Дипломная работа: Синтез алгоритмов согласованного управления пространственным движением беспилотным летательным аппаратом
|
Название: Синтез алгоритмов согласованного управления пространственным движением беспилотным летательным аппаратом Раздел: Рефераты по информатике Тип: дипломная работа | |||||||||||||||||||||||||||||||||||||||||||||||||||||||||||||||||||||||||||||||||||||||||||||||||||||||||||||||||||||||||||||||||||||||||||||||||||||||||||||||||||||||||||||||||||||||||||||||||||||||||||||||||||||||||||||||||||||||||||||||||||||||||||||||||||||||||||||||||||||||||||||||||||||||||||||||||||||||||||||||||||||||||||||||||||||||||||||||||||||||||||||||||||||||||||||||||||||||||||||||||||||||||||||||||||||||||||||||||||||||||||||||||||||||||||||||||||||||||||||||||||||||||||||||||||||||||||||||||||||||||||||||||||||||||||||||||||||||||||||||||||||||||||||||||||||||||||||||||||||||||||||||||||||||||||||||||||||||||||||||||||||||||||||||||||||||||||||||||||||||||||||||||||||||||||||||||||||||||||||||||||||||||||||||||||||||||||||||||||||||||||||||||||||||||||||||||||||||||||||||||||||||||||||||||||||||||||||||||||||||||||||||||||||||||||||||||||||||||||||||||||||||||||||||||||||||||||||||||||||||||||||||||||||||||||||||||||||||||||||||||||||||||||||||||||||||||||||||||||||||
Федеральное агентство по образованию ЮЖНО-УРАЛЬСКИЙ ГОСУДАРСТВЕННЫЙ УНИВЕРСИТЕТ Факультет Приборостроительный Кафедра Автоматика и управление ПРОЕКТ ПРОВЕРЕН ДОПУСТИТЬ К ЗАЩИТЕ Рецензент Заведующий кафедрой ____________________________ ___________________________ “_____” _____________ 2007__ г. “ _____ “ ____________ 2007__ г. Синтез алгоритмов согласованного управления пространственным движением беспилотным летательным аппаратом ПОЯСНИТЕЛЬНАЯ ЗАПИСКА К ДИПЛОМНОМУ ПРОЕКТУ ЮУрГУ-Д.220200 068.000.ПЗ Консультанты: Руководитель проекта: ______________________________ _______________________________ ______________________________ _______________________________ “ _____ “ ______________ 2007 _ г. Автор проекта студент группы ПС-269м . ______________________________ ______________________________ Пушников А.А. . “ ____ “ ________________ 2007 _ г. ______________________________ Нормоконтролер ______________________________ ______________________________ “ ____ “ _______________ 2007 _ г. “ _____ “ ______________ 2007 __ г. Челябинск 2007 г. Пушников А.А. Синтез алгоритмов согласованного управления пространственным движением беспилотным летательным аппаратом. – Челябинск. ЮурГУ. 2007 – 96 стр. В данном дипломном проекте представлена математическая модель беспилотного летательного аппарата.В модели учтено влияние ветровых и турбулентных возмущений. Это позволяет уже на этапе моделирования предъявлять требования к аэродинамическим характеристикам летательного аппарата. В работе рассматриваются алгоритмы управления беспилотным летательным аппаратом на сложных траекториях высшего пилотажа. Ил. 52, библиогр. 6 назв. 1 Описание математической модели летательного аппарата. 6 1.1 Рулевые органы летательного аппарата и системы координат. 7 1.2 Полная нелинейная модель пространственного движения самолета. 13 1.4 Модель атмосферы и воздушных возмущений. 20 1.6 Модель рулевых органов. 25 2 Разработка алгоритмов управления беспилотным летательным аппаратом. 27 2.1 Математическое описание полетного задания. 29 2.2 Синтез управления на траекторном уровне. 36 2.2.1 Управление движением ЛА.. 41 2.2.2 Управление ориентацией ЛА.. 48 2.3 Синтез управления на пилотажном уровне. 52 2.3.1 Настройка регулятора 2.3.2 Настройка регулятора 2.3.3 Настройка регулятора 2.3.4 Настройка регулятора 2.3.5 Настройка регулятора 2.3.5 Настройка регулятора Приложение А – Описание параметров модели. 82 Приложение Б - Описание переменных. 86 Приложение В – Исходные map-файлы.. 91 ВведениеСчитается, что первый беспилотный летательный аппарат это “Воздушная торпеда Сперри”, который совершил свой первый полет 6 марта 1918 года. Этот БПЛА стал предшественником современных управляемых ракет, которые можно считать одноразовыми БПЛА. Первый БПЛА, который можно было использовать повторно был “Queen” компании “British Fairey” вариант самолета “Fairey IIIF”, впервые взлетел в сентябре 1932 года. После многих десятилетий разработок, современная конфигурация БПЛА определенно не такая как у современных управляемых ракет. Фактически БПЛА находят множественное применение в различных областях. Так американское правительство использует их для разведки на поле боя и запуска ракет. Их военный БПЛА “RQ-1 Predator” по сути, стал революционным шагом в приемах ведения боевых действий. Этот БПЛА оснащенный противотанковыми ракетами “Hellfire”. Уже ведутся работы по разработке беспилотного боевого летательного аппарата "Х-45" взлетевшего в 2002 году. Гражданским примером применения БПЛА может служить проект "Helios". Этот летательный аппарат (ЛА) отличается высокой надежностью и большой высотой полета, его применение это телекоммуникация. Его рабочая высота превышает 60.000 футов, т.е. он не подвержен влиянию погодных условий и не мешает полетам других воздушных судов и используется, по сути, в качестве стационарного спутника, но без временной задержки. В 2001 году БПЛА, работающий на солнечной энергии, поднялся на рекордную высоту 96.863 фута. Другим хорошим примером БПЛА можно считать “Aerosonde”, который уже достаточно известен своими возможностями в метеорологическом мониторинге и продолжительных перелетах. Это первый БПЛА перелетевший Северный Атлантический океан в 1998 году. На рис. 1 приведена модель “Aerosonde”. За последние годы по всему миру значительно возрос интерес к беспилотным летательным аппаратам (БПЛА). Все больше и больше университетов выпускающие инженеров для аэрокосмической отрасли создают свои собственные программы по разработке БПЛА для исследований в некоторых уникальных областях, а также для целей обучения. Целями работы являются: · Разработка нелинейных алгоритмов согласованного управления БПЛА. · Отработка алгоритмов на имитационной модели. Подобный автопилот может использоваться в качестве основного – для решения задач, где качество управление БПЛА человеком малоэффективно, например посадка или фигуры высшего пилотажа. 