Дипломная работа: Совершенствование системы управления закупками на предприятии ОАО Новосибирская макаронная фабрика
|
Название: Совершенствование системы управления закупками на предприятии ОАО Новосибирская макаронная фабрика Раздел: Рефераты по маркетингу Тип: дипломная работа | |||||||||||||||||||||||||||||||||||||||||||||||||||||||||||||||||||||||||||||||||||||||||||||||||||||||||||||||||||||||||||||||||||||||||||||||||||||||||||||||||||||||||||||||||||||||||||||||||||||||||||||||||||||||||||||||||||||||||||||||||||||||||||||||||||||||||||||||||||||||||||||||||||||||||||||||||||||||||||||||||||||||||||||||||||||||||||||||||||||||||||||||||||||||||||||||||||||||||||||||||||||||||||||||||||||||||||||||||||||||||||||||||||||||||||||||||||||||||||||||||||||||||||||||||||||||||||||||||||||||||||||||||||||||||||||||||||||||||||||||||||||||||||||||||||||||||||||||||||||||||||||||||||||||||||||||||||||||||||||||||||||||||||||||||||||||||||||||||||||||||||||||||||||||||||||||||||||||||||||||||||||||||||||||||||||||||||||||||||||||||||||||||||||||||||||||||||||||||||||||||||||||||||||||||||||||||||||||||||||||||||||||||||||||||||||||||||||||||||||||||||||
Введение Начиная с семидесятых годов двадцатого столетия, наблюдается возрастание значимости закупок в деятельности предприятий, особенно в промышленно развитых странах. Из преимущественно канцелярской, рутинной функции закупки превращаются в функцию большой стратегической важности, осуществляемую, как правило, на принципах долгосрочных партнерских взаимоотношений. Тенденция, существенно изменившая место и содержание закупочной деятельности на промышленных предприятиях, во многом формируется под воздействием следующих основных факторов: – постоянный рост удельного веса затрат на приобретаемые материально-технические ресурсы в общем объёме затрат промышленных предприятий; – повышение уровня технической сложности закупаемых продуктов и компонентов, а также увеличение сложности освоения их производства предприятиями - поставщиками; – усиление специализации при производстве промышленной продукции и возрастание доли связей по технологической кооперации в системе связей по поставкам продукции производственно-технического назначения; – увеличение частоты смен базовых моделей продукции, производимых промышленными предприятиями; – усиление конкурентной борьбы на рынках товаров производственного назначения, требующей повышения качества закупаемых исходных ресурсов для производства конкурентоспособного конечного продукта; – активизация использования предприятиями в своей коммерческой деятельности логистических технологий, требующих нового, более высокого уровня взаимодействия поставщиков с предприятиями - покупателями; – всё более широкое применение маркетинговых подходов при осуществлении закупочной деятельности промышленных предприятий; – рост значения и расширение практики использования конкурентных закупок в коммерческой деятельности промышленных предприятий; – активизация использования в закупочной деятельности методологии прокьюремента и, как следствие, повышение внимания к коммуникационным технологиям, способствующим привлечению поставщиков к участию в конкурентных закупочных процедурах; – расширение практики формирования предприятиями - покупателями (фокусными предприятиями) управляемых ими цепей поставок; – ориентация всё большего числа предприятий - покупателей на установление длительных взаимоотношений с ограниченным количеством тщательно отобранных, внушающих доверие поставщиков. Деятельность предприятия - покупателя как в странах с высоким уровнем развития экономики, так и в Российской Федерации трансформируется, естественно, с некоторой разницей в темпах, из приобретения на рынке необходимых для осуществления производственного процесса материально-технических ресурсов в выбор поставщиков - партнёров как гарантов стабильного, контролируемого и регулируемого процесса обеспечения постоянного наличия необходимых покупателю исходных ресурсов производства, и в управление поставщиками и их рыночным предложением в ходе активного информационного взаимодействия с ними. Таким образом, от того, насколько правильно предприятие организует систему управления закупками, зависит вся дальнейшая деятельность и успешное развитие предприятия. Целью написания выпускной квалификационной работы является изучение теоретических основ управления снабжением, анализ системы управления закупками на ОАО «Новосибирская макаронная фабрика», разработка рекомендаций по ее совершенствованию и оценка эффективности новой системы управления закупками на предприятии. Для реализации поставленной цели решаются следующие задачи:- изучить экономическую сущность и особенности управления закупками на предприятии; - исследовать формы и методы снабжения предприятия материальными ресурсами; - провести анализ системы управления закупками на ОАО «Новосибирская макаронная фабрика»; - разработать рекомендации по совершенствованию системы управления закупками на предприятии; - оценить эффективность новой системы управления закупками на предприятии. Объект исследования – ОАО «Новосибирская макаронная фабрика», которое выпускает макароны, полностью соответствующие мировым стандартам. Предметом исследования является процесс управления закупками на предприятии. Методологической базой послужили труды ведущих российских и зарубежных авторов в области материально-технического снабжения деятельности предприятия, таких как: Афанасьева Н.В., Балашевич М.И., Баско И.М., Висюлин Ф.П., Дилфорт Д., Кирсанов В.Н., Фатхутдинов Р.А. Информационной базой послужили данные управленческого и бухгалтерского учета общества с ограниченной ответственностью ОАО «Новосибирская макаронная фабрика». Практическая значимость заключается в том, что разработанные рекомендации позволят совершенствовать систему управления закупками, повысят эффективность процессов снабжения на предприятии. Актуальность, цель, задачи, предмет, объект обусловили структуру выпускной квалификационной работы. Работа состоит извведения, трех глав, заключения, списка использованных источников и приложений. В первой главе выпускной квалификационной работы рассмотрены общетеоретические основы управления закупками. Она содержит исследование понятия закупок, структуру системы управления закупками, особенности и так далее. Основной частью этой главы является изучение места и роли управления закупками в системе производственного менеджмента предприятия. Здесь рассмотрены цели, задачи, формы, методы, структура управления снабжением, сущность и планирование производственных запасов. Во второй главе проводится анализ системы управления закупками ОАО «Новосибирская макаронная фабрика». Здесь дана общая характеристика общества с ограниченной ответственностью, динамика структуры и численности персонала, организационная структура управления предприятием, формы снабжения и прочее. Проведен анализ элементов управления закупками на предприятии с позиций их эффективности. В третьей главе работы разработаны рекомендации по совершенствованию системы управления закупками на предприятии и произведена оценка их эффективности. глава 1. Место и роль системы управления закупками в деятельности предприятия в современных условиях 1.1 Экономическое содержание закупочной деятельности на предприятии Рациональная организация закупок в значительной мере предопределяет на предприятии уровень использования средств производства, рост производительности труда, снижение себестоимости продукции, увеличение прибыли и рентабельности. Этим определяется роль и значение закупок в системе управления предприятием. Закупочная деятельность предприятия - деятельность предприятия - покупателя по приобретению исходных факторов производства на рынке поставщиков. Закупочная деятельность это достаточно динамично развивающаяся сфера коммерческой работы промышленного предприятия, и за рубежом и в России она прошла целый ряд этапов своего развития. Только за последние сорок лет в теории закупок сменились семь основных философских концепций, отображающих эволюцию подходов к логике и содержанию закупочной деятельности промышленных предприятий [6, c. 223]. В рамках решения поставленных задач, рассмотрим основные этапы развития закупочной деятельности в нашей стране (табл. 1.1). Таблица 1.1 – Этапы развития закупочной деятельности в СССР и Российской Федерации
Этап «Зрелость» развития закупочной деятельности в нашей стране будет представлен, по нашему мнению, двумя его ступенями, в связи с тем, что Россия достаточно быстро догоняя в области организации закупок, наиболее экономически продвинутые страны, вошла в этап «Зрелость I» с большим количеством проблем и нерешённых практических и теоретических задач в этой сфере, а также с достаточно низким уровнем профессиональной подготовки работников закупочных служб промышленных предприятий. Тормозит развитие закупочной деятельности в хозяйственной практике российских промышленных предприятий и отсутствие должного внимания к ней со стороны современной экономической науки. Например, рыночная коммуникационная составляющая закупок, без которой, как показывает анализ тенденций развития закупочных процессов в промышленно развитых странах, повышение результативности коммерческой работы промышленных предприятий в современных условиях становится практически невозможным, в теоретическом плане исследована явно недостаточно, что сдерживает практическое внедрение адекватных закупочных технологий. Переход к этапу «Зрелость II», который по содержанию будет включать в себя создание и управление цепями поставок и координацию деятельности поставщиков посредством формирования их интегрированных ассоциаций для российских промышленных предприятий дело несколько отдаленного будущего. Однако следует отметить, что Россия может пройти этот путь достаточно быстро, так как она имеет возможность воспользоваться опытом стран, уже прошедших его, и, следовательно, избежать ошибок, допущенных ими в этом процессе, а также применять на практике новейшие зарубежные научные разработки в области организации закупочной деятельности и управления цепями поставок. В последнее время в России наблюдается рост интереса предприятий негосударственного сектора к использованию конкурентных процедур при организации своей закупочной деятельности. Подобная тенденция объясняется, в частности, тем фактом, что при правильном проведении конкурентных закупок достигаемая экономия средств заказчика может составлять в среднем от 5 до 15 %, а по утверждениям зарубежных специалистов до 40 %. По данным российских консалтинговых фирм число обращений негосударственных предприятий к консультантам по вопросам регламентирования закупок и организации проведения конкурентных закупочных процедур ощутимо растёт, что также подтверждает наличие вышеназванной тенденции [3, с. 25]. Предметом закупок служат средства производства или материальные ресурсы, потребляемые в процессе производства. Они подразделяются на предметы труда (сырье, материалы, полуфабрикаты, топливо и тому подобное) и средства труда (машины, механизмы, оборудование, транспортные средства и тому подобное) [25, c. 9]. Снабжение производства необходимыми материальными ресурсами является начальным звеном производственного процесса, а сбыт готовой продукции - его завершением. Под закупочной деятельностьюпредприятия понимается процесс обеспечения его всеми видами материально-технических ресурсов в требуемые сроки и в объемах, необходимых для нормального осуществления его производственно - хозяйственной деятельности. От организации закупок, своевременности поступления материальных ресурсов в производство в необходимом ассортименте, количестве и должного качества в значительной мере зависят равномерный и ритмичный выпуск готовой продукции, ее качество и эффективность деятельности коллектива предприятия [34, с. 223]. Хорошо организованная закупочная деятельность оказывает большое влияние на все стороны производственной и финансовой деятельности предприятия. Нарушение ритмичности закупок не позволяет вести нормальное производство, вызывает простои предприятий, цехов, участков – снижает эффективность материального производства. Правильная организация закупок способствует повышению технического уровня производства, быстрейшему внедрению и освоению новых видов техники, оборудования, усовершенствованию всех технологических процессов, укреплению финансово-экономического положения предприятия [2, c. 10]. В закупках, как в любом производственном процессе, участвуют: труд рабочих и служащих (транспортировка, погрузка, разгрузка, хранение, расфасовка, учет), средства труда (склады, хранилища, транспортные средства, машины, механизмы, оборудование, инвентарь, вычислительная техника), предметы труда (топливо, горючее, ремонтные, упаковочные, строительные материалы) [29, с. 11]. Конечной целью закупочной деятельности должно быть увеличение прибыли предприятия. Предпринимателю, никогда не упуская из виду эту цель, следует сосредоточить все усилия на том, чтобы сделать выбор тех материалов, услуг и источников снабжения, которые лучше всего удовлетворяют его потребности при наименьших издержках и надлежащем качестве. Роль закупок становится особенно понятной, если мы сравним издержки на приобретение материалов и услуг с издержками по другим статьям (рис. 1.1).
