Дипломная работа: Управление кредитным портфелем коммерческого банка
|
Название: Управление кредитным портфелем коммерческого банка Раздел: Рефераты по банковскому делу Тип: дипломная работа | |||||||||||||||||||||||||||||||||||||||||||||||||||||||||||||||||||||||||||||||||||||||||||||||||||||||||||||||||||||||||||||||||||||||||||||||||||||||||||||||||||||||||||||||||||||||||||||||||||||||||||||||||||||||||||||||||||||||||||||||||||||||||||||||||||||||||||||||||||||||||||||||||||||||||||||||||||||||||||||||||||||||||||||||||||||||||||||||||||||||||||||||||||||||||||||||||||||||||||||||||||||||||||||||||||||||||||||||||||||||||||||||||||||||||||||||||||||||||||||||||||||||||||||||||||||||||||||||||||||||||||||||||||||||||||||||||||||||||||||||||||||||||||||||||||||||||||||||||||||||||||||||||||||||||||||||||||||||||||||||||||||||||||||||||||||||||||||||||||||||||||||||||||||||||||||||||||||||||||||||||||||||||||||||||||||||||||||||||||||||||||||||||||||||||||||||||||||||||||||||||||||||||||||||||||||||||||||||||||||||||||||||||||||||||||||||||||||||||||||||||||||||||||||||||||||||||||||||||||||||||||||||||||||||||||||||||||||||||||||||||||||||||||||||||||||||||||||||||||||||
ДИПЛОМНАЯ РАБОТА на тему: Управление кредитным портфелем коммерческого банка (на материалах филиала № 1 ОАО "Банк Альфа") Содержание 1. Понятие кредитного портфеля коммерческого банка, необходимость и значение оценки его качества 1.1 Кредитный портфель банка, его содержание и значение 1.2 Особенности формирования кредитных портфелей коммерческих банков Республики Беларусь 1.3 Методы анализа и оценки качества кредитного портфеля банка в мировой и отечественной практике 2. Аназиз и оценка качества кредитного портфеля филиала №1 ОАО "БАНК АЛЬФА" 3. Управление качеством кредитного портфеля коммерческого банка 3.1 Проблемы формирования и управления кредитным портфелем 3.2 Пути совершенствования системы управления кредитным портфелем коммерческого банка Список использованных источников
|
|||||||||||||||||||||||||||||||||||||||||||||||||||||||||||||||||||||||||||||||||||||||||||||||||||||||||||||||||||||||||||||||||||||||||||||||||||||||||||||||||||||||||||||||||||||||||||||||||||||||||||||||||||||||||||||||||||||||||||||||||||||||||||||||||||||||||||||||||||||||||||||||||||||||||||||||||||||||||||||||||||||||||||||||||||||||||||||||||||||||||||||||||||||||||||||||||||||||||||||||||||||||||||||||||||||||||||||||||||||||||||||||||||||||||||||||||||||||||||||||||||||||||||||||||||||||||||||||||||||||||||||||||||||||||||||||||||||||||||||||||||||||||||||||||||||||||||||||||||||||||||||||||||||||||||||||||||||||||||||||||||||||||||||||||||||||||||||||||||||||||||||||||||||||||||||||||||||||||||||||||||||||||||||||||||||||||||||||||||||||||||||||||||||||||||||||||||||||||||||||||||||||||||||||||||||||||||||||||||||||||||||||||||||||||||||||||||||||||||||||||||||||||||||||||||||||||||||||||||||||||||||||||||||||||||||||||||||||||||||||||||||||||||||||||||||||||||||||||||||||
Внутренние факторы |
Внешние факторы | ||
| Недостаточность обеспечения | 22 | Банкротство компании | 12 |
| Неправильная оценка информации при изучении заявки на получение кредита | 21 | Требования кредиторов о погашении задолженности | 11 |
| Слабость операционного контроля и задержки в выявлении и реагировании на ранние предупредительные сигналы | 18 | Безработица/Семейные проблемы | 6 |
| Плохое качество обеспечения | 5 | Кража/Мошенничество | 4 |
| Невозможность получения оговоренного в контракте обеспечения | 1 |
---- | |
| Итого | 67 | Итого | 33 |
Примечание. Источник: [8, с.698]
Следовательно, приведенные данные показывают, что в 67% случаев потери банка при кредитовании были обусловлены влиянием внутренних факторов, что является следствием недостатков применяемых методик либо неправильным их использованием. Поэтому анализ должен выявить потенциальный источник потерь банка для их предупреждения и соответственно снижения риска кредитных операций.
Качественная оценка риска кредитного портфеля становится особенно актуальной в связи с диверсификацией банками своих операций. В процессе анализа кредитного портфеля, банки осуществляют ранжирование кредитов, т.е. используют метод систематической и объективной классификации кредитного портфеля в соответствии с характеристиками качества и риска. [8, с.696]
Помимо анализа кредитного портфеля на определённую дату проводится изучение кредитного портфеля в динамике, т.е. производится линейный анализ по основным показателям (валовой, чистый кредитный портфель, кредитный портфель, взвешенный с учётом риска, степень кредитного риска, сумма созданного резерва на покрытие возможных потерь и т.д.) за ряд лет. Также для конкретизации и изучения влияния сезонных колебаний в реальном секторе используются данные на квартальные даты изучаемого периода и т.д. [34, c.221]
Такой подход позволяет представить анализ кредитного портфеля как систему, которая включает следующие элементы:
оценка качества кредитов, составляющих кредитный портфель;
определение структуры портфеля на основе качества кредитов и оценка этой структуры на основе изучения её динамики;
определение достаточной величины резервов для покрытия убытков по кредитам на основе структуры кредитного портфеля.
Поскольку анализ и управление кредитным портфелем дополняют друг друга, то и рассматривать их необходимо как две части одного целого в их тесной взаимосвязи. Анализ служит обоснованием принимаемых управленческих решений, под влиянием которых происходит формирование кредитного портфеля банка.
Важно отметить, что анализ и управление - процессы непрерывные. Поэтому результат их взаимодействия - сформированный на определённую дату кредитный портфель, в свою очередь, становится предметом анализа следующего временного периода. Взаимосвязь двух процессов различных периодов времени схематично представлена на рис.1.1
![]() |
Рис.1.1 Взаимосвязь процессов анализа и управления различных периодов времени
Примечание. Источник: [собственная разработка на основе моделей экономико-математического моделирования].
Для достижения поставленных целей процессом формирования кредитного портфеля необходимо управлять. Управление представляет собой активное участие и воздействие на процесс, что подразумевает необходимость реализации всех управленческих функций: планирования, организации и контроля.
Рассмотрим все эти функции. На стадии планированияопределяются долгосрочные и краткосрочные цели кредитного портфеля и стандарты его формирования. При этом в качестве целей для достижения можно выбирать определённые значения следующих показателей:
средневзвешенный риск кредитного портфеля;
структура кредитного портфеля в разрезе групп риска;
степень диверсификации кредитного портфеля;
степень защиты от кредитного риска;
величина резерва, достаточная для покрытия возможных потерь;
величина доходности кредитного портфеля в целом и т.д.
Достижение этих целей возможно лишь при достижении оптимальных показателей отдельных кредитов, таких как величина риска отдельного кредита, доходность отдельного кредита и т.д. Для этого необходимо последовательное достижение целей отдельных этапов кредитования: выполнение правил и процедур при оценке кредитоспособности кредитополучателя; соблюдение правил оформления кредитных договоров; проведение своевременного контроля над уплатой процентов и погашением основного долга кредитополучателями по всем этапам кредитного процесса.
Выполнение функции организации подразумевает определение организационных структур и лиц, отвечающих за управление кредитным портфелем, их обязанностей и полномочий, ответственности и т.д. Как правило, этот этап включает:
выбор критериев для оценки качества кредитов, составляющих кредитный портфель;
разработка определённого метода оценки качества кредитов (процедуры кредитного анализа) на основе критериев и обучение персонала банка;
организация работы по классификации кредитов в зависимости от качества обеспечения;
организация работы по классификации кредитов по группам риска.
разработку способов накопления статистической информациипо банкудля определения процента риска для каждой группы классифицированных кредитов, доли просроченной задолженности и процентов списания её за счёт резерва банка в разрезе отдельных групп кредитов и др.;
разработку методов определения абсолютной величины кредитного риска в разрезе групп кредитов кредитного портфеля и совокупного риска по банку;
внедрение методов определения величины создаваемого резерва для покрытия возможных потерь по кредитам;
разработку способов и процедур оценки качества кредитного портфеля на основе финансовых коэффициентов, сегментации кредитного портфеля.
Представим теперь следующую функцию управления - контроль. Реализация данной функции происходит в трёх основных направлениях:
снижение кредитного риска по каждому конкретному кредиту (проверка целевого использования, проверка материального обеспечения кредита, непрерывный процесс отслеживания финансового состояния клиента, его кредитоспособности и состояния расчётов);
снижение потерь по кредитам на уровне кредитного портфеля банка в целом;
правильность организации проведения кредитных операций.
Важным моментом в управлении кредитным портфелем является стратегия и тактика банка в области получения и предоставления кредитов, которые составляют существо его кредитной политики. Можно дать следующее определение: кредитная политика - это политика, связанная с движением кредита. Каждый банк формирует свою собственную кредитную политику с учётом политических, экономических, организационных и прочих факторов. Ключевым элементом кредитной политики является используемый им инструментарий для удовлетворения потребностей клиентов в заёмных средствах, выраженный в видах выдаваемых банком кредитов.
В кредитной политике формулируется общая цель, и определяются пути её достижения:
приоритетные направления кредитных вложений по отраслевой принадлежности, юридическому статусу;
приемлемые для банка виды кредитов и кредитных счетов;
кредиты, от которых банк предпочитает воздерживаться;
предпочтительный круг кредитополучателей;
нежелательные для банка кредитополучатели по различным категориям;
политика в области предоставления кредитов физическим лицам;
комплекс мер по контролю за качеством кредитного портфеля.
После анализа зарубежной экономической литературы необходимо отметить, что эффективная кредитная политика банка должна включать:
цель, исходя из которой формируется кредитный портфель (указание признаков хорошего кредитного портфеля: видов кредитов, сроков их погашения, размеров и качества кредитов);
обязанности по передаче прав и предоставлению информации в рамках кредитного управления;
практику ходатайства, проверки, оценки и принятия решений по кредитным заявкам клиентов;
необходимую документацию, прилагаемую к каждой кредитной заявке, а также документацию, которая должна храниться в кредитном деле;
права сотрудников банка с детальным указанием того, кто отвечает за хранение и проверку кредитных дел;
основные правила приёма, оценки и реализации кредитного обеспечения;
описание политики и практики установления процентных ставок и комиссий по кредитам, условий погашения кредита;
описание стандартов качества, применяемых ко всем кредитам;
указание максимального размера кредитных вложений (максимальной доли кредитов в активах);
описание обслуживаемого банком региона, куда должна осуществляться основная часть кредитных вложений;
описание практики выявления, анализа и решения ситуаций, связанных с проблемными кредитами;
Как правило, стратегия и тактика кредитной политики разрабатываются в центральном офисе (головном банке) кредитным департаментом (управлением), кредитным комитетом, утверждается соответствующим органом управления банком.
Кредитная политика коммерческого банка имеет внутреннюю структуру, которая включает:
стратегию банка по разработке основных направлений кредитного процесса;
тактику банка по организации кредитования;
контроль реализации кредитной политики.
Основные положения кредитной политики доводятся до низовых звеньев, которые, как правило, являются основными исполнителями и от которых в конечном итоге зависит качество кредитного портфеля. Успех кредитной политики определяется практическими действиями банковского персонала, интерпретирующего и воплощающего в жизнь установки кредитной политики на всех этапах кредитного процесса. [1, c.220]
Таким образом, формирование кредитного портфеля представляет собой отражение стратегии, принятой высшим руководством банка. Это процесс, управление которым происходит как на макроуровне, так и на микроуровне.
Управление на макроуровне (стратегическое) нацелено на создание оптимального кредитного портфеля в целом, т.е. определение приоритетов, стандартов формирования, размеров портфеля, и достижение оптимальных значений показателей, характеризующих кредитный портфель в целом. К таким показателям можно отнести: доходность портфеля, структура вложений и совокупный риск портфеля.
Управление на микроуровне (текущее или оперативное) направлено на оптимизацию отдельных этапов формирования и функционирования кредитного портфеля с соблюдением всех процедур, инструкций, методик, правил и других ограничений, отражающих стратегию и тактику кредитной деятельности банка.
Итак, кредитная политика коммерческого банка, являясь основополагающим элементом процесса управления кредитным портфелем, определяет долгосрочные целевые установки банка в данной сфере деятельности, учитывая общую направленность функционирования банка, а также инструменты и процедуры непосредственной работы служащих в процессе управления.
Следует отметить, что кредитная политика, проводимая коммерческими банками Республики Беларусь в 2003-2004 годах, определялась как внешними, так и внутренними факторами, повлёкшими за собой изменения в структуре кредитных вложений банков. Наибольшее влияние на формирование кредитного рынка в Республике Беларусь оказывают внешние факторы.
К таким факторам можно отнести следующие:
проводимая Национальным банком Республики Беларусь жёсткая денежно-кредитная политика;
политика рефинансирования коммерческих банков;
инфляционные процессы в экономике;
валютное регулирование, в частности: девальвация национальной денежной единицы, наличие обязательной продажи валютной выручки;
уровень эмиссии денежных средств;
наличие внешних источников финансирования (обслуживание внешних кредитных линий под гарантии банков и Правительства).
К основным внутренним факторам относятся:
структура ресурсной базы коммерческих банков;
качество кредитного портфеля;
наличие и структура клиентской базы.
Автор считает необходимым отметить отрицательные явления в кредитном процессе. Как показывают исследования, отсутствие тщательного анализа кредитных заявок, проведение которого многие банки считают обременительным, имеет весьма большое значение. Но быстро меняющаяся экономическая конъюнктура, конкурентная борьба, постепенное распространение синдицированных кредитов накладывают на анализ кредитоспособности кредитополучателя временные ограничения, которые входят в противоречие с требованиями разумной осторожности.
Отсутствие предварительного тестирования новых кредитных технологий и продуктов может привести к серьёзным проблемам. Это относится к внедрению банком новых кредитных технологий, которые пренебрегают проверенными практикой принципами, процедурами и методами оценки качества кредитов:
Отсутствие параллельной оценки кредитов - повторная оценка кредитов в крупных банках должна производиться подразделением, которое непосредственно не занимается предоставлением кредитов и сможет обеспечить оценку кредита на основе бухгалтерской отчётности, рабочих материалов бизнес-подразделения и т.п. Цель повторной оценки - удостовериться в том, что кредиты предоставляются в соответствии с политикой банка и дать независимую оценку их качества.
Неспособность средств контроля банка выявить ложную информацию о кредитополучателе - банки не проводят осмотр обеспечения на месте, не подтверждают его оценку, не анализируют бухгалтерскую отчётность.
Несмотря на то, что банки правильно устанавливают неценовые условия кредита, отсутствие у банка чёткой методики расчёта процентной ставки может привести к увеличению доли кредитов с недооцененным уровнем риска. Также часто недостаточное внимание уделяется эффектам бизнес-цикла, который включает четыре стадии - кризис, депрессию, оживление и подъём. Такие отрасли экономики, как торговля, сфера услуг, испытывают довольно резкие циклические колебания. Деятельность кредитополучателя может быть очень чувствительной к изменениям таких отдельных факторов, как цены на товары, конкуренция и др.
Недостаточная разработка внутренних документов банка, регламентирующих кредитную политику, процедуры принятия решений о выдаче кредита, распределение обязанностей между подразделениями и сотрудниками банка также негативно влияет на состояние кредитного портфеля. В заключение сделаем следующий вывод. Успех кредитной деятельности определяется наличием взвешенной кредитной политики, процедур организационно-технологических мероприятий, адекватных систем кредитного контроля.
1.2 Особенности формирования кредитных портфелей коммерческих банков Республики Беларусь
В макроэкономическом аспекте кредитный процесс может рассматриваться как совокупность экономических отношений, возникающих в ходе деятельности банков в качестве финансовых посредников между сберегателями кредитных ресурсов и их пользователями. На микроэкономическом уровне кредитный процесс представляет собой набор процедур, реализуемых сберегателями, банками-кредиторами и их должниками при управлении кредитными ресурсами. В укрупнённом виде кредитный процесс описан на рис.1.2

Рис.1.2Кредитный процесс банков
Примечание. Источник: [31, с.17]
Рассмотрим следующую схему формирования банками предложения кредитов (см. приложение 3). Как видно из рис. П.3.1предложение кредитов представляет собой сложное экономическое явление, характеристики которого зависят не только от деятельности банков, но и от принимаемых на макроэкономическом уровне решений. С другой стороны, кредитный портфель банков - продукт взаимодействия банков и реального сектора экономики, формирующего спрос на кредитные ресурсы. Данный спрос предъявляют две группы кредитополучателей: юридические и физические лица.
В целом факторы, влияющие на спрос указанных лиц на кредитные ресурсы представлены ниже (см. приложение 4).
На основании рис. П.4.1 можно сделать предположение, что юридические и физические лица имеют различную мотивацию и условия для получения кредита. Так, для юридических лиц при принятии решения о банковском кредитовании на первом плане стоят задачи по развитию бизнеса и имеющиеся у них возможности финансирования, альтернативные банковскому кредитованию. Физических же лиц к получению банковского кредита привлекают рынки товаров и недвижимости, предлагающие новые продукты и услуги.
При взаимодействии предложения кредитных ресурсов и спроса на них происходит формирование банками условий кредитования реального сектора экономики, которые находят свое отражение в кредитных договорах. Важнейшими элементами этих условий являются процентные ставки по банковским кредитам, сроки действия кредитных договоров и требуемое банками обеспечение.
Помимо спроса и предложения на рассматриваемые условия кредитования влияние оказывают инфляция и иные внешние (экзогенные) по отношению к кредитному процессу факторы (рис.1.3).

Рис.1.3Формирование банками условий кредитования реального сектора экономики
На рис.1.3видно, что на условия кредитования банками экономики инфляция оказывает как непосредственное влияние (выражается в надбавках за инфляционный риск к процентной ставке по кредиту, к дисконту при оценке имущества, сокращении срока кредитования), так и косвенное влияние через предложение кредитов и спрос на них.
Косвенное влияние инфляции проявляется уже в начале кредитного процесса, когда идёт формирование ресурсной базы банка. В данном случае вкладчики требуют от банка выставления по депозитам ставок, которые обеспечивают сохранение покупательной способности сбережений. Таким образом, ставки по депозитам несколько превышают уровень цен. Причем, анализируя инфляцию и динамику номинальных процентных ставок в национальной валюте, можно увидеть детерминированность последних уровнем цен, наблюдавшимся в прошлых периодах (рис.1.4).

Рис.1.4Динамика инфляции и номинальных ставок в национальной валюте в 2002-2004 гг.
Таким образом, влияние инфляции на процентные ставки со стороны спроса на кредиты происходит по нескольким направлениям. Во-первых, ускорение инфляционных процессов приводит к потере предприятиями оборотных средств. В результате данного явления растёт зависимость предприятий от привлечённых кредитных ресурсов, что посредством повышения спроса на кредиты вызывает увеличение процентных ставок по кредитам. Во-вторых, в связи с ухудшением на фоне высокой инфляции финансового положения предприятий и увеличением вероятности возникновения проблемных кредитов в составе процентной ставки по кредитам растёт так называемая надбавка за риск. Она, как правило, компенсирует издержки банка в связи с невозвратом кредитных ресурсов, а также в работе с проблемными кредитами. В-третьих, высокий уровень номинальных процентных ставок в национальной валюте, обусловленный инфляционными процессами, стимулирует рост процентных ставок в иностранной валюте. Это происходит из-за смещения спроса с сегмента кредитов в национальной валюте в сторону сегмента кредитов в иностранной валюте.
Такое смещение обусловлено высокой валютной доходностью кредитов в национальной валюте, понижение которой происходит вместе с сокращением темпов инфляции. В свою очередь, падение валютной доходности кредитов в национальной валюте стимулирует уменьшение ставок по кредитам в иностранной валюте (рис.1.5).

Рис.1.5Валютная доходность рублёвых кредитов и ставки по кредитам в СКВ
Заметен также опережающий рост кредитования банками экономики в белорусских рублях по сравнению с выдачей кредитов в иностранной валюте (рис.1.6).

Рис.1.6Структура валовых кредитов банков экономике в 2003-2004 гг.
Если сравнивать темпы роста номинальных показателей валового внутреннего продукта и валовых кредитов, то можно увидеть отрицательную корреляцию исследуемых параметров (рис.1.7).

Рис.1.7Рост номинальных значений ВВП и валовых кредитов банков в 2002-2004 гг. к аналогичному периоду прошлого года
Напротив, при анализе темпов роста валового внутреннего продукта и валовых кредитов банков, измеренных в сопоставимых ценах, очевидна положительная корреляция параметров (рис.1.8).