1 Описание математической модели летательного аппаратаРазработка математической модели движения БПЛА относится к одному из первых этапов процесса создания системы управления полетом. При этом их полнота и точность зависит от назначения разрабатываемых моделей. В данной работе ЛА рассматривается как динамический объект, непрерывное во времени изменение состояния которого описывается дифференциальными уравнениями. В данной работе будут рассматриваться только жесткие БПЛА самолетного типа. В качестве исследуемого БПЛА взят американский беспилотный БПЛА Aerosonde (рис. 1.1). Процесс разработки и исследования алгоритмического обеспечения системы управления полетом подразумевает наличие математической модели летательного аппарата, используемой для синтеза законов управления и выбора алгоритмов формирования сигналов управления. 1.1 Рулевые органы летательного аппарата и системы координатРеализация требуемого движения БПЛА основана на возможности создания управляемых по величине и направлению сил и моментов, действующих на БПЛА. Рассматриваемый самолет обладает органом управления тягой двигателя и аэродинамическими рулями, расположение которых показано на рис.1.2. Принцип действия показанных органов различен, но все они при изменении своего положения так или иначе изменяют направление воздушного потока, что приводит к появлению дополнительных аэродинамических сил. Элероны, руль направления и руль высоты относятся к традиционным рулевым органам самолета и предназначены для создания управляющих моментов вокруг трех ортогональных осей самолета. Закрылки также относятся к традиционным органам управления и предназначены в основном только для увеличения подъемной силы во время взлета и посадки и в отличие от других рулей отклоняются только вниз. Далее будут использоваться следующие обозначения угловых отклонений управляющих органов: При практическом использовании уравнений движения БПЛА их записывают в проекциях на оси выбранных систем координат (СК). В динамике полета получили распространение следующие правые прямоугольные СК [1]. 1. Нормальная земная система координат. Начало находится на поверхности земли в любой удобной точке. Оси OoXg (направлена на север) и OoZg (направлена на восток) расположены в горизонтальной плоскости, а ось OoYg направлена вверх (вдоль местной вертикали). 2. Нормальная система координат. Начало находится в центре масс ЛА оси OXg (направлена на север) и OZg (направлена на восток) расположены в горизонтальной плоскости, а ось OYg направлена вверх. В дальнейшем будем полагать, что оси нормальной земной и нормальной СК параллельны. Относительное положение этих СК определяется вектором r между их началами. Проекция вектора r на ось OYg называется геометрической высотой полета.
Рис. 1.3. Нормальная земная и нормальная системы координат 3. Связанная система координат. Начало находится в центре масс ЛА. Ось OX направлена вдоль ЛА вперед и называется продольной осью. Ось OZ направлена вправо по ходу самолета и называется поперечной осью. Ось OY лежит в плоскости симметрии самолета, направлена вверх (при нормальном полете) и называется нормальной осью (рис. 1.4). Относительное положение связанной и нормальной СК определяется в общем случае девятью направляющими косинусами. Часто для определения относительного положения нормальной и связанной СК пользуются углами Эйлера. В этом случае для перехода от нормальной к связанной СК используется следующая последовательность поворотов: поворот на угол рысканья
Рис . 1.4. Нормальная и связанная системы координат Матрица перехода от нормальной к связанной системе координат имеет следующий вид:
Скоростная система координат. Начало находится в центре масс ЛА. Ось OXa направлена вдоль вектора скорости БПЛА относительно воздушной среды и называется скоростной осью. Ось OZa направлена вправо и называется боковой осью. Ось OYa лежит в плоскости симметрии, направлена вверх (при нормальном полете) и называется осью подъемной силы. Относительное угловое положение связанной и скоростной СК определяется углами атаки
Рис. 1.5. – Связанная и скоростная системы координат Матрица перехода от связанной СК к скоростной имеет вид:
Траекторная система координат. Начало находится в центре масс ЛА. Ось OXk направлена вдоль вектора земной скорости ЛА (т.е. вдоль вектора скорости ЛА относительно Земли). Ось OZk лежит в горизонтальной плоскости. Ось OYk направлена вверх. Оси этих координат специальных названий не имеют. Относительное положение траекторной и нормальной СК показано на рис. 1.6. Угол между осью OXg и вертикальной плоскостью, проходящей через ось OXk называется углом пути
Рис. 1.6. Нормальная и траекторная системы координат Матрица перехода от траекторной к нормальной системе координат имеет следующий вид:
Правило знаков отклонения управляющих рулей. Положительное отклонение руля высоты
Положительное отклонение закрылок 1.2 Полная нелинейная модель пространственного движения самолетаИзвестно, что одним из основных моментов в составлении или разработке математической модели ЛА является принятие различных допущений, упрощающих, схематизирующих реальный процесс. Принятие допущений это инженерная задача, от правильности, решения которой зависит адекватность полученной модели решаемой проблеме в целом. При выборе модели исходили из следующего ряда основных допущений: · конструкция самолета считается жесткой; · масса самолета изменяется в процессе моделирования, но отсутствует жидкое наполнение; · масса в плоскостях XZ и YZ распределена равномерно, т.е. пренебрегаем центробежными моментами инерции Jxz и Jyz; · аэродинамика БПЛА нелинейная по углам атаки и скольжения, обтекание БПЛА квазистационарное; · атмосфера является стандартной; · вектор суммарного кинетического момента вращающихся частей двигателя БПЛА направлен вдоль оси OX связанной СК. Рассмотрим поступательное движение летательного аппарата. Уравнение сил в связанной системе координат имеет следующий вид:
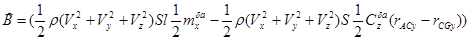
где Главный вектор сил
где Вектор силы тяжести в нормальной системе координат
где g = 9.81 м/с2 – ускорение свободного падения. Вектор силы тяжести в связанной системе координат
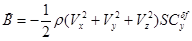
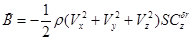
Аэродинамические силы, действующие на летательный аппарат, определяются конфигурацией ЛА и характером обтекания его воздушным потоком. В связанной СК
где q – скоростной напор; S – площадь крыла самолета; cx, cy, cz – аэродинамические коэффициенты сил.
