Реферат: Производство и спрос на экономические ресурсы в условиях совершенной и несовершенной конкуренции
|
Название: Производство и спрос на экономические ресурсы в условиях совершенной и несовершенной конкуренции Раздел: Рефераты по экономической теории Тип: реферат | ||||||||||||||||||||||||||||||||||||||||||||||||||||||
ГЛАВА 1.ОСНОВНЫЕ ПОНЯТИЯ И ТЕОРЕТИЧЕСКИЕ ОСНОВЫ РЫНКОВ СОВЕРШЕННОЙ И НЕСОВЕРШЕННОЙ КОНКУРЕНЦИИ 1.1.Производство и экономические ресурсы Под «производством» в современной экономической науке принято понимать любую деятельность членов общества по использованию естественных ресурсов [1, С.137]. Производство можно назвать объективной необходимостью, ведь природа не может дать нам необходимых благ, их нужно производить. А значит, что производственная деятельность предполагает обеспечение индивида или общества всеми благами. Все человеческие потребности можно разделить на материальные и духовные. Такое разделение хорошо отражает начала в жизни каждого - естественные, природные, и социальные нужды. Потребности общества растут, а значит, растет и производство. Естественно, для производства осуществляются затраты на экономические ресурсы. Ресурсы производства - это совокупность тех природных, социальных и духовных сил, которые могут быть использованы в процессе создания товаров, услуг и иных ценностей. В экономической теории ресурсы принято делить на четыре группы: 1) природные - потенциально пригодные для применения в производстве естественные силы и вещества, среда которых различают "неисчерпаемые" и "исчерпаемые" (а в последних - "возобновляемые" и "невозобновляемые").Говоря о природных ресурсах как о факторе производства, экономисты часто используют термин "земля". Цена, уплаченная за пользование землей, называется рентой. Рента - доход владельца земли. 2) материальные - все созданные человеком ("рукотворные") средства производства, которые сами являются результатом производства; 3) трудовые - население в трудоспособном возрасте которое к "ресурсном" аспекте обычно оценивают по трем параметрам: социально-демографическому, профессионально - квалификационному и культурно - образовательному; 4) финансовые - денежные средства, которые общество в состоянии выделить на организацию производства. Природные, материальные и трудовые ресурсы присущи любому производству поэтому они получили название "базовых"; возникшие на "рыночной" ступени, а финансовые ресурсы стали называться "производными". Наряду с понятием "ресурсы производства" экономическая теория оперирует также понятием "факторы производства". Нужно знать, чем они отличаются. Говоря об экономических ресурсах, мы охарактеризовали их, как социальные и духовные силы, которые могут быть вовлечены в производство. Факторы производства – это ресурсы, которые уже вовлечены в производственный процесс. Так что факторы – это движущие силы производства, составные части производственного потенциала[14,С.54]. То есть, «ресурсы производства» - это более широкое понятие.В отличие от ресурсов, факторы становятся таковыми только в рамках взаимодействия; поэтому производство всегда есть взаимодействующее единство его факторов. Факторы производства - это элементы, используемые для создания экономических благ[19,С.46]. В экономической теории выделяют три основных фактора производства: 1) "земля" - как фактор производства имеет троякое значение: - в широком смысле она означает все используемые в производственном процессе естественные ресурсы; - в ряде отраслей (аграрной, добывающей, рыбной) "земля" есть объектхозяйствования, когда она одновременно выступает и "предметом труда", и "средством труда"; - в пределах всей экономики "земля" может выступить как объектсобственности (в этом случае ее собственник непосредственного участия в процессе производства может не принимать, - он участвует опосредованно, предоставлением "своей" земли); 2) "капитал" - так называют материальные и финансовые ресурсы в системе факторов производства; 3) "труд" - та часть общества, которая непосредственно занята в процессе производства (иногда используют и такой термин, как "экономически-активное население", который охватывает только трудоспособных, занятых в производстве). Фактор "труд" включает и предпринимательство - уважаемую во всем мире деятельность, требующую способности к организации производства, умения ориентироваться в рыночной конъюнктуре и бесстрашия риска. В западной традиции уважение к предпринимателю столь велико, что его деятельность рассматривают как самостоятельныйфакторпроизводства. Предпринимательство - это разновидность трудовых усилий особого рода: управленческие и организационные навыки, необходимые фирмам для производства товаров и услуг. Главной социальной функцией предпринимателя следует признать организацию доходного производства: более заинтересованную в этом сторону, чем сам предприниматель, вряд ли можно отыскать. Также, все факторы производства можно рассматривать как: − вещественные, или имущественные (земля и капитал); − личные (труд и предпринимательская деятельность)[4,С.24]. Личные факторы производства воплощают в себе как врожденные способности людей, так и приобретенные ими в процессе обучения и практической деятельности знания, умения, навыки. Таким образом,назначение производства - удовлетворение потребностей человека и общества. Для производства нужны экономические ресурсы. Те ресурсы, которые вовлекаются в производство, называются «факторами производства». В процессе производства происходит объединение экономических ресурсов - факторов производства, в целях выпуска товаров и услуг и получения прибыли. 1.2. Рынки совершенной и несовершенной конкуренции Реакция фирм отрасли на те или иные действия отдельной фирмы определяется структурой рынка, в которой функционируют фирмы. Рыночную структуру характеризует ряд факторов: количество фирм в отрасли, тип производимого продукта, возможности для входа в отрасль и выхода из нее иных фирм, степень воздействия на цену товара[5,С.81]. С учетом этих факторов выделяется 4 рыночные структуры: 1)совершенная, или чистая конкуренция; 2)несовершенная конкуренция, или монополия; 3)монополистическая конкуренция; 4)олигополия. Рассмотрим из вышеперечисленных структур совершенную и несовершенную конкуренции.Совершенная конкуренция представляет собой научную абстракцию, идеальный тип рыночной структуры, служит эталоном для сравнения с другими типами рыночных структур[15, С.87]. Рынок чистой конкуренции — исторически самый развитый и наиболее упрощенный для ценообразования и обмен [9,С.123]. Рынку в условиях совершенной конкуренции присущи следующие черты: 1. На этом рынке действует большое число фирм, каждая из которых не зависима от поведения других фирм и принимает решения самостоятельно. Любая фирма отрасли не в состоянии воздействовать на рыночную цену производимого отраслью товара. 2. Фирмы отрасли производят один и тот же (гомогенный) товар, поэтому для покупателей абсолютно безразлично, товар какой фирмы приобретать. 