Реферат: Выбор оптимального места строительства очистного сооружения
|
Название: Выбор оптимального места строительства очистного сооружения Раздел: Промышленность, производство Тип: реферат | ||||||||||||||||||
Санкт-Петербургский Государственный Технологический Институт (Технический Университет ) Кафедра математического моделирования и оптимизации химико-технологических процессов Факультет Курс Дисциплина: Системный анализ химической технологии КУРСОВАЯ РАБОТА Вариант № 4 Тема: Выбор оптимального места строительства очистного сооружения Студент: Преподаватель: Оценка за курсовую работу: Санкт-Петербург 2011 В последнее время особое внимание в промышленности стало обращаться на инженерный анализ и оптимизацию производственных процессов. Однако из-за высокой интеграции химико-технологических процессов их анализ и оптимизация весьма сложны и неизменно требуют применения вычислительной техники. Отсутствие соответствующего программного обеспечения, наряду с ограничением стоимости работ и времени, необходимых для выполнения работ, может привести к анализу и оптимизации только части существующей технологии или рассмотрению меньшего количества вариантов технических решений. Кроме того, для более полной проработки режимов работы технологии и управления в масштабах завода в некоторых случаях возникает необходимость моделирования химико-технологических систем в динамических условиях. Ранее, процесс моделирования технологических процессов и систем требовал применения языков программирования и поэтому использовался исключительно специалистами, свободно разбирающимися в химической технологии, моделировании и программировании. Бурное развитие мощных персональных компьютеров позволило создать специализированные программные оболочки, автоматизирующие сложные вычисления и наглядно отображающие результаты расчета. При проектировании ХТС решаются следующие задачи:Среди математических задач, связанных с разработкой и совершенствованием ХТС выделяют следующие: задача синтеза, анализа и оптимизации. Задача синтеза ХТС: Заданы элементы, из которых может быть построена система, а так же заданы сырье и целевые продукты. Требуется разработать структуру ХТС для реализации технологического процесса, т.е. необходимо выбрать элементы из числа имеющихся, установить связи между ними, определить конструктивные и технологические параметры элементов ХТС. Задача анализа ХТС: Целью анализа структуры ХТС является выявление ее структурных особенностей и нахождение последовательности расчета элементов. Целью анализа качества функционирования является получение количественных оценок ее основных свойств: чувствительности, надежности и т.д. Задача оптимизации ХТС является комплексной и включает в себя как оптимизацию структуры, так и оптимизацию режимов функционирования элементов. Целью оптимизации является обеспечение наиболее высоких технико-экономических показателей ХТС. Задание Выбор оптимального места строительства очистного сооружения.Сточные воды трех химических комбинатов, расположенных и точках В1 В2, В3,должны подаваться для обработки на очистное сооружение. Выбрать оптимальное место строительства этою сооружения, если целевая функция, представляющая затраты на строительство, имеет вид R=A1 W1 L1 +A2 W2 L2 +A3 W3 L3 где Li – длина соответствующего участка трубопровода, км, определяется по формуле
Ai – коэффициент, учитывающий сложность строительства участка трубопровода, руб.*ч/км*м3 ; Wi –объемный расход, м3 /ч; Xi , Уi – координаты химического комбината, км; X, У – координаты очистного сооружения, км; Условие окончания счета Решение задачи провести с помощью градиентных методов. Выполнить сравнительный анализ эффективности методов. Вариант задания ниже.
1 Теория : Постановка задачи решения системы уравнений в терминах методов оптимизации Задача решения системы уравнений:
с n
или какой-либо другой возрастающей функции от абсолютных величин | fi
|невязок (ошибок) Для решения этой задачи итерационными методами начинают с произвольных значений
или покоординатно:
которые сходятся к некоторому решению Различные методы отличаются выбором «направления» для очередного шага, то есть выбором отношений
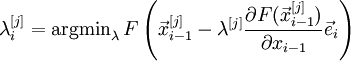
Величина шага (расстояние, на которое надо передвинуться в заданном направлении в поисках экстремума) определяется значением параметра λ[j]
, минимизирующим величину 1.1 Градиентные методы Основная идея методов заключается в том, чтобы идти в направлении наискорейшего спуска, а это направление задаётся антиградиентом
где λ[j] выбирается · постоянной, в этом случае метод может расходиться; · дробным шагом, то есть длина шага в процессе спуска делится на некое число; · наискорейшим спуском: 1.2 Метод наискорейшего спуска (метод градиента) Выбирают Для аналитических функций F и малых значений fi тейлоровское разложениеF(λ[j] ) позволяет выбрать оптимальную величину шага
где все производные вычисляются при Алгоритм1. Задаются начальное приближение и точность расчёта 2. Рассчитывают 3. Проверяют условие останова: o Если o Иначе 1.3 Метод покоординатного спуска (Гаусса—Зейделя) Улучшает предыдущий метод за счёт того, что на очередной итерации спуск осуществляется постепенно вдоль каждой из координат, однако теперь необходимо вычислять новые Алгоритм1. Задаются начальное приближение и точность расчёта 2. Рассчитывают 3. Проверяют условие останова: o Если o Иначе 1.4 Метод сопряжённых градиентов Метод сопряженных градиентов — метод нахождения локального минимума функции на основе информации о её значениях и её градиенте. В случае квадратичной функции в Определим терминологию: Пусть Введём на Вектора · · где
1.4.1 Обоснование метода Нулевая итерация
Рисунок 2 - Иллюстрация последовательных приближений метода наискорейшего спуска (зелёная ломаная) и метода сопряжённых градиентов (красная ломаная) к точке экстремума. Пусть Тогда Определим направление
Разложим
Транспонируем полученное выражение и домножаем на
В силу непрерывности вторых частных производных
Подставим полученное выражение в (3):
Тогда, воспользовавшись (1) и (2):
Если
Приняв во внимание последнее, получим из выражения (4) окончательную формулу для вычисления
[править]К-я итерация На k-й итерации имеем набор Тогда следующее направление вычисляется по формуле:
где Это выражение может быть переписано в более удобном итеративном виде:
Алгоритм · Пусть · Пусть на некотором шаге мы находимся в точке Формализация 1. Задаются начальным приближением и погрешностью: 2. Рассчитывают начальное направление: 3.