где
где l – размах крыла; Модуль вектора скорости движения ЛА в связанной СК примет следующий вид:
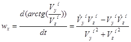
Углы атаки и скольжения:
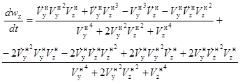
Положение летательного аппарата в пространстве в нормальной СК
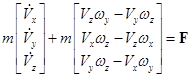
где матрица перехода от связанной к нормальной СК Рассмотрим вращательное движение летательного аппарата. Вектор момента количества движения L в связанной СК
где
Вращательное движение БПЛА
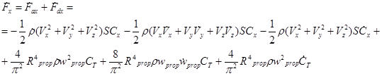
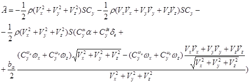
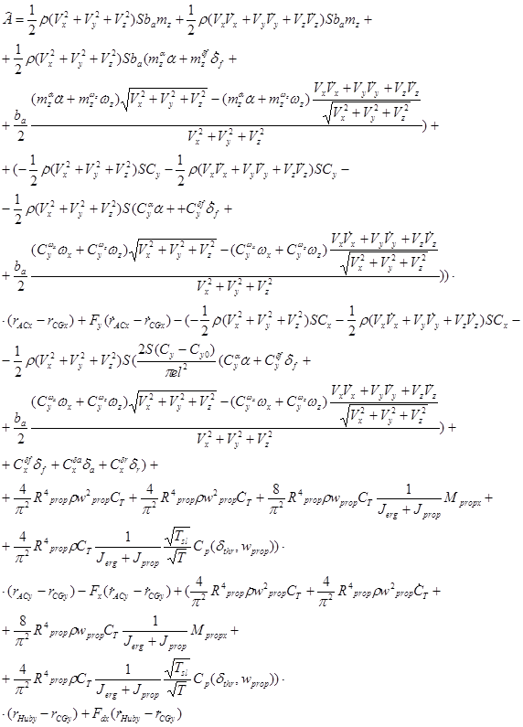
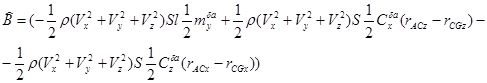
где M – главный вектор моментов ЛА. Запишем выражение (1.2.18) в матричном виде
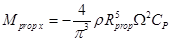
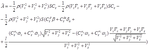
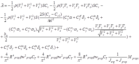
Действующий на летательный аппарат главный вектор моментов представляет собой сумму вектора аэродинамического момента и гироскопического момента двигателя
где Аэродинамический момент
где
где Угловые ускорения
Матрица перехода от нормальной к связанной СК характеризуется соотношением (1.1.1). 1.3 Модель двигателяРассмотрим модель двигателя летательного аппарата. Модель двигателя состоит из двух частей – пропеллера и поршневого двигателя. Сила и гироскопический момент, создаваемые двигателем, имеют следующий вид:
где Коэффициент, характеризующий режим работы винта
Угловая скорость вращения пропеллера
где Вращающий момент поршневого двигателя
где Всасывание топлива
где p – давление на текущей высоте; Расход топлива
где 1.4 Модель атмосферы и воздушных возмущенийМодель атмосферы включает в себя модель стандартной атмосферы и модель ветровых возмущений. Стандартная атмосфера. В качестве стандартной атмосферы рассматриваются зависимости следующих параметров от текущей высоты: статическое давление p = p(H); температура воздуха T = T(H); плотность воздуха скорость звука Vsnd = Vsnd(H). Эти зависимости были взяты из описания модели стандартной атмосферы 1976. И представляют собой набор замеров проведенных на разной высоте, промежуточные значения получаем путем линейной аппроксимации этих зависимостей. Воздушные возмущения. Динамическое воздействие воздушных возмущений на БПЛА может быть формализовано на основе определения воздушной скорости БПЛА, углов атаки и скольжения, с учётом воздействия воздушного потока. Взаимосвязь между векторами воздушной скорости V, путевой скорости Vk и скорости ветра Vwind определяется соотношением
Полный вектор скорости воздушных возмущений · скорость постоянного ветра · турбулентность
Скорость и ускорение постоянной составляющей ветровых возмущений
где Турбулентность описывается моделью турбулентности Кармана. Модель представляет собой набор формирующих фильтров продольной, поперечной и вертикальной составляющей для трех источников белого шума. Параметры фильтра зависят от силы ветра и высоты полета. Общее уравнение для трех фильтров можно записать следующим образом
где
где Параметры фильтров
где H – высота ЛА над уровнем земли в текущей точке пространства. Ускорение турбулентности вычисляется дифференцированием по времени скорости турбулентности
Ветровой срез характеризуется эффектом изменения вектора скорости ветра во времени по отношению к положению БПЛА в пространстве. В результате возникают дополнительные угловые скорости вращения БПЛА. Эффект ветрового среза влияет только на угловые скорости
где 1.5 Модель ЗемлиМодель Земли включает в себя описание формы и гравитации земли. Расчет локального радиуса земли и гравитации в текущем положении выполняется на основе коэффициентов модели земли WGS-84, следующим образом
где Для определения положения ЛА в географической системе координат при известной скорости движения в нормальной системе координат
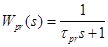
где Еще одной из основных характеристик модели земли является высота над средним уровнем моря, т.к. на основе этого параметра вычисляются все характеристики стандартной атмосферы. Этот параметр вычисляется с учетом эллиптичности поверхности земли описываемой моделью WGS-84, используя модель гиоидной неровности поверхности земли EGM-96 [2]. Таким образом, необходимо вычислить высоту между эллипсоидной формой и действительным положением среднего уровня моря (гиоидная неровность), что связанно с неравномерностью гравитационного потенциала земли. Коррекция полученной высота выполняется на основе корректирующей двумерной таблицы Широта-Долгота, с разрешением в 1 градус в обоих направлениях. Гиоидная неровность поверхности земли учитывается прибавлением корректирующего значения -0.53 метра модели WGS-84 к высоте вычисленной на основе уравнений движения БПЛА. 1.6 Модель рулевых органовНеотъемлемой частью систем автоматического управления движением БПЛА являются исполнительные устройства - отклоняющие рулевые органы БПЛА в соответствии с реализуемыми законами управления. Естественным и широко распространенным способом учета при моделировании динамических и статических свойств исполнительных устройств (приводов) а также их случайных ошибок является включение математических моделей этих устройств в модель обобщенного объекта управления. Исполнительные приводы рулевых органов выбираются из условия, чтобы их нагрузочные характеристики обеспечивали необходимую динамику процессов управления, другими словами, от них требуется обеспечение перемещения с заданной скоростью рулевого органа, нагруженного внешними силами или внешними моментами. По принципу построения и характеру используемой энергии авиационные приводы рулевых органов делятся на электромеханические, электрогидравлические и электропневматические. Каждый из этих типов приводов обладает динамическими особенностями, и, кроме того, встречаются различные количества каскадов преобразования энергии в приводах. Все это обуславливает различие математических моделей этих приводов. В упрощенной постановке можно полагать, что электромеханические и электропневматические приводы при наличии обратной связи по положению рулевого органа описываются моделью вида