Рисунок 1.1 – Доля закупок в объеме продаж для производственных компанийЗакупки – это нечто большее, чем просто акт купли. Для этого надо обладать множеством различных навыков, в том числе умением точно прогнозировать потребности и поддерживать хорошие взаимоотношения с поставщиками. Полезно также умение работать с компьютером, так как многие процедуры осуществления закупок можно упростить именно с помощью компьютера. Экономия на затратах по закупкам может привести к существенному росту прибыли, как это показано в таблице 1.2 [16, c. 558]. Таблица 1.2 – Экономия на закупках для предпринимателя
Отметим, что если отношение прибыли к величине продаж составляет всего 2%, то экономия в 1000 рублей, полученная на закупках, будет эквивалентна прибыли, получаемой от увеличения продаж на 50 тысяч рублей. В широком смысле закупочная деятельность включает также точную оценку потребности в материалах и услугах; поиск и отбор соответствующих поставщиков; согласование с поставщиками таких вопросов, как, например, цены и сроки поставок; обсуждение условий контрактов и заказов; ясное понимание того, будет ли фирма-поставщик надежным партнером в течение всего срока действия договора [18, c. 110]. Классическим примером эмпирического подхода к практике закупочной деятельности может служить правило приобретать товары и услуги нужного качества, в нужном количестве, в нужное время, у нужного поставщика и по нужной цене (рис. 1.2).
Рисунок 1.2 – Задачи управления закупками Если производственные предприятия, оптовики и розничные торговцы полностью соблюдают перечисленные выше принципы закупок, то им, по всей вероятности, обеспечен успех в их закупочной деятельности [5, c. 85]. Задачи закупочной деятельности и их характеристика представлены в приложении А. Эффективность управления закупками достигается в том случае, если предприятие хорошо осведомленно обо всех полученных заказах и всех выполненных поставках; о темпах использования закупленных материалов; о поставляемых количествах и циклах поставок; об именах поставщиков и ценах на их товары; о цикличности заказов и заказанных количествах; об изделиях, возвращенных заказчиками. Схема реализации модуля «Управление закупками» (Снабжение) представлена в приложении Б. Предприятие должно контролировать ход закупок, по меньшей мере, один раз в год, при этом оно должно получить ответы на два ключевых вопроса: - В какой мере затраты компании на приобретение сопоставимы с затратами конкурентов? - Каковы потери от усадки, брака и краж? Простым способом измерения эффективности закупочной деятельности является сопоставление себестоимости продаваемой продукции компании со средним показателем по отрасли [39, c. 8]. Такие среднеотраслевые показатели, публикуемые ежегодно торгово-промышленными ассоциациями и профессиональными объединениями, могут быть использованы в качестве сравнительных нормативов. Основной задачей предприятия по организации и управлению закупками является своевременное, бесперебойное и комплектное снабжение производства всеми необходимыми материальными ресурсами для осуществления производственного процесса в точном соответствии с утвержденными плановыми заданиями. При этом сам процесс снабжения должен осуществляться при минимальных транспортно-складских расходах и наилучшем использовании материальных ресурсов в производстве. В практике работы предприятий различают две формы снабжения: транзитную и складскую [35, с. 15]. При транзитнойформе снабжения предприятие получает сырье и материалы непосредственно от предприятий, их добывающих, облагораживающих или производящих. Применение этой формы экономически оправдано во всех случаях, когда потребное на данный отрезок времени количество сырья и материалов равно транзитной норме или больше ее. Складскуюформу снабжения, при которой необходимые материальные ресурсы предприятие получает с баз и складов снабженческо-сбытовых организаций, экономически целесообразно использовать для материалов, потребляемых в небольших количествах. В настоящее время преобладает транзитная форма поставок. Однако, усиливается тенденция снижения ее удельного веса за счет роста складских поставок. Транзитная форма снабжения в современных условиях хозяйствования имеет ряд недостатков. В частности, поставки осуществляются строго в соответствии с транзитными нормами, что затрудняет организацию снабжения относительно мелких предприятий или в случае потребности в ресурсах меньшей транзитных норм поставок. При транзите имеются сложности в комплектном обеспечении потребителей средствами, поскольку в поставках обычно принимают участие несколько предприятий-поставщиков, не имеющих единого цикла, ритма производства и поэтому поставляющих продукцию в различные сроки [23, c. 16]. Материальные ресурсы поступают на железнодорожные склады или водную пристань, откуда потребители вынуждены забирать их и доставлять на свои склады собственным транспортом, что связано с немалыми расходами. Поставленная транзитом продукция сразу потребителями обычно не употребляется, что вынуждает их иметь дополнительные складские площади, подъемно-транспортные машины, механизмы, технологическое оборудование, штат складских работников. На предприятиях образуются сверхнормативные запасы материалов, на что отвлекаются оборотные средства. Складские поставки обеспечивают потребителей необходимыми материальными ресурсами в нетранзитных нормах. Это рационализирует сроки, количественные объемы отдельных поставок продукции, усиливает хозяйственную активность предприятий-потребителей, избавляет их от больших складских хозяйств. При этом создаются все предпосылки для достижения комплектности обеспечения производства средствами, так как потребитель получает ассортиментную продукцию не от нескольких, не связанных между собой, предприятий-поставщиков, а от одного – предприятия снабжения. Складская форма снабжения позволяет, при необходимости, изменить первоначальный заказ предприятий-потребителей. Отпуск средств со складов снабженческо-сбытовых организаций производится с большей частотой по сравнению с транзитной формой поставок, потому что объем разовой партии отпуска не регламентирован. Это повышает степень гарантии бесперебойного обеспечения производственных процессов. При складской форме снабжения значительно экономится время, затрачиваемое инженерно-техническими работниками предприятий-потребителей на транспортно-экспедиционные и снабженческие функции, сокращается документооборот, так как поставщик имеет хозяйственные связи с ограниченным числом получателей продукции – снабженческо-сбытовыми организациями [37, c. 17]. При выборе транзитных или складских поставок в конкретных случаях наиболее целесообразна та, которая обеспечивает непрерывность производственного процесса при оптимальных запасах средств и наименьших общественно-необходимых затратах. От выбора формы поставок зависит характер работы по реализации планов снабжения, структура хозяйственных связей, уровень материальных запасов, размещение складской сети, использование транспортных средств в поставках, величина заготовительных расходов. При выборе формы снабжения следует учитывать объем потребления каждого вида поставляемой продукции, действующие минимальные транзитные или заказные нормы отгрузки; величину транспортно-заготовительных расходов; наличие складов и средств механизации; уровень материальных затрат; наличие крупных транспортных коммуникаций; расстояние от пункта назначения до потребителя, от изготовителя до потребителя. 1.2 Формирование системы управления закупками материальных ресурсов Закупка материальных ресурсов массового спроса является сложным процессом, приводящим как к высоким прибылям, так и к значительным потерям. В этой связи на предприятии обязательным является формирование системы управления закупками материальных ресурсов, включающей методы и формы закупок; отбор поставщиков; стратегии управления запасами продукции и другие. Перечисленные компоненты являются основой для совершенствования подхода к управлению закупками и снабжением предприятия в конкретных условиях хозяйствования и позволяют повысить эффективность управления потребляемыми ресурсами. Важнейшим элементом системы снабжения предприятия, определяющим выбор метода закупок товарно-материальных ресурсов является модель управления запасами. Применение моделей управления запасами связано со спецификой отраслевого характера, а также с организационно-техническим уровнем предприятия. Не менее важным элементом эффективного управления процессом закупок и снабжения является выбор поставщиков материальных ресурсов для производственной деятельности (рис. 1.3).
Рисунок 1.3 – Формирование системы управления закупками материальных ресурсов Особенности современного бизнеса удорожают и усложняют ведение хозяйственной деятельности, что приводит к отказу предприятия заниматься им полностью самостоятельно. Поэтому, процессу выбора поставщиков должен предшествовать процесс разработки модели определяющей необходимость применения партнерства и различных его вариантов, либо отказ от таковых. При выборе типа партнерства, следует учитывать факторы, обеспечивающие мотивацию всех партнеров и позволяющие сторонам достичь желаемого результата. Только после определения типа партнерских отношений можно преступать к выбору поставщиков материальных ресурсов. Алгоритм выбора поставщиков включает следующие блоки. Блок 1. При формировании базы данных следует обратить внимание на сезонный характер спроса некоторых групп товаров, подверженных естественной убыли. Блок 2. Здесь предусматривается возможность выбора расчетной модели не только с учетом известных модификаций EOQ, но и с учетом ограничений и нелинейностей параметров, например, оптовые и дифференцированные скидки и другие мероприятия. Блок 3. После выбора модификации модели EOQ определяются зависимости для описания процессов поступления продукции, расхода запаса, дефицита, а также убыли. Естественная убыль может подчиняться не только линейной или экспоненциальной зависимости, но и иметь дискретный характер. Блок 4. Рассматриваются возможные варианты решения дифференциальных уравнений: аналитические, численные, а также известные пакеты программ для ПЭВМ. Блок 5. Включает определение составляющих общих затрат (организация заказа, хранение, убыль, дефицит) при различных вариантах их учета (рис. 1.4).
