Реферат: Лекции по Математике 2
|
Название: Лекции по Математике 2 Раздел: Рефераты по математике Тип: реферат | |||||||||||||||||||||||||||||||||||||||||||||||||||||||||||||||||||||||||||||||||
Законы сложения и умножения Переместительный (коммутативный) закон сложения: m + n = n + m . Сумма не меняется от перестановки её слагаемых. Переместительный (коммутативный) закон умножения: m · n = n · m . Произведение не меняется от перестановки его сомножителей. Сочетательный (ассоциативный) закон сложения: ( m + n ) + k = m + ( n + k ) = m + n + k . Сумма не зависит от группировки её слагаемых. Сочетательный (ассоциативный) закон умножения: ( m · n ) · k = m · ( n · k ) = m · n · k . Произведение не зависит от группировки его сомножителей. Распределительный (дистрибутивный) закон умножения относительно сложения: ( m + n ) · k = m · k + n · k . Этот закон фактически расширяет правила действий со скобками (см. предыдущий параграф “Порядок действий. Скобки”). Признаки делимости Признаки делимости на 2, 4, 8, 3, 9, 6, 5, 25, 10, 100, 1000, 11. Признак делимости на 2. Число делится на 2, если его последняя цифра - ноль или делится на 2. Числа, делящиеся на два, называются чётными, не делящиеся на два – нечётными. Признак делимости на 4. Число делится на 4, если две его последние цифры - нули или образуют число, которое делится на 4. Признак делимости на 8. Число делится на 8, если три его последние цифры - нули или образуют число, которое делится на 8. Признаки делимости на 3 и 9. Число делится на 3, если его сумма цифр делится на 3. Число делится на 9, если его сумма цифр делится на 9. Признак делимости на 6. Число делится на 6, если оно делится на 2 и на 3. Признак делимости на 5. Число делится на 5, если его последняя цифра - ноль или 5. Признак делимости на 25. Число делится на 25, если две его последние цифры - нули или образуют число, которое делится на 25. Признак делимости на 10. Число делится на 10, если его последняя цифра - ноль. Признак делимости на 100. Число делится на 100, если две его последние цифры – нули. Признак делимости на 1000. Число делится на 1000, если три его последние цифры – нули. Признак делимости на 11. На 11 делятся только те числа, у которых сумма цифр, стоящих на нечётных местах, либо равна сумме цифр, стоящих на чётных местах, либо отличается от неё на число, делящееся на 11. Существуют признаки делимости и для некоторых других чисел, однако они более сложные и в программе средней школы не рассматриваются. П р и м е р . Число 378015 делится на 3, так как сумма его цифр равна: 3 + 7 + 8 + 0 + 1 + 5 = 24, а это число делится на 3. Данное число делится на 5, так как его последняя цифра 5. Наконец, это число делится на 11, так как суммы его чётных цифр: 3 + 8 + 1 = 12 и нечётных цифр 7 + 0 + 5 = 12 равны. Но это число не делится на 2, 4, 6, 8, 9, 10, 25, 100 и 1000, так как … А вот эти случаи вы проверите самостоятельно! Простые и составные числа Все целые числа (кроме 0 и 1) имеют минимум два делителя: 1 и самого себя. Числа, не имеющие других делителей, называются простыми числами. Числа, имеющие другие делители, называются составными (или сложными) числами. Простых чисел – бесконечное множество. Ниже приведены простые числа, не превосходящие 200: 2, 3, 5, 7, 11, 13, 17, 19, 23, 29, 31, 37, 41, 43, 47, 53, 59, 61, 67, 71, 73, 79, 83, 89, 97, 101, 103, 107, 109, 113, 127, 131, 137, 139, 149, 151, 157, 163, 167, 173, 179, 181, 191, 193, 197, 199. Разложение на простые множители Всякое составное число может быть единственным образом представлено в виде произведения простых множителей. Например, 48 = 2 · 2 · 2 · 2 · 3, 225 = 3 · 3 · 5 · 5, 1050 = 2 · 3 · 5 · 5 · 7 . Для небольших чисел это разложение легко делается на основе таблицы умножения. Для больших чисел рекомендуем пользоваться следующим способом, который рассмотрим на конкретном примере. Разложим на простые множители число 1463. Для этого воспользуемся таблицей простых чисел: 2, 3, 5, 7, 11, 13, 17, 19, 23, 29, 31, 37, 41, 43, 47, 53, 59, 61, 67, 71, 73, 79, 83, 89, 97, 101, 103, 107, 109, 113, 127, 131, 137, 139, 149, 151, 157, 163, 167, 173, 179, 181, 191, 193, 197, 199. Перебираем числа по этой таблице и останавливаемся на том числе, которое является делителем данного числа. В нашем примере это 7. Делим 1463 на 7 и получаем 209. Теперь повторяем процесс перебора простых чисел для 209 и останавливаемся на числе 11, которое является его делителем (см. параграф “Признаки делимости”). Делим 209 на 11 и получаем 19, которое в соответствии с этой же таблицей является простым числом. Таким образом, имеем: 1463 = 7 ∙ 11 ∙ 19, т.е. простыми делителями числа 1463 являются 7, 11 и 19. Описанный процесс можно записать следующим образом: Делимое Делитель Наибольший общий делитель Общий делитель. Наибольший общий делитель. Общим делителем нескольких чисел называется число, которое является делите-лем каждого из них. Например, числа 36, 60, 42 имеют общие делители 2, 3 и 6. Среди всех общих делителей всегда есть наибольший, в данном случае это 6. Это и есть наибольший общий делитель (НОД). Чтобы найти наибольший общий делитель (НОД) нескольких чисел надо: 1) представить каждое число как произведение его простых множителей, например: 360 = 2 · 2 · 2 · 3 · 3 · 5 , 2) записать степени всех простых множителей: 360 = 2 · 2 · 2 · 3 · 3 · 5 = 23 · 32 · 51, 3) выписать все общие делители (множители) этих чисел; 4) выбрать наименьшую степень каждого из них, встретившуюся во всех произведениях; 5) перемножить эти степени. П р и м е р . Найти НОД чисел: 168, 180 и 3024. Р е ш е н и е . 168 = 2 · 2 · 2 · 3 · 7 = 23 · 31 · 71 , 180 = 2 · 2 · 3 · 3 · 5 = 22 · 32 · 51 , 3024 = 2 · 2 · 2 · 2 · 3 · 3 · 3 · 7 = 24 · 33 · 71 . Выпишем наименьшие степени общих делителей 2 и 3 и перемножим их: НОД = 22 · 31 = 12 . Наименьшее общее кратное Общее кратное. Наименьшее общее кратное. Общим кратным нескольких чисел называется число, которое делится на каждое из этих чисел. Например, числа 9, 18 и 45 имеют общее кратное 180. Но 90 и 360 – тоже их общие кратные. Среди всех общих кратных всегда есть наименьшее, в данном случае это 90. Это число называется наименьшим общим кратным (НОК). Чтобы найти наименьшее общее кратное (НОК) нескольких чисел надо: 1) представить каждое число как произведение его простых множителей, например: 504 = 2 · 2 · 2 · 3 · 3 · 7 , 2) записать степени всех простых множителей: 504 = 2 · 2 · 2 · 3 · 3 · 7 = 23 · 32 · 71, 3) выписать все простые делители (множители) каждого из этих чисел; 4) выбрать наибольшую степень каждого из них, встретившуюся во всех разложениях этих чисел; 5) перемножить эти степени. П р и м е р . Найти НОК чисел: 168, 180 и 3024. Р е ш е н и е . 168 = 2 · 2 · 2 · 3 · 7 = 23 · 31 · 71 , 180 = 2 · 2 · 3 · 3 · 5 = 22 · 32 · 51 , 3024 = 2 · 2 · 2 · 2 · 3 · 3 · 3 · 7 = 24 · 33 · 71 . Выписываем наибольшие степени всех простых делителей и перемножаем их: НОК = 24 · 33 · 51 · 71 = 15120 . Обыкновенные (простые) дроби Обыкновенная (простая) дробь. Числитель и знаменатель дроби. Правильная и неправильная дробь. Смешанное число. Неполное частное. Целая и дробная часть. Обратные дроби. Часть единицы или несколько её частей называются обыкновенной или простой дробью. Количество равных частей, на которые делится единица, называется знаменателем, а количество взятых частей – числителем. Дробь записывается в виде:
Здесь 3 – числитель, 7 – знаменатель. Если числитель меньше знаменателя, то дробь меньше 1 и называется правильной дробью. Если числитель равен знаменателю, то дробь равна 1. Если числитель больше знаменателя, то дробь больше 1. В обоих последних случаях дробь называется неправильной. Если числитель делится на знаменатель, то эта дробь равна частному от деления: 63 / 7 = 9. Если деление выполняется с остатком, то эта неправильная дробь может быть представлена смешанным числом:
Здесь 9 – неполное частное (целая часть смешанного числа), 2 – остаток (числитель дробной части), 7 – знаменатель. Часто бывает необходимо решать обратную задачу – обратить смешанное число в дробь. Для этого умножаем целую часть смешанного числа на знаменатель и прибавляем числитель дробной части. Это будет числитель обыкновенной дроби, а знаменатель остаётся прежним.