Рис.1.8Рост в 2002-2004 гг. ВВП и валовых кредитов в сопоставимых ценах к соответствующему периоду прошлого года

Рисунок 1.9 Прирост валовых кредитов банков и показателей ресурсной базы
Достаточно интересно выглядит ситуация по темпам роста валовых кредитов и ресурсной базы банков за рассматриваемый период, что отражено на рис.1.9. В ближайшем будущем банковской системе предстоит решать проблему создания вторичного рынка банковских кредитов. Механизм этого рынка может быть запущен на основе технологии секьюритизации банковских активов. Функционирование такого рынка позволит задействовать для кредитования экономики (особенно долгосрочного) потенциал банков, не относящихся к категории уполномоченных. Вторая половина девяностых годов стала периодом существенных изменений, значительных структурных преобразований и совершенствования деятельности банков Республики Беларусь. Начиная с 1996 года, обострилась проблема своевременного возврата банковских кредитов. Эта проблема существовала до 2000-2002 гг. По мере увеличения объёмов проводимых банками активных операций, роста кредитных вложений опережающими темпами увеличивалась просроченная задолженность по кредитам банков. Наиболее показательным следует считать 1998 год, когда темпы роста активов, кредитов и просроченной задолженности составили 387%, 420% и 510% соответственно. На 1 января 2005 года ситуация коренным образом изменилась. Динамика доли невозвращённых кредитов банкам Республики Беларусь представлена на рис.1.10

Рисунок 1.10Динамика доли невозвращенных кредитов банкам Республики Беларусь в период с 1996 по 2005 гг.
Примечание. Источник: [собственная разработка на основе данных сети Интернет]
Данные рис.1.10 свидетельствуют об изменении доли невозвращенных кредитов в портфелях белорусских банков. Так если по состоянию на 01.01.1996 г. значение показателя составляло 12%, то на 01.01.1997 г. уже - 14%, а на 01.01.1998 г. - 18%. Данные на 01.01.2005 г. отражают снижение величины этого показателя до 3,0%. Это говорит о том, что в период с начала 2000 г. и по настоящее время отмечается тенденция к снижению данного показателя.
Одним из важнейших условий осуществления банковской деятельности является наличие законодательно оформленной нормативно-правовой базы для осуществления банковских операций, в том числе и кредитных. В рамках рассматриваемого периода (2002-2005 гг.) Национальным банком страны был принят ряд документов, направленных на обеспечение стабильности банковской системы в целом и повышение качества кредитной деятельности коммерческих банков в частности. Основными документами, регулирующими организацию кредитного процесса, которые оказали влияние на улучшение состояния кредитных портфелей коммерческих банков, явились следующие:
банковский кодекс Республики Беларусь;
инструкция "О порядке предоставления (размещения) банками денежных средств в форме кредита и их возврата" №226 от 30.12.2003;
Инструкция о порядке формирования и использования специального резерва на покрытие возможных убытков по активам банка и небанковской кредитно-финансовой организации, подверженным кредитному риску (в ред. постановлений Национального банка от 29.09.2004 № 148);
Инструкция "Об экономических нормативах для банков и небанковских кредитно-финансовых организаций" №92 от 28.06.2004.
Рассмотрим же особенности кредитной политики в банковской системе Республики Беларусь за 2004 год. Если в 2001 году соотношение валовых кредитов банков с номинальным значением валового внутреннего продукта находилось на уровне 14,8 процента, то в 2004 году оно достигло 20,1 процента.
Кредитная поддержка агропромышленного комплекса - одно из приоритетных направлений работы банковской системы страны. Общая кредитная задолженность организаций агропромышленного комплекса по состоянию на 1 января 2005 года вышла на уровень 2,9 триллиона рублей, или 31,9 процента от общей кредитной задолженности народного хозяйства. За 2004 год прирост задолженности организаций агропромышленного комплекса составил 1,25 триллиона рублей, или 75,6 процента, против 63,3 процента в целом по народному хозяйству.
Задолженность по кредитам физических лиц на потребительские цели увеличилась за год почти в 3 раза. В 2004 году банки сделали поворот в сторону решения социальных задач, стали работать непосредственно на повышение жизненного уровня населения страны.
Проводимая в 2004 году процентная политика была ориентирована на постепенное снижение номинальных значений процентных ставок на депозитном и кредитном рынках при сохранении их положительных в реальном выражении значений, способствующих росту сбережений в национальной валюте, и увеличению доступности кредитов банков для реального сектора экономики.
Исходя из данных целей, а также из сложившихся и прогнозируемых монетарных тенденций, и, прежде всего, замедления темпов инфляции и девальвации, ставка рефинансирования была снижена с 28 процентов годовых на начало 2004 года до 17 процентов годовых в сентябре 2004 г. Таким образом, за 2004 год средний уровень ставки рефинансирования составил 21,3 процента годовых. В реальном выражении за указанный период ставка рефинансирования сложилась на уровне 7,7 процента годовых, снизившись по отношению к 2003 году на 2,2 процентного пункта.
Средняя процентная ставка по новым кредитам банков в национальной валюте в декабре 2004 г. составила 20 процентов годовых, снизившись на 10,9 процентного пункта относительно уровня декабря 2003 г. Уровень ставки в реальном выражении за 2004 год составил 10,3 процента годовых против 15,4 процента в 2003 году, снизившись на 5,1 процентного пункта. Средняя процентная ставка по новым кредитам банков в СКВ снизилась с 11 процентов годовых в декабре 2003 г. до 10,1 процента годовых в декабре 2004 г. В среднем за 2004 год указанная ставка составила 10,1 процента годовых, снизившись на 2,1 процентного пункта с 2003 года.
За 2004 год в активах банков на 3,2 процентного пункта повысился удельный вес кредитов населению, на 1,6 процентного пункта - кредитов реальному сектору экономики, на 0,1 процентного пункта - средств, размещённых в Национальном банке, при снижении на 2,8 процентного пункта доли кредитов Правительству Республики Беларусь и местным органам управления, на 1,1 процентного пункта - доли средств, размещённых в банках, на 0,4 процентного пункта - доли средств, использованных нерезидентами Республики Беларусь.
Снижение доли проблемной задолженности в общем объёме кредитной задолженности происходило за счёт возврата проблемных кредитов кредитополучателями, гарантами (поручителями), по решению судов, путём реализации залогового имущества, а также списания с баланса банков безнадёжных долгов за счёт созданных резервов. При этом по задолженности, списанной за баланс, банки продолжают работу по её возврату до полного исчерпания сроков, средств и методов, предоставленных законодательством. Так, погашение кредитополучателями проблемных кредитов, ранее списанных в убыток, в сумме 8,9 млрд. рублей привело к снижению остатка проблемной задолженности, учитываемой за балансом, с 224,2 млрд. рублей до 216,9 млрд. рублей, или на 3,3 процента.
Одним из основных направлений в области регулирования формирования кредитных портфелей коммерческих банков в 2003-2004 гг. являлась политика снижения удельного веса некачественных кредитов. В целом за 2004 год произошло улучшение качества кредитных портфелей коммерческих банков с позиции соотношения типов задолженности (табл.1.2)
Таблица 1.2Динамика изменения доли проблемных кредитов коммерческих банков, млрд. руб.
| Показатели | 1999 год | 2000 год | 2001 год | 2002 год | 2003 год | 2004 год | 2005 год |
| 01.01 | 01.01 | 01.01 | 01.01 | 01.01 | 01.01 | 01.01 | |
| Кредитные вложения (всего) | 241,61 | 524,34 | 1701,81 | 2726,5 | 3954,9 | 6361,5 | 9901,9 |
| Проблемные кредиты (пролонгированные, просроченные и сомнительные) | 39,87 | 68,72 | 258,37 | 392,6 | 355,2 | 253,3 | 289,9 |
Доля проблемных кредитов в кредитных вложениях, % |
16,5 | 13,1 | 15,2 | 14,4 | 9,0 | 4,0 | 2,9 |
Если рассмотреть динамику проблемных кредитов в кредитных вложениях коммерческих банков в реальный сектор экономики, то можно отметить, что доля пролонгированных, просроченных и сомнительных кредитов в кредитном портфеле сократилась за 2004 год на 5,0 процентных пункта и составила 4,0%, в общей сумме активов - на 3,1 процентных пункта и составила 1,5%. Данное улучшение достигнуто за счёт того, что темпы роста кредитов опережают темпы роста кредитов, которые впоследствии становятся проблемными.
Автором на этой основе сделан вывод, что на 1 января 2005 г. в разрезе валют происходит изменение структуры кредитов в сторону снижения удельного веса кредитов в свободно конвертируемой валюте на 6,62 процентных пункта и увеличения доли кредитов в национальной валюте до 56,18% при абсолютном приросте в сумме 3524,9 млрд. руб.
Одним из основных направлений в области формирования кредитного портфеля коммерческих банков является целенаправленная политика Национального банка по формированию за счёт кредитных вложений более 50% активов банков, что и подтверждается ростом этого показателя по банковской системе в целом (табл.1.3)
Таблица 1.3Динамика изменения доли кредитов реальному сектору экономики в Республике Беларусь, млрд. руб.
| Показатели | Фактически на: | |||
| 01.01.2002 | 01.01.2003 |
01.01.2004 | 01.01.2005 | |
| Совокупные активы банков | 6389,5 | 7306,5 | 10038,6 | 14570,7 |
| Кредиты реальному сектору экономики | 2341,9 | 3579,8 | 5571,8 | 9096,7 |
Удельный вес кредитов в совокупных активах банков (в процентах) |
36,7 | 50,0 | 55,5 | 62,4 |
Итак, приведенные данные позволяют сделать следующие выводы:
проводимая коммерческими банками кредитная политика в период 2000-2004 гг. преследовала своей целью поддержание реального уровня процентных ставок, сокращение доли проблемных кредитов, увеличение эффективности кредитования экономики путем осуществления тщательного анализа экономической эффективности и перспектив погашения выдаваемых кредитов;
в течение 2000-2004 гг. произошло увеличение доли кредитных вложений в балансах коммерческих банков, что говорит о высокой доходности вложений в реальный сектор экономики при приемлемом уровне риска с одновременным поиском альтернативных источников доходов;
Национальный банк Республики Беларусь активно участвует в процессе формирования кредитных портфелей коммерческих банков посредством соответствующих положений, инструкций, рекомендаций, нормативов;
в период 2002-2004 гг. отмечаем значительные улучшения качества кредитных портфелей коммерческих банков с позиции риска и соотношения типов задолженности. Значение данного показателя по состоянию на 01.01.2005 г. является лучшим за последние пять лет;
коммерческими банками республики накоплен достаточный опыт для регулирования и научно-обоснованного подхода к решению проблем формирования и управления кредитным портфелем.
1.3 Методы анализа и оценки качества кредитного портфеля банка в мировой и отечественной практике
Методология оценки кредитного портфеля, согласно международным принципам и стандартам, является исключительно важной для объективной оценки функционирования каждого банка, и поэтому все банки при своей работе должны руководствоваться тем, насколько объективно у них оценен кредитный портфель. В частности, оценка кредитного портфеля и правильность оценки кредитного портфеля являются очень важным фактором, когда иностранные инвесторы смотрят на то, какое положение у данного банка.
Существующие требования белорусского законодательства, рекомендации и инструкции Национального банка в какой-то мере в настоящее время приближаются как раз к международной оценке кредитного портфеля. В данном случае пытаются использовать опыт передовых банков.
Если говорить кратко, то, в принципе, не существует единой методологии оценки кредитного портфеля. Во многих банках разработана самостоятельная методология оценки кредитного портфеля, имеются в виду крупные западные банки. В то же время отдельные банковские структуры, такие, как Мировой банк, Банк реконструкции и развития европейский, азиатский, для развивающихся рынков также разрабатывали специальные методологии оценки, одна из которых применяется в Республике Беларусь, в частности, компанией “Эрнст энд Янг" при оценке адекватности создания резервов у белорусских банков по международным стандартам.
Основным критерием при оценке кредитного портфеля является оценка объективного состояния кредитополучателя, и насколько в данный конкретный момент кредитополучатель может выплатить предоставленный ему кредит. В данном случае большое значение имеют разные факторы, не только те три фактора, о которых мы обычно говорим - это финансовое состояние кредитополучателя, качество обслуживания им долга и обеспечение.
В данном случае отчётность, подготовленная в соответствии с отечественными стандартами, которые в большинстве своем ориентированы на налоговый учёт, имеется в виду отчётность, подготовленная белорусскими предприятиями, не позволяет дать объективную оценку финансового положения данных предприятий. В частности, отсутствие примечаний к финансовой отчётности, к бухгалтерской отчётности не позволяет сделать вывод, насколько эффективно данное предприятие работает, какое у предприятия будущее, и что с этим предприятием случится в будущем. Поэтому при переходе на международные стандарты необходимо, чтобы этот процесс происходил гармонично.
При оценке кредитного портфеля обычно используются два метода. Первый метод - это метод так называемой субъективной оценки, который применяется банками развитых стран. Данный метод был разработан многими банками на протяжении долгосрочной истории их функционирования на данных рынках. В частности, такие банки, как “Эпиэн ан райтс", “Эстежен раль” используют 10-балльную систему оценки кредитных портфелей, и резервы по данным кредитным портфелям очень сильно варьируются в зависимости от перечисленных автором факторов. И в частности, по нескольким видам кредитов, так называемым хорошим рабочим кредитам, резервы не создаются. Последние новации Национального банка в области создания кредитов, создания вилки по кредитам представляют собой очень прогрессивные, и позволят, наверное, банкам более адекватно, более объективно оценить состояние кредитного портфеля. В данном случае как раз это повысит доверие инвесторов к финансовому состоянию банков и к состоянию кредитного портфеля данных банков.
В последние десятилетия в западных банках постоянно ведётся работа по созданию и внедрению методов оценки качества потенциальных кредитополучателей с помощью разного рода статистических моделей. Цель состоит в том, чтобы создать стандартные подходы для объективной характеристики кредитополучателя, найти числовые критерии оценки.
Модели играют роль приёмов, с помощью которых объекты наблюдения можно классифицировать по группам. Так, например, модели балльной оценки кредита делят кредитополучателей на устойчивых и кредитополучателей с признаками ухудшения финансового состояния, а применение метода коэффициентов позволяет охарактеризовать кредитный портфель с позиций риска, доходности, диверсифицированности и других.
Классификационные модели редко применяют для принятия окончательных решений, они могут быть полезны как средства систематизации информации и подготовки к принятию решений. Рассмотрим некоторые модели и их потенциальную полезность при принятии решений о предоставлении кредита и контроле за его использованием [31, с.621].
Первой из рассматриваемых моделей, которая применяется для классификации кредитов, является модель CART.
CART расшифровывается как "классификационные и регрессивные деревья" (аббревиатура "Сlassification and Regression Trees"). Суть и привлекательность данной модели состоит в соединении многовариантного анализа с простым разделением всей совокупности на базе каждого критерия на две группы. Многовариантность анализа достигается за счёт использования большого количества критериев деления. [31, с.623]
Американские экономисты Марэ, Паттел и Вольфсон в 1985 году применили модель CART для классификации кредитов. Банковские ревизоры и большинство внутрибанковских ревизионных комиссий подразделяют кредиты на пять категорий по степени риска непогашения кредита. В американской практике выделяют следующие категории риска:
обычный кредит - его погашают строго по графику и уровень риска здесь приемлем;
кредит, заслуживающий особого внимания - с этой категорией обычно возникают небольшие проблемы (например, неполная документация), но они не столь серьёзны, чтобы оценивать такой кредит как неблагоприятный;
кредит невысокого качества - кредиты этой категории обладают свойствами, которые могут привести к непогашению, причем вероятность риска составляет примерно 20%, но эти проблемы можно устранить;
сомнительный кредит - наблюдаются существенные недостатки, и очень возможно (вероятность 50%), что банк понесёт убытки;
убыточный кредит - кредиты, обречённые на непогашение, их списывают с баланса банка.
Марэ, Паттел и Вольфсон проанализировали 921 кредит, в том числе 839 - обычных, 37 - заслуживающих особого внимания, 32 - пониженного качества и 12 сомнительных. В этой выборке, куда входили 716 кредитов частным фирмам и 205 общественным организациям, не было убыточных кредитов. Схематично применение модели CART для классификации кредитов отображено на рис.1.11
|

Рис.1.11Использование модели CART для классификации кредитов
Примечание. Источник: [собственная разработка на основе данных источника 31]
Уместно заметить, что на рис.1.11 модель представлена достаточно условно. Американские экономисты при анализе использовали 26 показателей, на рисунке изображено классификационное дерево на основе всего 5 критериев. Графическое отображение модели не даёт представления о довольно сложной статистической технике и приёмах, которые используются для нахождения значений переменных. На основе этих значений происходит деление совокупности на две группы (на рисунке модели они соответствуют значениям переменных Y1-Y5). Нахождение значений переменных Y1-Y5 - ключевой вопрос применения модели на практике. Но значения для различных регионов, стран и даже отраслей будут отличаться. Поэтому оптимальным будет выработка критериев оценки и нахождения искомых значений на основе сложившейся в конкретном банке практики методом экспертных оценок, т.е. основываясь на опыте кредитных работников.
Актуальной для банка является анализ финансовой устойчивости для определения вероятности банкротства потенциального кредитополучателя. Наиболее известным методом анализа, применяемым в зарубежной банковской практике, является Z-анализ. Разработанный в 1977 году метод доказал свою состоятельность на практике и по настоящее время является одним из самых популярных. Термин "Z-анализ" был введён американскими экономистами Альтманом, Халдеманом и Нарайаном для обозначения своей модели выявления риска банкротства корпораций. [31, c.624] Приёмами дискриминантного анализа Альтман определил параметры корреляционной линейной функции, описывающей положение дискриминантной границы между двумя классами предприятий в пространстве коэффициентов покрытия и финансовой зависимости:
, (1.1)
где Z - показатель классифицирующей функции,
a0 - постоянный фактор,
Кп - коэффициент покрытия (текущей ликвидности),
Кфз - коэффициент финансовой зависимости, %,
a1 и a2 - параметры, показывающие степень и направленность влияния коэффициента покрытия и коэффициента финансовой зависимости на вероятность банкротства соответственно.
В результате обработки статистических данных была получена следующая корреляционная зависимость:
, (1.2)
При Z=0 имеем уравнение дискриминантной границы. Для предприятий, у которых Z=0, вероятность обанкротиться равна 50%. Если Z<0, то вероятность банкротства меньше 50% и далее снижается по мере уменьшения Z. Если Z>0, то вероятность банкротства больше 50% и возрастает с увеличением Z.
Решение данной модели лучше представить в виде табл.1.4 В таблице приведены исходные данные (столбцы 1, 2, 3,6) и результаты расчётов показателя Z и вероятности банкротства (столбцы 4,5).
Таблица 1.4 Исходные данные и результаты расчета вероятности банкротства предприятий
| Номер предприятия | Коэф. покрытия | Коэф. финансовой зависимости | Показатель Z |
Вероятность банкротства, % |
Фактическое положение (банкрот или нет) |
| 1 | 3,6 | 60 | -0,779 | 17,2 | Нет |
| 2 | 3,0 | 20 | -2,451 | 0,80 | Нет |
| 3 | 3,0 | 60 | -0,135 | 42,0 | Нет |
| 4 | 3,0 | 76 | 0,792 | 81,2 | Да |
| 5 | 2,8 | 44 | -0,846 | 15,5 | Нет |
| 6 | 2,6 | 56 | 0,063 | 51,5 | Да |
| 7 | 2,6 | 68 | 0,758 | 80,2 | Да |
| 8 | 2,4 | 40 | -0,648 | 21,2 | Да |
| 9 | 2,4 | 60 | 0,510 | 71,5 | Нет |
| 10 | 2,2 | 28 | -1,128 | 9,60 | Нет |
| 11 | 2,0 | 40 | -0,219 | 38,1 | Нет |
| 12 | 2,0 | 48 | 0,244 | 60,1 | Нет |
| 13 | 1,8 | 60 | 1,154 | 89,7 | Да |
| 14 | 1,6 | 20 | -0,947 | 13,1 | Нет |
| 15 | 1,6 | 44 | 0,442 | 68,8 | Да |
| 16 | 1,2 | 44 | 0,872 | 83,5 | Да |
| 17 | 1,0 | 24 | -0,072 | 45,0 | Нет |
| 18 | 1,0 | 32 | 0,392 | 66,7 | Да |
| 19 | 1,0 | 66 | 2,360 | 97,7 | Да |
Примечание. Источник: [30, с.95]
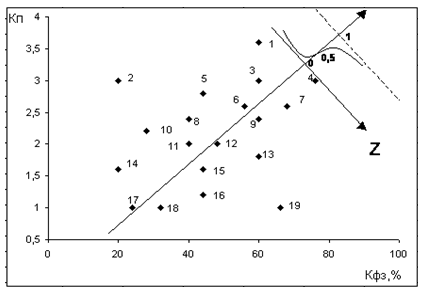
На рис.1.12 представлено корреляционное поле и положение на нём дискриминантной линии для двух показателей - коэффициента покрытия и коэффициента финансовой зависимости.

