Реферат: Геометрические и физические приложения двойных, тройных, криволинейных и поверхностных интеграло
|
Название: Геометрические и физические приложения двойных, тройных, криволинейных и поверхностных интеграло Раздел: Рефераты по математике Тип: реферат | ||||||||||||||||||||
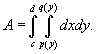
СОДЕРЖАНИЕ 1.Геометрические приложения интегралов 1.1 Геометрические приложения двойных интегралов………….. 3 1.2 Геометрические приложения тройных интегралов………….. 5 1.3 Геометрические приложения криволинейных интегралов… 6 1.4 Геометрические приложения поверхностных интегралов….. 8 2. Физические приложения интегралов 2.1 Физические приложения двойных интегралов……………… 10 2.2 Физические приложения тройных интегралов……………… 12 2.3 Физические приложения криволинейных интегралов……... 14 2.4 Физические приложения поверхностных интегралов……… 18 1.Геометрические приложения интегралов 1.1 Геометрические приложения двойных интегралов 1)Площадь плоской фигуры Если f
(x,y
) = 1 в интеграле
Аналогично, площадь области типа II (элементарной относительно оси Оx ) (рисунок 2) описывается формулой
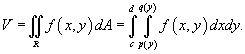
2) Объем тела Если f (x,y ) > 0 в области интегрирования R , то объем цилиндрического тела с основанием R , ограниченного сверху поверхностью z = f (x,y ), выражается формулой
В случае, когда R
является областью типа I, ограниченной линиями
Для области R
типа II, ограниченной графиками функций
Если в области R
выполняется неравенство
3) Площадь поверхности Предположим, что поверхность задана функцией z = f (x,y ), имеющей область определения R . Тогда площадь такой поверхности над областью z определяется формулой
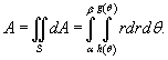
при условии, что частные производные Площадь и объем в полярных координатах Пусть S
является областью, ограниченной линиями
Объем тела, ограниченного сверху поверхностью
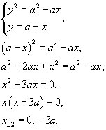
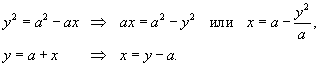
Пример Вычислить площадь области R
, ограниченной линиями Сначала определим точки пересечения двух заданных линий. Следовательно, координаты точек пересечения равны Область R представлена на рисунке 5 выше. Будем рассматривать ее как область типа II. Для вычисления площади преобразуем уравнения границ: Получаем 1.2 Геометрические приложения тройных интегралов Геометрическое приложение - вычисление объема любого пространственного тела. Объем тела U в декартовых координатах Oxyz выражается формулой
В цилиндрических координатах объем тела равен
В сферических координатах, соответственно, используется формула
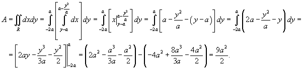
Пример Найти объем шара x 2 + y 2 + z 2 ≤ R 2 . Вычислим объем части шара, расположенной в первом октанте (x ≥ 0, y ≥ 0, z ≥ 0), и затем умножим результат на 8. Получаем В результате получена известная формула для объема шара радиусом R . 1.3 Геометрические приложения криволинейных интегралов Криволинейные интегралы имеют многочисленные приложения в математике, физике и прикладных расчетах. В частности, с их помощью вычисляются · Длина кривой; · Площадь области, ограниченной замкнутой кривой; · Объем тела, образованного вращением замкнутой кривой относительно некоторой оси. Длина кривой Пусть C
является гладкой, кусочно-непрерывной кривой, которая описывается вектором
где
Если кривая C
представляет собой график заданной явно, непрерывной и дифференцируемой функции
Наконец, если кривая C
задана в полярных координатах уравнением
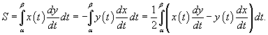
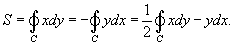
Площадь области, ограниченной замкнутой кривой Пусть C является гладкой, кусочно-непрерывной и замкнутой кривой, заданной в плоскости Oxy (рисунок 1). Тогда площадь области R , ограниченной данной кривой, определяется формулами
Здесь предполагается, что обход кривой C
производится против часовой стрелки.