Рисунок 1.4 – Алгоритм расчета показателей оптимальной партии заказа продукции с учетом естественной убыли Блок 6. Расчет основных показателей модели: оптимальная партия заказа So , число заказов за рассматриваемый период N, периодичность заказов T, минимальные общие затраты и их составляющие, связанные с выполнением основных логистических операций. Блок 7. Включает формирование альтернативных вариантов. Предпочтительно использовать методы морфологического анализа с целью охвата большинства возможных вариантов подсистем и альтернатив для реализаций подсистем с последующим их ранжированием. Использование принципа обратной связи придает всему алгоритму необходимую цикличность, многовариантность и динамичность, отражает взаимосвязь и взаимовлияние параметров модели. Блок 8.Сравнение альтернативных вариантов и принятия решений с использованием одного или нескольких критериев (многокритериальная оценка); наиболее целесообразным при решении данной задачи является выбор критерия - минимизации общих логистических издержек. Представленный алгоритм может быть легко трансформирован и принят при решении других задач управления запасами, например, в случае многономенклатурных поставок, определения объема заказа с учетом инфляции и других. 1.3 Управление рисками в процессе закупки сырьевыми ресурсами Мировая практика показывает, что неблагоприятные изменения ценовых характеристик сырьевых ресурсов, использующихся в производственном процессе конкретного предприятия, оказывает сильное негативное влияние на эффективность его деятельности. Недопустимость сбоев, способных привести к снижению объемов производства, повышению себестоимости или его остановке, требует разработки и внедрения систем управления процессами закупки сырья, опирающихся на прогнозирование изменения ценовых характеристик сырья. Классификация традиционных инструментов управления сырьевыми рисками приведена на рисунке 1.5.
Рисунок 1.5 – Традиционные инструменты управления сырьевыми рисками Проведенный анализ, традиционных инструментов управления сырьевыми рисками, характерных для промышленных предприятий позволил сделать следующие выводы: - традиционным инструментам управления сырьевыми рисками, характерна «пассивность», т.к. они используются без каких либо обоснованных ожиданий относительно дальнейшего развития событий; - традиционные инструменты управления сырьевыми рисками носят характер «страхования» и позволяют избежать сырьевых рисков ценой многомиллионных расходов; - основным фактором при выборе инструмента, обеспечивающего его эффективность, является ожидание относительного будущего развития ценовой динамики сырьевых ресурсов; - использование метода управления основанного на анализе ценовой динамики в совокупности с традиционными инструментами управления рисками существенно повысит эффективность процесса управления закупками сырья. Российскими предприятиями используется планирование объемов сырьевого снабжения в соответствии с планом технологической потребности в сырье для производства. Данный подход эффективен в плановой экономике, где обмен сырьем производится в рамках единого собственника. Учитывая же рыночные особенности и изменчивость сырьевых рынков, заключенные сырьевые контракты от момента их заключения до момента их реализации многократно меняют свою рыночную стоимость, вследствие чего для повышения эффективности управления сырьевыми ресурсами, необходимо осуществлять непрерывное изменение и преобразование их формы (из натуральной в денежную, и обратно). Управляющие воздействия формируются на основе стратегий принятия решений и выражаются в форме решений о переводе сырьевых ресурсов из одной формы в другую, более предпочтительную с точки зрения предприятия, исходя из выбранных критериев, в качестве которых выступает доходность выбранной формы. Профессионально осуществлять подобное управление сырьевыми ресурсами, в рамках предприятия, возможно только опираясь на формализованные методы, позволяющие оценивать ожидания относительно проводимых операций, контролировать (ограничивать) рыночный риск, что позволяет обеспечить системность принятия решений и исключить пагубное влияние случайно принятых решений. Системный подход включает в себя рассмотрение процесса закупки сырья на предприятии, как генерацию финансовых результатов, формирующихся как отклики на суперпозицию управленческих решений. Системное описание процесса управления закупками сырья, изображенное на рисунке 1.6, позволяет учитывать риск, связанный с изменением ценовых характеристик сырьевых ресурсов посредством применения методов обработки временных рядов.
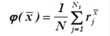
Рисунок 1.6 – Системное описание процесса управления закупками сырья Перевод сырьевых активов из одной формы в другую осуществляется посредством использования стратегии принятия решений, в основе которой лежат математические методы обработки ценовой динамики сырьевых ресурсов, набор алгоритмов формирующих управляющие воздействия и механизмы их реализации. Основная задача стратегии заключается в выявлении наилучших моментов для перевода сырьевых активов в различные формы, что сводится к поиску точек начала определенного ценового движения и точек его окончания, т.е. существенных ориентиров, способствующих принятию эффективного решения. Перечисленные элементы системы используются лицом принимающим решение (соответствующим подразделением организации) для формирования управляющих воздействий на предприятие в форме действий относительно имеющихся сырьевых контрактов для перевода их в наиболее доходную форму. Показатель эффективности стратегии определяется доходностью проводимых с ее помощью операций, т.е. приростом стоимости приобретенных с помощью нее сырьевых активов. Основная сложность такой оценки состоит в отсутствии функциональной связи между параметрами такой системы и оценкой показателя эффективности. В подобных условиях единственный способ расчета показателя эффективности системы при установленных параметрах x = {x1 , x2 ,…, xn }, состоит в оценке суммарной доходности сделок, проведенных с использованием этой стратегии, смоделированных на установленном историческом периоде. Очевидно, что данный показатель эффективности будет носить вероятностный характер. Показатель эффективности системы с параметрами x , может быть оценен с помощью статистических данных по N - последовательно заключенным сырьевым сделкам в определенный временной период по формуле (1.1).
N – количество последовательно заключенных сырьевых сделок;
Подобную оценку систем принятия решения в процессе закупки сырья, обращающихся на организованных товарных рынках, способны производить программные продукты Equis MetaStock, Omega Research TradeStation 2000. Глава 2. Анализ системы управления закупками на ОАО «Новосибирская макаронная фабрика» 2.1 Анализ внутренней среды компании Торговая марка Луканин и К ОАО Новосибирская макаронная фабрика (ОАО «НМФ») производит макаронные изделия полностью соответствующие мировым стандартам. Из них более 30 наименований высшего сорта и более 15 наименований диетических под новой торговой маркой Луканин и К. Макаронные изделия отмечены медалями и дипломами за высокое качество. Так, в 1998 году за производство российской продукции высокого качества фабрика получила Золотой диплом лауреата Всероссийского конкурса «100 лучших товаров России», а по объему выпуска продукции ОАО «Новосибирская макаронная фабрика» лидирует среди предприятий макаронной промышленности Сибири. Трудовые достижения коллектива неоднократно отмечались высокими наградами - дипломами и медалями Сибирской ярмарки (1996, 1997, 1998, 1999 годы), Омской торгово-промышленной палаты и международного выставочного центра «Интерсиб» (1996, 1999 годы), Томской международной ярмарки (1999 год). В ближайших планах этого динамично развивающегося предприятия - закупка новой линии по производству макарон, которая позволит не только увеличить их выпуск, но и значительно расширить ассортимент продукции, сохраняя при этом неизменно высокое качество изделий. Для производства используются специальные сорта муки, лучшие классические и новейшие технологии. Разрабатываются и внедряются новые виды упаковки. Вся продукция защищена сертификатом качества и известна далеко за пределами Новосибирской области: от Урала до Дальнего Востока и даже в Якутии. Традиции качества и достойной гордости за свою продукцию были заложены еще в начале века. Поэтому так естественно возвращение коллектива Новосибирской макаронной фабрики к торговой марке «Луканинъ» как к имени, означающему очень многое - ответственность, честь и работу на перспективу. Миссия и цели предприятия представлены на рисунке 2.1.
Рисунок 2.1 – Дерево целей ОАО «Новосибирская макаронная фабрика»Производство продукции является основным содержанием работы ОАО. В масштабе ОАО, в каждом из основных цехов организуется управление этим процессом. Содержательной и наиболее ответственной работой по управлению производством является планирование производства изделий, т.е. формирование цехам, участкам производственных программ и обеспечение необходимых условий для их выполнения. Эта работа в соответствии с установленными в каждом ОАО плановыми периодами, регулярно повторяясь, выполняется функциональными службами и линейными руководителями производственных подразделений. Организационная структура ОАО «Новосибирская макаронная фабрика» представлена на рисунке 2.2.