Рис.1.12 Дискриминантная линия на корреляционном поле показателей Кп и Кфз
Из рисунка 1.12 видно, что предприятия, у которых значения показателей Кп и Кфз располагаются ниже и правее дискриминантной линии, вероятнее всего обанкротятся (вероятность их банкротства превышает 50%). При этом, чем дальше отстоит точка показателей от дискриминантной линии, тем выше вероятность банкротства. Для предприятий, у которых сочетание показателей Кп и Кфз находится выше и левее дискриминантной линии, почти нет угрозы банкротства. Например, точка 2 расположена над дискриминантной линией и достаточно далека от неё; она отражает состояние предприятия №2, у которого Кп =3 и Кфз =20%. Точка 19 показывает финансовое состояние предприятия №19, у которого Кп =1 и Кфз =66%. Предприятие №19 имеет высокую вероятность банкротства (около 98%), и оно действительно обанкротилось.
В западной практике для предсказания банкротства широко используются многофакторные модели Э. Альтмана. В 1968 году была опубликована его пятифакторная модель прогнозирования банкротства. Значение ключевого параметра "Z" определяется с помощью уравнения, переменные которого отражают некоторые характеристики анализируемой компании: её ликвидность, скорость оборота капитала и т.д. Переменные уравнения вычисляются по следующим формулам:
(1.3)
(1.4)
(1.5)
(1.6)
(1.7)
В результате была получена следующая модель:
(1.8)
где Коб - доля чистого оборотного капитала в активах, то есть отношение собственного оборотного капитала (разница между текущими активами и текущими пассивами) к общей сумме активов;
Кнп - рентабельность активов, исчисленная по нераспределенной прибыли, то есть отношение нераспределенной прибыли (чистая прибыль за вычетом дивидендов) прошлых лет и отчётного периода к общей сумме активов;
Кр - рентабельность активов, исчисленная по балансовой прибыли, то есть отношение балансовой прибыли (до вычета налогов) к общей сумме активов;
Кп - коэффициент покрытия по рыночной стоимости собственного капитала, то есть отношение рыночной стоимости акционерного капитала (суммарная рыночная стоимость акций предприятия) к заёмному капиталу (стоимость долгосрочных и краткосрочных заёмных средств);
Кот - отдача всех активов, то есть отношение выручки от реализации к общей сумме активов.
В данную модель включены показатели ликвидности, финансовой устойчивости, рентабельности (эффективности использования ресурсов) и рыночной активности. В зависимости от значения Z прогнозируют вероятность банкротства:
Z<1,81 - вероятность банкротства очень высокая,
1,81<Z<2,765 - вероятность банкротства средняя,
2,765<Z<2,99 - вероятность банкротства невелика,
Z>2,99 - вероятность банкротства ничтожна.
На основе пятифакторной модели Альтмана в Республике Беларусь разработана и используется на практике компьютерная модель прогнозирования вероятности банкротства.
В этой версии модели Альтмана второй показатель принят равным нулю. Это обосновывается тем, что деятельность наших предприятий как акционерных только начинается. Изменен и четвёртый показатель, который рассчитывается как отношение объёма активов к величине заёмных средств, в связи с отсутствием в нашей республике информации о рыночной стоимости акций.
При применении модели Альтмана возможны два типа ошибок прогноза:
прогнозируется сохранение платёжеспособности предприятия, а в действительности происходит банкротство;
прогнозируется банкротство, а предприятие сохраняет платёжеспособность.
По мнению Альтмана, с помощью пятифакторной модели прогноз банкротства на горизонте в один год можно установить с точностью до 95%. При этом ошибка первого типа возможна в 6%, а ошибка второго типа - в 3% случаев. Спрогнозировать банкротство на горизонте в 2 года удаётся с точностью до 83%, при этом ошибка первого типа имеет место в 28%, а второго - в 6% случаев.
В 1977 г. Альтман со своими коллегами разработал более точную семифакторную модель. Эта модель позволяет прогнозировать банкротство на горизонте 5 лет с точностью до 70%. Было обнаружено, что следующие семь переменных позволяют разделять всю совокупность корпораций на банкротов и успешно действующих:
доходность по активам (отношение брутто-доходов - до вычета процентов и налогов - к суммарным активам);
стабильность доходов;
обслуживание долга (отношение брутто-доходов к совокупности процентным платежам);
кумулятивная прибыльность (отношение нераспределенной балансовой прибыли к суммарным активам);
ликвидность (отношение текущих активов к текущим пассивам);
капитализация (отношение средней за 5 лет рыночной стоимости акционерного капитала фирмы к совокупному долгосрочному долгу);
размер (суммарные активы фирмы).
В табл.1.5 приведены сведения о точности прогнозирования банкротства с помощью пятифакторной и семифакторной моделей.
При проведении финансового анализа и прогнозирования банкротства практически к любому оценочному показателю нужно подходить критически. Вместе с тем низкое значение показателя Z следует воспринимать как сигнал опасности. В этом случае необходим глубокий анализ причин, вызвавших снижение этого показателя.
Таблица 1.5 Точность прогнозирования банкротства (в процентах)
| Количество лет до банкротства | Прогноз по 5-факторной модели | Прогноз по 7-факторной модели | ||
| Банкрот | Небанкрот | Банкрот | Небанкрот | |
| 1 | 93,9 | 97,0 | 96,2 | 89,7 |
| 2 | 71,9 | 93,9 | 84,9 | 93,1 |
| 3 | 48,3 | - | 74,5 | 91,4 |
| 4 | 28,6 | - | 68,1 | 89,5 |
| 5 | 36,0 | - | 69,8 | 82,1 |
Примечание. Источник: [30, с.108]
Для оценки кредитов Альтман предлагает использовать модель как дополнение к подходам служащих кредитных отделов банка. При этом экономист отмечает, что его модель не дает балльной оценки кредита, а получаемые оценки могут послужить ценным инструментом определения общей кредитоспособности кредитополучателей. [13, c.277]
Одной из задач построения моделей является попытка прогнозирования будущих событий. Эту попытку в 1974 году предпринял американский экономист Чессер. Он разработал модель прогноза случаев невыполнения клиентом условий договора о кредите. При этом под невыполнением условий понимается не только непогашение кредита, но и любые другие отклонения, которые делают его менее выгодным для кредитора, чем это было предусмотрено первоначально. Чессер использовал данные четырёх коммерческих банков из трёх штатов за 1962-1971 гг. Он выбрал данные по 37 успешным кредитам и по 37 неудачным, т.е. по которым не были выполнены первоначальные условия. В модель Чессера входили следующие шесть переменных [31, с.627]:
(1.9)
(1.10)
(1.11)
(1.12)
(1.13)
(1.14)
Оценочные коэффициенты оказались такими:
(1.15)
Переменная Y, которая представляет собой линейную комбинацию независимых переменных, используется в следующей формуле для оценки вероятности невыполнения условий договора, P:
, (1.16)
где е = 2,71828.
Полученная оценка Y может рассматриваться как показатель вероятности невыполнения условий кредитного договора: чем больше значение Y, тем выше такая вероятность для данного кредитополучателя. Для формулы (1.16) Чессер предлагает использовать следующее правило:
если P>0,5, кредитополучателя следует относить к группе, которая не выполняет условий договора;
если P<0,5, кредитополучателя следует относить к группе надёжных.
По данным выборок экономиста Чессера, с помощью модели за год до нарушения условий кредитного договора удалось правильно классифицировать 75% всех кредитов, за два года до нарушения договора - 57%.
Высокую известность приобрела модель оценки риска банкротства фирмы, разработанная Банком Франциив 1982 г. В данной модели некоторые коэффициенты имеют отрицательный знак (табл.1.6). Это объясняется тем, что показатели с положительным коэффициентом уменьшают степень риска банкротства, а с отрицательным, наоборот, увеличивают.
Таблица 1.6 Модель риска банкротства, разработанная Банком Франции
| Показатели | Коэффициенты |
| L1 - стоимость кредита/валовая прибыль | -1,225 |
| L2 - степень покрытия инвестиций собственными средствами | +2,003 |
| L3 - долгосрочная задолженность/чистые активы | -0,824 |
| L4 - норма валовой прибыли | +5,221 |
| L5 - продолжительность кредита поставщиков | -0,689 |
| L6 - добавленная стоимость/обороты | -1,164 |
| L7 - продолжительность кредитов клиентам | +0,706 |
| L8 - производственные инвестиции/общие инвестиции | + 1,408 |
| Q - итоговый показатель риска банкротства | > 0,125 < - 0,25 |
Итоговый показатель Q,
характеризующий степень риска банкротства, рассчитывается как сумма произведений каждого показателя на соответствующий коэффициент. Если Q>
0,125,
положение предприятия считается достаточно устойчивым. Если Q<
-0,25, предприятие находится на пороге серьёзных финансовых трудностей и в скором будущем может стать банкротом. При значениях итогового показателя, находящихся в интервале между - 0,25 и 0,125, положение предприятия считается неопределённым, т.е. как риск банкротства, так и успешное развитие предприятия равновероятны.
Существует и другая модель финансовой оценки предприятия, предложенная американским учёным У. Бивером. На основе продолжительных статистических наблюдений за изменением финансового состояния предприятий учёный разработал систему показателей, позволяющих определить финансовое благополучие предприятий и спрогнозировать наступление банкротства через определённый период (табл.1.7).
Таблица 1.7Система показателей диагностики банкротства предприятия по У. Биверу
| Показатель | Расчётная формула | Значения показателей | ||
| Благополучного предприятия | За 5 лет до банкротства | За 1 год до банкротства | ||
| Коэффициент Бивера | (Чистая прибыль - Амортизация) / Долгосрочные + Краткосрочные обязательства | 0,4-0,45 | 0,17 | -0,15 |
| Рентабельность активов | Чистая прибыль / Активы х х100% | 6-8 | 4 | -22 |
| Финансовый леверидж | (Долгосрочные + Краткосрочные обязательства) / Активы | ≥ 0,37 | ≥ 0,5 | ≥ 0,8 |
| Коэффициент покрытия активов | (Собственный капитал - Внеоборотные активы) / Активы | 0,4 | ≥ 0,3 | 0,06 |
| Коэффициент покрытия | Оборотные активы / Краткосрочные обязательства | ≥ 3,2 | ≥ 2 | ≥ 1 |
Ещё одним способом оценки кредитного портфеля банка является разработанная балльная система. Примерный алгоритм применения данной системы на основе определенных критериев приведён (см. приложение 5).
В данном случае система оценки представлена семью критериями. На практике их может быть и больше. Каждая кредитная сделка оценивается по всем критериям и получает оценку, выраженную в баллах. Затем в соответствии с суммой набранных баллов определяется рейтинг кредита (табл.1.8).
Таблица 1.8Определение рейтинга кредита в соответствии с балльной оценкой
| Рейтинг качества кредита | Количество набранных баллов |
| 1. Кредит наилучшего качества | 163-140 |
| 2. Высокое качество кредита | 139-118 |
| 3. Удовлетворительное качество кредита | 117-85 |
| 4. Предельное качество портфеля | 84-65 |
| 5. Хуже предельного | 64 и ниже |
Несмотря на высокую значимость прогнозных моделей, ориентированных на оценку финансовых перспектив предприятия и кредитоспособности в целом, существуют определённые проблемы, связанные с их практическим применением. Главной из них является обеспечение соответствия и непротиворечивости различных показателей. Поэтому, чтобы добиться более точных оценок, многие банки комбинируют различные показатели и коэффициенты.
В рассматриваемом филиале №1 ОАО "Банк Альфа" для определения качества кредитного портфеля рассчитывают, прежде всего, уровень кредитного риска, который несёт каждый кредитополучатель. Методика расчёта риска - рейтинговая.
Кредитный рейтинг предприятия предполагает достижение следующих целей: повышения качества решения о кредитовании вследствие использования единообразных и структурированных критериев; определения степени индивидуального кредитного риска; применения кредитного рейтинга в качестве инструмента контроллинга; выявления банком возможностей повышения качества обслуживания и привлечения новых клиентов; применения кредитного рейтинга для регулирования цены кредита на основе более точной оценки рисков для каждого отдельного случая.
Используя накопленный опыт кредитования отечественных и зарубежных банков, в частности Сбербанка России, Берлинского банка АГ, немецкого Фольксбанка и др., а также материалы специализированных изданий "Банкфахклассе" и "Банкмагазин", приведём методику определения кредитоспособности кредитополучателя на основе составления кредитного рейтинга. Оценка риска кредитования предприятия обычно проводится по следующим основным направлениям: кредитная история (репутация), финансы, менеджмент, обеспечение, рынок/отрасль (рис.1.13).

Рис.1.13Схема оценки риска кредитования предприятия на основе определения кредитного рейтинга
Экспертами кредитных подразделений банка определяются весовые коэффициенты по каждому направлению оценки (табл.1.9).
Таблица 1.9Направления оценки и их весовые коэффициенты
| Направление оценки кредитного риска | Вес |
| Кредитная история (репутация) | 0,1 |
| Финансы | 0,3 |
| Обеспечение | 0,25 |
| Менеджмент | 0,15 |
| Рынок/отрасль | 0,2 |
Примечание. Источник: [Внутренняя инструкция филиала №1 ОАО "Банк Альфа" № 34/45-к от 23.08.2004 "Об определении кредитоспособности клиента"]
Количество баллов, присваиваемых каждой группе показателей, находится в диапазоне от 0 до 100. Чем ниже балл, тем предпочтительнее положение кредитополучателя, т.е. тем ниже кредитный риск. Вместе с тем 0 - это крайняя отрицательная оценка. Кредитная история кредитополучателя анализируется как правило, за три последних года или с момента основания предприятия. При отсутствии просроченной задолженности по кредитам определяется общая сумма полученных кредитополучателем банковских кредитов в прошлый период. Соответственно, присваивается определённое количество баллов (таблица 1.10).
Таблица 1.10Оценка кредитной истории (репутации) кредитополучателя
Полученные и погашенные кредиты/ Запрашиваемый кредит |
Балл |
| Более 3 | 10 |
| От 2 до 3 | 30 |
| От 1,5 до 2 | 50 |
| От 0,5 до 1,5 | 70 |
| Менее 0,5 | 90 |
| Кредитная история отсутствует (первый кредит) | 100 |
| Итого (наш вариант) | 100 |
Примечание. Источник: [Внутренняя инструкция филиала №1 ОАО "Банк Альфа" № 34/45-к от 23.08.2004 "Об определении кредитоспособности клиента"]
Оценка финансового состояния предприятия проводится с позиций соответствия либо несоответствия финансовых коэффициентов нормативным и среднеотраслевым значениям (см. приложение 6).
Обязательным условием предоставления кредита является наличие обеспечения своевременного и полного исполнения кредитополучателем своих кредитных обязательств. При этом обеспечение анализируется на предмет достаточности, по степени ликвидности и уровню контроля банком за предметом залога. С целью снижения кредитного риска могут использоваться одновременно несколько способов исполнения обязательств по кредиту, представленных в табл.1.11
Таблица 1.11Оценка обеспечения кредита
| Вид обеспечения | Балл |
| Валютный или рублёвый депозит | 10 |
| Недвижимость | 25 |
| Гарантии правительства | 20 |
| Оргтехника и офисная мебель | 35 |
| Промышленное оборудование | 50 |
| Торговое оборудование | 30 |
| Промышленные товары | 65 |
| Автотранспорт | 35 |
| Продовольственные товары | 75 |
| Ценные бумаги | 20 |
| Поручительство юридического лица | 90 |
| Поручительство юридического лица | 100 |
| Итого | 90 |
Примечание. Источник: [Внутренняя инструкция филиала №1 ОАО "Банк Альфа" № 34/45-к от 23.08.2004 "Об определении кредитоспособности клиента"]
Для оценки направления "обеспечения" выводится среднеарифметическая оценка достаточности и качества обеспечения. В практике кредитования иногда встречаются случаи предоставления бланковых кредитов, т.е. кредитов без обеспечения. Вместе с тем если условия кредитного договора не предполагают такого рода кредитование, то достаточность обеспечения играет ключевую роль. Как правило, оценочная стоимость обеспечения должна на 30-50% превышать размеры основного долга и процентов по кредиту. Поэтому при отсутствии обеспечения либо его значительной недостаче может использоваться нулевая оценка по данному направлению анализа.
Оценку качества менеджмента можно проводить на основе данных о форме собственности, организационной структуре управления, типе руководителя предприятия, как показано в табл.1.12.
Таблица 1.12 Оценка качества менеджмента
| Название группы показателей | Содержание | Балл | Весовой коэф-т |
| Форма собственности | Государственное предприятие | 20 | 0,2 |
| Смешанная форма собственности | 25 | ||
| Частное предприятие | 50 | ||
| Коллективная собственность | 75 | ||
| Тип предприятия | Классическое предприятие | 10 | 0,3 |
| Головное предприятие | 25 | ||
| Дочернее предприятие | 50 | ||
| Малое предприятие | 75 | ||
| ИП | 100 | ||
| Тип руководителя | Ключевая фигура | 70 | 0,5 |
| Классический руководитель | 15 | ||
| Исполнительный директор | 50 | ||
| Технический директор | 75 | ||
| Подставное лицо | 100 | ||
| Итого | 19 | ||
Примечание. Источник: [Внутренняя инструкция филиала №1 ОАО "Банк Альфа" № 34/45-к от 23.08.2004 "Об определении кредитоспособности клиента"]
Анализ показывает, что оценка рынка и отрасли, в которой работает предприятие-кредитополучатель, проводится по следующим группам показателей:
отрасль экономики;
доля на рынке;
уровень конкуренции.
Данные для подсчёта итогового показателя по направлению оценки рынок/отрасль представлены ниже (см. приложение 7).
Механизм определения кредитного рейтинга предприятия-кредитополучателя: по каждому направлению оценки риска кредитования вычисляется средний балл путём умножения баллов по тому или иному показателю на весовой коэффициент. После этого определяется итоговый рейтинг кредитополучателя. Количество баллов по каждому направлению оценки кредитного риска умножается на значимость (вес) каждого направления в их совокупности. В результате расчёта итогового показателя предприятию-кредитополучателю присваивается категория риска (табл.1.13).
Таблица 1.13Уровень кредитного риска
| Общее кол-во баллов | Категория риска | Оценка риска |
| От 10 до 20 | 1 | Минимальный |
| От 21 до 40 | 2 | Низкий |
| От 41 до 60 | 3 | Средний |
| От 61 до 80 | 4 | Высокий |
| 81 и более | 5 | Очень высокий |
| 0 баллов | Х | Неприемлемый |
Примечание. Источник: [Внутренняя инструкция филиала №1 ОАО "Банк Альфа" № 34/45-к от 23.08.2004 "Об определении кредитоспособности клиента"]
Вывод для клиента:
![]()
Следовательно, уровень кредитного риска высокий, кредитование данного клиента рискованно.
Основываясь на кредитном рейтинге кредитополучателя (табл.1.13), банк получает дополнительную возможность для реализации своей процентной политики. Так, предприятиям, отнесенным к первой категории риска, кредиты могут выдаваться по минимально допустимой ставке, в то время как предприятиям с более высоким риском кредитования устанавливается повышенная процентная ставка по кредиту.
Рассмотренные выше модели основываются на необходимости объективной и точной оценки уровня кредитоспособности кредитополучателя. С помощью этой оценки возможно не только прогнозировать возможное невыполнение контрагентом условий кредитного договора, но и проводить анализ кредитного портфеля на основе классификации клиентов. При этом следует отметить, что твёрдые правила набора основных и дополнительных коэффициентов (показателей), их нормативного уровня для определения класса кредитоспособности, рейтинга кредитополучателя, количества классов кредитоспособности отсутствуют.
Министерствами и ведомствами каждой страны делаются попытки стандартизировать подходы к оценке кредитоспособности субъектов хозяйствования с учетом национальных особенностей экономики. В настоящее время Министерством финансов, Министерством экономики, Министерством статистики и анализа Республики Беларусь были разработана Инструкция по анализу и контролю за финансовым состоянием и платёжеспособностью субъектов предпринимательской деятельности от 14.06.2004. Данной Инструкцией установлены нормативные значения двух показателей, дифференцированные по отраслям экономики: коэффициент текущей ликвидности и коэффициент обеспеченности собственными оборотными средствами.
Рекомендациями Национального банка Республики Беларусь по определению уровня кредитоспособности предусмотрено право банков самостоятельно разрабатывать нормативные уровни каждого показателя на основе накопленной ими статистической информации о фактическом значении коэффициентов по обслуживаемой клиентуре с учётом их отраслевой принадлежности. Затем класс каждого показателя устанавливается путём сопоставления фактического значения коэффициента с его нормативным уровнем. В данном случае наблюдается аналогия с балльной системой оценки.
Следующая модель, с одной стороны, даёт представление о сложности выбора стратегии поведения банка на рынке, с другой, характеризует кредитный портфель банка с точки зрения соотношения риска и доходности.
Модель "риск-доходность" иллюстрирует общую закономерность их взаимосвязи - чем выше доход, тем выше и риск (кривая "а" на рис.1.14).
|
Поскольку возможности по управлению риском ограничены, то, как правило, с ростом величины риска растут потери (убытки) и в практике кривая зависимости доходов от риска проходит через максимум (точке А, кривая "б" на рис.1.14).
На графике видно, что максимальному доходу (Дmax1 ) отвечает оптимальная величина риска r0 . Банк не может работать ниже определённого минимального дохода (Дmin ). Такой минимальный доход может быть получен при двух величинах риска (rmin и rmax ), следовательно, банк не должен допускать работы с риском выше rmax и доход ниже, чем Дmin . Оптимально допустимым риском является r0 . Одной из задач управления кредитным портфелем и является удержание его качества на этом уровне. Другой задачей является максимизация доходности (минимизация убытков) при выбранном риске. На графике это соответствует переходу из точки А (кривая "б") в точку Б (кривая "а"). При этом доход за счёт снижения убытков может повыситься в идеальном случае до величины Дmax2 , которая больше чем Дmax1 . Доход Дmax1 можно назвать оптимальным при риске r0. [ 29, с.30]
Кредитный портфель, реализующий эту комбинацию, и будет оптимальным кредитным портфелем с точки зрения риска и доходности. Это теоретические представления об оптимальности, но добиться такого состояния на практике коммерческим банкам не удаётся.
В настоящее время коммерческие банки в Республике Беларусь в случае проведения операций с высоким риском обязаны создавать специальный резерв. Создание резерва на покрытие возможных потерь по активам, подверженным кредитному риску, преследует своей целью поддержание ликвидности своих активов и обеспечения более стабильных условий деятельности. [27, ст.1]
Но при этом нельзя не отметить основные негативные последствия создания и увеличения резерва:
отчисления в резерв относятся на расходы банка до налогообложения и включаются в затраты в полном размере независимо от величины полученных доходов, что снижает доходность и соответственно эффективность проводимых операций [27, ст.2] ;
создание или увеличение резерва уменьшает величину собственного капитала банка, поскольку начисленный по группам кредитного риска резерв не включается в собственные средства (капитал) банка [27, ст.6] ;
банки не имеют возможности использовать созданный резерв, что снижает их кредитный потенциал за счёт отвлечения средств.
Самым широко применяемым в кредитном анализе является метод коэффициентов. Этому способствовали следующие причины:
удобство применения метода вследствие стандартизации форм бухгалтерской и финансовой отчётности субъектов хозяйствования;
возможность соотношения качественной и количественной характеристики;
развитие и применение экономико-математических методов в экономическом анализе.
В мировой практике применяются следующие основные экономические коэффициенты для оценки кредитного риска [3, с.303]:
, (1.17)
где потери по кредитам равны сумме кредитов, которые за данный период были списаны как невозвратные. Автор отмечает тот факт, что в формулах 1.17-1.22 под кредитной задолженностью следует понимать размер валового кредитного портфеля банка.
, (1.18)
где чистые списания - это разница между списанными и возмещёнными кредитами.
, (1.19)
где возмещённые кредиты - это кредиты, которые первоначально считались списанными, но затем были погашены.
, (1.20)
, (1.21)
Данный коэффициент характеризует удельный вес кредитов в портфеле, которые находятся в стадии реструктуризации. Это один из методов работы с проблемными кредитами.
, (1.22)
В Республике Беларусь в настоящее время согласно Инструкции о порядке формирования и использования специального резерва на покрытие возможных убытков по активам банка и небанковской кредитно-финансовой организации, подверженным кредитному риску все активы делятся на 4 группы риска. В мировой практике выделяют 5 групп риска.
Коэффициент показывает, какой удельный вес занимают кредиты с наибольшей вероятностью невозвращения в валовом кредитном портфеле. Принято считать, что величина коэффициента проблемных кредитов не должна превышать пять процентов. В противном случае это свидетельствует о наличии у банка трудностей с возвратом предоставленных кредитов. При этом под проблемными понимаются кредиты, по которым идёт начисление резерва на покрытие возможных убытков.
, (1.23)
, (1.24)
В экономической литературе коэффициент К8 имеет название "коэффициент защищённости".
, (1.25)
, (1.26)
При ведении деятельности коммерческими банками в условиях повышенной рискованности возникает проблема качественного измерения и прогнозирования кредитного риска адекватно потенциальным потерям. При расчёте риска кредитных вложений в практике отечественных банков может использоваться ещё один интегрированный показатель - коэффициент совокупного кредитного риска банка (Кр), учитывающий степень достаточности резерва, может быть рассчитан по следующей формуле:
, (1.27)
где L1 - коэффициент достаточности создания резерва
Коэффициент L1 вычисляется следующим образом:
. (1.28)
Если разница между показателями Рр и Рф с незначительна или отсутствует, то значение показателя L1стремится к единице, т.е. воздействие данного коэффициента на величину кредитного риска близко к нулю. В противном случае с помощью показателя L1становится реальным отразить воздействие фактора достаточности формирования резерва по кредитам на коэффициент кредитного риска Кр . Подставляя значение формулы 1.28 в формулу расчета (Кр ), получим следующее уравнение:
. (1.29)
Методика расчёта коэффициента совокупного кредитного риска банка, учитывающего фактор достаточности формирования резерва, представлена на рис.1.15.