Объем тела, образованного вращением замкнутой кривой относительно оси Ox Предположим, что область R расположена в верхней полуплоскости y ≥ 0 и ограничена гладкой, кусочно-непрерывной и замкнутой кривой C , обход которой осуществляется против часовой стрелки. В результате вращения области R вокруг оси Ox образуется тело Ω (рисунок 2). Объем данного тела определяется формулами
1.4 Геометрические приложения поверхностных интегралов С помощью поверхностных интегралов вычисляются
Площадь поверхности Пусть S является гладкой, кусочно-непрерывной поверхностью. Площадь поверхности определяется интегралом
Если поверхность S задана параметрически с помощью вектора
то площадь поверхности будет равна
где D (u,v ) − это область, в которой задана поверхность. Если поверхность S задана в явном виде функцией z (x,y ), то площадь поверхности выражается формулой
где D (x,y ) − проекция поверхности S на плоскость xy . Объем тела, ограниченного замкнутой поверхностью Предположим, что тело ограничено некоторой гладкой, замкнутой поверхностью S . Тогда объем тела определяется по формуле
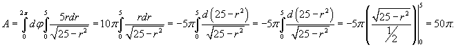
Пример Вычислить площадь поверхности части параболоида Площади заданной поверхности равна Переходя к полярным координатам, находим ответ: 2. Физические приложения интегралов 2.1Физические приложения двойных интегралов Масса и статические моменты пластины Предположим, что плоская пластина изготовлена из неоднородного материала и занимает область R
в плоскости Oxy
. Пусть плотность пластины в точке (x, y
) в области R
равна
Статический момент пластины относительно оси Ox определяется формулой
Аналогично находится статический момент пластины относительно оси Oy :
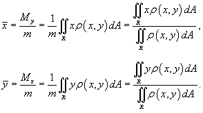
Координаты центра масс пластины
, занимающей область R
в плоскости Oxy
с плотностью, распределенной по закону
Для однородной пластины с плотностью Моменты инерции пластины Момент инерции пластины относительно оси Ox выражается формулой
Аналогично вычисляется момент инерции пластины относительно оси Oy :
Полярный момент инерции пластины равен
Заряд пластины Предположим, что электрический заряд распределен по области R
в плоскости Oxy
и его плотность распределения задана функцией
Среднее значение функции Приведем также формулу дял расчета среднего значения некоторой распределенной величины. Пусть f (x,y ) является непрерывной функцией в замкнутой области R в плоскости Oxy . Среднее значение функции μ функции f (x,y ) в области R определяется формулой
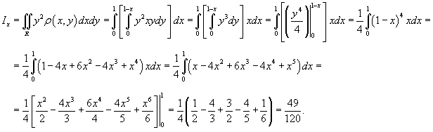
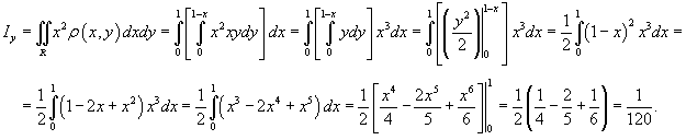
где Пример Вычислить моменты инерции треугольника, ограниченного прямыми Найдем момент инерции пластины относительно оси Ox . Аналогично вычислим момент инерции относительно оси Oy . 2.2 Физические приложения тройных интегралов Масса и статические моменты тела Пусть тело занимает объем U и его объемная плотность в точке M (x,y,z ) задана функцией ρ (x,y,z ). Тогда масса тела m вычисляется с помощью тройного интеграла:
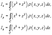
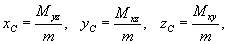
Статические моменты тела относительно координатных плоскостей Oxy, Oxz, Oyz выражаются формулами
Координаты центра тяжести тела вычисляются по формулам:
Если тело является однородным с плотностью ρ (x,y,z ) = 1 для точек M (x,y,z ) в области U , то центр тяжести тела зависит только от геометрии тела и называется центроидом . Моменты инерции тела Моменты инерции тела относительно координатных плоскостей Oxy, Oxz, Oyz определяются выражениями
а моменты инерции тела относительно координатных осей Ox, Oy, Oz вычисляются по формулам
Как видно, справедливы соотношения
Моментом инерции тела относительно начала координат называется интеграл
Момент инерции относительно начала координат можно выразить через моменты инерции относительно координатных плоскостей:
Тензор инерции Используя рассмотренные выше 6 чисел Ix , Iy , Iz , Ixy , Ixz , Iyz , можно составить так называемую матрицу инерции или тензор инерции тела:
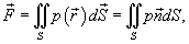
Данный тензор является симметричным, и, следовательно, его можно привести к диагональному виду при определенном выборе осей Ox', Oy', Oz' . Значения диагональных элементов (после приведения тензора к диагональному виду) называются главными моментами инерции , а указанные направления − собственными векторами или главными осями инерции . Если тело вращается вокруг оси, не совпадаюшей с главной осью инерции, то оно будет испытывать вибрации при высоких скоростях вращения. Поэтому, при конструировании таких устройств необходимо, чтобы ось вращения совпадала с одной из главных осей инерции. Например, при замене шин автомобиля проводится их балансировка: небольшие грузики добавляются к колесам, чтобы обеспечить совпадение оси вращения с главной осью инерции и исключить вибрации. Гравитационный потенциал и сила тяготения Ньютоновым потенциалом тела в точке P (x,y,z ) называется интеграл