Рисунок 2.2 – Организационная структура ОАО «Новосибирская макаронная фабрика» Управленческий персонал отделов (бюро) ОАО и цехов, участвуя в этом процессе, осуществляет регламентацию всей совокупности указанных выше функций, форм и методов управления, использует необходимые рычаги воздействия для поддержания устойчивости производства и стимулы по активизации работы коллектива каждого подразделения в целях выполнения программы и достижения наибольшей эффективности производства на предприятии. Важное место в процессе деятельности предприятия ОАО «Новосибирская макаронная фабрика» имеет подбор руководящих работников предприятия, специалистов, определение их функций, прав, ответственности, наем на работу других сотрудников, установление форм и методов их стимулирования (мотивации), разработка правил внутреннего распорядка в соответствии с действующим законодательством, формирование условий и подсистем механизма функционирования предприятия. Персонал компании ОАО «Новосибирская макаронная фабрика» (ОАО «НМФ») - это опытные и квалифицированные специалисты. Кадровый состав организации приведен в таблице 2.1. Таблица 2.1 – Анализ кадрового состава ОАО «НМФ»
Анализ приведенных данных позволяет сделать следующие выводы. Численность персонала за 2007-2009гг. увеличилась по всем категориям: руководители – (+ 4 чел), специалисты – (+66 чел). В 2007г. на каждого руководителя в среднем приходилось по 33 специалиста, в 2008г. – 32 специалиста, в 2009г. – 29 специалистов (рис. 2.3). Рисунок 2.3 – Динамика численности персонала ОАО «Новосибирская макаронная фабрика» Увеличение количества руководителей связано с изменениями в организационной структуре предприятия и с появлением новых отделов. В целом прирост персонала за 2007 – 2009гг. составил 71 чел. или 9,5 %. Наибольший удельный вес в структуре персонала, как показано на рисунке 2.4, занимают специалисты. Рисунок 2.4 – Структура персонала ОАО «Новосибирская макаронная фабрика» по категориям В структуре персонала по полу наблюдаем преобладание женщин: 76 % женщин в 2009г. против 24 % мужчин (рис. 2.5). Рисунок 2.5 – Структура персонала ОАО «Новосибирская макаронная фабрика» по полу Положительным моментом является увеличение доли сотрудников компании с высшим образованием – с 85 % в 2007г. до 90 % в 2009г., что свидетельствует о высокой квалификации кадров. Остальные сотрудники компании имеют неполное высшее образование (рис. 2.6). Рисунок 2.6 – Уровень профессиональной подготовки персонала ОАО «Новосибирская макаронная фабрика» В компании приветствуется стремление к обучению, к совершенствованию своих профессиональных навыков, чтобы работали либо профессионалы своего дела, либо люди, желающие стать таковыми. Размер отчислений на заработную плату и социальное обеспечение работников ОАО «Новосибирская макаронная фабрика» представлен в таблице 2.2. Таблица 2.2 – Данные о численности и заработной плате сотрудников
Компания ОАО «Новосибирская макаронная фабрика» заинтересована в сотрудничестве со специалистами, имеющими значительный профессиональный опыт, первоклассное образование, лидерский потенциал и высокую мотивацию к труду и собственному развитию. В ОАО «Новосибирская макаронная фабрика» при выборе поставщиков сырья (мука) руководствуются следующими критериями (табл. 2.3). Таблица 2.3 - Критерии выбора поставщиков ОАО «НМФ»
На выбор поставщика влияют четыре группы факторов: - факторы окружающей экономической обстановки: уровень первичного спроса, экономическая перспектива, кредитные ставки, условия - материально-технического снабжения, политические события, деятельность конкурентов; - факторы особенностей частного предпринимательства: цели организации (стабильность, максимизация прибыли, увеличение товарооборота, открытие новых торговых точек) экономические факторы, принятые методы работы; - факторы межличностных отношений: отношения людей, принимающих участие в процессе закупки; - факторы индивидуальных особенностей менеджера, принимающего решение о закупке: возраст, уровень доходов, образование, служебное положение, тип личности, готовность рисковать. Вся работа с поставщиками сырья осуществляется без посредников, по прямым поставкам. Субъекты договора поставки - это субъекты предпринимательской деятельности. В отношениях субъектов розничной купли-продажи предполагается относительное неравенство сторон, в основном основанное на экономических факторах. При этом "слабой" стороне - потребителю законодательно компенсируется это неравенство, например, предоставлено право ссылаться на свидетельские показания в подтверждение факта заключения договора, при отсутствие документов об оплате товара. В отличие от розничной торговли целью приобретения товара является его использование в предпринимательской деятельности и иных целях, не связанных с личным, семейным и иным подобным использованием. Правовой статус покупателя также имеет значение при выборе, какую норму применять, о розничной купле-продаже или о поставке, если товар покупается у продавца, осуществляющего предпринимательскую деятельность в области розничной торговли. Можно сделать вывод, что основными критериями отличия между розничной куплей-продажей и поставкой являются правовой статус покупателя и цель покупки. 2.2 Анализ внешней среды ОАО «Новосибирская макаронная фабрика» Суммарные производственные мощности российских производителей макаронных изделий составляют около 1,2 миллиона тонн и позволяют полностью обеспечивать потребности российского рынка. Однако из-за неравномерного распределения мощностей по регионам, малой загрузки мощностей в целом ряде регионов, изношенности оборудования на средних и малых предприятиях, существует региональный дисбаланс между спросом и предложением на рынке. Максимальными мощностями по производству макаронных изделий располагают Центральный, Уральский и Западно-Сибирский экономические районы. На их долю в сумме приходится 613,1 тысячи тонн, то есть 52,3 процента общероссийского ресурса мощностей по производству макаронных изделий. За два года мощности увеличились на 7,5 процента. Доля этих трех районов в производстве превышает 60 процентов всего российского выпуска макаронных изделий. Ввод мощностей по производству макаронных изделий в период с 1998 по 2000 год достиг почти 100 тысяч тонн. При этом увеличение мощностей за счет ввода в действие новых и расширения действующих производств составляет 16,5 тысячи тонн, за счет реконструкции действующих производств - 1,2 тысячи тонн, за счет технического перевооружения действующих предприятий и проведения организационно-технических мероприятий – 73 тысячи тонн. Ввод мощностей по производству макаронных изделий зафиксирован в 35 областях. Наибольшее увеличение мощностей произошло в Челябинской, Ярославской и Нижегородской областях. В сумме эти три области обеспечили почти 45 процентов общероссийского увеличения мощностей в макаронной промышленности. Одновременно с вводом мощностей по производству макаронных изделий происходит и выбытие мощностей из-за ветхости оборудования, изменения номенклатуры изделий, а также по другим причинам. Общий объем снижения мощностей за два года составил около 40 тысяч тонн, в том числе за счет выбытия по причине ветхости оборудования - 32 тысячи тонн, за счет изменения номенклатуры продукции или увеличения трудоемкости производства продукции - 7,5 тысячи тонн. ОАО «Новосибирская макаронная фабрика» занимает далеко не последнее место на рынке макаронных изделий (табл. 2.4). Таблица 2.4 – Анализ структуры объема продаж
Из таблицы 2.4 видно, что в 2009 году наибольший удельный вес в объеме продаж имеют вермишель (45,85%), макароны (15,54%) и фигурные (15,35%), а наименьший - лапша и прочие макаронные изделия (3,86% и 0,4% соответственно). Из всего объема продаж 36,6% продукции реализуется в расфасованном виде, а 64,4% - на вес. В период с 12 до 20 марта 2010 года проводился маркетинговый анализ оптовых потребителей и розничных магазинов по макаронным изделиям ОАО «Новосибирская макаронная фабрика». Согласно полученным данным, наиболее интересными продуктами для Новосибирских потребителей являются: вермишель длинная, рожки гофрированные (рис. 2.7). Рисунок 2.7 – Предпочтение оптовых потребителей по группам макаронных изделий Новосибирские магазины предпочитают работать с новыми поставщиками на условиях отсрочки платежа. Данное условие отметили 45% опрошенных (рис. 2.8). Рисунок 2.8 – Условия работы с потребителями Кроме того, 34% магазинов проводят следующие мероприятия для продвижения новой продукции (рис. 2.9). Рисунок 2.9 – Мероприятия для продвижения новой продукции в Новосибирских магазинах Таким образом, как отметили респонденты, большинство магазинов используют такие методы продвижения новой продукции: размещение информации на стендах, предоставление скидок. За проведение рекламных акций отвечает, как правило, коммерческий директор (23%) или сотрудники отдела маркетинга или рекламы (45%). По результатам анкетирования, респонденты отмечают следующих производителей наиболее качественных макаронных изделий: Кроме того, респонденты отмечают следующие типичные проблемы при работе с поставщиками: - не берут возвраты 46%; - низкое качество товаров 34%; - поставляют товар с задержкой 40%; - поставляют товар с истекшим сроком годности 12%. Проведем также анализ внешней среды компании с использованием методики PEST [12, с. 226]. На основе методики PEST-анализа отрицательное влияние на фирму оказывают демографические и природные факторы, тем самым тормозя процесс деятельности компании, также политические факторы, такие как нагнетание напряженности в разных регионах, экономические факторы (изменение стоимости кредитов, падение уровня доходов населения) и социальные факторы (снижение уровня образования). Все эти факторы напрямую или косвенно отрицательно влияют на фирму. Но есть среди них факторы, которые оказывают и положительное влияние. Это правовые факторы (развитие законодательства, регулирующего предпринимательскую деятельность и прочие), технологические факторы (ускорение и развитие НТП, разработка и внедрение новых технологий), социальные факторы (рост числа служащих), экономические факторы (движение цен), политические факторы (стабилизация политической ситуации в стране). Данные факторы ускоряют и успешно влияют на развитие фирмы. Обобщение результатов PEST-анализа представлено в приложении И. Для сопоставления данных о внешней и внутренней среде фирмы воспользуемся методикой «SWOT-анализа» [13, с. 185]. Внешняя среда изменчива и таит в себе угрозы и возможности. Можно знать об угрозе и возможности, но не суметь противостоять или получить отдачу, поэтому организации нужно знать сильные и слабые стороны внутренней среды. Процедура SWOT- анализа была сведена к следующему: 1. Формулировка перечня возможностей, которые открывает перед фирмой внешняя среда; угроз, которые таит в себе внешняя среда; сильных и слабых сторон фирмы (табл. 2.5). Таблица 2.5 – Возможности/Угрозы и Силы/Слабости среды ОАО «Новосибирская макаронная фабрика»
2. Выделение наиболее значимых факторов из этих четырех перечней, составление матрицы SWOT-анализа и оценка взаимного влияния факторов внешней и внутренней среды компании (табл. 2.6). Таблица 2.6 – Матрица – SWOT
Из таблицы видно, что за счет сильных сторон предприятия: хорошей репутации и широкого ассортимента, ОАО «НМФ» может использовать возможность выхода на новые рынки, а высокое качество товара нейтрализует угрозу появления новых конкурентов. Слабые стороны компании, например, рыночно неориентированный менеджмент, плохое отслеживание процесса выполнения стратегии не дают возможности к повышению требований по качеству товара и не исключают угрозы возрастания конкурентного давления. Из приведенного анализа деятельности компании можно сделать вывод о том, что стратегией компании является стратегия роста. 2.3 Анализ системы управления закупками на предприятии Процесс управления закупками на предприятии осуществляется небольшой группой работников, которые выполняют следующие функции: 1) планируют потребность предприятия в материальных ресурсах, необходимых для процесса производства (подсчитывают все остатки ТМЦ на складе, определяют необходимое количество материальных ресурсов и составляют заявки и спецификации на данные материалы); 2) распределяют имеющиеся материальные ресурсы конкретным потребителям (на часть остатков материала на складе снижают цены, для того, чтобы распродать их до получения очередного заказа); 3) заключают договора с поставщиками на поставку продукции (выбирают из большого количества предприятий поставщика сырья и материалов по основным критериям отбора. Если по всем параметрам поставщик устраивает, то с ним подписывают договор на поставку продукции); 4) организуют приемку материальных ресурсов на снабженческие склады по количеству и качеству (при поступлении и разгрузке товара работники снабжения проверяют весь товар по количеству и качеству с отражением в карточках складского учета. Если фактическое количество товара не совпадает с количеством товара по накладной, составляется акт несоответствия и направляется в адрес предприятия-поставщика вместе с письмом-претензией); 5) осуществляют хранение и отпуск материальных ресурсов потребителям (отпускают потребителям товар со склада только по фактурам с визами руководителя и бухгалтера или начальника отдела, и при наличии доверенности на лицо, получающее товар (для организации); 6) осуществляют контроль за нормированием и рациональным использованием потребителями материальных ресурсов (контролируют приход и расход материальных ресурсов, отражающихся в приходно-расходной учетной книге); 7) управляют запасами материальных ресурсов, обеспечивающих бесперебойное снабжение средствами производства потребителей (следят за необходимым наличием на складе запасов материальных ресурсов); 8) изучают спрос потребителей на материально-технические ресурсы (проводят социальный опрос при покупке); 9) производят расчеты с поставщиками и потребителями за получаемую и реализуемую продукцию; 10) осуществляют проведение инвентаризации ТМЦ – товарно-материальных ценностей (1 раз в неделю проводят инвентаризацию склада, обязательно с комиссией в составе 3-х человек: бухгалтер, начальник отдела, менеджер, 2 раза в год); 11) учитывают наличие, состояние и движение товаров и представляют необходимые сведения в бухгалтерию предприятия (каждый понедельник кладовщики сдают в бухгалтерию предприятия отчет о состоянии и движении товаров на складе); 12) соблюдают трудовую и производственную дисциплину, правила и нормы охраны труда, требования производственной санитарии и гигиены, требования противопожарной безопасности, гражданской обороны (1 раз в месяц проводят инструктаж по технике безопасности). Эффективность выполнения данных функций непосредственно влияет на деятельность организации и требует внимательного подхода со стороны руководства. Группа работников, выполняющих перечисленные функции снабжения, состоит из 7-ми человек: 2 кладовщика, 2 менеджера по снабжению, начальники торгового и коммерческого отделов, и бухгалтер. В основном, часть их них уже достаточно давно работают в компании, имеют большой опыт работы в этой области и поэтому осуществляют оперативную и эффективную деятельность, необходимую для работы предприятия. Снабжение ОАО «Новосибирская макаронная фабрика» материальными ресурсами осуществляется при помощи транзитной формы, получая сырье и материалы от предприятий, непосредственно их производящих. Товарооборот ОАО «Новосибирская макаронная фабрика» в денежном выражении в 2009 году составил более 26 млн. рублей. Важнейшим принципом деятельности ОАО «Новосибирская макаронная фабрика» является создание для потребителя максимально выгодных и удобных условий работы. Организацией проработана система методов расчета для покупателей, которая помогает выбрать форму оплаты, удобную для любого из клиентов: - план «Штучный» - для клиентов, сделавших единоразовую покупку; - план «Подъемный» - для начинающих работать клиентов; - план «Личный счет» - накопительные скидки для малобюджетных клиентов; - план «Экономайзер» - специальные цены для региональных, корпоративных клиентов и оптовых покупателей. Также разработана гибкая система скидок, размеры которых увеличивают объемы поставок, сроки и порядок оплаты и тому подобное. Список льгот постоянно расширяется, особенно в отношении постоянных и оптовых клиентов. Для них вводятся альтернативные формы расчетов – ПКО, векселя и так далее. Формы предоставляемых льгот учитывают индивидуальные особенности каждого клиента и могут быть самыми разнообразными. Развитие оптовой реализации материалов компании за последние три года характеризуется следующими данными (табл. 2.7). Таблица 2.7 – Динамика оптового товарооборота ООО «НМФ» за 2007-2009 гг.