Рис.1.15Методика расчёта коэффициента совокупного кредитного риска с учётом степени достаточности резерва
Чем ближе значения Кр к единице, тем лучше качество кредитного портфеля с позиций возвратности и достаточности резерва. При Кр =1 риск отсутствует и прогнозируемые потери равны нулю. Чем ближе значение Кр к нулевой отметке, тем выше величина совокупного кредитного риска.
Пример расчёта показателя кредитного риска банка приведен в табл.1.14.
Табл.1.14Расчёт коэффициента совокупного кредитного риска банка
| Показатели (в расчётных единицах) | Банк А | Банк В | Банк С | Банк D | Банк Е |
| 1. Кредитные вложения (всего) | 1500 | 2700 | 3000 | 2500 | 4000 |
| 2. Сумма расчётного резерва | 120 | 500 | 250 | 1500 | 1000 |
| 3. Сумма фактически созданного резерва | 60 | 100 | 200 | 500 | 800 |
| 4. Коэффициент достаточности создания резерва (стр.1 - стр.2) / (стр.1 - стр.3) | 0,95 | 0,84 | 0,98 | 0,50 | 0,93 |
| 5. Коэффициент совокупного кредитного риска (стр.1 - стр.2) / стр.1 х стр.4 | 0,87 | 0,68 | 0,90 | 0,21 | 0,69 |
Для расчёта коэффициента кредитного риска, учитывающего степень полноты создания резервов на покрытие возможных убытков по кредитам, целесообразно использовать формулу (1.30) [19, c.43]:
, (1.30)
где Кр - коэффициент кредитного риска;
С - величина кредитной задолженности клиентов банка;
З1 , З2 , З3 - кредитная задолженность, отнесённая соответственно ко второй, третьей и четвёртой группам риска;
Н - сумма недоначисленного резерва на возможные потери по кредитам;
Выделяют показатель процентной маржи, скорректированной на риск кредитных потерь, который определяется по формуле (1.31):
. (1.31)
Как было отмечено выше оценка качества кредитного портфеля коммерческого банка строится на количественной и качественной оценках финансовых коэффициентов, характеризующих различные аспекты кредитной политики банка. Их можно разделить на четыре группы показателей:
показатели доходности кредитных вложений;
показатели качества управления кредитным портфелем;
показатели достаточности резервов на покрытие возможных убытков;
интегрированные показатели совокупного кредитного риска банка.
Для наглядности и упрощения процедуры расчета финансовых коэффициентов приведём таблицу условных обозначений и названий показателей кредитной деятельности банка (табл.1.15).
Таблица 1.15Обозначения показателей кредитной деятельности банка
| Условное обозначение | Показатель |
| Собщ | Кредитные вложения (всего) |
| Спр | Кредитные вложения за предыдущий период |
| Стек | Кредитные вложения за текущий период |
| Скр | Краткосрочные кредитные вложения |
| Сдол | Долгосрочные кредитные вложения |
| Сст | Стандартные кредиты (погашаемые вовремя и полностью) |
| Снст | Нестандартные (просроченные) кредиты |
| С (-) | Кредитные вложения, не приносящие доход |
| С (+) | Кредитные вложения, приносящие доход |
| ПД | Процентные доходы, полученные от кредитных вложений |
| ПР | Процентные расходы, уплаченные за ресурсы кредитования |
| Рр | Расчетный резерв на убытки по кредитам |
| Рф. с | Фактически созданный резерв на убытки по кредитам |
| Р- | Сумма списаний из резерва |
| К | Капитал банка |
| А | Активы банка |
| Д | Депозиты банка |
| х1, х2... хп | Кредитные вложения, отнесенные к соответствующей группе риска |
| к1, к2... кп | Коэффициенты отчисления в резерв по группам риска |
Показатели группы доходностикредитных вложений представлены коэффициентами К11-К14 (табл.1.16).
Таблица 1.16 Коэффициенты доходности кредитных вложений банка
| К-т | Характеристика | Расчёт | Расчёт по агрегатам | Оптимум % |
| K11 | Даёт возможность оценить прибыльность кредитного портфеля | (Процентные доходы - Процентные расходы) / Кредитные вложения | (ПД-ПР ) /Собщ х100% | 0,6-1,4 |
| К12 | Отражает долю процентной маржи банка в его капитале | (Процентные доходы - Процентные расходы) / Капитал банка | (ПД-ПР ) /Кх100% | 10-20 |
| К13 | Показывает доходность кредитных вложений | (Процентные доходы - Процентные расходы) / Кредитные вложения, приносящие доход | (ПД-Пр) /С (+) х100% | 2,0-3,5 |
| К14 | Характеризует реальную доходность кредитных вложений | Процентные доходы (полученные) / Кредитные вложения, приносящие доход | ПД / С (+) х100% | Средняя величина по системе |
Важное значение в оценке кредитных вложений приобретают показатели второй группы, характеризующие качество управления кредитным портфелемкоммерческого банка. Эти показатели представлены коэффициентами К15-К20 (таблица 1.17).
Таблица 1.17 Коэффициенты качества управления кредитным портфелем банка
| К-т | Характеристика | Расчёт | Расчёт по агрегатам | Оптимум, % |
| Характеризует качество управления кредитным портфелем банка с позиций объёмов "неработающих" кредитных вложений, с пролонгированными и просроченными сроками оплаты | Кредитные вложения, не приносящие доход / Активы банка | С (-) /Ах100% | 0,5-3 | |
| К16 | Детализирует оценку качества управления кредитным портфелем | Кредитные вложения, не приносящие доход / Кредитные вложения | С (-) /Собщ х100% | 3-7 |
| К17 | Даёт оценку качества управления кредитным портфелем исходя из имеющихся ресурсов кредитования | Кредитные вложения (всего) / Депозиты | Собщ /Дх100% | Сред. знач. по сист. |
| К18 | Свидетельствует о степени агрессивности кредитной политики банка, недостаточности или перегруженности его кредитного портфеля. | Кредитные вложения (всего) / Активы | Собщ /Ах100% |
40-60 |
| К19 | Характеризует долю краткосрочных кредитных вложений в их общем объеме. В условиях отечественной экономики структура кредитных вложений банков по показателю срочности не соответствует потребностям обновления основных фондов предприятий, т.е. объемы краткосрочных кредитных вложений значительно преобладают над объемами долгосрочных кредитов | Краткосрочные кредитные вложения /Кредитные вложения (всего) | Скр /Собщ х100% | 60-70 |
| К20 | Характеризует темпы роста кредитных вложений за определенный период | Кредитные вложения за тек. период / Кредитные вложения за предыдущий период | Стек /Спр х100% | Сред. знач. по сист. |
Третья группа показателей в какой-то мере также характеризует качество управления кредитным портфелем банка, но вместе с тем рассматривается как отдельная группа, потому что связана со специфической деятельностью банка по созданию специального резерва на возможные убытки по кредитам (табл.1.18).
Таблица 1.18 Коэффициенты достаточности резервов банка на покрытие убытков невозвращенным кредитам
| К-т | Характеристика | Расчёт | Расчет по агрегатам | Оптимум,% |
| К21 | Отражает степень защищённости банка от кредитного риска, свидетельствует о качестве кредитной политики и управления портфелем кредитов. | Резерв на убытки по кредитам (фактически созданный) / Кредитные вложения, не приносящие доход | Рф. с / С (-) х100% | Нет |
| К22 | Характеризует полноту создания специального резерва на покрытие возможных убытков по кредитам | Резерв на убытки по кредитам (фактически созданный) / Резерв на убытки по кредитам (расчётный) | Рф. с /Ррасч х100% | 100 |
| К23 | Свидетельствует о степени достаточности резервов банка в случае непогашения кредитов. В некоторых странах устанавливается нижняя граница коэффициента К23. | Резерв на убытки по кредитам (фактически созданный) / Кредитные вложения (всего) | Рф. с /Собщ х100% | 0,9-5 |
| К24 | Характеризует долю кредитов, фактически утраченных для банка, т.е. безнадежных к погашению | Сумма списаний из резерва / Кредитные вложения (всего) | М / Собщ х 100% | 0,25-1,5 |
| К25 | Указывает на долю списаний от общего объема нестандартных (сомнительных и безнадёжных к погашению) кредитов | Сумма списаний из резерва / Нестандартные кредиты | М / Сист х 100% | Нет |
Четвёртая, итоговая группа показателей - основные показатели оценки качества кредитного портфеля банка, характеризующие доходность кредитных вложений, качество управления кредитным портфелем и достаточность создания резервов на возможные убытки по кредитам.
Коэффициент качества управления кредитным портфелем (Кк. упр ) отражает степень риска кредитных вложений с точки зрения их распределения по группам риска, которое производится на основе данных о длительности просроченной кредитной задолженности и качестве обеспечения кредита. Этот коэффициент определяется как отношение объёмов различных групп кредитной задолженности, взвешенных на степень риска невозврата кредита, к общей величине кредитных вложений и рассчитывается по формуле:
, (1.32)
где n - количество групп риска кредитных вложений.
Методика расчёта показателя Кк. упр представлена на рис.1.16.