3. Отрасль является открытой для входа в нее и выхода любого числа фирм. Ни одна фирма отрасли не предпринимает какого-либо противодействия, как не существует и каких-либо законодательных ограничений этому процессу[5,С.82]. По существу, конкуренция – это борьба за достижение лучших условий доступа к ограниченным ресурсам общества[4,С.92]. То есть, совершенная (чистая) конкуренция характеризуется существованием множества продавцов, оперирующих однородными стандартными продуктами. Число фирм-продавцов так велико, а доля каждой на рынке столь ничтожна, что ни одна из них не способна влиять на цены путем изменения объема производства. Цена навязана фирме-производителю рынком. Доступ в отрасль новым фирмам широко открыт. Для современного рынка состояние чистой конкуренции весьма редкое. Тем не менее это не означает, что анализировать положение фирмы в условиях чистой конкуренции не следует. В современной экономике не только отдельные фирмы, но целые отрасли действуют по принципу чистой конкуренции. Это можно говорить о сельскохозяйственном производстве. Конечно, производство сельскохозяйственных культур регулируется, и все же специфика отрасли такова, что все произведенное и поставляемое на рынок реализуется, причем реализация осуществляется на основе свободного соотношения спроса и предложения. Последнего как раз и требует состояние чистой конкуренции. Изучать экономику фирмы в состоянии чистой конкуренции необходимо также потому, что именно она является исходной для понимания процесса формирования издержек производства, выяснения сущности понятий “доход”, “прибыль” и т.д. Несовершенную конкуренцию подразделяют на три типа: монополистическую конкуренцию с дифференциацией продукта, олигополию, чистую монополию. Монополия (от греч. monos — один, poleo -продаю) — крупный собственник, который захватывает подавляющую часть рыночного пространства в целях своего обогащения[6,С.129]. Чистая монополия возникает обычно там, где отсутствуют реальные альтернативы, нет близких заменителей, выпускаемый продукт в известной степени уникален.Монополия возникает там и тогда, где и когда велики барьеры для вступления в отрасль[19,С.225]. Монополия — исключительное право на продажу какого-либо продукта или осуществление некоего вида деятельности. - билатеральная — двусторонняя монополия — противоборство единого поставщика и единого потребителя. - естественная — когда один производитель выпускает продукцию, которая требует более низких затрат, чем продукция других производителей. - легальная — право быть единственным поставщиком каких-либо товаров и услуг. - чистая — рынок, на котором одна фирма создает продукт, не имеющий заменителя, доступ на который закрыт и где монополия может устанавливать цену на свой товар[10, С.220]. Таким образом, противоположностью чистой конкуренции выступает чистая монополия. Продукт создается единственной фирмой, вхождение в отрасль новых производителей исключается из-за непреодолимых барьеров (патентной монополии, монополии на источники сырья, транспортные средства, распределение, кредиты и т.д.). Так фирма-производитель полностью контролирует производство и рынок. Препятствия, которые выдвигает монополист на пути проникновения в отрасль иных фирм, называются входными барьерами. Существуют естественные и искусственные барьеры. Естественные возникают тогда, когда какой-то фирме или группе фирм удается добиться низких средних издержек в долгосрочном периоде, что дает возможность вытеснить остальные фирмы из отрасли.Искусственно создаваемые барьеры могут возникнуть чисто институциональным путем, например вследствие действий правительства. В частности, гарантирование патентных прав на изобретение, предоставление особых привилегий (обычно разного рода лицензий), обеспечение секретности отдельных разработок, контроль за расходованием важных стратегических сырьевых ресурсов может обеспечить отдельным фирмам возможность монополизации отрасли. Однако и чистая монополия в жизни встречается довольно редко. Следующий тип несовершенной конкуренции – монополистическая конкуренция с дифференциацией продукта на рынке - предполагает большое количество продавцов и покупателей, но у продуктов могут быть различия в свойствах. Например продукт некой фирмы может отличаться высоким качеством, хорошей упаковкой, броской рекламой, хорошими условиями продажи и прочее, что может быть другим или вовсе отсутствовать у аналогичных товаров конкурентов. Имея такие преимущества, владелец дифференцированного продукта в определенной степени становится монополистом и приобретает возможность влиять на цену[18,С.393]. Но так как объем продаж продавца на таком рынке невелик, то фирм – монополистов становится много и каждая из них имеет ограниченный контроль над рыночной ценой. Это и есть отличительная черта монополистической конкуренции. Олигополистическая конкуренция представлена рынком, на котором доминирует несколько фирм. Для олигополии характерно наличие либо однородной, либо дифференцированной продукции, а главной ее чертой является то, что цены устанавливают по принципу лидерства. То есть, большинство фирм на данном рынке стремится устанавливать такие же цены, как и фирма, которая занимает лидирующую позицию среди них. Структуры совершенной конкуренции и монополии достаточно условны и односторонни. Первая сводит механизм регулирования экономики к рынку, вторая – к административно-командным методам. Но в реальной жизни эти механизмы переплетаются, взаимодействуют друг с другом. Реальные рыночные структуры находятся где-то между этими двумя крайностями.Как отметил П. Самуэльсон, «реальный мир... выступает как своеобразное сочетание элементов конкуренции с несовершенствами, вносимыми монополиями»[17, С.499]. Итак, чистая конкуренция – это рынок с множеством фирм, свободным входом и выходом и отсутствием регулирования цены. Совершенная конкуренция характеризуется существованием производителей, изготавливающих однородные продукты. Рынок несовершенной конкуренции представлен чистой монополией, олигополистической конкуренцией и монополистической конкуренцией. Чистая монополия – это рынок с одним крупным продавцом или производителем, изготавливающим или продающим уникальный товар. ГЛАВА 2.ПРОИЗВОДСТВО И СПРОС НА ЭКОНОМИЧЕСКИЕ РЕСУРСЫ В УСЛОВИЯХ СОВЕРШЕННОЙ КОНКУРЕНЦИИ 2.1.Спрос на ресурсы Известно, для того чтобы организовать производство, фирме нужно обратиться на рынок ресурсов: труда, земли и капитала. Следовательно, на рынке факторов производства товаропроизводитель выступает в роли покупателя и тем самым олицетворяет собой спрос на ресурсы, тогда как владельцы факторов производства выступают как носители предложения ресурсов[11,С.475]. Любой ресурс необходим только в том случае, если с его помощью можно произвести продукцию, имеющую определенную полезность для потребителей, т.е. чем больше единиц товаров желают приобрести покупатели по каждой цене, тем в больших количествах фирмы должны продавать эти товары, значит, тем на большее количество ресурсов, необходимых для производства данных товаров, будет предъявляться спрос[5,С.146]. Из вышесказанного можно сделать вывод, что спрос на экономические ресурсы имеет зависимый характер, являясь производным от спроса на товары и услуги, производимые с помощью этих ресурсов. Суммарный, рыночный спрос на любой ресурс равен сумме индивидуальных спросов на него во всех сферах производства и услуг[5,С.146]. Правда, большинство фирм в своем производстве используют промежуточные товары, то есть продукцию других фирм. И эти промежуточные товары являются для них ресурсами. Но все-таки, проводя анализ промежуточных товаров, выделяя в их производстве основные факторы и иные промежуточные товары, можно убедиться в том, что спрос на экономические ресурсы сводится к спросу на три основных фактора: труд, землю, капитал. Спрос на ресурсы формируется под влиянием многих факторов, к основным можно отнести три из них. Первым можно назвать предельную производительность ресурсов ( МRР). С ростом производительности ресурса, которая определяется его предельным продуктом, спрос на определенный, данный, ресурс будет возрастать или убывать. Производительность любого ресурса можно изменять несколькими путями: 1) Данные о предельной производительности, скажем, труда, будут зависеть от количества других связанных с ним ресурсов. Чем больше величина таких связанных с трудом ресурсов, как капитал и земля, тем выше будет предельная производительность и спрос на труд. 2) Технологические усовершенствования оказывают тот же самый эффект. Чем выше качество капитала, тем выше производительность труда. Труд сталелитейщиков, работающих на современных кислородных конвертерах, в которые вложено определенное количество реального капитала, является более производительным, чем труд тех, кто работает на старых мартеновских печах, в которые вложено такое же количество реального капитала. 