Обратные дроби – это две дроби, произведение которых равно 1. Например, 3 / 7 и 7 / 3 ; 15 / 1 и 1 / 15 и т.д. Действия с обыкновенными дробями Расширение дроби. Сокращение дроби. Сравнение дробей. Приведение к общему знаменателю. Сложение и вычитание дробей. Умножение дробей. Деление дробей. Расширение дроби. Значение дроби не меняется, если умножить её числитель и знаменатель на одно и то же число, отличное от нуля. Это преобразование называется расширением дроби. Например,
Сокращение дроби. Значение дроби не меняется, если разделить её числитель и знаменатель на одно и то же число, отличное от нуля. Это преобразование называется сокращением дроби. Например,
Сравнение дробей. Из двух дробей с одинаковыми числителями та больше, знаменатель которой меньше:
Из двух дробей с одинаковыми знаменателями та больше, числитель которой больше:
Для сравнения дробей, у которых числители и знаменатели различны, необходимо расширить их, чтобы привести к общему знаменателю. П р и м е р . Сравнить две дроби:
Использованное здесь преобразование называется приведением дробей к общему знаменателю. Сложение и вычитание дробей. Если знаменатели дробей одинаковы, то для того, чтобы сложить дроби, надо сложить их числители, а для того, чтобы вычесть дроби, надо вычесть их числители (в том же порядке). Полученная сумма или разность будет числителем результата; знаменатель останется тем же. Если знаменатели дробей различны, необходимо сначала привести дроби к общему знаменателю. При сложении смешанных чисел их целые и дробные части складываются отдельно. При вычитании смешанных чисел мы рекомендуем сначала преобразовать их к виду неправильных дробей, затем вычесть из одной другую, а после этого вновь привести результат, если требуется, к виду смешанного числа. П р и м е р .
Умножение дробей. Умножить некоторое число на дробь означает умножить его на числитель и разделить произведение на знаменатель. Следовательно, мы имеем общее правило умножения дробей: для перемножения дробей необходимо перемножить отдельно их числители и знаменатели и разделить первое произведение на второе. П р и м е р .
Деление дробей. Для того, чтобы разделить некоторое число на дробь, необходимо умножить это число на обратную дробь. Это правило вытекает из определения деления (см. раздел “Арифметические операции”). П р и м е р . Десятичные дроби Десятичная дробь. Целая часть. Десятичная точка. Десятичные знаки. Свойства десятичных дробей. Периодическая десятичная дробь. Период. Десятичная дробь есть результат деления единицы на десять, сто, тысячу и т.д. частей. Эти дроби очень удобны для вычислений, так как они основаны на той же позиционной системе, на которой построены счёт и запись целых чисел. Благодаря этому запись и правила действий с десятичными дробями фактически те же, что и для целых чисел. При записи десятичных дробей нет необходимости отмечать знаменатель, это определяется местом, которое занимает соответствующая цифра. Сначала пишется целая часть числа, затем справа ставится десятичная точка. Первая цифра после десятичной точки означает число десятых, вторая – число сотых, третья – число тысячных и т.д. Цифры, расположенные после десятичной точки, называются десятичными знаками. П р и м е р . Одно из преимуществ десятичных дробей – они легко приводятся к виду обыкновенных: число после десятичной точки (в нашем случае 5047) – это числитель; знаменатель же равен n–ой степени 10, где n - количество десятичных знаков (в нашем случае n = 4):
Если десятичная дробь не содержит целой части, то перед десятичной точкой ставится ноль:
Свойства десятичных дробей. 1. Десятичная дробь не меняется, если справа добавить нули: 13.6 =13.6000. 2. Десятичная дробь не меняется, если удалить нули, расположенные в конце десятичной дроби: 0.00123000 = 0.00123 . Внимание! Нельзя удалять нули, расположенные не в конце десятичной дроби!
Эти свойства позволяют быстро умножать и делить десятичные дроби на 10, 100, 1000 и т.д. Периодическая десятичная дробь содержит бесконечно повторяющуюся группу цифр, называемую периодом. Период записывается в скобках. Например, 0.12345123451234512345… = 0.(12345). П р и м е р . Если разделить 47 на 11, то получим 4.27272727… = 4.(27). Действия с десятичными дробями Сложение и вычитание десятичных дробей. Умножение десятичных дробей. Деление десятичных дробей. Сложение и вычитание десятичных дробей. Эти операции выполняются так же, как и сложение и вычитание целых чисел. Необходимо только записать соответствующие десятичные знаки один под другим. П р и м е р . Умножение десятичных дробей. На первом этапе перемножаем десятичные дроби как целые числа, не принимая во внимание десятичную точку. Затем применяется следующее правило: количество десятичных знаков в произведении равно сумме десятичных знаков во всех сомножителях. Замечание: до простановки десятичной точки в произведении нельзя отбрасывать нули в конце! П р и м е р . Сумма чисел десятичных знаков в сомножителях равна: 3 + 4 = 7. Сумма цифр в произведении равна 6. Поэтому необходимо добавить один ноль слева: 0197056 и проставить перед ним десятичную точку: 0.0197056. Деление десятичных дробей Деление десятичной дроби на целое число Если делимое меньше делителя, записываем ноль в целой части частного и ставим после него десятичную точку. Затем, не принимая во внимание десятичную точку делимого, присоединяем к его целой части следующую цифру дробной части и опять сравниваем полученную целую часть делимого с делителем. Если новое число опять меньше делителя, ставим ещё один ноль после десятичной точки в частном и присоединяем к целой части делимого следующую цифру его дробной части. Этот процесс повторяем до тех пор, пока полученное делимое не станет больше делителя. После этого деление выполняется, как для целых чисел. Если делимое больше делителя или равно ему, сначала делим его целую часть, записываем результат деления в частном и ставим десятичную точку. После этого деление продолжается, как в случае целых чисел. П р и м е р . Разделить 1.328 на 64. Р е ш е н и е : Деление одной десятичной дроби на другую. Сначала переносим десятичные точки в делимом и делителе на число десятичных знаков в делителе, то есть делаем делитель целым числом. Теперь выполняем деление, как в предыдущем случае. П р и м е р . Разделить 0.04569 на 0.0006. Р е ш е н и е. Переносим десятичные точки на 4 позиции вправо и делим 456.9 на 6: Обращение десятичной дроби в обыкновенную и обратно Для того, чтобы обратить десятичную дробь в обыкновенную, надо в качестве числителя взять число, стоящее после десятичной точки, а в качестве знаменателя взять n-ую степень десяти ( здесь n – количество десятичных знаков ). Отличная от нуля целая часть сохраняется в обыкновенной дроби; нулевая целая часть опускается. Например:
Для того, чтобы обратить обыкновенную дробь в десятичную, надо разделить числитель на знаменатель в соответствии с правилами деления. П р и м е р . Обратить 5 / 8 в десятичную дробь. Р е ш е н и е . Деля 5 на 8, получаем 0.625. ( Проверьте, пожалуйста! ). В большинстве случаев этот процесс может продолжаться бесконечно. Тогда невозможно точно обратить обыкновенную дробь в десятичную. Но на практике это никогда и не требуется. Деление прерывается, если представляющие интерес десятичные знаки уже получены. П р и м е р . Обратить 1 / 3 в десятичную дробь. Р е ш е н и е . Деление 1 на 3 будет бесконечным: 1:3 = 0.3333… . Проверьте это, пожалуйста! Проценты Процент – это сотая часть единицы. Запись 1% означает 0.01. Существует три основных типа задач на проценты:
Р е ш е н и е : 10000 · 6 : 100 = 600 руб.