Рис.1.16Методика расчёта коэффициента качества управления кредитным портфелем банка
Пример расчёта величины резерва на покрытие возможных убытков по кредитам представлен в табл.1.19
Таблица 1.19Расчёт величины резерва на возможные убытки по кредитам
| Группа риска | Кредитные вложения (остаток по балансу) (расч. ед) | Коэффициент риска (%) | Кредитные вложения с учётом риска (расч. ед) |
| 1 | 750 | 1 | 7,5 |
| 2 | 120 | 20 | 24 |
| 3 | 250 | 50 | 125 |
| 4 | 90 | 100 | 90 |
| Всего | 1210 | 20,4 | 246,5 |
Таким образом, применяемые в современной практике банковского дела методы оценки качества кредитного портфеля банка ориентированы на создание системы показателей (единичных и интегрированных), учитывающих различные аспекты управления кредитным риском.
Оценка с помощью показателей и коэффициентов позволит судить о соблюдении принципов кредитования и уровня постановки кредитной работы, степени риска кредитных операций и перспективах ликвидности данного банка.
Следует подчеркнуть факт, что практически все задачи, которые возникают в ходе работы банка, поддаются автоматизации. Внедрение информационных технологий в банковскую сферу обусловило появление на рынке программных продуктов, специально ориентированных на решение аналитических задач и подготовку управленческих решений в области управления кредитным портфелем. [23, c.36]
Так на основе многомерной базы данных "Кредитный портфель банка" можно проанализировать состояние кредитного портфеля банка по следующим направлениям:
удельный вес кредитных вложений в общей сумме активов;
удельный вес кредитных вложений по задолженности;
концентрация кредитов по регионам и отраслям экономики;
удельный вес крупных кредитов в общем объёме кредитных вложений;
структура кредитов по срокам;
удельный вес кредитов классифицированных по группам риска;
соотношение резерва на возможные потери по кредитам к общему объёму кредитных вложений;
соотношение резерва на возможные потери к сумме просроченной задолженности;
соотношение доходов к расходам по кредитам и др. необходимые показатели. [22, c.32]
Рассмотренные методы и модели показали, что не существует единого подхода к оценке кредитного портфеля. Поэтому банки самостоятельно разрабатывают методику оценки в соответствии с кредитной политикой банка и поставленными задачами в области кредитования. В этой ситуации наиболее важным и актуальным представляется выработка оптимальной для данного банка методики оценки кредитного портфеля. Эта методика должна отражать и учитывать следующие моменты:
специализация банка и его место на рынке;
особенности клиентов банка;
характер и особенности предоставляемых услуг.
Эффективность применяемой методики будет максимальной, если она будет органично сочетать практический опыт сотрудников банка и научно-обоснованные методы анализа.
2. Аназиз и оценка качества кредитного портфеля филиала №1 ОАО "БАНК АЛЬФА"
Наиболее удобным, практичным и эффективным методом оценки кредитного портфеля, из рассмотренных выше, является метод коэффициентов. Мы будем использовать его при анализе состояния кредитного портфеля филиала №1 ОАО "Банк Альфа".
В соответствии с рассуждениями, приведенными в предыдущей главе, для этого необходимо рассчитать валовой кредитный портфель, чистый кредитный портфель, кредитный портфель, взвешенный с учётом риска, классифицировать кредитный портфель банка по различным критериям, а также охарактеризовать качество кредитного портфеля с позиций доходности, риска, обеспеченности и диверсифицированности. Дополнительную качественную характеристику кредитного портфеля получим с помощью некоторых финансовых коэффициентов.
Источниками информации для анализа кредитного портфеля коммерческого банка послужили данные, взятые из бухгалтерского баланса банка по состоянию на 01.02.2005 г. и на 01.03.2005 г. (см. приложение 9, приложение 10), а также другие классификационные данные и сведения о предоставленных кредитах (см. приложение 11, приложение 12). Автор берёт для анализа не весь фактический объём кредитного портфеля банка, а делает выборку в виду невозможности характеристики столь большого числа контрагентов, с коими у филиала №1 ОАО "Банк Альфа" заключены кредитные договора.
По состоянию на 01.02.2003 г. и 01.03.2005 г. величина валового кредитного портфеля коммерческого банка составила 4606,6 млн. руб. и 4190,6 млн. руб. Размер резерва, созданного под сомнительную задолженность по кредитным операциям с клиентами, - 176,12 млн. руб. и 179,86 млн. руб. Соответственно величина чистого кредитного портфеля на две отчётные даты составила 4430,48 млн. руб. и 4010,74 млн. руб.
Для анализа кредитного портфеля проведём его классификацию по следующим признакам: по типу контрагента, по видам кредитных операций, по типу задолженности. Результаты расчётов для удобства приведены в виде таблиц.
Данные баланса банка показывают, что банк проводил операции кредитного характера с коммерческими организациями, индивидуальными предпринимателями, физическими лицами и некоммерческими организациями. Структура кредитного портфеля по типу контрагента имеет следующий вид (табл.2.1).
Таблица 2.1Состав и структура кредитного портфеля по типу контрагентов по состоянию на 01.02.2005 г. и на 01.03.2005 г.
| Тип контрагента | По состоянию на 01.02.2005 | По состоянию на 01.03.2005 | ||
| Абсолютная величина, млн. руб. | Удельный вес,% | Абсолютная величина, млн. руб. | Удельный вес,% | |
| Коммерческие организации | 4443,4 | 96,5 | 4115,4 | 98,2 |
| Индивидуальные предприниматели | 123,2 | 2,6 | 43,2 | 1,0 |
| Физические лица | 28,0 | 0,6 | 24,0 | 0,6 |
| Некоммерческие организации | 12,0 | 0,3 | 8,0 | 0,2 |
| Итого: | 4606,6 | 100 | 4190,6 | 100 |
Анализ полученных расчётов показывает, что банк в своей деятельности специализируется на кредитовании, главным образом, коммерческих организаций. Кредитование коммерческих организаций традиционно является наиболее привлекательным для банка с точки зрения эффективности размещения средств с позиции доходности вследствие более высоких процентных ставок. Структура кредитного портфеля в течение анализируемого периода изменилась незначительно. Отмечаем снижение объёмов кредитования индивидуальных предпринимателей в абсолютном выражении на 80 млн. руб., что вызвало снижение удельного веса данных операций в кредитном портфеле на 1,6 процентных пункта. Соответственно рост удельного веса операций, проводимых с коммерческими организациями, на 1,7 процентных пункта обусловлен сокращением объёмов кредитования индивидуальных предпринимателей, некоммерческих организаций и физических лиц.
Банк проводит следующие виды кредитных операций: операции по долгосрочному и краткосрочному кредитованию, лизинг, исполнение гарантийных обязательств клиентов, операции с использованием векселей, потребительское кредитование, факторинг. Анализ позволит выявить, на каких видах операций специализируется банк, и провести оценку диверсификации банком вложений с позиции видов операций. Данные о проводимых банком кредитных операциях приведены ниже (табл.2.2).
Таблица 2.2Состав и структура кредитного портфеля по видам кредитных операций по состоянию на 01.02.2005 г. и на 01.03.2005 г.
| Вид операции | По состоянию на 01.02.2005 г. | По состоянию на 01.03.2005 г. | ||
| Абсолютная величина, млн. руб. | Удельный вес,% | Абсолютная величина, млн. руб. | Удельный вес,% | |
| Краткосрочные кредиты | 3138,4 | 68,0 | 2854,4 | 68,1 |
| Долгосрочные кредиты | 1005,8 | 22,0 | 925,8 | 22,1 |
| Лизинг | 308,0 | 6,7 | 268,0 | 6,4 |
| Исполненные гарантийные обязательства | 66,4 | 1,4 | 58,4 | 1,4 |
| Операции с использованием векселей | 42,0 | 0,9 | 42,0 | 1,0 |
| Потребительские кредиты | 28,0 | 0,6 | 24,0 | 0,6 |
| Факторинг | 18,0 | 0,4 | 18,0 | 0,4 |
| Итого: | 4606,6 | 100 | 4190,6 | 100 |
Результаты расчётов показывают, что банк в своей деятельности специализируется на классических видах кредитования, т.е. на предоставлении краткосрочных и долгосрочных кредитов. Наибольший удельный вес по состоянию на 01.03.2005 г. (68,1%) в общем объёме операций занимает краткосрочное кредитование. Это означает, что банк в своей деятельности ориентируется на активное участие в создании и обновлении оборотных активов субъектов хозяйствования. Это обусловлено тем, что ориентация на краткосрочное, перспективное кредитование является одним из приоритетных направлений кредитной политики банка. Создание мощной клиентской базы - одна из стратегических целей банка, для достижения которой необходима совместная работа всех подразделений банка. В современных условиях успешным и стабильным является тот банк, который имеет устойчивых, надёжных и перспективных клиентов.
Удельный вес долгосрочных кредитов по состоянию на 01.03.2005 г. составил 22,1%, соответственно доля остальных видов кредитных операций (лизинг, факторинг и др.) в сумме - всего 9,8%. Значительных структурных изменений не произошло.
Каждый коммерческий банк должен стремиться к тому, чтобы в его кредитном портфеле не было проблемных кредитов, и соответственно, удельный вес срочной задолженности был равен 100%. В балансе банка по состоянию на 01.02.2005 г. и 01.03.2005 г. отражены срочная, пролонгированная, просроченная и сомнительная задолженности. Их соотношение представлено следующим образом (табл.2.3).
Таблица 2.3Состав и структура кредитного портфеля в разрезе видов задолженности по состоянию на 01.02.2005 г. и на 01.03.2005 г.
| Тип задолженности | По состоянию на 01.02.2005 г. | По состоянию на 01.03.2005 г. | ||
Абсолютная величина, млн. руб. |
Удельный вес,% | Абсолютная величина, млн. руб. | Удельный вес,% | |
| Срочная задолженность | 4266,6 | 92,6 | 3852,0 | 91,9 |
| Пролонгированная задолженность | 31,6 | 0,7 | 9,6 | 0,2 |
| Просроченная задолженность | 10,0 | 0,2 | 12,2 | 0,3 |
| Сомнительная задолженность | 298,4 | 6,5 | 316,8 | 7,6 |
| Итого: | 4606,6 | 100 | 4190,6 | 100 |
Для выявления возможных изменений, происходящих в экономике, следует провести анализ проблемной задолженности в разрезе отраслей (табл.2.4).
Таблица 2.4Структура проблемной задолженности в разрезе отраслей по состоянию на 01.02.2005 г. и 01.03.2005 г.
| Тип задолженности | По состоянию на 01.02.2005 г. | По состоянию на 01.03.2005 г. | ||
Абсолютная величина, млн. руб. |
Удельный вес,% | Абсолютная величина, млн. руб. | Удельный вес,% | |
| Промышленность | 35,6 | 11,5 | 35,6 | 10,8 |
| Строительство | 8,0 | 2,6 | 10,0 | 3,0 |
| Транспорт | 264,8 | 85,9 | 264,8 | 80,5 |
| Прочие отрасли | - | - | 18,6 | 5,7 |
| Итого: | 308,4 | 100 | 329 | 100 |
Данные табл.2.4 показывают, что наибольший удельный вес проблемной задолженности приходится на предприятия транспорта.
На практике для характеристики качества кредитного портфеля наиболее часто рассчитывается коэффициент проблемных кредитов. Он рассчитывается по формуле (2.1):
, (2.1)
где
- просроченная задолженность;
- сомнительная задолженность;
- резерв на потери по сомнительным долгам;
- чистый кредитный портфель.
Как отношение остатка задолженности по счетам просроченной и сомнительной задолженностей за минусом резерва на потери по сомнительным долгам к чистому кредитному портфелю. При значении данного показателя более 5% считается, что у банка имеются проблемы с возвратностью кредитов. Расчёт коэффициента проблемных кредит по состоянию на две отчётные даты приведен в табл.2.5
Таблица 2.5Расчёт коэффициента проблемных кредитов по состоянию на 01.02.2005 г. и 01.03.2005 г.
| Показатель | На 01.02.2005 г. | На 01.03.2005 г. | Изменение, п. п |
| Коэффициент проблемных кредит | 2,99 | 3,72 | + 0,73 |
| Расчёт коэффициента | (10,0+298,4-176,12) /4430,48х100 | (12,2+316,8-179,86) /4010,74х100 | - |
Примечание. Источник: [собственная разработка на основе формулы 2.1 и табл.2.3]
По состоянию на 01.03.2005 г. кредитный портфель коммерческого банка с точки зрения удельного веса проблемных кредитов признан удовлетворительным, поскольку коэффициент не превышает выработанного практикой лимита в 5%. Отрицательным моментом является увеличение коэффициента на 0,73 процентных пункта. Анализ балансовых данных на 01.02.2005 г. (см. приложение 9) и на 01.03.2005 г. (см. приложение 10), сведений о классификации контрагентов банка по группам риска, а также расчёт специального резерва на покрытие возможных потерь по активам, подверженным кредитному риску (см. приложение 11, приложение 12), позволяет выделить следующие причины увеличения коэффициента проблемных кредитов:
задолженность ООО "Сантанас" по долгосрочному кредиту в размере 18,4 млн. руб., в предыдущем периоде отраженная как пролонгированная, по состоянию на 01.03.2005 г. отражена как сомнительная. Данный кредитополучатель отнесён по классификации, принятой банком, к III группе риска;
ЗАО "Славянка" не выполнило обязательства по кредитному договору по срокам погашения кредита. Ходатайство о пролонгации с указанием объективных причин, повлиявших на несоблюдение сроков погашения задолженности, закреплённых в кредитном договоре, не поступало. Кредитополучатель был отнесён ко II группе риска;
причины, указанные в предыдущих пунктах, обусловили необходимость увеличения резерва на покрытие возможных потерь на 3,68 млн. руб. и на 0,06 млн. руб. соответственно. В целом по кредитному портфелю произошло увеличение резерва на 3,74 млн. руб.
Для анализа отраслевой структуры кредитного портфеля банка только данных баланса недостаточно. Информацию об отраслевой принадлежности контрагентов банка можно получить из кредитных досье клиентов (табл.2.6).
Таблица 2.6Информация об отраслевой принадлежности контрагентов банка по состоянию на 01.02.2005 г. и 01.03.2005 г.
Наименование контрагента |
Отраслевая принадлежность | Сумма по балансу, млн. руб. |
|
| 01.02.2005 г | 01.03.2005 г. | ||
| ООО "Госнип" | торговля | 42,0 | 42,0 |
| ЗАО "Славянка" | промышленность | 18,0 | 18,0 |
| ООО "Риадар" | промышленность | 482,0 | 462,0 |
| ИП Швец А.Н. | промышленность | 440,0 | 420,0 |
ИП Соловец М.Е. ООО Сакуб |
строительство | 612,8 | 572,8 |
| 9,6 | 9,6 | ||
| ЗАО "Агропромцентр" | строительство | 544,0 | 504,0 |
| СП "Фидэя" | промышленность | 35,6 | 35,6 |
| ООО "Трианика" | промышленность | 640,0 | 600,0 |
| ЗАО "Евроэксима" | транспорт | 720,0 | 680,0 |
| ООО "Плантея" | строительство | 217,6 | 177,6 |
| ПКФ "Навигатор" | сельское хозяйство | 66,4 | 58,4 |
| ООО "Витаден" | транспорт | 262,8 | 262,8 |
ЗАО "Импортсервис" ОАО "Связьстрой" |
транспорт | 281,6 | 261,6 |
| 2,4 | 2,4 | ||
ОАО "Стеатит" ООО "Дипамм" |
транспорт | 54,8 | 14,8 |
| 24,0 | 4,0 | ||
| ООО "Трианад" | сфера услуг | 26,0 | 6,0 |
| ООО "Сантанас" | торговля | 18,4 | 18,4 |
| ООО "Госнип" | сфера услуг | 22,0 | 2,0 |
| ЗАО "Славянка" | сфера услуг | 0,2 | 0,2 |
| ООО "Риадар" | связь | 46,4 | 6,4 |
| Физические лица | - | 28,0 | 24,0 |
| Некоммерческие орг. | - | 12,0 | 8,0 |
| Итого: | 4606,6 | 4190,6 | |
Основными отраслями, в которых банк размещает имеющиеся в его распоряжении средства, являются промышленность, строительство и транспорт. Проведём анализ отраслевой структуры (табл.2.7).
Таблица 2.7Состав и структура кредитных вложений банка в разрезе отраслей народного хозяйства
| Наименование отрасли | По состоянию на 01.02.2005 г. | По состоянию на 01.03.2005 г. | ||
Сумма вложений, млн. руб. |
Удельный вес,% | Сумма вложений, млн. руб. | Удельный вес,% | |
| Промышленность | 1615,6 | 35,1 | 1535,6 | 36,6 |
| Строительство | 1384,4 | 30,1 | 1264,0 | 30,2 |
| Транспорт | 1345,6 | 29,2 | 1221,6 | 29,2 |
| Прочие отрасли | 261,0 | 5,6 | 169,4 | 4,0 |
| Итого: | 4606,6 | 100 | 4190,6 | 100 |
Банк практически равномерно распределил имеющиеся в наличии средства между тремя основными отраслями: промышленность, строительство, транспорт. В течение анализируемого периода структура вложений практически не изменилась: наибольшее изменение - на 1,6 процентных пункта уменьшился удельный вес вложений в прочие отрасли экономики в портфеле. Вывод: размещение средств в этих отраслях - наиболее привлекательно для банка. Данные отрасли наиболее перспективны для инвестирования, поскольку имеют самые высокие средние показатели рентабельности производства в республике.
ОАО "Банк Альфа" отраслевые лимиты кредитных вложений не устанавливает. При этом филиал №1 имеет право самостоятельно принимать решения о предоставлении кредитов без согласования с головным банком, в случае, если сумма кредита не превышает 10 000 долларов США в рублёвом эквиваленте. Установление лимита филиала преследует целью организовать дополнительный контроль со стороны кредитного управления головного банка за процессом формирования кредитного портфеля.
При отсутствии отраслевых лимитов следует оценить диверсифицированность с точки зрения выполнения нормативов, устанавливаемых Национальным банком, инструкцией "Об экономических нормативах для банков и небанковских кредитно-финансовых организаций" №92 от 28.06.2004. Основным показателем, характеризующим концентрацию риска, будет являться норматив максимального размера риска на одного клиента. Он представляет собой процентное соотношение совокупной суммы требований банка к клиенту и собственного капитала банка. В соответствии с инструкцией этот показатель не должен превышать 25% собственного капитала. По состоянию на 01.03.2005 г. размер наибольшего остатка задолженности по кредиту составил 680 млн. руб. или 0,76% от величины собственного капитала.
Поэтому у филиала №1 ОАО "Банк Альфа" не наблюдается крупных рисков, так как в соответствии с инструкцией №92 крупным рассматривается риск, превышающий величину в 10% от размера собственного капитала.
Среди контрагентов, указанных в сведениях о предоставленных кредитах (см. приложение 11, приложение 12) инсайдеров нет.
Таким образом, с точки зрения диверсифицированности вложений и концентрации риска на одного кредитополучателя кредитный портфель следует признать удовлетворительным, поскольку нормативы, установленные инструкцией, соблюдаются.
Сумма наращенных процентов к получению на 01.03.2005 г. составила 198,8 млн. руб., сумма просроченных процентов - 20,12 млн. руб.
С целью выявления тенденций в изменении состава и структуры кредитного портфеля коммерческого банка проведем линейный анализ по основным показателям, характеризующим состояние кредитного портфеля, сравнивая значение показателей по состоянию на 01.03.2005 г. со значениями показателей по состоянию на 01.02.2005 г. (табл.2.8).
Таблица 2.8Основные показатели, характеризующие состояние кредитного портфеля коммерческого банка на 01.02.2005 г. и на 01.03.2005 г.
| Наименование показателя | Значение по состоянию на | Изме- нение |
|
| 01.02.05 | 01.03.05 | ||
| 1 | 2 | 3 | 4 |
| Валовой кредитный портфель, млн. руб. | 4606,6 | 4190,6 | - 416 п. п |
| Размер резерва под сомнительную задолженность клиентов, млн. руб. | 176,12 | 179,86 | +3,74 п. п |
| Чистый кредитный портфель, млн. руб. | 4430,48 | 4010,74 | -419,74 п. п |
| Соотношение чистого и валового портфелей,% | 96,18 | 95,7 | -0,48 п. п. |
| Сумма проблемных кредитов (пролонг., просроч. и сомнит. задолженность), млн. руб. | 308,4 | 329,0 | + 20,6 п. п |
Удельный вес просроченных кредитов в портфеле,% (согласно формуле 1.20) |
0,217 | 0,291 | +0,074 п. п. |
| Удельный вес кредитов, по которым прекращено начисление процентов,% (согласно формуле 1.21) | 6,48 | 7,56 | +1,08 п. п. |
| Удельный вес просроченной и сомнительной задолженностей в портфеле,% (согласно формуле 1.23) | 6,52 | 7,85 | +1,33 п. п. |
| Отношение резерва на возможные потери к валовому кредитному портфелю,% (согласно формуле 1.24) | 3,82 | 4,29 | +0,47 п. п. |
Коэффициент проблемных кредитов,% (согласно формуле 2.1) |
2,99 | 3,72 | +0,73 п. п. |
Коэффициент кредитного риска (согласно формуле 1.30),% |
96,18 | 95,72 | -0,46 п. п. |
| Сумма процентов наращенных, млн. руб. | 232,8 | 198,8 | - 34,0 п. п |
| Сумма процентов просроченных, млн. руб. | 22,04 | 20,12 | - 1,92 п. п |
| Отношение процентов наращенных к валовому кредитному портфелю | 0,0505 | 0,0474 | -0,0031 п. п |
| Отношение наращенных процентов к объему кредитов, приносящих доход | 0,0541 | 0,0513 | -0,0028 п. п |
| Удельный вес самого крупного кредита в портфеле,% | 15,6 | 16,2 | + 0,6 п. п |
Примечание. Источник: [собственная разработка на основе данных приложений 9, 10, 11, 12]
Для проведения качественного анализа рассчитаем ряд коэффициентов, характеризующих качество кредитного портфеля, о которых упоминалось ранее. Качественный анализ будем строить исходя из входящих данных, зафиксированных в табл.2.9
Таблица 2.9 Исходные данные для расчёта коэффициентов, характеризующих качество кредитного портфеля филиала №1 ОАО "Банк Альфа" на 01.04.2005
| № п/п | Наименование показателя | Значение, тыс. руб. |
| 1 | Процентные доходы | 17184247,4 |
| 2 | Процентные расходы | 11896794,0 |
| 3 | Кредитные вложения | 32015341,0 |
| 4 | Капитал | 63249686,5 |
| 5 | Кредитные вложения, приносящие доход | 31614158,0 |
| 6 | Кредитные вложения, не приносящие доход | 401183,0 |
| 7 | Активы | 63249686,5 |
| 8 | Депозиты | 36226537,0 |
| 9 | Краткосрочные кредиты | 20420501,5 |
| 10 | Кредиты, выданные за февраль 2005 г. | 286717,1 |
| 11 | Кредиты, выданные за март 2005 г. | 308411,4 |
| 12 | Резерв на убытки по кредитам (фактически созданный) | 1280614,6 |
| 13 | Резерв на убытки по кредитам (расчётный) | 1280614,6 |
| 14 | Сумма списаний из резерва | 96045,5 |
| 15 | Нестандартные кредиты | 81281,7 |
Примечание. Источник: [собственная разработка на основе данных, полученных во время прохождения преддипломной практики]
На основе данных из табл.2.9 и в результате проведенных математических расчётов были получены данные, обобщённые в Приложении 13.
Итогами количественного и качественного анализа кредитного портфеля коммерческого банка по состоянию на 01.03.2005 г. стали следующие результаты:
размер валового кредитного портфеля составил 4190,6 млн. руб.;
размер резерва, созданного под сомнительную задолженность по кредитным операциям с клиентами, составил 179,86 млн. руб.;
величина чистого кредитного портфеля составила 4010,74 млн. руб.;
банк специализируется на кредитовании коммерческих организаций;
основными видами операций являются классические операции по долгосрочному и краткосрочному кредитованию;
приоритетным для банка является краткосрочное кредитование. Соответственно на краткосрочное кредитование приходится наибольший удельный вес процентных доходов, получаемых банком;
основные отрасли размещения средств банком - промышленность, строительство и транспорт. При этом на предприятия транспорта приходится наибольший удельный вес проблемной задолженности;
портфель признан удовлетворительным с точки зрения принимаемого риска на одного кредитополучателя;
резерв на покрытие возможных потерь по активам, подверженным кредитному риску, сформирован в полном объёме в соответствии с требованиями, утверждёнными Национальным банком Республики Беларусь;
при анализе качественных коэффициентов кредитного портфеля были выявлены следующие параметры:
коэффициент К1 значительно выше оптимального значения, что свидетельствует о высокой прибыльности кредитного портфеля. Однако данный факт должен заставить работников кредитного отдела тщательно следить за выдаваемыми кредитами, ибо это свидетельствует о том, что спрос на кредитные ресурсы значителен, превышает предложение, поэтому кредитные работники должны выдавать новые кредиты исходя из условий выбора и наилучшего благоприятствования для банка;
коэффициент К2 является первым по важности среди коэффициентов доходности кредитных вложений. Его значение в 8,4% свидетельствует о достаточно высокой доле процентной маржи в капитале банка;
коэффициент К3 как и первый коэффициент отражает высокую степень доходности кредитных вложений, которая больше установленного оптимума в 7-8 раз;
данные коэффициента К4 свидетельствуют о том, что реальная доходность кредитных вложений крайне велика - 54,4%, что делает это направлений банковской деятельности одним из приоритетных на данный момент;
доля кредитных вложений, не приносящих доход не превышает 1% активов, что свидетельствует о достаточно высоком уровне качества управления ресурсами банка;
для большей детализации был рассчитан коэффициент К6, свидетельствующий о крайне невысокой доле кредитов, не приносящих дохода. Данный показатель находится в вилке оптимума;
согласно проведенным расчётам 88% привлечённых депозитов было размещено именно в кредиты, что свидетельствует о высоком уровне менеджмента в филиале и крайне выгодных условиях для кредиторов;
коэффициент К8 говорит о том, что банк проводит достаточно агрессивную кредитную политику, доля кредитов составляет половину от объёмов активов банка. Однако в тоже время не наблюдается перегруженности кредитного портфеля, что свидетельствует о продуманной диверсификации активов филиала;
данные К9 говорят о том, что по-прежнему в белорусской экономике имеет место перевес краткосрочного кредитования, ведь 64% выдаваемых кредитов идут как раз на пополнение оборотных средств, что свидетельствует о низкой степени доверия банков к экономической ситуации в стране;
в марте 2005 г. количество выданных кредитов выросло в 1,3 раза по сравнению с февралём того же года, о чём свидетельствует коэффициент К10. Это говорит о резкой активизации кредитной деятельности, а также подтверждает факт о наличии сезонности в выдаче кредитов: посевная, ускорение строительства, выезд на отдых и т.д.;
данные коэффициента К11 достаточно противоречивые. С одной стороны, чем меньше значение данного коэффициента, тем лучше состояние кредитного портфеля банка. Но с другой стороны, столь крупная сумма созданного резерва свидетельствует о высокой степени защищённости банка от кредитного риска;
исходя из расчёта К12 можно сделать вывод о полном 100% создании необходимого резерва на покрытие возможных убытков по кредитам, что свидетельствует о высокой степени защищённости банка от возможных потерь;
значение К13 в 4% говорит о достаточности резерва банка в случае непогашения кредитов;
доля кредитов, фактически утраченных для банка и считающихся безнадёжными - 0,3%, что попадает в установленный оптимум и свидетельствует о высоком качестве проводимой работы по мониторингу за возвратом кредитов;
последний коэффициент К15 свидетельствует о том, что банк проводит очень агрессивную политику по списанию безнадёжной задолженности. Ещё до вынесения судебного решения по возврату задолженности, банк за счёт 100% созданного резерва в состоянии возместить потери по данной категории кредитов, что улучшает финансовые показатели и результаты деятельности филиала в целом.
При линейном анализе основных показателей, характеризующих состояние кредитного портфеля на две отчётные даты, выявлены определённые изменения.
Так, произошло снижение абсолютной величины валового кредитного портфеля на 416 млн. руб. Причины снижения: за анализируемый период новые кредитные договора не заключались, произошло плановое погашение основной суммы долга по десяти кредитным договорам. При этом величина чистого кредитного портфеля снизилась на 419,74 млн. руб. Это обусловлено ухудшением качества кредитного портфеля с позиции риска и, как следствие, увеличением суммы резерва, создаваемого под сомнительную задолженность клиентов, на 3,74 млн. руб.
Об ухудшении качества кредитного портфеля свидетельствует анализ, проведенный на основе коэффициентов (см. табл.2.8). Основными отрицательными показателями являются:
рост величины резерва под сомнительную задолженность;
увеличение абсолютной и относительной величины проблемных кредитов в портфеле и, в том числе, увеличение абсолютной и относительной величины просроченных кредитов;
увеличение удельного веса кредитов, по которым прекращено начисление процентов, и как следствие - снижение показателей доходности портфеля, как в абсолютной величине, так и в расчёте на 1 руб. кредитных вложений;
Положительным моментом является сокращение суммы просроченных процентов на 1,92 млн. руб.
Произошло снижение суммы наращенных процентов на 34,0 млн. руб. Снижение вызвано двумя причинами: уменьшением суммы валового кредитного портфеля и увеличением удельного веса кредитов, начисление процентов по которым прекращено.
Качество кредитного портфеля с точки зрения принимаемого риска на одного кредитополучателя в течение анализируемого периода не изменилось и признано удовлетворительным.
В период с 01.02.2005 г. по 01.03.2005 г. списания кредитов как невозвратных не производилось. Погашение кредитов, ранее списанных как невозвратные, не произошло.