3) Повышение качества самого переменного ресурса — труда — вызывает увеличение предельной производительности и, следовательно, спроса на труд. Следующим важнейшим фактором является предельный доход, или цена на товар, производимый с использованием ресурса. При увеличении спроса на продукт цена на него увеличится, что вызовет повышение предельной доходности ресурса, а то есть это подтолкнет фирму к наращиванию закупок ресурса. Наконец, изменение спроса на данные ресурсы зависит от динамики спроса на другие ресурсы, т. е. от изменения цены на замещающие ресурсы (например, труд заменяется капиталом) и на дополнительные (например, ресурсы на изготовление пленки и программного обеспечения являются дополнительными по отношению к тем, что идут соответственно на изготовление камеры и ЭВМ) [7,С.181]. При введении в производство замещающих ресурсов фирмы получают эффект двух видов. Ими являются эффект замещения и эффект объема производства. Первый связан с тем, что замена одного ресурса другим изменяет цену спроса. А второй выражается в увеличении издержек на капитал, вызывающем падение объема производства и сокращение спроса на ресурсы. Предположим, что в определенном производственном процессе технология такова, что труд и капитал являются замещающими друг друга. Другими словами, фирма может производить какую-то данную продукцию с относительно небольшим количеством труда и относительно большим количеством капитала и наоборот. Теперь допустим, что происходит падение цены на машинное оборудование. Во-первых, снижение цены на машинное оборудование побуждает фирму замещать труд машинным оборудованием. Это явная приспособительная реакция, если фирма стремится произвести любое заданное количество продукции с наименьшими затратами. При данных ставках заработной платы в этом случае будет нанято меньшее количество труда. Короче говоря, эффект замещения снизит спрос на труд. Во-вторых, при падении цен на машинное оборудование также снижаются издержки производства при выпуске различных объемов продукции. С сокращением издержек фирме выгоднее производить и реализовать большее количество продукции. А такое увеличение объема производства приведет к росту спроса на все ресурсы, включая труд. В связи со снижением цены на машинное оборудование этот эффект объема продукции влечет за собой рост спроса на труд. Эффекты замещения и объема продукции явно действуют в противоположном направлении. При падении цены на машинное оборудование эффект замещения снижает, а эффект объема продукции увеличивает спрос на труд. Фактически воздействие на спрос на труд будет зависеть от относительных величин этих двух противоположных эффектов. Если эффект замещения перевешивает эффект объема продукции, то снижение цен на капитал приведет к снижению спроса на труд. Если справедливо обратное, то спрос на труд увеличится. Обобщаем: если эффект замещения перевешивает эффект объема продукции, то изменение в цене ресурсозаменителявызывает однонаправленное изменение в спросе на труд. Если эффект объема продукции превышает эффект замещения, то изменение в цене ресурсозаменителя вызывает разнонаправленное изменение в спросе на труд. Определенные продукты, такие, как камеры и пленка, компьютеры и программное обеспечение, называются взаимодополняемыми товарами в том смысле, что они "идут вместе", или спрос на них предъявляется одновременно. Ресурсы могут быть взаимодополняемыми в том смысле, что увеличение количества одного из них, применяемого в производственном процессе, повлечет за собой также увеличение количества другого ресурса и наоборот. Допустим, что мелкий производитель металлоизделий применяет штамповочные прессы в качестве главного элемента основного капитала. Каждый пресс сконструирован так, что им может управлять один рабочий; пресс не автоматизирован — он не будет работать сам по себе, — и вместе с тем второй рабочий будет не нужен. Предположим, что значительные технологические нововведения в производстве этих прессов привели к существенному снижению их стоимости. Теперь не будет никакого негативного эффекта замещения, ибо труд и капитал должны применяться в фиксированных пропорциях — один человек на один станок. Капитал нельзя замещать трудом. Но в отношении труда действует позитивный эффект объема продукции. При прочих равных условиях, снижение цен на средства производства означает уменьшение издержек производства. Соответственно будет выгодным производить больший объем продукции. Поступая так, фирма будет использовать как больше капитала, так и больше труда. Если труд и капитал являются взаимодополняемыми, то снижение цены на машинное оборудование приводит к повышению спроса на труд в силу действия эффекта объема продукции. И наоборот, при повышении цены на капитал эффект объема продукции вызывает уменьшение спроса на труд. Обобщаем: изменение в цене взаимодополняемого ресурса приводит к разнонаправленному изменению спроса на труд. Суммируем: кривая спроса на труд повышается (сдвигается вправо), когда: 1) увеличивается спрос на (а соответственно и цена на) продукт, производимый этим трудом; 2) увеличивается производительность труда (МР); 3) уменьшается цена на ресурсозаменитель при условии, если эффект объема продукция сильнее эффекта замещения; 4) увеличивается цена на ресурсозамснитель при условии, если эффект замещения превышает эффект объема продукции; 5) снижается цена на взаимодополняемый ресурс. Все эти соображения важны для объяснения, почему средний уровень (реальной) заработной платы выше в Соединенных Штатах Америки, чем в большинстве зарубежных стран. Американские рабочие в целом здоровее и подготовленнее, чем в других странах, и в большинстве отраслей они трудятся с использованием более крупного и более эффективного парка средств производства, а также богатых природных ресурсов. Это влечет за собой устойчиво высокий спрос на труд. Со стороны предложения на рынке труд является относительно редким ресурсом по сравнению с большинством зарубежных стран. Устойчивый спрос и относительно ограниченное предложение порождают высокие ставки заработной платы. Спрос на экономические ресурсы имеет зависимый характер, являясь производным от спроса на товары и услуги, производимые с помощью этих ресурсов. Можно отметить, что изменение в спросе на ресурс зависит от нескольких факторов: предельной производительности ресурса, предельной доходности и цены на другие ресурсы. Производительность любого ресурса можно изменять следующими способами: 1) Технологические усовершенствования; 2) Повышение качества самого переменного ресурса — труда ; Другие ресурсы, изменение цены на которые изменит спрос на ресурс, могут быть замещающими и взаимодополняющими. Замещающие ресурсы вызывают эффект замещения и эффект объема производства. А взаимодополняемыми могут быть ресурсы в том смысле, что увеличение количества одного из них, применяемого в производственном процессе, повлечет за собой также увеличение количества другого ресурса и наоборот. 