Данные таблицы показывают, что за последние три года темпы роста оптового товарооборота снижаются: в 2008 году рост товарооборота составил 122,4%, а в 2009 году – 118,5%. Это объясняется тем, что цены на продукцию, реализуемую в организации, выросли в 2009 году по сравнению с 2008 годом, но меньше, чем в 2008 году по сравнению с 2007 годом (средний индекс цен в 2008 году – 1204 или 120,4%, в 2009 году – 1158 или 115,8%). Количество реализованной продукции увеличилось в 2008 году на 1,7%, в 2009 году на 2,3%. Темпы роста физического объема товарооборота невысокие, но тенденция намечается положительная. За три года оптовый товарооборот предприятия возрос на 45% (в действующих ценах) и на 4% (в сопоставимых ценах) за счет увеличения физического объема оптового товарооборота. По кварталам оптовый товарооборот организации распределялся неравномерно. Наибольший удельный вес в годовом товарообороте занимает оборот четвертого квартала – свыше 27,0, а наименьший удельный вес в годовом товарообороте приходится на первый квартал – свыше 23,0%. И распределение оборота по кварталам года продолжает изменяться. Ритмичность развития оптового товарооборота предприятия по кварталам рассмотрим на основе данных таблицы 2.8. Таблица 2.8 – Оптовый товарооборот ОАО «Новосибирская макаронная фабрика» по кварталам года
Данные таблицы свидетельствуют о неритмичном развитии товарооборота предприятия по кварталам: наиболее напряженным был четвертый квартал, а наименее напряженным – первый. Самый низкий темп роста товарооборота достигнут в первом квартале (116,9%), а самый высокий – в третьем и четвертом кварталах (119,0% и 120,0%). Неритмичное развитие оптового товарооборота по кварталам привело к изменению удельного веса оборота каждого квартала в годовом объеме товарооборота. Так, снизился удельный вес оборотов первого квартала на 0,3% и второго квартала – на 0,2% по сравнению с 2008 годом, потому что в этих кварталах темпы роста оборота ниже, чем в целом за год (118,5%). Доля оборота третьего квартала возросла с 24,7% в 2008 году до 24,8% в 2009 году (темп роста оборота в этом квартале 119,0%), а доля оборота четвертого квартала составила в 2009 году 27,4% и возросла по сравнению с 2008 годом на 0,4% (темп роста товарооборота – 120,2%). Таким образом, товарооборот предприятия по кварталам года распределялся неравномерно и развивался неритмично. Еще более неритмичное развитие получил товарооборот по месяцам года (табл. 2.9). Таблица 2.9 – Ритмичность развития оптового товарооборота ОАО «Новосибирская макаронная фабрика» по месяцам года за 2008 – 2009 гг.
Из данных таблицы видно, что размах колебаний роста оптового товарооборота еще больше, чем по кварталам. Темп роста товарооборота колеблется от 110,1% (апрель) до 124,0% (март). Самыми напряженными периодами реализации материалов в каждом квартале являются последние месяцы квартала. Например, рост товарооборота в целом за первый квартал составил 116,9%, а в марте – 124,0%, за второй квартал – соответственно 117,6% и 123,7%, за третий квартал – 119,0% и 119,5% и за четвертый квартал – 120,2% и 120,30%. Данные о движении материальных ресурсов по организации приведены в таблице 2.10. Таблица 2.10 – Движение материальных ресурсов за 2008 – 2009 гг.
Оптовый товарооборот предприятия возрос в 2009 году по сравнению с 2008 годом на 4845 млн. руб. за счет завышенных товарных запасов на начало года (+338 тыс. руб.), роста поступления материалов на склад (+5130 млн. руб.) и уменьшения прочего выбытия материалов (+8 тыс. руб.). Но возможности роста товарооборота в динамике уменьшились в результате увеличения товарных запасов на конец года (- 631 тыс. руб.). Недостатком использования поступающих в организацию материальных ресурсов является их неполное вовлечение в товарооборот, что явилось следствием поставки материалов на склад, имеющих высокую цену, что снижало спрос потребителей на них, нарушением ритмичности отгрузки материалов поставщиками, связанными с фабрикой договорными обязательствами. Часть материалов, поступивших на склад в излишнем количестве и в конце года, осела на остатках материалов на складе, что может привести к замедлению оборачиваемости оборотных средств, вложенных в товарные запасы, и возникновению потерь. В ОАО «Новосибирская макаронная фабрика» в 2009 году прочее выбытие материалов снизилось по сравнению с 2008 годом на 8 тыс. руб. Прочее выбытие материалов включило товарные потери и недостачу материалов. Следует назвать работу предприятия по снижению прочего выбытия материалов в 2009 году положительной. Одним из факторов успешного развития оптового товарооборота является обеспеченность трудовыми ресурсами и эффективность труда работников предприятия. Оценка показателей по труду ОАО «Новосибирская макаронная фабрика» произведена на основе таблицы 2.11. Таблица 2.11 – Показатели по труду по ОАО «Новосибирская макаронная фабрика» за 2008-2009 гг.
Как видно из таблицы, среднегодовая выработка одного торгового работника в действующих ценах составила 1109 млн. руб. и по сравнению с 2008 годом возросла на 138,4 тыс. руб. или на 14,2%. За счет роста производительности труда получена сумма прироста товарооборота в размере 3549 млн. руб. (169 тыс. руб. х 21 чел.). В общей сумме прироста товарооборота в действующих ценах за 2009 год это составило 73,3%. На изменение суммы оптового товарооборота в 2009 году оказало влияние и увеличение численности менеджеров на 5,0% по сравнению с 2009 годом. За счет роста численности менеджеров получена дополнительная сумма оптового товарооборота в размере 1310 млн. руб. (+1 чел. х 1310 млн. руб.) или 26,7% общей суммы прироста товарооборота. Организация занимает достаточно большую долю на рынке, имеет высокую привлекательность (географические преимущества, социальная среда, преимущества лидеров отрасли, размеры ключевых сегментов рынка и прочее) и средний уровень конкурентоспособности (доля рынка, контролируемая фирмой, эффективность системы маркетинга, имидж фирмы, технологическое развитие и так далее). Лист оценки конкурентоспособности ОАО «Новосибирская макаронная фабрика» относительно главных конкурентов представлен в приложении К. Для того, чтобы определить насколько эффективна деятельность службы снабжения, необходимо еще раз уточнить главную задачу закупочной деятельности. А задача эта заключается в следующем: снабдить производство материально-техническими ресурсами в необходимом количестве, нужного качества, в установленное время, с наименьшими затратами. Но как это сделать в условиях стремительно меняющейся ситуации на рынке? Как предотвратить постоянные просрочки поставок, завышение цен поставщиками, поставку материалов низкого качества, а зачастую и просто брака? И, наконец, как наиболее эффективным способом управлять мощными финансовыми и материальными потоками? Именно этими вопросами занимаются работники снабжения компании. Но не все эти проблемы удается разрешить вовремя и правильными путями, так как этому способствует ряд следующих причин: - небольшой штат сотрудников, занимающийся процессом управления закупками; - достаточно большие затраты на материальные ресурсы и складские запасы; - высокие закупочные цены; - неудовлетворительная система мотивации сотрудников; - отсутствие полной и своевременной информации, средств и способов ее обработки, оптимальных управленческих решений; - низкий уровень развития оптового товарооборота. Перечисленные причины тормозят нормальную работу предприятия и требуют незамедлительного разрешения. Для этого в данной работе разработаны рекомендации по совершенствованию системы управления закупками на предприятии. Глава 3. Разработка рекомендаций по совершенствованию системы управления закупками на предприятии 3.1 Формирование стратегий развития ОАО «Новосибирская макаронная фабрика» Проанализировав внешнюю и внутреннюю среду ОАО «Новосибирская макаронная фабрика», были выявлены ключевые проблемы, которые необходимо решить в процессе формирования стратегии предприятия. Основная задача этой главы – предложить стратегию дальнейшего развития для данной организации, разработать рекомендации и предложить новую технологию по совершенствованию системы закупок. ОАО «Новосибирская макаронная фабрика» имеет довольно устойчивые позиции на рынке, поэтому корпоративная стратегия организации должна быть направлена на укрепление и поддержание стабилизации существующей позиции за счет функциональных стратегий. Одновременно, можно предложить стратегию освоения новых рынков с целью реализации существующего товара. Срок реализации данной стратегии – с 2010 по 2011 год. К началу 2012 года должна быть достигнута следующая рыночная цель: увеличение ежемесячного объема продаж до 7 млн.рублей, то есть примерно в 3 раза больше, чем существующий среднемесячный объем продаж (долгосрочная цель). Для достижения поставленной цели необходимо достичь ряд промежуточных среднесрочных целей. Содержание мероприятий по достижению этих целей и сроки их выполнения представлены в таблице 3.1. Таблица 3.1 – План мероприятий по реализации стратегии развития ОАО «Новосибирская макаронная фабрика» на 2010-2011гг.
