Реферат: Преобразование Лапласа
|
Название: Преобразование Лапласа Раздел: Рефераты по математике Тип: реферат | ||||||||||||||||||||||||||||||||||||||||||||||||||||||||||||||||||||||||||||||||||||||||||||||||||||||||||||||||||||||||
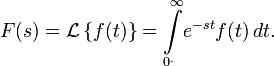
Федеральное агентство по образованию Государственное образовательное учреждение высшего профессионального образования ТОМСКИЙ ПОЛИТЕХНИЧЕСКИЙ УНИВЕРСИТЕТ Кафедра 21 Реферат на тему:«Преобразование Лапласа» Выполнила студентка гр.0850 Киселева Ю.В. Проверил: доцент Данейкин Ю.В. Томск, 2008г. Введение Преобразование Лапласа — интегральное преобразование, связывающее функцию Одной из особенностей преобразования Лапласа, которые предопределили его широкое распространение в научных и инженерных расчётах, является то, что многим соотношениям и операциям над оригиналами соответствуют более простые соотношения над их изображениями. 1. Прямое преобразование Лапласа Преобразованием Лапласа функции действительной переменной
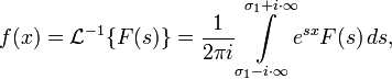
Правая часть этого выражения называется интегралом Лапласа. 2. Обратное преобразование Лапласа Обратным преобразованием Лапласа функции комплексного переменного
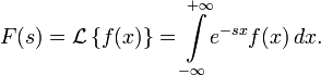
где 3. Двустороннее преобразование Лапласа Двустороннее преобразование Лапласа — обобщение на случай задач, в которых для функции Двустороннее преобразование Лапласа определяется следующим образом:
4. Дискретное преобразование Лапласа Применяется в сфере систем компьютерного управления. Дискретное преобразование Лапласа может быть применено для решётчатых функций. · Пусть
решётчатая функция, то есть значения этой функции определены только в дискретные моменты времени
· Если применить следующую замену переменных:
получим Z-преобразование:
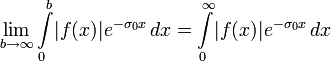
· Абсолютная сходимость Если интеграл Лапласа абсолютно сходится при σ = σ0 , то есть существует предел
то он сходится абсолютно и равномерно для · Условия существования прямого преобразования Лапласа Преобразование Лапласа 1. Случай
2. Случай σ > σa : преобразование Лапласа существует, если интеграл
существует для каждого конечного x1
> 0 и 3. Случай σ > 0 или σ > σa (какая из границ больше): преобразование Лапласа существует, если существует преобразование Лапласа для функции f'(x) (производная к f(x)) для σ > σa . Примечание: это достаточные условия существования. · Условия существования обратного преобразования Лапласа Для существования обратного преобразования Лапласа достаточно выполнение следующих условий: 1. Если изображение F(s) — аналитичная функция для
2. Пусть
так что аналитична относительно каждого zk и равна нулю для
тогда обратное преобразование существует и соответствующее прямое преобразование имеет абсциссу абсолютной сходимости. Примечание: это достаточные условия существования. · Теорема о свёртке Преобразованием Лапласа свёртки двух оригиналов является произведение изображений этих оригиналов.
· Умножение изображений
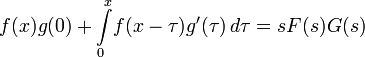
Левая часть этого выражения называется интегралом Дюамеля, играющим важную роль в теории динамических систем. · Дифференцирование и интегрирование оригинала Изображением по Лапласу первой производной от оригинала по аргументу является произведение изображения на аргумент последнего за вычетом оригинала в нуле справа.
В более общем случае (производная n-го порядка):
Изображением по Лапласу интеграла от оригинала по аргументу является изображение оригинала деленное на свой аргумент.
· Дифференцирование и интегрирование изображения. Обратное преобразование Лапласа от производной изображения по аргументу есть произведение оригинала на свой аргумент, взятое с обратным знаком.
Обратное преобразование Лапласа от интеграла изображения по аргументу есть оригинал этого изображения, деленный на свой аргумент.
· Запаздывание оригиналов и изображений. Предельные теоремы Запаздывание изображения:
Запаздывание оригинала:
Примечание: u(x) — Функция Хэвисайда. Теоремы о начальном и конечном значении (предельные теоремы):
Все полюсы в левой полуплоскости. Теорема о конечном значении очень полезна, так как описывает поведение оригинала на бесконечности с помощью простого соотношения. Это, к примеру, используется для анализа устойчивости траектории динамической системы.
· Другие свойства Линейность
Умножение на число
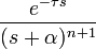
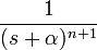
6. Прямое и обратное преобразование Лапласа некоторых функций Ниже представлена таблица преобразования Лапласа для некоторых функций.
Примечания к таблице: · · · · · · · · Причинная система — система, в которой импульсная передаточная функция h(t) равна нулю для любого момента времени 7. Применения преобразования Лапласа Преобразование Лапласа находит широкое применение во многих областях математики (операционное исчисление), физики и техники. · Решение систем дифференциальных и интегральных уравнений с помощью преобразования Лапласа легко переходить от сложных понятий математического анализа к простым алгебраическим соотношениям. · Расчёт передаточных функций динамических систем, таких, к примеру, как аналоговые фильтры. · Расчёт выходных сигналов динамических систем в теории управления и обработке сигналов — так как выходной сигнал линейной стационарной системы равен свёртке её импульсной характеристики с входным сигналом, преобразование Лапласа позволяет заменить эту операцию на простое умножение. · Расчёт электрических схем. Производится путём решения дифференциальных уравнений, описывающих схему операторным методом. · Решение нестационарных задач математической физики. 8. Связь с другими преобразованиями Фундаментальные связи Практически все интегральные преобразования имеют схожую природу и могут получаться одно из другого через выражения соответствия. Многие из них являются частными случаями других преобразований. Далее даны формулы, связывающие преобразования Лапласа с некоторыми другими функциональными преобразованиями. Преобразование Лапласа-Карсона Преобразование Лапласа-Карсона получается из преобразования Лапласа путём домножения его на комплексную переменную.