Р е ш е н и е : 1500 : 7.5 · 100 = 20000 руб.
Р е ш е н и е : 36000 : 40000 · 100 = 90% . Отношение и пропорция. Пропорциональность Отношение. Пропорция. Основное свойство пропорции. Пропорциональные величины. Коэффициент пропорциональности. Отношение – это частное от деления одного числа на другое. Пропорция – это равенство двух отношений. Например, 12 : 20 = 3 : 5; a : b = c : в . Крайние члены пропорции: 12 и 5 в первой пропорции; a и в – во второй. Средние члены пропорции: 20 и 3 в первой пропорции; b и с – во второй. Основное свойство пропорции: Произведение крайних членов пропорции равно произведению её средних членов. Две взаимно зависимых величины называются пропорциональными, если отношение их величин сохраняется неизменным. Это постоянное отношение пропорциональных величин называется коэффициентом пропорциональности.
Действия с отрицательными и положительными числами Абсолютная величина (модуль). Сложение. Вычитание. Умножение. Деление. Абсолютная величина ( модуль ). Для отрицательного числа – это положительное число, получаемое от перемены его знака с « – » на « + »; для положительного числа и нуля – само это число. Для обозначения абсолютной величины (модуля) числа используются две прямые черты, внутри которых записывается это число. П р и м е р ы : | – 5 | = 5, | 7 | = 7, | 0 | = 0.
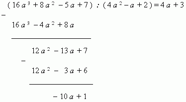
Вычитание. Можно заменить вычитание двух чисел сложением, при этом уменьшаемое сохраняет свой знак, а вычитаемое берётся с обратным знаком. П р и м е р ы : ( + 8 ) – ( + 5 ) = ( + 8 ) + ( – 5 ) = 3; ( + 8 ) – ( – 5 ) = ( + 8 ) + ( + 5 ) = 13; ( – 8 ) – ( – 5 ) = ( – 8 ) + ( + 5 ) = – 3; ( – 8 ) – ( + 5 ) = ( – 8 ) + ( – 5 ) = – 13; Умножение. При умножении двух чисел их абсолютные величины умножаются, а произведение принимает знак « + » , если знаки сомножителей одинаковы, и знак « – » , если знаки сомножителей разные. Полезна следующая схема (правила знаков при умножении): + · + = + + · – = – – · + = – – · – = + При умножении нескольких чисел ( двух и более ) произведение имеет знак « + » , если число отрицательных сомножителей чётно, и знак « – » , если их число нечётно. П р и м е р : Деление. При делении двух чисел абсолютная величина делимого делится на абсолютную величину делителя, а частное принимает знак « + » , если знаки делимого и делителя одинаковы, и знак « – » , если знаки делимого и делителя разные. Здесь действуют те же правила знаков, что и при умножении: + : + = + + : – = – – : + = – – : – = + П р и м е р : ( – 12 ) : ( + 4 ) = – 3 . Одночлены и многочлены Одночлен. Коэффициент. Числовой множитель. Подобные одночлены. Степень одночлена. Сложение одночленов. Приведение подобных членов. Вынесение за скобки. Умножение одночленов. Деление одночленов. Многочлен. Степень многочлена. Умножение сумм и многочленов. Раскрытие скобок. Одночлен – это произведение двух или нескольких сомножителей, каждый из которых либо число, либо буква, либо степень буквы. Например, 3 a 2 b 4 , b в 3 , – 17 a b c - одночлены. Единственное число или единственная буква также могут считаться одночленом. Любой множитель в одночлене называется коэффициентом. Часто коэффициентом называют лишь числовой множитель. Одночлены называются подобными, если они одинаковы или отличаются лишь коэффициентами. Поэтому, если два или несколько одночленов имеют одинаковые буквы или их степени, они также подобны. Степень одночлена – это сумма показателей степеней всех его букв. Сложение одночленов. Если среди суммы одночленов есть подобные, то сумма может быть приведена к более простому виду: a x 3 y 2 – 5 b 3 x 3 y 2 + c 5 x 3 y 2 = ( a – 5 b 3 + c 5 ) x 3 y 2 . Эта операция называется приведением подобных членов. Выполненное здесь действие называется также вынесением за скобки. Умножение одночленов. Произведение нескольких одночленов можно упростить, если только оно содержит степени одних и тех же букв или числовые коэффициенты. В этом случае показатели степеней складываются, а числовые коэффициенты перемножаются. П р и м е р : 5 a x 3 z 8 ( – 7 a 3 x 3 y 2 ) = – 35 a 4 x 6 y 2 z 8 . Деление одночленов. Частное двух одночленов можно упростить, если делимое и делитель имеют некоторые степени одних и тех же букв или числовые коэффициенты. В этом случае показатель степени делителя вычитается из показателя степени делимого, а числовой коэффициент делимого делится на числовой коэффициент делителя. П р и м е р : 35 a 4 x 3 z 9 : 7 a x 2 z 6 = 5 a 3 x z 3 . Многочлен - это алгебраическая сумма одночленов. Степень многочлена есть наибольшая из степеней одночленов, входящих в данный многочлен. Умножение сумм и многочленов. Произведение суммы двух или нескольких выражений на любое выражение равно сумме произведений каждого из слагаемых на это выражение: ( p+ q+ r ) a = pa+ qa+ ra раскрытие скобок. Вместо букв p, q, r, a может быть взято любое выражение. П р и м е р : ( x+ y+ z )( a+ b ) = x( a+ b ) + y( a+ b ) + z( a+ b ) = = xa + xb + ya + yb + za + zb . Произведение сумм равно сумме всех возможных произведений каждого слагаемого одной суммы на каждое слагаемое другой суммы. Формулы сокращённого умножения Из правил умножения сумм и многочленов легко получить следующие семь формул сокращённого умножения. Их следует знать наизусть, так как они применяются практически во всех задачах по математике. [1] ( a + b )² = a² + 2ab + b² , [2] ( a – b )² = a² – 2ab + b² , [3] ( a + b ) ( a – b ) = a² – b², [4] ( a + b )³ = a³ + 3a² b + 3ab² + b³ , [5] ( a – b )³ = a ³ – 3a² b + 3ab² – b³ , [6] ( a + b )( a² – ab + b² ) = a³ + b³ , [7] ( a – b )( a ² + ab + b² ) = a³ – b³ . П р и м е р . Вычислить 99³, используя формулу [5] . Р е ш е н и е : 99³ = (100 – 1)³ = 1000000 – 3 · 10000 · 1 + 3 · 100 · 1 – 1 = 970299. Деление многочленов Что значит разделить один многочлен P на другой Q ? Это значит найти многочлены М (частное) и N (остаток), удовлетворяющие двум требованиям: 1) имеет место равенство: MQ + N = P ; 2) степень многочлена N меньше степени многочлена Q. Деление многочленов может быть выполнено по следующей схеме:
1) Делим первый член 16a³ делимого на первый член 4a² делителя; результат 4a является первым членом частного. 2) Умножаем полученное выражение 4a на делитель 4a² – a + 2 ; записываем результат 16a³ – 4a² + 8a под делимым (один подобный член под другим). 3) Вычитаем почленно этот результат из делимого и сносим вниз следующий по порядку член делимого 7; получаем остаток 12a² –13a + 7 . 4) Делим первый член 12a² этого выражения на первый член 4a² делителя; результат 3 – это второй член частного. 5) Умножаем этот второй член частного 3 на делитель 4a² – a + 2 и вновь записываем результат 12a² – 3a + 6 под делимым (один подобный член под другим). 6) Вычитаем почленно полученный результат из предыдущего остатка и получаем второй остаток: – 10a + 1. Его степень меньше степени делителя, поэтому деление заканчивается. В результате получили частное 4a + 3 и остаток –10 a + 1. Деление многочлена на линейный двучлен Линейный двучлен. Теорема Безу. Линейный двучлен есть многочлен первой степени: a x + b. Если разделить многочлен, содержащий букву x , на линейный двучлен x – b, где b – некоторое число (положительное или отрицательное), то остаток будет только многочленом нулевой степени (см. параграф “Деление многочленов”), т.е. некоторым числом N , которое можно определить, не находя частного. Более точно, это число равно значению многочлена, получаемому при x = b. Это свойство вытекает из теоремы Безу: многочлен a0 xm + a1 xm-1 + a2 xm-2 + …+ am делится на двучлен x – b с остатком N = a0 bm + a1 bm-1 + a2 bm-2 + …+ bm . Д о к а з а т е л ь с т в о . В соответствии с определением операции деления многочленов (см. параграф “Деление многочленов”) мы имеем: a0 xm + a1 xm-1 + a2 xm-2 + …+ am = ( x – b ) Q + N , где Q – некоторый многочлен, N – некоторое число. Подставим x = b , тогда слагаемое ( x – b ) Q обращается в нуль, и мы получаем: a0 bm + a1 bm-1 + a2 bm-2 + …+ am = N . З а м е ч а н и е . При N = 0 число b является корнем уравнения: a0 xm + a1 xm-1 + a2 xm-2 + …+ am = 0 . Теорема доказана. Делимость двучленов Cледствием теоремы Безу являются следующие признаки делимости двучленов:
П р и м е р ы : ( x2 – a2 ) : ( x – a ) = x + a ; Разложение многочленов на множители В общем случае разложение многочленов на множители не всегда возможно. Но существует несколько случаев, когда это выполнимо.