Во-вторых, рассматривая рыночную стратегию развития предприятия, в качестве краткосрочной стратегии, предлагается принять стратегию совершенствования деятельности, когда предприятие пытается увеличить объем продаж имеющихся товаров на существующем рынке, что в конечном итоге будет способствовать развитию. Данная стратегия предполагает изучение целевого рынка предприятия, разработку мероприятий по продвижению продукции и увеличению эффективности деятельности на существующем рынке. Доход обеспечивается за счет рационализации производства и сбыта. Таким образом, достижение цели должно происходить за счет решения следующих задач: - внимательное отслеживание рыночных тенденций; - развитие системы методов стимулирования продаж; - повышение квалификации сотрудников; - корректировка ценовой политики предприятия; - улучшение системы закупок на предприятии. Реализация предлагаемых стратегий отразится на всей организации, а именно, она повлияет на такие элементы организации как, организационная структура, персонал, маркетинг, бюджет организации, информационные ресурсы и так далее. Руководству предприятия при реализации стратегии необходимо позаботиться о том, чтобы привести организационную структуру управления в соответствии с конкретными требованиями стратегии. Обычно фирмы осуществляют данную задачу по следующей схеме: разработка новой стратегии - появление административных проблем – снижение прибыльности – переход к более приемлемой организационной структуре – повышение уровня прибыльности – улучшение выполнения стратегии. Поэтому, чтобы реализация новой стратегии не привела к проблемам из-за ее несоответствия со структурой организации, можно предложить внести в существующую организационную структуру управления следующие изменения: 1) ввести в штат предприятия должность маркетолога, который будет осуществлять сбор и анализ рыночной информации, создание базы данных о конкурентах, расчет эффективности деятельности на новых рынках. 2) ввести в штат предприятия должность финансового менеджера для контроля за движением и распределением финансовых ресурсов предприятия. Маркетинг по своей природе является неотъемлемой частью взаимодействия между предприятием и рынком. Мероприятия по маркетингу на 2010 год предполагают продвижение товара за счет его рекламы в средствах массовой информации, стимулирования сбыта (скидки, бесплатные образцы, купоны, выставки, ярмарки). Также необходимо осуществить повышение квалификации сотрудников, стремиться к постоянному росту культуры обслуживания потребителей товара. В таблице 3.2 приведены мероприятия по маркетингу на долгосрочный период. Таблица 3.2 – План маркетинга ОАО «Новосибирская макаронная фабрика» на 2010 год
Основой любой организации, и ее главным богатством являются люди. Хорошая организация стремится максимально эффективно использовать потенциал своих работников, создавая все условия для наиболее полной отдачи сотрудников на работе и для интенсивного развития их потенциала. Необходимо, чтобы работники были заинтересованы в достижении запланированных целей организации и принимали активное участие в деле реализации стратегии предприятия. Важно, чтобы сотрудники при разработке и реализации руководством предприятия новой стратегии имели больше позитивных эмоций, чем негативных. Для этого нужно больше времени уделять персоналу, описывая им все преимущества, которые может открыть данная стратегия для развития и роста фирмы, ее будущего благосостояния. Новая стратегия – это новые перемены и кардинальные изменения, происходящие в организации. Поэтому для персонала это очень сложный период, в течение которого он, возможно, будет оказывать сопротивление реализации данной стратегии. Причинами этого сопротивления могут быть следующие моменты: - страх перед неизвестностью последствий перемен; - обеспокоенность возможной утратой стабильности и ожидание возможного снижения доходов, то есть у работника может снизиться заработная плата в том случае, если для реализации новой стратегии потребуется новый специалист; - возможная потеря своего статуса; - боязнь оказаться лишними в организации при сокращении ненужных работников; - неспособность выполнять новую роль в будущем; - неспособность или нежелание обучаться новому делу. В такой ситуации руководству предприятия необходимо, прежде всего, позаботиться об организации эффективной системы стимулирования персонала. Данный подход будет более рационален и результативен в направленности персонала на выполнение стратегического плана. Рассчитаем примерный бюджет ОАО «Новосибирская макаронная фабрика» на 2010 год (в среднем за месяц) исходя их данных о прибылях и убытках каждого из подразделений за 2009 год. Исходные данные представлены в таблице 3.3.Таблица 3.3 – Данные о прибылях и убытках по цеху 1 и цеху 2 за 2009 год (в среднем за месяц)
Далее рассмотрим ежемесячный бюджет 2010 года (в среднем), опираясь на эти данные (табл. 3.4). Таблица 3.4 – Примерный ежемесячный бюджет ОАО «Новосибирская макаронная фабрика» в 2010 году
Исследования показывают, что от 50 до 90% рабочего времени менеджер тратит на обмен информацией, так как информация является сейчас наиболее важным ресурсом организации. Взаимосвязь элементов информационной системы управления производством представлена на рисунке 3.1.
Рисунок 3.1 – Информационная система управления производством Компьютеризация заметно облегчает осуществление внутрифирменного контроля за деятельностью организации, internet позволяет получать информацию об изменениях внешней среды более оперативно, а также улучшает связь с поставщиками и труднодоступными клиентами, делает ее более дешевой. 3.2 Внедрение на ОАО «Новосибирская макаронная фабрика» электронной системы снабжения Функциональность электронной системы снабжения (ЭСС) предполагает полную или частичную автоматизацию процессов закупочной деятельности на ОАО «Новосибирская макаронная фабрика» (включая преддоговорную работу с поставщиками, согласование и заключение договоров, контроль исполнения договоров, мониторинг движения грузов), а также некоторых смежных процессов (например, юридическое сопровождение сделки, составление отчетов и так далее). Развитие цифровых и компьютерно-сетевых технологий привело к тому, что обмен электронными документами находит все более широкое применение в сфере бизнеса и в административной практике. За рубежом заключение договоров на основании обмена информацией без использования бумажного носителя стало получать широкое распространение уже в начале 70-х годов. С появлением цифровых интерактивных компьютерных сетей, в том числе Интернета, развитие электронной коммерции совершило качественный скачок. Однако появление новых технологий наряду с ускорением процессов обмена информацией значительно усложнило решение вопросов о достоверности такой информации, поскольку процесс обмена электронными документами существенным образом отличается от обычного обмена документами на бумажных носителях. Можно привести множество примеров злоупотреблений и мошенничества, совершаемых с использованием новых технологических возможностей. В то же время, очевидно, что для широкого применения электронного обмена информацией необходимо обеспечить достаточную степень доверия к содержанию электронных документов, передаваемых с использованием новых технологических средств [27, с. 89]. Технически проблема подтверждения подлинности информации, содержащейся в электронном документе, решается путем использования средств электронной цифровой подписи (ЭЦП), которая позволяет установить автора электронного документа и гарантировать неизменность его содержания. ЭЦП – это специфический «цифровой код», связанный с содержанием электронного документа и позволяющий идентифицировать его отправителя (автора), а также установить отсутствие искажений информации в электронном документе, поскольку в случае внесения в него изменений ЭЦП теряет силу. Для наглядности ЭЦП можно представить как данные, полученные в результате специального криптографического преобразования текста электронного документа. Оно осуществляется с помощью так называемого «закрытого ключа» - уникальной последовательности символов, известной только отправителю электронного документа. Эти «данные» передаются вместе с текстом электронного документа его получателю, который может проверить ЭЦП, используя так называемый «открытый ключ» отправителя – также уникальную, но общедоступную последовательность символов, однозначно связанную с «закрытым ключом» отправителя. Успешная проверка ЭЦП показывает, что электронный документ подписан именно тем, от кого он исходит, и что он не был модифицирован после наложения ЭЦП. Таким образом, подписать электронный документ с использованием ЭЦП может только обладатель «закрытого ключа», а проверить наличие ЭЦП – любой участник электронного документооборота, получивший «открытый ключ», соответствующий «закрытому ключу» отправителя. Подтверждение принадлежности «открытых ключей» конкретным лицам осуществляет удостоверяющий центр – специальная организация или сторона, которой доверяют все участники информационного обмена. Обращение в удостоверяющие центры позволяет каждому участнику убедиться в том, что имеющиеся у него копии «открытых ключей», принадлежащих другим участникам, используемых им для проверки их ЭЦП, действительно принадлежат этим участникам. Сегодня доверие к ЭЦП, используемым в закрытых (корпоративных) системах обмена информацией, достигается путем заключения специальных соглашений между участниками таких систем. Но для открытых, общедоступных систем электронного документооборота эту проблему возможно решить только путем создания развитой инфраструктуры, опирающейся на надежный правовой фундамент. Широкое развитие электронного документооборота невозможно, если его участникам не будет предоставлена возможность совершать юридически значимые действия с применением средств электронной связи и защищать свои права, в частности, в случае необходимости представлять электронные документы в качестве судебных доказательств наравне с документами на бумажных носителях. Для этого необходимо законодательно закрепить условия, при которых ЭЦП признается равнозначной собственноручной подписи в документах на бумажных носителях. Обеспечение доверия к ЭЦП является обязательным условием ее широкого применения в качестве одного из основных инструментов электронной коммерции. Связанные с ЭЦП проблемы нуждаются в надежной «юридической оболочке», требуют специального правового регулирования в национальном законодательстве и на международном уровне. В настоящее время законодательные акты, обеспечивающие закрепление правовых основ для использования ЭЦП и придания юридической силы электронным документам, приняты во многих развитых странах, в том числе в США, Канаде, ФРГ, Италии, Франции, Испании, Нидерландах, Дании, Австрии, Финляндии и других странах Европейского Союза. Вопросы ЭЦП законодательно урегулированы также в некоторых государствах Прибалтики и СНГ. В еще большем числе стран законодательство об ЭЦП находится на стадии разработки и принятия. Положения зарубежных законодательных актов и рекомендаций, принятых на международном уровне, учитывались при разработке российского Закона об ЭЦП, работа над которым продолжалась не один год. Федеральный закон «Об электронной цифровой подписи» вступил в силу с 23 января 2005 года. Основное предназначение Закона об ЭЦП – заложить правовые основы для создания инфраструктуры, обеспечивающей использование ЭЦП, а также установить основные требования, при соблюдении которых ЭЦП должна признаваться юридически равнозначной собственноручной подписи на бумажном носителе [31, с. 23]. Закон создает правовую основу для широкого использования ЭЦП, постепенного развития электронной коммерции, электронных банковских услуг, рынка ценных бумаг. ЭЦП и отметки времени являются теми инструментами, которые обеспечивают юридический фундамент для развития электронного документооборота в цифровых интерактивных сетях, в том числе в Интернете. Применение электронной цифровой подписи существенно облегчает не только коммерческую деятельность, но и развитие информационных технологий, упрощает взаимодействие граждан с административными органами. Например, в соответствии с Федеральным законом от 28 декабря 2001 года № 180 – ФЗ «О внесении изменения в статью 80 части первой Налогового кодекса Российской Федерации» заверенную ЭЦП налоговую отчетность разрешается представлять в электронном виде, отсылая ее в органы государственной налоговой службы по электронной почте. За рубежом технологии ЭЦП находят применение даже при организации документооборота в сфере юстиции и управления, например, уже практикуется подача документов в суд через Интернет. Так, по сообщению журнала «Focus», уже в 1997 году административный суд Карлсруе (ФРГ) в своем решении признал исковое заявление, переданное в суд в виде электронного документа. Несмотря на достаточно подробное законодательное регулирование вопросов применения ЭЦП, данный правовой институт будет еще вызывать множество проблем и дискуссий. В частности, новые нормы об электронной цифровой подписи не всегда согласуются с действующими законодательными положениями. Эксперты отмечают, что принятие Закона «Об электронной цифровой подписи» не повлекло и не повлечет за собой каких-то особенно стремительных изменений в работе ни организаций, уже использующих ЭЦП в рамках корпоративных информационных систем, ни организаций, которые ЭЦП пока не применяют. Федеральный закон «Об электронной цифровой подписи» только закладывает основы для дальнейшего постепенного развития электронной коммерции в России и создает возможности для распространения новых форм документооборота [19, с. 55]. Эффективность работы Закона об ЭЦП будет зависеть от очень многих факторов, в том числе от активной позиции государственных органов, от принятия законопроектов об электронном документе, об электронной коммерции и так далее. 3.3 Оценка эффективности внедрения новой системы управления закупками на предприятии Процесс управления закупками на предприятии требует много усилий, затрат и опыта работы в этой области. Для более успешной работы предприятия можно предложить руководству организации внедрить новую систему управления закупками или улучшить существующую (рис. 3.2).