2.2.Производство и спрос на экономические ресурсы в условиях совершенной конкуренции на примере рынка труда В условиях совершенной конкуренции фирмы не влияют на цены ресурсов и цены продуктов, так как это работа рынка. Спрос на ресурсы зависит от того, насколько эффективно они используются, какой приносят доход. Фирмы увеличивают использование ресурсов до тех пор, пока получаемый предельный денежный продукт не сравняется с предельными издержками ресурсов. Если каждая последующая единица ресурсов добавляет к общему доходу фирм больше, чем к их общим издержкам, то в этом случае фирма получает дополнительную прибыль. И наоборот, при превышении издержек ресурсов над предельным денежным продуктом фирмы несут убытки и вынуждены сокращать применение ресурсов. При совершенной конкуренции взаимодействие между фирмами лишено стратегического поведения, т.е.фирма не учитывает реакции своих конкурентов на принимаемые ею решения, а суть ее поведения сводится к приспособлению к складывающейся рыночной ситуации[13,С.159]. С экономической точки зрения труд — важнейший производственный ресурс (фактор). То есть, среди всех экономических ресурсов, используемых в производстве товаров и услуг, наиболее важным является труд. Это можно объяснить тем, что, во-первых, практически каждый работоспособный член общества – субъект рынка труда, во-вторых, вознаграждение за труд, заработная плата, получаемое на рынке труда, составляет основную часть дохода подавляющего большинства семей многих стран, в-третьих, вопросы занятости, безработицы, уровня заработной платы становятся объектом политической и экономической борьбы, государственной политики. Поэтому можно рассмотреть спрос на экономический ресурс в условиях совершенной конкуренции на примере рынка труда. Рынок труда — совокупность экономических и юридических процедур, позволяющих людям обменять свои трудовые услуги на заработную плату и другие выгоды, которые фирмы согласны им предоставить в обмен на эти услуги[3,С.244]. Прежде чем приступить к рассмотрению непосредственно спроса на рынке рынка труда, можно выделить некоторые особенности спроса на труд. Первой особенностью можно назвать воздействие на мобильность труда различных экономических факторов, таких как регистрация, престижность профессии, социальные условия и др. Единственным фактором, влияющим на спрос труда, является заработная плата, то есть, цена труда, которая в свою очередь складывается только под воздействием спроса и предложения на труд.На конкурентных рынках рабочей силы цена труда, т.е. заработная плата, устанавливается как конкурентное равновесие спроса и предложения по различным категориям работников, по видам работ, по наличию и отсутствию профсоюзов, влияющих на спрос и предложение труда и добивающихся повышения его оплаты для занятой части работников[1, С.177]. Под заработной платой понимается цена, выплачиваемая за использование труда наемного работника[2, С.98]. Различают номинальную и реальную заработную плату. Номинальной заработной платой называют сумму денег, полученную наемным работником, реальной — совокупность товаров и услуг, которые можно приобрести на эти деньги с учетом их покупательной способности [19,С.280]. В роли главных покупателей на рынке труда выступают предприниматели, предъявляющие основной спрос на труд[8,С.91]. Спрос на конкретный труд определяется таким количеством труда, которое предприниматели готовы и способны использовать в данный период времени при данных условиях. Далее, стоит отметить, что для рынка труда специфическим является то, что он может быть подвержен монополизации как со стороны предложения, так и со стороны спроса. То есть, на товарном рынке возникновение монополии невозможно со стороны покупателей, монополизация происходит только со стороны предложения производителями товаров и услуг, предлагающими свою продукцию. Для совершенно конкурентного рынка труда характерны следующие свойства: 1)большое количество фирм, нанимающих рабочую силу; 2)множество рабочих одинаковой квалификации, т.е.имеется большое количество специалистов определенной профессии, располагающих равной квалификацией, и каждый из них независимо от других предлагает свои услуги на рынке труда; 3)невозможность для фирм и рабочих контролировать уровень зарплаты. Совершенная конкуренция на рынке труда реализуется через механизм гибких рыночных цен. Потому что ни отдельные работодатели, ни отдельные работники не могут влиять на рыночную ситуацию в целом. Также, равновесные ставки заработной платы не зависят от поведения отдельных фирм или групп работников, а определяются общим взаимодействием всех участников рыночного процесса. На конкурентном рынке труда кривая спроса на труд имеет отрицательный угол наклона: с ростом общего уровня заработной платы спрос на труд падает. То есть она отражает закон убывающей предельной производительности труда. Его смысл заключается в том, что фирма, нанимая больше рабочих, получает от них убывающую отдачу, поэтому оплачивает труд по более низким ставкам. Горизонтальная ось — это количество труда Q, вертикальная - ставка заработной платы Р (рис. 1).
Рис. 1. Кривая спроса на труд на совершенно конкурентном рынке. Чем больше ресурсов использует фирма, тем больше продукции она производит. Рассмотрим кривую спроса на труд поближе. Предельный продукт ресурса МР— это дополнительное количество произведенной продукции в результате использования дополнительной единицы данного ресурса. Например, если фирма использует дополнительно час труда, то объем ее выпуска увеличивается на MPLединиц. Но также нужно напомнить, что большинство производственных процессов характеризуется убывающей предельной полезностью. То есть, при фиксированной величине всех прочих используемых ресурсов большему количеству используемого ресурса соответствует меньший предельный продукт каждой дополнительной его единицы. Когда фирма, производящая в условиях совершенной конкуренции решает вопрос о том, нанимать или не нанимать дополнительную единицу ресурса, она прежде всего учитывает, как это повлияет на ее прибыль. Величина предельного продукта труда зависит от качества рабочей силы, от уровня общей и специальной профессиональной подготовки, от уровня кооперации труда, и т.д. Эта фирма сопоставляет дополнительную выручку от выпуска продукции, полученную при использовании дополнительного количества ресурса, с величиной увеличения затрат. Объем дополнительных поступлений зависит как от цены на товар(P), так и от предельного продукта ресурса. Затраты на покупку дополнительной единицы ресурса – предельные факторные издержки. Они равны цене ресурса. В нашем примере это величина заработной платы-W. Значит, спрос фирмы на ресурс определяется равенством P*MPL=W или MPL=W/P, где W/P – реальная цена ресурса, или реальная плата за труд, как в нашем случае, выраженная в единицах произведенной продукции, а не в деньгах. На рисунке 2 изображен график MPLнаклоненный вниз, так как при росте LMPLснижается. Фирма будет нанимать новых рабочих до того времени, пока реальная заработная плата W/P не станет равна MPL. И поэтому, этот график можно назвать еще и кривой спроса фирмы на труд. Спрос на труд предъявляется до того момента, когда выручка от использования предельного (последнего) работника сравняется с издержками по его использованию или, другими слова, когда заработная плата предельного рабочего будет равна получаемой от его использования фирмой выручке. В общем, важнейшим фактором производства с экономической точки зрения является труд. Поэтому спрос на труд в условиях совершенной конкуренции рассматривать необходимо. Также, спрос на труд: - является производным от спроса на товары и услуги; - определяется доходностью от предельного продукта, приносимого этим фактором и предложением других факторов производства. Предельный продукт – это то дополнительное количество продукции, которая произведена с использованием дополнительной единицы ресурса. Кривая спроса на труд в условиях совершенной конкуренции отражает закон убывающей предельной производительности. То есть, фирма, нанимая больше рабочих, получает от них убывающую отдачу, поэтому оплачивает труд по более низким ставкам. 