Алгебраические дроби Алгебраическая дробь. Сокращение дробей. Сложение и вычитание дробей. Умножение и деление дробей. Алгебраическая дробь – это выражение вида A / B, где A и B могут быть числом, одночленом, многочленом. Как и в арифметике, A называется числителем, B – знаменателем. Арифметическая дробь является частным случаем алгебраической. Сокращение дробей П р и м е р :
Сложение и вычитание дробей Для сложения или вычитания двух или нескольких дробей, необходимо выполнить те же самые действия, что и в арифметике. П р и м е р :
Умножение и деление дробей Умножение и деление алгебраических дробей ничем не отличаются от тех же действий в арифметике. Сокращение дроби можно выполнить как до, так и после умножения числителей и знаменателей. П р и м е р :
Пропорции Пропорция. Свойства пропорций. Производные пропорции. Пропорция – это равенство двух отношений. Из пропорции И наоборот, из равенства ad = bc следуют пропорции:
Все эти пропорции, а также некоторые другие, могут быть получены из исходной пропорции a / b = c / в по нижеследующим правилам. Накрест-лежащие члены любой пропорции можно поменять местами. Отношения в любой пропорции можно заменить обратными. Производные пропорции. Если
Эти и другие пропорции могут быть объединены двумя основными формулами:
П р и м е р : Если m = n = k = 1, l = 0, то мы получим:
Основные методы решения уравнений Что такое решение уравнения? Тождественное преобразование. Основные виды тождественных преобразований. Посторонний корень. Потеря корня. Решение уравнения – это процесс, состоящий в основном в замене заданного уравнения другим уравнением, ему равносильным. Такая замена называется тождественным преобразованием. Основные тождественные преобразования следующие:
Линейные уравнения с одним неизвестным Линейным уравнением с одним неизвестным называется уравнение вида: ax + b = 0, где a и b – известные числа, а x – неизвестная величина. Решить уравнение – значит найти численное значение неизвестного x , при котором это уравнение обращается в тождество. Если a не равно нулю ( a ≠ 0 ), то решение (корень) уравнения имеет вид:
Если a = 0, то возможны два случая: 1. b = 0, тогда 0 · x + 0 = 0. Здесь x может быть любым числом ( проверьте ! ). 2. b ≠ 0, тогда 0 · x + b = 0. Здесь нет решений ( проверьте и это!). лежащие выражения: x² + 2x = x² – 2x + x – 2 . Перенесём все члены в левую часть уравнения. После приведения подобных членов получим: 3x + 2 = 0, откуда x = – 2 / 3 . Системы двух линейных уравнений с двумя неизвестными Системы двух линейных уравнений с двумя неизвестными. Основные методы решения: подстановка, сложение или вычитание. Определители второго порядка. Правило Крамера. Исследование решений системы уравнений. Системы двух линейных уравнений с двумя неизвестными имеют вид:
где a, b, c, d, e, f – заданные числа; x, y – неизвестные. Числа a, b, d, e – коэффициенты при неизвестных; c, f – свободные члены. Решение этой системы уравнений может быть найдено двумя основными методами. Метод подстановки. 1) Из одного уравнения выражаем одно из неизвестных, например x, через коэффициенты и другое неизвестное y: x = ( c – by ) / a . (2) 2) Подставляем во второе уравнение вместо x : в ( c – by ) / a + ey = f . 3) Решая последнее уравнение, находим y : y = ( af – cd ) / ( ae – bd ). 4) Подставляем это значение вместо y в выражение (2) : x = ( ce – bf ) / ( ae – bd ) . П р и м е р . Решить систему уравнений: Из первого уравнения выразим х через коэффициенты и y : x = ( 2y + 4 ) / 3 . Подставляем это выражение во второе уравнение и находим y : ( 2y + 4 ) / 3 + 3y = 5 , откуда y = 1 . Теперь находим х, подставляя найденное значение вместо y в выражение для х: x = ( 2 · 1 + 4 ) / 3, откуда x = 2 . Сложение или вычитание. Этот метод состоит в следующем. 1) Умножаем обе части 1-го уравнения системы (1) на (– в ), а обе части 2-го уравнения на а и складываем их: Отсюда получаем: y = ( af – cd ) / ( ae – bd ). 2) Подставляем найденное для y значение в любое уравнение системы (1): ax + b( af – cd ) / ( ae – bd ) = c. 3) Находим другое неизвестное: x = ( ce – bf ) / ( ae – bd ). П р и м е р . Решить систему уравнений: методом сложения или вычитания. Умножаем первое уравнение на –1, второе – на 3 и складываем их: отсюда y = 1. Подставляем это значение во второе уравнение (а в первое можно?): 3x + 9 = 15, отсюда x = 2. Определители второго порядка. Мы видели, что формулы для решения системы двух линейных уравнений с двумя неизвестными имеют вид: x = ( ce – bf ) / ( ae – bd ) , (3) y = ( af – cd ) / ( ae – bd ) . Эти формулы легко запоминаются, если ввести для их числителей и знаменателей следующий символ: Это выражение получается перекрёстным умножением чисел p, q, r, s :
и последующим вычитанием одного произведения из другого: ps – qr. Знак « + » берётся для произведения чисел, лежащих на диагонали, идущей из левого верхнего числа к правому нижнему; знак « – » - для другой диагонали, идущей из правого верхнего числа к левому нижнему. Например, Правило Крамера. Используя определители, можно переписать формулы (3):
Формулы (4) называются правилом Крамера для системы двух линейных уравнений с двумя неизвестными. П р и м е р . Решить систему уравнений используя правило Крамера. Р е ш е н и е . Здесь a = 1, b = 1, c = 12, в = 2, e = –3, f = 14 . Исследование решений системы двух линейных уравнений с двумя неизвестными, показывает, что в зависимости от коэффициентов уравнений возможны три различных случая: 1) коэффициенты при неизвестных не пропорциональны: a : в ≠ b : e , в этом случае система линейных уравнений имеет единственное решение, получаемое по формулам (4); 2) все коэффициенты уравнений пропорциональны: a : в = b : e = c : f , в этом случае система линейных уравнений имеет бесконечное множество решений, так как здесь мы имеем фактически одно уравнение вместо двух. П р и м е р . В системе уравнений и эта система уравнений имеет бесконечное множество решений. Разделив первое уравнение на 2, а второе – на 3, мы получим два одинаковых уравнения: т.е. фактически одно уравнение с двумя неизвестными, у которого бесконечное множество решений. 3) коэффициенты при неизвестных пропорциональны, но не пропорциональны свободным членам: a: в = b: e ≠ c: f, в этом случае система линейных уравнений не имеет решений, так как мы имеем противоречивые уравнения. П р и м е р . В системе уравнений но отношение свободных членов 7 / 12 не равно 1 / 3. Почему эта система не имеет решений? Ответ очень простой. Разделив второе уравнение на 3, мы получим: Уравнения этой системы противоречивы, потому что одно и то же выражение 2x – 3y не может быть одновременно равно и 7, и 4. Системы трёх линейных уравнений с тремя неизвестными Системы трёх линейных уравнений с тремя неизвестными. Основные методы решения: подстановка, сложение или вычитание. Определители третьего порядка. Правило Крамера. Системы трёх линейных уравнений с тремя неизвестными имеют вид:
где a, b, c, d, e, f, g, h, p, q, r, s – заданные числа; x, y, z – неизвестные. Числа a, b, c, e, f, g, p, q, r – коэффициенты при неизвестных; d, h, s – свободные члены. Решение этой системы может быть найдено теми же двумя основными методами, рассмотренными выше: подстановки и сложения или вычитания. Мы же рассмотрим здесь подробно только метод Крамера. Во-первых, введём понятие определителя третьего порядка. Выражение
называется определителем третьего порядка. Запоминать это выражение не нужно, так как его легко получить, если переписать таблицу (2), добавив справа первые два столбца. Тогда оно вычисляется путём перемножения чисел, расположенных на диагоналях, идущих от a, b, c – направо ( со знаком « + » ) и от c, a, b – налево ( со знаком « – » ), и затем суммированием этих произведений:
Используя определитель третьего порядка (2), можно получить решение системы уравнений (1) в виде:
Эти формулы и есть правило Крамера для решения системы трёх линейных уравнений с тремя неизвестными. П р и м е р . Решить методом Крамера систему трёх линейных уравнений с тремя неизвестными: Р е ш е н и е . Введём следующие обозначения: в - знаменатель в формулах (4), Dx, Dy, Dz – числители в выражениях для x, y, z – соответственно. Тогда используя схему (3), получим: отсюда по формулам Крамера (4): x = Dx / в = 0 / 32 = 0; y = Dy / в = 32 / 32 = 1; z = Dz / в = 64 / 32 = 2 . Степени и корни Операции со степенями и корнями. Степень с отрицательным, нулевым и дробным показателем. О выражениях, не имеющих смысла. Операции со степенями. 1. При умножении степеней с одинаковым основанием их показатели складываются: a m · a n = a m + n . 2. При делении степеней с одинаковым основанием их показатели вычитаются. 3. Степень произведения двух или нескольких сомножителей равна произведению степеней этих сомножителей. ( abc… ) n = a n · b n · c n … 4. Степень отношения (дроби) равна отношению степеней делимого (числителя) и делителя (знаменателя): ( a / b ) n = a n / b n . 5. При возведении степени в степень их показатели перемножаются: ( a m ) n = a m n . Все вышеприведенные формулы читаются и выполняются в обоих направлениях слева направо и наоборот. П р и м е р . ( 2 · 3 · 5 / 15 ) ² = 2 ² · 3 ² · 5 ² / 15 ² = 900 / 225 = 4 . Операции с корнями. Во всех нижеприведенных формулах символ 1. Корень из произведения нескольких сомножителей равен произведению корней из этих сомножителей:
2. Корень из отношения равен отношению корней делимого и делителя:
3. При возведении корня в степень достаточно возвести в эту степень подкоренное число:
4. Если увеличить степень корня в n раз и одновременно возвести в n-ую степень подкоренное число, то значение корня не изменится:
5. Если уменьшить степень корня в n раз и одновременно извлечь корень n-ой степени из подкоренного числа, то значение корня не изменится: Расширение понятия степени. До сих пор мы рассматривали степени только с натуральным показателем; но действия со степенями и корнями могут приводить также к отрицательным, нулевым и дробным показателям. Все эти показатели степеней требуют дополнительного определения. Степень с отрицательным показателем. Степень некоторого числа с отрицательным (целым) показателем определяется как единица, делённая на степень того же числа с показателем, равным абсолютной велечине отрицательного показателя: Теперь формула a m : a n = a m n может быть использована не только при m , большем, чем n , но и при m , меньшем, чем n . П р и м е р . a4 : a7 = a 4 7 = a 3 . Если мы хотим, чтобы формула a m : a n = a m n была справедлива при m = n , нам необходимо определение нулевой степени. Степень с нулевым показателем. Степень любого ненулевого числа с нулевым показателем равна 1. П р и м е р ы . 2 0 = 1, ( – 5 ) 0 = 1, ( – 3 / 5 ) 0 = 1. Степень с дробным показателем. Для того, чтобы возвести действительное число а в степень m / n , нужно извлечь корень n–ой степени из m-ой степени этого числа а : О выражениях, не имеющих смысла. Есть несколько таких выражений. Случай 1. В самом деле, если предположить, что определением операции деления мы имеем: a = 0 · x, т.e. a = 0, что противоречит условию: a 0 Случай 2. В самом деле, если предположить, что это выражение равно некоторому числу x, то согласно определению операции деления: 0 = 0 · x . Но это равенство имеет место при любом числе x , что и требовалось доказать. Случай 3. Если считать, что правила действий со степенями распространяются и на степени с нулевым основанием, то 0 0 - любое число. Действительно,
Р е ш е н и е . Рассмотрим три основных случая: 1) x = 0 – это значение не удовлетворяет данному уравнению ( Почему? ). 2) при x > 0 получаем: x / x = 1, т.e. 1 = 1, откуда следует, что x – любое число; но принимая во внимание, что в нашем случае x > 0 , ответом является x > 0 ; 3) при x < 0 получаем: – x / x = 1, т.e. –1 = 1, следовательно, в этом случае нет решения. Таким образом, x > 0. Арифметический корень Арифметический корень. Алгебраический корень. Абсолютная величина ( модуль ) числа. Как мы знаем, корень чётной степени имеет два значения: положительное и отрицательное. Так, Арифметическим корнем n–й степени из неотрицательного числа a называется неотрицательное число, n–я степень которого равна a . Алгебраическим корнем n–й степени из данного числа называется множество всех корней из этого числа. Алгебраический корень чётной степени имеет два значения: положительное и отрицательное, например:
Алгебраический корень нечётной степени имеет единственное значение: либо положительное, либо отрицательное. Например, арифметический корень
И наоборот, кубический корень:
Арифметический корень тесно связан с понятием абсолютной величины ( модуля ) числа, а именно:
Более подробно действия с корнями см. в разделе «Степени и корни». Иррациональные числа. Формула сложного радикала Рациональные числа. Иррациональные числа. Иррациональные числа в отличие от рациональных (см. “Рациональные числа”) не могут быть представлены в виде обыкновенной несократимой дроби вида: m / n, где m и n – целые числа. Это числа нового типа, которые могут быть вычислены с любой точностью, но не могут быть заменены рациональным числом. Они могут появиться как результат геометрических измерений, например: - отношение длины диагонали квадрата к длине его стороны равно - отношение длины окружности к длине её диаметра равно иррациональному числу Примеры других иррациональных чисел:
Докажем, что При алгебраических преобразованиях иррациональных выражений и уравнений, содержащих квадратные корни, может быть полезна следующая формула сложного радикала:
(все подкоренные выражения неотрицательны). Для доказательства этой формулы достаточно возвести в квадрат обе ее части.
