основаниях. Простейшим показательным уравнением, решение которого сводится к решению алгебраического уравнения, является уравнение вида где
В простейшем случае, когда
Множество решений показательного уравнения вида где Вводится новая переменная П р и м е р 1. Решить уравнение
Записывая уравнение в виде
и вводя новую переменную
Нетрудно убедиться, что данное кубическое уравнение имеет единственный рациональный корень Таким образом, решение исходного уравнения сведено к решению простейших показательных уравнений:
Последнее из перечисленных, уравнений решений не имеет. Множество решений первого и второго уравнений:
Н е к о т о р ы е п р о с т е й ш и е п о к а з а т е л ь н ы е у р а в н е н и я: 1) Уравнение вида
заменой
2) Уравнение вида
заменой
3) Уравнение вида
заменой
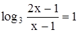
Логарифмические уравнения Логарифмическим уравнением называется уравнение, в котором неизвестное входит в виде аргумента логарифмической функции. Простейшим логарифмическим уравнением является уравнение вида где
В простейшем случае, когда
Множество решений логарифмического уравнения вида Вводится новая переменная П р и м е р 1. Решить уравнение Относительно неизвестного
Корни этого уравнения: Решая логарифмические уравнения
получаем решения логарифмического уравнения (27): В некоторых случаях, для того чтобы свести решение логарифмического уравнения к последовательному решению алгебраического и простейших логарифмических уравнений, необходимо предварительно сделать подходящие преобразования логарифмов, входящих в уравнение. Такими преобразованиями могут быть преобразование суммы логарифмов двух величин в логарифм произведения этих величин, переход от логарифма с одним основанием к логарифму с другим основанием и т. д. П р и м е р 2. Решить уравнение Для того чтобы свести решение данного уравнения к последовательному решению алгебраического и простейших логарифмических уравнений, необходимо прежде всего привести все логарифмы к одному основанию (здесь, например, к основанию 2). Для этого воспользуемся формулой
в силу которой
Заменой
Корни этого квадратного уравнения:
П р и м е р 3. Решить уравнение
Преобразуя разность логарифмов двух величин в логарифм частного этих величин:
сводим данное уравнение к простейшему логарифмическому уравнению
Заключение Математика, как и любая другая наука не стоит на месте, вместе с развитием общества меняются и взгляды людей, возникают новые мысли и идеи. И XX век не стал в этом смысле исключением. Появление компьютеров внесло свои корректировки в способы решения уравнений и значительно их облегчило. Но компьютер не всегда может быть под рукой (экзамен, контрольная), поэтому знание хотя бы самых главных способов решения уравнений необходимо знать. Использование уравнений в повседневной жизни – редкость. Они нашли свое применение во многих отраслях хозяйства и практически во всех новейших технологиях. В данной работе были представлены далеко не все, способы решения уравнений и даже не все их виды, а только самые основные. Я надеюсь, что мое сочинение может послужить неплохим справочным материалом при решении тех или иных уравнений. В заключении хотелось бы отметить, что при написании данного сочинения я не ставил себе цели показать все виды уравнений, а излагал лишь имеющийся у меня материал.
Список использованной литературы Глав. ред. М. Д. Аксенова. Энциклопедия для детей. Том 11. Математика. – М.: Аванта+, 1998. – 688 с. Цыпкин А. Г. Под ред. С. А. Степанова. Справочник по математике для средней школы. – М.: Наука, 1980.- 400 с. Г. Корн и Т. Корн. Справаочник по математике для начуных работников и инженеров. – М.: Наука, 1970.- 720 с.
[1] ) Под допустимыми понимаются те численные значения букв, при которых выполнимы все операции, совершаемые над буквами, входящими в равенство. Например, допустимыми значениями букв, входящих в равенство
будут следующие; для [2]
) Если a и b имеют разные знаки, то [3]
) Случай [4] ) Под алгебраическими преобразованиями уравнения
Понимают следующие преобразования: 1) прибавление к обеим частям уравнения одного и того же алгебраического выражения; 2) умножение обеих частей уравнения на одно и то же алгебраическое выражение; 3) возведение обеих частей уравнения в рациональную степень. |
,
,
,
. (4)
. (5)
,
,
,

,
,
,
,
,
.
.
,
.
или 


.
,
. (14)
,
,
.
,
.
, 
.
,
,
.
. (15)
, или
,
.
.
.
.
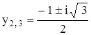
, (17)
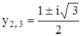
имеет, кроме указанного действительного корня, два комплексно сопряженных корня:
.
, после подстановки получим уравнение
,
.
.
.
,
.
.
(21)
и
. Первый корень
не удовлетворяет условию
.
и
.
,
.
.
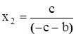
сводится к квадратному уравнению
,
. Подставив в уравнение (28) вместо
.