2.3.Cпрос на ресурсы в условиях несовершенной конкуренции Наш анализ спроса на труд ненамного усложняется, если предположить, что фирма продает свою продукцию на рынке несовершенной конкуренцией. Несовершенная конкуренция может проявляться в разных формах[16,С.345]. Чистая монополия, олигополия и монополистическая конкуренция – вот основные типы рынков несовершенной конкуренции, как уже говорилось в главе 2 данной курсовой работы. Рынки несовершенной конкуренции наиболее часто встречаются в реальной жизни. Покоящиеся на конкуренции между фирмами за объем продаж, эти модели рынка дают наиболее близкое к реальной действительности представление о механизмах взаимодействияфирм на рынках[13,С.187] Кривая спроса монополиста (на самом деле кривая спроса любого действующего в условиях несовершенной конкуренции продавца) имеет разные черты[20,С.536]. Чистая монополия, олигополия и монополистическая конкуренция на рынке продукции означает, что кривая спроса на продукцию фирмы понижается, то есть фирма вынуждена принять более низкую цену на продукт, чтобы увеличить его реализацию; в таблице 1 это учтено (приложение 10). В колонке 4 предполагается, что цена на продукцию должна быть снижена, чтобы реализовать предельный продукт, произведенный каждым дополнительно нанятым рабочим. МRР продавца, действующего в условиях чистой конкуренции, снижается по одной причине: уменьшается предельный продукт. А МRР продавца, действующего в условиях несовершенной конкуренции, снижается по двум причинам: уменьшается предельный продукт и падает цена на продукт, так как возрастает выпуск продукции. Следует подчеркнуть, что понижение цены, сопутствующее каждому приросту выпуска продукции, относится в любом случае не только к предельному продукту каждою последующего рабочего, но и ко всем предыдущим единицам продукции, которые в противном случае могли бы быть проданы по более высокой цене. Проиллюстрируем: предельный продукт второго рабочего равен 6 единицам. Эти 6 единиц можно продать по 2,4 дол. за каждую или 14,4 дол. за все. Но это не МRР второго рабочего. Почему? Потому что, чтобы продать эти 6 единиц, фирма должна снизить на 20 центов цену 7 единиц продукции, произведенных первым рабочим, — единиц продукции, которые могли бы быть проданы по 2,6 дол. За каждую. Итак, МRР второго рабочего составляет лишь 13 дол. (=14,4 дол. - (7 х 20 центов)). Аналогично: МRР третьего рабочего— 8,4 дол. Хотя 5 единиц, которые производит этот рабочий, стоят на рынке 2,2 дол. каждая, третий рабочий не дает прироста общего дохода фирмы на 11 дол., если учесть снижение цены на 20 центов для 13 единиц продукции, произведенных первыми двумя рабочими. В данном случае МRР третьего рабочего составляет лишь 8,4 дол. (=11 дол. — (13 х 20 центов)). И так далее для последующих значений колонки 6. В итоге кривая МRР — кривая спроса на ресурс — производителя, действующего в условиях несовершенной конкуренции, имеет тенденцию быть менее эластичной, чем кривая производителя в условиях чистой конкуренции. При ставке заработной платы, или МRС, равной 11,95 дол., предприниматель как в условиях чистой, так и несовершенной конкуренции будет нанимать двух рабочих. При ставке 9,95 дол. фирма в условиях чистой конкуренции будет нанимать трех рабочих, а при несовершенной конкуренции — только двух. При ставке 7,75 дол. фирма в условиях чистой конкуренции примет на работу четырех человек, а при несовершенной конкуренции — только трех. Разницу в эластичности можно легко увидеть, выразив графически, как на рисунке 4 в приложении 3, данные МRС из таблицы 1 и сравнив их с рисунком 3 в приложении 2. Кривая спроса производителя на ресурс в условиях несовершенной конкуренции падает вниз, поскольку предельный продукт уменьшается и снижается цена продукта по мере роста выпуска продукции. Неудивительно, что производитель в условиях несовершенной конкуренции меньше реагирует на снижение заработной платы при найме рабочих, чем производитель в условиях чистой конкуренции. Относительное нежелание производителя при несовершенной конкуренции использовать больше ресурсов и соответственно производить больше продукции при снижении цен на ресурс является просто реакцией рынка ресурса на тенденцию к сокращению объема продукции на рынке при несовершенной конкуренции. При прочих равных условиях, предприниматель в условиях несовершенной конкуренции будет производить любого продукта меньше, чем при чистой конкуренции. Для производства этого меньшего количества продукции потребуется меньше ресурсов. Рыночная структура чистой монополии и, олигополии могла бы способствовать техническому прогрессу, а также более высокому уровню производства, повышению занятости, снижению цен в долгосрочном периоде по сравнению с чисто конкурентным рынком. Кривая спроса на ресурсы в этих случаях не ограничена. Итак, рынки несовершенной конкуренции встречаются наиболее часто в повседневной жизни. Предприниматель в условиях несовершенной конкуренции будет производить любого продукта меньше, чем при чистой конкуренции. ГЛАВА 3.ОПТИМАЛЬНОЕ СООТНОШЕНИЕ РЕСУРСОВ 3.1.Правило наименьших издержек К минимизации издержек коммерческие предприятия стремятся как при выборе факторов производства, так и при их использовании в процессе производства[8,С.35]. Задача производителя состоит в том, чтобы выбрать такую комбинацию факторов, которая обеспечила бы производство необходимого объема выпуска с наименьшими издержками. Линия, отражающая разные комбинации факторов производства, дающих равные суммарные издержки, называется изокостой. Изокванта – это кривая, отражающая множество минимальных необходимых комбинаций ресурсов, которые могут быть использованы для производства данного объема продукции[21,С.100]. Наклон изокосты показывает соотношение цен факторов при данном уровне издержек, а наклон изокванты указывает на соотношение предельных продуктов факторов, минимальные издержки для данного объема производства достигаются при равенстве наклона изокосты и изокванты, т.е. в точке их касания (рис.5).
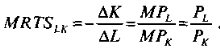
Рис. 5. Изокванта и изокоста. Изокоста с издержками С1не позволяет достичь требуемого выпуска. Пересечение изокванты с изокостой в точках В и в указывает на чрезмерно высокие издержки С3 для объема выпуска, который может быть достигнут при более низких издержках С2. Для данного объема выпуска (Q) минимальные издержки производства достигаются в точке Апри комбинации факторов (к, I). Значит, условие оптимизации выполняется, если комбинация ресурсов лежит на изокосте, а наклон изокосты равен наклону изокванты. То есть, что минимальные издержки достигаются тогда, когда затраты на дополнительную единицу продукции не изменяются от использования любых дополнительных факторов. Фирма должна изменять соотношение факторов производства в целях повышения выпуска или снижать издержки для данной выработки до тех пор, пока предельная норма замещения факторов (MRTSLK) не будет равна наклону изокосты (PL/PK)(1).