Следует отметить, что рулевой орган может отклоняться с определенной скоростью в пределах
Полагаем, что предельные скорости отклонения рулевых органов составляют соответственно 2 Разработка алгоритмов управления беспилотным летательным аппаратомОбщая задача управления движением ЛА традиционно подвергается декомпозиции (разделению) на различные подзадачи или частные задачи. Эти задачи по своему физическому содержанию могут либо соотноситься как соподчиненные, либо носить автономный характер. Каждая из таких задач требует проработки специфических вопросов построения и функционирования алгоритмов управления. Одной из характерных черт современного уровня развития теории управления движением ЛА является стремление к интеграции систем управления, решающих частные задачи. Предполагается, что интеграция систем этих систем даст потенциальные возможности улучшения всей системы управления ЛА. Задача интегрированного управления движением ЛА неизбежно сталкивается с проблемой управления многомерными, в общем случае взаимосвязанными процессами. Высокие порядки уравнений движения ЛА (с учетом, например, упругих деформаций) и уравнений его отдельных систем, учитываемых при управлении (двигательные установки, приводы и т.д.), могут являться серьезным препятствием на пути практической реализации разрабатываемых алгоритмов управления. Методы распределенной обработки информации могут снизить необходимость в передаче всех данных в один процессор и могут позволить распределить вычислительную загрузку по формированию управления между несколькими процессорами. Известны два основных варианта декомпозиции управления: · иерархическое управление, в котором процессоры объединены в функциональном порядке; · децентрализованное управление, в котором процессоры взаимодействуют на одинаковом уровне. Возможны также различные комбинации этих вариантов. В целом же организация обмена информацией и вычислений в процессорной управляющей системе тесно связана с особенностями алгоритмического обеспечения управления. Создание распределенной системы управления ЛА требует разработки специальных алгоритмов, ориентированных на решение этой задачи. Для задачи управления движением ЛА существует традиционное разделение на ряд подзадач различного уровня. В качестве таких уровней можно указать: 1. уровень выбора и расчета маршрута движения ЛА, на котором по целевой установке использования ЛА определяется оптимальная или предпочтительная траектория движения ЛА от начального пункта такой траектории к конечному или формируются условия текущего формирования такой траектории (программирование летного задания); 2. уровень траекторного управления, на котором ЛА, как правило, полагается твердым телом, без учета аэродинамики, и определяется отклонение действительной траектории ЛА от заданной или формируемой по установленным правилам, а также синтезируются команды сокращения этого отклонения; 3. уровень пилотирования, для которого характерно управление движением ЛА как твердым телом, с учетом аэродинамики, с целью реализации команд траекторного уровня. 2.1 Математическое описание полетного задания2.1.1 Общие положенияПолетное задание представим как траекторию движения самолета, известную до 3 производной:
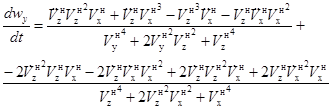
Зная траекторию можно получить угловые скорости ЛА до 2 производной:
Если углы атаки и скольжения близки к нулю, то по заданной траектории ЛА, можно найти производные угловой скорости.
Аналогично вычисляются вторые производные угловой частоты:
Если при полете изменяются углы атаки и скольжения, функции их изменения учитываются при формировании каждой траектории индивидуально. 2.1.2 Петля НестероваПетля Нестерова - фигура пилотажа, при которой самолет выполняет полет по криволинейной траектории в вертикальной плоскости с сохранением направления полета после вывода. Петля была обоснована Н. Е. Жуковским и впервые выполнена 9 сентября 1913 года русским летчиком П. Н. Нестеровым, который является основоположником фигур высшего пилотажа. Петля применяется не только как фигура пилотажа, а также имеет широкое применение для обучения управлению самолетом в условиях интенсивного изменения угла тангажа, перегрузки, скорости и высоты полета. Кроме того, элементы петли составляют основу других эволюции в полете, а также фигур пилотажа: переворот, вертикальные восьмерки и др. Петля считается правильной, если все точки ее траектории лежат в одной вертикальной плоскости, а нормальная перегрузка Петля - это не установившееся движение самолета по криволинейной траектории в вертикальной плоскости под действием постоянно существующей центростремительной силы. Первая половина петли осуществляется за счет запаса скорости и тяги силовой установки. Вторая - за счет веса самолета и тяги силовой установки. Схема сил, действующих на самолет в наиболее характерных точках петли, показана на рисунке 2.1. Допустим, самолет летит горизонтально со скоростью, необходимой для ввода в петлю. Для ввода в петлю необходимо отклонить ручку управления на себя, увеличивая тем самым угол атаки. Подъемная сила увеличивается и становится больше веса самолета (при малом угле искривления траектории) или составляющей силы веса самолета Gcos Уравнения движения при вводе имеют вид (положение 1): условие уменьшения скорости
условие искривления траектории в вертикальной плоскости
Другая составляющая силы веса самолета Gsin По мере искривления траектории самолет увеличивает угол наклона траектории, при этом составляющая силы веса самолета Gcos В положении 2 центростремительной силой является подъемная сила. Уравнения движения в положении 2 имеют вид: условие уменьшения скорости
условие искривления траектории в вертикальной плоскости