Рисунок 3.2 – Формирование системы управления закупками материальных ресурсов ОАО «НМФ» В целях предотвращения нерационального расходования и потерь используемых ресурсов необходима оптимизация процессов закупочной деятельности. На Западе больше в ходу термин "управление цепочками поставок" (Supply Chain Management - SCM). В рамках SCM известны такие концепции, как DRP (планирование потребностей распределения), SIC (статистическое управление запасами), JIT (точно в срок), MRP (планирование материальных затрат), EDI (электронный обмен данными), FMS (гибкая производственная система), SDP (планируемая программа доставки). Мировой опыт внедрения SCM свидетельствует, что в результате происходит существенное снижение затрат компании, в том числе сокращение складских запасов - до 20%, и сокращение закупочных цен - до 10%. Несмотря на это, в течение двух последних десятилетий основное внимание уделялось лишь процессам автоматизации проектирования и управления производством. Процессы закупок практически "выпали" из поля зрения и по-прежнему остаются наиболее ресурсоемкой, неавтоматизированной и неэффективной сферой работы организаций. Между тем, по оценкам ведущих аналитических агентств (AMR Research, Gartner Group), потери из-за неэффективной закупочной деятельности могут составлять, в зависимости от отрасли, до 15-27% от общего объема закупок. Кроме прямых потерь у компаний при неэффективном использовании систем закупок появляются дополнительные расходы на содержание разветвленного и многоуровневого бюрократического аппарата, теряется значительная часть времени на прохождение заказа, часто дублируются и неэффективно используются материально-технические ресурсы в условиях структурной разобщенности подразделений [36, с. 22]. В качестве примера рассмотрим проект создания ЭСС (электронной системы снабжения), который готовится к запуску одним из лидеров российской промышленности – ОАО ГМК «Норильский никель». Проект по созданию и внедрению ЭСС будет частью реализации долгосрочной программы развития компании. Целью разработки ЭСС является оптимизация процесса закупочной деятельности предприятий ОАО ГМК «Норильский никель» и повышение эффективности взаимоотношений с поставщиками. ЭСС будет создана с использованием новейших технологий, которые позволяют органично интегрировать ее с существующими и будущими автоматизированными системами, используемыми в компании. В рамках работы над созданием концепции ЭСС для ОАО ГМК «Норильский никель» были проведены детальный анализ и исследование имеющейся системы закупок. Только после этого были сделаны соответствующие выводы по выбору оптимальной ЭСС, которая в дальнейшем повысит эффективность не только процессов закупок, но и бизнеса в целом. ЭСС позволит эффективно вести закупки более чем по 10 000 товарным позициям. Система предусматривает два уровня пользователей: внутренние и внешние. Внутренними пользователями являются сотрудники компании, отвечающие за закупки. Функциональность ЭСС позволяет им выставлять заявки на приобретение материальных и технических ресурсов (МТР), проводить тендеры на закупки и так далее. Внешние пользователи – поставщики МТР, которым система предоставляет возможность принимать заявки на поставку МТР, получать спецификации, направлять коммерческие предложения. Для повышения привлекательности системы и удобства работы пользователей с ней будут реализованы дополнительные возможности, в том числе новостные сервисы, средства общения пользователей между собой, средства подсчета рейтингов, средства поиска, персональные сервисы пользователей. Подход компании AmbitSystems – разработчика решения – к реализации проекта предполагает поэтапное внедрение и получение конкретного результата по окончании каждого этапа. 1) Создание рабочего прототипа (пилотной зоны), который покрывает основные процессы снабжения и позволяет вести электронные закупки по нескольким товарным группам. 2) Расширение функциональных возможностей системы и осуществление закупок по всей номенклатуре товарных позиций с одновременным вовлечением новых пользователей – как внутренних, так и внешних. 3) Создание принципиально новых сервисов (таких, как возможность проведения финансовых расчетов, страхования грузов, организации транспортировки). Внедрение ЭСС позволит компании: - повысить прозрачность, управляемость и оперативность процесса закупочной деятельности; - повысить доходность за счет снижения затрат на приобретение материально-технических ресурсов; - повысить эффективность работы с поставщиками за счет оптимизации процессов обмена и использования информации; - снизить складские запасы за счет более эффективного учета потребностей в материально-технических ресурсах; - оценивать эффективность процесса закупок, используя информацию в исторической ретроспективе; - создать единый стандарт обмена данными внутри компании и с поставщиками МТР, используя современные Интернет-технологии; - решить проблему классификации материально-технических ресурсов, то есть существенно упростить процесс поиска и заказа МТР, а в дальнейшем – и другие процессы. Существующего опыта компании недостаточно для того, чтобы управлять поставками на быстро меняющемся конкурентном рынке. Поэтому одним из новшеств в организации можно предложить принятие решения о необходимости использования системы и технологии, позволяющих управлять этим процессом с целью оптимизации цепочки поставок. Будет внедрена система, позволяющая контролировать спрос, управлять складскими запасами, анализировать информацию, основываясь на данных ежедневного спроса. Ежедневно эти данные заносятся в общую базу. На их основе технология SCM позволяет делать выводы о том, где и какие акции стоит проводить для более успешных продаж, а также прогнозировать необходимые закупки товаров. Доход от внедрения на ОАО «Новосибирская макаронная фабрика» электронной системы снабжения рассчитывается по формуле (3.1). Q1 = 2,024 * Qt -1 0,565 * S1 0,190 ,(3.1) где Q1 – планируемый прирост валового дохода за период t (за год); Qt -1 – фактический валовой доход за предыдущий период; S1 – затраты на внедрение мероприятия. Таким образом, планируемый прирост валового дохода за год: Q1 = 2,024 * 502,7470,565 * 2.000.0000,190 =53,048 (то есть ежегодный прирост выручки составит 10,5 %). Используя эту систему корпорация сможет разрешить сразу несколько проблем, тормозящих нормальную деятельность производства, то есть снизить затраты на материально-технические ресурсы и складские запасы, сократить закупочные цены. Но данная технология не будет работать на все 100%, если не решить проблему мотивации персонала. Поэтому руководству компании сначала необходимо отрегулировать и улучшить систему мотивации, стимулируя работников экономическими и неэкономическими способами, выдавая премии за производительность, различного рода выплаты, льготы, привлекая к участию в делах организации, предоставляя отгулы и так далее. Также администрации предприятия нужно правильно и верно принимать управленческие решения, руководствуясь при этом следующими позициями: 1) характеристика анализируемой проблемы; 2) выработка максимально возможного количества ее решений, даже самых невероятных; 3) выбор наиболее рациональных идей для дальнейшей переработки; 4) разработка альтернативных решений проблемы. Также для организации более эффективной системы закупок необходимо уделять внимание развитию оптового товарооборота ОАО «Новосибирская макаронная фабрика»: - совершенствовать товароснабжение организации и повышать эффективность использования товарных ресурсов. С этой целью коммерческой службе организации нужно производить закупки материалов непосредственно у производителей, значительно расширить закупку и реализацию материалов, имеющихся в достаточном количестве у производителей и других поставщиков, больше внимания уделять заключению договоров с поставщиками; - добиться роста эффективности труда торговых работников; - улучшить использование материально-технической базы организации. С этой целью установить оптимальный режим работы организации, внедрить прогрессивные формы торговли, сократить до минимума проведение инвентаризаций, проверок; - экономической службе организации разрабатывать прогнозы развития оптового товарооборота и вести оперативный контроль за ходом реализации прогнозов. Это позволит руководству ОАО «Новосибирская макаронная фабрика» оперативно решать вопросы обеспечения и эффективности использования всех видов ресурсов; - совершенствовать систему материального стимулирования труда работников организации (разработка систем и форм оплаты труда в прямой зависимости от товарооборота); - осуществить компьютеризацию бухгалтерского учета в компании, разработать автоматизированную программу анализа товарооборота; - минимизировать расходы по заемным средствам (снижение процентной ставки по кредитам) в кредитных учреждениях; - повысить уровень менеджмента в компании; - проводить на постоянной основе изучение рынков сбыта и снабжения и осуществлять мониторинг собственной доли организации на рынке. Таким образом, главная задача этой главы выполнена – разработаны предложения и рекомендации по совершенствованию системы управления закупками на предприятии и более эффективной деятельности организации. заключение В последние несколько лет тема закупок на предприятии стала актуальной в условиях рыночной экономики. Закупки оказывают влияние на важнейшие экономические показатели производственной деятельности: выпуск продукции, производительность труда, себестоимость продукции, оборачиваемость оборотных средств и другие. В сфере закупок происходит разделение функций между снабженческой и сбытовой деятельностью. Для отдельного предприятия функции снабжения и сбыта различны: на службу снабжения возложено обеспечение материалами и техникой предприятия для осуществления производственного