где MRTSLK– предельная нора замещения факторов; РL– цена фактора L; Pk– цена фактора K. Это позволяет сделать несколько важных выводов. Во-первых, фактор производства применяется до тех пор, пока его предельная производительность, выраженная в денежных единицах, не станет равной его рыночной цене, являющейся ограничительным пределом применения фактора. Во-вторых, оптимальная комбинация факторов производства достигается тогда, когда соотношение предельных производительностей факторов равно соотношению их рыночных цен. В-третьих, соотношение цен и предельных производительностей факторов производства обусловливает спрос в отношении каждого из них. Если цена на какой-то фактор растет, фирма будет сокращать применение этого фактора и переходить к увеличению использования более дешевого. Тем не менее, при осуществлении фирмой данного объема выпуска любое изменение цены приведет к изменению издержек производства. Любые ограничения по использованию фирмой того или иного фактора неизбежно приведут к росту издержек производства, так как не позволят ей добиться оптимального сочетания факторов. Поскольку в долгосрочном периоде фирма располагает более широкими возможностями для комбинирования факторов производства, то для каждого данного объема выпуска издержки производства в долгосрочном периоде ниже, чем в краткосрочном. Правило наименьших издержек– это условие, согласно которому издержки минимизируются в том случае, когда последний доллар, затраченный на каждый ресурс, дает одинаковую отдачу – одинаковый предельный продукт MP. Данное правило аналогично правилу максимизации полезности для потребителя. 3.2.Правило максимизации прибыли Согласно традиционным теории фирмы и теории рынков, максимизация прибыли является основной целью фирмы[15, С.102]. Поэтому фирма должна выбрать такой объем поставляемой продукции, чтобы достичь максимальной прибыли за каждый период продаж. Экономическая прибыль — это разность между расходами от продаж и вмененными издержками на ресурсы, использованные при производстве данных товаров (услуг). Прибыль, с точки зрения вмененных (альтернативных) издержек, рассчитывают на основе двух показателей: нормальной прибыли и экономической прибыли фирмы. Нормальная прибыль, или альтернативная стоимость капитала, — минимальная плата (доход), которой должны вознаграждаться предпринимательские действия, чтобы стимулировать их для дальнейшей деятельности [12, с.233]. Экономическая прибыль — общий доход фирмы за вычетом ее вмененных издержек. Экономическая прибыль — синоним терминов "чистая прибыль", "сверхприбыль". Валовой доход – это цена (Р) проданного товара, умноженная на объем продаж (Q). Поскольку на цену не влияет конкурентная фирма, то на свой доход она может повлиять лишь посредством изменения объема продаж. Если валовой доход фирмы больше совокупных издержек, то она получает прибыль. Если совокупные издержки превышают валовой доход, то фирма несет убытки. Совокупные издержки - это издержки всех факторов производства, использованных фирмой при производстве данного объема продукции. Максимальная прибыль достигается в двух случаях: а) когда валовой доход (TR) в наибольшей степени превышает совокупные издержки (ТС); б) когда предельный доход (MR) равен предельным издержкам (МС). Предельный доход (MR) - это изменение в валовом доходе, получаемое при продаже дополнительной единицы объема выпуска. Для конкурентной фирмы предельный доход всегда равен цене продукта(2): MR = Р (2), где MR – предельный доход; P– цена. Максимизация предельной прибыли представляет собой разницу между предельным доходом от продажи дополнительной единицы продукции и предельными издержками(3): предельная прибыль = MR - МС (3), где MR – предельный доход; MC - предельные издержки. Предельные издержки - дополнительные издержки, приводящие к увеличению выпуска на одну единицу блага. Предельные издержки целиком представляют собой переменные издержки, ибо постоянные издержки не изменяются вместе с выпуском. Для конкурентной фирмы предельные издержки равны рыночной цене товара(4): МС = Р (4), где MC– предельные издержки; P – цена. Предельным условием максимизации прибыли является такой объем выпуска продукции, при котором цена равняется предельным издержкам. Определив предел максимизации прибыли фирмы, необходимо установить равновесный выпуск продукции, максимизирующий прибыль. Максимально прибыльное равновесие - это такое положение фирмы, при котором объем предлагаемых благ определяется равенством рыночной цены предельным издержкам и предельному доходу(5): Р = МС = MR (5), где MC – предельные издержки; MR – предельный доход; P – цена. Максимально прибыльное равновесие в условиях совершенной конкуренции иллюстрируется на рисунке 6 ( приложение 4). Фирма выбирает такой объем выпуска, который позволяет ей извлекать максимальную прибыль. При этом надо иметь в виду, что выпуск, обеспечивающий максимальную прибыль, отнюдь не означает, что за единицу данной продукции извлекается самая большая прибыль. Следовательно, неправильно использовать прибыль за единицу продукта в качестве критерия общей прибыли. В определении объема выпуска, максимизирующего прибыль, необходимо сравнивать рыночные цены со средними издержками. Средние издержки (АС) - издержки в расчете на единицу продукции. Они равны общим издержкам производства определенного количества продукции, деленным на количество произведенной продукции. Различают три вида средних издержек: средние валовые (общие) издержки (АС); средние постоянные издержки (AFC); средние переменные издержки (AVC). Соотношение рыночной цены и средних издержек производства может иметь несколько вариантов: 1. цена больше, чем средние издержки производства, максимизирующие прибыль. В этом случае фирма извлекает экономическую прибыль, т. е. ее доходы превышают все ее издержки (рисунок 7, приложение 5); 2. цена равна минимальным средним издержкам производства, что обеспечивает фирме самоокупаемость, т. е. фирма только покрывает свои издержки, что дает ей возможность получать нормальную прибыль (рисунок 8, приложение 6); 3. цена ниже минимально возможных средних издержек, т. е. фирма не покрывает всех своих издержек и несет убытки; 4. цена опускается ниже минимальных средних издержек, но превышает минимум средних переменных издержек, т. е. фирма способна минимизировать свои убытки; 5. цена ниже минимума средних переменных издержек, что означает прекращение производства, ибо потери фирмы превышают постоянные издержки. Также, необходимо рассмотреть условия максимизации прибыли в условиях несовершенной конкуренции. Фирма-монополист будет увеличивать выпуск продукции до такого объема, когда предельный доход (MR) будет равен предельным издержкам (МС). Дальнейший рост объема выпуска на одну единицу продукции приведет к превышению дополнительных издержек над дополнительным доходом. Если же произойдет уменьшение выпуска на одну единицу продукции в сравнении с данным уровнем, то для фирмы-монополиста это обернется упущенным доходом, извлечение которого было бы вероятно от реализации еще одной дополнительной единицы блага. Максимальную прибыль фирма-монополист извлекает в том случае, когда объем выпуска таков, что предельный доход равен предельным издержкам, а цена равна высоте кривой спроса при данном уровне выпуска (рисунок 9, приложение 7). На рисунке 9 изображены краткосрочные кривые средних и предельных издержек фирмы-монополиста, а также спрос на ее продукт и предельный доход от продукта. Монопольная фирма извлекает максимальную прибыль, производя объем благ, соответствующий точке, где MR = МС. Затем она устанавливает цену Рм, которая необходима, чтобы побудить покупателей купить объем благ QM. При данных цене и объеме производства фирма-монополист извлекает на единицу продукции прибыль (Рм - АСМ ). Общая экономическая прибыль = (Рм - АСМ ) х QM [15, С.143]. Если спрос и предельный доход от