В результате изменений, произошедших в течение анализируемого периода, кредиты, предоставленные ООО "Сантанас" и ЗАО "Славянка" были отнесены к более высоким группам риска - третьей и второй соответственно.
Ухудшение качества кредитного портфеля банка за анализируемый период является незначительным, удельный вес кредитной задолженности ООО "Сантанас" и ЗАО "Славянка" в валовом кредитном портфеле по состоянию на 01.03.2005 г. составляет 0,44%, что не представляет угрозы для дальнейшей стабильной деятельности филиала №1 и банка в целом.
В целом качество кредитного портфеля филиала №1 ОАО "Банк Альфа" является удовлетворительным. Несмотря на то, что рассчитанные коэффициенты не превышают критических значений, банку необходимо принять меры по повышению качества кредитного портфеля.
Двусторонний диалог "банк-клиент" поможет ответить на вопрос, явились ли просчёты на стадиях предварительного и оперативного анализа следствием ошибочности либо неэффективности применяемых методов. Если так, то банку следует детально исследовать причины имеющихся ухудшений и пересмотреть организацию процесса формирования и управления кредитным портфелем.
Тщательный анализ позволит решить главные задачи, стоящие перед банком: наращивание кредитного портфеля и повышение его качества с позиций риска и доходности.
В первую очередь ведущим кредитным сотрудникам банка следует провести рабочие встречи с представителями следующих кредитополучателей: СП "Фидэя", ООО "Витаден", ООО "Сантанас", ООО "Сакуб", ОАО "Связьстрой" и ЗАО "Славянка". Это необходимо для выявления причин, повлёкших за собой невыполнение клиентом условий кредитного договора, и продолжения дальнейшего плодотворного и взаимовыгодного сотрудничества. Следует провести дополнительный анализ вышеперечисленных кредитополучателей, а именно:
провести коэффициентный анализ бухгалтерской и финансовой отчётности, отражающей состояние кредитополучателя на текущий момент, в соответствии с Инструкцией по анализу финансового состояния и платёжеспособности субъектов предпринимательской деятельности и разработанными банком методиками оценки;
проанализировать состояние расчётов и изучить сведения об оборотах денежных средств по счетам клиента;
на основе проведенного анализа пересмотреть кредитный рейтинг клиента и уровень кредитоспособности;
при ухудшении уровня кредитоспособности клиента принять адекватные меры по поддержанию ликвидности активов и обеспечению стабильности деятельности - создать специальный резерв в необходимом размере;
при необходимости провести реструктуризацию задолженности клиента: пересмотреть первоначальные условия кредитного договора, разработать гибкий график погашения, приостановить начисление процентов и т.д.;
в случае невозможности самостоятельно разработать программу по выходу на рентабельную работу и выполнении условий кредитного договора, совместно с клиентом решить вопрос о привлечении антикризисного управляющего. Данный вид услуг оказывают консалтинговые компании;
в случае экономической несостоятельности кредитополучателя возбудить дело о признании клиента банкротом и принять меры по погашению суммы задолженности по основному долгу и процентов по кредиту за счёт вторичного источника обеспечения (залог, гарантия, поручительство, страховой депозит и т.д.).
3. Управление качеством кредитного портфеля коммерческого банка
3.1 Проблемы формирования и управления кредитным портфелем
Формирование кредитного портфеля является вершиной кредитной деятельности банка, требующей научно-обоснованного профессионального подхода в подготовке и принятии управленческих решений на основе всестороннего анализа.
Перечень документов и материалов, регламентирующих процесс формирования кредитного портфеля, определяется организационной структурой банка. Как правило, он определяется следующими условными группами документов:
нормативные и локальные документы, регламентирующие кредитный процесс (Правила размещения коммерческими банками денежных средств в форме кредита, Положение о выдаче отдельных видов кредита, Положение о кредитном комитете банка, Положение о функциональном распределении обязанностей и ответственности по отдельным этапам кредитного процесса и др.);
документы коллективных органов банка, обосновывающие кредитную деятельность банка (например, разрешающие выдачу кредита, в том числе крупного, консорциального, пролонгацию задолженности, отнесение задолженности к сомнительной, её списание за счёт резерва; протоколы заседаний кредитного комитета, Совета банка, Правления банка, утверждённая кредитная политика банка);
утверждённые банком типовые формы и методические разработки, обязательные к использованию в кредитном процессе (типовые формы кредитных договоров, методические разработки по определению кредитоспособности для различных групп кредитополучателей, методические разработки по кредитному мониторингу и т.д.).
Автор полагает необходимым выделение актуальных для современного этапа развития коммерческих банков проблем, решение которых позволит им повышать качество кредитных портфелей. Основные проблемы управления кредитным портфелем:
отсутствие необходимого качественного информационно-аналитического обеспечения кредитных операций. Решение этой проблемы в свою очередь предполагает, в частности, должную постановку банковского маркетинга. Самая совершенная методика анализа кредитополучателя или оценка риска не дадут правильных результатов, если исходная информация недостаточно полна или ненадёжна;
банкам необходимо научиться искусству раннего выявления проблемных кредитов;
концентрация банков на одном виде кредитных операций;
концентрация риска в определённых отраслях;
недостаточная квалификация и ответственность сотрудников, в должностные обязанности которых входит:
идентификация основных областей рисков и адекватная оценка факторов, влияющих на их уровень;
позиционирование банка на рынке банковских продуктов;
формирование лимитной политики банка, установление внутрибанковских операционных лимитов кредитования (в дополнение к нормативам, определяемым Национальным банком страны);
формирование правил принятия рисков;
правильный выбор кредитных инструментов;
оценка достаточности имеющегося резерва и его своевременная корректировка.
неправильная трактовка и ограниченность использования предлагаемых экономико-математических методов в практике.
Названные здесь актуальные проблемы подтверждают важность разработки кредитной политики и соответствующей нормативной, инструктивной и методологической базы организации кредитного процесса в банках.
3.2 Пути совершенствования системы управления кредитным портфелем коммерческого банка
Почти все авторы публикаций по банковским проблемам (аналитики и управленцы) видят причину банкротств банков в плохом качестве портфелей, неумелом управлении и планировании их. Поэтому в последней главе автор попытался проанализировать механизм управления кредитными операциями банков, процесс формирования кредитного портфеля.
Управление кредитным портфелем в общем виде представляет собой его формирование с соблюдением всех параметров, установленных кредитной политикой и обеспечивающих эффективное функционирование банка, а также регулирование портфеля для поддержания его в хорошем состоянии. Таким образом, можно выделить 3 главных этапа в процессе управления портфелем:
формирование портфеля;
оценка качества с целью определения необходимости и способов регулирования;
непосредственное осуществление корректирующих мероприятий.
Нарастание проблем в банковском секторе определяется главным образом низким уровнем управления банками в сочетании с неблагоприятными тенденциями общеэкономического развития. По разным оценкам, только 40-60% общего числа банков можно считать финансово устойчивыми. Непосредственные причины данной ситуации сформулированы выше.
Рассмотрим возможные способы оптимизации системы управления кредитным портфелем, которая реализуется через функции планирования, организации и контроля.
На стадии планирования и предварительного анализа банку необходимо чётко определить размер планируемого риска, который допустим и не вызовет нестабильности и угрозы для дальнейшей деятельности банка.
Любая группировка в составе кредитного портфеля предполагает оценку степени риска подобного размещения ресурсов или способности защиты от него, потому что и тип кредитополучателя, и сфера его деятельности обладают различным риском для данных экономический условий, так же, как и виды кредита в зависимости от объёмов и целей кредитования, валюты предоставления кредита, что должно учитываться при изучении кредитного портфеля банка.
Кредитный риск - основной в системе банковских рисков. Он понимается как вероятность того, что стоимость активов банка, прежде всего кредитов, уменьшится в связи с неспособностью кредитополучателей вернуть долг или часть долга, включая причитающиеся по договору проценты.
В наиболее общем виде кредитный риск можно определить как риск потери активов в результате невыполнения кредитополучателем взятых на себя договорных обязательств.
Для различных банков и отдельных стран и регионов ключевые области риска будут различаться (табл.3.1)
Таблица 3.1 Примеры ключевых областей риска
| Область риска | Описание области риска |
| Отдельные кредитополучатели | Чрезмерная концентрация на одном кредитополучателе в случае его неплатёжеспособности или невыполнения условий кредитного договора в связи с другими причинами может не только ухудшить показатели деятельности банка, но и поставить банк под угрозу банкротства |
| Группы взаимосвязанных кредитополучателей | То же, что и в предыдущем случае. Финансовые проблемы в некоторых случаях приводят к кризису платёжеспособности всей группы |
| Отрасли и подотрасли | Циклические или систематические структурные слабости в отрасли могут вызвать банкротство всех компаний, за исключением лишь самых стабильных. Отраслевой структурный кризис затрагивает не только платёжеспособность компании, но и отчасти качество обеспечения как источника погашения задолженности; |
| Сегменты бизнеса | Экономические события могут вызвать кризис целого направления банковской деятельности, например приостановка ипотечного кредитования в связи с крахом рынка |
| Продукты и услуги | Прибыльность отдельного банковского продукта обычно обусловлена совокупностью факторов, что приводит к цикличности изменения показателей деятельности. Чрезмерная концентрация банка на каком-либо одном продукте или услуге может привести к циклическим скачкам в прибыльности |
Области риска для различных банков и различных стран будут различаться. В табл.3.2 представлены некоторые ключевые факторы, которые следует учитывать на стадии планирования кредитного портфеля.
Таблица 3.2 Примеры ключевых факторов риска при разработке
лимитов кредитования
| Ключевой фактор | Примерные вопросы |
Степень рискованности среды, в которой действует банк |
Какие основные тенденции превалируют и как они повлияют на каждую компоненту кредитного риска? |
| Цели развития | Каковы общие цели развития банка и каковы специфические цели для каждой области риска? Какие уровни кредитного риска закладываются при определении целей развития банка? Соответствует ли фактический уровень кредитного риска запланированному? |
Надзорные и внутрибанковские цели и стандарты |
Какие существуют нормативные акты Национального банка, определяющие степень рискованности кредитной политики? Как они влияют на контроль других компонент кредитного риска? Противоречат ли обязательные нормативы и другие предписания надзорных органов целям развития самого банка и соответствуют ли они фактической степени рискованности среды, в которой действует банк? |
| Маркетинговые факторы | Какова текущая конкурентная среда на основных сегментах кредитного рынка? Каковы тенденции развития спроса? Каким образом эти тенденции влияют на компоненты кредитного риска? |
На основе анализа системы рисков, которым подвержен банк, следует сформировать стандарты формирования оптимального кредитного портфеля. Они, как правило, представляют собой:
лимиты кредитования (их установление - это один из способов диверсификации портфеля, что позволяет избежать потерь от концентрации любого вида риска. Выделяют лимиты: отраслевые, на одного кредитополучателя, по странам, по срокам погашения, по видам валюты и по видам обеспечения);
приоритеты при формировании кредитного портфеля ( заключается в определении тех отраслей, которые имеют более низкий уровень риска по сравнению со средним, а также отраслей, где банк может получить более высокую доходность по кредитованию. Также устанавливаются и отрасли с высоким уровнем риска и непривлекательные для кредитования);
правила принятия рисков (определяют правила, позволяющие минимизировать риск, и в рамках этого ограничения, максимизировать доходность);
Анализ и группировка кредитов по качеству имеет большое значение. Зная структуру кредитного портфеля по критериям качества кредита и определив статистически средний процент проблемных, просроченных, безнадёжных кредитов по каждой категории банк получает возможность осуществлять ряд мероприятий, направленных на снижение потерь по кредитным операциям.
Основные направления анализа качества кредита - это снижение:
кредитного риска по каждому конкретному кредиту;
потерь по кредитам на уровне кредитного портфеля банка в целом.
В первом случае речь идет о контроле над предоставлением и использованием кредитов (при чём кредитов не только предприятиям, но и гражданам), включая непрерывный процесс отслеживания финансового состояния клиента, его кредитоспособности, направлений использования средств на протяжении всего периода кредитного договора.
Во втором - классификация портфеля кредитов по качеству позволяет дифференцировать степень контроля по их различным категориям. Порядок кредитного контроля для каждой категории кредитов определяется руководством банка.
Для банка, уже выдавшего кредит кредитополучателю, предупредительными сигналами неблагополучия служат:
постоянное превышение лимитов кредитования;
нарушение графика погашения: задержка с уплатой процентов или основной суммы долга;
неблагоприятные тенденции изменения финансовых коэффициентов (нехватка ликвидных активов, уменьшение собственного оборотного капитала);
скачкообразный рост внереализационных доходов;
рост теневого оборота;
неуплата налогов;
несвоевременное предоставление оперативной и достоверной финансовой информации и задержка в предоставлении отчётности, заверенной аудиторами;
Корректирующие действия банка могут включать:
проведение переговоров по реструктуризации кредита - изменению условий погашения долга;
снижение уровня задолженности за счёт лучшего управления оборотным капиталом;
привлечение консультантов (по техническим, маркетинговым или финансовым вопросам);
продажа активов;
рефинансирование активов;
консультации по возможностям получения поддержки со стороны государства;
получение дополнительного обеспечения;
пролонгация с условием тщательного контроля над деятельностью кредитополучателя (начиная с проведения регулярных встреч и получения точной информации и кончая назначением представителей банка на ключевые должности в органах управления).
В целях сокращения имеющейся задолженности, снижения издержек по обслуживанию привлечённых ресурсов и регулирования своего кредитного портфеля банк может предложить контрагенту провести обоюдный обмен задолженностью. Указанная операция не может рассматриваться как зачёт взаимных денежных требований, поскольку осуществляется не по номиналу, а на основании рыночной цены обязательств контрагентов.
Говоря об управлении кредитным портфелем нельзя не отметить весьма важный факт, касающийся кредитного портфеля белорусских банков. Случается, что государственная финансовая поддержка отдельных отраслей экономики, в частности сельского хозяйства, "обескровливает" банки, но эта мера носит временный характер и иногда приносит положительные результаты, правда, в тех случаях, когда возможно было обойтись и без столь серьёзной меры регулирования.
На этапе организации управления основной задачей является выбор методов регулирования кредитных операций, поскольку от этого во многом зависит их эффективность. За время существования коммерческих банков были выработаны различные по трудоёмкости и сложности методы регулирования кредитных операций. [11, c.11]
Наиболее популярные методы повышения качества кредитного портфеля, используемые в банковской практике следующие:
диверсификация кредитного портфеля;
дифференциация кредитования в зависимости от степени кредитоспособности кредитополучателя, характера объекта кредитования, качества залога (обеспечения), надёжности гарантий, поручительств и т.д.;
пролонгация сроков кредитов;
классификация просроченных кредитов и формирование резервов;
реабилитация проблемных кредитов.
Диверсификация является наиболее простым и дешёвым методом повышения качества кредитного портфеля. Метод предполагает предоставление кредитов разнообразным группам клиентов - организациям и предприятиям различных отраслей народного хозяйства и физическим лицам. Рассредоточивая кредиты, банки получают возможность уменьшить кредитный риск, компенсировать возможные потери от задержки возврата кредита одним кредитополучателем доходом от других клиентов, своевременно выполняющих свои обязательства по договорам. Под диверсификацией следует понимать реализацию на практике принципа "не класть все яйца в одну корзину".
Существует несколько основных способов, применяемых для обеспечения достаточной диверсификации кредитного портфеля. Одним из них является рационирование кредита, которое предполагает: установление гибких или жестких лимитов кредитования по сумме, срокам, видам процентных ставок и прочим условиям предоставления кредитов; установление лимитов кредитования по отдельным кредитополучателям или классам кредитополучателей в соответствии с их финансовым положением; определение лимитов концентрации кредитов в руках одного или группы связанных кредитополучателей в соответствии с их финансовым положением. Лимиты могут устанавливаться в виде нормативов или абсолютных предельных величин. В качестве базы при расчёте норматива может использоваться объём собственного капитала банка или размер кредитного портфеля и некоторые другие показатели. В Республике Беларусь в настоящее время базой при расчёте лимитов является размер собственного капитала.
При рассмотрении вопроса о лимитах кредитования нельзя не упомянуть тот факт, что в целях обеспечения устойчивости банков Национальный банк Республики Беларусь установил обязательные нормативы:
максимальный размер крупных кредитных рисков. Он устанавливается как процентное соотношение совокупной величины крупных рисков и собственного капитала банка. Следует отметить, что размер крупного кредита определён на уровне 10% от размера собственного капитала банка. Задолженность по всем выданным банкам крупным кредитам на конец месяца не должна превышать сумму собственных средств банка более чем в 6 раз (с учётом забалансовых обязательств);
максимальный размер риска на одного кредитополучателя устанавливается как процентное соотношение величины кредита, а также гарантий и поручительств, выданных одному кредитополучателю и собственного капитала банка (в первые 2 года деятельности банка не более 20%; а в последующие годы не более 25%);
максимальный размер риска на 1 кредитополучателя-инсайдера - это соотношение совокупной суммы требований (включая кредитный эквивалент сумм внебалансовых обязательств) к собственному капиталу банка. Под инсайдерами понимают физические и юридические лица, которые связаны с банком (имеют более 5% акций данного банка и т.п.);
предельный размер межбанковских кредитов ограничивается величиной собственного капитала.
Для наглядности предоставим расчёт вышеприведенных показателей в банке ОАО "Банк Альфа" (табл.3.3)
Таблица 3.3 Максимальный размер риска на одного кредитополучателя на 01.03.2005 года в ОАО "Банк Альфа"
| Наименование | Сумма, млн. руб. |
| Собственный капитал банка (СКБ) | 88694,6 |
| Размер крупного кредита - 10% СКБ | 8869,46 |
| Максимальный размер риска на одного кредитополучателя - инсайдера - юридическое лицо 15% СКБ | 13304, 19 |
| Максимальный размер риска на одного кредитополучателя - инсайдера - физическое лицо 2% СКБ | 1773,89 |
| Максимальный размер риска на одного кредитополучателя - 25% СКБ | 22173,65 |
Помимо рационирования существуют и другие способы диверсификации кредитов:
диверсификация кредитополучателей по отраслевой принадлежности может осуществляться также путём прямого установления лимитов для всех кредитополучателей данной группы в абсолютной сумме или по совокупной доле в кредитном портфеле банка;
диверсификация принимаемого обеспечения по кредитам;
применение различных видов процентных ставок и способов начисления и уплаты процентов по кредиту;
диверсификация кредитного портфеля по срокам, имеющая особое значение, поскольку процентные ставки по кредитам разной срочности подвержены различным колебаниям и уровень косвенно принимаемых на себя деловых рисков кредитополучателя также существенно зависит от срока кредита.
Развитие принципов индивидуального подхода к кредитополучателю позволит добиться большей точности в оценках и суждениях при кредитовании. Применение данного метода является неотъемлемым принципом кредитной политики.
Управляя кредитным процессом, банки пролонгируют (продлевают) сроки кредитов. Это связано с объективными условиями процесса кредитования. К примеру, на дату погашения кредита у кредитополучателя временно могут отсутствовать свободные денежные средства в силу неравномерности расчётов - крупных платежей незадолго до возврата кредита. В этом случае банк может отсрочить погашение кредита на определённое количество дней. В белорусской практике максимальная пролонгация возможна до шести месяцев. Пролонгация кредитов может быть произведена и для того, чтобы искусственно сократить объём просроченных кредитов, скрыть изъяны в кредитном портфеле от аудиторов и ревизоров.
При возникновении у банка низкого качества кредитного портфеля необходимо активно проводить финансовую реструктуризацию задолженности субъектов хозяйствования. Финансовая реструктуризация задолженности субъектов хозяйствования представляет собой внесудебную процедуру проведения банком и предприятием комплекса мероприятий, направленных на погашение просроченной задолженности предприятий путем изменения характера и условий взыскания либо конверсии в обязательства иного вида.
Финансовая реструктуризация включает в себя следующие аспекты:
текущее оздоровление хозяйственно-финансовой деятельности предприятия-должника;
установление по соглашения между банком и должником порядка погашения имеющейся просроченной банковской задолженности должника;
обмен банковской задолженности на долю участия в уставном фонде, акции субъекта хозяйствования-должника;
уступка требований просроченной банковской задолженности новому кредитору;
другие меры, не противоречащие действующему законодательству.
В ходе проведения мероприятий по оздоровлению деятельности субъекта хозяйствования-должника по соглашению между банком и должником может быть установлен следующий порядок погашения имеющейся просроченной банковской задолженности должника, включающий в себя обязательства со стороны банка-кредитора по следующим направлениям:
снижению процентной ставки по имеющейся кредитной задолженности;
отказу от начисления процентов в течение определённого времени на всю или часть задолженности;
временной капитализации причитающихся процентов;
рассрочки уплаты процентов и основной суммы долга;
аннулированию части или всей задолженности по процентам, пене и другим санкциям по кредитам;
предоставление должнику новых кредитов или кредитных гарантий в рамках выполнения мероприятий по текущей санации субъекта хозяйствования на осуществление новых высокорентабельных проектов, на перепрофилирование производства;
принятие других мер в соответствии с действующим законодательством.
Исходя из экономической необходимости и целесообразности, банк вправе уступить требования по просроченной и сомнительной задолженности новому кредитору.
Современные условия показывают, что отнюдь не количество и объём проводимых сделок влияют на устойчивость банков и банковской системы в целом, а именно качественные показатели кредитной деятельности. По мере развития кредитных отношений в рыночной экономике зарубежных стран круг критериев оценки качества кредитов также расширялся. В настоящее время он охватывает более 10 позиций. К числу основных из них относятся: назначение и вид кредита; его размер, срок и порядок погашения; степень кредитоспособности клиента, его отраслевая принадлежность и форма собственности; характер взаимоотношений кредитополучателя с банком; степень информированности о нём банка; объём и качество обеспечения возвратности кредита.
В Беларуси число критериев оценки качества кредитов пока ограничено. Исходя из рекомендаций Национального Банка Республики Беларусь в настоящее время применяется два главных критерия: степень обеспеченности возврата кредита и фактическое состояние с погашением ранее выданных кредитов. Они соответствуют содержанию первого этапа управления кредитным портфелем.
Все кредиты, выданные банком, делятся на 4 группы:
стандартные - 0% риска;
субстандартные - 30% риска;
проблемные - 50% риска;
убыточные - 100% риска.
Отнесение кредитов в ту или иную группу осуществляется по следующим признакам:
способность кредитополучателя вернуть полученный кредит;
длительность существования просроченной задолженности;
качество и достаточность обеспечения.
В зависимости от наличия обеспечения своевременного возврата кредиты подразделяются на три группы.
Первая группа получила название "обеспеченные кредиты". В неё включаются кредиты, имеющие обеспечение в виде высоколиквидного залога, реальная (рыночная) стоимость которого равна кредитной задолженности или превосходит её (залог > 100%).
Вторая группа - "недостаточно обеспеченные кредиты" - охватывает кредиты, имеющие частичное обеспечение (70% <залог <100%), но его реальная (рыночная) стоимость или способность реализации сомнительны.
Третья группа - необеспеченные кредиты. Они либо не имеют обеспечения в виде высоколиквидного залога, либо реальная (рыночная) стоимость обеспечения менее 70% от размера кредита и способность реализации сомнительна (залог < 70%).
Второй критерий классификации отражает фактическое состояние с погашением ранее выданных кредитов. В этой связи выделяется 4 группы кредитов:
I. - кредиты, возвращаемые в срок;
II. - кредиты с просроченной задолженностью сроком до 90 дней;
III. - кредиты с просроченной задолженностью от 91 до 180 дней;
IV. - кредиты с просроченной задолженностью свыше 180 дней.
С учётом указанных критериев предлагается выделять 4 группы кредитов с дифференцированным уровнем отчислений в резервный фонд банка, что соответствует содержанию второго этапа управления кредитным портфелем.
К I группе риска ("стандартные кредиты") относятся кредиты, по которым своевременно и в полном объёме погашается основной долг, включая кредиты, пролонгированные в исключительных случаях не более 1 раза при условии своевременной выплаты по ним процентов. По этой группе кредитов резерв не создаётся.
Ко II группе ("субстандартные кредиты") относятся просроченные до 90 дней обеспеченные кредиты. По этой группе кредитов создаётся резерв на возможные потери в размере 30% от величины выданных кредитов.
К III группе ("проблемные кредиты") относятся: недостаточно обеспеченные и необеспеченные кредиты, просроченные до 90 дней; и обеспеченные и недостаточно обеспеченные кредиты, просроченные от 91 до 180 дней. По этой группе кредитов создаётся резерв в размере 50% от величины кредитов.
К IV группе ("убыточные кредиты") относятся: все кредиты, просроченные свыше 180 дней. По этой группе создаётся резерв в размере 100% от величины кредитов.
Отнесение конкретных кредитов, выданных банком и числящихся на балансе на квартальные даты, к соответствующим группам составляет содержание третьего этапа управления кредитным портфелем.
На четвёртом этапе работники банка определяют структуру кредитного портфеля в разрезе классифицированных кредитов, т.е. суммируют все кредиты одной группы и получают данные об объёме каждой группы, а также кредитного портфеля банка в целом на соответствующую дату.