Рис. 2.1 Схема сил, действующих на самолет при выполнении петли После перехода вертикального положения самолет переходит в перевернутый полет. При этом составляющая силы веса Gcos При переходе в пикирование обороты двигателя уменьшаются до минимума. Далее при увеличении угла обратного пикирования центростремительная сила, искривляющая траекторию, состоит из подъемной силы Fay и составляющей веса Gcos В вертикальном положении вниз искривляющей силой является подъемная сила Fay (положение 4), а вес самолета и тяга двигателя Fd направлены в одну сторону и больше силы лобового сопротивления, что способствует дальнейшему разгону скорости (G+Fd-Fax>0). Уравнения движения в положении 3 имеют вид: условие искривления траектории
условие увеличения скорости
Уравнения движения в положении 4 имеют вид: условие искривления траектории
Траектория полета в вертикальной плоскости искривляется центростремительной силой Fay-Gcos Составляющая веса Gsin Для быстрого увеличения скорости обороты силовой установки необходимо увеличить до максимальных. Уравнения движения на выводе (положение 5) имеют вид: условие увеличения скорости
условие искривления траектории
Форма петли получается не круглой, а несколько вытянутой вверх. Объясняется это тем, что скорость при подъеме и при снижении непрерывно изменяется, что приводит к изменению подъемной силы, также изменяется величина составляющей силы веса Gcos 2.2 Синтез управления на траекторном уровнеРассматриваемый подход предусматривает, что задача сформулирована с помощью голономных соотношений выходов системы и для ее решения используется метод согласованного управления [3]. В нем используется преобразование к системе задачно-ориентированных координат, характеризирующее линейные и угловые отклонения от требуемых соотношений, что дает возможность свести многоканальную задачу управления к ряду простых задач компенсации указанных отклонений и найти решение с помощью приемов нелинейной стабилизации и программного управления. На траекторном уровне формируются команды для пилотажного комплекса в виде заданных компонент сил, угловых моментов и их производных. На этом уровне используется как текущая информация о траектории движения ЛА, так и информация о требованиях, предъявляемых к траектории. Задачей системы управления на траекторном уровне является формирование сил и угловых моментов ЛА в связанной системе координат, обеспечивающих движение ЛА вдоль заданной пространственной траектории. На траекторном уровне ЛА рассматривается как симметричное, твердое тело. Его динамика в нормальной системе координат
и вращательного движения
где Положение тела в пространстве
где
Рисунок 2.2 – Кривая Эта матрица характеризует повороты тела относительно главных осей пространства
где
где
Уравнения (2.2.1)-(2.2.3) и (2.2.5) описывают 3-канальную динамическую систему 6-го порядка, состояние которой определяется координатами векторов R,V,w, выходы – векторами
Рисунок 2.3 – ЛА под воздействием внешних и внутренних сил Так же целесообразно ввести внутренние (в связной системе координат) сило-моментные воздействия (рис. 2.3):
Они будут рассматриваются как управляющие воздействия. Таким образом ставиться задача поиска таких Будем изучать движение твердого тела в декартовом пространстве относительно некоторого отрезка гладкой кривой
полагая, что на данном отрезке длина пути определяется как
Выберем функции
ортогональна. Матрица
где
По аналогии, введем гладкую кривую вращения твердого тела
полагая, что на данном отрезке длина пути определяется как
Выберем функции
ортогональна. Матрица
где
Таким образом, общая задача управления пространственным движением твердого тела становиться как задача поддержания условий согласования, представленных голономными соотношениями переменных системы, которые должны выполняться в ходе движения тела в декартовом пространстве. При этом уравнение (2.2.10) вводит необходимые связи декартовых координат R, а уравнение (2.2.15) – связи угловых координат 2.2.1 Управление движением ЛАРассмотрим поведение ЛА, описываемое уравнениями (2.2.1) и (2.2.2), относительно кривой (2.2.10). Уравнения кривой вводят связи между декартовыми координатами R, а ортогональные отклонения от S
характеризуют нарушения условий (2.2.10). Задача устранения отклонения
Процедура синтеза управления траекторным движением ЛА заключается в выводе задачно-ориентированной модели движения ЛА, преобразование управляющих воздействий и синтез локальных регуляторов, соответствующих основной задаче управления. Дифференцируя по времени уравнения (2.2.12) и (2.2.13) и принимая во внимание (2.2.1), выводим скоростные соотношения:
Продолжив дифференцирование и подставив уравнения (2.2.2), (2.2.13) и (2.2.20) получим:
Еще раз продифференцировав, получим:
Введем в рассмотрение преобразование входных воздействий
где Запишем (2.2.22) в виде задачно-ориентированной модели пространственного движения
Приведем уравнение (2.2.24) к виду:
Локальные алгоритмы управления (регуляторы) выбирается как:
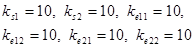
Исходя из условия сходимости были выбраны коэффициенты в уравнении (2.2.26):
Было проведено моделирование ЛА в среде Vissimна 3 траекториях: 1. движение по прямой со скоростью 30 м/с; 2. набор высоты с 1000м до 1200м за 30с на скорости 50 м/с; 3. мертвая петля радиусом 500м и начальной скоростью 50 м/с. Моделирование проводилось при скорости ветра (1;1;5) м/с 2.2.2 Управление ориентацией ЛААналогично предыдущему разделу рассмотрим поведение ЛА, описываемое уравнением (2.2.3), относительно кривой (2.2.15). Уравнения кривой вводят связи между координатами w, а ортогональные отклонения от
характеризуют нарушения условий (2.2.15). Задача устранения отклонения
Процедура синтеза управления траекторным движением ЛА заключается в выводе задачно-ориентированной модели движения ЛА, преобразование управляющих воздействий и синтез локальных регуляторов, соответствующих основной задаче управления. Дифференцируя по времени уравнения (2.2.16) и (2.2.17), выводим скоростные соотношения:
Продолжив дифференцирование и подставив уравнения (2.2.3), (2.2.5), (2.2.7), (2.2.9) и (2.2.29), получим:
Еще раз продифференцировав, получим:
Введем в рассмотрение преобразование входных воздействий
где Запишем (2.2.31) в виде задачно-ориентированной модели пространственного движения
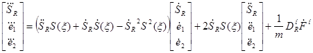
Приведем уравнение (2.2.33) к виду:
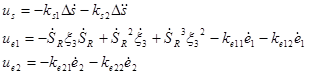
Локальные алгоритмы управления (регуляторы) выбирается как:
Исходя из условия сходимости были выбраны коэффициенты в уравнении (2.2.35):
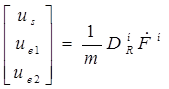
Было проведено моделирование ЛА в среде Vissimна 2 траекториях: 1. движение по прямой со скоростью 30 м/с; 2. набор высоты с 1000м до 1200м за 30с на скорости 50 м/с; Моделирование проводилось при скорости ветра (1;1;5) м/с 2.3 Синтез управления на пилотажном уровнеПредполагается, что в пилотажный комплекс из более высокого уровня иерархии управления поступает командный сигнал. Например командным сигналом могут быть силы действующие на ЛА и угловые моменты его движения Задачей управления на пилотажном уровне является формирование управляющих сигналов для рулевых органов ЛА, обеспечивающих достижение и выдерживание заданных сил и моментов. Критерии оптимизации управляющих сигналов пилотажного комплекса формируются в отклонениях действительного состояния ЛА от заданного (эталонного). Пилотажный комплекс, построенный по изложенным выше принципам, обеспечивает оптимальное, в смысле этого критерия, слежение управляемым ЛА за заданным состоянием или состоянием эталонной модели. Рассмотрим задачу, в которой используемые рулевые органы характеризуются непрерывным во времени изменением положения. В число таких рулевых органов, как правило, входит большинство аэродинамических рулей. С траекторного уровня приходят 6 переменных (3 силы и 3 угловых момента), которые необходимо отследить с помощью 5 управляющих воздействий
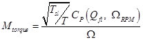
2.3.1 Настройка регулятора
|
|||||||||||||||||||||||||||||||||||||||||||||||||||||||||||||||||||||||||||||||||||||||||||||||||||||||||||||||||||||||||||||||||||||||||||||||||||||||||||||||||||||||||||||||||||||||||||||||||||||||||||||||||||||||||||||||||||||||||||||||||||||||||||||||||||||||||||||||||||||||||||||||||||||||||||||||||||||||||||||||||||||||||||||||||||||||||||||||||||||||||||||||||||||||||||||||||||||||||||||||||||||||||||||||||||||||||||||||||||||||||||||||||||||||||||||||||||||||||||||||||||||||||||||||||||||||||||||||||||||||||||||||||||||||||||||||||||||||||||||||||||||||||||||||||||||||||||||||||||||||||||||||||||||||||||||||||||||||||||||||||||||||||||||||||||||||||||||||||||||||||||||||||||||||||||||||||||||||||||||||||||||||||||||||||||||||||||||||||||||||||||||||||||||||||||||||||||||||||||||||||||||||||||||||||||||||||||||||||||||||||||||||||||||||||||||||||||||||||||||||||||||||||||||||||||||||||||||||||||||||||||||||||||||||||||||||||||||||||||||||||||||||||||||||||||||||||||||||||||||||
| Описание параметра модели | Величина / ед. измерения |
| Аэродинамические справочные параметры | |
| Средняя аэродинамическая хорда крыла, ba | 0.189941, м |
| Размах крыла, l | 2.8956, м |
| Площадь крыла, S | 0.55, м2 |
| Точка приложения аэродинамической силы, rAC | [0.1425; 0; 0], м |
| Аэродинамические коэффициенты | |
| Коэффициент лобового сопротивления | |
| Минимальное лобовое сопротивление, |
0.0434 |
| Производная по управлению креном (элероны), |
0.0302 |
| Производная по управлению тангажем (руль высоты), |
0.0135 |
| Производная по управлению подъемом (закрылки), |
0.1467 |
| Производная по управлению рысканьем (руль направления), |
0.0303 |
| Производная по числу Маха, |
0 |
| Коэффициент Освальда, e | 0.75 |
| Коэффициент подъема | |
| Коэффициент подъема при нулевом угле тангажа, |
-0.23 |
| Производная первого порядка по углу атаки, |
-5.6106 |
| Производная по управлению подъемом (закрылки), |
-0.74 |
| Производная по управлению тангажем (руль высоты), |
-0.13 |
| Производная второго порядка по углу атаки, |
-1.9724 |
| Производная по угловой скорости тангажа, |
-7.9543 |
| Производная по числу Маха, |
0 |
| Коэффициент боковой силы | |
| Производная по углу скольжения, |
-0.83 |
| Производная по управлению креном (элероны), |
-0.075 |
| Производная по управлению рысканьем (руль направления), |
0.1914 |
| Производная по угловой скорости крена, |
0 |
| Производная по угловой скорости рысканья, |
0 |
| Производная по числу Маха, |
0 |
| Коэффициент момента крена | |
| Производная первого порядка по углу скольжения, |
-0.13 |
| Производная по управлению креном (элероны), |
-0.1695 |
| Производная по управлению рысканьем (руль направления), |
0.0024 |
| Производная по угловой скорости крена, |
-0.5051 |
| Производная по угловой скорости рысканья, |
0.2519 |
| Производная по числу Маха, |
0 |
| Коэффициент момента рысканья | |
| Производная первого порядка по углу скольжения, |
-0.0726 |
| Производная по управлению креном (элероны), |
-0.0108 |
| Производная по управлению рысканьем (руль направления), |
0.0693 |
| Производная по угловой скорости крена, |
0.069 |
| Производная по угловой скорости рысканья, |
0.0946 |
| Производная по числу Маха, |
0 |
| Коэффициент момента тангажа | |
| Коэффициент подъема при нулевом угле тангажа, |
0.135 |
| Производная первого порядка по углу атаки, |
-2.7397 |
| Производная по управлению подъемом (закрылки), |
0.0467 |
| Производная по управлению тангажем (руль высоты), |
-0.9918 |
| Производная второго порядка по углу атаки, |
-10.3796 |
| Производная по угловой скорости тангажа, |
-38.2067 |
| Производная по числу Маха, |
0 |
| Инерция | |
| Масса самолета при пустых баках, mempty | 8.5, кг |
| Масса самолета при полных баках, mgross | 13.5, кг |
| Положение центра масс при пустых баках, CGempy | [0.156; -0.079; 0], м |
| Положение центра масс при полных баках, CGgross | [0.159; -0.090; 0], м |
| Моменты инерции при пустых баках, Jempy | [0.7795; 1.752; 1.122; 0.1211], кг·м2 |