Квадратное уравнение Квадратное уравнение. Приведенное квадратное уравнение. Неприведенное квадратное уравнение. Неполное квадратное уравнение. Квадратное уравнение есть алгебраическое уравнение второй степени: ax 2 + bx + c = 0 , (1) где a, b, c – заданные числовые или буквенные коэффициенты, x – неизвестное. Если a = 0, то уравнение становится линейным. Поэтому мы будем рассматривать здесь только a ≠ 0. Тогда можно разделить все члены этого уравнения на а, в результате чего мы получим: x 2 + px + q = 0 , (2) где p = b / a, q = c / a. Это квадратное уравнение называется приведенным. Уравнение (1) называется неприведенным. Если b или c (или оба) равны нулю, то это уравнение называется неполным. Примеры неполных квадратных уравнений: 4x 2 – 12 = 0, x 2 + 5x = 0, x 2 = 36 . Мнимые и комплексные числа Мнимые числа. Мнимая единица. Действительные или вещественные числа. Комплексные числа. Рассмотрим неполное квадратное уравнение: x 2 = a , где а – известная величина. Решение этого уравнения можно записать как:
Здесь возможны три случая:
Тогда для уравнения x 2 = – 25 мы получаем два мнимых корня:
Подставляя оба эти корня в наше уравнение, получаем тождество. (Проверьте !). В отличие от мнимых чисел все остальные числа (положительные и отрицательные, целые и дробные, рациональные и иррациональные) называются действительными или вещественными числами. Сумма действительного и мнимого числа называется комплексным числом и обозначается: a + b i , где a, b – действительные числа, i – мнимая единица. Более подробно о комплексных числах см. раздел «Комплексные числа». П р и м е р ы комплексных чисел: 3 + 4 i , 7 – 13.6 i , 0 + 25 i = 25 i , 2 + Решение квадратного уравнения Решение неприведенного квадратного уравнения. Решение приведенного квадратного уравнения.
Свойства корней квадратного уравнения. Теорема Виета Свойства корней квадратного уравнения. Дискриминант. Теорема Виета. Формула корней неприведенного квадратного уравнения:
Разложение на множители квадратного трёхчлена Каждый квадратный трехчлен ax 2 + bx+ c может быть разложен на множители первой степени следующим образом. Решим квадратное уравнение: ax 2 + bx+ c = 0 . Если x1 и x2 - корни этого уравнения, то ax 2 + bx+ c = a ( x – x1 ) ( x – x2 ) . Это можно доказать, используя либо формулы корней неприведенного квадратного уравнения, либо теорему Виета. ( Проверьте это, пожалуйста! ) . П р и м е р . Разложить трехчлен 2x 2 – 4x – 6 на множители первой степени. Р е ш е н и е . Во-первых, решим уравнение: 2x 2 – 4x – 6 = 0. Его корни: x1 = –1 и x2 = 3. Отсюда, 2x 2 – 4x – 6 = 2 ( x + 1 ) ( x – 3 ) . ( Раскройте скобки и проверьте, пожалуйста, результат! ). Уравнения высших степеней Уравнения высших степеней, приводимые к квадратному. Биквадратное уравнение. Кубическое уравнение.
Основы векторного исчисления Вектор. Нулевой вектор. Длина (модуль) вектора. Коллинеарные векторы. Компланарные векторы. Равенство векторов. Сложение и вычитание векторов. Законы сложения. Законы умножения вектора на число. Скалярное произведение векторов и его свойства. Единичные ортогональные векторы. Векторное произведение векторов и его свойства. Необходимое и достаточное условие коллинеарности векторов. Необходимое и достаточное условие компланарности векторов.
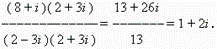
Комплексные числа Мнимые и комплексные числа. Абсцисса и ордината комплексного числа. Сопряжённые комплексные числа. Операции с комплексными числами. Геометрическое представление комплексных чисел. Комплексная плоскость. Модуль и аргумент комплексного числа. Тригонометрическая форма комплексного числа. Операции с комплексными числами в тригонометрической форме. Формула Муавра. Начальные сведения о мнимых и комплексных числах приведены в разделе «Мнимые и комплексные числа». Необходимость в этих числах нового типа появилась при решении квадратных уравнений для случая в < 0 ( здесь в – дискриминант квадратного уравнения). Долгое время эти числа не находили физического применения, поэтому их и назвали «мнимыми» числами. Однако сейчас они очень широко применяются в различных областях физики и техники: электротехнике, гидро- и аэродинамике, теории упругости и др. Комплексные числа записываются в виде: a+ bi. Здесь a и b – действительные числа, а i – мнимая единица, т.e. i 2 = –1. Число a называется абсциссой, a b – ординатой комплексного числа a+ bi. Два комплексных числа a+ bi и a – bi называются сопряжёнными комплексными числами. Основные договорённости: 1. Действительное число а может быть также записано в форме комплексного числа: a+ 0 i или a – 0 i. Например, записи 5 + 0 i и 5 – 0 i означают одно и то же число 5 . 2. Комплексное число 0+ bi называется чисто мнимым числом. Запись bi означает то же самое, что и 0+ bi. 3. Два комплексных числа a+ bi и c+ di считаются равными, если a= c и b= d. В противном случае комплексные числа не равны. Сложение. Суммой комплексных чисел a+ bi и c+ di называется комплексное число ( a+ c ) + ( b+ в ) i. Таким образом, при сложении комплексных чисел отдельно складываются их абсциссы и ординаты. Это определение соответствует правилам действий с обычными многочленами. Вычитание. Разностью двух комплексных чисел a+ bi (уменьшаемое) и c+ di (вычитаемое) называется комплексное число ( a – c ) + ( b – в ) i. Таким образом, при вычитании двух комплексных чисел отдельно вычитаются их абсциссы и ординаты. Умножение. Произведением комплексных чисел a+ bi и c+ di называется комплексное число: ( ac – bd ) + ( ad + bc ) i . Это определение вытекает из двух требований: 1) числа a+ bi и c+ di должны перемножаться, как алгебраические двучлены, 2) число i обладает основным свойством: i 2 = –1. П р и м е р . ( a+ bi )( a – bi )= a 2 + b 2. Следовательно, произведение двух сопряжённых комплексных чисел равно действительному положительному числу. Деление. Разделить комплексное число a+ bi (делимое) на другое c+ di (делитель) - значит найти третье число e+ f i (чатное), которое будучи умноженным на делитель c+ di, даёт в результате делимое a+ bi. Если делитель не равен нулю, деление всегда возможно. П р и м е р . Найти ( 8 + i ) : ( 2 – 3i ) . Р е ш е н и е . Перепишем это отношение в виде дроби: Умножив её числитель и знаменатель на 2 + 3i и выполнив все преобразования, получим: Геометрическое представление комплексных чисел. Действительные числа изображаются точками на числовой прямой:
Здесь точка A означает число –3, точка B – число 2, и O – ноль. В отличие от этого комплексные числа изображаются точками на координатной плоскости. Выберем для этого прямоугольные (декартовы) координаты с одинаковыми масштабами на обеих осях. Тогда комплексное число a+ bi будет представлено точкой Р с абсциссой а и ординатой b (см. рис.). Эта система координат называется комплексной плоскостью.
Модулем комплексного числа называется длина вектора OP, изображающего комплексное число на координатной (комплексной) плоскости. Модуль комплексного числа a+ bi обозначается | a+ bi | или буквой r и равен:
Сопряжённые комплексные числа имеют одинаковый модуль. __ Аргумент комплексного числа - это угол Тригонометрическая форма комплексного числа. Абсциссу a и ординату b комплексного числа a + bi можно выразить через его модуль r и аргумент
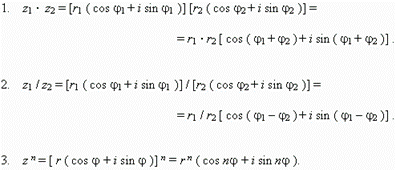
Операции с комплексными числами, представленными в тригонометрической форме.
Это знаменитая формула Муавра.
Здесь k - целое. Чтобы получить n различных значений корня n-ой степени из z необходимо задать n последовательных значений для k ( например, k = 0, 1, 2,…, n – 1 ) . Математическая индукция Пусть требуется доказать некоторое свойство ( это может быть формула, тождество, неравенство, утверждение и т.д.), зависящее от натурального числа n. Если: 1) это свойство имеет место для некоторого натурального числа n0 , 2) из условия справедливости этого свойства при n = k следует его справедливость при n = k + 1 для любого k то тогда это свойство имеет место для любого натурального n П р и м е р . Доказать, что 1 + 3 + 5 + ... + ( 2n – 1 ) = n 2 . Для доказательства применим метод математической индукции. Очевидно, что при n = 1 данное равенство справедливо. Предположим, что оно справедливо при некотором k , т.е. имеет место 1 + 3 + 5 + ... + ( 2k – 1 ) = k 2 . Докажем, что тогда оно имеет место и при k + 1 . Рассмотрим соответствующую сумму при n = k + 1 : 1 + 3 + 5 + ... + ( 2k – 1 ) + ( 2k + 1 ) = k 2 + ( 2k + 1 ) = ( k + 1 ) 2 . Таким образом, из условия, что это равенство справедливо при k вытекает, что оно справедливо и при k + 1, значит оно справедливо при любом натуральном n , что и требовалось доказать. Неравенства: общие сведения Неравенство. Тождественное неравенство. Строгие и нестрогие неравенства. Решение неравенств и систем неравенств. Основные свойства неравенств. Некоторые важные неравенства. Два выражения (числовые или буквенные), соединённые одним из знаков: «больше» (>), «меньше» (<), «больше или равно» ( Основные свойства неравенств.