На пятом этапе определяется совокупный риск кредитного портфеля банка. Для этого сумма кредитов по каждой группе умножается на соответствующий процент риска. Например, в одном из коммерческих банков структура кредитов выглядит следующим образом (в млн. руб.):
1-я гр. - 1500,0 2-я гр. - 2300,0 3-я гр. - 1500,0 4-я гр. - 1300,0 Итого: 6600,0
Используя вышеприведенные коэффициенты риска каждой группы кредитов, получаем совокупный риск кредитного портфеля данного коммерческого банка на определённую дату:
(1500 х 0%) + (2300 х 30%) + (1500х 50%) + (1300 х 100%) = 2940 млн. руб.
На седьмом этапе управления кредитным портфелем осуществляется формирование достаточных резервных фондов. В приведенном выше примере банк обязан сформировать резервный фонд в размере не менее 2940 млн. руб. Аудиторы должны подтвердить полноту формирования указанного резерва.
На заключительном восьмом этапе управления кредитным портфелем менеджеры банка на основе рассмотрения сложившейся структуры кредитного портфеля и факторов, вызвавших её изменение, намечают меры в области кредитной политики банка на перспективу. К ним могут относиться: изменения в целевой направленности кредитов или сфер вложения кредитных ресурсов, получение дополнительных гарантий, усиление предварительного и последующего контроля за выполнением условий кредитного договора, улучшение тех или иных элементов организации кредитного процесса и др.
Завершающей в системе управления в отдельно взятом временном интервале является функция контроля. Всю совокупность мер и способов, применяемых при реализации функции контроля, вобрал в себя термин "кредитный мониторинг".
Процесс кредитного мониторинга строится на предшествующей ему процедуре кредитного анализа. Его целью является отслеживание изменения кредитоспособности кредитополучателя и определение того, какие действия необходимо предпринять в случае возникновения проблем. Как только кредит выдан, банк должен последовательно отслеживать его качество с целью убедиться, что не происходит его изменения в худшую сторону. Ключевым моментом данной процедуры является поддержание тесных контактов с клиентом для получения оперативной информации и её своевременного анализа.
Важнейшим элементом кредитного мониторинга является сбор достоверной информации и её регулярный анализ. Для крупных банков характерно то, что один из управленцев высшего звена персонально ответственен за кредитный мониторинг. В средних и мелких банках функция мониторинга объединена с другими направлениями кредитной работы. Информация, предоставляемая ответственному лицу, должна включать:
абсолютную величину кредитного риска;
величину кредитного риска с учётом обеспечения;
первоначальные кредитные рейтинги;
пересмотренные кредитные рейтинги;
экспресс-анализ текущего финансового состояния крупнейших кредитополучателей;
показатели обслуживания задолженности;
отчётность о резервировании на случай потерь по кредитам.
Ориентиры формирования кредитного портфеля следует регулярно пересматривать с частотой не реже одного или двух раз в год. Это позволит кредитной деятельности банка соответствовать изменениям в законодательстве, переменам в структуре рынка банковских услуг и экономике в целом.
Логическим завершением анализа причин и факторов, под влиянием которых происходит управление кредитным портфелем, является разработка оптимальной методики организации управления кредитным портфелем коммерческого банка. Для этого выделим основные способы оптимизации для каждого этапа управления кредитным портфелем:
Определение основных классификационных групп кредитов и вменяемых им коэффициентов риска:
проведение классификации кредитных вложений по следующим признакам: по степени кредитоспособности кредитополучателя; по направленности вложений; по размеру предоставляемых кредитов; по форме собственности кредитополучателя; по отраслевой принадлежности кредитополучателя; по длительности вложений; по видам обеспечения исполнения обязательств по кредитному договору; по видам залогового имущества; анализ в разрезе валют; по цене кредитования; по видам кредитных операций и др.;
коэффициенты риска по каждому классификационному признаку должны быть присвоены на основании: статистических данных банка; накопленного опыта работниками банка; прогнозных показателей развития отрасли; финансового состояния кредитополучателя.
Отнесение каждого выданного кредита к одной из указанных групп:
обучение персонала правильности применения и понимания применяемых методик;
применение экономико-математических методов при анализе классификационных данных.
Выяснение структуры портфеля (долей различных групп в их общей совокупности):
анализ структуры кредитных вложений по позициям указанным выше;
проведение оценки с учётом технологических взаимосвязей клиентов банка и отраслевых особенностей.
Оценка качества портфеля в целом:
комплексная оценка портфеля должна производиться с позиций: риска, доходности, диверсифицированности, обеспеченности;
необходимо применять следующие методы: метод коэффициентов; метод относительных и абсолютных величин; классификационные и статистические модели;
использовать многомерные базы данных "Кредитный портфель банка" для автоматизации анализа кредитных вложений банка.
Выявление и анализ факторов, меняющих структуру (качество) портфеля:
анализ изменений в отраслях народного хозяйства и экономики в целом;
провести факторный анализ произошедших сдвигов на основе данных статистики.
Определение величины резервов, которые необходимо создать под каждый выданный кредит:
проводить определение величины резерва на основе оценки кредитного риска и классификации кредитополучателей по следующим признакам: уровень кредитоспособности клиента; перспективность кредитуемой сделки и т.д.;
при создании резерва учитывать технологические особенности процесса производства кредитополучателя.
Определение общей суммы резервов, адекватной совокупному риску портфеля:
производить расчёт резерва на основе показателей средневзвешенного риска на основе статистических данных и опыта кредитования в конкретной отрасли;
разработать систему поправочных коэффициентов, отражающих величину необходимого резерва на покрытие возможных потерь.
Проведение кредитного мониторинга:
организовать систему накопления статистической информации, доступную для всех заинтересованных служб банка;
увеличить частоту проверок финансового состояния кредитополучателей и пересмотров рейтинга кредитополучателя;
автоматизировать процесс оценки кредитного рейтинга кредитополучателя.
Разработка мер, направленных на улучшение качества портфеля:
применение экономико-математических методов и моделей для подготовки управленческих решений;
управление и минимизация рисков;
повышение доходности портфеля за счёт изменения структуры кредитных вложений.
Реализация на практике приведенных способов оптимизации будет способствовать повышению эффективности системы управления кредитным портфелем. Признаками данного улучшения и будут являться:
повышение точности оценки каждой отдельно взятой кредитной сделки;
адекватность применяемых методов анализа состоянию экономики в целом и положению предприятий отдельных отраслей;
возможность планирования и прогнозирования на основе базы данных о кредитной истории клиентов;
определение необходимой и оптимальной величины резерва с точки зрения поддержания ликвидности активов и недопущения снижения доходности кредитного портфеля;
снижение трудоёмкости операций кредитного анализа.
Наблюдение вышеперечисленных признаков в процессе работы кредитного учреждения будет свидетельствовать об улучшении организации кредитной деятельности банка в двух основных направлениях, которыми являются процесс формирования кредитного портфеля банка и совершенствование системы управления им.
В заключение заметим следующее. Как показывает практика, для успешного формирования кредитного портфеля необходимо соблюдение следующих процедур:
наличие утверждённого высшим руководством банка документа по кредитной политике, то есть планового характера кредитной работы, а также системы лимитов;
наличие ограничений в отношении концентрации портфеля в целях предотвращения проблем слишком высоких объёмов кредитования как одного кредитополучателя, так и отрасли экономики, региона, страны;
необходимо проводить анализ кредитуемой отрасли с целью определения тенденций развития, производственного цикла, денежных потоков;
наличие разработанной и утверждённой методики оценки залога и кредитной политики, определяющей приемлемые обеспечения кредита;
следует оптимизировать периодичность контактов с клиентами, порядок отражения результатов переговоров, проверок деятельности клиента с целью с выездом на место в кредитных досье;
необходимо соблюдать общее правило, - чем выше кредитный риск, тем чаще проводятся проверки.
Заключение
Складывающаяся в республике практика осуществления рыночных преобразований не избежала влияния негативных процессов, характерных для переходного этапа развития национальной экономики. Переход к рынку, а, следовательно, в перспективе к развитому в экономическом плане обществу приведёт к тому, что основной доходной статьей банковского бизнеса будет являться прибыль, получаемая в результате проведения банками кредитных операций. В этом плане анализ кредитного портфеля коммерческого банка становится особенно актуальным.
Таким образом, проблема формирования и управления кредитным портфелем имеет важное значение. В процессе анализа структуры активов банка необходимо обратить внимание на динамику, учитывая и анализируя влияние различных, как внешних, так и внутренних факторов. Условием устойчивости для банка является соответствие активов и пассивов по срокам и суммам, соблюдение разумного сочетания доходности и риска по кредитам. В связи с этим важно соблюдать оптимальное соотношение собственных и заемных ресурсов банка, качественно производить оценку кредитоспособности заемщиков, осуществлять постоянный контроль за обеспечением и не допускать увеличения совокупного кредитного риска. Управление кредитным портфелем не должно быть статичным, простой констатацией его состояния, а должно динамично реагировать на изменение ситуации и принимать адекватные меры по обеспечению стабильности в деятельности.
Исходя из вышесказанного необходимо сделать вывод о том, что управление кредитным портфелем должно начинаться задолго до его формирования с определения кредитной политики, учитывающей конъюнктуру рынка и возможности банка. Именно так, а не иначе можно добиться оптимизации кредитного портфеля.
В целом качество кредитного портфеля филиала №1 ОАО "Банк Альфа" является удовлетворительным. Несмотря на то, что рассчитанные коэффициенты не превышают критических значений, банку необходимо принять меры по повышению качества кредитного портфеля.
При оценке качества и структуры кредитного портфеля коммерческого банка была выявлена основная причина ухудшения качества кредитного портфеля - увеличение абсолютной и относительной величины проблемной задолженности и, как следствие, снижение доходности по причине необходимости увеличения размера создаваемого резерва. Причиной данного ухудшения стали следующие недостатки организации процесса формирования кредитного портфеля и системы управления им:
На стадии предварительного анализа - отсутствие дифференциации в подходе при краткосрочном и долгосрочном кредитовании; применяемая банком методика, разработанная на основе рекомендаций Национального банка и Министерства финансов Республики Беларусь по определению уровня кредитоспособности, не в полной мере отражает отраслевые особенности предприятия-кредитополучателя в целом и технологического процесса в частности.
На стадии кредитного мониторинга - отсутствие автоматизации процесса отслеживания текущих кредитных рейтингов, системы накопления информации, доступной для всех заинтересованных служб банка.
Поэтому для банка с точки зрения улучшения качества кредитного портфеля основными рекомендациями являются:
Отслеживание потенциально несостоятельных кредитополучателей на стадии предварительного анализа - пересмотреть применяемую методику анализа и дополнить её системой коэффициентов, отражающих отраслевые и технологические особенности кредитополучателя.
Разработка своей системы коэффициентов и дифференциация их значений в зависимости от видов кредитования (долгосрочное и краткосрочное), от видов кредитных операций (классическое кредитование, лизинг, факторинг и т.д.), от объекта кредитования (оборотный и основной капитал), от типа контрагента (юридические лица, индивидуальные предприниматели и физические лица), от размера кредитополучателя (необходимо применение различных методов для крупных, средних и мелких предприятий).
Увеличение периодичности проводимых мероприятий кредитного мониторинга - пересматривать кредитные рейтинги не один, а, например, два раза за определённый период времени (год, полгода, квартал и т.д.). Помимо этого решением проблемы оперативного контроля финансового состояния клиентов может и должна стать автоматизация процесса определения кредитных рейтингов, а также организация системы накопления статистической информации, характеризующей кредитную историю клиентов банка.
Установление лимитов кредитования: отраслевых, на одного кредитополучателя, на группу взаимосвязанных кредитополучателей, на одного инсайдера и т.д.
Автоматизация процесса классификации и статистического анализа кредитного портфеля банка на основе программных средств обработки информации (примером может служить многомерная база данных "Кредитный портфель банка"), что позволит снизить трудоёмкость анализа и соответственно затраты времени и труда кредитных работников.
Организация тесного сотрудничества кредитного управления и управления маркетинга, что позволит при планировании кредитных операций учитывать ситуацию на отдельно взятом рынке и структурные изменения в экономике в целом.
Соблюдение рациональной организационной структуры той части финансового учреждения, которая обеспечивает кредитную деятельность (необходимо, чтобы эта структура, процедуры и внутрибанковские системы контроля над рисками, обеспечивали качество кредитного портфеля на должном уровне, который достаточен для осуществления эффективной долгосрочной деятельности).
Внедрение системы контроля за кредитными рисками и поддержание её на должном качественном уровне.
В свою очередь, Национальному банку совместно с Министерством финансов Республики Беларусь, в целях поддержания стабильности банковской системы в целом и кредитной деятельности в частности, следует рассмотреть возможность организации республиканской системы отслеживания финансового состояния предприятий, которая бы действовала на постоянной основе в качестве независимого эксперта, с одной стороны, и мощного информационного источника, - с другой. Так во Франции создана Центральная служба рисков, которая занимается данной деятельностью, а в США - частные консалтинговые компании. Для Республики Беларусь создание любой формы таких рейтинговых аналитических агентств является перспективным.
Список использованных источников
1. Банковский надзор и аудит: Учебное пособие/Г.И. Кравцова, Л.С. Ефремова, Т.А. Купрюшина и др. Под общ. ред.Г.И. Кравцовой. Мн.: БГЭУ, 1999.303 с.
2. Банковский надзор и аудит: Учебное пособие. Под общ. ред. И.Д. Мамоновой. М.: ИНФРА-М, 1995.312 с.
3. Банковское дело/Под ред. Г.Н. Белоглазовой и Л.П. Кроливецкой. СПб.: Питер, 2002.702 с.
4. Банковское дело: стратегическое руководство. / Под ред. В. Платонова, М. Хиггинса.2-е изд. М.: "Консалтбанкир", 2001.519 с.
5. Банковское дело: Учебник/Под ред. д-ра экон. наук, проф.Г. Г. Коробовой. М.: Юристъ, 2002.898 с.
6. Банковское дело: управление и технологии: Учебное пособие для вузов/Под ред. проф.А.М. Тавасиева. М.: ЮНИТИ-ДАНА, 2001.329 с.
7. Банковские операции. Часть II. Учётно-ссудные операции и агентские услуги: Учебное пособие / Под ред. О.И. Лаврушина. М.: ИНФРА-М, 1996.432 с.
8. Батракова Л.Г. Анализ процентной политики коммерческого банка: Учебное пособие. М.: Логос, 2002.573 с.
9. Батракова Л.Г. Экономический анализ деятельности коммерческого банка: Учебник для вузов. М.: Логос, 1998.289 с.
10. Беляков А.В., Ломакина Е.В. Кредитный риск-оценка, анализ, управление // Финансы и кредит. 2000. №9. С.74-77
11. Бонцевич Н. Формирование кредитного портфеля банка и его оптимизация // Банковский вестник. 2002. №4. С.39-42
12. Бураков В. Организация управления систематической компонентой кредитного риска // Вестник ассоциации белорусских банков. 2001. №22. С.23-27
13. Верезубова Т. Зарубежная практика страхования финансово-кредитных рисков // Белорусский банковский бюллетень. 2001. №2. С.11
14. Внутренняя инструкция филиала №1 ОАО "Банк Альфа" № 34/45-к от 23.08.2004 "Об определении кредитоспособности клиента"
15. Гришкин С.Г., Мусаева Р.А., Харисов К.Г. Использование средств многомерного анализа для оценки кредитного портфеля банка // Банковские технологии. 2001. №12. С.28-32.
16. Гришкин С.Г., Мусаева Р.А., Харисов К.Г. Некоторые вопросы оценки кредитного портфеля банка // Деньги и кредит. 2002. №1. С.36-40.
17. Инструкция по анализу и контролю за финансовым состоянием и платёжеспособностью субъектов предпринимательской деятельности от 14.06.2004 // Национальный реестр правовых актов Республики Беларусь, 2004, №52, 8/3453.
18. Инструкция "Об экономических нормативах для банков и небанковских кредитно-финансовых организаций" №92 от 28.06.2004 // Национальный реестр правовых актов Республики Беларусь, 2004, №56, 8/11272.
19. Кабушкин С.Н. Анализ и моделирование рисковой ситуации изменения качества кредитного портфеля банка // Бухгалтерский учет и анализ. 2000. №4. С.42-46
20. Кабушкин С.Н. Классификация и факторы кредитного риска // Белорусский банковский бюллетень. 2000. №4. С.14
21. Кисель С.Л. Банковское кредитование: Условия и тенденции развития в Беларуси // Банковский вестник. 2004. №31. С.15-23.
22. Ольшаный А.И. Банковское кредитование: российский и зарубежный опыт. / Под ред. Е.Г. Ищенко, В.И. Алексеева. М.: Русская деловая литература, 1997.438 с.
23. Организация деятельности коммерческих банков: Учебник / Г.И. Кравцова, Н.К. Василенко, И.К. Козлова и др. Под общ. ред.Г.И. Кравцовой. Мн.: БГЭУ, 2001.504 с.
24. Панова А.И. Кредитная политика коммерческого банка. М.: ДИС, 1997.464 с.
25. Пашков А.И. Оценка качества кредитного портфеля // Бухгалтерия и банки - №3. - 1996, с.29-30.
26. Правила формирования и использования специального резерва на покрытие возможных убытков по активам банка и небанковской кредитно-финансовой организации, подверженным кредитному риску (в ред. постановлений Национального банка от 29.09.2004 № 148).
27. Правила регулирования деятельности банков и небанковских кредитно - финансовых организаций от 28.06.2001г. №173 с изменениями и дополнениями.
28. Прокопович П.П. Об итогах выполнения Основных направлений денежно-кредитной политики за 2004 год и задачах банковской системы на 2005 год // Банковский вестник. 2005. №4. С.4-9.
29. Сабиров М. Содержание управления кредитным портфелем коммерческого банка // Аудитор. 1999. №7-8. С.29-34.
30. Савицкая Г.В. Анализ хозяйственной деятельности предприятия. Минск: Новое знание, 1999.325 с.
31. Синки Джозеф, мл. Управление финансами в коммерческих банках. М.: Catallax, 1996.805 с.
32. Суханов М.С. Риск-менеджмент и аудит ссудных операций в системе управления коммерческим банком // Деньги и кредит. 2001. №6. С.36
33. Тенденции в денежно-кредитной сфере Республики Беларусь в 2004 г. // Банковский вестник. 2005. №6. С.3-12.
34. Финансовые показатели деятельности банков Республики Беларусь // Банковский вестник. 2002. №5. С.10.
35. Финансовые показатели деятельности банков Республики Беларусь // Банковский вестник. 2004. №5. С.6.
36. Финансовые показатели деятельности банков Республики Беларусь // Банковский вестник. 2005. №5. С.12,15.
37. Цисарь И.Ф., Чистов В.П., Лукьянов А.И. Оптимизация финансовых портфелей банков, страховых компаний, пенсионных фондов. М.: Дело, 1998. -128 с.
38. Ширинская Е.Б. Операции коммерческих банков и зарубежный опыт. М.: Финансы и статистика, 1993.342 с.
Приложения
Приложение 1
Классификационные признаки кредитного портфеля
Таблица П.1.1 Классификационные признаки кредитного портфеля
| Признак | 1 | 2 | 3 | 4 | 5 |
| 1 | 2 | 3 | 4 | 5 | 6 |
| по степени кредитоспособности кредитополучателя | 1 класс кредитоспособности | 2 класс кредитоспособности | 3 класс кредитоспособности | ||
| по направленности вложений | кредиты в оборотные активы | кредиты во внеоборотные активы | |||
| по размеру предоставляемых кредитов | микрокредиты | средние кредиты | крупные кредиты | ||
| по форме собственности кредитополучателя | государственная | коллективная | частная | ||
| по отраслевой принадлежности кредитополучателя | промышленность | строительство | сельское хозяйство | транспорт | другие отрасли |
| по длительности вложений | краткосрочные кредиты | долгосрочные кредиты | |||
| по видам обеспечения исполнения обязательств по кредитному договору | гарантийный депозит | залог | поручительство | перевод на кредитодателя правового титула | гарантия |
| по видам залогового имущества | движимое имущество | недвижимое имущество | |||
| анализ в разрезе валют | кредиты в свободно конвертируемой валюте | кредиты в национальной денежной единице | |||
| по цене кредитования | относительно низкая процентная ставка | усреднённая процентная ставка | высокая процентная ставка | ||
| по видам кредитных операций | операции с использованием векселей | исполненные гарантийные обязательства клиентов | факторинг | лизинг | потребительское кредитование |
| по источнику привлечения | внутренний кредитный портфель | внешний кредитный портфель | |||
| по статусу кредитора | официальные | неофициальные | международных организаций | смешанные | |
| по форме предоставления | налично-денежная | рефинансирование | переоформление | ||
| по форме привлечения | двусторонние | многосторонние (консорциальные) | |||
| по технике предоставления | одной суммой | открытая кред. линия | контокоррентные | овердрафтные | stand-by |
| по экономическому назначению | связанные | платёжные | расчётные | потребительские | промежуточные |
| по степени концентрации объекта кредитования | под единичную потребность | под совокупную потребность | под укрупненную потребность | ||
| по форме погашения | погашаемые через равные промежутки времени равными долями | погашаемые одной суммой | погашаемые неравномерными долями | ||
по юридической подчинённости кредитных операций |
подчиняющиеся законодательству страны-кредитора | подчиняющиеся законодательству страны-кредитополучателя | подчиняющиеся законодательству третьей страны | ||
| по признаку диверсифицированности | диверсифицированный | концентрированный | |||
| от возможности банка свободно управлять своим кредитным портфелем | неуправляемый | регулируемый | свободно управляемый | ||
| по виду кредитополучателя | кредитный портфель по кредитам юридическим лицам | кредитный портфель по кредитам физическим лицам | кредитный портфель по кредитам другим банкам | ||
| по признаку резиденства | портфель кредитов, выданных резидентам | портфель кредитов нерезидентам | |||
| по своевременности погашения | портфель срочных кредитов | портфель просроченных кредитов | портфель пролонгированных кредитов | портфель сомнительных кредитов |
Примечание. Источник: [собственная разработка на основе источников 5,6,7,8,9,10]
Приложение 2
Модель кредитного портфеля коммерческого банка
Таблица П.2.1 Модель кредитного портфеля коммерческого банка
| № | Наименование кредитополучателя | Став-ка % |
Обеспечение | Цель кредита | Вид деят-ти | Форма собст-ти | Срок | ∑ кредита в млн. бел. руб. | График погашения |
| 1 | 2 | 3 | 4 | 5 | 6 | 7 | 8 | 9 | 10 |
| 1 | ООО "Госнип" | 19 | гарантия | оборотные активы | машиностроение | коллективная | 6 мес. | 154,6 | ежемесячно |
| 2 | ЗАО "Славянка" | 13 | залог | оборотные активы | текстильная промышленность | частная | 12 мес. | - | поквартал. |
| 3 | ООО "Риадар" | 19 | гарантийный депозит | внеоборотные активы | машиностроение | государственная | 48 мес. | 780,0 | по истечении договора |
| 4 | ИП Швец А.Н. | 13 | поручительство | внеоборотные активы | химическая промышленность | коллективная | 24 мес. | - | поквартал. |
| 5 | ИП Соловец М.Е. | 18 | поручительство | оборотные активы | полиграфическая промышленность | государственная | 3 мес. | 23,4 | ежемесячно |
| 6 | ООО Сакуб | 18 | гарантийный депозит | оборотные активы | сфера услуг | частная | 6 мес. | 10,5 | ежемесячно |
| 7 | ЗАО "Агропром" | 19 | залог | внеоборотные активы | сельское хозяйство | коллективная | 9 мес. | 120,5 | ежемесячно |
| 8 | СП "Фидэя" | 19 | гарантия | внеоборотные активы | транспорт | частная | 18 мес. | 137,4 | поквартал. |
| 9 | ООО "Трианика" | 13 | залог | оборотные активы | торговля | частная | 36 мес. | - | поквартал. |
| 10 | ЗАО "Евроэкс" | 14 | гарантия | внеоборотные активы | транспорт | коллективная | 24 мес. | - | поквартал. |
| 11 | ООО "Плантея" | 19 | залог | внеоборотные активы | торговля | частная | 24 мес. | 420,9 | по истечении договора |
| 12 | ПКФ "Навигатор" | 17 | гарантийный депозит | оборотные активы | сельское хозяйство | коллективная | 6 мес. | 57,3 | ежемесячно |
| 13 | ООО "Витаден" | 19 | залог | внеоборотные активы | транспорт | частная | 36 мес. | 426,0 | по истечении договора |
| 14 | ЗАО "Импортсервис" | 21 | гарантия | оборотные активы | торговля | коллективная | 6 мес. | 62,3 | ежемесячно |
| 15 | ОАО "Связьстрой" | 19 | залог | оборотные активы | сфера услуг | коллективная | 3 мес. | 48,5 | ежемесячно |
| 16 | ОАО "Стеатит" | 19 | залог | внеоборотные активы | сельское хозяйство | государственная | 24 мес. | 463,8 | по истечении договора |
| 17 | ООО "Дипамм" | 13 | залог | внеоборотные активы | сфера услуг | частная | 36 мес. | - | поквартал. |
| 18 | ООО "Трианад" | 18 | гарантия | оборотные активы | транспорт | коллективная | 12 мес. | 210,9 | поквартал. |
| 19 | ООО ""Сантанас | 19 | гарантия | внеоборотные активы | полиграфическая промышленность | частная | 48 мес. | 792,3 | по истечении договора |
| 20 | ОАО "Вольт" | 18 | гарантийный депозит | оборотные активы | торговля | частная | 9 мес. | 142,8 | ежемесячно |
| 21 | УП "7 стройтрест" | 13 | гарантийный депозит | оборотные активы | строительство | коллективная | 9 мес. | - | ежемесячно |
| 22 | ПКФ "Фаворит" | 17 | залог | оборотные активы | торговля | частная | 6 мес. | 96,1 | ежемесячно |
| 23 | УП "Обувь" | 18 | залог | внеоборотные активы | торговля | государственная | 48 мес. | 632,7 | по истечении договора |
| 24 | НПП "Техномаш" | 15 | гарантийный депозит | оборотные активы | транспорт | коллективная | 3 мес. | - | поквартал. |
| 25 | ООО "Проветбел" | 20 | гарантийный депозит | оборотные активы | торговля | частная | 12 мес. | 100,0 | ежемесячно |
| 26 | ООО "Нива" | 17 | залог | внеоборотные активы | полиграфическая промышленность | частная | 36 мес. | 652,0 | поквартал. |
| 27 | ЗАО "Медиатор" | 18 | гарантия | оборотные активы | сфера услуг | частная | 12 мес. | 120,3 | ежемесячно |
| 28 | СП "Белфакта" | 14 | залог | оборотные активы | частная | 3 мес. | - | ежемесячно | |
| 29 | ООО "Прадо" | 21 | залог | внеоборотные активы | строительство | частная | 24 мес. | 512,9 | поквартал. |
| 30 | СП "Пародент" | 19 | гарантийный депозит | оборотные активы | торговля | частная | 9 мес. | 45,3 | ежемесячно |
| 31 | ООО "Пасад" | 18 | залог | внеоборотные активы | торговля | коллектив-ная | 48 мес. | 963,7 | поквартал. |
| 32 | ООО "Нептун" | 19 | гарантия | внеоборотные активы | транспорт | частная | 24 мес. | 47,2 | ежемесячно |
| 33 | ЗАО "Дортехком" | 16 | залог | оборотные активы | строительство | государственная | 6 мес. | 96,2 | ежемесячно |
| 34 | ООО "Дипамм" | 13 | гарантийный депозит | оборотные активы | сфера услуг | коллектив-ная | 3 мес. | - | ежемесячно |
| 35 | ОАО "Вертикаль" | 14 | гарантия | внеоборотные активы | транспорт | частная | 36 мес. | - | по истечении договора |
| 36 | ЗАО "Техноса" | 18 | залог | оборотные активы | торговля | частная | 3 мес. | 12,3 | ежемесячно |
| 37 | ООО "Ройс" | 19 | гарантия | внеоборотные активы | торговля | коллектив-ная | 36 мес. | 357,1 | по истечении договора |
Приложение 3
Формирование предложения кредитов банков реальному сектору экономики