Двустороннее преобразование Лапласа Двустороннее преобразование Лапласа
Преобразование Фурье Непрерывное преобразование Фурье эквивалентно двустороннему преобразованию Лапласа с комплексным аргументом s = iω:
Примечание: в этих выражениях опущен масштабирующий множитель
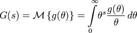
который часто включается в определения преобразования Фурье. Связь между преобразованиями Фурье и Лапласа часто используется для того, чтобы определить частотный спектрсигнала или динамической системы. Преобразование Меллина Преобразование Меллина и обратное преобразование Меллина связаны с двусторонним преобразованием Лапласа простой заменой переменных. Если в преобразовании Меллина
положим θ = e − x , то получим двустороннее преобразование Лапласа. Z-преобразование — это преобразование Лапласа решётчатой функции, производимое с помощью замены переменных:
где Преобразование Бореля Интегральная форма преобразования Бореля идентична преобразованию Лапласа, существует также обобщённое преобразование Бореля, с помощью которого использование преобразования Лапласа распространяется на более широкий класс функций. 9. Преобразование Лапласа по энергии Запишем уравнение
для моноэнергетического источника S(E)=d(E-E0 ) с интегральным членом в форме:
и, не пренебрегая для простоты зависимостью сечений Σ(E) и
от E, перейдем от E к новой переменной D=
Ф(D)=Ф(E) Решение этого уравнения можно получить с помощью преобразования Лапласа по энергии:
Его можно рассматривать как разложение дифференциальной плотности потока по системе биортогональной функции Подействуем на все члены уравнения (1) оператором
В соответствии с (3) первый член преобразования к виде
Во втором члене необходимо изменить порядок интегрирования и в интеграле по в сделать замену переменных
Тогда он приведется к виду
где -трансформанта Лапласа от дифференциального сечения рассеяния. Правая часть уравнения (1) легко преобразуется, после чего получаем
Откуда
Подставляя (5) в (2), находим интересующую нас функцию Ф(D):
Если сечение
быстро убывает с ростом Q экспоненту в (4) можно разложить в ряд. Тогда
где
Тогда (6) перейдет в:
Вычисляя, интеграл с помощью вычетов и возвращаясь от переменной
Экспонента в формуле (7) есть вероятность того, что частица избежит поглощения на пути, где энергия меняется от Е0 до Е. Если сечение поглощения равно нулю, то
Формула (8) имеет простой физический смысл. По определению Ф(E)=dE есть средний путь, пройденный частицей за время, пока ее энергия меняется от E+dE до E. В приближении непрерывного замедления dE/dl=b, откуда dl/dE=1/b, что совпадает с (8). 10. Преобразование Лапласа по координатам Запишем кинетическое уравнение в приближении «прямо-вперед» (т.е. без учета отклонения частиц при рассеянии), для частиц, испускаемых моноэнергетическим источником, который находится в начале координат:
Поскольку частицы испускаются в положительном направлении оси Оz, в области z<0 плотность потока равна 0 и область изменения z в уравнении (208) следует считать полубесконечный интервал (0,¥). Это обстоятельство позволяет применить для решения уравнения (208) преобразование Лапласа по координатам:
где трансформанта Лапласа Ф(l,E) выражается через плотность потока следующим образом:
Умножим обе части уравнения (208) на
После преобразования Лапласа остальных членов уравнения (208) приходим к уравнению для трансформанты плотности потока:
которое в отличие от (208) не содержит производных и является интегральным уравнением типа уравнения деградации энергии. Введя обозначение
Перепишем уравнение (312) в виде
При действительных
Из (213) видно, что по мере уменьшения l
Если выполняется условие
то для трансформанты рассеянной компоненты плотности потока получим
Если
Перейдем к восстановлению энергетического спектра рассеянных частиц:
гдеRel=C>- Введем обозначения
Тогда формула (217) примет вид:
Функция
где I1 - модифицированная функция Бесселя первого порядка. Таким образом
В частности, при малых значениях аргумента I1
(x)
При больших значениях аргумента
Из (219)-(221) видно, что с увеличением z отношение рассеянного излучения к нерассеянному возрастет сначала линейно (когда главную роль играет однократное рассеяние), затем более сложным образом, причем низкоэнергетическая часть спектра, обусловленная многократным рассеянием, растет быстрее высокоэнергетической. Список литературы 1. А.М. Кольчужкин, В.В. Учайкин «Введение в теорию прохождения частиц через вещество». М., Атомиздат,1978, 256с. 2. В.Н.Русак «Математическая физика», Минск, 1998 3. Деч Густав «Руководство к практическому применению Лапласа и Z-преобразования».М.:Наука,1971 4. Л.Г. Смышляева «Преобразования Лапласа функций многих переменных» Изд-во ЛГУ, 1981 |
















(2)
(3)


(210)
(211)
(212)
(215)
(218)