блага, поставляемого фирмой-монополистом, понижаются, то извлечение прибыли невозможно. Если цена, соответствующая выпуску, при котором MR = МС, понизится ниже средних издержек, фирма-монополист понесет убытки (рисунок 10, приложение 8). Когда фирма-монополист покрывает все свои издержки, но не извлекает прибыль, она находится на уровне самоокупаемости. В долгосрочном периоде, максимизируя прибыль, фирма-монополист увеличивает свои операции до тех пор, пока не производится объем продукции, соответствующий равенству предельного дохода и долгосрочных предельных издержек (MR = LRMC). Если при этой цене фирма-монополист извлекает прибыль, то свободный вход на этот рынок для других фирм исключен, поскольку возникновение новых фирм приводит к росту предложения, в результате чего цены опускаются до уровня, который обеспечивает получение лишь нормальной прибыли. Максимизация прибыли в долгосрочном периоде показана на рисунке 11 (приложение 9). Когда фирма-монополист прибыльна, она может рассчитывать на извлечение максимальной прибыли и в короткосрочном, и в долгосрочном периоде. Фирма-монополист контролирует одновременно и объем выпуска, и цену. Завышая цены, она сокращает при этом объемы выпуска продукции. В долгосрочном периоде фирма-монополист максимизирует прибыль, осуществляя производство и реализацию такого количества благ, которое соответствует равенству предельного дохода и предельных издержек в долгом периоде. Фирма может продолжать свою деятельность, если при достигнутом уровне производства ее доход больше переменных издержек, и должна прекратить производство, если ее суммарный доход не превышает переменных издержек. С целью оптимизации объема выпуска продукции фирма должна производить такое ее количество, при котором предельный доход (MR) равен предельным издержкам (МС). Таким образом, чтобы фирма выполнила своя основную цель - получила максимальную прибыль – необходимо выбрать определенный объем продаж, получая максимальную прибыль за каждый период. Максимизация прибыли достигается при таком выпуске продукции, когда предельный доход фирмы равен предельным издержкам. 3.3. Экономическая эффективность распределения ресурсов Экономическая эффективность — результативность экономической системы, выражающаяся в отношении полезных конечных результатов ее функционирования к затраченным ресурсам. Социально-экономической эффективностью обладает та экономическая система, которая в наибольшей степени обеспечивает удовлетворение многообразных потребностей людей: материальных, социальных, духовных, гарантирует высокий уровень и качество жизни. Основой такой эффективности служит оптимальное распределение имеющихся у общества ресурсов между отраслями, секторами и сферами национальной экономики. Экономически эффективным принято считать такой способ производства, при котором фирма не может увеличить выпуск продукции без увеличения расходов на ресурсы и одновременно не может обеспечить тот же объем выпуска, используя меньшее количество ресурсов одного типа и не увеличивая при этом затраты на другие ресурсы. Эффективность производства складывается из эффективности всех действующих предприятий. Эффективность предприятия характеризуется производством товара или услуги с наименьшими издержками. Она выражается в его способности производить максимальный объем продукции приемлемого качества с минимальными затратами и продавать эту продукцию с наименьшими издержками. Любое распределение ресурсов Аявляется неэффективным, если существует другое осуществимое распределение ресурсов В, которое устраивает все заинтересованные стороны как минимум не меньше, чем А, и которое является безусловно предпочтительным, по крайней мере для одного лица[22, С.128].Неэффективное распределение расточительно: при лучшем распределении ресурсов было бы возможно повысить благосостояние некоторых людей, не причинив никакого ущерба всем остальным. С другой стороны, если не существует ни одного варианта распределения, который для всех заинтересованных сторон являлся бы предпочтительным по отношению к распределению А, то данное распределение Аявляется эффективным (или оптимальным по Парето). Таким образом, любое распределение ресурсов является эффективным, если ни одно из других возможных распределений не обеспечивает повышение чьего-либо благосостояния без ущерба для остальных индивидов. Хотя причины, побуждающие желать эффективного распределения ресурсов, очевидны, сама по себе эта эффективность является слабым критерием оценки функционирования экономической системы. Во-первых, для любого набора ресурсов, как правило, имеется множество эффективных вариантов размещений данного набора ресурсов. Соответственно требование эффективности не подразумевает единственности отвечающего этому требованию варианта. Впоследствии будет показано, что при определенных условиях критерий эффективности весьма полезен для прогнозирования, поскольку его применение резко ограничивает число осуществимых альтернатив. Во-вторых, эффективным было бы и такое распределение, при котором все потенциальные выгоды от экономической деятельности доставались бы одному абсолютно эгоистичному, «ненасытному» индивиду — ведь любое перераспределение ресурсов ущемило бы интересы этой персоны и, стало быть, не получило бы единогласной поддержки. Эффективность такого распределения едва ли означает, что оно является желательным! В реальной действительности достижение эффективного распределения ресурсов является чрезвычайно важным. В связи с этим слабый критерий эффективности может быть использован для предсказания или этической оценки. На макроэкономическом уровне необходимо не только обеспечить производство всех товаров с минимально возможными издержками, но и приблизиться к оптимальной комбинации объемов производства товаров, обеспечить оптимальные уровни накоплений и инвестиций; в общем плане должна быть создана такая ситуация, когда никакое перераспределение ресурсов не способно увеличить степень удовлетворения запросов потребителей. Задача вычисления эффективного распределения ресурсов для современной экономики явно выходит за рамки осуществимого. Даже в отношениях между двумя людьми может сложиться такая ситуация, когда невозможно ответить на вопрос: нельзя ли реорганизовать их деятельность таким образом, чтобы помочь одному из этих людей, не ущемив при этом интересы другого? Более того, даже если выявлено некое эффективное распределение, необходимо еще добиться того, чтобы все заинтересованные индивиды внесли бы свой вклад в его реализацию. Проблема состоит в том, что зачастую для некого индивида или подгруппы какие-то неэффективные распределения представляются лучшими, чем планируемое эффективное распределение, и эти люди могут быть в состоянии реализовать предпочитаемое ими неэффективное распределение. Несмотря на это затруднение, эффективность является и важным средством воплощения идей организации, и полезным критерием оценки результатов деятельности. ЗАКЛЮЧЕНИЕ Итак, в работе, анализировав каждый вопрос, делались выводы. И теперь их можно объединить, получив общую картину, раскрывающую тему в полной мере. Производство - любая деятельность членов общества по использованию естественных ресурсов с целью удовлетворения человеческих потребностей. Для производства нужны экономические ресурсы. Те ресурсы, которые вовлекаются в производство, называются «факторами производства». В процессе производства происходит объединение экономических ресурсов - факторов производства, в целях выпуска товаров и услуг и получения прибыли. Существуют рынки совершенной, или чистой, конкуренции и несовершенной конкуренции. Чистая конкуренция – это рынок с множеством фирм, свободным входом и выходом и отсутствием регулирования цены. Совершенная конкуренция характеризуется существованием производителей, изготавливающих однородные продукты. Рынок несовершенной конкуренции представлен чистой