Рис. П.3.1 Формирование предложения кредитов банков реальному сектору экономики
Приложение 4
Формирование спроса на кредитные ресурсы банков

Рис. П.4.1Формирование спроса на кредитные ресурсы банков
Приложение 5
Алгоритм применения балльной системы оценки кредитного портфеля коммерческого банка
Таблица П.5.1 Алгоритм применения балльной системы оценки кредитного портфеля коммерческого банка
| Критерии качества ссуды | Баллы |
| 1 | 2 |
А. Назначение и сумма долга. 1. Назначение разумно и сумма полностью оправдана. 2. Назначение сомнительно, сумма приемлема 3. Назначение неубедительно, сумма проблематична. |
20 15 8 |
В. Финансовое положение кредитополучателя. 1. Очень сильное текущее и прежнее финансовое положение. Сильный и стабильный приток средств. (1 класс). 2. Хорошее финансовое положение. Сильный приток средств. (2 класс). 3. Стабильное финансовое положение. (3 класс) 4. Нестабильное финансовое положение. Велика вероятность банкротства компании. (4 класс) 5. Кредитополучатель недавно много потерял, приток средств слабый. (5 класс) |
40 30 20 10 4 |
С. Залог. 1. Не нужен залог или предоставляется обширный денежный залог. 2. Значительный ликвидный залог. 3. Достаточный залог приемлемой ликвидности. 4. Достаточный залог, но ограниченной ликвидности. 5. Недостаточный залог невысокого качества. 6. Нет приемлемого залога |
30 25 12 8 5 0 |
D. Срок и схема погашения ссуды. 1. Краткосрочный кредит, хороший вторичный источник погашения. 2. Среднесрочный кредит с погашением долга частями в течение срока ссуды, мощный приток средств. 3. Среднесрочный кредит, одноразовое погашение в конце срока, средний приток средств. 4. Долгосрочная ссуда, погашаемая частями, неуверенность в притоке средств, достаточных для погашения долга. |
30 25 20 12 |
| 5. Долгосрочный кредит, вторичных источников погашения нет. | 5 |
Е. Кредитная история кредитополучателя 1. Великолепные отношения в прошлом с кредитополучателем. 2. Хорошие кредитные отзывы из надёжных источников. 3. Ограниченные отзывы, но нет негативной информации. 4. Нет отзывов. 5. Неблагоприятные отзывы. |
25 20 15 9 0 |
F. Взаимоотношения с кредитополучателем. 1. Существуют постоянные выгодные отношения. 2. Существуют посредственные отношения или никаких. 3. Банк несёт потери на отношениях с кредитополучателем. |
10 4 2 |
G. Цена кредита. 1. Выше обычной для кредита данного качества. 2. В соответствии с качеством кредита. 3. Ниже обычной для данного качества кредита. |
8 5 0 |
Приложение 6
Оценка финансового состояния предприятия
Таблица П.6.1 Оценка финансового состояния предприятия
| Фин. показатель | Соответствие значению | Балл | Весовой коэф-т | В расчёте | Рейтинг |
| Ликвидность | Соответствуют | 10 | 0,3 | ||
| 30 | |||||
| 50 | |||||
| 70 | |||||
| Не соответствуют | 90 | ||||
| 100 | + | 30 | |||
| Финансовая устойчивость и платёжеспособность | Соответствуют | 10 | 0,25 | ||
| 30 | |||||
| 50 | + | 12,5 | |||
| 70 | |||||
| Не соответствуют | 90 | ||||
| 100 | |||||
| Деловая активность (оборачиваемость) | Соответствуют | 10 | 0,15 | + | 1,5 |
| 30 | |||||
| 50 | |||||
| 70 | |||||
| Не соответствуют | 90 | ||||
| 100 | |||||
| Рентабельность | Соответствуют | 10 | 0,2 | ||
| 30 | |||||
| 50 | |||||
| 70 | |||||
| Не соответствуют | 90 | ||||
| 100 | + | 20 | |||
| Об-ты по тек. счёту в квартал/Сумма кр-та | Более 3 |
10 | 0,1 | ||
| От 1,5 до 3 | 30 | ||||
| От 1 до 1,5 | 50 | ||||
| От 0,5 до 1,0 | 70 | ||||
| От 0,3 до 0,5 | 90 | + | 9 | ||
| Менее 0,3 | 100 | ||||
| Итого | 1,0 | 73 |
Приложение 7
Оценка рыночной конъюнктуры (направление рынок/отрасль)
Таблица П.7.1 Оценка рыночной конъюнктуры (направление рынок/отрасль)
| Группа показателей | Содержание | Балл | Весовой к-т |
| Отрасль экономики | Электроэнергетика | 25 | 0,3 |
| Чёрная металлургия | 10 | ||
| Химическая промышленность | 75 | ||
| Машиностроение | 60 | ||
| Лесная, деревообрабатывающая промышленность | 50 | ||
| Пищевая промышленность | 50 | ||
| Транспорт | 100 | ||
| Строительство | 100 | ||
| Сельское хозяйство | 100 | ||
| Торговля | 50 | ||
| Прочие отрасли | 75 | ||
| Доля на рынке,% | Менее 1 | 100 | 0,3 |
| От 1 до 3 | 85 | ||
| От 3 до 5 | 70 | ||
| От 5 до 24 | 50 | ||
| От 25 до 50 | 35 | ||
| Более 51 | 25 | ||
| Монополия | 10 | ||
| Уровень конкуренции | Низкий | 25 | 0,4 |
| Средний | 50 | ||
| Высокий | 75 | ||
| Очень высокий | 100 | ||
| Итого | 31 | ||
Приложение 8
Ежедневная сводка оборотов и остатков за 01/02/2005 ед. измерения, руб.
Таблица П.8.1 Ежедневная сводка оборотов и остатков за 01/02/2005 ед. измерения, руб.
| Балансовый счет | Дебет | Кредит | Актив | Пассив |
| 1 | 2 | 3 | 4 | 5 |
| Итого 2101 | -42,000,000.00 | |||
| Итого 2110 | -18,000,000.00 | |||
| Итого 2120 | 27, 200,000.00 | 3, 200,000.00 | -956,600,000.00 | |
| 2131 | 102,400,000.00 | 600,000.00 | -2,572,400,000.00 | |
| 2133 | 8,000,000.00 | -164,800,000.00 | ||
| 2134 | 3, 200,000.00 | 760,000.00 | -283, 200,000.00 | |
| Итого по группе 213 | 113,600,000.00 | 1,360,000.00 | -2,820,400,000.00 | |
| Итого 2140 | 210,400,000.00 | -66,400,000.00 | ||
| Итого 2150 | 40,000,000.00 | -281,600,000.00 | ||
| 2162 | -3,600,000.00 | |||
| 2163 | -9,600,000.00 | |||
| Итого по группе 216 | -13, 200,000.00 | |||
| 2172 | 40,000.00 | -7, 200,000.00 | ||
| 2173 | 40, 200,000.00 | -219, 200,000.00 | ||
| 2175 | 3,600,000.00 | -6,400,000.00 | ||
| Итого по группе 217 | 43,840,000.00 | -232,380,000.00 | ||
| 2183 | 400,000.00 | 200,000.00 | -8,000,000.00 | |
| 2185 | 40,000.00 | 320,000.00 | -2,000,000.00 | |
| Итого по группе 218 | 440,000.00 | 720,000.00 | -10,000,000.00 | |
| 2192 | 400.00 | 800.00 | -6,000,000.00 | |
| 2193 | 11, 200.00 | 1600.00 | -9, 200,000.00 | |
| 2195 | 8,400.00 | 12,800.00 | -2,400,000.00 | |
| Итого по группе 219 | 20,000.00 | 15, 200.00 | -17,600,000.00 | |
| Итого по группе 21 | 195,500,000.00 | 45,295, 200.00 | -4,636,000,000.00 | |
| Итого 2320 | 4,800,000.00 | 2,400,000.00 | -10,000,000.00 | |
| Итого 2330 | 6,400,000.00 | 1,600,000.00 | -7, 200,000.00 | |
| Итого 2350 | 2,000,000.00 | -24,000,000.00 | ||
| Итого 2363 | 18,400,000.00 | -18,400,000.00 | ||
| Итого 2393 | 40,000.00 | -80,000.00 | ||
| Итого по группе 23 | 13,240,000.00 | 4,000,000.00 | -41,280,000.00 | |
| Итого 2412 | 3, 200,000.00 | 800,000.00 | -20,000,000.00 | |
| Итого 2421 | 5, 200,000.00 | 800,000.00 | -8,000,000.00 | |
| Итого 2471 | 360,000.00 | 240,000.00 | -3,000,000.00 | |
| Итого 2491 | 200,000.00 | 120,000.00 | -360,000.00 | |
| Итого по группе 24 | 8,960,000.00 | 1,960,000.00 | -31,36840,000.00 | |
| Итого 2530 | 800,000.00 | -12,000,000.00 | ||
| Итого 2573 | 160,000.00 | 120,000.00 | -1,000,000.00 | |
| Итого по группе 25 | 160,000.00 | 920,000.00 | -13,000,000.00 | |
| Итого 2812 | -35,600,000.00 | |||
| Итого 2813 | -262,800,000.00 | |||
| Итого по группе 281 | -298,400,000.00 | |||
| Итого 2912 | 35,600,000.00 | |||
| Итого 2913 | 52,560,000.00 | 134,280,000.00 | ||
| Итого 2915 | 720,000.00 | 720,000.00 | ||
| Итого 2933 | 5,520,000.00 | 5,520,000.00 | ||
| Итого по группе 29 | 58,800,000.00 | 176,120,000.00 | ||
| Итого по классу 2 | 236,260,000.00 | 110,975, 200.00 | -4,842,640,000.00 | 176,120,000.00 |
Приложение 9
Ежедневная сводка оборотов и остатков за 01/03/2005 ед. изм, руб.
Таблица П.9.1 Ежедневная сводка оборотов и остатков за 01/03/2005 ед. изм, руб.
| Балансовый счет | Дебет | Кредит | Актив | Пассив |
| 1 | 2 | 3 | 4 | 5 |
| Итого 2101 | -42,000,000.00 | |||
| Итого 2110 | -18,000,000.00 | |||
| Итого 2120 | 42,000,000.00 | 4,000,000.00 | -882,000,000.00 | |
| 2131 | 182,400,000.00 | 40,000.00 | -2,366,400,000.00 | |
| 2133 | 8,000,000.00 | -124,800,000.00 | ||
| 2134 | 7, 200,000.00 | 8,000,000.00 | -43, 200,000.00 | |
| Итого по группе 213 | 197,600,000.00 | 8,040.000.00 | -2,534,400,000.00 | |
| Итого 2140 | 16,000,000.00 | -58,400,000.00 | ||
| Итого 2150 | 140,000,000,00 | 12,000,000.00 | -261,600,000.00 | |
| 2162 | -2,000,000.00 | |||
| 2163 | -6,400,000.00 | |||
| Итого по группе 216 | -8,400,000.00 | |||
| 2172 | 400,000.00 | -4,800,000.00 | ||
| 2173 | 54,000,000.00 | -186,000,000.00 | ||
| 2175 | 4,400,000.00 | -4,400,000.00 | ||
| Итого по группе 217 | 58,800,000.00 | -235, 200,000.00 | ||
| 2182 | 20,000.00 | 40,000.00 | -200,000.00 | |
| 2183 | 400,000.00 | 200,000.00 | -9,600,000.00 | |
| 2185 | 200,000.00 | 400,000.00 | -2,400,000.00 | |
| Итого по группе 218 | 620,000.00 | 640,000.00 | -12, 200,000.00 | |
| 2192 | 800.00 | 1, 200.00 | -8,400,000.00 | |
| 2193 | 12,000.00 | 6,000.00 | -10,400,000.00 | |
| 2195 | 6,000.00 | 12,000.00 | -800,000.00 | |
| Итого по группе 219 | 18,800.00 | 19, 200.00 | -19,600,000.00 | |
| Итого по группе 21 | 455,038,800.00 | 24,699, 200.00 | -4,231,800,000.00 | |
| Итого 2320 | 4,000,000.00 | 800,000.00 | -6,000,000.00 | |
| Итого 2330 | 10,000,000.00 | 1,600,000.00 | -14,800,000.00 | |
| Итого 2350 | 2,000,000.00 | -4,400,000.00 | ||
| Итого 2393 | 40,000.00 | -120,000.00 | ||
| Итого по группе 23 | 16,040,000.00 | 2,400,000.00 | -25,320,000.00 | |
| Итого 2412 | 4,000,000.00 | 400,000.00 | -18,000,000.00 | |
| Итого 2421 | 4,000,000.00 | 800,000.00 | -6,000,000.00 | |
| Итого 2471 | 400,000.00 | 200,000.00 | -2,800,000.00 | |
| Итого 2491 | 200,000.00 | 40,000.00 | -400,000.00 | |
| Итого по группе 24 | 9,000,000.00 | 1,640,000.00 | -27, 200,000.00 | |
| Итого 2530 | 4,000,000.00 | 800,000.00 | -8,000,000.00 | |
| Итого 2573 | 200,000.00 | 80,000.00 | -800,000.00 | |
| Итого по группе 25 | 4, 200,000.00 | 880,000.00 | -8,800,000.00 | |
| Итого 2812 | -35,600,000.00 | |||
| Итого 2813 | -262,800,000.00 | |||
| Итого по группе 281 | -298,400,000.00 | |||
| Итого 2833 | -18,400,000.00 | |||
| Итого по группе 28 | -316,800,000.00 | |||
| Итого 2912 | 60,000.00 | 35,660,000.00 | ||
| Итого 2913 | 134,280,000.00 | |||
| Итого 2915 | 720,000.00 | |||
| Итого 2933 | 3,680,000.00 | 9, 200,000.00 | ||
| Итого по группе 29 | 3,680,000.00 | 179,860,000.00 | ||
| Итого по классу 2 | 484,038,800.00 | 32,699, 200.00 | -4,409,920,000.00 | 179,860,000.00 |
Приложение 10
Сведения о предоставленных кредитах в разрезе контрагентов, групп риска и расчет резерва на покрытие возможных потерь по активам, подверженным кредитному риску, по состоянию на 01/02/2005 г.
Таблица П.10.1 Сведения о предоставленных кредитах в разрезе контрагентов, групп риска и расчет резерва на покрытие возможных потерь по активам, подверженным кредитному риску, по состоянию на 01/02/2005 г.
Наименование контрагента |
Тип операции | Сумма по балансу, млн. руб. |
Отраслевая принадлежность | Группа риска |
Расчетная сумма резерва, млн. руб. | Сумма фактически созданного резерва, млн. руб. |
|
| ООО "Госнип" | Проданы векселя с отсрочкой оплаты | 42,0 | торговля | I | 0 | 0 | |
| ЗАО "Славянка" | Факторинг КО | 18,0 | промышленность | I | 0 | 0 | |
| ООО "Риадар" | Краткосрочный кредит | 482,0 | промышленность | I | 0 | 0 | |
| ИП Швец А.Н. | Краткосрочный кредит | 440,0 | промышленность | I | 0 | 0 | |
ИП Соловец М.Е. ООО "Сакуб" |
Долгосрочный кредит | 612,8 | строительство | I | 0 | 0 | |
| Долгосрочный кредит | 9,6 | II | 2,88 | 2,88 | |||
| ЗАО "Агропромцентр" | Долгосрочный кредит | 544,0 | строительство | I | 0 | 0 | |
| СП "Фидэя" | Краткосрочный кредит | 35,6 | промышленность | IV | 35,6 | 35,6 | |
| ООО "Трианика" | Долгосрочный кредит | 640,0 | промышленность | I | 0 | 0 | |
| ЗАО "Евроэксима" | Долгосрочный кредит | 720,0 | транспорт | I | 0 | 0 | |
| ООО "Плантея" | Долгосрочный кредит | 217,6 | строительство | I | 0 | 0 | |
| ПКФ "Навигатор" | Исполненная гарантия | 66,4 | сельское хозяйство | I | 0 | 0 | |
| ООО "Витаден" | Долгосрочный кредит | 262,8 | транспорт | III | 131,4 | 131,4 | |
ЗАО "Импортсервис" ОАО "Связьстрой" |
Лизинг | 281,6 | транспорт | I | 0 | 0 | |
| Лизинг | 2,4 | II | 0,72 | 0,72 | |||
ОАО "Стеатит" ООО "Дипамм" |
Долгосрочный кредит | 54,8 | транспорт | I | 0 | 0 | |
| Лизинг | 24,0 | I | 0 | 0 | |||
| ООО "Трианад" | Краткосрочный кредит | 26,0 | сфера услуг | I | 0 | 0 | |
| ООО "Сантанас" | Долгосрочный кредит | 18,4 | торговля | II | 5,52 | 5,52 | |
| ООО "Госнип" | Краткосрочный кредит | 22,0 | сфера услуг | I | 0 | 0 | |
| ЗАО "Славянка" | Краткосрочный кредит | 0,2 | сфера услуг | I | 0 | 0 | |
| ООО "Риадар" | Долгосрочный кредит | 46,4 | связь | I | 0 | 0 | |
| Физические лица | Потребительские и прочие кредиты | 28,0 | - | I | 0 | 0 | |
| Некоммерческие организации | Долгосрочные кредиты | 12,0 | - | I | 0 | 0 | |
| Итого: | 4606,6 | 176,12 | 176,12 | ||||
Приложение 11
Сведения о предоставленных кредитах в разрезе контрагентов, групп риска и расчет резерва на покрытие возможных потерь по активам, подверженным кредитному риску, по состоянию на 01/03/2005 г.
Таблица М.1 Сведения о предоставленных кредитах в разрезе контрагентов, групп риска и расчет резерва на покрытие возможных потерь по активам, подверженным кредитному риску, по состоянию на 01/03/2005 г.
Наименование контрагента |
Тип операции | Сумма по балансу, млн. руб. |
Отраслевая принадлежность | Группа риска |
Расчетная сумма резерва, млн. руб. |
Сумма фактически созданного резерва, млн. руб. |
| ООО "Госнип" | Проданы векселя с отсрочкой оплаты | 42,0 | торговля | I | 0 | 0 |
| ЗАО "Славянка" | Факторинг КО | 18,0 | промышленность | I | 0 | 0 |
| ООО "Риадар" | Краткосрочный кредит | 462,0 | промышленность | I | 0 | 0 |
| ИП Швец А.Н. | Краткосрочный кредит | 420,0 | промышленность | I | 0 | 0 |
ИП Соловец М.Е. ООО "Сакуб" |
Долгосрочный кредит | 572,8 | строительство | I | 0 | 0 |
| Долгосрочный кредит | 9,6 | II | 2,88 | 2,88 | ||
| ЗАО "Агропромцентр" | Долгосрочный кредит | 504,0 | строительство | I | 0 | 0 |
| СП "Фидэя" | Краткосрочный кредит | 35,6 | промышленность | IV | 35,6 | 35,6 |
| ООО "Трианика" | Долгосрочный кредит | 600,0 | промышленность | I | 0 | 0 |
| ЗАО "Евроэксима" | Долгосрочный кредит | 680,0 | транспорт | I | 0 | 0 |
| ООО "Плантея" | Долгосрочный кредит | 177,6 | строительство | I | 0 | 0 |
| ПКФ "Навигатор" | Исполненная гарантия | 58,4 | сельское хозяйство | I | 0 | 0 |
| ООО "Витаден" | Долгосрочный кредит | 262,8 | транспорт | III | 131,4 | 131,4 |
ЗАО "Импортсервис" ОАО "Связьстрой" |
Лизинг | 261,6 | транспорт | I | 0 | 0 |
| Лизинг | 2,4 | II | 0,72 | 0,72 | ||
ОАО "Стеатит" ООО "Дипамм" |
Долгосрочный кредит | 14,8 | транспорт | I | 0 | 0 |
| Лизинг | 4,0 | I | 0 | 0 | ||
| ООО "Трианад" | Краткосрочный кредит | 6,0 | сфера услуг | I | 0 | 0 |
| ООО "Сантанас" | Долгосрочный кредит | 18,4 | торговля | III | 9,2 | 9,2 |
| ООО "Госнип" | Краткосрочный кредит | 2,0 | сфера услуг | I | 0 | 0 |
| ЗАО "Славянка" | Краткосрочный кредит | 0,2 | сфера услуг | II | 0,06 | 0,06 |
| ООО "Риадар" | Долгосрочный кредит | 6,4 | связь | I | 0 | 0 |
| Физические лица | Потребительские и прочие кредиты | 24,0 | - | I | 0 | 0 |
| Некоммерческие организации | Долгосрочные кредиты | 8,0 | - | I | 0 | 0 |
| Итого: | 4190,6 | 179,86 | 179,86 | |||
Приложение 12
Расчёт коэффициентов, характеризующих качество кредитного портфеля филиала №1 ОАО "Банк Альфа" на 01.04.2005
Таблица Н.1 Расчёт коэффициентов, характеризующих качество кредитного портфеля филиала №1 ОАО "Банк Альфа" на 01.04.2005
| № п/п | Расчёт | Коэффициент | Значение,% | Оптимум,% |
| 1 | 17184247,4-11896794/32015341,0 | K11 | 16,5 | 0,6-1,4 |
| 2 | 17184247,4-11896794/63249686,5 | К12 | 8,4 | 10-20 |
| 3 | 17184247,4-11896794/31614158,0 | К13 | 16,7 | 2-3,5 |
| 4 | 17184247,4/31614158,0 | К14 | 54,4 | Средняя величина по системе |
| 5 | 401183,0/63249686,5 | К15 | 0,6 | 0,5-3 |
| 6 | 401183,0/32015341,0 | К16 | 1,3 | 3-7 |
| 7 | 32015341,0/36226537,0 | К17 | 88 | Среднее значение по системе |
| 8 | 32015341,0/63249686,5 | К18 | 51 | 40-60 |
| 9 | 20420501,5/32015341,0 | К19 | 64 | 60-70 |
| 10 | 308411,4/286717,1 | К20 | 108 | Среднее значение по системе |
| 11 | 1280614,6/401183,0 | К21 | 319 | Нет |
| 12 | 1280614,6/1280614,6 | К22 | 100 | 100 |
| 13 | 1280614,6/32015341,0 | К23 | 4 | 0,9-5 |
| 14 | 96045,5/32015341,0 | К24 | 0,3 | 0,25-1,5 |
| 15 | 96045,5/81281,7 | К25 | 118,2 | Нет |
Примечание. Источник: [собственная разработка на основе данных таблиц 1.13, 1.14, 1.15, 2.9]