где ρ
(ξ,η,ζ
) − плотность тела, и Интегрирование выполняется по всему объему тела. Зная потенциал, можно вычислить силу притяжения материальной точки массы m и заданного распределенного тела с плотностью ρ (ξ,η,ζ ) по формуле
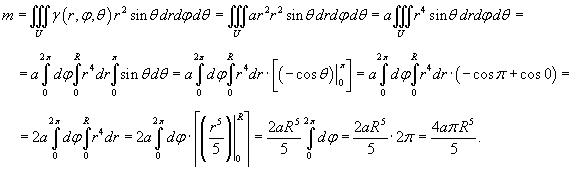
где G − гравитационная постоянная. Пример Найти массу шара радиуса R , плотность γ которого пропорциональна квадрату расстояния от центра. По условию, плотность γ задана соотношением γ = ar 2 , где a − некоторая постоянная, r − расстояние от центра. Массу шара удобно вычислить в сферических координатах: 2.3 Физические приложения криволинейных интегралов С помощью криволинейных интегралов вычисляются 1) Масса кривой; 2) Центр масс и моменты инерции кривой; 3) Работа при перемещении тела в силовом поле; 4) Магнитное поле вокруг проводника с током (Закон Ампера); 5) Электромагнитная индукция в замкнутом контуре при изменении магнитного потока (Закон Фарадея). Рассмотрим эти приложения более подробно с примерами. Масса кривой Предположим, что кусок проволоки описывается некоторой пространственной кривой C . Пусть масса распределена вдоль этой кривой с плотностью ρ (x,y,z ). Тогда общая масса кривой выражается через криволинейный интеграл первого рода
Если кривая C
задана в параметрическом виде с помощью векторной функции
В случае плоской кривой, заданной в плоскости Oxy , масса определяется как
или в параметрической форме
Центр масс и моменты инерции кривой Пусть снова кусок проволоки описывается некоторой кривой C , а распределение массы вдоль кривой задано непрерывной функцией плотности ρ (x,y,z ). Тогда координаты центра масс кривой определяются формулами
где
− так называемые моменты первого порядка
.
Работа поля Работа при перемещении тела в силовом поле
где
то работа поля вычисляется по формуле
В частном случае, когда тело двигается вдоль плоской кривой C в плоскости Oxy , справедлива формула
Где Если траектория движения C определена через параметр t (t часто означает время), то формула для вычисления работы принимает вид
где t
изменяется в интервале от α
до β
. Если векторное поле
Закон Ампера Криволинейный интеграл от магнитного поля с индукцией
где Закон Фарадея Электродвижущая сила ε , наведенная в замкнутом контуре C , равна скорости изменения магнитного потока ψ , проходящего через данный контур (рисунок 3).
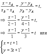
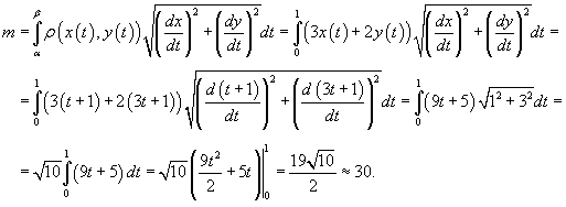
Пример Определить массу проволоки, имеющей форму отрезка от точки A
(1,1) до B
(2,4). Масса распределена вдоль отрезка с плотностью Решение.
Составим сначала параметрическое уравнение прямой AB
. где параметр t изменяется в интервале [0,1]. Тогда масса проволоки равна 2.4 Физические приложения поверхностных интегралов Поверхностные интегралы применяются во многих прикладных расчетах. В частности, с их помощью вычисляются
Масса оболочки Пусть S
представляет собой тонкую гладкую оболочку. Распределение массы оболочки описывается функцией плотности
Центр масс и моменты инерции оболочки Пусть распределение массы m
в тонкой оболочке описывается непрерывной функцией плотности
где
− так называемые моменты первого порядка относительно координатных плоскостей x = 0, y = 0 и z = 0, соответственно. Моменты инерции оболочки относительно осей Ox, Oy, Oz выражаются, соответственно, формулами
Моменты инерции оболочки относительно плоскостей xy, yz, xz определяются формулами
Сила притяжения поверхности Пусть задана поверхность S , а в точке (x 0 , y 0 , z 0 ), не принадлежащей поверхности, находится тело массой m (рисунок 1).
Сила притяжения между поверхностью S и точечным телом m определяется выражением
где Сила давления Предположим, что поверхность S
задана вектором
Давление, по определению, действует в направлении вектора нормали к поверхности S в каждой точке. Поэтому, мы можем записать
где Поток жидкости и поток вещества Если в качестве векторного поля рассматривается скорость жидкости
Аналогично, поток векторного поля
Он численно равен массе вещества, проходящего через поверхность S в единицу времени. Заряд поверхности Пусть величина
Теорема Гаусса Поток электрического смещения
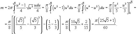
где Пример Найти массу параболической оболочки, заданной уравнением Воспользуемся формулой Проекция D (x,y ) параболической поверхности S на плоскость xy представляет собой круг радиусом 1 с центром в начале координат. Следовательно, можно записать Переходя в подынтегральном выражении к полярным координатам, получаем Сделаем подстановку |












