монополией, олигополистической конкуренцией и монополистической конкуренцией. Чистая монополия – это рынок с одним крупным продавцом или производителем, изготавливающим или продающим уникальный товар. Также, рынки несовершенной конкуренции встречаются наиболее часто в повседневной жизни. Спрос на экономические ресурсы имеет зависимый характер, являясь производным от спроса на товары и услуги, производимые с помощью этих ресурсов. Изменение в спросе на ресурс зависит от нескольких факторов: предельной производительности ресурса, предельной доходности и цены на другие ресурсы. Производительность любого ресурса можно изменять следующими способами: 1) Технологические усовершенствования; 2) Повышение качества самого переменного ресурса — труда ; Другие ресурсы, изменение цены на которые изменит спрос на ресурс, могут быть замещающими и взаимодополняющими. Замещающие ресурсы вызывают эффект замещения и эффект объема производства. А взаимодополняемыми могут быть ресурсы в том смысле, что увеличение количества одного из них, применяемого в производственном процессе, повлечет за собой также увеличение количества другого ресурса и наоборот. В общем, важнейшим фактором производства с экономической точки зрения является труд. Поэтому рассматривать спрос на труд в условиях совершенной конкуренции нужно. Спрос на труд: а)является производным от спроса на товары и услуги; б)определяется доходностью от предельного продукта, приносимого этим фактором и предложением других факторов производства.. Предельный продукт – это то дополнительное количество продукции, которая произведена с использованием дополнительной единицы ресурса. Кривая спроса на труд в условиях совершенной конкуренции отражает закон убывающей предельной производительности. То есть, фирма, нанимая больше рабочих, получает от них убывающую отдачу, поэтому оплачивает труд по более низким ставкам. Изучив спрос на ресурс в условиях несовершенной конкуренции мы обнаружили, что кривая спроса производителя на ресурс падает вниз, поскольку предельный продукт уменьшается и снижается цена продукта по мере роста выпуска продукции. Предприниматель в условиях несовершенной конкуренции будет производить любого продукта меньше, чем при чистой конкуренции. Производитель должен не только удерживать свое дело, производство, но и делать так, чтобы его фирма прогрессировала, а прибыль росла. А значит, ресурсы должны быть распределены оптимально. Есть несколько способов, решающих этот вопрос. Правило наименьших издержек – это условие, согласно которому издержки минимизируются в том случае, когда последний доллар, затраченный на каждый ресурс, дает одинаковую отдачу – одинаковый предельный продукт MP. Данное правило аналогично правилу максимизации полезности для потребителя, которое является еще одним способом оптимального распределения ресурсов. Максимальная прибыль в условиях совершенной конкуренции достигается, когда валовой доход в наибольшей степени превышает совокупные издержки и когда предельный доход равен предельным издержкам. Максимальную прибыль фирма-монополист извлекает в том случае, когда объем выпуска таков, что предельный доход равен предельным издержкам. И наконец, не стоит забывать о вопросе экономической эффективности распределения ресурсов, ведь эффективность является и важным средством воплощения идей организации, и полезным критерием оценки результатов деятельности. Экономически эффективным принято считать такой способ производства, при котором фирма не может увеличить выпуск продукции без увеличения расходов на ресурсы и одновременно не может обеспечить тот же объем выпуска, используя меньшее количество ресурсов одного типа и не увеличивая при этом затраты на другие ресурсы. Любое распределение ресурсов является эффективным, если ни одно из других возможных распределений не обеспечивает повышение чьего-либо благосостояния без ущерба для остальных индивидов. Изучив тему производства и спроса на экономические ресурсы в условиях совершенной и несовершенной конкуренции невозможно сразу же организовать идеальное производство, но так можно понять, к чему стремиться производителю, помочь ему в начинании дела, ведь когда есть основа знаний, уверенность в успехе возрастает. Понимание обществом экономики страны и мира что в любое время является необходимостью, поэтому данная работа может помочь в прояснении некоторых деталей рыночной структуры. СПИСОК ИСПОЛЬЗОВАННОЙ ЛИТЕРАТУРЫ 1. Экономическая теория: Учеб. для студ. высш. учеб.заведений перераб. и доп.-М.: Гуманит. изд. центр/ Под ред. В.Д. К а м а е в а . — 8-е изд .,ВЛАДОС, 2002. — 640 с. 2. Т.А.Фролова Микроэкономика: конспект лекций Таганрог: Изд-во ТРТУ, 2006.(электронный учебник) 3. Экономика: учебник для вузов/И.В. Липсиц. — М.: Омега-Л,2006. - 656 с. 4. Ефимова Е.Г., Экономика, Учебное пособие, М.:МГИУ, 2005.- 386с. 5. Максимова В.Ф. МИКРОЭКОНОМИКА: Учебно-методический комплекс. – М.: Изд. центр ЕАОИ. 2008. – 204 с. 6. Е.Ф. Борисов Экономическая теория: Учеб. пособие- 3-е изд., перераб. и доп. - М.: Юрайт, 2005. –399c. 7. М. А. Сажина, Г. Г. Чибриков, Экономическая теория. Учебник для вузов.- М.:Издательство Норма, 2001.-456с. 8. Седов В. В. Экономическая теория: В 3-х ч. Ч. 2. Микроэкономика: Учебное пособие.- Челябинск. 2007. 215 с. 9. Дакуко Л.И., Микроэкономика, Мн.:БГЭУ, 2004.(электронный учебник) 10. Экономическая теория / Под ред. А. И. Добрынина, Л. С. Тарасевича, 3-е изд. - СПб.:Изд. СПбГУЭФ, Изд. «Питер», 2004. - 544 с. 11. Иохин В.Я. Экономическая теория: Учебник.- М.: Экономистъ, 2006.- 861с. 12. Максимизация прибыли. Конкурентное предложение [электронный ресурс]. -в режиме доступа - http://www.market-journal.com/mikrojekonomika/7.html. 13. Курс экономической теории: Общие основы экономической теории. Микроэкономика. Макроэкономика. Основы национальной экономики: Учебное пособие / Под ред. д.э.н., проф. А.В. Сидоровича; МГУ им. М.В. Ломоносова. — 2-е изд., перераб. и доп. — М.: Издательство «Дело и Сервис», 2001. — 832 с. 14. Курс экономики: Учебник/ Под ред.Б.А. Райзберга.-ИНФРА-М,1997.-720с. 15. Вечканов Г.С., Вечканова Г.Р., Микроэкономика, СПб.: Питер,2005.-288с. 16. Экономическая теория: Учебник/Под общ. ред. акад. В.И.Видяпина, А.И.Добрынина, Г.П.Журавлевой, Л.С.Тарасевича. - М.:ИНФРА-М, 2003.-714с. 17. П. Самуэльсон. Экономика. – М., 1964. 18. Гукасьян Г.М.Экономика от «А» до «Я»: Тематический справочник. – М.:ИНФРА-М, 2007. – 480 с. 19. Нуреев М.Р. Курс микроэкономики: Учебник для вузов. — 2-е изд., изм. — М.: Норма, 2005. 20. Кэмпбелл Р. Макконнелл, Стенли Л.Брю, Экономикс:принципы, проблемы и политика:Пер. с 14-го анг.изд.- М.: Инфра-М, 2003.-XXXVI, 972с. 21. Основы экономической теории: учебник/ под ред.В.Л.Клюни, Н.В.Черченко-2-е изд., испр.-Мн., Выш.шк., 2006.-238с. 22. П. Милгром, Дж. Робертс Экономика, организация и менеджмент: В 2-х т. / Пер. с англ. И.В. Розмаинского, Д.Е Тетерина, К.А. Холодилина под редакцией И.И. Елисеевой и В.Л. Тамбовцева — СПб. : Экономическая школа, 1999. — т. 1 – 472 с., т. 2 – 424 с. ПРИЛОЖЕНИЯ Приложение 1
Единицы труда Рис. 2. Кривая спроса фирмы на труд. Приложение 2
Цена ресурса (Заработная плата) Рис. 3. Спрос на ресурс в условиях несовершенной конкуренции Приложение 3
Цена ресурса (Заработная плата) Рис. 4. Спрос на ресурс в условиях чистой конкуренции. Приложение 4
Рис. 6.Равновесный выпуск продукции конкурентной фирмы Приложение 5
Рис. 7. Максимизация прибыли конкурентной фирмой Приложение 6
Рис. 8. Самоокупаемая конкурентная фирма Приложение 7
Рис. 9. Монопольная цена, выпуск и экономическая прибыль в коротком периоде Приложение 8
Рис. 10. Монопольная цена, выпуск и потери в короткосрочном периоде Приложение 9
Рис. 11. Оптимальный выпуск и максимизация прибыли в долгосрочном периоде. Приложение 10 Таблица 1 Спрос на ресурс: реализация продукта в условиях несовершенной конкуренции ( гипотетические данные)
|