процесса, в то время как на службу сбыта – реализация готовой продукции данного предприятия. Для успешного и эффективного управления закупками на предприятии необходимо выполнение всех задач и функций снабжения, использование современных эффективных методик и инструментов управления закупками. Кроме того, необходимо уделять должное внимание тому, что система закупок предполагает эффективные нормы расхода сырья и материалов. Для успешной реализации механизма управления закупками необходимы высококвалифицированные сотрудники снабженческих служб, грамотные специалисты в области работы с поставками сырья и материалов. На основе проведенных теоретических и практических исследований, были сделаны выводы о необходимости усовершенствования существующей системы управления закупками на ОАО «Новосибирская макаронная фабрика». Главное, в чем состояла задача проводимого исследования – разработка положений об управлении системой закупок, которое содержит все теоретические основы управления закупочной деятельностью, а также методы, применяемые в организации. Это положение должно регулировать отношения сотрудников и руководства организации по вопросам управления закупками. Также для организации более эффективной системы закупок необходимо уделять внимание развитию оптового товарооборота ОАО «Новосибирская макаронная фабрика»: - совершенствовать товароснабжение организации и повышать эффективность использования товарных ресурсов. С этой целью коммерческой службе организации нужно производить закупки материалов непосредственно у производителей, значительно расширить закупку и реализацию материалов, имеющихся в достаточном количестве у производителей и других поставщиков, больше внимания уделять заключению договоров с поставщиками; - добиться роста эффективности труда торговых работников; - улучшить использование материально-технической базы организации. С этой целью установить оптимальный режим работы организации, внедрить прогрессивные формы торговли, сократить до минимума проведение инвентаризаций, проверок; - экономической службе организации разрабатывать прогнозы развития оптового товарооборота и вести оперативный контроль за ходом реализации прогнозов. Это позволит руководству ОАО «Новосибирская макаронная фабрика» оперативно решать вопросы обеспечения и эффективности использования всех видов ресурсов; - совершенствовать систему материального стимулирования труда работников организации (разработка систем и форм оплаты труда в прямой зависимости от товарооборота); - осуществить компьютеризацию бухгалтерского учета в компании, разработать автоматизированную программу анализа товарооборота; - минимизировать расходы по заемным средствам (снижение процентной ставки по кредитам) в кредитных учреждениях; - повысить уровень менеджмента в компании; - проводить на постоянной основе изучение рынков сбыта и снабжения и осуществлять мониторинг собственной доли организации на рынке. Таким образом, подводя краткий итог, отметим, что четко построенная система управления снабженческими процессами имеет важное значение для функционирования и развития организации, являясь фактором повышения эффективности ее деятельности, условием ее устойчивости и жизнеспособности в изменяющейся среде, движущей силой, механизмом ее развития. СПИСОК ИСПОЛЬЗОВАННЫХ ИСТОЧНИКОВ 1. Аникин Б.А., Тяпухин А.П. Коммерческая логистика [Текст]. – М.: Велби, Проспект, 2008. – 432 с. 2. Афанасьева Н.В. Реформирование материально-технического обеспечения в России [Текст]. – СПб.: Питер, 2005. – 144 с. 3. Балашевич М.И., Баско И.М., Висюлин Ф.П. Обеспечение материальными ресурсами и коммерческая деятельность предприятия [Текст]: учеб. пособие для вузов. – Минск: Высшая школа, 2008. – 304 с. 4. Виханский О.С., Наумов А.И. Менеджмент [Текст]. – М.: Гардарика, 1999. – 406 с. 5. Гаджинский А.М. Логистика: Учебник для студентов высших учебных заведений [Текст]. – М.: Дашков и Ко, 2007. – 408 с. 6. Голда З.К., Тимонов Л.А. Организация и планирование материально-технического снабжения предприятия [Текст]. – М.:ДАНА, 1971. – 550 с. 7. Данг Динь Дао Система основных показателей в материально-техническом обеспечении и пути ее совершенствования [Текст]. – М.: ИНФРА-М, 1989. – 244 с. 8. Дородников В.Н. Управление запасами на предприятии [Текст]. – Новосибирск: НГАЭиУ, 2005. – 184 с. 9. Дилфорт Д. Производственный и операционный менеджмент [Текст]. – Минск: Экзамен, 1995. – 448 с. 10. Емельянов А.С. Комплексное совершенствование и эффективность управления материально-техническим снабжением [Текст]. – М.: Вузовский учебник, 1987. – 192 с. 11. Завгородняя А.А., Ямпольская Д.О. Маркетинговое планирование [Текст]. – СПб: Питер, 2005. – 304 с. 12. Зайцев Л.Г., Соколова М.И. Стратегический менеджмент: Учебник [Текст]. – М.: Юристъ, 2005. – 261 с. 13. Ильенкова С.Д. Производственный менеджмент: Учебник для ВУЗов [Текст]. – М.: ЮНИТИ-Дана, 2000. – 488 с. 14. Инютина К.В. Совершенствование планирования и организации материально-технического обеспечения производственных объединений [Текст]. – Л.: Машиностроение, 1986. – 274 с. 15. Кирсанов В.Н. Закупочная деятельность и товарно-материальные запасы [Текст]. – М.:РАГС, 1991. – 668 с. 16. Король А.Н. Конкурентные закупки в коммерческой деятельности промышленного предприятия / А.Н. Король, В.С. Лосев // Актуальные вопросы управления организацией: материалы региональной научно-практической конференции. – Хабаровск, 2008. – С. 163 – 170. 17. Король А.Н. Стимулирование поставщиков при закупочной деятельности предприятия / А.Н. Король // Региональный рынок товаров и услуг: инновационные технологии и организация бизнеса: материалы международной научно-практической конференции. – Хабаровск, 2008. – С. 99 – 104. 18. Краснова В., Матвеева А., Привалов А. Семь нот менеджмента [Текст]. – М.: Альфа-Пресс, 1997. – 256 с. 19. Кукин П.П., Лапин В.Л., Пономарев Н.Л. Безопасность жизнедеятельности. Производственная безопасность и охрана труда: Учебное пособие для ВУЗов [Текст]. – М.: Высшая школа, 2006. – 439 с. 20. Куротченко В.С. Справочник по материально-техническому снабжению и сбыту [Текст]. – М.: Мир, 1986. – 196 с. 21. Леонтьев К.Б. Комментарий к Федеральному закону «Об электронной цифровой подписи» (постатейный) [Текст]. – М.: ТК Велби, 2006. – 64 с. 22. Макаренко М.В., Махалина О.М. Производственный менеджмент: Учебное пособие для ВУЗов [Текст]. – М.: ЮНИТИ-ДАНА,1998. – 279 с. 23. Микитьянц С. Р. Модели процессов материально-технического снабжения [Текст]. – Ленинград: ИРЭРАН,1974. – 294 с. 24. Митяшкина Л.И. Проблемы совершенствования материально-технического снабжения [Текст]. – Алма-Ата: Феникс, 2009. – 368 с. 25. Мэскон М.Х., Альберт М., Хедоури Ф. Основы менеджмента [Текст]. – М.: Дело, 1998. – 494 с. 26. Невелев А.М. Материально-техническое снабжение и сбыт на промышленном предприятии [Текст]. – Киев: Наукова думка, 2008. – 190 с. 27. Никулин А. Перемены к лучшему [Текст] // Мебельное обозрение. – 2010. – № 5. – С. 46-48. 28. Новиков О.А., Уваров С.А. Логистика: Учебное пособие [Текст]. – СПб.: Бизнес-пресса, 1999. – 208 с. 29. Романов П. Сибмебель – 2009: Итоги [Текст] // Мебельный вопрос. – 2009. – №19. – С. 22. 30. Рейх Л.Г. Роль материально-технического снабжения в повышении эффективности производства [Текст]. – Рига: Проспект, 1982. – 334 с. 31. Сариуш-Вольский З., Сковронек Ч. Логистика на предприятии: Учебно-методическое пособие: Пер. с польск. [Текст]. – М.: Финансы и статистика, 2007. – 400 с. 32. Сирополис Н.К. Управление малым бизнесом [Текст]. – М.: Дело, 1997. – 240 с. 33. Фасоляк Н.Д., Бармина З.И. Материально-техническое снабжение [Текст]. – М.: Вузовский учебник, 1985. – 329 с. 34. Фатхутдинов Р.А. Производственный менеджмент: Учебник [Текст]. – М.: Дашков и К, 2009. – 360 с. 35. Хэнссменн Ф. Применение математических методов в управлении производством и запасами [Текст] / Пер. с англ. – М.: Прогресс, 1966. – 280 с. ПРИЛОЖЕНИЕ А Задачи системы управления закупками Таблица А.1 – Задачи управления закупками
ПРИЛОЖЕНИЕ Б Задачи и функции отдела снабженияТаблица Б.1 – Отдел снабжения: задачи и функции
ПРИЛОЖЕНИЕ В Методы снабжения в деятельности предприятия Таблица В.1 – Методы снабжения, их преимущества и недостатки
ПРИЛОЖЕНИЕ Г Принципы формирования и функционирования системы управления материальными ресурсами Таблица Г.1 – Основные принципы формирования и функционирования системы управления материальными ресурсами
ПРИЛОЖЕНИЕ Д Формирование запасов
Рисунок Д.1 – Формирование запасовПРИЛОЖЕНИЕ Е Основные виды издержек на содержание и хранение производственных запасов Таблица Е.1 – Издержки на производственные запасы
ПРИЛОЖЕНИЕ Ж Обобщение результатов PEST-анализа Таблица Ж.1 – Обобщение результатов PEST-анализа
ПРИЛОЖЕНИЕ З Лист оценки конкурентоспособности ОАО «Новосибирская макаронная фабрика» относительно конкурентов А и Б Таблица З.1 – Оценка конкурентоспособности ОАО «НМФ» относительно конкурентов А и Б
|
|||||||||||||||||||||||||||||||||||||||||||||||||||||||||||||||||||||||||||||||||||||||||||||||||||||||||||||||||||||||||||||||||||||||||||||||||||||||||||||||||||||||||||||||||||||||||||||||||||||||||||||||||||||||||||||||||||||||||||||||||||||||||||||||||||||||||||||||||||||||||||||||||||||||||||||||||||||||||||||||||||||||||||||||||||||||||||||||||||||||||||||||||||||||||||||||||||||||||||||||||||||||||||||||||||||||||||||||||||||||||||||||||||||||||||||||||||||||||||||||||||||||||||||||||||||||||||||||||||||||||||||||||||||||||||||||||||||||||||||||||||||||||||||||||||||||||||||||||||||||||||||||||||||||||||||||||||||||||||||||||||||||||||||||||||||||||||||||||||||||||||||||||||||||||||||||||||||||||||||||||||||||||||||||||||||||||||||||||||||||||||||||||||||||||||||||||||||||||||||||||||||||||||||||||||||||||||||||||||||||||||||||||||||||||||||||||||||||||||||||||||||






(1.1)