| Моменты инерции при полных баках, Jgross | [0.8244; 1.759; 1.135; 0.1204], кг·м2 |
| Двигатель | |
| Точка приложения силы тяги двигателя, rPC | [0; 0; 0], м |
| Радиус пропеллера, Rprop | 0.254, м |
| Момент инерции пропеллера, Jprop | 0.002, кг·м2 |
| Момент инерции вала двигателя, Jeng | 0.001, кг·м2 |
| Зажигание, ign | 1 |
| Прочие параметры | |
| Число пи, |
3.14 |
| Радиус экватора, |
6378137, м |
| Первая эксцентричность, |
0.081819191 |
| Ускорение свободного падения на экваторе, |
9.780327 м/c2 |
| Гравитационная постоянная, |
0.00193185 |
| Давление на уровне моря, |
102300, Па |
| Температура на уровне моря, |
291.15, К |
| Начальные значения | |
| Начальное положение в пространстве по OXg, |
0, м |
| Начальное положение в пространстве по OYg, |
1000, м |
| Начальное положение в пространстве по OZg, |
0, м |
| Начальная скорость по OX, |
25, м/c |
| Начальная скорость по OY, |
0, м/c |
| Начальная скорость по OZ, |
0, м/c |
| Начальная загрузка топлива, fl | 2, кг |
Приложение Б - Описание переменных
Описание переменной |
Единицы измерения |
Обозначение в VisSim |
Назначение | |
| [рад] | alpha | Угол атаки | ||
| [рад/c] | dotalpha | Производная по углу атаки | ||
| [рад] | beta | Угол скольжения | ||
| [рад/c] | dotbeta | Производная по углу скольжения | ||
| [рад] | gamma | Угол крена | ||
| [рад] | da | Отклонение элеронов | ||
| [рад] | de | Отклонение руля высоты | ||
| [рад] | df | Отклонение закрылок | ||
| [рад] | dr | Отклонение руля направления | ||
| - | dthr | Нормированный показатель отклонения ручки управления тягой двигателя | ||
| - | e | Первая эксцентричность | ||
| - | pi | Число пи | ||
| [кг/м3] | rho | Плотность воздуха | ||
| [рад] | psi | Угол рысканья | ||
| [рад] | - | Угол наклона траектории | ||
| [рад] | theta | Угол тангажа | ||
| [с] | - | Постоянная времени привода | ||
| [рад/c] | - | Вектор угловых скоростей | ||
| [рад/c] | wx | Угловая скорость крена | ||
| [рад/c] | wy | Угловая скорость рысканья | ||
| [рад/c] | wz | Угловая скорость тангажа | ||
| [рад/c] | wy_wind | Угловая скорость БПЛА обусловленная турбулентностью | ||
| [рад/c] | wz_wind | Угловая скорость БПЛА обусловленная турбулентностью | ||
| - | - | Случайный сигнал с нормальным распределением | ||
| - | - | Вектор интенсивности фильтров турбулентности | ||
| [рад/c] | Omega | Угловая скорость вращения пропеллера | ||
| [об/c] | - | Угловая скорость вращения пропеллера | ||
| [рад/c2] | - | Угловое ускорение вращения пропеллера | ||
| A | [м/c2] | - | Вектор ускорений в связанной СК | |
| [м/c2] | aturb | Вектор ветровых турбулентных ускорений в связанной СК | ||
| [м/c2] | - | Вектор ветровых ускорений в связанной СК | ||
| [м/c2] | - | Вектор ветровых фоновых ускорений в связанной СК | ||
| ba | [м] | ba | Средняя аэродинамическая хорда крыла | |
| - | Cx0 | Минимальное лобовое сопротивление | ||
| - | cxda | Производная по управлению креном (элероны) | ||
| - | cxde | Производная по управлению тангажем (руль высоты) | ||
| - | cxdf | Производная по управлению подъемом (закрылки) | ||
| - | cxdr | Производная по управлению рысканьем (руль направления) | ||
| - | cxM | Производная по числу Маха | ||
| - | cy0 | Коэффициент подъема при нулевом угле тангажа | ||
| - | cyalpha | Производная первого порядка по углу атаки | ||
| - | cyDalpha | Производная второго порядка по углу атаки | ||
| - | cyde | Производная по управлению тангажем (руль высоты) | ||
| - | cydf | Производная по управлению подъемом (закрылки) | ||
| - | cywz | Производная по угловой скорости тангажа | ||
| - | cyM | Производная по числу Маха | ||
| - | czbeta | Производная по углу скольжения | ||
| - | czda | Производная по управлению креном (элероны) | ||
| - | czdr | Производная по управлению рысканьем (руль направления) | ||
| - | czwx | Производная по угловой скорости крена | ||
| - | czwy | Производная по угловой скорости рысканья | ||
| - | czM | Производная по числу Маха | ||
| E | - | osw | Коэффициент Освальда | |
| Fl | [кг] | FuelLoad | Начальная загрузка топлива | |
| G | [м/с2] | g | Ускорение свободного падения | |
| [м/с2] | gWGS0 | Ускорение свободного падения на экваторе | ||
| - | gWGS1 | Гравитационная постоянная | ||
| ign | - | ignition | Зажигание | |
| m | [кг] | m | Масса БПЛА | |
| mempty | [кг] | mempty | Масса БПЛА при пустых баках | |
| mempty | [кг] | mgross | Масса БПЛА при полных баках | |
| - | mxbeta | Производная первого порядка по углу скольжения | ||
| - | mxda | Производная по управлению креном (элероны) | ||
| - | mxdr | Производная по управлению рысканьем (руль направления) | ||
| - | mxwx | Производная по угловой скорости крена | ||
| - | mxwy | Производная по угловой скорости рысканья | ||
| - | mxM | Производная по числу Маха | ||
| - | mybeta | Производная первого порядка по углу скольжения | ||
| - | myda | Производная по управлению креном (элероны) | ||
| - | mydr | Производная по управлению рысканьем (руль направления) | ||
| - | mywx | Производная по угловой скорости крена | ||
| - | mywy | Производная по угловой скорости рысканья | ||
| - | myM | Производная по числу Маха | ||
| - | mz0 | Коэффициент подъема при нулевом угле тангажа | ||
| - | mzalpha | Производная первого порядка по углу атаки | ||
| - | mzDalpha | Производная второго порядка по углу атаки | ||
| - | mzdf | Производная по управлению подъемом (закрылки) | ||
| - | mzde | Производная по управлению тангажем (руль высоты) | ||
| - | mzwz | Производная по угловой скорости тангажа | ||
| - | mzM | Производная по числу Маха | ||
| L | [м] | l | Размах крыла | |
| P | [Па] | p | Давление на текущей высоте | |
| [Па] | psl | Давление на уровне моря | ||
| Pd | [грамм/час] | FuelFlow | Расход топлива на уровне моря | |
| power | [Вт] | - | Мощность двигателя на уровне моря | |
| Q | [кг/м·с2] | q | Скоростной напор | |
| rAC | [м] | rAC | Точка приложения аэродинамической силы | |