Некоторые важные неравенства. 1. | a + b | 2. a + 1 / a
Среднее геометрическое не больше среднего арифметического. В общем случае это неравенство имеет вид: Числа a1 , a2 , …, an - положительны. Равенство имеет место, если только все числа равны. Доказательство и решение неравенств Методы доказательства неравенств. Решение неравенств. Равносильные неравенства. Метод интервалов. Системы неравенств. Доказательство неравенств. Существует несколько методов доказательства неравенств. Мы рассмотрим их на примере неравенства:
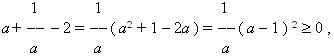
1). Использование известного или ранее доказанного неравенства. Известно, что ( a – 1 )² 2). Оценка знака разности между частями неравенства. Рассмотрим разность между левой и правой частью: более того, равенство имеет место только при a = 1 . 3). Доказательство от противного. Предположим противное: Умножая обе части неравенства на a , получим: a 2 + 1 < 2a, т.e. a 2 + 1 – 2a < 0 , или ( a – 1 ) 2 < 0, что неверно. ( Почему ? ) . Полученное противоречие доказывает справедливость рассматриваемого неравенства. 4). Метод неопределённого неравенства. Неравенство называется неопределённым, если у него знак \/ или /\ , т.е. когда мы не знаем в какую сторону следует повернуть этот знак, чтобы получить справедливое неравенство. Здесь действуют те же правила, что и с обычными неравенствами. Рассмотрим неопределённое неравенство: Умножая обе части неравенства на a , получим: a 2 + 1 \/ 2a, т.e. а 2 + 1 – 2a \/ 0 , или ( a – 1 ) 2 \/ 0 , но здесь мы уже знаем, как повернуть знак \/ , чтобы получить верное неравенство ( Как? ). Поворачивая его в нужном направлении по всей цепочке неравенств снизу вверх, мы Решение неравенств. Два неравенства, содержащие одни и те же неизвестные, называются равносильными, если они справедливы при одних и тех же значениях этих неизвестных. Такое же определение используется для равносильности двух систем неравенств. Решение неравенств - это процесс перехода от одного неравенства к другому, равносильному неравенству. Для этого используются основные свойства неравенств (см. параграф “Неравенства: общие сведения”). Кроме того, может быть использована замена любого выражения другим, тождественным данному. Неравенства могут быть алгебраические ( содержащие только многочлены ) и трансцендентные ( например, логарифмические или тригонометрические ). Мы рассмотрим здесь один очень важный метод, используемый часто при решении алгебраических неравенств. Метод интервалов. Решить неравенство: ( x – 3 )( x – 5 ) < 2( x – 3 ). Здесь нельзя делить обе части неравенства на ( x – 3 ), так как мы не знаем знака этого двучлена ( он содержит неизвестное x ). Поэтому мы перенесём все члены неравенства в левую часть: ( x – 3 )( x – 5 ) – 2( x – 3 ) < 0 , разложим её на множители: ( x – 3 )( x – 5 – 2 ) < 0 , и получим: ( x – 3 )( x – 7 ) < 0. Теперь определим знак произведения в левой части неравенства в различных числовых интервалах. Заметим, что x = 3 и x = 7 - корни этого выражения. Поэтому вся числовая ось разделится этими корнями на следующие три интервала:
В интервале I ( x < 3 ) оба сомножителя отрицательны, следовательно, их произведение положительно; в интервале II ( 3 < x < 7 ) первый множитель ( x – 3 ) положителен, а второй ( x – 7 ) отрицателен, поэтому их произведение отрицательно; в интервале III ( x > 7 ) оба сомножителя положительны, следовательно, их произведение также положительно. Теперь остаётся выбрать интервал, в котором наше произведение отрицательно. Это интервал II, следовательно, решение неравенства: 3 < x < 7. Последнее выражение - так называемое двойное неравенство. Оно означает, что x должен быть одновременно больше 3 и меньше 7. П р и м е р . Решить следующее неравенство методом интервалов: ( x – 1 )( x – 2 )( x – 3 ) … ( x –100 ) > 0 . Р е ш е н и е . Корни левой части неравенства очевидны: 1, 2, 3, …, 100. Они разбивают числовую ось на 101 интервал:
Так как количество скобок в левой части чётно (равно 100), то при x < 1, когда все множители отрицательны, их произведение положительно. При переходе через корень происходит смена знака произведения. Поэтому следующим интервалом, внутри которого произведение положительно, будет ( 2, 3 ), затем ( 4, 5 ), затем ( 6, 7 ), … , ( 98, 99 ) и наконец, x >100. Таким образом, данное неравенство имеет решение: x < 1, 2 < x < 3, 4 < x < 5 ,…, x >100. Итак, чтобы решить алгебраическое неравенство, надо перенести все его члены в левую (или правую) часть и решить соответствующее уравнение. После этого найденные корни нанести на числовую ось; в результате она разбивается на некоторое число интервалов. На последнем этапе решения нужно определить, какой знак имеет многочлен внутри каждого из этих интервалов, и выбрать нужные интервалы в соответствии со знаком решаемого неравенства. Заметим, что большинство трансцендентных неравенств заменой неизвестного приводятся к алгебраическому неравенству. Его надо решить относительно нового неизвестного, а затем путём обратной замены найти решение для исходного неравенства. Системы неравенств. Чтобы решить систему неравенств, необходимо решить каждое из них, и совместить их решения. Это совмещение приводит к одному из двух возможных случаев: либо система имеет решение, либо нет. П р и м е р 1. Решить систему неравенств: Р е ш е н и е. Решение первого неравенства: x < 4 ; а второго: x > 6. Таким образом, эта система неравенств не имеет решения. ( Почему ? ) П р и м е р 2. Решить систему неравенств: Р е ш е н и е. Первое неравенство, как и прежде, даёт: x < 4; но решение второго неравенства в данном примере: x > 1. Таким образом, решение системы неравенств: 1 < x < 4. Арифметическая и геометрическая прогрессии Числовая последовательность. Арифметическая прогрессия. Разность прогрессии. Геометрическая прогрессия. Знаменатель прогрессии. Бесконечно убывающая геометрическая прогрессия. Обращение периодической десятичной дроби в обыкновенную. Последовательности. Рассмотрим ряд натуральных чисел: 1, 2, 3, … , n – 1, n , … . Если заменить каждое число n в этом ряду некоторым числом un , следуя некоторому закону, мы получим новый ряд чисел: u1 , u2 , u3 , …, u n 1 , u n , … , называемый числовой последовательностью. Число un называется общим членом числовой последовательности. П р и м е р ы числовых последовательностей: 2, 4, 6, 8, 10, … , 2n, … ; 1, 4, 9, 16, 25, … , n² , … ; 1, 1/2, 1/3, 1/4, 1/5, … , 1/n , … . Арифметическая прогрессия. Числовая последовательность, каждый член которой, начиная со второго, равен предыдущему, сложенному с постоянным для этой последовательности числом в , называется арифметической прогрессией. Число в называется разностью прогрессии. Любой член арифметической прогрессии вычисляется по формуле: an = a1 + в ( n – 1 ) . Сумма n первых членов арифметической прогрессии вычисляется как:
П р и м е р . Найти сумму первых ста нечётных чисел. Р е ш е н и е . Применим последнюю формулу. Здесь a1 = 1, в = 2 . Тогда
Геометрическая прогрессия. Числовая последовательность, каждый член которой, начиная со второго, равен предыдущему, умноженному на постоянное для этой последовательности число q , называется геометрической прогрессией. Число q называется знаменателем прогрессии. Любой член геометрической прогрессии вычисляется по формуле: bn = b1 q n 1 . Сумма n первых членов геометрической прогрессии вычисляется как:
Бесконечно убывающая геометрическая прогрессия. Это геометрическая прогрессия, у которой | q | < 1 . Для неё определяется понятие суммы членов бесконечно убывающей геометрической прогрессии, а именно: это число, к которому неограниченно приближается сумма n первых членов рассматриваемой прогрессии при неограниченном возрастании числа n. Сумма членов бесконечно убывающей геометрической прогрессии вычисляется по формуле:
П р и м е р . Найти сумму членов бесконечно убывающей геометрической прогрессии:
Р е ш е н и е . Применим последнюю формулу. Здесь b1 = 1, q = 1/2. Тогда:
Обращение периодической десятичной дроби в обыкновенную. Предположим, мы хотим обратить периодическую десятичную дробь 0.(3) в обыкновенную. Рассмотрим эту десятичную дробь в следующем виде:
Это бесконечно убывающая геометрическая прогрессия, первый член которой равен 3/10, а разность q = 1/10. В соответствии с выше приведенной формулой эта сумма равна:
Таким образом, 0.(3) = 1/3. Логарифмы Логарифм. Основное логарифмическое тождество. Свойства логарифмов. Десятичный логарифм. Натуральный логарифм.
