Реферат: Лунно-солнечный календарь

Название: Лунно-солнечный календарь
Раздел: Рефераты по истории
Тип: реферат



План
Введение
1 Теория календаря
2 Лунно-солнечные календари



Введение

1. Теория календаря

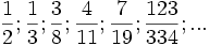
Продолжительность синодического месяца в среднем составляет 29,53059 суток, а тропический год - из 365,24220 дней. Т. о., один тропический год содержит в себе 12,36827 синодических месяцев. Значит, календарный год может состоять или из 12 (обычный год), или из 13 (эмболисмический год; др.-греч. ἐμβολή — вторжение) календарных месяцев, причем месяцы в году чередуются, чтобы дни месяца как можно лучше попадали на одни и те же фазы Луны. Для того, чтобы средняя продолжительность календарного года была близка к продолжительности тропического года необходима система вставки дополнительных месяцев. Для её определения можно разложить дробную часть продолжительности тропического года в синодических месяцах в цепную дробь:

.

Обрывая эту дробь на разных стадиях деления, можно получить следующие правила для введения продолженных годов разной точности:

,

где знаменатель указывает число лет в календарном цикле, а числитель - число эмболисмических лет в этом цикле. С древних времен использовались циклы 3/8 и 7/19.

Восьмилетний цикл, или «октаэтерида» , использовался в древнем Вавилоне, и Греции, где, по-видимому, независимо был предложен древнегреческим астрономом Клеостратом, а также в других странах. В октаэтериде принимается 8 тропических лет = 2922 дням = 99 синодическим месяцам. В действительности, продолжительность 99 синодических месяцев равна 2923,53 дням, что дает ошибку календаря в 1,53 дня за 8 лет.

Девятнадцатилетний цикл часто называют метоновым, по имени предложившего его древнегреческого астронома Метона, хотя сам цикл был известен задолго до Метона в Вавилонии и Китае. Погрешность метонова цикла соствляет 0,08685 суток за 19 лет, т.е. сутки примерно за 219 лет.

Лунно-солнечный календарь унаследовал от лунного календаря как достоинства, так и недостатки. Несмотря на то, что по фазам Луны достаточно просто вести счет времени, но сама продолжительность синодического месяца непрерывно меняется в пределах от 29d6h15m до 29d19h12m. Причиной этому является довольно сложное движение Луны по орбите.

Начало месяца в лунно-солнечных, как и в лунных календарях, приходится на неомению, то есть на первое появление молодой Луны в лучах заходящего Солнца. Это событие легко наблюдаемо, в отличие от новолуния. Неомения отстоит от новолуния на 2-3 дня. Причем это время меняется в зависимости от времени года, широты наблюдателя и текущей продолжительности синодического месяца. Из-за этого невозможно как вести один и тот же календарь, основанный на наблюдении Луны, в разных странах, так и пользоваться простым календарем из 29- и 30-дневных месяцев. Календарь, введенный по какой-либо системе будет неизбежно расходиться с реальным движением Луны, хотя, с той или иной точностью, будет в среднем этому движению соответствовать.

2. Лунно-солнечные календари

· Ассирийский календарь

· Вавилонский календарь

· Вьетнамский календарь

· Древнеперсидский календарь

· Древнеславянский календарь

· Древнегреческий календарь

· Еврейский календарь

· Китайский календарь

· Шумерский календарь

Литература

· С.И. Селешников. «История календаря и хронология», М., «Наука», 1970.

· И.А. Климишин. «Календарь и хронология», М., «Наука», 1981

Источник: http://ru.wikipedia.org/wiki/Лунно-солнечный_календарь