| rCG | [м] | rCG | Центр тяжести БПЛА | |
| rPC | [м] | rHub | Точка приложения силы тяги двигателя | |
| xg | [м] | x | Текущее положение ЛА в нормальной СК по OXg | |
| zg | [м] | z | Текущее положение ЛА в нормальной СК по OZg | |
| CP | - | Cp | Коэффициент тяги | |
| CT | - | Ct | Коэффициент мощности | |
| CGempy | [м] | CGempty | Положение центра масс при пустых баках | |
| CGgross | [м] | CGgross | Положение центра масс при полных баках | |
| - | - | Матрица перехода от нормальной к связанной СК | ||
| - | Dcb | Матрица перехода от связанной к нормальной СК | ||
| - | Dck | Матрица перехода от нормальной к скоростной СК | ||
| - | - | Матрица перехода от нормальной к траекторной СК | ||
| [Н] | F | Равнодействующий вектор сил в связанной СК | ||
| [Н] | - | Вектор силы тяжести в связанной СК | ||
| [Н] | G | Вектор силы тяжести в нормальной СК | ||
| Hg | [м] | y | Текущее положение ЛА в нормальной СК по OYg | |
| [кг·м2] | J | Матрица моментов инерции | ||
| - | - | Коэффициент, характеризующий режим работы винта | ||
| Jempy | [кг·м2] | Jempty | Моменты инерции при пустых баках | |
| Jeng | [кг·м2] | Jeng | Момент инерции двигателя | |
| Jgross | [кг·м2] | Jgross | Моменты инерции при пустых баках | |
| Jprop | [кг·м2] | Jprop | Момент инерции пропеллера | |
| Jx | [кг·м2] | Jx | Момент инерции по OX | |
| Jxy | [кг·м2] | Jxy | Момент инерции по OXY | |
| Jy | [кг·м2] | Jy | Момент инерции по OY | |
| Jz | [кг·м2] | Jz | Момент инерции по OZ | |
| L | [кг·рад ·м2/с] |
- | Вектор момента количества движения | |
| [м] | Lf | Вектор опорного расстояния до фильтра | ||
| Lat | [град] | Lat | Текущая широта | |
| Lon | [град] | Lon | Текущая долгота | |
| M | [Н·м] | - | Равнодействующий вектор моментов в связанной СК | |
| M | - | M | Число маха | |
| Maero | [Н·м] | Maero | Вектор аэродинамических моментов | |
| Mprop | [Н·м] | Mprop | Вектор гироскопических моментов двигателя | |
| P | [Н] | P | Вектор силы тяги двигателя | |
| [грамм/час] | - | Всасывание топлива | ||
| [грамм/час] | FuelFlow | Расход топлива | ||
| R | [Н] | - | Вектор аэродинамических сил | |
| [м] | Requiv | Эквивалентный радиус Земли | ||
| [м] | - | Радиус меридиана; | ||
| [м] | - | Нормальный радиус Земли | ||
| S | [м2] | S | Площадь крыла | |
| T | [К] | T | Температура на текущей высоте | |
| TSL | [К] | Tsl | Температура на уровне моря высоте | |
| V | [м/c] | V | Вектор скоростей в связанной СК | |
| V | [м/c] | absV | Модуль вектора скоростей в скоростной СК | |
| VLat | [м/c] | - | Скорость по широте | |
| VLon | [м/c] | - | Скорость по долготе | |
| Vsnd | [м/c] | Vsnd | Скорость звука на текущей высоте | |
| [м/c] | Vturb | Скорость турбулентности | ||
| [м/c] | Vwind | Скорость ветра | ||
| [м/c] | Vwind0 | Скорость постоянного фонового ветра | ||
| Vx | [м/c] | Vx | Скорость по оси OX в связанной СК | |
| Vy | [м/c] | Vy | Скорость по оси OY в связанной СК | |
| Vz | [м/c] | Vz | Скорость по оси OZ в связанной СК | |
Приложение В – Исходные map-файлы
1) Давление во всасывающем коллекторе двигателя
pd = [60 70 80 90 92 94 96 98 100]T, кПа
2) Расход топлива на уровне моря
Расход топлива на уровне моря Qff (
, pd), грамм/час:
| 60 | 70 | 80 | 90 | 92 | 94 | 96 | 98 | 100 | |
| 1500 | 31 | 32 | 46 | 53 | 55 | 57 | 65 | 73 | 82 |
| 2100 | 40 | 44 | 54 | 69 | 74 | 80 | 92 | 103 | 111 |
| 2800 | 50 | 63 | 69 | 92 | 95 | 98 | 126 | 145 | 153 |
| 3500 | 66 | 75 | 87 | 110 | 117 | 127 | 150 | 175 | 190 |
| 4500 | 89 | 98 | 115 | 143 | 148 | 162 | 191 | 232 | 246 |
| 5100 | 93 | 102 | 130 | 159 | 167 | 182 | 208 | 260 | 310 |
| 5500 | 100 | 118 | 137 | 169 | 178 | 190 | 232 | 287 | 313 |
| 6000 | 104 | 126 | 151 | 184 | 191 | 206 | 253 | 326 | 337 |
| 7000 | 123 | 144 | 174 | 210 | 217 | 244 | 321 | 400 | 408 |
3) Мощность двигателя на уровне моря
Мощность двигателя на уровне моря power(
, pd), Вт
| 60 | 70 | 80 | 90 | 92 | 94 | 96 | 98 | 100 | |
| 1500 | 18.85 | 47.12 | 65.97 | 67.54 | 69.12 | 67.54 | 67.54 | 69.12 | 86.39 |
| 2100 | 59.38 | 98.96 | 127.55 | 149.54 | 151.74 | 160.54 | 178.13 | 200.12 | 224.31 |
| 2800 | 93.83 | 149.54 | 187.66 | 237.5 | 249.23 | 255.1 | 307.88 | 366.52 | 398.77 |
| 3500 | 109.96 | 161.27 | 245.57 | 307.88 | 326.2 | 351.86 | 421.5 | 491.14 | 531.45 |
| 4500 | 164.93 | 245.04 | 339.29 | 438.25 | 447.68 | 494.8 | 565.49 | 673.87 | 772.83 |
| 5100 | 181.58 | 245.67 | 389.87 | 496.69 | 528.73 | 571.46 | 662.25 | 822.47 | 993.37 |
| 5500 | 184.31 | 293.74 | 403.17 | 535.64 | 570.2 | 622.04 | 748.75 | 956.09 | 1059.76 |
| 6000 | 163.36 | 276.46 | 420.97 | 565.49 | 609.47 | 691.15 | 860.8 | 1130.97 | 1193.81 |
| 7000 | 124.62 | 249.23 | 417.83 | 586.43 | 645.07 | 762.36 | 996.93 | 1246.17 | 1429.42 |
4) Коэффициент, характеризующий режим работы винта
Коэффициент, характеризующий режим работы винта
:
= [-1 0 0.1 0.2 0.3 0.35 0.4 0.45 0.5 0.6 0.7 0.8 0.9 1 1.2 2]T
5) Коэффициент тяги
Коэффициент тяги CT(
)
| -1 | 0 | 0.1 | 0.2 | 0.3 | 0.35 | 0.4 | 0.45 | 0.5 | 0.6 | 0.7 | 0.8 | 0.9 | 1 | 1.2 | 2 | |
| CT, 10-2 | 4.92 | 2.86 | 2.66 | 2.32 | 3.43 | 3.4 | 3.72 | 3.14 | 2.54 | 1.17 | -0.5 | -1.6 | -2 | -3 | -4 | -11.2 |
6) Коэффициент мощности
Коэффициент мощности CP(
)
| -1 | 0 | 0.1 | 0.2 | 0.3 | 0.35 | 0.4 | 0.45 | 0.5 | 0.6 | 0.7 | 0.8 | 0.9 | 1 | 1.2 | 2 | |
| CT, 10-2 | 1.99 | 2.07 | 1.91 | 1.69 | 2.17 | 2.23 | 2.54 | 2.35 | 2.12 | 1.46 | 0.4 | -0.5 | -1 | -1.8 | 2.7 | -7.4 |


. (1.1.1)
. (1.1.2)
. (1.1.3)
, (1.2.1)
, (1.2.5)
, (1.2.15)
. (1.2.17)
. (1.2.19)
, (1.2.21)
(1.2.25)
, (1.3.6)
; (1.4.7)
; (1.4.8)
, (1.4.9)
; (1.4.10)
; (1.4.12)
, (1.4.13)
; (1.5.1)
; (1.5.2)
, (1.5.4)
; (1.6.2)
. (1.6.3)
(2.1.1)
(2.1.2)
(2.1.3)
(2.1.4)
(2.1.5)
(2.1.6)
(2.1.7)

(2.2.6)
(2.2.11)
(2.2.12)
,
(2.2.15)
(2.2.16)
,
(2.2.20)
(2.2.21)
(2.2.22)
, (2.2.23)
(2.2.24)
(2.2.25)
(2.2.26)
(2.2.29)
(2.2.30)
(2.2.31)
, (2.2.32)
(2.2.33)
(2.2.34)
(2.2.35)

(2.3.4)
(2.3.5)
(2.3.15)
(2.3.21)
(2.3.27)
(2.3.28)
(2.3.34)