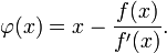
o Если o Иначе если 1.5 Метод НьютонаМетод Ньютона является градиентным методом поиска минимума функции нескольких переменных, использующим информацию о первых и вторых производных функции. На основе квадратичной аппроксимации функции формируется последовательность итераций таким образом, чтобы во вновь получаемой точке градиент аппроксимирующей функции обращался в нуль.Метод Ньютона определяет направление эффективного поиска в окрестности точки минимума, но не обладает свойством убывания функции от итерации к итерации. Однако в случае положительной определенности матрицы Гессе направление по методу Ньютона оказывается направлением спуска.Обоснование Чтобы численно решить уравнение Для наилучшей сходимости метода в точке очередного приближения
В предположении, что точка приближения «достаточно близка» к корню
С учётом этого функция
Эта функция в окрестности корня осуществляет сжимающее отображение[1]
, и алгоритм нахождения численного решения уравнения
По теореме Банаха последовательность приближений стремится к корню уравнения
Рисунок 1 - Иллюстрация метода Ньютона (синим изображена функция Геометрическая интерпретация Основная идея метода заключается в следующем: задаётся начальное приближение вблизи предположительного корня, после чего строится касательная к исследуемой функции в точке приближения, для которой находится пересечение с осью абсцисс. Эта точка и берётся в качестве следующего приближения. И так далее, пока не будет достигнута необходимая точность. Пусть
где α — угол наклона касательной в точке Следовательно искомое выражение для
Итерационный процесс начинается с некоего начального приближения x 0 (чем ближе к нулю, тем лучше, но если предположения о нахождении решения отсутствуют, методом проб и ошибок можно сузить область возможных значений, применив теорему о промежуточных значениях). Алгоритм 1. Задается начальное приближение x 0 . 2. Пока не выполнено условие остановки, в качестве которого можно взять 2. Решение задачи в Mathcad 142.1 Первый способ - Сопряженный градиент
Таким образом координаты оптимального места строительства очистного сооружения Х=4.585, У=5.654 дают минимум затрат R=23890 2.2 Второй способ - Квази-Ньютон
При разных дополнительных параметрах. Результат одинаков Дает такой же ответ Таким образом координаты оптимального места строительства очистного сооружения Х=4.585, У=5.654 дают минимум затрат R=23890 ЗаключениеБыли рассмотрены градиентные методы нахождения экстремумов функции : 1. Метод Ньютона, 2. Сопряженных градиентов, 3. Покоординатного спуска (Гаусса—Зейделя), 4. Скорейшего спуска( метод градиента) Была решена задача нахождения координат очистительного предприятия исходя из условия достижения минимум затрат градиентными методами – Ньютона и сопряженных градиентов. Таким образом, координаты оптимального места строительства очистного сооружения Х=4.585, У=5.654 дают минимум затрат R=23890 Список использованной литературы1. Акулич И.Л. Математическое программирование в примерах и задачах: Учеб. пособие для студентов эконом. спец. вузов. — М.: Высш. шк., 1986. 2. Гилл Ф., Мюррей У., Райт М. Практическая оптимизация. Пер. с англ. — М.: Мир, 1985. 3. Коршунов Ю.М., Коршунов Ю.М. Математические основы кибернетики. — М.: Энергоатомиздат, 1972. 4. Максимов Ю.А.,Филлиповская Е.А. Алгоритмы решения задач нелинейного программирования. — М.: МИФИ, 1982. 5. Максимов Ю.А. Алгоритмы линейного и дискретного программирования. — М.: МИФИ, 1980. 6. Корн Г., Корн Т. Справочник по математике для научных работников и инженеров. — М.: Наука, 1970. — С. 575-576. 7. http://ru.wikipedia.org |

(1)
(5)
, где 