Комбинаторика. Бином Ньютона Перестановки. Факториал. Размещения. Сочетания. Бином Ньютона. Биномиальные коэффициенты. Треугольник Паскаля. Свойства биномиальных коэффициентов. Общим термином «соединения» мы будем называть три вида комбинаций, составляемых из некоторого числа различных элементов, принадлежащих одному и тому же множеству (например, буквы алфавита, книги в библиотеке, машины на стоянке и т.д.). Перестановки. Возьмём n различных элементов: a1 , a2 , a3 , …, an . Будем переставлять их всеми возможными способами, сохраняя их количество и меняя лишь порядок их расположения. Каждая из полученных таким образом комбинаций называется перестановкой. Общее количество перестановок из n элементов обозначается Pn . Это число равно произведению всех целых чисел от 1 до n :
Символ n! ( называется факториал ) - сокращённая запись произведения: 1 · 2 · 3 · … · ( n – 1 ) · n . П р и м е р . Найти число перестановок из трёх элементов: a, b, c. Р е ш е н и е . В соответствии с приведенной формулой: P3 = 1 · 2 · 3 = 6. Размещения. Будем составлять группы из m различных элементов, взятых из множества, состоящего из n элементов, располагая эти m взятых элементов в различном порядке. Полученные комбинации называются размещениями из n элементов по m . Их общее количество обозначается:
П р и м е р . Найти число размещений из четырёх элементов a, b, c, в по два. Р е ш е н и е . В соответствии с формулой получим:
Вот эти размещения: ab, ba, ac, ca, ad, da, bc, cb, bd, db, cd, dc. Сочетания. Будем составлять группы из m различных элементов, взятых из множества, состоящего из n элементов, не принимая во внимание порядок расположения этих m элементов. Тогда мы получим сочетания из n элементов по m . Их общее количество обозначается
Из этой формулы ясно, что
Заметим, что можно составить только одно сочетание из n элементов по n , которое содержит все n элементов. Формула числа сочетаний даёт это значение, если только принять, что 0! = 1, что является определением 0! . В соответствии с этим определением получим:
Общее число сочетаний можно вычислить, пользуясь и другим выражением:
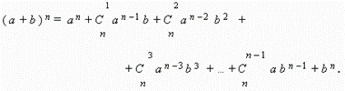
П р и м е р . Найти число сочетаний из пяти элементов: a, b, c, d, e по три. Р е ш е н и е : Эти сочетания: abc, abd, abe, acd, ace, ade, bcd, bce, bde, cde. Бином Ньютона. Это формула, представляющая выражение ( a + b ) n при положительном целом n в виде многочлена: Заметим, что сумма показателей степеней для a и b постоянна и равна n. П р и м е р 1 . ( См. формулу суммы кубов двух чисел ).
Числа Их можно вычислить, применяя только сложение, если пользоваться следующей схемой. В верхней строке пишем две единицы. Все последующие строки начинаются и заканчиваются единицей. Промежуточные числа в этих строках получаются суммированием соседних чисел из предыдущей строки. Эта схема называется треугольником Паскаля:
Первая строка в этой таблице содержит биномиальные коэффициенты для n = 1; вторая - для n = 2; третья - для n = 3 и т.д. Поэтому, если необходимо, например, разложить выражение: ( a + b )7 , мы можем получить результат моментально, используя таблицу:
Свойства биномиальных коэффициентов. 1. Сумма коэффициентов разложения ( a + b ) n равна 2 n . Для доказательства достаточно положить a = b = 1. Тогда в правой части разложения бинома Ньютона мы будем иметь сумму биномиальных коэффициентов, а слева:
2. Коэффициенты членов, равноудалённых от концов разложения, равны. Это свойство следует из соотношения:
3. Сумма коэффициентов чётных членов разложения равна сумме коэффициентов нечётных членов разложения; каждая из них равна
Для доказательства воспользуемся биномом: Координаты. Графическое представление функций Координаты. Система координат. Декартовы координаты. Оси координат: ось абсцисс, ось ординат. Начало координат. Масштаб. Абсцисса и ордината точки. Графическое представление функций. График функции. Координаты. Две взаимно перпендикулярные прямые XX’ и YY’ ( рис.1 ) образуют систему координат, называемых декартовыми координатами. Прямые XX’ и YY’ называются осями координат. Ось XX’ называется осью абсцисс, ось YY’ – осью ординат. Точка O их пересечения называется началом координат. На осях координат выбирается произвольный масштаб.
Найдём прекции P и Q точки M на оси координат XX’ и YY’. Отрезок OP на оси XX’ и число x, измеряющее его длину в соответствии с выбранным масштабом, называется абсциссой точки M ; отрезок OQ на оси YY’ и число y, измеряющее его длину ординатой точки M. Величины x = OP и y = OQ называются декартовыми координатами ( или просто – координатами ) точки M. Они считаются положительными или отрицательными в зависимости от принятых положительного и отрицательного направлений осей координат. Положительные абсциссы обычно располагаются на оси XX’ справа от начала координат; положительные ординаты – вверх по оси YY’ от начала координат. На рис.1 видно: точка M имеет абсциссу x = 2 и ординату y = 3; точка K имеет абсциссу x = 4 и ординату y = 2.5. Это можно записать так: M ( 2, 3 ), K ( 4, 2.5 ). Таким образом, каждой точке на плоскости соответствует пара чисел ( x, y ), и наоборот, каждой паре чисел ( x, y ) соответствует одна точка на плоскости. Графическое представление функций. Чтобы представить функцию y = f ( x ) в виде графика, нужно: 1) Записать ряд значений функции и её аргумента в таблицу:
2) Перенести координаты точек функции из таблицы в систему координат, отметив в соответствии с выбранным масштабом значения абсцисс на оси Х и значения ординат на оси Y ( рис.2 ). В результате в нашей системе координат будет построен ряд точек A, B, C, . . . , F. 3) Соединяя точки A, B, C, . . . , F плавной кривой, получаем график заданной функциональной зависимости.
Такое графическое представление функции даёт наглядное представление о характере её поведения, но достигаемая при этом точность недостаточна. Возможно, что промежуточные точки, не построенные на графике, лежат далеко от проведенной плавной кривой. Хорошие результаты в значительной степени зависят также от удачного выбора масштабов. Поэтому следует определить график функции как геометрическое место точек, координаты которых M ( x, y ) связаны заданной функциональной зависимостью. |


































, который будет обозначать выражение: ps – qr . 

называется определителем второго порядка.











где x – некоторое число, то в соответствии с















( a и b – положительны ). Равенство только при a = b.
где a – положительное число.




























